Initiating Coverage | 7 March 2017
Sector: Logistics
Aegis Logistics
The Giant Kelp
Abhinil Dahiwale - Research Analyst
(Abhinil.Dahiwale@motilaloswal.com); +91 22 3980 4309
Swarnendu Bhushan - Research Analyst
(Swarnendu.Bhushan@MotilalOswal.com); +91 22 6129 1529
Investors are advised to refer through important disclosures made at the last page of the Research Report.
Motilal Oswal research is available on www.motilaloswal.com/Institutional-Equities, Bloomberg, Thomson Reuters, Factset and S&P Capital.

Aegis Logistics
Contents: Aegis Logistics | The Giant Kelp
Summary ............................................................................................................. 3
India’s secular LPG consumption growth story ...................................................... 7
All the way up for the LPG segment! ................................................................... 11
Liquids division remains a cash cow .................................................................... 16
Valuation and view............................................................................................. 19
Bull & Bear case ................................................................................................. 22
SWOT analysis .................................................................................................... 24
Company background ......................................................................................... 25
Financials and Valuations ................................................................................... 28
7 March 2018
2

Aegis Logistics
BSE Sensex
33,033
S&P CNX
10,154
Initiating Coverage |
Sector: Logistics
CMP: INR229
TP: INR303 (+32%)
Buy
Aegis Logistics (AGIS) is India’s leading oil, gas and chemical logistics company. It
primarily operates under two businesses: Gas and Liquids. The company operates three
gas terminals and six liquid terminals across the country. It is engaged in the handling of
Stock Info
Bloomberg
Equity Shares (m)
52-Week Range (INR)
1, 6, 12 Rel. Per (%)
M.Cap. (INR b)
M.Cap. (USD b)
Avg Val, INRm
Free float (%)
oil & LPG products, as well as the sourcing, retailing and distribution of LPG.
AGIS IN
334.0
300 / 170
-9/2/2
76.2
1.2
104.0
39.5
The Giant Kelp
Attractive play on India’s rising LPG consumption; Initiating coverage with
Buy
Financial Snapshot (INR b)
Y/E Mar
2018E 2019E 2020E
Net Sales
47.7 69.1 89.3
EBITDA
3.0
4.8
6.0
NP
2.2
3.3
4.2
EPS (INR)
6.5
9.7 12.5
EPS Gr.%
80.4 50.1 28.0
BV/Share
23.1 30.6 40.3
P/E (x)
35.1 23.4 18.3
P/BV (x)
9.9
7.4
5.7
RoE (x)
31.6 36.3 35.2
RoCE (x)
25.4 30.6 31.5
EV/EBITDA (x)
25.8 15.6 12.0
EV/Sales (x)
1.6
1.1
0.8
Shareholding pattern (%)
As On
Dec-17 Sep-17 Dec-16
Promoter
60.5
60.5
61.5
DII
2.8
2.7
3.6
FII
11.3
12.0
12.5
Others
25.5
24.8
22.4
FII Includes depository receipts
Given the various promising perspectives in AGIS’ journey, we liken it to the Giant
Kelp – one of the fastest growing organisms in the world and found in the waters of
the Americas, South Africa, New Zealand and Southern Australia.
The company’s market cap has already grown ~25x over the last decade. However,
we continue believing in AGIS’ structural growth story with a clear focus and strong
execution in a niche market. Thus, we see further upside potential led by its
planned expansions.
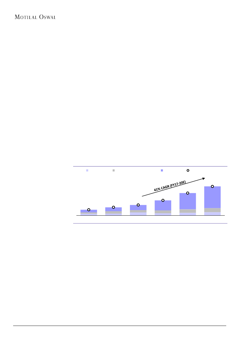
Over FY17-20, we expect AGIS to witness LPG throughput CAGR of 51%, much
higher than India’s estimated LPG import CAGR of 22%. Gas division EBITDA is
expected to grow at 41% CAGR over FY17-20.
For AGIS, we expect liquids throughput CAGR of 16% over FY17-20. Liquids division
EBITDA CAGR is estimated at 22% over the same period.
EBITDA/EPS is expected to grow at 42%/51% CAGR over FY17-20E. We value AGIS
using DCF at INR303/share, implying 32% upside. We initiate coverage with a Buy
rating.
India’s secular LPG consumption growth story
Aegis Logistics
The Giant Kelp
For years, India has aimed to promote an alternative for cheaper but dirtier
cooking fuels. Post 2014, favorable macros have enabled the Indian
government to increase the penetration of LPG through various schemes. This
resulted in higher LPG consumption CAGR of 10% over FY14-17 compared to
7% over FY07-14. We estimate LPG consumption CAGR of 15% over FY17-20,
led by 17% CAGR in new household LPG connections over the same period.
India's LPG penetration increased to ~78% in October 2017 from less than
60% in January 2016. Region-wise, LPG penetration for southern and northern
India stands at more than 88%, while that in western and eastern India (the
focus areas of AGIS) lags behind at 72% and 60%, respectively.
We expect LPG import CAGR of 22% over FY17-20, as domestic production
continues to lag demand.
+91 22 3980 4309
Abhinil.Dahiwale@MotilalOswal.com
Please click here for Video Link
7 March 2018
3

Aegis Logistics
Stock Performance (1-year)
All the way up for the LPG segment!
AGIS is a fully integrated player in the LPG logistics chain, with operations
ranging from sourcing, shipping, terminals and distribution across the industrial,
commercial and auto gas segments.
AGIS, the largest private importer, is expected to be the biggest beneficiary of
rising LPG imports in the country. It operates three LPG terminals at key ports in
India, with a static capacity of ~63kmt and a throughput capacity of 5mmtpa
(45% of total import in FY17). Ramp-up of the recently commissioned Haldia and
Pipavav terminals would result in 51% CAGR in LPG throughput over FY17-20E.
We expect LPG logistics EBITDA CAGR of 62% over FY17-20. Sourcing and
Retailing & Distribution EBITDA CAGR are estimated at 2% and 21%,
respectively, over FY17-20. Thus, we expect Gas division EBITDA CAGR of 41%
over the same period.
Liquids division remains a cash cow
AGIS is also a leading liquid terminal operator, providing a complete range of
services like shipping, O&M and logistics. The company operates four liquids
terminals which are strategically located at the Mumbai, Pipavav, Kochi and
Haldia ports, with total capacity of 529,310 KL.
Locational advantage and strong customer relationships have enabled higher
utilization for the Mumbai, Kochi and Pipavav ports. These liquids terminals are
well connected to major refineries and petrochemical companies through
pipelines, with the oil marketing companies (OMCs) being the major clients.
Ramp-up of the Hadia terminal (brownfield expansion), and commissioning of
the Kandla (100,000kl greenfield, 4QFY18) and Mangalore (25,000kl greenfield,
1QFY19) terminals are expected to drive the next leg of growth for the liquids
division. We expect liquids throughput CAGR of 16% over FY17-20, led by
capacity expansion and higher utilization. Liquids division EBITDA CAGR is
estimated at 22% during the same period.
Initiating coverage with Buy
Increased focus on penetration of LPG, combined with the widening demand-
supply gap, is expected to support volume growth for AGIS. Over FY17-20, we
expect CAGR of 42% in EBITDA and 51% in EPS, led by debt repayment.
With major capex behind, we expect strong free cash flow generation of INR10b
over FY18-20. RoE/RoCE is expected to improve sharply from 22%/19% in FY17
to 35%/31% in FY20.
While management is expected to announce a new gas terminal in the coming
days, we are not factoring in capacity expansion until FY20E in our numbers.
Further capacity expansion before FY20 can pose an upside risk to our earnings
estimates.
We value AGIS using the DCF methodology, with WACC of 11% and terminal
growth of 3.5%, to arrive at a fair value of INR303/share, implying 32% upside.
The stock trades at 18.3x FY20E EPS of INR12.5 and 12x FY20E EV/EBITDA. We
initiate coverage on AGIS with a
Buy
rating.
7 March 2018
4

Aegis Logistics – A play on India’s LPG consumption
Low LPG penetration level in the eastern and western India offers huge growth potential for AGIS
Aegis Logistics
Slower domestic LPG production would increase LPG import share going ahead; expect LPG imports to grow at 22% CAGR over
FY17-20E
LPG consumption (mmtpa)
LPG Import (mmtpa)
51%
31%
21%
11
24%
12
20%
12
2
21%
13
14
38%
40%
40%
46%
46%
Import as % of consumption
64%
61%
57%
50%
33
20
36
23
59%
39
15
4
6
16
6
16
7
18
8
20
9
22
11
26
13
29
17
23
2
3
3
We expect throughput to grow at 51% CAGR over FY17-20,
led by ramp-up of Haldia and Pipavav terminal
Mumbai
Pipavav
Haldia
Total throughput
4.6
3.7
2.7
0.8
0.5
-
0.3
1.3
-
0.6
0.7
0.5
1.1
1.1
FY18E
1.4
1.3
1.1
FY19E
2.1
1.4
1.1
FY20E
AGIS to gain market share led by commissioning of Haldia
terminal and ramp-up of Pipavav terminal
LPG Import (mmtpa)
AGIS - Throughput (mmtpa)
Aegis market share (%)
21%
8%
8 0.6
FY15
11%
9 1.0
FY16
12%
11 1.3
FY17
13 2.7
FY18E
17 3.7
FY19E
20 4.6
FY20E
5
22%
23%
FY16
FY17
7 March 2018

Aegis Logistics
Story in charts
Exhibit 1: AGIS’ LPG terminal division to contribute ~70% of
total EBITDA
Segment-wise - EBITDA Breakup (%)
39
37
LPG
31
Liquids
30
27
18 20
22
25
Exhibit 2: India’s LPG consumption rate has increased post
FY14; expect a 15% CAGR over FY17-20
LPG consumption (mmtpa)
33
58
53
46
28
61
42
FY14
47
FY15
54
63
69
70
73
16
14 15 16
12 13
11 12
FY13
FY16
FY17
FY18E FY19E FY20E
Source: Company, MOSL
Source: PPAC, MOSL
Exhibit 3: We expect throughput CAGR of 51% over FY17-20,
led by ramp-up of Haldia and Pipavav terminals
Mumbai
Pipavav
Haldia
Total throughput
4.6
3.7
2.7
1.3
-
0.6
0.7
FY17
0.5
1.1
1.1
FY18E
1.4
1.3
1.1
FY19E
2.1
1.4
1.1
FY20E
Exhibit 4: LPG division EBITDA to grow at 41% CAGR over
FY17-20E led by logistics segment (INRb)
Sourcing
Logistics
Retailing & Distribution
LPG EBITDA (INRb)
4.3
3.3
1.6
0.8
0.3
0.4
FY17
2.2
1.5
0.4
0.3
FY18E
2.4
0.5
0.4
FY19E
3.2
0.6
0.5
FY20E
0.8
-
0.3
0.5
FY16
1.2
0.6
0.4
0.3
FY16
Source: Company, MOSL
Source: Company, MOSL
Exhibit 5: Liquid throughput to grow at 16% CAGR over
FY17-20 led by capacity expansion and higher utilization
Mumbai
Haldia
Kandla
Kochi
Pipavav
Mangalore
Exhibit 6: Liquid division EBITDA to grow at 22% CAGR over
FY17-20E (INR b)
420
-
96
-
51
273
FY17
439
25
75
51
273
FY18E
15
598
19
80
75
100
51
273
FY19E
651
24
95
100
108
51
273
FY20E
FY15
FY16
FY17
FY18E
FY19E
FY20E
1.0
1.0
0.9
1.0
1.4
1.6
Source: Company, MOSL
Source: Company, MOSL
7 March 2018
6

Aegis Logistics
India’s secular LPG consumption growth story
Domestic production shortage to result in higher imports
Post 2014, favorable macros have enabled the Indian government to increase the
penetration of LPG through various schemes, replacing the usage of cheaper but
dirtier cooking fuels. This resulted in higher LPG consumption CAGR of 10% over FY14-
17 compared to 7% over FY07-14. We expect LPG consumption CAGR of 15% over
FY17-20, led by 17% CAGR in the number of LPG customer households during the same
period.
India's LPG penetration increased to ~78% in October 2017 from less than 60% in
January 2016. LPG penetration for southern and northern India stands at more than
88%, while that in western and eastern India (the focus areas of AGIS) lags behind at
72% and 59%, respectively.
We expect LPG import CAGR of 22% over FY17-20, as domestic production continues
to lag demand.
Government thrust on LPG consumption
India has always promoted LPG as a cooking fuel by taking multiple policy
initiatives. However, a sharp decline in LPG prices enabled the current
government to aggressively promote LPG as cooking fuel post 2014.
The new government successfully launched the Ujjwala scheme to increase LPG
penetration. By 2020, the government intends to increase LPG penetration in
the country to 95% from the current level of 78%.
Description
To set up small-size LPG distribution agencies
Provided one-time financial assistance to the BPL category for new LPG connection
Free gas connections, along with LPG filled cylinders, two burner gas stove,
regulator and Suraksha (safety) pipe were issued to the Jhuggi Ration Card (JRC),
Below Poverty Line (BPL) and Antodaya Ann Yojana (AAY) Ration Card holders who
were using kerosene oil for cooking
Government introduced a well-targeted system of subsidy delivery to LPG
consumers through PAHAL (Direct Benefit Transfer) scheme
It was aimed at rationalizing subsidies based on approach to cut subsidy leakages,
but not subsidies themselves
Applicable subsidy is directly transferred into the bank account of the beneficiaries
PAHAL has helped in identifying ‘ghost’ accounts, multiple accounts and inactive
accounts. This has helped in curbing diversion of subsidized LPG for commercial
purposes
As a part of subsidy management, Prime Minister gave call to well-off LPG
consumers to voluntarily surrender their subsidy by launching ‘GiveItUp’ campaign
GiveItUp campaign has evoked huge response from socially committed individuals,
and resulted in more than 1.05 crore consumers giving up their subsidy voluntarily
Under this scheme, all Indian citizens, including unemployed youth, are eligible for
applying for LPG distributorships
The Government has launched “Pradhan Mantri Ujjwala Yojana”(PMUY) for
providing LPG connections to 5 crore women belonging to the Below Poverty Line
(BPL) families over a period of 3 years starting from FY17
Objective of the scheme is to provide clean cooking fuel solution to poor
households, especially in rural areas
Source: PPAC, MOSL
Exhibit 7: Government’s focus to deepen the usage of LPG is visible in various initiatives taken
Year
2009
Government policies/schemes
Rajiv Gandhi Gramin LPG Vitaran Yojana
(RGGLV)
Kerosene Free Delhi
2012
2013
PAHAL (DBTL)
2016
GiveItUp Campaign
2016
Unified Guidelines for Selection of
LPG Distributorships 2016
2016
Pradhan Mantri Ujjwala
Yojana
(PMUY)
7 March 2018
7

Aegis Logistics
To achieve its aim of 95% LPG penetration, the government, in our view, needs
to add 140m new household connections, resulting in incremental LPG
consumption of 11mmt over FY17-20, ~53% of total consumption in FY17.
Government’s various initiatives to (i) increase LPG penetration in areas/states
where the usage is low, and (ii) popularize LPG as a medium of cooking have
been extremely successful. It has surpassed its target of achieving 160m
connections in FY15 (as mentioned in the ‘Vision – 2015’ document published
on June 2009). Hence, we believe that the target of increasing the penetration
to 95% by 2020 is achievable.
India’s LPG consumption increased to 22mmtpa in FY17 v/s 16mmtpa in FY14,
growing at a 10% CAGR. LPG consumption over FY14-17 grew at a higher rate
than over FY07-14. Households consume ~90% of the country’s total LPG – a
preferred fuel for cooking.
LPG penetration level has been rising rapidly across country; ~15m LPG
connections have been added in the first half of FY18. LPG penetration level
increased to ~78% in September 2017 from ~60% in January 2016 and ~58% in
June 2015. We believe that higher penetration of 95% would result in 15% LPG
consumption CAGR over FY17-20E.
Exhibit 9: LPG coverage at the end of 1HFY18
88
Estimated house-holds (m)
LPG coverage (%)
88
60
72
Active connections (m)
93
78
Exhibit 8: LPG coverage at the start of FY18
Estimated house-holds (m)
LPG coverage (%)
85
68
48
52
Active connections (m)
73
52
72 61
North
10
5
61 32
East
63 43
West
65 58
South
273 199
India
73 64
North
10
5
62 37
East
64 46
West
66 61
South
275 214
India
North East
North East
Source: PPAC, MOSL
Source: PPAC, MOSL
Exhibit 10: LPG customer households to grow at 17% CAGR
over FY17-20 to reach 95% penetration level
LPG customer households (m)
90% of LPG consumption is in
households
Exhibit 11: LPG consumption to grow at 15% over FY17-20
led by increase in customer households
LPG consumption (mmtpa)
289
204
168 184
139 152
107 116 127
95 102
237
331
377
26
20
16 18
14 15 16
12 12 13
11
22
29
33
Source: PPAC, MOSL
Source: PPAC, MOSL
7 March 2018
8

Aegis Logistics
AGIS’ strategic presence offers huge potential
LPG penetration level has improved across regions. While southern and
northern India have impressive penetration levels, western and eastern India
have lagged in this regard.
We believe lower LPG penetration level in western and eastern India is
indicative of high untapped demand for this fuel. Eastern states like Odisha,
Jharkhand and Bihar, and western states like Madhya Pradesh, Chhattisgarh and
Gujarat, are expected to witness higher LPG consumption growth going ahead.
Exhibit 12: Due to low penetration level, eastern and western India to witness higher growth in LPG consumption
Active connections (m)
FY17
1HFY18
Change (%)
5%
www.indzara.com
Jammu
and
Kashmir
Himachal
Pradesh
P unjab
Chandigarh
Active connections (m)
FY17
1HFY18
Change (%)
Active connections (m)
FY17
1HFY18
Change (%)
17%
9%
61
North
64
5
32
East
37
North East
5
Uttarakhand
Haryana
Del hi
Arunachal
P radesh
Sikkim
Rajasthan
Uttar Pradesh
Bihar
Jharkhand
Assam
Meghalaya
Tripura
Nagaland
Manipur
Gujarat
Daman
and Diu
Dadra and
Nagar Haveli
Madhya Pradesh
West
Bengal
Mizoram
Odisha
Active connections (m)
FY17
1HFY18
Change (%)
7%
Maharashtra
Telangana
Bay
of
Bengal
Active connections (m)
FY17
1HFY18
Change (%)
8%
Andaman
and
199
Nicobar
214
Islands
43
West
Arabian
46
Sea
Goa
Andhra
Pradesh
Active connections (m)
Lakshadweep
FY17
1HFY18
Change (%)
6%
Tamil Nadu
P uducherry
India
Colour Gradient
Lowest (Red) to Highest (Green)
58
South
61
Indian Ocean
Map not to scale
Source: PPAC, MOSL
*Data as on 31 March 2017
st
7 March 2018
9

Aegis Logistics
Domestic production shortage to result in higher imports
India’s dependency on LPG imports has been rising consistently due to domestic
LPG production not rising at the same pace. Share of imports has risen to 51% in
FY17 from 40% in FY14.
Even in a very optimistic scenario, refining capacity may only rise from
234mmtpa in FY17 to 325mmtpa by FY22. However, with LPG yield being
inherently low, we expect domestic LPG production to grow at meager ~4%
CAGR v/s consumption CAGR of 15%, implying 22% CAGR in LPG imports over
FY17-20E.
Exhibit 13: Domestic LPG production to grow at ~4% CAGR over FY17-20E
Refinery throughput (mmtpa)
LPG production (mmtpa)
Paradip, Bhatinda and
Binda to add
Kochi refinery to add
1.8mmt in FY19
23.5mmt in FY18
10
11
11
13
13
13
Vizag to add
6mmt in FY21
13
Mega Mumbai
refienry to add
60mmt in FY22
16
223
FY15
233
FY16
245
FY17
268
FY18E
259
FY19E
259
FY20E
265
FY21E
325
FY22E
Source: PPAC, MOSL
Note: Assumed 100% refinery utilization for FY19-23
Exhibit 14: Slower domestic LPG production would increase LPG import share going ahead; expect LPG imports to grow at
22% CAGR over FY17-20E
LPG consumption (mmtpa)
LPG Import (mmtpa)
Import as % of consumption
31%
21%
11
24%
20%
12
21%
13
14
3
4
FY11
38%
40%
40%
46%
46%
51%
50%
57%
61%
64%
59%
39
2
12
15
6
FY12
16
6
FY13
16
7
FY14
18
8
FY15
20
9
FY16
22
11
FY17
26
13
FY18E
29
17
33
20
36
23
23
3
2
FY07
FY08
FY09
FY10
FY19E
FY20E
FY21E
FY22E
Source: PPAC, MOSL
7 March 2018
10

Aegis Logistics
All the way up for the LPG segment!
Ramp-up of Haldia and Pipavav terminals to drive throughput
AGIS is a fully integrated player in the LPG logistics chain, with operations ranging
from sourcing, shipping, terminals and distribution across the industrial, commercial
and auto gas segments.
AGIS, the largest private importer, is expected to be the biggest beneficiary of rising
LPG imports in the country. It operates three LPG terminals at key ports in India, with
static capacity of ~63kmt and throughput capacity of 5mmtpa (45% of total import in
FY17). Ramp-up of the recently commissioned Haldia and Pipavav terminals would
result in 51% CAGR in LPG throughput over FY17-20E.
We expect LPG logistics EBITDA CAGR of 62% over FY17-20. Sourcing and Retailing &
Distribution EBITDA CAGR is estimated at 2% and 21%, respectively, over FY17-20.
Thus, Gas division EBITDA is expected to grow at 41% CAGR over the same period.
Exhibit 15: AGIS to be the biggest beneficiary of rising LPG imports as it captures the complete LPG value chain
Source: Company, MOSL
Well placed to benefit from rising LPG imports
Apart from LPG, AGIS also deals with relatively small volume of propane (both
combined being termed as the gas division). The contribution of gas division to
total EBITDA rose to 63% in FY17 from 42% in FY14.
The logistics segment was the highest contributor (~67%) of the gas division’s
EBITDA in FY17, followed by sourcing (18%) and retail & distribution (14%).
7 March 2018
11

Aegis Logistics
Exhibit 16: Gas division share has increased rapidly over last
four years; it contributed 63% of AGIS’ EBITDA in FY17
AGIS - EBITDA Breakup (%)
39
39
LPG
Liquids
46
37
Exhibit 17: Logistics segment is a major contributor to the
gas division's EBITDA; ~67% in FY17
Gas Division - EBITDA Breakup (%)
Sourcing,
18
50
52
58
53
50
48
FY11
61
61
42
FY14
47
FY15
54
63
Retailing &
Distribution
, 14
Logistics, 67
Source: Company, MOSL
FY10
FY12
FY13
FY16
FY17
Source: Company, MOSL
Gas logistics offers 51% volume CAGR over FY17-20
AGIS is one of the largest private sector players in the LPG logistics (terminal)
business. The company derives revenue through throughput fees, handling and
value-addition services for providing terminalling activity. It operates three gas
terminals located at Mumbai, Pipavav and Haldia, with a static capacity of
~63kmt and throughput capacity of 5mmtpa.
Mumbai has a static capacity of 2x10kmt, one tank is used for LPG storage and
the other one for supplying propane to Reliance Industries. Throughput capacity
stands at 1.1mmtpa. Pipavav has a static capacity of 18.3kmt post expansion in
1QFY18 and a throughput capacity of 1.4mmtpa. The recently commissioned
INR2.5b greenfield Haldia LPG terminal has a static capacity of 25kmt and a
throughput capacity of 2.5mmtpa.
Exhibit 19: AGIS has three LPG terminals at key major ports
in India with static capacity of ~63,000mt (‘000mt)
Mumbai
Pipavav
63
25
25
5
20
FY16
Source: Company, MOSL
20
FY17
28
8
18
20
FY18E
Haldia
Total capacity
63
63
25
18
20
FY19E
25
18
20
FY20E
Exhibit 18: Gas terminal on key ports in India
Pipavav
Mumbai
Haldia
Source: Company, MOSL
Evacuation infrastructure defines throughput capacity:
Throughput capacity of
a gas terminal, depending upon the pace of the evacuation, can range from 25x -
100x of the static capacity. AGIS’ throughput capacity stood at 46x of static
capacity in FY17. Pipeline is the fastest way of evacuation, and pipeline
connectivity can exponentially increase the throughput capacity of the gas
terminal.
7 March 2018
12

Aegis Logistics
Exhibit 20: Throughput depends on the pace of evacuation; AGIS has a throughput capacity
of 5mmtpa (mmtpa)
Mumbai
Pipavav
5.0
2.5
1.3
0.6
0.7
FY17
1.4
1.1
FY18E
Haldia
5.0
2.5
1.4
1.1
FY19E
Total capacity
5.0
2.5
1.4
1.1
FY20E
Source: Company, MOSL
0.8
0.3
0.5
FY16
Ramp-up of Haldia and Pipavav terminals to drive throughput
AGIS commissioned its INR2.5b greenfield Haldia terminal with static capacity of
25kmt in September 2017. Throughput capacity stands at 2.5mmtpa. Lower LPG
penetration and limited competition in the eastern region should help the
Haldia terminal to ramp up exponentially, in our view. We expect the terminal
to achieve 100% utilization in FY20.
Exhibit 22: Haldia terminal to witness higher utilization level
due to low LPG coverage in eastern India
Estimated house-holds (m)
LPG coverage (%)
88
72
52
60
Active connections (m)
93
78
Exhibit 21: Haldia stands to benefit from lower LPG terminal
capacity in eastern region
Company
AGIS
AGIS
IOCL
BPCL
Reliance
GCPTCL
West
AGIS
IPPL
East
HPCL, TOTAL
SALPG, EIPL
IPPL
SHV
SHV
South
Ports
Mumbai
Pipavav
Kandla
JNPT
Sikka
Dahej
Haldia
Haldia
Mangalore
Vizag
Ennore
Tuticorin
Porbandar
Static capacity ('000 mt)
20
18
30
16
30
30
144
25
32
57
17
60
30
8
8
123
Source: IOCL, MOSL
73 64
North
10
5
62 37
East
64 46
West
66 61
South
275 214
India
North East
Source: PPAC, MOSL
Pipavav to ramp-up gradually:
AGIS’ brownfield capacity expansion from
8.1kmt to 18.3kmt at the Pipavav LPG terminal was completed in 1QFY18.
Throughput capacity is expected to rise to 1.4mmtpa from 0.6mmtpa. We
expect the Pipavav LPG terminal to reach full utilization by FY20, based on
existing and new customer relationships.
Mumbai to expand its throughput capacity:
HPCL is expected to complete its
existing Uran-Chakan LPG pipeline by Mar’18. AGIS’s Mumbai LPG terminal is
already connected to Uran LPG pipeline. Post completion of the Uran-Chakan
leg by HPCL, the Mumbai LPG terminal’s throughput capacity would increase to
1.5mmtpa from 1.1mmtpa, according to the company. We are not factoring in
expanded throughput capacity in our numbers.
13
7 March 2018

Aegis Logistics
Exhibit 23: We expect throughput to grow at 51% CAGR over FY17-20, led by ramp-up of
Haldia and Pipavav terminal
Mumbai
Pipavav
Haldia
Total throughput
4.6
3.7
2.7
1.3
-
0.6
0.7
FY17
0.5
1.1
1.1
FY18E
1.4
1.3
1.1
FY19E
2.1
1.4
1.1
FY20E
Source: Company, MOSL
0.8
0.3
0.5
FY16
While we expect India’s LPG imports to grow at 22% CAGR over FY17-20, AGIS is
expected to increase its LPG throughput at 51% CAGR during the same time, led
by the ramp-up of the Haldia and Pipavav terminals. Thus, we expect AGIS’
market share to increase from 12% in FY17 to 23% in FY20E.
We expect logistics segment EBITDA to grow at 62% CAGR over FY17-20E led by
51% CAGR increase in LPG throughput.
Exhibit 25: Logistics segment EBTIDA to grow at 62% CAGR
over FY17-20, led by throughput ramp-up (INRb)
Logistics
Exhibit 24: AGIS to gain market share led by commissioning
of Haldia terminal and ramp-up of Pipavav terminal
LPG Import (mmtpa)
Aegis market share (%)
21%
12%
22%
23%
AGIS - Throughput (mmtpa)
11%
8%
3.2
2.4
1.5
8
0.6
FY15
9
1.0
FY16
11
1.3
FY17
13
2.7
FY18E
17
3.7
FY19E
20
4.6
FY20E
0.4
FY15
0.6
FY16
0.8
FY17
FY18E
FY19E
FY20E
Source: PPAC, MOSL
Source: Company, MOSL
7 March 2018
14

Aegis Logistics
Gas sourcing and retail & distribution segment to grow at steady pace
Gas sourcing:
In order to strengthen its sourcing capabilities, the company
entered into a joint venture with one of the largest sourcing companies in the
world – ITOCHU (Japan) – through its Singapore subsidiary in 2012. The JV helps
AGIS to use ITOCHU’s expertise for sourcing LPG at competitive rates. With ~9%
market share in LPG imports in FY17, it emerged as one of the largest private
players in LPG sourcing in India.
AGIS earns a commission fee for providing this activity. Since the company has
its own terminals, it derives revenue through storage and handling charges as
well. In the gas sourcing business, the company gets a spread on USD3-5/MT.
We expect sourcing volumes to grow at 20% CAGR and assume a spread of
USD4/MT over FY17-20. We expect EBITDA to grow at 2% CAGR over FY17-20E.
Gas retailing and distribution:
AGIS is also present in the industrial, commercial
and auto gas distribution business through a diversified network. The company
has ~100 distributors in 45 cities across eight states, which distribute
commercial LPG cylinders under the brand ‘Aegis Puregas’. Auto gas is sold
under the brand ‘Aegis Autogas’ through 107 auto gas stations. Bulk LPG is
transported by road tankers to industries including autos, steel and ceramics.
We expect retailing and distribution EBITDA to grow at 21% CAGR over F17-2E
on account of strong demand.
Exhibit 26: LPG division EBITDA to grow at 41% CAGR over FY17-20E led by logistics
segment (INRb)
Sourcing
Retailing & Distribution
Logistics
LPG EBITDA (INRb)
4.3
3.3
1.6
0.8
0.3
0.4
FY17
2.2
1.5
0.4
0.3
FY18E
2.4
0.5
0.4
FY19E
3.2
0.6
0.5
FY20E
Source: Company, MOSL
0.8
0.4
0.20.3
FY15
1.2
0.6
0.4
0.3
FY16
AGIS is also expected to announce two large LPG terminals in the coming
months – one of which would be the largest LPG terminal. Management has
received environmental clearance for one of the proposed terminals and is
currently negotiating commercial terms. We believe strong LPG throughput and
capacity expansion plans should re-rate the stock further.
We are not factoring in any capacity expansion for LPG terminals until FY20 and
expect new capacities to be operational post FY20. Any preponement of
capacity addition is an upside risk to our earnings estimates.
7 March 2018
15

Aegis Logistics
Liquids division remains a cash cow
Capacity expansion to generate steady growth
AGIS is also a leading liquid terminal operator and provides complete services like
shipping, O&M and logistics. The company operates four liquid terminals strategically
located at the Mumbai, Pipavav, Kochi and Haldia ports.
Locational advantage and strong customer relationships have enabled higher
utilization for Mumbai, Kochi and Pipavav. OMCs are the major clients.
Ramp-up of the Hadia terminal (brownfield expansion), and commissioning of the
Kandla (100,000kl greenfield, 4QFY18) and Mangalore (25,000kl greenfield, 1QFY19)
terminals are expected to drive the next leg of growth for the liquids division.
We expect liquids throughput CAGR of 16% over FY17-20, led by capacity expansion
and higher utilization. Liquids division EBITDA CAGR is estimated at 22% during the
same period.
Leading liquid terminal operator
AGIS is a leading liquid terminal operator and provides complete services like
shipping, O&M and logistics. The company handles POL (petroleum) and other
chemicals at its liquid terminals. It operates four liquid terminals that are
strategically located at Mumbai, Pipavav, Kochi and Haldia, with a total capacity
of 529,310 KL. These liquid terminals are well connected to the major refineries
and petrochemical companies through pipelines. OMCs are the major clients.
Liquid terminals are offered on long-term and spot contracts. The company
earns higher margins in spot contracts.
Exhibit 27: AGIS offers shipping, O&M and logistics services for liquids
Source: Company, MOSL
AGIS is in the final stage of expansion of its green field terminal at the Kandla
and Mangalore ports, and brownfield expansion of the Haldia terminal. All these
terminals are located near major refining and petrochemical complexes. With
petrochemical industry growing at ~9-10%, this business continues to provide
stable cash flows for the company.
16
7 March 2018

Aegis Logistics
Exhibit 29: Mumbai, Kochi, Haldia, Kandla and Mangalore
handle ~75% of the POL traffic at major ports (April-
November 2017)
Kandla
4%
7%
8%
9%
12%
19%
10%
31%
Mumbai
New Mangalore
Cochin
Visakhapatnam
Chennai
Haldia
Others
Source: Company, MOSL
Source: IPA, MOSL
Exhibit 28: Strategically located terminals; plans to build a
necklace of terminals around the coastline of India
The liquid division contributes ~35% of overall EBITDA. EBITDA contribution
from the division has declined over the past five years due to high growth of the
gas division. We expect the liquid division’s EBITDA contribution to remain
around 27% over FY18-20E.
Exhibit 31: AGIS has six liquid terminal at key ports in India,
with total capacity of 689,000 KL
Mumbai
Haldia
Kandla
Total capacity ('000 KL)
504
120
60
51
273
548
25
120
79
51
273
FY18E
Kochi
Pipavav
Mangalore
681
25
100
120
111
51
273
FY19E
Exhibit 30: AGIS’ liquid terminal division to contribute ~27%
of total EBITDA
Segment-wise - EBITDA Breakup (%)
LPG
31
Liquids
30
27
39
58
53
46
37
689
25
100
120
120
51
273
FY20E
61
42
FY14
47
54
63
69
70
73
FY13
FY15
FY16
FY17
FY18E FY19E FY20E
Source: Company, MOSL
FY17
Source: Company, MOSL
Locational advantage and strong customer relationships have enabled higher
utilization for the Mumbai, Kochi and Pipavav ports. We expect utilization to
remain at similar levels in future as well.
Ramp-up of the Hadia terminal (brownfield expansion) and the commissioning
of Mangalore/Kandla terminals (greenfield expansion) are expected to bring the
next leg of growth for the liquids division. While the Kandla terminal (100,000
KL) is expected to come on stream in 4QFY18, the Mangalore terminal (25,000
KL) should become operational in 1QFY19.
We expect liquid throughput to grow at 16% CAGR over FY17-20, led by capacity
expansion and higher utilization. Liquid division EBITDA is expected to grow at
22% CAGR during the same period.
7 March 2018
17

Aegis Logistics
Exhibit 32: Liquid throughput to grow at 16% CAGR over
FY17-20 led by capacity expansion and higher utilization
Mumbai
Haldia
Kandla
Kochi
Pipavav
Mangalore
Exhibit 33: Liquid division EBITDA to grow at 22% CAGR over
FY17-20E (INRb)
420
-
96
-
51
273
FY17
439
15
75
51
273
FY18E
25
598
19
80
75
100
51
273
FY19E
651
95
100
108
51
273
FY20E
FY15
FY16
FY17
FY18E
FY19E
FY20E
24
1.4
1.6
1.0
1.0
0.9
1.0
Source: Company, MOSL
Source: Company, MOSL
7 March 2018
18

Aegis Logistics
Valuation and view
Initiate coverage with a Buy; TP of INR303
AGIS has been a key beneficiary of the government’s thrust on increasing penetration
of LPG. We expect a CAGR of 42% in EBITDA and 51% in EPS over FY17-20, led by debt
repayment.
With major capex behind, we expect strong free cash flow generation of ~INR10b over
FY18-20. Return ratios are expected to improve, going ahead: RoE is likely to improve
from 22% in FY17 to 35% in FY20, while RoCE is expected to improve from 19% to 31%
over the same period.
In our view, the significant re-rating of AGIS’ stock price over FY14-17 can be
attributed to the pick-up in LPG throughput and greenfield expansion plans of the
Haldia LPG terminal.
While management is expected to announce a new gas terminal in the coming days,
we are not factoring in capacity expansion until FY20E in our numbers. Further
capacity expansion before FY20 can pose an upside risk to our earnings estimates.
We value AGIS using the DCF methodology with WACC of 11% and terminal growth of
3.5% to arrive at fair value of INR303/share, implying 32% upside. The stock trades at
18.3x FY20E EPS of INR12.5 and 12x FY20E EV/EBITDA. We initiate coverage with a Buy
rating.
LPG division to drive the next leg of growth
AGIS’ liquids division EBITDA contribution has been declining due to high growth
of the gas division. Rising LPG imports and recent expansion of AGIS’ LPG
terminal capacity would lead to higher EBITDA growth in the LPG division
compared to the liquids division.
We expect LPG division EBITDA contribution to remain above 70% over FY18-20.
Logistics segment EBITDA is expected to remain a major contributor to gas
division EBTIDA over FY17-20, led by strong growth in LPG throughput for the
company.
Exhibit 35: Logistics segment to lead gas division
Liquids
30
27
80
75
72
67
67
73
75
Gas Division - EBITDA Breakup (%)
Sourcing
Retailing & Distribution
Logistics
Exhibit 34: Gas division contribution to increase
Segment-wise - EBITDA Breakup (%)
39
46
37
LPG
31
58
53
61
42
FY14
47
FY15
54
63
69
70
73
7
13
11
14
FY15
16
12
FY16
14
18
FY17
19
14
FY18E
15
12
FY19E
14
11
FY20E
FY13
FY16
FY17
FY18E FY19E FY20E
Source: Company, MOSL
FY14
Source: Company, MOSL
7 March 2018
19

Aegis Logistics
Strong profitability to continue
We expect significant growth in EBITDA and PAT, led by strong growth in the gas
logistics segment. We expect AGIS’ EBITDA to grow at 42% CAGR over FY17-20
and PAT to grow at 51% CAGR due debt repayment.
Exhibit 37: PAT to grow at 51% CAGR over FY17-20, ahead of
EBITDA due to repayment of debt
PAT (INRb)
Exhibit 36: We expect AGIS’ EBITDA to grow at 42% CAGR
over FY17-20, led by strong growth of LPG division
EBITDA (INRb)
1.4
FY15
1.9
FY16
2.1
FY17
3.0
FY18E
4.8
FY19E
6.0
FY20E
1.0
FY15
1.1
FY16
1.2
FY17
2.2
FY18E
3.3
FY19E
4.2
FY20E
Source: Company, MOSL
Source: Company, MOSL
Strong cash flow generation; return ratios to improve further
AGIS has recently completed its Pipavav LPG terminal expansion (brownfield)
and Haldia LPG terminal expansion (greenfield). The company's future capex
will be incurred on the upcoming liquids terminals at Kandla and Mangalore port
for expansion of liquids capacity. Also management is expected to announce
new LPG terminals at the western ports, which will lead to further capex.
Given healthy operating profits and cash flows, we expect most of the capex to
be funded by internal accruals. We expect AGIS to generate free cash flow of
~INR10b over FY18-20.
We believe that the return ratios for AGIS will improve, led by an improvement
in the operating margins and higher utilization at its new/existing terminals. We
expect RoE to increase to 35% in FY20 from 22% in FY17, and RoCE to improve
to 31% in FY20 from 19% in FY17.
Exhibit 39: Return ratios to improve further; RoE/RoCE to
hover above 30%
RoE (%)
4.0
32
20
24
21
22
25
19
3.1
RoCE (%)
36
35
Exhibit 38: Major capex is behind, and we expect AGIS to
generate FCF of INR10b over FY18-20
FCF (INRb)
2.7
0.7
0.5
31
31
17
(0.9)
FY15
FY16
FY17
FY18E
FY19E
FY20E
FY15
FY16
FY17
FY18E
FY19E
FY20E
Source: Company, MOSL
Source: Company, MOSL
7 March 2018
20

Aegis Logistics
DCF – based valuation
While management is expected to announce two large LPG terminals in the
coming months – one of which would be the largest LPG terminal. For our for
forecast, we assume first LPG terminal with 3mmtpa capacity to come online in
FY21 and second LPG terminal with 2mmtpa capacity to come online in FY24.
We value AGIS using DCF methodology, with WACC of 11% and terminal growth
of 3.5% to arrive at a fair value of INR303/share, implying 32% upside.
Exhibit 40: DCF summary
AGIS - DCF Valuation
AGIS EBITDA (INRm)
Depreciation
EBIT
Tax rate (%)
Capital expenditure
Change in WC
FCFF (INRm)
Year
Discount factor
PV(FCFF)
FY18E FY19E FY20E FY21E FY22E FY23E FY24E FY25E FY26E FY27E FY28E FY29E FY30E
3,148 4,612 5,764 7,018 8,302 9,305 10,527 11,674 13,004 14,652 15,918 17,147 18,650
296
359
386
487
589
589
725
725
725
725
725
725
725
2,853 4,252 5,378 6,530 7,713 8,716 9,802 10,950 12,279 13,927 15,194 16,422 17,925
11
22
22
22
22
22
22
22
22
22
22
22
22
500
500
500 1,500 1,000 1,000 1,000
300
300
300
300
300
300
-531
261
193
193
169
208
254
309
371
557
552
588
577
2,869 2,915 3,888 3,888 5,436 6,180 7,117 8,656 9,631 10,731 11,723 12,646 13,829
1
2
3
4
5
6
7
8
9
10
11
0.90
0.81
0.73
0.66
0.59
0.54
0.48
0.43
0.39
0.35
0.32
2,627 3,157 2,845 3,585 3,672 3,811 4,177 4,188 4,205 4,139 4,024
Source: Company, MOSL
Exhibit 41: WACC of 11% and TGR of 3.5%
WACC Calculation
Debt/Equity
Tax rate
Risk free rate
Beta
Market risk premium
Cost of equity
Cost of debt
WACC
34%
27%
6.5%
0.87
13.5%
12.6%
8.5%
11.0%
Source: Company, MOSL
Exhibit 42: We arrive at a fair value of INR303/share
DCF Valuation - Valued at the end of FY18
Terminal cash flow (INRm)
Terminal growth rate
Terminal value (INRm)
PV (Terminal Value)
PV (CF over FY19-23E)
Enterprise value (INRm)
Net debt (INRm)
Equity value (INRm)
Equity Shares (m)
Target price (INR)
13,829
3.5%
191,560
60,949
40,428
101,377
248
101,129
334
303
Source: Company, MOSL
Exhibit 43: AGIS 1-year forward P/E
60.0
45.0
30.0
15.0
0.0
P/E (x)
Min (x)
Avg (x)
+1SD
Max (x)
-1SD
Exhibit 44: AGIS 1- year forward EV/EBITDA
30.0
24.0
18.0
EV/EBITDA (x)
Max (x)
Avg (x)
Min (x)
49.0
28.9
18.0
7.0
2.7
23.4
17.3
23.5
12.0
6.0
0.0
15.6
10.8
2.5
4.2
Source: Company, MOSL
Source: Company, MOSL
7 March 2018
21

Aegis Logistics
Bull & Bear case
Bull Case
In our bull case, we assume 4
th
LPG terminal (3mmtpa) to come online in FY20
(v/s FY21 in base case) and 5
th
LPG terminal (2mmtpa) to come online in FY23
(v/s FY24 in base case). We also expect higher utilization rate at existing LPG
terminals.
Expect gas throughput CAGR of 63% v/s 51% in our base case, leading to 77%
EBTIDA CAGR in the logistics segment over FY17-20E.
We expect an improvement in EBTIDA CAGR for the sourcing & distribution
division, led by higher volumes.
We also expect rapid ramp-up of the upcoming liquids terminal, leading to
higher EBITDA CAGR of 23% v/s 22% in our base case for the liquids division over
FY17-20E.
Based on the above assumptions, EBITDA is expected to grow at 49% CAGR v/s
42% in our base case over FY17-20. Using DCF methodology, with WACC of 11%
and TGR of 3.5% we arrive at a fair value of INR342/share, implying 50% upside.
Bear Case
In our bear case, we assume only one LPG terminal (3mmtpa) to come online in
FY22 (v/s FY21 in base case). We don’t expect further LPG terminal capacity
addition to happen.
Expect gas throughput CAGR of 51%, leading to 62% EBTIDA CAGR in the
logistics segment over FY17-20E.
We expect steady growth in EBTIDA CAGR for the sourcing & distribution
division, led by higher volumes.
We also expect steady utilization of the upcoming liquids terminal, leading to
higher EBITDA CAGR of 22% for the liquids division over FY17-20E.
Based on the above assumptions, EBITDA is expected to grow at 32% CAGR v/s
42% in our base case over FY17-20. Using DCF methodology, with WACC of 11%
and TGR of 5% we arrive at a fair value of INR245/share, implying 7% upside.
Exhibit 45: Scenario Analysis – Bull Case
DCF Valuation - Valued at the end of FY18
Terminal cash flow (INRm)
Terminal growth rate
Terminal value (INRm)
PV (Terminal Value)
PV (CF over FY19-23E)
Enterprise value (INRm)
Net debt (INRm)
Equity value (INRm)
Equity Shares (m)
Target price (INR)
15,564
3.5%
215,590
68,594
45,806
114,400
248
114,152
334
342
Source: Company, MOSL
Exhibit 46: Scenario Analysis – Bear Case
DCF Valuation - Valued at the end of FY18
Terminal cash flow (INRm)
Terminal growth rate
Terminal value (INRm)
PV (Terminal Value)
PV (CF over FY19-23E)
Enterprise value (INRm)
Net debt (INRm)
Equity value (INRm)
Equity Shares (m)
Target price (INR)
10,587
3.5%
146,651
46,660
35,353
82,012
248
81,764
334
245
Source: Company, MOSL
7 March 2018
22

Aegis Logistics
Significant re-rating possible
AGIS’ stock price has witnessed a re-rating over FY14-17 on account of a sharp
pick-up in LPG throughput (41% CAGR) and greenfield expansion plan of the
Haldia LPG terminal. While LPG throughput increased 2.8x (41% CAGR), the
stock price rose 11.5x (126% CAGR) over FY14-17.
AGIS is also expected to announce two large LPG terminals in the coming
months – one of which would be the largest LPG terminal. Management has
received environmental clearance for one of the proposed terminals and is
currently negotiating commercial terms. We believe strong LPG throughput and
capacity expansion plans should re-rate the stock further.
Exhibit 47: LPG throughput has been the growth driver for AGIS in the past; we expect LPG throughput to grow at 51% CAGR
over FY17-20E
AGIS - Throughput (mmtpa)
5.0
4.0
3.0
2.0
1.0
0.0
FY07
FY08
FY09
FY10
FY11
FY12
FY13
FY14
FY15
FY16
FY17
8
16
5
18
27
69
15
14
17
While AGIS's logistics volume grew at 23%
CAGR during FY07-14, its stock price
appreciated at 14% CAGR
AGIS - Stock price (INR)
During FY14-17, AGIS's
logistics volume grew at
41% CAGR, its stock price
appreciated at 126% CAGR
194
115
We model logistics
volume grwoth at 51%
CAGR over FY17-20 for
AGIS
FY18E
FY19E
FY20E
Source: Company, MOSL
Key risks to our investment thesis
Change in favorable macros:
LPG consumption growth has benefited from
sustained low crude oil prices. However, any rise in LPG price could hurt
domestic demand.
Change in government policy:
LPG consumption growth has been driven by
government’s push. Change in government or change in government policies
could impact LPG consumption in the country.
Shift in consumer preference:
LPG is the cheapest and most feasible cooking
fuel for the majority of the Indian population. However, a shift in consumer
preference toward alternative fuels like piped natural gas instead of LPG could
impact LPG consumption in the country.
Dependence on OMCs:
AGIS is heavily dependent on OMCs for both gas and
liquids divisions’ growth and profitability. Any adverse change in relationship
with OMCs or increased competition from OMCs LPG terminal could impact
AGIS’s growth prospects.
Delay in project expansion:
AGIS’s future growth prospects are highly
dependent on timely expansion of new projects. Any delay or cancellation
would hamper its growth potential.
7 March 2018
23

Aegis Logistics
SWOT analysis
Presence in entire value chain in gas business
Steady cash flow from liquid division
Economies of scale in bulk sourcing
Strategic terminal locations
Strong customer relationships
JV with one of the largest global trading company
Strength
Gas business contributes majority of EBITDA
Majority of gas business dependent on B2B clients
Dependence on OMCs for large part of the LPG
business
Weaknesses
Expanding market size of B2C business i.e. autogas
and commercial cylinders
Expand LPG terminal capacity to tap rising demand
Opportunities
Government policies
Exchange rate volatility
High LPG prices can hurt demand
OMCs expanding their LPG terminal capacities
Threats
7 March 2018
24

Aegis Logistics
Company background
Aegis Logistics (AGIS) is India’s leading oil, gas and chemical logistics company. Its
business can be primarily divided in to two divisions – Gas and Liquids. The company
operates three gas terminals and six liquid terminals across the country. It is
engaged in the handling of oil & LPG products, and the sourcing, retailing and
distribution of LPG.
Company’s strategy is of building a necklace of port terminals around India’s coast
line from Pipavav to Haldia to Kochi, inland oil terminals on a “build, own, operate”
basis to service the National Oil Companies (NOCs) and developing a Retail
Distribution Network for the LPG business. Its client base includes many leading
industrial companies in India as well as retail outlets and customers who are served
through distributors and Aegis Autogas stations. AGIS also operates internationally
through its sourcing and trading subsidiaries. The company entered into a joint
venture with ITOCHU Corporation of Japan which is world’s second largest general
trading groups in Japan.
Exhibit 48: AGIS business division
Source: Company, MOSL
7 March 2018
25

Aegis Logistics
Key management team
Raj Chandaria,
Chairman & MD
B.Sc (Economics) and an MBA from Boston University
Over the last 30 years he has led the business through the next stage of growth
in the Gas and Petroleum Distribution Business
Anish Chandaria,
Vice Chairman & MD
B.A. (Economics) and an MBA from Wharton Business School
Over the last 22 years he spearheaded company’s entry in Autogas Business and
has rich experience in Oil & Gas Industry
Sudhir Malhotra,
Group President & COO
A Chemical Engineer and a Post Graduate in Marketing Management
With over 20 years of hands on commercial experience in Oil, Gas & Chemical
Industry
Associated since 1990
Rajiv Chohan,
President (Business Development)
A Post Graduate in Business Administration
With over 25 years’ experience in downstream Oil Industry in PSUs & MNCs
Handled B2B & B2C Marketing of Retail Fuels, Lubricants, LPG and Fuel Oil in
India
Murad Moledina
: CFO
An FCA with 30 years of experience in Corporate Finance, Accounts & Taxation
Instrumental in various Corporate Restructuring actions including Acquisitions,
Demerger, Buyback, etc.
K. S. Sawant:
President (Ops. & Projects)
A Chemical Engineer with over 30 years of experience in operations of Liquid &
Gas Terminals
Experience of setting up Liquid & Gas Terminals at different Ports
7 March 2018
26

Aegis Logistics
Exhibit 49: Evolution of AGIS - Key events
Year
1956
1967
1977
1978
1995
2003
2005
2006
2007
2009
2010
2012
2012
2013
2014
2015
2016
2016
2016
2017
2017
Key events
Year of establishment
Entry into Specialty Chemicals
Entry into Liquid Logistics
Maiden IPO & Listing
Entry into LPG Business
Divestment of Specialty Chemicals
Foray into Retail of Autogas
Launch of O&M Business
Acquisition: Sealord Containers (Mumbail) & Konkan Storage (Kochi)
Established LPG Sourcing in Singapore
Acquisition: Shell India LPG Business (Pipavav)
Launch of Marine Products Distribution
Greenfield expansion at Pipavav and Haldia liquids terminal
Haldia liquid terminal construction complete
Joint Venture with ITOCHU through Singapore subsidiary
Land acquired at Kandla and Mangalore
Announced new LPG terminal at Haldia
Greenfield liquid terminal expansion at Kandla port
Brownfield gas terminal expansion at Pipavav port
Sold 19.7% stake in HALPG to ITOCHU
Pipavav LPG terminal expansion completed
Source: Company, MOSL
7 March 2018
27

Aegis Logistics
Financials and Valuations
Consolidated - Income Statement
Y/E March
Total Income from Operations
Change (%)
Purchases of Stock-in-Trade
Employees Cost
Other Expenses
Total Expenditure
% of Sales
EBITDA
Margin (%)
Depreciation
EBIT
Int. and Finance Charges
Other Income
PBT bef. EO Exp.
EO Items
PBT after EO Exp.
Total Tax
Tax Rate (%)
Minority Interest
Reported PAT
Adjusted PAT
Change (%)
Margin (%)
FY14
50,309
26.4
48,038
350
844
49,232
97.9
1,077
2.1
222
855
185
129
799
0
799
112
14.1
76
611
611
81.7
1.2
FY15
39,160
-22.2
36,352
409
964
37,725
96.3
1,435
3.7
230
1,205
205
114
1,114
309
1,422
299
21.0
89
1,034
790
29.5
2.0
FY16
22,132
-43.5
18,739
469
1,071
20,279
91.6
1,853
8.4
234
1,619
177
85
1,527
0
1,527
265
17.4
128
1,133
1,133
43.4
5.1
FY17
39,328
77.7
35,669
462
1,128
37,259
94.7
2,069
5.3
243
1,826
161
52
1,717
0
1,717
377
22.0
137
1,203
1,203
6.1
3.1
FY18E
47,687
21.3
43,054
419
1,246
44,720
93.8
2,967
6.2
296
2,671
186
63
2,547
0
2,547
277
10.9
101
2,169
2,169
80.4
4.5
FY19E
69,105
44.9
60,812
449
3,075
64,336
93.1
4,769
6.9
359
4,409
169
91
4,331
0
4,331
953
22.0
123
3,256
3,256
50.1
4.7
(INR Million)
FY20E
89,277
29.2
78,564
480
4,280
83,324
93.3
5,953
6.7
386
5,568
152
118
5,533
0
5,533
1,217
22.0
148
4,168
4,168
28.0
4.7
Consolidated - Balance Sheet
Y/E March
Equity Share Capital
Total Reserves
Net Worth
Minority Interest
Total Loans
Deferred Tax Liabilities
Capital Employed
Gross Block
Less: Accum. Deprn.
Net Fixed Assets
Goodwill on Consolidation
Capital WIP
Total Investments
Curr. Assets, Loans&Adv.
Inventory
Account Receivables
Cash and Bank Balance
Loans and Advances
Curr. Liability & Prov.
Account Payables
Other Current Liabilities
Provisions
Net Current Assets
Appl. of Funds
E: MOSL Estimates
FY14
334
3,168
3,502
126
2,410
164
6,202
6,003
1,879
4,124
137
354
113
4,134
249
2,058
726
1,102
2,660
2,096
366
198
1,474
6,201
FY15
334
3,940
4,274
264
2,181
189
6,908
6,540
2,139
4,401
137
339
213
4,276
204
2,012
1,054
1,007
2,459
1,979
379
101
1,817
6,908
FY16
334
4,711
5,045
393
1,883
229
7,550
6,951
2,371
4,580
137
734
4
3,537
115
972
967
1,482
1,442
894
402
145
2,095
7,550
FY17
334
5,687
6,021
285
2,866
276
9,448
7,291
2,610
4,681
13
3,144
2
9,537
218
7,059
605
1,655
7,928
7,257
457
214
1,609
9,448
FY18E
334
7,371
7,705
285
2,616
276
10,882
10,057
2,906
7,150
13
879
2
8,553
261
3,919
2,366
2,007
5,714
4,901
554
260
2,839
10,882
FY19E
334
9,898
10,232
285
2,366
276
13,159
11,010
3,266
7,744
13
426
2
13,205
376
5,680
4,241
2,908
8,230
7,051
802
377
4,975
13,159
(INR Million)
FY20E
334
13,134
13,468
285
2,116
276
16,145
11,600
3,652
7,949
13
335
2
18,501
487
7,338
6,919
3,757
10,655
9,131
1,037
486
7,846
16,145
7 March 2018
28

Aegis Logistics
Financials and Valuations
Ratios
Y/E March
Basic (INR)
EPS
Cash EPS
BV/Share
DPS
Payout (%)
Valuation (x)
P/E
Cash P/E
P/BV
EV/Sales
EV/EBITDA
Dividend Yield (%)
FCF per share
Return Ratios (%)
RoE
RoCE
RoIC
Working Capital Ratios
Fixed Asset Turnover (x)
Asset Turnover (x)
Inventory (Days)
Debtor (Days)
Creditor (Days)
Leverage Ratio (x)
Current Ratio
Interest Cover Ratio
Net Debt/Equity
FY14
1.8
2.5
10.5
0.5
33.6
FY15
2.4
3.1
12.8
0.8
24.5
96.3
74.7
17.8
2.0
53.9
0.3
2.2
20.3
16.8
18.5
6.0
5.7
2
19
18
1.7
5.9
0.2
FY16
3.4
4.1
15.1
0.9
31.9
67.2
55.7
15.1
3.5
41.6
0.4
1.4
24.3
21.0
24.0
3.2
2.9
2
16
15
2.5
9.2
0.2
FY17
3.6
4.3
18.0
0.7
22.4
63.3
52.7
12.6
2.0
37.9
0.3
-2.6
21.7
18.5
24.7
5.4
4.2
2
66
67
1.2
11.3
0.4
FY18E
6.5
7.4
23.1
1.3
22.4
35.1
30.9
9.9
1.6
25.8
0.6
8.1
31.6
25.4
35.7
4.7
4.4
2
30
38
1.5
14.3
0.0
FY19E
9.7
10.8
30.6
1.9
22.4
23.4
21.1
7.4
1.1
15.6
0.8
9.1
36.3
30.6
42.7
6.3
5.3
2
30
37
1.6
26.0
-0.2
FY20E
12.5
13.6
40.3
2.4
22.4
18.3
16.7
5.7
0.8
12.0
1.1
12.1
35.2
31.5
50.0
7.7
5.5
2
30
37
1.7
36.6
-0.4
0.2
2.6
18.5
13.7
17.0
8.4
8.1
2
15
15
1.6
4.6
0.4
Consolidated - Cash Flow Statement
Y/E March
OP/(Loss) before Tax
Depreciation
Interest & Finance Charges
Direct Taxes Paid
(Inc)/Dec in WC
CF from Operations
Others
CF from Operating incl EO
(Inc)/Dec in FA
Free Cash Flow
(Pur)/Sale of Investments
Others
CF from Investments
Issue of Shares
Inc/(Dec) in Debt
Interest Paid
Dividend Paid
Others
CF from Fin. Activity
Inc/Dec of Cash
Opening Balance
Closing Balance
FY14
799
222
88
-225
4
888
-9
879
0
879
43
-960
-917
0
-909
-190
-183
0
-1,282
-1,320
2,045
725
FY15
1,422
230
123
-110
-118
1,547
-324
1,223
-474
750
260
85
-128
0
-229
-199
-339
0
-767
329
725
1,054
FY16
1,527
234
122
-405
-76
1,402
-18
1,384
-916
468
215
60
-641
0
-298
-177
-356
0
-831
-87
1,054
967
FY17
1,717
243
135
-287
-250
1,558
-14
1,544
-2,401
-858
5
24
-2,372
0
982
-205
-311
0
467
-362
967
605
FY18E
2,547
296
123
-277
531
3,220
0
3,220
-500
2,720
0
63
-437
0
-250
-186
-485
-101
-1,022
1,760
605
2,366
FY19E
4,331
359
78
-953
-261
3,555
0
3,555
-500
3,055
0
91
-409
0
-250
-169
-729
-123
-1,271
1,875
2,366
4,241
(INR Million)
FY20E
5,533
386
34
-1,217
-193
4,543
0
4,543
-500
4,043
0
118
-382
0
-250
-152
-933
-148
-1,483
2,678
4,241
6,919
7 March 2018
29

Aegis Logistics
NOTES
7 March 2018
30

REPORT GALLERY
RECENT INITIATING COVERAGE REPORTS
Rs

Explanation of Investment Rating
Investment Rating
BUY
SELL
NEUTRAL
UNDER REVIEW
NOT RATED
Expected return (over 12-month)
>=15%
< - 10%
> - 10 % to 15%
Rating may undergo a change
We have forward looking estimates for the stock but we refrain from assigning recommendation
Aegis Logistics
*In case the recommendation given by the Research Analyst becomes inconsistent with the investment rating legend, the Research Analyst shall within 28 days of the inconsistency, take appropriate measures to make the recommendation consistent with the investment rating legend.
Disclosures:
The following Disclosures are being made in compliance with the SEBI Research Analyst Regulations 2014 (herein after referred to as the Regulations).
Motilal Oswal Securities Ltd. (MOSL) is a SEBI Registered Research Analyst having registration no. INH000000412. MOSL, the Research Entity (RE) as defined in the Regulations, is engaged in the business of providing Stock broking services,
Investment Advisory Services, Depository participant services & distribution of various financial products. MOSL is a subsidiary company of Motilal Oswal Financial Service Ltd. (MOFSL). MOFSL is a listed public company, the details in respect of
which are available on
www.motilaloswal.com.
MOSL is registered with the Securities & Exchange Board of India (SEBI) and is a registered Trading Member with National Stock Exchange of India Ltd. (NSE) and Bombay Stock Exchange Limited
(BSE), Metropolitan Stock Exchange Of India Ltd. (MSE) for its stock broking activities & is Depository participant with Central Depository Services Limited (CDSL) & National Securities Depository Limited (NSDL) and is member of Association of
Mutual Funds of India (AMFI) for distribution of financial products. Details of associate entities of Motilal Oswal Securities Limited are available on the website at
http://onlinereports.motilaloswal.com/Dormant/documents/Associate%20Details.pdf
Regulatory Enquiries against Motilal Oswal Securities Limited by SEBI:
SEBI pursuant to a complaint from client Shri C.R. Mohanraj alleging unauthorized trading, issued a letter dated 29th April 2014 to MOSL notifying appointment of an Adjudicating Officer as per SEBI regulations to hold inquiry and
adjudge violation of SEBI Regulations; MOSL requested SEBI to provide all documents, records, investigation report relied upon by SEBI which were referred in Show Cause Notice. The matter is closed and MOSL had to pay Rs. 2
lakhs towards penalty for misplacement of original POA of client.
MOSL, it’s associates, Research Analyst or their relative may have any financial interest in the subject company. MOSL and/or its associates and/or Research Analyst may have beneficial ownership of 1% or more securities in the subject company at
the end of the month immediately preceding the date of publication of the Research Report.
MOSL and its associate company(ies), their directors and Research Analyst and their relatives may; (a) from time to time, have a long or short position in, act
as principal in, and buy or sell the securities or derivatives thereof of companies mentioned herein. (b) be engaged in any other transaction involving such securities and earn brokerage or other compensation or act as a market maker in the financial
instruments of the company(ies) discussed herein or act as an advisor or lender/borrower to such company(ies) or may have any other potential conflict of interests with respect to any recommendation and other related information and opinions.;
however the same shall have no bearing whatsoever on the specific recommendations made by the analyst(s), as the recommendations made by the analyst(s) are completely independent of the views of the associates of MOSL even though there
might exist an inherent conflict of interest in some of the stocks mentioned in the research report.
Research Analyst may have served as director/officer, etc. in the subject company in the last 12 month period. MOSL and/or its associates may have
received any compensation from the subject company in the past 12 months.
In the last 12 months period ending on the last day of the month immediately preceding the date of publication of this research report, MOSL or any of its associates may have:
a)
managed or co-managed public offering of securities from subject company of this research report,
b)
received compensation for investment banking or merchant banking or brokerage services from subject company of this research report,
c)
received compensation for products or services other than investment banking or merchant banking or brokerage services from the subject company of this research report.
d)
Subject Company may have been a client of MOSL or its associates during twelve months preceding the date of distribution of the research report.
MOSL and it’s associates have not received any compensation or other benefits from the subject company or third party in connection with the research report. To enhance transparency, MOSL has incorporated a Disclosure of Interest Statement in
this document. This should, however, not be treated as endorsement of the views expressed in the report. MOSL and / or its affiliates do and seek to do business including investment banking with companies covered in its research reports. As a result,
the recipients of this report should be aware that MOSL may have a potential conflict of interest that may affect the objectivity of this report. Compensation of Research Analysts is not based on any specific merchant banking, investment banking or
brokerage service transactions.
Terms & Conditions:
This report has been prepared by MOSL and is meant for sole use by the recipient and not for circulation. The report and information contained herein is strictly confidential and may not be altered in any way, transmitted to, copied or distributed, in part
or in whole, to any other person or to the media or reproduced in any form, without prior written consent of MOSL. The report is based on the facts, figures and information that are considered true, correct, reliable and accurate. The intent of this report
is not recommendatory in nature. The information is obtained from publicly available media or other sources believed to be reliable. Such information has not been independently verified and no guaranty, representation of warranty, express or implied,
is made as to its accuracy, completeness or correctness. All such information and opinions are subject to change without notice. The report is prepared solely for informational purpose and does not constitute an offer document or solicitation of offer to
buy or sell or subscribe for securities or other financial instruments for the clients. Though disseminated to all the customers simultaneously, not all customers may receive this report at the same time. MOSL will not treat recipients as customers by
virtue of their receiving this report.
Analyst Certification
The views expressed in this research report accurately reflect the personal views of the analyst(s) about the subject securities or issues, and no part of the compensation of the research analyst(s) was, is, or will be directly or indirectly related to the
specific recommendations and views expressed by research analyst(s) in this report.
Disclosure of Interest Statement
Analyst ownership of the stock
Aegis Logistics
Yes
A graph of daily closing prices of securities is available at
www.nseindia.com, www.bseindia.com.
Research Analyst views on Subject Company may vary based on Fundamental research and Technical Research. Proprietary trading desk of MOSL or
its associates maintains arm’s length distance with Research Team as all the activities are segregated from MOSL research activity and therefore it can have an independent view with regards to subject company for which Research Team have
expressed their views.
Regional Disclosures (outside India)
This report is not directed or intended for distribution to or use by any person or entity resident in a state, country or any jurisdiction, where such distribution, publication, availability or use would be contrary to law, regulation or which would subject
MOSL & its group companies to registration or licensing requirements within such jurisdictions.
For Hong Kong:
This report is distributed in Hong Kong by Motilal Oswal capital Markets (Hong Kong) Private Limited, a licensed corporation (CE AYY-301) licensed and regulated by the Hong Kong Securities and Futures Commission (SFC) pursuant to the Securities
and Futures Ordinance (Chapter 571 of the Laws of Hong Kong) “SFO”. As per SEBI (Research Analyst Regulations) 2014 Motilal Oswal Securities (SEBI Reg No. INH000000412) has an agreement with Motilal Oswal capital Markets (Hong Kong)
Private Limited for distribution of research report in Hong Kong. This report is intended for distribution only to “Professional Investors” as defined in Part I of Schedule 1 to SFO. Any investment or investment activity to which this document relates is only
available to professional investor and will be engaged only with professional investors.” Nothing here is an offer or solicitation of these securities, products and services in any jurisdiction where their offer or sale is not qualified or exempt from
registration. The Indian Analyst(s) who compile this report is/are not located in Hong Kong & are not conducting Research Analysis in Hong Kong.
For U.S.
Motilal Oswal Securities Limited (MOSL) is not a registered broker - dealer under the U.S. Securities Exchange Act of 1934, as amended (the"1934 act") and under applicable state laws in the United States. In addition MOSL is not a registered
investment adviser under the U.S. Investment Advisers Act of 1940, as amended (the "Advisers Act" and together with the 1934 Act, the "Acts), and under applicable state laws in the United States. Accordingly, in the absence of specific exemption
under the Acts, any brokerage and investment services provided by MOSL, including the products and services described herein are not available to or intended for U.S. persons. This report is intended for distribution only to "Major Institutional
Investors" as defined by Rule 15a-6(b)(4) of the Exchange Act and interpretations thereof by SEC (henceforth referred to as "major institutional investors"). This document must not be acted on or relied on by persons who are not major institutional
investors. Any investment or investment activity to which this document relates is only available to major institutional investors and will be engaged in only with major institutional investors. In reliance on the exemption from registration provided by Rule
15a-6 of the U.S. Securities Exchange Act of 1934, as amended (the "Exchange Act") and interpretations thereof by the U.S. Securities and Exchange Commission ("SEC") in order to conduct business with Institutional Investors based in the U.S.,
MOSL has entered into a chaperoning agreement with a U.S. registered broker-dealer, Motilal Oswal Securities International Private Limited. ("MOSIPL"). Any business interaction pursuant to this report will have to be executed within the provisions of
this chaperoning agreement.
The Research Analysts contributing to the report may not be registered /qualified as research analyst with FINRA. Such research analyst may not be associated persons of the U.S. registered broker-dealer, MOSIPL, and therefore, may not be subject
to NASD rule 2711 and NYSE Rule 472 restrictions on communication with a subject company, public appearances and trading securities held by a research analyst account.
For Singapore
Motilal Oswal Capital Markets Singapore Pte Limited is acting as an exempt financial advisor under section 23(1)(f) of the Financial Advisers Act(FAA) read with regulation 17(1)(d) of the Financial Advisors Regulations and is a subsidiary of Motilal
Oswal Securities Limited in India. This research is distributed in Singapore by Motilal Oswal Capital Markets Singapore Pte Limited and it is only directed in Singapore to accredited investors, as defined in the Financial Advisers Regulations and the
Securities and Futures Act (Chapter 289), as amended from time to time. In respect of any matter arising from or in connection with the research you could contact the following representatives of Motilal Oswal Capital Markets Singapore Pte Limited:
Disclaimer:
The report and information contained herein is strictly confidential and meant solely for the selected recipient and may not be altered in any way, transmitted to, copied or distributed, in part or in whole, to any other person or to the media or reproduced
in any form, without prior written consent. This report and information herein is solely for informational purpose and may not be used or considered as an offer document or solicitation of offer to buy or sell or subscribe for securities or other financial
instruments. Nothing in this report constitutes investment, legal, accounting and tax advice or a representation that any investment or strategy is suitable or appropriate to your specific circumstances. The securities discussed and opinions expressed in
this report may not be suitable for all investors, who must make their own investment decisions, based on their own investment objectives, financial positions and needs of specific recipient. This may not be taken in substitution for the exercise of
independent judgment by any recipient. Each recipient of this document should make such investigations as it deems necessary to arrive at an independent evaluation of an investment in the securities of companies referred to in this document
(including the merits and risks involved), and should consult its own advisors to determine the merits and risks of such an investment. The investment discussed or views expressed may not be suitable for all investors. Certain transactions -including
those involving futures, options, another derivative products as well as non-investment grade securities - involve substantial risk and are not suitable for all investors. No representation or warranty, express or implied, is made as to the accuracy,
completeness or fairness of the information and opinions contained in this document. The Disclosures of Interest Statement incorporated in this document is provided solely to enhance the transparency and should not be treated as endorsement of the
views expressed in the report. This information is subject to change without any prior notice. The Company reserves the right to make modifications and alternations to this statement as may be required from time to time without any prior approval.
MOSL, its associates, their directors and the employees may from time to time, effect or have effected an own account transaction in, or deal as principal or agent in or for the securities mentioned in this document. They may perform or seek to perform
investment banking or other services for, or solicit investment banking or other business from, any company referred to in this report. Each of these entities functions as a separate, distinct and independent of each other. The recipient should take this
into account before interpreting the document. This report has been prepared on the basis of information that is already available in publicly accessible media or developed through analysis of MOSL. The views expressed are those of the analyst, and
the Company may or may not subscribe to all the views expressed therein. This document is being supplied to you solely for your information and may not be reproduced, redistributed or passed on, directly or indirectly, to any other person or
published, copied, in whole or in part, for any purpose. This report is not directed or intended for distribution to, or use by, any person or entity who is a citizen or resident of or located in any locality, state, country or other jurisdiction, where such
distribution, publication, availability or use would be contrary to law, regulation or which would subject MOSL to any registration or licensing requirement within such jurisdiction. The securities described herein may or may not be eligible for sale in all
jurisdictions or to certain category of investors. Persons in whose possession this document may come are required to inform themselves of and to observe such restriction. Neither the Firm, not its directors, employees, agents or representatives shall
be liable for any damages whether direct or indirect, incidental, special or consequential including lost revenue or lost profits that may arise from or in connection with the use of the information.
The person accessing this information specifically agrees
to exempt MOSL or any of its affiliates or employees from, any and all responsibility/liability arising from such misuse and agrees not to hold MOSL or any of its affiliates or employees responsible for any such misuse and further agrees to hold MOSL
or any of its affiliates or employees free and harmless from all losses, costs, damages, expenses that may be suffered by the person accessing this information due to any errors and delays.
Registered Office Address: Motilal Oswal Tower, Rahimtullah Sayani Road, Opposite Parel ST Depot, Prabhadevi, Mumbai-400025; Tel No.: 022-3980 4263; www.motilaloswal.com. Correspondence Address: Palm Spring Centre, 2nd Floor, Palm
Court Complex, New Link Road, Malad (West), Mumbai- 400 064. Tel No: 022 3080 1000. Compliance Officer: Neeraj Agarwal, Email Id:
na@motilaloswal.com,
Contact No.:022-30801085.
Registration details of group entities.: MOSL: SEBI Registration: INZ000158836 (BSE/NSE/MSE); CDSL: IN-DP-16-2015; NSDL: IN-DP-NSDL-152-2000; Research Analyst: INH000000412. AMFI: ARN 17397. Investment Adviser: INA000007100.
Motilal Oswal Asset Management Company Ltd. (MOAMC): PMS (Registration No.: INP000000670) offers PMS and Mutual Funds products. Motilal Oswal Wealth Management Ltd. (MOWML): PMS (Registration No.: INP000004409) offers wealth
management solutions. *Motilal Oswal Securities Ltd. is a distributor of Mutual Funds, PMS, Fixed Deposit, Bond, NCDs, Insurance and IPO products. * Motilal Oswal Commodities Broker Pvt. Ltd. offers Commodities Products. * Motilal Oswal Real
Estate Investment Advisors II Pvt. Ltd. offers Real Estate products. * Motilal Oswal Private Equity Investment Advisors Pvt. Ltd. offers Private Equity products
7 March 2018
32