Thematic Study | November 2018
23RD ANNUAL WEALTH CREATION STUDY
(2013-2018)
Valuation Insights
What works, What doesn't
HIGHLIGHTS
The two key drivers of Intrinsic Value are Return on Equity (RoE) and Earnings growth
Companies create Intrinsic Value only when they earn RoE higher than Cost of Equity
Low RoE companies must focus on increasing RoE, high RoE companies on increasing
growth
Both high RoE and high Earnings growth are difficult to sustain
PEG (P/E to Growth ratio) less than 1x is a near-infallible formula for healthy
outperformance
Current market valuations imply robust earnings growth, which remains elusive. Hence,
expect market to remain soft
"In the Bible, it says that love covers a multitude of sins. Well, in the investing field, price
covers a multitude of mistakes. For human beings, there is no substitute for love. For investing,
there is no substitute for paying the right price - absolutely none."
– Arnold Van Den Berg, Outstanding Investor Digest, April 2004
TOP 10 WEALTH CREATORS (2013-2018)
THE BIGGEST
Wealth
Rank Company
Created
(INR b)
1
HDFC Bank
3,247
2
Reliance Industries
3,094
3
TCS
2,532
4
Maruti Suzuki
2,308
5
Hindustan Unilever
1,883
6
HDFC
1,640
7
Kotak Mahindra Bank 1,345
8
IOC
1,008
9
Larsen & Toubro
990
10
Bajaj Finance
902
THE FASTEST
5-Year
Company
Price
CAGR (%)
Indiabulls Ventures
97
Dalmia Bharat
81
TVS Motor
80
HEG
79
Sterlite Technologies
75
Bajaj Finance
73
Motilal Oswal
67
IIFL Holdings
64
NBCC
64
Eicher Motors
62
THE MOST CONSISTENT
Appeared
Company
in WC
Study (x)
Titan Company
10
Godrej Consumer
10
Shree Cement
10
Pidilite Industries
10
Maruti Suzuki
10
Marico
10
Asian Paints
10
HDFC Bank
10
Kotak Mahindra Bank
10
Dabur India
10
10-Year
Price
CAGR (%)
33
33
31
30
27
26
25
22
21
20
Raamdeo Agrawal
(Raamdeo@MotilalOswal.com) /
Shrinath Mithanthaya
(ShrinathM@MotilalOswal.com)
We thank Mr Dhruv Mehta (Dhruv.Mehta@dhruvmehta.in), Investment Consultant, for his invaluable contribution to this report.
1
Investors are advised to refer through important disclosures made at the end of the Research Report.

23rd Annual Wealth Creation Study (2013-2018)
Motilal Oswal 23rd Annual Wealth Creation Study
Page
Wealth Creation Study:
Objective, Concept & Methodology
....................... 1
Wealth Creation 2013-18:
Highlights
.......................................................... 2-3
Theme 2018:
Valuation Insights – What works, what doesn’t.................
4-31
Wealth Creation 2013-18:
Detailed Findings
......................................... 32-47
Appendix 1:
MOSL 100 – Biggest Wealth Creators
................................ 48-49
Appendix 2:
MOSL 100 – Fastest Wealth Creators
................................ 50-51
Appendix 3:
MOSL 100 – Wealth Creators (alphabetical)
.......................... 52
Abbreviations and Terms used in this report
Description
Reference to years for India are financial year ending March, unless otherwise stated
Average
Compound Annual Growth Rate
Loss to Profit / Profit to Loss. In such cases, calculation of PAT CAGR is not possible
Indian Rupees in billion
In the case of aggregates, Price CAGR refers to Market Cap CAGR
Wealth Created
Increase in Market Capitalization over the last 5 years, duly adjusted for corporate
Wealth Created
events such as fresh equity issuance, mergers, demergers, share buybacks, etc.
Note:
Capitaline database has been used for this study. Source of all exhibits is MOSL analysis, unless otherwise stated
Abbreviation / Term
2008, 2013, 2018, etc
Avg
CAGR
L to P / P to L
INR b
Price CAGR
WC

23rd Annual Wealth Creation Study (2013-2018)
Wealth Creation Study
Objective, Concept & Methodology
Objective
The foundation of Wealth Creation is to buy businesses at a price substantially lower than their
“intrinsic value” or “expected value”. The lower the market value compared to the intrinsic value,
the higher is the margin of safety. Every year, as in the past 23 years, we endeavor to cull out the
characteristics of businesses that create value for their shareholders.
As Phil Fisher says, “It
seems logical that even before thinking of buying any common stock, the
first step is to see how money has been most successfully made in the past.”
Our Wealth Creation
Studies are attempts to study the past as a guide to the future, and gain insights into the various
dynamics of stock market investing.
Concept & Methodology
Wealth Creation is the process by which a company enhances the market value of the capital
entrusted to it by its shareholders. It is a basic measure of success for any commercial venture.
For listed companies, we define Wealth Created as the difference in market capitalization over a
period of last five years, duly adjusted for corporate events such as fresh equity issuance,
mergers, demergers, share buybacks, etc.
We rank the top 100 companies in descending order of absolute Wealth Created,
subject to the
company’s stock price at least outperforming the benchmark index (BSE Sensex in our case).
These top 100 Wealth Creators are also ranked according to speed (i.e. price CAGR during the
period under study).
Report structure
We present the 2013-2018 Wealth Creation Study highlights in pages 2-3. The detailed findings
are presented in pages 32-47. Appendix 1 (pages 48-49) ranks the top 100 Wealth Creators by
size, and Appendix 2 (pages 50-51) ranks the same 100 Wealth Creators by speed.
This year’s theme study titled “Valuation
Insights – What works, what doesn’t”
is featured in
pages 4-31.
1 November 2018
1

23rd Annual Wealth Creation Study (2013-2018)
Wealth Creation 2013-2018
Highlights
HDFC Bank is the Biggest Wealth Creator for the first time ever
After consistently hugging the second and third rank for the last 6 studies,
HDFC Bank
has
finally broken through to emerge the biggest Wealth Creator over 2013-18.
Exhibit 1
Top 10 Biggest Wealth Creators (2013-18)
Rank Company
Wealth Created
INR b % share
1 HDFC Bank
3,247
7.2
2 Reliance Inds
3,094
6.9
3 TCS
2,532
5.6
4 Maruti Suzuki
2,308
5.1
5 Hind. Unilever
1,883
4.2
6 HDFC
1,640
3.7
7 Kotak Mah. Bank
1,345
3.0
8 IOC
1,008
2.2
9 Larsen & Toubro
990
2.2
10 Bajaj Finance
902
2.0
Total of Top 10
18,948
42
Total of Top 100
44,883
100
CAGR (%)
Price
PAT
25
22
18
13
13
13
47
25
23
10
17
16
26
23
20
38
17
14
73
35
21
18
24
19
P/E (x)
2018 2013
27
22
15
13
21
22
41
17
55
31
22
19
32
22
8
15
21
18
38
10
21
18
22
18
RoE (%)
2018 2013
17
19
12
11
30
36
15
11
72
113
16
21
12
14
19
7
16
13
16
18
17
15
16
14
Indiabulls Ventures is the Fastest Wealth Creator
Indiabulls Ventures
has emerged the Fastest Wealth Creator, with 2013-18 stock price
multiplier of 30x (97% CAGR).
INR 100,000 invested equally in 2013 in top 10 Fastest Wealth Creators would have grown to
almost INR 1.7 million in 2018, delivering a return CAGR of 75%. Over the same period, INR
100,000 invested in the Sensex would have grown to only INR 175,000 (12% return CAGR).
Exhibit 2
Top 10 Fastest Wealth Creators (2013-18)
Rank Company
1
2
3
4
5
6
7
8
9
10
Indiabulls Ventures
Dalmia Bharat
TVS Motor
HEG
Sterlite Technologies
Bajaj Finance
Motilal Oswal
IIFL Holdings
NBCC
Eicher Motors
Price Appn.
(x)
30
19
19
19
17
15
13
12
12
11
CAGR (%)
Price
PAT
97
30
81
23
80
40
79
48
75
67
73
35
67
42
64
27
64
11
62
45
Mkt Cap (INR b)
2018
2013
127
2
257
12
293
15
127
7
125
9
1,023
57
146
11
224
18
171
15
772
69
P/E (x)
2018
2013
54
3
48
6
44
12
12
4
37
35
38
10
26
11
25
7
48
7
39
23
Titan Company is the Most Consistent Wealth Creator
Titan Company
has emerged the Most Consistent Wealth Creator by virtue of –
1. Appearing among top 100 Wealth Creators in each of the last 10 studies; and
2. Recording the highest Price CAGR of 33% over the 10-year period 2008 to 2018,
fractionally ahead of
Godrej Consumer.
All the top 10 Consistent Wealth Creators are consumer-facing companies (Exhibit 3).
1 November 2018
2

23rd Annual Wealth Creation Study (2013-2018)
Exhibit 3
Top 10 Most Consistent Wealth Creators (2008-18)
Rank
1
2
3
4
5
6
7
8
9
10
Company
Titan Company
Godrej Consumer
Shree Cement
Pidilite Inds.
Maruti Suzuki
Marico
Asian Paints
HDFC Bank
Kotak Mah. Bank
Dabur India
Appeared in 10-yr Price 10-yr PAT
WC Study (x) CAGR (%) CAGR (%)
10
33
22
10
33
25
10
31
17
10
30
19
10
27
14
10
26
17
10
25
17
10
22
28
10
21
20
10
20
15
P/E (x)
2018 2008
73
30
51
20
42
13
49
20
41
14
54
26
54
28
27
29
32
22
42
29
RoE (%)
2018 2008
22
35
24
93
15
42
27
28
15
20
31
51
24
42
17
14
12
17
24
53
Financials is the biggest Wealth Creating sector for the second consecutive year
Financials
has emerged as India’s biggest Wealth Creating sector over 2013-18 for the second
consecutive year.
In this study period, the Financials sector has the unusual distinction of being the biggest
Wealth Creator (thanks to private banks and NBFCs) and the biggest Wealth Destroyer
(thanks to state-owned banks).
PEG < 1x is also a solid formula for superior returns
For the purposes of this section, PEG (P/E to Growth ratio) is obtained by dividing trailing 12-
month P/E by future 5-year earnings CAGR.
We have used perfect foresight of 5 years’ earnings to calculate PEG. Thus, if a stock’s P/E in
2013 was 20x, and its 2013-18 PAT CAGR is 25%, its 2013 PEG works out to 0.8x (20 ÷ 25).
Clearly, lower the PEG, higher the likely return.
Our theme study this year (see pages 4 to 31) has almost conclusively established that stocks
with PEG less than 1x tend to significantly outperform the market.
As tabled below, the story was no different for the 2018 Wealth Creators. Nearly half the
Wealth Creators were trading at PEG of less than 1x in 2013, and delivered the highest return.
Exhibit 4
PEG < 1x is a solid formula for high returns
PEG Range
No. of
WC
% Share
CAGR (%)
in 2013 (x)
Cos.
(INR b)
of WC
Price
PAT
RoE (%)
2018
2013
19
10
<0.5
23
7,427
17
38
34
26
17,803
40
28
17
15
14
0.5-1
11
5,093
11
20
13
18
18
1-1.5
1.5-2
11
4,952
11
16
13
25
26
9
2,091
5
22
10
11
16
2-3
>3
14
5,365
12
20
6
18
23
3
682
2
24
L to P
13
-20
L to P
3
16
PAT decline
3
1,470
3
19
-17
Total
100
44,883
100
24
19
16
14
Note:
PEG here is calculated as P/E of March 2013 divided by 2013-18 PAT CAGR
For detailed findings of 2013-18 Wealth Creation Study, please see pages 32-47.
1 November 2018
3

23rd Annual Wealth Creation Study (2013-2018)
Theme 2018
1 November 2018
4

23rd Annual Wealth Creation Study (2013-2018)
Valuation Insights
What works, what doesn’t
“In the Bible, it says that love covers a multitude of sins. Well, in the investing field, price covers
a multitude of mistakes. For human beings, there is no substitute for love. For investing, there
is no substitute for paying the right price – absolutely none.“
— Arnold Van Den Berg, Outstanding Investor Digest, April 2004
1. Introduction
Towards understanding reasonable Price
The essence of equity investing is – buying (and staying invested in) only those stocks where there
is a significant
Value-Price gap.
As Warren Buffett has said, ‘Price is what we pay. Value is what
we get.” Thus, the equity investing process may be simply reduced to –
Assessing value of stocks
Comparing the value with the prevailing price and
Buying them only if there is adequate Margin of Safety i.e. the price should be meaningfully
lower than the assessed value to account for potential risks in investing.
At Motilal Oswal, we call our approach to equity investing
“QGLP” – Quality, Growth, Longevity,
reasonable Price.
QGL is the Value component which is then juxtaposed with P i.e. reasonable
Price. In our recent past Wealth Creation Studies
*
, we have probed into various aspects of QGL.
In this Study, we attempt to gain some insights into what constitutes reasonable Price.
Exhibit 1
Motilal Oswal’s QGLP investment philosophy – At a glance
QGLP – Quality, Growth, Longevity, reasonable Price
Quality of business x Quality of management
Stable business, preferably consumer facing
Huge business opportunity
Sustainable competitive advantage
Competent management team
Healthy financials & ratios
Growth in earnings
Volume growth
Price growth
Mix change
Operating leverage
Financial leverage
QGLP
Price
Reasonable valuation, relative to
quality and growth prospects
High margin of safety
Longevity of Quality & Growth
Long-term relevance of business
Extending competitive advantage
period
Sustenance of growth momentum
* For all our Wealth Creation Studies, visit www.motilaloswal.com
1 November 2018
5

23rd Annual Wealth Creation Study (2013-2018)
The key numerical triad of QGLP is –
1. RoE (Return on Equity)
– this reflects the Quality of Business and Quality of Management
2. PAT Growth
– the G of QGLP
3. P/E (Price-to-Earnings)
– this helps determine reasonable price.
Exhibit 2
The numerical triad of QGLP
RoE
Quality
Growth
PAT
growth
P/E
Price
Hitherto, we assessed these three variables somewhat independently. We now find that a
simplified version of the Discounted Free Cash Flow to Equity (DFCFE) model offers an intelligent
integration of the RoE-Growth-PE triad, leading to some interesting insights on valuation which
we discuss in this Study. Besides, we also present some insights based on few pricing heuristics –
P/E (both absolute and relative to market), PEG (P/E to Growth ratio) and Payback Ratio.
The final message is loud and clear, especially in the context of current richly valued Indian market
Overpaying doesn’t pay!
2. Evolution of valuation
From book value to cash flows and beyond
Equity valuation is a continuously evolving practice. In his book
Investing – The Last Liberal Art,
Robert Hagstrom traces out five phases of valuation –
Exhibit 3
How equity valuation has evolved
1930’s & 1940’s
1950’s
1960’s
1980’s
Emerging
Discount to hard book value, first proposed by Benjamin Graham and David Dodd
Dividend yield
Earnings and earnings growth
Return on Equity and Cash flow, strongly advocated by the likes of Warren Buffett
Cash return on invested capital
What the above means is that there is unlikely to ever be a final word about valuation. Even as
new tools and techniques evolve, practitioners will adapt and adopt what best works for them.
1 November 2018
6

23rd Annual Wealth Creation Study (2013-2018)
3. What is Value
Present value of lifetime cash flows
Investopedia defines
Intrinsic Value
as, “the
perceived
or calculated value of a company,
including tangible and intangible factors, using fundamental analysis. The intrinsic value may or
may not be the same as the current market value.”
The key word here is “perceived”. As is humorously said, “In the stock market, most people know
the price of everything but the value of nothing.” Price is universal to all, but value lies in the
minds of individual investors. In fact, the very reason stock trades happen is because at the same
price, some investors think the stock is below
their
perceived value (hence they buy), whereas
some others think it is beyond
their
perceived value (hence they sell). Those investors get
rewarded whose perception of value is closer to that which the market majority eventually
converges to.
The most irrefutable definition of Intrinsic Value for any asset is –
present value of its lifetime
cash flows.
This is most easily depicted in valuing fixed income instruments.
3.1 Intrinsic Value of fixed income instruments
Exhibit 4 depicts the cash flow and Intrinsic Value calculation for a bond with face value of INR
1,000 and 8% coupon. The annual interest inflows will be INR 80. In the 10
th
year, the principal of
INR 1,000 will also be repaid.
Now, these cash flows need to be discounted by the return that an investor desires. Thus, if an
investor desires 10% return, their present value of Year 1 interest inflow of INR 80 is INR 73
(80÷1.1), that of the Year 2 interest inflow is INR 66 (80÷1.21), and so on. This way, the total
present value of the interest and principal repayment inflows is INR 877, which is the bond’s
Intrinsic Value for this particular investor.
If another investor desires a return of 12%, their Intrinsic Value would work out to INR 774.
Exhibit 4
Intrinsic Value calculation for a bond with face value of INR 1,000 and 8% coupon if an investor desires 10% return
Year
Interest @ 8% of 1,000 (A)
Principal repayment
(B)
Total Cash flow
I=(A)+(B)
Discount factor @ 10%
(D)
1
80
-
80
1.10
(1.1)
73
2
80
-
80
1.21
(1.1
2
)
66
3
80
-
80
1.33
(1.1
3
)
60
4
80
-
80
1.46
(1.1
4
)
55
5
80
-
80
1.61
(1.1
5
)
50
6
80
-
80
1.77
(1.1
6
)
45
7
80
-
80
1.95
(1.1
7
)
41
8
80
-
80
2.14
(1.1
8
)
37
9
80
-
80
2.36
(1.1
9
)
34
10
80
1,000
1,080
2.59
(1.1
10
)
416
Present Value
I=I÷(D)
TOTAL PRESENT VALUE
877
1 November 2018
7

23rd Annual Wealth Creation Study (2013-2018)
3.2 The challenge of Intrinsic Value for equity stocks
The above approach of discounting cash flow is increasingly being adopted to value equity stocks.
However, there are key challenges –
No fixed coupon:
Unlike fixed income securities, equity stocks do not offer a fixed annual
coupon. Strictly speaking, the equity equivalent of a coupon is dividend. However, dividends
are dependent on the profits that companies earn and the dividend payout policy which they
choose to follow. Many times, even after earning healthy profits, companies may not declare
any dividends for a particular year(s) if they decide to conserve resources for expansion
and/or acquisitions.
No fixed tenure and terminal value:
Unlike fixed income securities, equity stocks have no
fixed tenure and hence terminal value.
The challenge of required return i.e. discount rate:
Intrinsic Value is very sensitive to the
required return or the discount rate. In the stock market, every investor will have their own
required return, and hence may arrive at their own Intrinsic Value. In equities, the key to
success is to accurately assess what value the broad market is likely to assign to a particular
company. Hence, choosing an appropriate discount rate is crucial in arriving at Intrinsic Value.
Even as the art and science of equity valuation continues to rapidly evolve, the current state-of-
art approach is what is called the DCF (Discounted Cash Flow) Model. We proceed to discuss
insights from one simplified version of the same.
4. Two key drivers of equity value
Return on Equity and Earnings growth
A detailed discussion on DCF is beyond the scope of this report. We would refer readers to
valuation classics like
Damodaran on Valuation
by Professor Aswath Damodaran and
Valuation:
Measuring and Managing the Value of Companies
by Tim Koller, Marc Goedhart and David
Wessels. The latter book presents an interesting perspective that the DCF Model – hence value –
is essentially driven by two factors: (1) RoIC (Return on Invested Capital) and (2) Sales growth.
We have adapted a simplified version of the same using RoE (Return on Equity) as proxy for RoIC
and PAT (Profit After Tax) growth as proxy for Sales growth. We present the model and its key
elements in Exhibit 6 on page 9. We discuss below our key valuation insights from the same.
Exhibit 5
Return on Equity and Earnings growth drive value
Return on Equity
Free Cash flow
PAT Growth
Cost of Equity
VALUE
1 November 2018
8

23rd Annual Wealth Creation Study (2013-2018)
1 November 2018
9

23rd Annual Wealth Creation Study (2013-2018)
4.1 Interplay of RoE and growth determines free cash flow
In business, growth is a choice. Companies can choose whether or not they wish to grow, and if
yes, at what rate. Having chosen a growth rate, the level of investment required to achieve the
same depends on their RoE. As shown in Exhibit 6, consider a company with PAT of INR 100 in
Year 1. It chooses to grow 20% next year i.e. earn additional PAT of INR 20 in Year 2. Now, if it
enjoys RoE of 25%, to earn the incremental INR 20 in Year 2, it will need to invest INR 80 (20÷25%)
in Year 1 itself. This leaves Year 1 free cash flow of INR 20 (100-80).
If, however, the company enjoyed RoE of 20%, to earn additional PAT of INR 20, it would need to
invest INR 100 (20÷20%) in Year 1. This would leave free cash flow of zero (100-100). Likewise, if
RoE was 15%, the additional PAT of INR 20 would entail investment of INR 133 (20÷15%), implying
Year 1 free cash flow of INR -33 (100-133), which means the company would have to infuse fresh
equity of INR 33 to grow by 20%. Thus, if a company’s RoE is well above its growth rate, it does
not need additional fund raising.
4.1.1 Balance Sheet RoE versus Business RoE
A key issue in valuing a company is which RoE figure to consider – the balance sheet RoE or the core
business RoE. Over time, many Indian companies have resorted to holding cash on their balance
sheets in excess of their immediate business requirements. Such excess cash barely earns 5% post-tax
yield. This causes reported RoE to be muted.
In some cases, the market is efficient enough to compute the core RoE and value companies
accordingly. However, in some others, the market fears capital misallocation and hence keeps
valuations low. We are convinced companies can improve their valuations by bridging the gap
between balance sheet RoE and business RoE through a combination of higher dividend payout and
share buyback. From Exhibit 7 below, the top candidates for potential re-rating are: Hindustan Zinc,
Bajaj Auto, Hero Motocorp and Infosys.
Exhibit 7
Leading companies with significant gap between Balance Sheet RoE and Business RoE
Company
Hindustan Unilever
Hindustan Zinc
Bajaj Auto
Eicher Motors
Hero Motocorp
Maruti Suzuki
TCS
Infosys
ITC
Bosch
Net Worth
(INR bn)
73
359
204
70
120
426
852
649
525
100
Cash Equivalents
(INR bn)
% of NW
53
73
222
62
171
84
50
72
67
56
342
80
431
51
262
40
209
40
64
64
Return on Equity (%) Current
Bal. Sheet Business P/E (x)
75
221
64
27
123
14
22
92
16
32
87
28
32
64
15
16
58
31
30
58
24
23
37
17
22
34
32
15
32
40
OUR METHODOLOGY
We calculated the cash equivalents for all the companies.
In cases where cash equivalents exceeds debt, we deducted 4.5% post-tax yield on the cash from
the companies’ reported PAT to arrive at their core Business PAT.
We deducted the cash equivalents from the Net Worth to arrive at the core Business Net Worth.
We calculated core Business RoE as Business PAT divided by Business Net Worth.
1 November 2018
Exhibit 7 features the top 10 Business RoE companies with excess cash of at least INR 50 billion.
10

23rd Annual Wealth Creation Study (2013-2018)
4.2 All growth is not necessarily good
The stock markets are gripped by Earnings growth. In the short- and medium term, all companies
with high earnings growth tend to get rewarded by investors by way of rising stock prices and
market value. However, our model suggests that all growth is not good –
If a company’s RoE remains below Cost of Equity for long, then high growth actually detracts
firm value, as the company has to raise significant levels of capital from its equity holders to
fund its growth (the 10% RoE column in Exhibit 8 and 9).
If a company’s RoE is exactly equal to its Cost of Equity, then no amount of growth adds any
value whatsoever (the 13% RoE column in Exhibit 8 and 9). The P/E in such case works out to
1÷Cost of Equity, here, 1÷13% = 7.7x.
Growth adds positive value only when RoE is higher than Cost of Equity.
Note that at 0% growth, value of a company is the same irrespective of RoE. The P/E in such
case again works out to 1÷Cost of Equity, here, 1÷13% = 7.7x.
Exhibit 8
Firm value for various combinations of RoE and Growth
Growth
(see note)
670
0%
10%
15%
20%
25%
30%
40%
10%
770
280
10
-310
-740
-1,290
-2,900
13%
770
770
770
770
770
770
770
15%
770
990
1,110
1,250
1,440
1,680
2,400
20%
770
1,340
1,650
2,030
2,530
3,170
5,060
RoE
25%
770
1,550
1,980
2,500
3,180
4,060
6,650
30%
770
1,700
2,200
2,820
3,620
4,660
7,710
40%
770
1,870
2,480
3,210
4,160
5,400
9,040
50%
770
1,980
2,640
3,440
4,490
5,850
9,830
100%
770
2,190
2,970
3,910
5,140
6,740
11,420
Note:
Growth rate is for first 5 years; other variables are based on Exhibit 6 on page 9
Exhibit 9
1-year forward P/E multiples for various combinations of RoE and Growth
Growth
(see note)
670
0%
10%
15%
20%
25%
30%
40%
10%
8
3
0
-3
-7
-13
-29
13%
8
8
8
8
8
8
8
15%
8
10
11
13
14
17
24
20%
8
13
17
20
25
32
51
RoE
25%
8
16
20
25
32
41
67
30%
8
17
22
28
36
47
77
40%
8
19
25
32
42
54
90
50%
8
20
26
34
45
59
98
100%
8
22
30
39
51
67
114
Note:
Growth rate is for first 5 years; other variables are based on Exhibit 6 on page 9
4.3 Beyond a point, growth adds more value than RoE
Iterations in our DFCFE Model suggest that beyond a certain high level of RoE, further increase in
RoE adds commensurately less value. Thus, as Exhibit 10 shows, beyond 40-50%, rise in RoE
results in much lower rise in P/E. So, once RoEs are comfortably higher than Cost of Equity,
investors (and even company managers) should seek Earnings growth to drive value, rather than
expanding RoE. At the other end of the spectrum, low RoE companies add much higher value by
raising RoE than growth (Exhibit 11).
1 November 2018
11

23rd Annual Wealth Creation Study (2013-2018)
Exhibit 10
For a given level of growth, PE flattens out beyond a high level of RoE, say, 40-50%
50
40
30
20
1-year forward P/E for different RoEs for 20% growth rate
10
0
13%
20%
25%
30%
40%
50%
60%
RoE
70%
80%
90%
100% 150% 200%
Exhibit 11
If RoE is high, delta growth adds higher value; if RoE is low, delta RoE adds higher value
% change in value
1% higher RoE
1% higher growth
Company A
30% RoE | 20% Growth
Company B
16% RoE | 20% Growth
2%
5%
12%
3%
4.4 Earnings growth and valuation are exponentially correlated
For any given level of RoE above Cost of Equity, P/E rises exponentially relative to Earnings
growth. Thus, as Exhibit 12 shows, at 25% RoE, a 5-year hyper earnings growth of 40% merits a
one-year forward P/E of 67x whereas, growth of 50%, merits a much higher P/E of 108x.
Exhibit 12
For a given RoE above Cost of Equity, P/E is exponentially correlated to earnings growth
120
1-year forward P/E for different growth rates for 25% RoE
100
80
60
40
20
0
0%
10%
15%
20%
25%
Earnings growth
30%
40%
50%
Having determined that RoE and Earnings growth are the key drivers of value, it is relevant to
know what drives each of them. We discuss this in an Annexure 1 on page 24.
1 November 2018
12

23rd Annual Wealth Creation Study (2013-2018)
5. RoE, Earnings growth & Stock returns
The Indian experience
We processed 20-year data of RoE, Earnings growth and Stock returns of today’s top 1,500 listed
companies. We list some of the findings here.
5.1 High RoE is rare
On average, 52% of India Inc has RoE lower than 13%. Only 19% of companies manage RoE of
over 25%.
Exhibit 13
High RoE is rare in India Inc
RoE distribution
< 13%
13-25%
>=25%
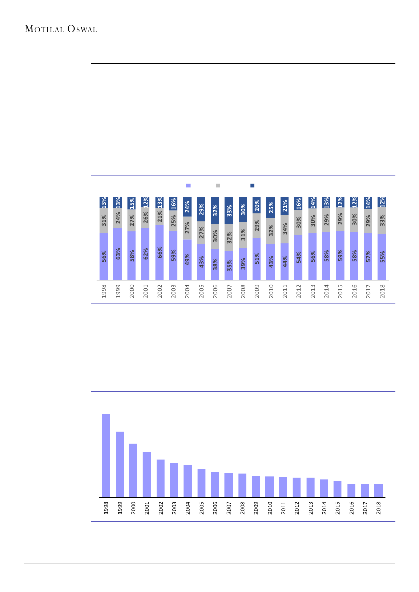
5.2 Sustaining RoE above Cost of Equity is a challenge
To consider only meaningful companies, we started with 188 companies with PAT above INR 200
mn in 1998. Of these, a fairly high 136 companies had RoE greater than 13%. However, that figure
dropped quite steeply in the initial 7-8 years and more gradually later, all the way down to a mere
22 by 2018.
Exhibit 14
Only 22 companies managed to sustain RoE above 13% every year over the last 20 years
136
107
88
Companies which sustained RoE > 13% every year
74
62
56
53
46
41
40
39
36
35
34
33
33
30
27
23
23
22
1 November 2018
13

23rd Annual Wealth Creation Study (2013-2018)
5.3 Like high RoE, high Earnings growth is also not easy to come by
On average, over 60% of companies in India are likely to clock 5-year PAT CAGR of less than 15%.
The balance 40% are almost equally divided between 15-25% PAT CAGR and 25%+.
Exhibit 15
High Earnings growth is also not easy to come by in India
PAT Growth distribution
<0
0-15%
15-25%
>= 25%
5-year PAT CAGR beginning
5.4 Hyper Earnings growth is rarely sustained beyond 5-6 years
Sustaining hyper Earnings growth beyond 5-6 years is a low probability event. As seen in Exhibit
16, in 1998, 188 companies had PAT above INR 200 mn. Of these, 28 clocked PAT CAGR of 25%+
in the first 5-year period i.e. 1998 to 2003. Of these 28, only 8 sustained 25%+ growth in the
second 5-year period (2003-08), and just 1 in the third (2008-13).
Likewise, in 2003, of the 283 companies with PAT above INR 200 mn, as many as 103 clocked PAT
CAGR of 25%+ in the first 5-year period i.e. 2003 to 2008. Once again, this figure collapsed to 13
in the second 5-year period (2008-13) and to zero in the third (2013-18).
The above phenomenon can be seen even in 3-year growth periods, when the numbers in the
third round are just single digits.
Exhibit 16
High Earnings growth is rarely sustained beyond 5-6 years
Year
1998
1999
2000
2001
2002
2003
Companies
with PAT
>= INR 200 mn
188
197
221
241
236
283
Cos. With PAT CAGR >= 25%
in 5-year period
st
1
2
nd
3
rd
28
8
1
50
14
2
52
12
2
69
22
1
91
16
0
103
13
0
1
st
35
39
50
83
92
111
Cos. With PAT CAGR >= 25%
in 3-year period
2
nd
3
rd
18
8
17
8
17
10
28
8
34
11
40
8
4
th
2
3
2
2
1
2
5.5 Implications for stock investing
Stock markets tend to extrapolate recent earnings performance into the future. If a company is
currently in the hyper growth mode, the market is likely to end up extrapolating this too far into
the future, bidding up valuations. The above data that hyper growth rarely lasts beyond 5-6 years
1 November 2018
14

23rd Annual Wealth Creation Study (2013-2018)
will prevent smart investors from buying into such stocks based on unrealistic growth
expectations. Further, investors already holding stocks of companies in the hyper growth mode
must seriously consider exiting if valuations hit exuberant levels. (As Section 6 suggests, 2x
Market P/E or 3x PEG whichever is higher may be deemed to be exuberant levels.)
5.6 What works – prefer High-RoE-High-Growth stocks
It is possible to classify all stocks on the basis of 10-year average RoE into High (above 15%) and
Low (below 15%). Likewise, stocks can also be classified based on 10-year Earnings CAGR into
High (above 15%) and Low (below 15%).
Exhibit 17 captures the performance of the four resultant investment strategies for rolling 10-
year periods between 1998 and 2018. Exhibit 18 maps the final average performance on to our
Quality-Growth Matrix.
Exhibit 17
Performance of four investment strategies based on RoE and Earnings growth
Sensex Return
Strategy Returns –
High RoE, High Growth
Low RoE, High Growth
High RoE, Low Growth
Low RoE, Low Growth
No. of cos. With PAT of
at least INR 200 mn
98-08
15%
27%
33%
11%
10%
135
99-09
10%
22%
16%
7%
2%
139
00-10
13%
28%
22%
12%
8%
186
01-11
18%
33%
30%
19%
12%
195
02-12
18%
32%
28%
18%
9%
191
03-13
20%
33%
29%
19%
11%
239
04-14
15%
25%
19%
14%
7%
297
05-15
16%
28%
16%
15%
4%
355
06-16
8%
22%
14%
9%
0%
427
07-17
9%
26%
15%
14%
4%
502
08-18 Average
8%
14%
29%
14%
17%
3%
558
27%
21%
14%
6%
Note:
For all the periods, we have considered only companies with PAT of at least INR 200 mn
Key observations –
The High-RoE-High-Growth strategy has handsomely outperformed the benchmark in all
eleven 10-year periods.
The High-RoE-High-Growth strategy has also outperformed all the other four strategies,
except in 1998 to 2008 when a handful of 10 Low-RoE-High-Growth stocks outperformed.
This clearly is an aberration.
We believe the bedrock of high RoE (i.e. High Quality) lends stability to the portfolio.
The above findings reiterate our belief in our Quality-Growth matrix payoff (Exhibit 18).
We continue to prefer High-Quality-High-Growth stocks, but with a very strong emphasis on
reasonable price. Section 8 covers what constitutes a reasonable price.
1 November 2018
15

23rd Annual Wealth Creation Study (2013-2018)
Exhibit 18
Quality-Growth Matrix
Performance Expectation
Actual Average Returns
(see note below)
GROWTH TRAPS
High
Transitory
Multi-baggers
TRUE WEALTH CREATORS
Enduring
Multi-baggers
High
21%
27%
GROWTH
GROWTH
WEALTH DESTROYERS
Low
Permanent capital loss
QUALITY TRAPS
Underperformers
Low
6%
14%
Low
QUALITY
High
Low
QUALITY
High
Note:
Actual Average Returns is the “Average” column of Exhibit 17, plotted on the Quality-Growth Matrix.
The comparable Sensex performance is 14%.
6. Reasonable Price
What works, what doesn’t
Having gleaned some insights on valuation, we proceed to explore some potential pricing
strategies. What’s the difference between valuation and pricing of any asset, in our case stocks?
As stated earlier, valuation essentially is a fundamental assessment of a stock’s intrinsic value,
based on the expected cash flows arising from the same. In contrast, pricing is more empirical
and heuristic. The basis of such pricing is usually based on applying appropriate multiples – P/E,
Price/Book, Price/Sales, EV/EBITDA, etc. Pricing is also likely to be relative rather than absolute
i.e. depending on what comparable stocks or benchmark is priced.
We studied the alpha track record over 20 years (1998 to 2018) of four pricing techniques –
P/E,
P/E relative to market, PEG
and
Payback Ratio.
Based on the same, we arrive at some idea of
what potentially works and what doesn’t.
Our methodology for P/E, P/E relative to market and PEG –
3-year alpha implies outperformance over the Sensex for the next 3 years. Thus, for 1998, alpha would
be outperformance over 1998 to 2001, for 1999, outperformance over 1999 to 2002, and so on till
outperformance over 2015 to 2018 for alpha in 2015.
For each year from 1998 to 2015, we started off with stocks which had market capitalization of at least
INR 10 bn.
For each year, we observed the alpha under each category (e.g. P/E 0-10x, 10-20x, and so on).
Finally, we averaged the performance of the 18 observation years, 1998 to 2015.
The observations for each year are presented in Annexure 2, pages 29 & 30.
1 November 2018
16

23rd Annual Wealth Creation Study (2013-2018)
6.1 P/E
Without doubt, this is the most popular pricing tool. And the most common mantra among
investors is “Buy low P/E stocks”. As Exhibit 19 shows, this is just barely right.
Exhibit 19
P/E: What works, what doesn’t
P/E (x)
0 – 10
10 – 20
20 – 30
30 – 40
40 – 50
50 – 75
> 75
TOTAL
Average
3-year alpha
5%
1%
-2%
-1%
-1%
-8%
-18%
Instances from 1998 to 2015
Nos.
% of total
945
24%
1,385
34%
812
20%
355
9%
167
4%
150
4%
201
5%
4,015
6.1.1 What works
Buying single-digit P/E stocks offers a small chance of a statistically not-too-significant alpha.
However, even this is not consistent e.g. in 8 of the last 18 years (1998 to 2015), even single-
digit P/E stocks returned average negative alpha (see Annexure 2, page 29).
6.1.2 What doesn’t work
Clearly, buying richly valued stocks doesn’t work, especially P/E of 50x and above.
More often than not, high P/Es suggest that much of the optimistic information about the
stock is already in the price. As Thomas W. Phelps says in his classic
100 to 1 In The Stock
Market,
“A lemon that has been flattened by a steam roller has more juice in it than a piece
of information the stock market has already discounted.”
6.2 P/E relative to market
When markets as a whole are buoyant and individual stocks appear expensive in absolute terms,
pegging their valuation to market levels seems justified. It may even be argued that stocks whose
fundamentals are superior to that of the benchmark, even merit a premium to market valuation
multiples. As Exhibit 20 shows, the odds are stacked against this strategy.
Exhibit 20
P/E relative to market: What works, what doesn’t
P/E relative
to market (x)
<= 1
1 – 1.5
1.5 – 2
2–3
>3
TOTAL
Average
3-year alpha
4%
0%
0%
-5%
-11%
Instances from 1998 to 2015
Nos.
% of total
1,984
49%
946
24%
442
11%
330
8%
313
8%
4,015
1 November 2018
17

23rd Annual Wealth Creation Study (2013-2018)
6.2.1 What works
Buying stocks below market P/E offers some chance of a statistically not-too-significant
alpha. However, as was the case with low P/E, even this is not consistent – in 7 of the last 18
years, stocks bought below market P/E returned negative alpha (see Annexure 2, page 29).
6.2.2 What doesn’t work
Clearly, buying 2x and above market P/E levels is a sure recipe for underperformance.
6.3 PEG
PEG is short for P/E to Growth ratio. We calculate it as TTM (trailing twelve-month) P/E divided
by forward earnings growth. It may be calculated for any number of forward year’s earnings.
For the purposes of this section, we have used perfect foresight of 3-years’ forward earnings to
calculate 3-year PEG i.e. TTM P/E divided by next 3-year PAT CAGR. Thus, if March 2015 P/E is
30x and 2015-18 PAT CAGR works out to 25%, then March 2015 PEG is 1.2x (30÷25).
Exhibit 21 presents the 3-year alpha track record of PEG-based stock buying.
Exhibit 21
PEG: What works, what doesn’t
3-year
PEG (x)
0–1
0 – 0.5
0.5 – 1
1 – 1.5
1.5 – 2
2–3
3+
<0
TOTAL
Average
3-year alpha
19%
26%
11%
3%
-3%
-4%
-10%
-19%
Instances from 1998 to 2015
Nos.
% of total
1,310
33%
633
16%
677
17%
393
10%
227
6%
266
7%
463
11%
1,356
34%
4,015
Note:
PEG < 0 implies PAT degrowth in the next 3 years
6.3.1 What works
Buying stocks at PEG less than 1x is supremely profitable (less than 0.5x even more so).
Also interesting is the number of instances of PEG less than 1x. As the “% of total” column in
Exhibit 21 suggests, on average, 1 of every 3 stocks is likely to trade at PEG of less than 1x.
Finally, what is most remarkable is the efficacy of PEG ratio when it comes to the number of
years of growth insight that investors may have. Thus, PEG of less than 1x works for growth
forecasts of 1, 2, 3, 4 or 5 years! As Exhibit 22 suggests, PEG of 1x delivered handsome alpha
in 14 out of 15 observations. The only time it failed was during the vertical 38% market
collapse in 2009 over 2008 following the global financial crisis.
1 November 2018
18

23rd Annual Wealth Creation Study (2013-2018)
Exhibit 22
PEG works, whatever be the forecast horizon over 1 to 5 years
1-year
2000-05
Sensex return
PEG < 1x return
Alpha
2008-13
Sensex return
PEG < 1x return
Alpha
2013-18
Sensex return
PEG < 1x return
Alpha
-28%
-14%
13%
2-year
-17%
22%
38%
3-year
-15%
12%
27%
4-year
3%
37%
34%
5-year
5%
31%
25%
-38%
-42%
-4%
6%
27%
21%
8%
26%
19%
3%
18%
15%
4%
15%
11%
19%
36%
17%
22%
61%
39%
10%
38%
28%
12%
45%
33%
12%
39%
27%
6.3.2 What doesn’t work
Buying stocks at PEG > 1.5x is avoidable.
The high level of underperformance at PEG of 3x+ should be a warning signal especially in the
current market where stocks which are high on quality (read, high RoE) but low on growth
are trading at fancy P/E multiples.
6.4 Payback Ratio
Payback Ratio is a proprietary ratio of Motilal Oswal, and is calculated as –
Payback Ratio =
Current Market Cap
Sum of next 5 years’ PAT
Clearly, lower the ratio, higher the stock returns.
For the purposes of this section, we have used next five years of PAT with perfect foresight e.g.
in 1998, we calculate Payback Ratio by dividing 1998 Market Cap by the sum of actual PAT of
1999, 2000, 2001, 2002 and 2003.
Exhibit 23 presents the 5-year alpha track record of Payback Ratio based stock buying.
Exhibit 23
Payback Ratio: What works, what doesn’t
Payback Ratio
(x)
0–1
1 – 1.5
1.5 – 2
2–3
3+
<0
TOTAL
Average
5-year alpha
17%
5%
4%
0%
-12%
-26%
Instances from 1998 to 2013
Nos.
% of total
454
13%
421
12%
353
10%
616
18%
1,153
34%
375
11%
3,372
Note:
Payback < 0 implies the cumulative PAT of next five years is negative
For detailed annual workings, see Annexure 2, page 30
1 November 2018
19

23rd Annual Wealth Creation Study (2013-2018)
6.4.1 What works
Buying stocks with Payback Ratio less than 1x is highly rewarding.
There is some chance of outperformance even up to Payback Ratio of 2x.
6.4.2 What doesn’t work
Payback Ratio of over 3x is a clear sign of overvaluation.
Loss-making companies are best avoided (Payback Ratio < 0 implies the cumulative PAT of
next five years is negative.)
7. Brief note on current state of valuations in the market
Implied RoE of 17% and 5-year Earnings CAGR of 16%
In FY19 year-to-date, the Sensex rallied sharply by 18% from 33,000 levels in March 2018 to hit
nearly 39,000 by end-August 2018. Since then, it has given up most of its gains, down 14% in the
last two months (Exhibit 24).
Exhibit 24
Sensex – last one year
40,000
BSE Sensex
38,000
36,000
34,000
32,000
30,000
38,897
33,349
32,969
The Sensex is currently at a P/E of 21x TTM, about 24% higher than its long-period average of 17x
(Exhibit 25). What is more worrisome is that the All-Shares P/E is hovering around its all-time high
level of 30-31x, a whopping 88% premium to the long-period average of 16x (Exhibit 26).
One reason for the high All-Shares P/E is the massive losses in state-owned banks. Even excluding
them, the All-Shares P/E works out to 24x, 42% higher than the long-period average of 17x
(Exhibit 27).
1 November 2018
20

23rd Annual Wealth Creation Study (2013-2018)
Exhibit 25
Sensex PE at 21x is 24% higher than long-period average of 17x
25
Sensex PE
20
21
1998-2018 Average:
17x
15
10
5
Exhibit 26
All-Shares PE at 30x is 88% higher than long-period average of 16x
35
30
25
20
All-shares PE
30
15
10
1998-2018 Average:
16x
5
0
Exhibit 27
All-Shares PE ex state-owned banks at 24x is 42% higher than long-period average of 17x
30
All-shares PE ex state-owned banks
24
25
20
15
10
5
0
1998-2018 Average:
17x
1 November 2018
21

23rd Annual Wealth Creation Study (2013-2018)
Finally, consider the distribution trend of P/Es (Exhibit 28). In March 2018, a high 27% of the
companies were trading at P/E above 40x versus the long-period average of only 14%. Likewise,
40% of the companies were trading at P/E of 20-40x versus the long-period average of only 29%.
In fact, number of companies with P/E of 0-20x was at all-time low of 32%. The above excesses
have significantly corrected in the ongoing fall in market levels.
Exhibit 28
Recent market fall has led to significant correction of valuation excesses as of March 2018
PE distribution of companies with market cap over INR 10 bn
PE < 20x
88%
80%
74%
59%
65%
54%
PE 20-40x
PE > 40x
Long-period averages:
PE < 20x
58%
29%
14%
PE 20-40x
73%
64%
48%
52%
58%
59%
66%
66%
63%
PE > 40x
58%
53%
38% 45%
39% 40%
36%
35%
36%
34%
32%
31%
29% 31%
31%
30%
28%
27%
29%
27%
27%
26%
27%
27%
24%
23% 25%
23%
22%
20%
19%
18%
16%
15%
14%
12%
11% 14%
14%
10% 9%
11%
8%
6%
5% 3%
4% 6%
0%
44%
7.1 Calculating built-in expectations in the current Sensex valuations
We used our DFCFE Model to calculate the built-in expectations in the current Sensex valuations
(for the purpose, we raised the Continuing growth rate from 8% to 10%). Iterations suggest –
Implied Sensex RoE of 17% (v/s 14% currently) and
5-year earnings CAGR of 16% (v/s 3% in the last five years 2013 to 2018, Exhibit 29).
As robust corporate profit growth remains elusive, expect markets to remain soft.
Exhibit 29
Sensex EPS is virtually flat for the past 5 years, 2013 to 2018
1,400
1,200
1,000
800
600
Sensex EPS (INR)
400
200
0
1 November 2018
22

23rd Annual Wealth Creation Study (2013-2018)
8.
Conclusions
Buy QGLP – Quality, Growth, Longevity at reasonable Price
The two key drivers of value are RoE and Earnings growth.
Companies create Intrinsic Value only when they earn RoE higher than Cost of Equity.
If RoE is exactly equal to Cost of Equity, any level of growth creates no value.
Low RoE companies must focus on increasing RoE, high RoE companies on increasing growth.
Both high RoE and high Earnings growth are difficult to sustain, especially Earnings growth.
Hence, stocks whose rich valuations factor in such high growth rates to sustain will most likely
disappoint.
PEG less than 1x is a near-infallible formula for healthy outperformance.
Any growth insight is valuable, even if it means only for the next one year.
Valuations above 50x P/E have a very low probability of generating market outperformance.
Buy
QGLP
– stocks with high-Quality business run by high-Quality management, with healthy
earnings
Growth
to be sustained over a
Long
period (at least 5-6 years), at reasonable
Price,
preferably PEG less than 1x.
And finally, investors must seriously consider selling stocks in their portfolio trading at 3x PEG
or 2x relative to market, whichever is higher.
Exhibit 30
Summary
Pricing heuristic
PEG
Payback
P/E
P/E relative to market
WHAT WORKS …
Metric
Alpha
< 1x
19%
< 1x
17%
< 10x
5%
< 1x
4%
WHAT DOESN'T …
Metric
Alpha
> 3x
-10%
> 3x
-12%
> 50x
-14%
> 2x
-8%
1 November 2018
23

23rd Annual Wealth Creation Study (2013-2018)
ANNEXURE 1: RoE & Earnings growth drivers
Having determined that RoE and Earnings growth are the key drivers of value, it is relevant to
know what drives each of them. We briefly discuss this here.
A. What drives RoE
Industry structure & Company strategy
Two major factors drive RoE of any company, one external to it and the other internal –
1. External: Attractiveness of industry structure, and
2. Internal: Effectiveness of a company’s own strategy.
A.1 Attractiveness of industry structure
RoE varies across sectors depending on the competitive dynamics governing them. The Five
Forces framework of Michael Porter is ideal to assess the attractiveness of industry structure
(Exhibit A). The higher each force is, the lower is the industry attractiveness, and vice versa e.g.
higher the rivalry among existing competitors, lower is the industry attractiveness, and vice versa.
In Exhibit B, we present our Industry Structure Score for major industries in India. Companies in
sectors with score of 3.5 or higher are likely to enjoy higher RoE than those in low-scoring sectors.
Exhibit A
Porter’s Five Forces framework
NOTE:
In their book
Playing to
Win,
authors A G Lafley and
Roger Martin highlight that –
(1) The interplay of forces along
the vertical axis decides how
much value will get created
in the industry; and
(2) The interplay of forces along
the horizontal axis decides
how the industry value will
get distributed among the
players, the customers and
the suppliers.
1 November 2018
24

23rd Annual Wealth Creation Study (2013-2018)
Exhibit B
Industry Structure Score for major industries in India based on Porter’s Five Forces
SCORING
METHODOLOGY:
Each of the Five
Forces is rated 0 or
1 with a middle
score of 0.5.
As an illustration,
for an industry, if
Bargaining Power of
Customers is high,
that industry gets 0
for that Force.
Conversely, if
Bargaining Power of
Customers is low,
the industry gets 1.
If Bargaining Power
is balanced, the
industry gets 0.5.
Every Force is rated
this way, and the
sum total of all Five
Forces is the
Industry Structure
Score.
Inter-firm Bargaining Power of
Sector
Rivalry Customers Suppliers
Agri & related
0
1
1
Alcoholic Beverages
0.5
0.5
1
Auto Ancillaries
0.5
0
0
Automobiles – 2-wheelers
0.5
1
1
Automobiles – Cars/UVs
0
0.5
1
Automobiles – LCVs/HCVs
0
0.5
1
Automobiles – Tractors
0
0.5
1
Aviation
0
1
0
Banks – Private Sector
0
0.5
1
Banks – Public Sector
0
0.5
1
Cables
0
0
0
Capital Goods
0
0
1
Cement
0
1
1
Ceramic Products
0
0.5
0.5
Chemicals
0
0
1
Cigarettes
1
1
1
Construction
0
0
0.5
Consumer – FMCG
0.5
1
1
Consumer Durables
0
0.5
1
Engineering
0
0
1
Fertilizers
0
1
0
Gas Distribution
1
1
0
Gems & Jewelry
0
0.5
0.5
Hospitals/Diagnostics
0.5
0.5
0.5
Hotels & Restaurants
0
0
1
IT – Software
1
0
1
Logistics
0
0
0.5
Media – Print/TV
0
0
1
Mining & Mineral products
0.5
0.5
0.5
NBFC
0
0.5
0.5
NBFC – Housing
0
1
0.5
NBFC – Insurance
0
0.5
1
Non Ferrous Metals
0.5
1
0.5
Oil & Gas – Downstream
1
1
0.5
Oil & Gas – Upstream
0.5
1
0
Packaging
0
0
0
Paints
1
1
1
Paper
0
0
0.5
Pharmaceuticals
0.5
1
1
Plastic Products
0
0.5
0
Ports & related
0.5
0.5
1
Power
0
1
0.5
Realty
0
0
1
Retail
0.5
0
0.5
Shipping
0
0
0.5
Steel
0
0.5
1
Sugar
0
0
0
Telecom
0
0.5
0.5
Textiles
0
0
0
Travel
0
0
0.5
Tyres
0.5
0
0
Threat of
Entrants Substitutes
0
0.5
1
1
1
1
0.5
1
0.5
1
0
1
1
1
0.5
1
0.5
1
0.5
1
0.5
0.5
0
1
0
1
0.5
1
0
1
1
1
0
1
1
1
0
1
0
1
1
1
1
0.5
0
1
0
1
0.5
1
1
0
0
1
0.5
0.5
0.5
1
0
1
0
1
0.5
1
0
0.5
1
0.5
0.5
1
0.5
0.5
1
1
1
1
0
0.5
0.5
1
1
1
0
0
0
1
0.5
0.5
0.5
0.5
0
0.5
0
1
1
1
0
1
0.5
1
0.5
1
TOTAL
SCORE
2.5
4.0
2.5
4.0
3.0
2.5
3.5
2.5
3.0
3.0
1.0
2.0
3.0
2.5
2.0
5.0
1.5
4.5
2.5
2.0
3.0
3.5
2.0
2.5
2.5
3.0
1.5
2.0
3.0
2.0
2.5
3.0
2.5
4.0
3.0
1.0
5.0
2.5
3.0
2.0
4.0
1.5
2.0
2.0
1.5
2.0
1.0
3.0
1.0
2.0
2.0
25
1 November 2018

23rd Annual Wealth Creation Study (2013-2018)
A.2 Effectiveness of a company’s own strategy
Even within the same industry, RoEs vary widely among companies. This suggests that individual
company strategy also plays a key role in determining RoE. Strategy is all about creating,
maintaining, and ideally, improving competitive advantage over rivals. Companies with a sound
strategy are likely to enjoy and sustain high RoE and vice versa. According to Michael Porter, there
are 3 broad strategies – (1) Differentiation, (2) Low cost, and (3) Focus.
A.2.1 Differentiation
A differentiated strategy is all about offering customers a unique value proposition which is not
easy to replicate by competition. This leads to customer loyalty, ensuring healthy sales, profits
and RoE.
Example:
Most consumer-facing companies follow a strategy of differentiation. Be it
products like toothpaste, cola and biscuits, or even services like restaurants, banks
and airlines, companies aspire to offer a unique product/service/experience to
customers to retain their loyalty.
A.2.2 Low cost
In sectors where customers are unable to differentiate between products/services offered by the
various players, having the lowest cost compared to peers is the only way to sustain competitive
advantage and RoE.
Example:
Commodity products like steel, cement and paper are undifferentiated in the eyes
of the customer. Hence, companies in these sectors will need to aspire to be among
the lowest cost producers in order to maintain or gain market share.
A.2.3 Focus
This is a special case of companies focused on just one segment of product, customers or
geography i.e. a niche.
Example:
Companies like Symphony, which is focused only on air-coolers or Jammu &
Kashmir Bank, which is focused only in the state of Jammu & Kashmir.
A.2.4 Stuck-in-the-middle
Porter uses “Stuck-in-the-middle” to describe companies which do not seem to have adopted any
of the above strategies.
Example:
Many state-owned Indian companies fall into this category – neither differentiated
nor low-cost nor focused.
A.3 What hurts RoE
A company’s prevailing RoE trend could be adversely affected by disruptive competition,
prolonged business downcycle, regulatory shocks (all three external factors), and capital
misallocation by the management (e.g. unrelated business diversification, mega acquisition, etc).
1 November 2018
26

23rd Annual Wealth Creation Study (2013-2018)
B. What drives Earnings growth
Industry growth & Company Growth mindset
Two major factors drive Earnings growth for any company, one external to it and the other
internal –
1. External: Industry growth, and
2. Internal: Company Growth Mindset.
B.1 Industry growth
The major factors driving industry growth are:
1. Global and domestic economic growth
2. Value Migration
3. Low product penetration and
4. Emergence of a new industry or industry segment.
B.1.1 Global and domestic economic growth
This forms the base rate of growth for most industries. Domestically, rising per capita incomes
lead to exponentially higher spend on discretionary goods and services (Exhibit C). Further, a
healthy rate of savings and investment leads to higher derived demand for capital goods,
construction, engineering, etc.
Exhibit C
Linear growth in per capita income leads to exponential growth for discretionaries
Basic spend
Discretionary spend
100
900
10x
1,000
1,000
GDP p.c. $1,000
GDP p.c. $2,000
B.1.2 Value Migration
In his book
Value Migration,
author Adrian J Slywotzky says, “Value migrates from outmoded
business designs to new ones that are better able to satisfy customers’ most important
priorities.” Value Migration results in a gradual yet major shift in how the current and future
profit pool in an industry is shared. Value Migration is one of the most potent drivers of growth,
as it creates a sizable and sustained business opportunity for its beneficiaries.
1 November 2018
27

23rd Annual Wealth Creation Study (2013-2018)
Exhibit D
Examples of Value Migration
Sector
IT Services
Pharmaceuticals
Banking
Telecom
e-tailing
Gems & Jewelry
Aviation
Value migration from
Developed world
Developed world
State-owned banks
Fixed line networks
Brick-and-mortar retailing
Unorganized jewelry market
Full service airlines and railways
Value migration to
Low labor-cost countries
Low-cost chemistry countries
Private banks
Wireless networks
Online retailing
Organized jewelry retailing
Low cost airlines
B.1.3 Low product penetration
Industries whose products have a low penetration enjoy high level of growth for a prolonged
period. For instance, penetration of products like cars and air-conditioners in India is very low
compared to peer countries like China. Companies in such industries will enjoy healthy growth
for long period.
B.1.4 Emergence of new industry or industry segment
Completely new industries or industry segments will have a long runway of growth till they reach
the maturity phase. Examples are electric cars globally, and compact air-coolers in India.
B.2 Company Growth Mindset
External factors apart, a company’s Growth mindset has a significant influence on its GAP.
What is Growth mindset? Psychologists talk of two kinds of mindset: (1) Fixed mindset and (2)
Growth mindset. At the personal level, a “Fixed mindset” assumes that our character,
intelligence, and creative ability are static givens which we cannot change in any meaningful way.
Such a mindset views success as an affirmation of that inherent intelligence. Hence, all efforts are
towards avoiding failure at any cost. A “Growth mindset,” on the other hand, thrives on challenge
and sees failure not as evidence of unintelligence but as an opportunity for growth and for
stretching existing abilities. Hence, companies with Growth mindset are likely to be more
entrepreneurial and risk-taking than companies with Fixed mindset.
A company’s Growth mindset may take several forms, mainly, (1) Aggressive capacity expansion,
(2) Periodic new product launches and/or new business initiatives, (3) Active inorganic growth
strategy, and (4) Operating/financial leverage.
B.3 What hurts Earnings growth
A company’s prevailing Earnings growth trend may slow down due to one or more of the
following factors: industry maturity, weakening of the company’s competitive advantage, and
high-base effect.
1 November 2018
28

23rd Annual Wealth Creation Study (2013-2018)
1 November 2018
29

23rd Annual Wealth Creation Study (2013-2018)
1 November 2018
30

23rd Annual Wealth Creation Study (2013-2018)
NOTES
1 November 2018
31

23rd Annual Wealth Creation Study (2013-2018)
2013-18 Wealth
Creation Study:
Detailed findings
1 November 2018
32

23rd Annual Wealth Creation Study (2013-2018)
#1
Trend in Wealth Creation
INR 44.9 trillion Wealth Created during 2013-18
The top 100 Wealth Creators created INR 44.9 trillion of wealth during 2013-18.
This is the highest ever quantum of Wealth Created by far.
Pace of Wealth Creation is also robust at 23% CAGR whereas the benchmark Sensex CAGR is
only 12%.
Exhibit 1
2013-18 Wealth Created at INR 44.9 trillion is the highest ever
Wealth Created Trend
(INR
trillion)
Wealth Created
(INR
trillion)
44.9
38.9
34.2
25.4
14.3
16.3
9.7
26.5
22.1
29.4
18.4
28.4
16.2
Exhibit 2
2013-18 pace of Wealth Creation is healthy at 23% CAGR vis-à-vis benchmark’s 12% CAGR
(30%)
(26%)
40%
36%
(39%)
49%
(Figures in brackets is Sensex CAGR)
Wealth
Pace of Wealth Creation
Created CAGR (%)
(12%)
19%
(22%)
26%
(12%)
17%
(18%)
33%
(6%)
19%
(4%)
17%
(10%)
25%
(11%)
(5%)
18%
(12%)
23%
22%
Key Takeaway
Muted markets no deterrent for robust Wealth Creation
For the past four study periods, benchmark indices have delivered muted 5-year return CAGR
of 10-12%. Yet, Wealth Creation has been robust in all these periods, reinforcing our pet take
on market timing, “Forget markets, think stocks.”
1 November 2018
33

23rd Annual Wealth Creation Study (2013-2018)
#2
The Biggest Wealth Creators
HDFC Bank is the Biggest Wealth Creator for the first time ever
After consistently hugging the second and third rank for the last 6 studies,
HDFC Bank
has
finally broken through to emerge the biggest Wealth Creator over 2013-18.
HDFC Bank has dethroned
TCS,
suggesting that it is difficult to sustain the top spot beyond
five 5-year periods.
Reliance Industries
had a 5-year run earlier (see Exhibit 4).
Bajaj Finance
holds the unique distinction of featuring in the top 10 of both Biggest and
Fastest Wealth Creators.
Exhibit 3
Top 10 Biggest Wealth Creators (2013-18)
Rank Company
Wealth Created
INR b % share
1 HDFC Bank
3,247
7.2
2 Reliance Inds
3,094
6.9
3 TCS
2,532
5.6
4 Maruti Suzuki
2,308
5.1
5 Hind. Unilever
1,883
4.2
6 HDFC
1,640
3.7
7 Kotak Mah. Bank
1,345
3.0
8 IOC
1,008
2.2
9 Larsen & Toubro
990
2.2
10 Bajaj Finance
902
2.0
Total of Top 10
18,948
42
Total of Top 100
44,883
100
CAGR (%)
Price
PAT
25
22
18
13
13
13
47
25
23
10
17
16
26
23
20
38
17
14
73
35
21
18
24
19
P/E (x)
2018 2013
27
22
15
13
21
22
41
17
55
31
22
19
32
22
8
15
21
18
38
10
21
18
22
18
RoE (%)
2018 2013
17
19
12
11
30
36
15
11
72
113
16
21
12
14
19
7
16
13
16
18
17
15
16
14
Exhibit 4
Five-year successive run of Biggest Wealth Creator broken again
Biggest Wealth Creators over the years
(Wealth Created in INR billion)
Reliance Industries (5)
TCS (5)
HDFC
Bank
ONGC (3)
Hindustan
Unilever (HUL)
(4)
Wipro
Wipro
HUL (2)
ITC
Key Takeaway
The Value Migration run continues
HDFC Bank has broken TCS’s 5-year run as the Biggest Wealth Creator, but the Value Migration
run continues. Simply stated, Value Migration means that value (i.e. profit and market cap)
moves from outmoded business models to superior ones. In IT, value migrated from “Boston to
Bangalore” (i.e. developed economies to emerging economies). In banking, value is relentlessly
migrating from state-owned banks to private banks. HDFC Bank is a key beneficiary.
1 November 2018
34

23rd Annual Wealth Creation Study (2013-2018)
#3
The Fastest Wealth Creators
Indiabulls Ventures is the Fastest Wealth Creator
Indiabulls Ventures
has emerged as the Fastest Wealth Creator, with 2013-18 stock price
multiplier of 30x (97% CAGR).
Eicher Motors
is among the top 10 Fastest Wealth Creators in the last 7 studies, and
Bajaj
Finance
in the last 5.
8 of the top 10 Fastest Wealth Creators had base 2013 market cap of less than INR 20 billion.
5 of the 10 stocks were trading at single-digit P/E in 2013.
INR 100,000 invested equally in 2013 in these 10 stocks would have grown to almost INR 1.7
million in 2018, delivering a return CAGR of 75%. Over the same period, INR 100,000 invested
in the Sensex would have grown to only INR 175,000 (12% return CAGR).
Exhibit 5
Top 10 Fastest Wealth Creators (2013-18)
Rank Company
1
2
3
4
5
6
7
8
9
10
Indiabulls Ventures
Dalmia Bharat
TVS Motor
HEG
Sterlite Technologies
Bajaj Finance
Motilal Oswal
IIFL Holdings
NBCC
Eicher Motors
Price Appn.
(x)
30
19
19
19
17
15
13
12
12
11
CAGR (%)
Price
PAT
97
30
81
23
80
40
79
48
75
67
73
35
67
42
64
27
64
11
62
45
Mkt Cap (INR b)
2018
2013
127
2
257
12
293
15
127
7
125
9
1,023
57
146
11
224
18
171
15
772
69
P/E (x)
2018
2013
54
3
48
6
44
12
12
4
37
35
38
10
26
11
25
7
48
7
39
23
Exhibit 6
History of Fastest Wealth Creators
5-yr Price 5-yr Price
Year Company
Multiple (x) CAGR %
1996 Dr Reddy's Labs
30
97
1997 Cipla
7
48
1998 Satyam Computers
23
87
1999 Satyam Computers
75
137
2000 SSI
223
195
2001 Infosys
66
131
2002 Wipro
69
133
2003 e-Serve
50
119
2004 Matrix Labs
75
137
2005 Matrix Labs
136
167
2006 Matrix Labs
182
183
2007 B F Utilities
665
267
Year
2008
2009
2010
2011
2012
2013
2014
2015
2016
2017
2018
5-yr Price 5-yr Price
Company
Multiple (x) CAGR %
Unitech
837
284
Unitech
54
122
Unitech
28
95
Sanwaria Agro
50
119
TTK Prestige
24
89
TTK Prestige
28
95
Eicher Motors
27
94
Ajanta Pharma
50
119
Ajanta Pharma
53
121
Ajanta Pharma
29
96
Indiabulls Ventures
30
97
Key Takeaway
Beware of over-valuation and overstaying
Charlie Munger has said, “Anything that compounds for a long time must decompound at some
point of time.” Most of the Fastest Wealth Creators have seen massive valuation re-rating. In
some cases, their P/Es may have even reached unsustainable levels, leaving no margin of safety.
In such situations of over-valuation, selling the stock(s) is the best way to lock in the
supernormal returns. Overstaying in these winners runs the risk of eroding much of the gains.
1 November 2018
35

23rd Annual Wealth Creation Study (2013-2018)
#4
The Most Consistent Wealth Creators
Titan Company is the Most Consistent Wealth Creator
Titan Company
has emerged the Most Consistent Wealth Creator by virtue of –
1. Appearing among top 100 Wealth Creators in each of the last 10 studies; and
2. Recording the highest Price CAGR of 33% over the 10-year period 2008 to 2018,
fractionally ahead of
Godrej Consumer.
All the top 10 Consistent Wealth Creators are consumer-facing companies.
A surprising finding is that except for
HDFC Bank,
2018 RoE is lower than 2008 RoE. The main
reason is hoarding of surplus cash.
Exhibit 7
Top 10 Most Consistent Wealth Creators (2008-18)
Rank
1
2
3
4
5
6
7
8
9
10
Company
Titan Company
Godrej Consumer
Shree Cement
Pidilite Inds.
Maruti Suzuki
Marico
Asian Paints
HDFC Bank
Kotak Mah. Bank
Dabur India
Appeared in 10-yr Price 10-yr PAT
WC Study (x) CAGR (%) CAGR (%)
10
33
22
10
33
25
10
31
17
10
30
19
10
27
14
10
26
17
10
25
17
10
22
28
10
21
20
10
20
15
P/E (x)
2018 2008
73
30
51
20
42
13
49
20
41
14
54
26
54
28
27
29
32
22
42
29
RoE (%)
2018 2008
22
35
24
93
15
42
27
28
15
20
31
51
24
42
17
14
12
17
24
53
Exhibit 8
Consumer-facing companies more likely to be Consistent Wealth Creators
Consistent Wealth Creators based on last 5 Studies
Consumer-facing
Non Consumer-facing
Consumer & Healthcare
Asian Paints (5)
ITC (2)
Nestle (3)
Sun Pharma (4)
Dabur (4)
Titan (4)
Auto
Pidilite (1)
Marico (1)
Godrej
Cons. (1)
M & M (2)
Maruti Suzuki
(1)
Financials
Kotak Mah. (5)
HDFC Bank (4)
Axis Bank (4)
Bosch (4)
Cummins (3)
Hind. Zinc (1)
Shree Cem. (1)
NOTE:
Bracket indicates number of times appeared within top 10 in last 5 Wealth Creation Studies
Key Takeaway
The re-rating bonus may not be that consistent
Most of the Consistent Wealth Creators have steady earnings growth. However, in the last
couple of years, valuation re-rating has significantly amplified returns. Expecting this re-rating
bonus to sustain is rather unrealistic.
1 November 2018
36

23rd Annual Wealth Creation Study (2013-2018)
#5
Wealth Creators Index (Wealthex) v/s BSE Sensex
Superior earnings and price performance over benchmark
We compare Wealthex (top 100 Wealth Creators Market Cap index) with the BSE Sensex on 3
parameters - (1) market performance, (2) earnings growth and (3) valuation.
Market performance:
Over 2013-18, Wealth Creating companies have delivered return CAGR
of 24% v/s 12% for the BSE Sensex. March 2018 over March 2013, Wealthex is up 196%
whereas the Sensex is up 75% i.e. 121% outperformance over 5 years.
Earnings growth:
Wealthex clocked 5-year earnings CAGR of 19% v/s 3% for BSE Sensex.
Further, YoY earnings growth for Wealthex is higher in all the 5 years 2013 through 2018.
Valuation:
Valuation re-rating has contributed 8% to Sensex CAGR of 12%. In contrast, much
of Wealthex’s 24% CAGR is led by the 19% earnings CAGR.
Exhibit 9
Wealthex v/s Sensex: Superior market performance on the back of higher earnings growth
Mar-13
BSE Sensex
YoY (%)
Wealthex - based to Sensex
YoY (%)
Sensex EPS (INR)
YoY (%)
Wealthex EPS (INR)
YoY (%)
Sensex PE (x)
Wealthex PE (x)
18,836
18,836
1,179
1,042
16
18
Mar-14
22,386
19
24,207
29
1,334
13
1,333
28
17
18
Mar-15
27,957
22
34,847
44
1,348
1
1,372
3
21
25
Mar-16
25,342
10
35,147
1
1,330
-1
1,628
19
19
22
Mar-17
29,621
12
45,754
30
1,347
1
2,093
29
22
22
Mar-18
5 Year
CAGR (%)
32,969
12
12
55,680
24
22
1,387
3
3
2,494
19
19
24
8
22
4
Exhibit 10
Wealthex invariably outperforms benchmark indices handsomely
350
300
250
200
150
100
50
Wealth Creator Index
Relative to Sensex (%)
121%
Outperformance
Key Takeaway
Sensex – a weak earnings machine; QGLP stocks invariably outperform
Ever since the Lehman crisis of 2008, Sensex has been a weak earnings machine with single digit
earnings growth in most years. As our theme study suggests, QGLP stocks – stocks with Quality,
Growth, Longevity, at reasonable Price – invariably outperform the Sensex.
1 November 2018
37

23rd Annual Wealth Creation Study (2013-2018)
#6
Wealth Creation: Sector analysis
Financials is the biggest Wealth Creating sector for the second consecutive year
Financials
has emerged as India’s biggest Wealth Creating sector over 2013-18 for the second
consecutive year. The surge in Wealth Creation in the sector has been led by private banks
and NBFCs.
In terms of share of Wealth Created,
IT
is the biggest loser over the last 5 years, and
Auto
is
the biggest gainer.
Wealth Creation was highly concentrated
– top 5 sectors accounted for a high 79% of total
Wealth Created.
Exhibit 11
Financials is the top Wealth Creating sector
Sector
(No of companies)
Financials (22)
Cons. & Retail (21)
Auto (13)
Oil & Gas (5)
Technology (4)
Healthcare (13)
Cement (5)
Capital Goods (5)
Metals / Mining (2)
Telecom & Media (3)
Utilities (1)
Others (6)
Total
WC Share of WC % CAGR 13-18 (%)
(INR b)
2018
2013
Price
PAT
11,905
27
20
28
15
6,994
16
24
25
13
5,906
14
6
20
21
5,684
13
9
39
23
3,932
9
23
15
15
2,392
6
1
22
17
2,105
5
2
26
53
1,560
4
11
31
40
1,536
4
4
23
4
839
2
1
17
17
471
1
-
16
13
1,560
4
1
29
16
44,883
100
100
24
19
P/E (x)
2018
2013
27
16
54
34
12
13
34
19
20
20
25
20
12
33
18
25
36
16
30
29
13
11
26
15
22
18
RoE (%)
2018
2013
13
17
30
38
16
10
18
16
27
34
17
13
14
3
18
10
7
14
17
10
15
16
18
18
16
14
Exhibit 12
Financials sector significantly beats its own previous high of Wealth Creation
Top Wealth Creating Sectors (INR B)
9,346
11,905
7,103
7,586
5,826
3,891
1,839
2,723
2,126
4,949
5,194
3,672
6,364
4,456
Oil
Oil
Oil
Oil
Oil Metals/ Finan- Finan- Cons-
& Gas & Gas & Gas & Gas & Gas Mining cials
cials sumer
/Retail
2005
2006
2007
2008
2009
2010
2011
2012
2013
IT
Cons- Cons- Finan- Finan-
sumer sumer cials
cials
/Retail /Retail
2015
2016
2017
2018
2014
Key Takeaway
Financials should rule the roost for the next few years
India’s Financials sector offers a huge opportunity. In Banking, there’s massive Value Migration
on from state-owned to private banks. Further, insurance and asset management are emerging
as high-growth segments. Expect Financials to rule the roost in Wealth Creation for the next
few years at least.
1 November 2018
38

23rd Annual Wealth Creation Study (2013-2018)
#7
Wealth Creation: Ownership – Private v/s PSU
PSUs remain insignificant in Wealth Creation, but there are signs of bottoming out
PSUs’ (public sector undertakings) Wealth Creation performance during 2013-18 continues
to be weak. However, there are some signs of the same bottoming out:
– The number of PSUs in the top 100 Wealth Creators is 11, up from 5 three years ago
– Wealth Created by these 11 PSUs is 9% of total, again higher than 2% a few studies earlier.
– Finally, unlike in the past, PSUs’ 2013-18 PAT CAGR at 24% is higher than private sector’s
18%. This has led to PSUs’ price CAGR at 22% almost matching that of the private sector.
The 11 Wealth Creating PSUs are
IOC, BPCL, HPCL, GAIL, Power Grid Corporation, Concor,
Petronet LNG, Indraprastha Gas, LIC Housing, Bharat Electronics,
and
NBCC.
Exhibit 13
PSUs remain insignificant in Wealth Creation
Exhibit 14
Robust PAT CAGR of 24% is the key
Exhibit 15
6 of the 11 PSU Wealth Creators are
driver of Wealth Creation for the 11 PSUs
2013-2018
PSU
Private
11
89
9
91
0
11
24
18
22
24
12
19
11
25
11
14
19
16
in Oil & Gas (IOC, BPCL, HPCL, PLNG, GAIL, IGL)
Utilities
12%
Capital
Goods
7%
Financials
4%
Others
8%
No. of Wealth Creators in Top 100
Share of Wealth Created (%)
5-year Sales CAGR (%)
5-year PAT CAGR (%)
5-year Price CAGR (%)
P/E - 2013 (x)
P/E - 2018 (x)
RoE - 2013 (%)
RoE - 2018 (%)
Oil & Gas
69%
Key Takeaway
Only monopolistic PSUs are Wealth Creators
Only those PSUs are creating wealth, which face minimal competition from the private sector.
The 3 oil marketing companies, GAIL, Power Grid, Concor, Indraprastha Gas, etc, are all
monopolistic. Bharat Electronics and NBCC also get nominated business from the government.
In general, PSUs find it challenging to successfully compete against the private sector.
1 November 2018
39

23rd Annual Wealth Creation Study (2013-2018)
The rise and rise of the Indian entrepreneur
We observed India’s market cap distribution over the last 20 years into 3 categories – PSUs,
MNCs and private entrepreneurs.
As Exhibit 16 shows, there is a clear and continuous migration of value from PSUs and MNCs
to private entrepreneurs.
PSUs’ share of market cap is down from 36% in 1998 to 15% currently. Likewise, share of
MNCs is down from 23% to 12%. Both their losses have been the gain of the Indian private
entrepreneur, with market cap share rising from 41% in 1998 to 73% currently.
Expect the above trend to continue as –
1. MNCs increasingly prefer the unlisted route to expand their presence in India and
2. PSUs continue to see their competitive advantage eroding.
Exhibit 16
Indian private entrepreneurs are gaining significant share of India’s market cap
India Inc's Market Cap Distribution
PSU
MNC
Private
1 November 2018
40

23rd Annual Wealth Creation Study (2013-2018)
#8
Wealth Creation: Market Cap Rank Analysis
In our 2015 Wealth Creation Study, we called large, mid and small cap stocks as
Mega, Mid
and
Mini,
defined as under:
Mega –
Top 100 stocks by market cap rank for any given year
Mid
Next 200 stocks by market cap rank
Mini –
All stocks below the top 300 ranks.
Market cap ranks of companies change constantly. Over time, companies also cross over from
one category to another. For the period 2013-18, the market cap ranks crossover matrix stands
as under –
Exhibit 17
2013-18: Market cap ranks crossovers: No. of companies and average returns
How to read the table
In 2013, there were 3,109 Mini companies (i.e. ranked beyond 300). Of these, 1 moved to the
Mega category by 2018, delivering a 5-year return CAGR of 80%. Another 46 moved to Mid
category by 2018, delivering an average 5-year return CAGR of 61% in the process. Next,
2,462 Mini companies stayed as Mini and delivered average 18% return CAGR.
600 companies were merged or de-listed.
Of the 200 Mid companies in 2013, 16 moved to Mega by 2018, delivering an average 43%
return CAGR in the process. 98 Mid companies stayed as Mid (23% return CAGR) and 83
slipped to the Mini category (-3% return CAGR). 3 companies were merged or de-listed.
Finally, of the 100 Mega companies in 2013, 71 stayed as Mega (15% return CAGR), 26 slipped
to Mid (0% return CAGR), and 3 slipped to the Mini category (-20% return CAGR).
1 November 2018
41

23rd Annual Wealth Creation Study (2013-2018)
We specifically analyzed the 3 positive crossovers –
1. Mini-to-Mega
2. Mini-to-Mid and
3. Mid-to-Mega.
8.1 Mini-to-Mega: 1 company
During 2013-18, there was one company, TVS Motor, which moved from Mini to Mega. It
ranks 47
th
in our list of top 100 Wealth Creators, and is the third fastest Wealth Creator.
Exhibit 18
Mini-to-Mega (2013-18): 1 stock, and it features among our top 100 Wealth Creators
Mkt Cap Rank
2018
2013
TVS Motor
97
342
* 2013-18 Wealth Creation Rank
WC Rank *
Biggest Fastest
47
3
Price
CAGR %
80
PAT
CAGR %
40
P/E (x)
2018
2013
44
12
8.2 Mini-to-Mid: 46 companies, 61% average Price CAGR
During 2013-18, 46 companies crossed over from Mini to Mid category, generating an
average return CAGR of 61%, v/s 12% for the Sensex.
Of these 46 Mini-to-Mid stocks, 11 feature in our list of 100 Biggest Wealth Creators.
7 of the top 10 fastest Wealth Creators are featured in the list.
Exhibit 19
Mini-to-Mid (2013-18): 11 of 46 Mini-to-Mid stocks feature among top 100 Wealth Creators
Indiabulls Ventures
Dalmia Bharat
HEG
Sterlite Tech.
Motilal Oswal
IIFL Holdings
NBCC
Symphony
Graphite India
Bharat Financial
Natco Pharma
AVERAGE
Mkt Cap Rank
2018
2013
199
899
110
388
200
497
205
443
178
408
123
310
158
350
206
380
182
341
168
372
184
366
WC Rank *
Biggest Fastest
97
1
51
2
93
4
94
5
86
7
58
8
80
9
95
11
90
13
89
14
96
15
Price
CAGR %
97
81
79
75
67
64
64
58
56
55
54
68
PAT
CAGR %
30
23
48
67
42
27
11
26
52
L to P
54
38
P/E (x)
2018
2013
54
3
48
6
12
4
37
35
26
11
25
7
48
7
67
21
14
12
34
20
17
35
11
* 2013-18 Wealth Creation Rank
1 November 2018
42

23rd Annual Wealth Creation Study (2013-2018)
8.3 Mid-to-Mega: 16 companies, 43% average Price CAGR
During 2013-18, 16 companies crossed over from Mid to Mega.
All the 16 made it to this year’s list of 100 Biggest Wealth Creators.
The Mid-to-Mega portfolio delivered average return CAGR of 43% over 2013-18 v/s 12% for
Sensex.
Exhibit 20
Mid-to-Mega (2013-18): 16 companies, all of who feature among top 100 Wealth Creators
Bajaj Finance
Eicher Motors
Britannia Inds
Aurobindo Pharma
Bharat Forge
Ashok Leyland
Biocon
UPL
MRF
HPCL
Bharat Electronics
Piramal Enterprises
Havells India
P & G Hygiene
Petronet LNG
Bajaj Holdings
AVERAGE
* 2013-18 Wealth Creation Rank
Mkt Cap Rank
2018
2013
27
159
38
134
52
146
87
187
88
178
69
157
79
163
76
171
92
174
61
110
81
111
67
103
94
125
93
123
80
107
98
106
WC Rank *
Biggest Fastest
10
6
14
10
21
12
44
19
46
22
34
25
41
28
48
30
49
31
28
36
45
42
39
44
56
48
55
49
53
56
62
63
Price
CAGR %
73
62
57
50
47
46
45
44
43
40
32
32
30
30
28
23
43
PAT
CAGR %
35
45
33
52
23
60
-1
22
14
83
10
L to P
11
13
13
11
28
P/E (x)
2018
2013
38
10
39
23
59
26
13
14
40
16
25
36
108
16
18
7
27
9
7
27
24
10
9
46
20
82
40
17
9
9
5
35
18
Key Takeaway
Mid-to-Mega is a potent investment strategy
Every year, our analysis of market cap crossovers lead to the same findings –
Companies leap-frogging from Mini to Mega is very rare.
A fair number of companies move from Mini to Mid and deliver supernormal returns.
However, they need to be identified from a large base of about 500 companies.
The most potent and focused hunting ground for high-performing stocks is the Mid
category i.e. 200 stocks with market cap rank 100 to 300.
Over the next five years, 16-20 of these stocks will cross over to the Mega category and
deliver handsome returns in the process.
1 November 2018
43

23rd Annual Wealth Creation Study (2013-2018)
#9
Wealth Creation: Valuation parameters analysis
Payback ratio < 1 offers distinctly superior returns
During 2013-18, most valuation norms held true i.e. lower the valuation, higher the returns.
Every study invariably suggests that the highest return is generated when Payback ratio is
less than 1x.
(Payback is a proprietary ratio of Motilal Oswal, defined as current market cap divided by
estimated profits over the next five years. For 2013, we calculate this ratio based on the
actual profits reported over the next five years).
Exhibit 21
Payback ratio less than 1x remains a sure shot formula for multi-baggers
Range
No. of
WC
% Share
CAGR (%)
RoE (%)
in 2013
Cos.
(INR b)
of WC
Price
PAT
2018
2013
P/E
<10
10-15
15-20
20-25
25-30
>30
Total
Price / Book
<1
1-2
2-3
3-4
4-5
5-6
>6
22
25
12
13
7
21
100
6,367
10,025
8,144
10,432
2,284
7,631
44,883
14
22
18
23
5
17
100
33
22
25
21
36
23
24
30
14
22
17
40
15
19
14
13
17
19
24
24
16
8
13
14
23
10
21
14
Total
Price / Sales
<1
1-2
2-3
3-4
4-5
>5
Total
Payback ratio
<1
1-2
2-3
>3
Total
13
26
17
7
9
8
20
100
2,959
14,577
4,904
3,419
6,939
2,162
9,923
44,883
7
32
11
8
15
5
22
100
37
25
27
31
23
23
19
24
L to P
17
15
17
18
15
13
19
14
14
15
13
17
18
31
16
12
17
15
21
20
37
14
29
22
17
14
10
8
100
13,310
7,074
5,391
7,230
9,876
2,003
44,883
30
16
12
16
22
4
100
27
31
24
22
21
19
24
28
17
6
18
16
12
19
15
17
12
17
20
18
16
8
17
20
16
23
24
14
22
37
23
18
100
6,710
17,703
13,267
7,203
44,883
15
39
30
16
100
39
26
20
21
24
33
15
15
40
19
19
14
18
17
16
11
13
20
6
14
1 November 2018
44

23rd Annual Wealth Creation Study (2013-2018)
PEG < 1x is also a solid formula for superior returns
For the purposes of this section, PEG (P/E to Growth ratio) is obtained by dividing trailing
12-month P/E by future 5-year earnings CAGR.
We have used perfect foresight of 5 years’ earnings to calculate PEG. Thus, if a stock’s P/E in
2013 was 20x, and its 2013-18 PAT CAGR is 25%, its 2013 PEG works out to 0.8x (20 ÷ 25).
Clearly, lower the PEG, higher the likely return.
Our theme study this year (see pages 4 to 31) has almost conclusively established that stocks
with PEG less than 1x tend to significantly outperform the market.
As tabled below, the story was no different for the 2018 Wealth Creators. Nearly half the
Wealth Creators were trading at PEG of less than 1x in 2013, and delivered the highest return.
Exhibit 22
PEG less than 1x is a solid formula for high returns
PEG Range
No. of
WC
% Share
CAGR (%)
in 2013 (x)
Cos.
(INR b)
of WC
Price
PAT
RoE (%)
2018
2013
19
10
<0.5
0.5-1
1-1.5
1.5-2
2-3
>3
L to P
PAT decline
Total
23
26
11
11
9
14
3
3
100
7,427
17,803
5,093
4,952
2,091
5,365
682
1,470
44,883
17
40
11
11
5
12
2
3
100
38
28
20
16
22
20
24
19
24
34
17
13
13
10
6
L to P
-17
19
15
18
25
11
18
13
3
14
18
26
16
23
-20
16
16
14
Note:
PEG here is calculated as P/E of March 2013 divided by 2013-18 PAT CAGR
1 November 2018
45

23rd Annual Wealth Creation Study (2013-2018)
#10
Those who missed the Wealth Creators’ list
The big who didn’t beat the market
During 2013-18, the Sensex return CAGR was 11.8%.
11 companies (Exhibit 23) created enough wealth to qualify among the 100 biggest Wealth
Creators, but failed to make it to the final list as their stock return CAGR was lower than the
Sensex.
They made way for 11 others to join the list (Exhibit 24).
Exhibit 23
Those who missed the list …
Exhibit 24
… and those who made it
WC *
(INR b)
Infosys
949
ITC
641
ICICI Bank
571
Bharti Airtel
419
M&M
391
Wipro
332
SBI
296
Bajaj Auto
276
NTPC
228
United Spirits
185
Cipla
131
2013-18
Price
Potential
CAGR (%) Size Rank **
9.4
10
4.4
18
7.9
23
6.5
33
11.4
35
5.2
43
3.8
48
8.9
55
3.6
63
10.5
72
7.4
99
2013-18
Graphite India
Honeywell Auto
WABCO India
HEG
Sterlite Tech.
Symphony
Natco Pharma
Indiabulls Ventures
Supreme Inds
Bayer Crop Science
The Ramco Cement
WC *
Price
(INR b) CAGR (%)
127
56
126
46
124
42
120
79
116
75
113
58
112
54
112
97
111
31
111
28
111
24
Size
Rank
90
91
92
93
94
95
96
97
98
99
100
* - Wealth Created; ** Size rank had the stock outperformed the benchmark
The fast who didn’t make it big
The 100th biggest Wealth Creator created Wealth of INR 111 billion. Over 1,500 more
companies beat the benchmark return CAGR of 11.8% but did not make it to the list as they
created absolute wealth less than INR 111 billion.
Exhibit 25 lists the top 20 fastest among them.
Exhibit 25
The fast who didn’t make it big
Price
Price
WC
2013-18
Price
Price
WC
CAGR (%) Mult. (x) (INR b)
CAGR (%) Mult. (x) (INR b)
Minda Inds
103
34.8
88
L T Foods
79
18.3
22
Eveready Inds
86
22.3
26
TVS Srichakra
79
18.2
23
Garware-Wall Ropes
85
21.6
19
Navin Fluorine
78
18.1
36
Aegis Logistics
83
20.4
82
Optiemus Infra
78
17.7
20
Maithan Alloys
82
20.1
21
Ahluwalia Contracts
77
17.3
24
KRBL
82
19.9
97
Tata Metaliks
77
17.2
18
Orient Paper
81
19.5
7
Phillips Carbon
76
16.8
35
Johnson Con. Hitachi
81
19.4
64
Escorts
75
16.5
94
Excel Crop Care
81
19.3
32
CEAT
74
16.0
53
Can Fin Homes
80
19.1
59
Balaji Amines
74
16.0
17
Note:
In choosing these companies, the condition is that base 2013 market cap is at least INR 1 billion
2013-18
1 November 2018
46

23rd Annual Wealth Creation Study (2013-2018)
#11
Wealth Destruction: Companies & Sectors
The cyclical downturn continues
The total Wealth Destroyed during 2013-18 is INR 4.9 trillion, 11% of the total Wealth Created
by top 100 companies. Thanks to buoyant markets, especially mid- and small-caps, both the
quantum and the percentage of Wealth Destroyed in the last two studies are much lower
than in the previous two studies (Exhibit 26).
The broader theme of Wealth Destruction is
PSUs and Financials
(Exhibits 27 and 28).
The Financials sector has the unusual distinction of being the biggest Wealth Creator (thanks
to private banks and NBFCs) and the biggest Wealth Destroyer (thanks to state-owned
banks).
Exhibit 26
Level of Wealth Destruction sharply down
Exhibit 27
Exhibit 28
Wealth Destroyed
INR b
% Share
Price
CAGR (%)
6 of top 10 Wealth Destroyers are PSUs
Company
ONGC
Bank of India
Coal India
Idea Cellular
Punjab National Bank
MMTC
IDFC
Wockhardt
BHEL
Jindal Steel
Total of Above
Total Wealth Destroyed
384
180
156
151
146
144
141
140
134
122
1,698
4,882
8
4
3
3
3
3
3
3
3
2
35
100
-3
-19
-2
-8
-8
-23
-7
-18
-7
-9
Financials, Cyclicals top Wealth Destroyers
Wealth
%
Sector
Destroyed
Share
(INR b)
Financials
1,345
28
Metals / Mining
591
12
Oil & Gas
448
9
Constn / Real Est.
365
7
Telecom
350
7
Capital Goods
348
7
Utilities
320
7
Trading
246
5
Healthcare
191
4
Others
677
14
Total
4,882
100
Key Takeaway
Cyclicals – best avoided?
For
. the past several studies, Wealth Destruction has been dominated by cyclical sectors –
Metals/Mining, Construction, Real Estate, Capital Goods, etc. Sure, stocks in these sectors may
turn Wealth Creators someday. But still, timing one’s entry and exit in cyclicals is crucial.
Considering the difficulty in achieving this, perhaps cyclicals are best avoided altogether.
1 November 2018
47

23rd Annual Wealth Creation Study (2013-2018)
Appendix 1: MOSL 100: Biggest Wealth Creators (2013-2018)
Rank
1
2
3
4
5
6
7
8
9
10
11
12
13
14
15
16
17
18
19
20
21
22
23
24
25
26
27
28
29
30
31
32
33
34
35
36
37
38
39
40
41
42
43
44
45
46
47
48
49
50
Rank
Company
HDFC Bank
Reliance Industries
TCS
Maruti Suzuki
Hindustan Unilever
HDFC
Kotak Mahindra Bank
IOC
Larsen & Toubro
Bajaj Finance
HCL Technologies
IndusInd Bank
Hindustan Zinc
Eicher Motors
Bajaj Finserv
BPCL
Titan Company
Asian Paints
Axis Bank
UltraTech Cement
Britannia Industries
JSW Steel
Motherson Sumi
Godrej Consumer
Power Grid Corpn
Yes Bank
Adani Ports
HPCL
Shree Cement
Hero Motocorp
Tech Mahindra
Zee Entertainment
Nestle India
Ashok Leyland
Pidilite Industries
Dabur India
GAIL (India)
Vedanta
Piramal Enterprises
Bharti Infratel
Biocon
Bosch
Marico
Aurobindo Pharma
Bharat Electronics
Bharat Forge
TVS Motor Company
UPL
MRF
Hindalco Industries
Company
Wealth Created
INR b
Share (%)
3,247
7.2
3,094
6.9
2,532
5.6
2,308
5.1
1,883
4.2
1,640
3.7
1,345
3.0
1,008
2.2
990
2.2
902
2.0
831
1.9
812
1.8
760
1.7
703
1.6
702
1.6
650
1.4
608
1.4
604
1.3
598
1.3
571
1.3
534
1.2
534
1.2
519
1.2
479
1.1
471
1.0
466
1.0
449
1.0
428
1.0
422
0.9
400
0.9
372
0.8
352
0.8
348
0.8
348
0.8
337
0.7
335
0.7
332
0.7
322
0.7
316
0.7
308
0.7
302
0.7
289
0.6
284
0.6
284
0.6
280
0.6
278
0.6
278
0.6
273
0.6
256
0.6
251
0.6
Wealth Created
INR b
Share (%)
CAGR (2013-18, %)
Price
PAT
Sales
25
22
19
18
13
0
13
13
14
47
25
12
23
10
6
17
16
14
26
23
18
20
38
-2
17
14
10
73
35
34
19
16
15
35
28
20
20
8
12
62
45
7
46
12
31
28
35
-1
30
9
10
18
13
11
14
-40
11
16
-1
8
57
33
10
34
42
13
40
31
17
23
17
9
13
13
18
29
27
20
21
19
26
40
83
0
32
8
12
18
14
6
19
22
35
22
15
13
12
3
4
46
60
18
28
19
11
19
13
5
13
2
1
12
27
102
32
L to P
25
14
22
-8
45
-1
11
15
9
6
25
16
7
50
52
23
32
10
11
47
23
10
80
40
17
44
22
14
43
14
5
19
12
8
CAGR (2013-18, %)
Price
PAT
Sales
RoE (%)
2018
2013
19
11
36
11
113
21
14
7
13
18
31
14
19
17
20
12
37
32
16
16
44
7
19
20
16
22
24
3
24
38
25
18
59
5
25
36
15
13
-2
5
13
16
19
11
14
13
14
17
20
8
RoE (%)
2018
2013
17
12
30
15
72
16
12
19
16
16
24
15
25
28
13
25
22
24
1
9
29
23
17
24
15
16
18
29
15
30
19
19
36
23
27
24
12
12
19
15
6
14
31
21
18
18
25
23
12
9
P/E (x)
2018
2013
27
22
15
13
21
22
41
17
55
31
22
19
32
22
8
15
21
18
38
10
16
14
30
20
14
8
39
23
30
8
10
14
73
31
54
43
315
12
46
20
59
26
11
13
38
26
51
39
13
11
17
12
20
18
7
27
42
15
20
16
17
10
39
28
65
41
25
36
49
33
42
32
15
9
14
6
9
-48
24
36
108
16
39
31
54
37
13
14
24
10
40
16
44
12
18
7
27
9
10
6
P/E (x)
2018
2013
1 November 2018
48

23rd Annual Wealth Creation Study (2013-2018)
Appendix 1: MOSL 100: Biggest Wealth Creators (2013-2018) … continued
Rank
51
52
53
54
55
56
57
58
59
60
61
62
63
64
65
66
67
68
69
70
71
72
73
74
75
76
77
78
79
80
81
82
83
84
85
86
87
88
89
90
91
92
93
94
95
96
97
98
99
100
Rank
Company
Dalmia Bharat
Tata Steel
Petronet LNG
Cadila Healthcare
P & G Hygiene
Havells India
Page Industries
IIFL Holdings
Kansai Nerolac
Vakrangee
Grasim Industries
Bajaj Holdings
Cholamandalam Inv.
Berger Paints
Balkrishna Industries
Rajesh Exports
Voltas
Sun TV Network
Siemens
3M India
Edelweiss Financial
GRUH Finance
Shriram Transport
ABB
Container Corporation
Whirlpool India
Divi's Labs
Indraprastha Gas
LIC Housing Finance
NBCC
M & M Financial
Torrent Pharma
Emami
L&T Fin. Holdings
Gillette India
Motillal Oswal
Sundaram Finance
Dewan Housing
Bharat Financial
Graphite India
Honeywell Auto
WABCO India
HEG
Sterlite Technologies
Symphony
Natco Pharma
Indiabulls Ventures
Supreme Industries
Bayer Crop Science
The Ramco Cement
TOTAL / AVG
Company
Wealth Created
INR b
Share (%)
239
0.5
239
0.5
238
0.5
235
0.5
224
0.5
224
0.5
216
0.5
205
0.5
205
0.5
197
0.4
193
0.4
190
0.4
183
0.4
181
0.4
181
0.4
181
0.4
180
0.4
179
0.4
176
0.4
176
0.4
175
0.4
173
0.4
169
0.4
169
0.4
167
0.4
164
0.4
159
0.4
157
0.3
157
0.3
156
0.3
154
0.3
152
0.3
152
0.3
149
0.3
148
0.3
135
0.3
133
0.3
133
0.3
127
0.3
127
0.3
126
0.3
124
0.3
120
0.3
116
0.3
113
0.3
112
0.2
112
0.2
111
0.2
111
0.2
111
0.2
44,883
100.0
Wealth Created
INR b
Share (%)
CAGR (2013-18, %)
Price
PAT
Sales
81
23
25
14
L to P
0
28
13
-1
21
22
13
30
13
8
30
11
1
47
25
24
64
27
8
32
19
11
46
46
33
18
5
15
23
11
23
40
26
16
30
16
9
51
15
6
43
23
43
52
24
3
17
10
9
14
12
-3
39
43
10
50
38
32
41
20
21
16
0
12
21
25
4
18
3
9
47
22
13
17
8
13
38
14
6
19
14
14
64
11
17
19
2
16
29
7
13
22
4
8
16
20
21
27
21
3
67
42
42
32
5
10
44
21
21
55
L to P
43
56
52
11
46
24
10
42
15
22
79
48
11
75
67
1
58
26
16
54
54
26
97
30
40
31
8
8
28
1
0
24
7
3
34
21
14
CAGR (2013-18, %)
Price
PAT
Sales
RoE (%)
2018
2013
9
6
9
-24
21
26
20
23
47
26
18
28
41
53
18
14
16
16
26
20
5
12
15
18
19
16
20
23
17
24
18
19
15
12
24
25
10
11
20
8
13
7
26
30
12
20
12
5
11
15
20
21
15
24
19
24
16
16
18
22
10
20
14
32
18
40
12
11
33
14
25
8
15
22
14
14
15
-76
38
7
18
12
17
20
58
18
29
2
31
30
22
15
12
29
23
33
17
15
14
17
20
19
RoE (%)
2018
2013
P/E (x)
2018
2013
48
6
12
-4
17
9
22
23
82
40
46
20
73
33
25
7
55
32
34
32
24
11
9
5
23
13
55
31
30
8
17
8
36
13
30
22
51
45
70
81
25
13
58
26
22
11
64
74
28
14
55
22
33
22
28
11
13
11
48
7
29
12
33
13
66
29
21
21
93
75
26
11
26
9
14
5
34
-4
14
12
59
27
59
20
12
4
37
35
67
21
20
17
54
3
35
14
48
16
31
15
38
19
P/E (x)
2018
2013
Note:
L to P stands for Loss to Profit
1 November 2018
49

23rd Annual Wealth Creation Study (2013-2018)
Appendix 2: MOSL 100: Fastest Wealth Creators (2013-2018)
Rank
1
2
3
4
5
6
7
8
9
10
11
12
13
14
15
16
17
18
19
20
21
22
23
24
25
26
27
28
29
30
31
32
33
34
35
36
37
38
39
40
41
42
43
44
45
46
47
48
49
50
Rank
2013-18 Price
CAGR (%) Times (x)
Indiabulls Ventures
97.0
29.6
Dalmia Bharat
81.0
19.4
TVS Motor Company
80.2
19.0
HEG
79.5
18.6
Sterlite Technologies
75.3
16.5
Bajaj Finance
72.6
15.3
Motilal Oswal
67.3
13.1
IIFL Holdings
64.1
11.9
NBCC
63.5
11.7
Eicher Motors
61.9
11.1
Symphony
58.2
9.9
Britannia Industries
56.8
9.5
Graphite India
55.8
9.2
Bharat Financial
55.3
9.0
Natco Pharma
54.5
8.8
Voltas
52.4
8.2
Balkrishna Industries
51.1
7.9
Edelweiss Financial
50.4
7.7
Aurobindo Pharma
50.2
7.6
Maruti Suzuki
47.3
6.9
Whirlpool India
47.0
6.9
Bharat Forge
46.9
6.8
Page Industries
46.8
6.8
Bajaj Finserv
46.4
6.7
Ashok Leyland
45.9
6.6
Vakrangee
45.8
6.6
Honeywell Auto
45.7
6.6
Biocon
45.4
6.5
Dewan Housing
44.4
6.3
UPL
44.1
6.2
MRF
43.2
6.0
Rajesh Exports
43.0
6.0
WABCO India
42.4
5.9
GRUH Finance
40.6
5.5
Motherson Sumi
40.4
5.4
HPCL
40.3
5.4
Cholamdalam Inv.
39.8
5.3
3M India
38.8
5.2
Indraprastha Gas
38.3
5.1
IndusInd Bank
34.7
4.4
JSW Steel
33.8
4.3
Bharat Electronics
32.5
4.1
Kansai Nerolac
32.4
4.1
Piramal Enterprises
32.1
4.0
Shree Cement
31.9
4.0
Sundaram Finance
31.5
3.9
Supreme Industries
30.5
3.8
Havells India
30.4
3.8
P & G Hygiene
30.2
3.7
Berger Paints
29.7
3.7
Company
2013-18 Price
CAGR (%) Times (x)
Company
CAGR 13-18 (%)
PAT
Sales
30
40
23
25
40
17
48
11
67
1
35
34
42
42
27
8
11
17
45
7
26
16
33
10
52
11
L to P
43
54
26
24
3
15
6
38
32
52
23
25
12
22
13
23
10
25
24
12
31
60
18
46
33
24
10
-1
11
21
21
22
14
14
5
23
43
15
22
20
21
31
17
83
0
26
16
43
10
14
6
28
20
42
13
10
11
19
11
L to P
25
8
12
5
10
8
8
11
1
13
8
16
9
CAGR 13-18 (%)
PAT
Sales
Wealth Created
INR b Share (%)
112
0.2
239
0.5
278
0.6
120
0.3
116
0.3
902
2.0
135
0.3
205
0.5
156
0.3
703
1.6
113
0.3
534
1.2
127
0.3
127
0.3
112
0.2
180
0.4
181
0.4
175
0.4
284
0.6
2,308
5.1
164
0.4
278
0.6
216
0.5
702
1.6
348
0.8
197
0.4
126
0.3
302
0.7
133
0.3
273
0.6
256
0.6
181
0.4
124
0.3
173
0.4
519
1.2
428
1.0
183
0.4
176
0.4
157
0.3
812
1.8
534
1.2
280
0.6
205
0.5
316
0.7
422
0.9
133
0.3
111
0.2
224
0.5
224
0.5
181
0.4
Wealth Created
INR b Share (%)
RoE (%)
2018 2013
12
29
9
6
25
14
58
18
29
2
16
18
25
8
18
14
18
22
28
17
31
30
29
44
38
7
15
-76
22
15
15
12
17
24
13
7
21
11
15
11
20
21
18
13
41
53
13
20
23
5
26
20
18
12
6
13
14
14
23
17
12
20
18
19
17
20
26
30
17
19
29
3
19
16
20
8
19
24
15
14
23
7
18
14
16
16
19
-2
15
24
15
22
23
33
18
28
47
26
20
23
RoE (%)
2018 2013
P/E (x)
2018
2013
54
3
48
6
44
12
12
4
37
35
38
10
26
11
25
7
48
7
39
23
67
21
59
26
14
12
34
-4
20
17
36
13
30
8
25
13
13
14
41
17
55
22
40
16
73
33
30
8
25
36
34
32
59
27
108
16
14
5
18
7
27
9
17
8
59
20
58
26
38
26
7
27
23
13
70
81
28
11
30
20
11
13
24
10
55
32
9
-48
42
15
26
9
35
14
46
20
82
40
55
31
P/E (x)
2018
2013
50
1 November 2018

23rd Annual Wealth Creation Study (2013-2018)
Appendix 2: MOSL 100: Fastest Wealth Creators (2013-2018) … continued
Rank Company
Titan Company
Torrent Pharma
Yes Bank
Pidilite Industries
Bayer Crop Science
Petronet LNG
BPCL
Gillette India
Kotak Mahindra Bank
Marico
HDFC Bank
The Ramco Cement
Bajaj Holdings
Hindustan Unilever
Godrej Consumer
Zee Entertainment
Emami
ABB
Adani Ports
Cadila Healthcare
IOC
Hindustan Zinc
HCL Technologies
Tech Mahindra
Dabur India
LIC Housing Finance
M & M Financial
Hindalco Industries
Hero Motocorp
Grasim Industries
Reliance Industries
Asian Paints
Container Corpn
Divi's Labs
HDFC
Larsen & Toubro
Sun TV Network
L&T Fin. Holdings
UltraTech Cement
Shriram Transport
Bosch
Axis Bank
Siemens
Tata Steel
Bharti Infratel
GAIL (India)
Power Grid Corpn
TCS
Vedanta
Nestle India
TOTAL / AVG
Rank Company
51
52
53
54
55
56
57
58
59
60
61
62
63
64
65
66
67
68
69
70
71
72
73
74
75
76
77
78
79
80
81
82
83
84
85
86
87
88
89
90
91
92
93
94
95
96
97
98
99
100
2013-18 Price
CAGR (%) Times (x)
29.7
3.7
29.1
3.6
28.9
3.6
28.4
3.5
28.4
3.5
27.9
3.4
27.7
3.4
26.6
3.3
26.3
3.2
25.2
3.1
24.8
3.0
23.8
2.9
23.5
2.9
23.4
2.9
22.9
2.8
22.3
2.7
21.7
2.7
21.3
2.6
20.6
2.6
20.6
2.6
20.2
2.5
20.0
2.5
19.5
2.4
19.2
2.4
19.0
2.4
18.9
2.4
18.9
2.4
18.5
2.3
18.1
2.3
18.0
2.3
17.9
2.3
17.9
2.3
17.7
2.3
17.2
2.2
17.2
2.2
16.7
2.2
16.7
2.2
16.3
2.1
16.1
2.1
15.7
2.1
14.9
2.0
14.4
2.0
14.3
2.0
13.9
1.9
13.7
1.9
12.9
1.8
12.8
1.8
12.6
1.8
12.3
1.8
12.3
1.8
34.5
5.4
2013-18 Price
CAGR (%) Times (x)
CAGR (13-18, %)
PAT
Sales
9
10
7
13
27
20
19
11
1
0
13
-1
35
-1
21
3
23
18
16
7
22
19
7
3
11
23
10
6
17
9
15
13
4
8
25
4
19
26
22
13
38
-2
8
12
16
15
22
35
13
5
14
14
2
16
12
8
14
6
5
15
13
0
13
11
3
9
8
13
16
14
14
10
10
9
20
21
-1
8
0
12
9
6
-40
11
12
-3
L to P
0
22
-8
2
1
13
18
13
14
27
102
3
4
21
14
CAGR (13-18, %)
PAT
Sales
Wealth Created
INR b Share (%)
608
1.4
152
0.3
466
1.0
337
0.7
111
0.2
238
0.5
650
1.4
148
0.3
1,345
3.0
284
0.6
3,247
7.2
111
0.2
190
0.4
1,883
4.2
479
1.1
352
0.8
152
0.3
169
0.4
449
1.0
235
0.5
1,008
2.2
760
1.7
831
1.9
372
0.8
335
0.7
157
0.3
154
0.3
251
0.6
400
0.9
193
0.4
3,094
6.9
604
1.3
167
0.4
159
0.4
1,640
3.7
990
2.2
179
0.4
149
0.3
571
1.3
169
0.4
289
0.6
598
1.3
176
0.4
239
0.5
308
0.7
332
0.7
471
1.0
2,532
5.6
322
0.7
348
0.8
44,883
100.0
Wealth Created
INR b Share (%)
RoE (%)
2018 2013
22
37
14
32
16
22
27
25
17
15
21
26
25
12
33
14
12
14
31
19
17
19
14
17
15
18
72
113
24
20
19
18
18
40
12
5
18
24
20
23
19
7
25
19
24
31
19
25
24
36
16
16
10
20
9
8
30
38
5
12
12
11
24
32
11
15
15
24
16
21
16
13
24
25
12
11
9
16
12
20
14
16
1
16
10
11
9
-24
15
5
12
15
15
16
30
36
12
13
36
59
20
19
RoE (%)
2018 2013
P/E (x)
2018
2013
73
31
33
13
17
12
49
33
48
16
17
9
10
14
93
75
32
22
54
37
27
22
31
15
9
5
55
31
51
39
39
28
66
29
64
74
20
18
22
23
8
15
14
8
16
14
17
10
42
32
13
11
29
12
10
6
20
16
24
11
15
13
54
43
28
14
33
22
22
19
21
18
30
22
21
21
46
20
22
11
39
31
315
12
51
45
12
-4
24
36
15
9
13
11
21
22
14
6
65
41
38
19
P/E (x)
2018
2013
Note:
L to P stands for Loss to Profit
1 November 2018
51

23rd Annual Wealth Creation Study (2013-2018)
Appendix 3: MOSL 100 – Alphabetical order
WC Rank
Company
3M India
ABB
Adani Ports
Ashok Leyland
Asian Paints
Aurobindo Pharma
Axis Bank
BPCL
Bajaj Finance
Bajaj Finserv
Bajaj Holdings
Balkrishna Industries
Bayer Crop Science
Berger Paints
Bharat Electronics
Bharat Financial
Bharat Forge
Bharti Infratel
Biocon
Bosch
Britannia Industries
Cadila Healthcare
Cholamandalam Inv.
Container Corpn.
Dabur India
Dalmia Bharat
Dewan Housing
Divi's Labs
Edelweiss Financial
Eicher Motors
Emami
GAIL (India)
Gillette India
Godrej Consumer
Graphite India
Grasim Industries
GRUH Finance
HDFC
HPCL
Havells India
HCL Technologies
HDFC Bank
HEG
Hero Motocorp
Hindustan Unilever
Hindustan Zinc
Hindalco Industries
Honeywell Auto
IOC
IIFL Holdings
1 November 2018
Biggest Fastest
70
74
27
34
18
44
19
16
10
15
62
65
99
64
45
89
46
40
41
42
21
54
63
75
36
51
88
77
71
14
83
37
85
24
90
61
72
6
28
56
11
1
93
30
5
13
50
91
8
58
38
68
69
25
82
19
92
57
6
24
63
17
55
50
42
14
22
95
28
91
12
70
37
83
75
2
29
84
18
10
67
96
58
65
13
80
34
85
36
48
73
61
4
79
64
72
78
27
71
8
2013-18 Wealth Created
Price
Price
INR b
CAGR % Mult. (x)
176
169
449
348
604
284
598
650
902
702
190
181
111
181
280
127
278
308
302
289
534
235
183
167
335
239
133
159
175
703
152
332
148
479
127
193
173
1,640
428
224
831
3,247
120
400
1,883
760
251
126
1,008
205
38.8
21.3
20.6
45.9
17.9
50.2
14.4
27.7
72.6
46.4
23.5
51.1
28.4
29.7
32.5
55.3
46.9
13.7
45.4
14.9
56.8
20.6
39.8
17.7
19.0
81.0
44.4
17.2
50.4
61.9
21.7
12.9
26.6
22.9
55.8
18.0
40.6
17.2
40.3
30.4
19.5
24.8
79.5
18.1
23.4
20.0
18.5
45.7
20.2
64.1
5.2
2.6
2.6
6.6
2.3
7.6
2.0
3.4
15.3
6.7
2.9
7.9
3.5
3.7
4.1
9.0
6.8
1.9
6.5
2.0
9.5
2.6
5.3
2.3
2.4
19.4
6.3
2.2
7.7
11.1
2.7
1.8
3.3
2.8
9.2
2.3
5.5
2.2
5.4
3.8
2.4
3.0
18.6
2.3
2.9
2.5
2.3
6.6
2.5
11.9
WC Rank
Company
Indiabulls Ventures
Indraprastha Gas
IndusInd Bank
JSW Steel
Kansai Nerolac
Kotak Mahindra
L&T Fin. Holdings
Larsen & Toubro
LIC Housing Finance
M & M Financial
Marico
Maruti Suzuki
Motherson Sumi
Motilal Oswal
MRF
Natco Pharma
NBCC
Nestle India
P & G Hygiene
Page Industries
Petronet LNG
Pidilite Industries
Piramal Enterprises
Power Grid Corpn
Rajesh Exports
Reliance Industries
Shree Cement
Shriram Transport
Siemens
Sterlite Technologies
Sun TV Network
Sundaram Finance
Supreme Industries
Symphony
Tata Steel
TCS
Tech Mahindra
The Ramco Cement
Titan Company
Torrent Pharma
TVS Motor Company
UltraTech Cement
UPL
Vakrangee
Vedanta
Voltas
WABCO India
Whirlpool India
Yes Bank
Zee Entertainment
Biggest Fastest
97
78
12
22
59
7
84
9
79
81
43
4
23
86
49
96
80
33
55
57
53
35
39
25
66
2
29
73
69
94
68
87
98
95
52
3
31
100
17
82
47
20
48
60
38
67
92
76
26
32
1
39
40
41
43
59
88
86
76
77
60
20
35
7
31
15
9
100
49
23
56
54
44
97
32
81
45
90
93
5
87
46
47
11
94
98
74
62
51
52
3
89
30
26
99
16
33
21
53
66
2013-18 Wealth Created
Price
Price
INR b
CAGR % Mult. (x)
112
157
812
534
205
1,345
149
990
157
154
284
2,308
519
135
256
112
156
348
224
216
238
337
316
471
181
3,094
422
169
176
116
179
133
111
113
239
2,532
372
111
608
152
278
571
273
197
322
180
124
164
466
352
97.0
38.3
34.7
33.8
32.4
26.3
16.3
16.7
18.9
18.9
25.2
47.3
40.4
67.3
43.2
54.5
63.5
12.3
30.2
46.8
27.9
28.4
32.1
12.8
43.0
17.9
31.9
15.7
14.3
75.3
16.7
31.5
30.5
58.2
13.9
12.6
19.2
23.8
29.7
29.1
80.2
16.1
44.1
45.8
12.3
52.4
42.4
47.0
28.9
22.3
29.6
5.1
4.4
4.3
4.1
3.2
2.1
2.2
2.4
2.4
3.1
6.9
5.4
13.1
6.0
8.8
11.7
1.8
3.7
6.8
3.4
3.5
4.0
1.8
6.0
2.3
4.0
2.1
2.0
16.5
2.2
3.9
3.8
9.9
1.9
1.8
2.4
2.9
3.7
3.6
19.0
2.1
6.2
6.6
1.8
8.2
5.9
6.9
3.6
2.7
52

Explanation of Investment Rating
Investment Rating
BUY
SELL
NEUTRAL
UNDER REVIEW
NOT RATED
Expected return (over 12-month)
>=15%
< - 10%
> - 10 % to 15%
Rating may undergo a change
We have forward looking estimates for the stock but we refrain from assigning recommendation
*In case the recommendation given by the Research Analyst becomes inconsistent with the investment rating legend, the Research Analyst shall within 28 days of the inconsistency, take appropriate measures to make the recommendation consistent with the investment rating legend.
Disclosures:
The following Disclosures are being made in compliance with the SEBI Research Analyst Regulations 2014 (herein after referred to as the Regulations).
Motilal Oswal Securities Ltd. (MOSL*
)
is a SEBI Registered Research Analyst having registration no. INH000000412. MOSL, the Research Entity (RE) as defined in the Regulations, is engaged in the business of providing Stock broking services,
Investment Advisory Services, Depository participant services & distribution of various financial products. MOSL is a subsidiary company of Motilal Oswal Financial Service Ltd. (MOFSL). MOFSL is a listed public company, the details in respect of
which are available on
www.motilaloswal.com.
MOSL is registered with the Securities & Exchange Board of India (SEBI) and is a registered Trading Member with National Stock Exchange of India Ltd. (NSE) and BSE Limited (BSE), Multi Commodity
Exchange of India (MCX) & National Commodity & Derivatives Exchange Ltd. (NCDEX) for its stock broking activities & is Depository participant with Central Depository Services Limited (CDSL) & National Securities Depository Limited (NSDL) and is
member of Association of Mutual Funds of India (AMFI) for distribution of financial products. Details of associate entities of Motilal Oswal Securities Limited are available on the website at
http://onlinereports.motilaloswal.com/Dormant/documents/Associate%20Details.pdf
MOSL, it’s associates, Research Analyst or their relative may have any financial interest in the subject company. MOSL and/or its associates and/or Research Analyst may have actual/beneficial ownership of 1% or more securities in the subject
company at the end of the month immediately preceding the date of publication of the Research Report.
MOSL and its associate company(ies), their directors and Research Analyst and their relatives may; (a) from time to time, have a long or short
position in, act as principal in, and buy or sell the securities or derivatives thereof of companies mentioned herein. (b) be engaged in any other transaction involving such securities and earn brokerage or other compensation or act as a market maker in
the financial instruments of the company(ies) discussed herein or act as an advisor or lender/borrower to such company(ies) or may have any other potential conflict of interests with respect to any recommendation and other related information and
opinions.; however the same shall have no bearing whatsoever on the specific recommendations made by the analyst(s), as the recommendations made by the analyst(s) are completely independent of the views of the associates of MOSL even though
there might exist an inherent conflict of interest in some of the stocks mentioned in the research report.
Research Analyst may have served as director/officer, etc. in the subject company in the last 12 month period. MOSL and/or its associates may
have received any compensation from the subject company in the past 12 months.
In the last 12 months period ending on the last day of the month immediately preceding the date of publication of this research report, MOSL or any of its associates may have:
a)
managed or co-managed public offering of securities from subject company of this research report,
b)
received compensation for investment banking or merchant banking or brokerage services from subject company of this research report,
c)
received compensation for products or services other than investment banking or merchant banking or brokerage services from the subject company of this research report.
d)
Subject Company may have been a client of MOSL or its associates during twelve months preceding the date of distribution of the research report.
MOSL and it’s associates have not received any compensation or other benefits from the subject company or third party in connection with the research report. To enhance transparency, MOSL has incorporated a Disclosure of Interest Statement in
this document. This should, however, not be treated as endorsement of the views expressed in the report. MOSL and / or its affiliates do and seek to do business including investment banking with companies covered in its research reports. As a result,
the recipients of this report should be aware that MOSL may have a potential conflict of interest that may affect the objectivity of this report. Compensation of Research Analysts is not based on any specific merchant banking, investment banking or
brokerage service transactions.
Terms & Conditions:
This report has been prepared by MOSL and is meant for sole use by the recipient and not for circulation. The report and information contained herein is strictly confidential and may not be altered in any way, transmitted to, copied or distributed, in part
or in whole, to any other person or to the media or reproduced in any form, without prior written consent of MOSL. The report is based on the facts, figures and information that are considered true, correct, reliable and accurate. The intent of this report
is not recommendatory in nature. The information is obtained from publicly available media or other sources believed to be reliable. Such information has not been independently verified and no guaranty, representation of warranty, express or implied,
is made as to its accuracy, completeness or correctness. All such information and opinions are subject to change without notice. The report is prepared solely for informational purpose and does not constitute an offer document or solicitation of offer to
buy or sell or subscribe for securities or other financial instruments for the clients. Though disseminated to all the customers simultaneously, not all customers may receive this report at the same time. MOSL will not treat recipients as customers by
virtue of their receiving this report.
Analyst Certification
The views expressed in this research report accurately reflect the personal views of the analyst(s) about the subject securities or issues, and no part of the compensation of the research analyst(s) was, is, or will be directly or indirectly related to the
specific recommendations and views expressed by research analyst(s) in this report.
A graph of daily closing prices of securities is available at
www.nseindia.com, www.bseindia.com.
Research Analyst views on Subject Company may vary based on Fundamental research and Technical Research. Proprietary trading desk of MOSL or
its associates maintains arm’s length distance with Research Team as all the activities are segregated from MOSL research activity and therefore it can have an independent view with regards to subject company for which Research Team have
expressed their views.
Regional Disclosures (outside India)
This report is not directed or intended for distribution to or use by any person or entity resident in a state, country or any jurisdiction, where such distribution, publication, availability or use would be contrary to law, regulation or which would subject
MOSL & its group companies to registration or licensing requirements within such jurisdictions.
For Hong Kong:
This report is distributed in Hong Kong by Motilal Oswal capital Markets (Hong Kong) Private Limited, a licensed corporation (CE AYY-301) licensed and regulated by the Hong Kong Securities and Futures Commission (SFC) pursuant to the Securities
and Futures Ordinance (Chapter 571 of the Laws of Hong Kong) “SFO”. As per SEBI (Research Analyst Regulations) 2014 Motilal Oswal Securities (SEBI Reg No. INH000000412) has an agreement with Motilal Oswal capital Markets (Hong Kong)
Private Limited for distribution of research report in Hong Kong. This report is intended for distribution only to “Professional Investors” as defined in Part I of Schedule 1 to SFO. Any investment or investment activity to which this document relates is only
available to professional investor and will be engaged only with professional investors.” Nothing here is an offer or solicitation of these securities, products and services in any jurisdiction where their offer or sale is not qualified or exempt from
registration. The Indian Analyst(s) who compile this report is/are not located in Hong Kong & are not conducting Research Analysis in Hong Kong.
For U.S.
Motilal Oswal Securities Limited (MOSL) is not a registered broker - dealer under the U.S. Securities Exchange Act of 1934, as amended (the"1934 act") and under applicable state laws in the United States. In addition MOSL is not a registered
investment adviser under the U.S. Investment Advisers Act of 1940, as amended (the "Advisers Act" and together with the 1934 Act, the "Acts), and under applicable state laws in the United States. Accordingly, in the absence of specific exemption
under the Acts, any brokerage and investment services provided by MOSL, including the products and services described herein are not available to or intended for U.S. persons. This report is intended for distribution only to "Major Institutional
Investors" as defined by Rule 15a-6(b)(4) of the Exchange Act and interpretations thereof by SEC (henceforth referred to as "major institutional investors"). This document must not be acted on or relied on by persons who are not major institutional
investors. Any investment or investment activity to which this document relates is only available to major institutional investors and will be engaged in only with major institutional investors. In reliance on the exemption from registration provided by Rule
15a-6 of the U.S. Securities Exchange Act of 1934, as amended (the "Exchange Act") and interpretations thereof by the U.S. Securities and Exchange Commission ("SEC") in order to conduct business with Institutional Investors based in the U.S.,
MOSL has entered into a chaperoning agreement with a U.S. registered broker-dealer, Motilal Oswal Securities International Private Limited. ("MOSIPL"). Any business interaction pursuant to this report will have to be executed within the provisions of
this chaperoning agreement.
The Research Analysts contributing to the report may not be registered /qualified as research analyst with FINRA. Such research analyst may not be associated persons of the U.S. registered broker-dealer, MOSIPL, and therefore, may not be subject
to NASD rule 2711 and NYSE Rule 472 restrictions on communication with a subject company, public appearances and trading securities held by a research analyst account.
For Singapore
In Singapore, this report is being distributed by Motilal Oswal Capital Markets Singapore Pte Ltd (“MOCMSPL”) (Co.Reg. NO. 201129401Z) which is a holder of a capital markets services license and an exempt financial adviser in Singapore,
as per the approved agreement under Paragraph 9 of Third Schedule of Securities and Futures Act (CAP 289) and Paragraph 11 of First Schedule of Financial Advisors Act (CAP 110) provided to MOCMSPL by Monetary Authority of Singapore.
Persons in Singapore should contact MOCMSPL in respect of any matter arising from, or in connection with this report/publication/communication. This report is distributed solely to persons who qualify as “Institutional Investors”, of which some of
whom may consist of "accredited" institutional investors as defined in section 4A(1) of the Securities and Futures Act, Chapter 289 of Singapore (“the SFA”). Accordingly, if a Singapore person is not or ceases to be such an institutional investor, such
Singapore Person must immediately discontinue any use of this Report and inform MOCMSPL.
Disclaimer:
The report and information contained herein is strictly confidential and meant solely for the selected recipient and may not be altered in any way, transmitted to, copied or distributed, in part or in whole, to any other person or to the media or reproduced
in any form, without prior written consent. This report and information herein is solely for informational purpose and may not be used or considered as an offer document or solicitation of offer to buy or sell or subscribe for securities or other financial
instruments. Nothing in this report constitutes investment, legal, accounting and tax advice or a representation that any investment or strategy is suitable or appropriate to your specific circumstances. The securities discussed and opinions expressed in
this report may not be suitable for all investors, who must make their own investment decisions, based on their own investment objectives, financial positions and needs of specific recipient. This may not be taken in substitution for the exercise of
independent judgment by any recipient. Each recipient of this document should make such investigations as it deems necessary to arrive at an independent evaluation of an investment in the securities of companies referred to in this document
(including the merits and risks involved), and should consult its own advisors to determine the merits and risks of such an investment. The investment discussed or views expressed may not be suitable for all investors. Certain transactions -including
those involving futures, options, another derivative products as well as non-investment grade securities - involve substantial risk and are not suitable for all investors. No representation or warranty, express or implied, is made as to the accuracy,
completeness or fairness of the information and opinions contained in this document. The Disclosures of Interest Statement incorporated in this document is provided solely to enhance the transparency and should not be treated as endorsement of the
views expressed in the report. This information is subject to change without any prior notice. The Company reserves the right to make modifications and alternations to this statement as may be required from time to time without any prior approval.
MOSL, its associates, their directors and the employees may from time to time, effect or have effected an own account transaction in, or deal as principal or agent in or for the securities mentioned in this document. They may perform or seek to perform
investment banking or other services for, or solicit investment banking or other business from, any company referred to in this report. Each of these entities functions as a separate, distinct and independent of each other. The recipient should take this
into account before interpreting the document. This report has been prepared on the basis of information that is already available in publicly accessible media or developed through analysis of MOSL. The views expressed are those of the analyst, and
the Company may or may not subscribe to all the views expressed therein. This document is being supplied to you solely for your information and may not be reproduced, redistributed or passed on, directly or indirectly, to any other person or
published, copied, in whole or in part, for any purpose. This report is not directed or intended for distribution to, or use by, any person or entity who is a citizen or resident of or located in any locality, state, country or other jurisdiction, where such
distribution, publication, availability or use would be contrary to law, regulation or which would subject MOSL to any registration or licensing requirement within such jurisdiction. The securities described herein may or may not be eligible for sale in all
jurisdictions or to certain category of investors. Persons in whose possession this document may come are required to inform themselves of and to observe such restriction. Neither the Firm, not its directors, employees, agents or representatives shall
be liable for any damages whether direct or indirect, incidental, special or consequential including lost revenue or lost profits that may arise from or in connection with the use of the information.
The person accessing this information specifically agrees
to exempt MOSL or any of its affiliates or employees from, any and all responsibility/liability arising from such misuse and agrees not to hold MOSL or any of its affiliates or employees responsible for any such misuse and further agrees to hold MOSL
or any of its affiliates or employees free and harmless from all losses, costs, damages, expenses that may be suffered by the person accessing this information due to any errors and delays.
Registered Office Address: Motilal Oswal Tower, Rahimtullah Sayani Road, Opposite Parel ST Depot, Prabhadevi, Mumbai-400025; Tel No.: 022-3980 4263; www.motilaloswal.com. Correspondence Address: Palm Spring Centre, 2nd Floor, Palm
Court Complex, New Link Road, Malad (West), Mumbai- 400 064. Tel No: 022 3080 1000. Compliance Officer: Neeraj Agarwal, Email Id:
na@motilaloswal.com,
Contact No.:022-30801085.
Registration details of group entities: MOSL: SEBI Registration: INZ000158836 (BSE/NSE/MCX/NCDEX); CDSL: IN-DP-16-2015; NSDL: IN-DP-NSDL-152-2000; Research Analyst: INH000000412. AMFI: ARN 17397. Investment Adviser:
INA000007100.Motilal Oswal Asset Management Company Ltd. (MOAMC): PMS (Registration No.: INP000000670) offers PMS and Mutual Funds products. Motilal Oswal Wealth Management Ltd. (MOWML): PMS (Registration No.: INP000004409)
offers wealth management solutions. *Motilal Oswal Securities Ltd. is a distributor of Mutual Funds, PMS, Fixed Deposit, Bond, NCDs, Insurance and IPO products. * Motilal Oswal Real Estate Investment Advisors II Pvt. Ltd. offers Real Estate
products. * Motilal Oswal Private Equity Investment Advisors Pvt. Ltd. offers Private Equity products
*MOSL
has been amalgamated with Motilal Oswal Financial Services Limited (MOFSL) w.e.f August 21, 2018 pursuant to order dated July 30, 2018 issued by Hon'ble National Company Law Tribunal, Mumbai Bench. The existing registration no(s) of
MOSL would be used until receipt of new MOFSL registration numbers.
Disclosure of Interest Statement
Analyst ownership of the stock
Companies where there is interest
No

Motilal Oswal Wealth Creation Study Gallery