hfy
Housing Finance
Company
2021
14 January
name
Sector update | Sector: HFC
Record
low
interest
rates
Stagnant real
estate prices
Govt.
Incentives/
Reforms
A Home Run!
Motilal Oswal research is available on www.motilaloswal.com/Institutional-Equities, Bloomberg, Thomson Reuters, Factset and S&P Capital.
Investors are advised to refer through important disclosures made at the last page of the Research Report.
Research Analyst: Alpesh Mehta
(Alpesh.Mehta@MotilalOswal.com) |
Piran Engineer
(Piran.Engineer@MotilalOswal.com)
Nitin Aggarwal
(Nitin.Aggarwal@MotilalOswal.com) |
Divya Maheshwari
(Divya.Maheshwari@MotilalOswal.com)
 Motilal Oswal Financial Services
Housing Finance: A Home Run!
Improving Affordability | Supportive regulation| Healthy profitability
01
Page #3
02
Page #7
Summary
Revival in the RE space
03
Page #14
04
Page #16
Consolidation in the HFC
space positive for incumbents
Minimal Covid-19 impact on
asset quality
05
Page #18
06
Page #22
Valuation & View
Key takeaways from business
leaders
COMPANIES
HDFC
LIC Housing Finance
AAVAS Financiers
Can Fin Homes
PNB Housing Finance
Repco Home Finance
Aadhar Housing Finance
Home First Finance
Well-placed to capture market share .................... Pg24
Business turning around ....................................... Pg30
Building a foundation for the long term ................ Pg35
A balanced player ................................................. Pg56
Preserving capital; De-risking the balance sheet ... Pg71
Prioritizing asset quality over growth .................... Pg75
Pan-India affordable housing finance player ......... Pg79
A niche player ....................................................... Pg84
 Motilal Oswal Financial Services
Sector Update | January 2021
Thematic: Housing Finance
Housing Finance
A Home Run!
Improving Affordability | Supportive regulation| Healthy profitability
After 5 years of stagnant Residential Real Estate (RE) sales, the RE and the Housing
Finance sectors have bottomed out. Affordability is the best in the past two decades,
with flattish RE prices over FY15-20 and price cuts triggered by the COVID-19
pandemic. In addition, current interest rates (starting at sub-7% for prime customers)
are at an all-time low and ~300bp lower than those five years ago. Economic
indicators point to an upward trend and the resolve of the government and regulator
to solve issues affecting the sector is also encouraging.
Over the past four years, housing sales in India’s top seven cities have exceeded
launches, resulting in a meaningful decline in inventory overhang. While sales
plummeted ~65% YoY, after the lifting of COVID-19 lockdown restrictions there are
early signs of a revival now. Sales in Mumbai have picked up since Sep’20 and even
grew on a YoY basis in Nov’20. Over the past four years, we have noted a
consolidation in market share for the top-10 developers in the top-6 cities.
Over the past two years, the top two Housing Finance companies (HFCs) have
outperformed on account of strong parentage and access to debt capital. These
players have been able to capture the revival in the RE space, with disbursements
surpassing pre-COVID levels. We expect these players to disproportionately benefit
from a pick-up in RE volumes and consolidation in the builder space. Given the sharp
decline in the cost of funds and moderate impact of the lockdown on asset quality,
profitability is likely to remain healthy.
With the government’s focus of ‘Housing for All’ by 2022, Affordable Housing has
seen strong growth over the last six years. Smaller players like Can Fin Homes (CANF),
Aavas Financiers (AAVAS), Aadhar Housing Finance, and Repco Home Finance have
created a niche in this space and are capitalizing on this multi-year opportunity.
As credit costs normalize in FY22, we expect HFCs under our coverage to generate 12-
17% RoE in FY22-23E. Similar to the RE space, we expect further consolidation in the
HFC sector to play out, with the top two players gaining market share. While
valuations have re-rated in the past 2-3 months, the risk-reward is favorable in our
view. HDFC remains a preferred pick in the sector. We are initiating coverage on
AAVAS/CANF with a Neutral/Buy rating. We maintain our Neutral stance on PNB
Housing Finance (PNBHF) due to capitalization challenges.
Loan growth to pick up
AUM gr. %
FY20 FY21E FY22E
HDFC
11.9
11.0
12.5
LICHF
7.8
8.1
8.3
PNBHF
-1.6
-2.5
6.8
CANF
12.6
4.5
8.7
AAVAS
31.2
18.9
19.3
Repco
9.1
4.9
7.1
Credit costs to normalize by FY22E
Credit cost %
FY20 FY21E FY22E
HDFC
0.4
0.3
0.3
LICHF
0.5
0.4
0.4
PNBHF
1.8
1.1
1.1
CANF
0.3
0.6
0.3
AAVAS
0.3
0.7
0.4
Repco
0.5
0.5
0.4
Multi-year opportunity – Sector tailwinds to accelerate growth…
Housing Finance is a strong multi-year growth opportunity given the trend in
urbanization, nuclearization, favorable demographics, and low housing penetration.
In addition, access to finance has improved considerably over the last decade.
Interest rates are at all-time lows (down ~300bp over the past five years), thus
enhancing affordability.
Other tailwinds include:
a) fall in RE prices post-COVID,
b)
cut in stamp duty in a few large states,
c) strong and broad-based economic revival
leading to job creation and income growth,
and
e) focus of the government on
resolving the issue of stuck RE projects
have further accelerate growth. As a result,
affordability has improved to the best ever in the past two decades (refer Exhibit 2).
January 2021
3
 Motilal Oswal Financial Services
Thematic: Housing Finance
AAVAS has the highest RoA…
RoA (%)
FY20 FY21E FY22E
HDFC
1.8
1.8
1.8
LICHF
1.2
1.3
1.3
PNBHF
0.8
1.2
1.4
CANF
1.9
2.0
2.0
AAVAS
3.8
2.8
3.3
Repco
2.4
2.4
2.3
…and focused efforts on Affordable Housing
…but CANF the highest RoE
RoE (%)
FY20 FY21E
HDFC
13.1
12.5
LICHF
14.3
15.8
PNBHF
8.3
11.4
CANF
19.1
18.7
AAVAS
12.7
10.6
Repco
16.9
15.2
FY22E
12.6
15.1
12.2
17.0
12.8
14.0
Over the past five years, Affordable Housing has been the key growth driver for the
industry, led by the huge stimulus from the government, given its target of ‘Housing
for All’ by 2022.
The government tackled the demand side with its flagship Credit
Linked Subsidy Scheme (CLSS). Till date, over 1.1m families have benefited from
the interest subsidy. It even extended CLSS to MIG customers by one-year to
Mar’21. In order to tackle the supply side, the government incentivized house
construction under the Pradhan Mantri Awas Yojana (PMAY). Over 3.4m houses
have been constructed and allotted so far.
Developers have been offered 100% tax
deduction on construction of affordable housing units up to 31
st
March, 2021.
HFC consolidation underway; top two players to benefit disproportionately
Over the past two years, large banks like SBIN, ICICIB, and AXSB have been
aggressive in home loans. Given the lack of growth in corporate lending, these
banks are likely to remain aggressive in the foreseeable future. However, HFCs with
strong parentage are able to compete effectively with banks given the sharp decline
in their incremental cost of funds (three-year borrowing at ~5%). Given the huge
scope of the market, these players have enough opportunity to grow despite the
intensifying competition.
While HFCs are expected to lose market share to banks
on the whole, the top two HFCs should maintain or gain market share.
Best asset quality performance across cycles
Retail Housing Finance has demonstrated the best asset quality performance across
cycles due to higher equity of the borrower, strong emotive value attached to
security, and less speculative activities. With most sectors of the economy reviving
close to pre-COVID levels, the fear of job losses or salary cuts has abated.
Most
companies are confident of restricting the stressed pool to less than 2-3% of
loans.
Within the developer segment, the fear of delinquencies or restructuring has
also abated due to improvement in demand and the ability of larger players to raise
funds and service their debt.
There has been some consolidation in the RE space,
with the share of top-10 developers in housing sales rising to 31% from 23% over
CY16-20E in the top six cities.
Valuations attractive; reiterate positive stance on the sector
Post COVID-19, valuations for HFCs corrected sharply due to concerns on: a) decline
in loan growth, b) pressure on spreads owing to lending rate pressures from banks
and tight liquidity, and c) deterioration in asset quality on account of job losses and
stressed developers. However, with a sharper than earlier anticipated economic
recovery, disbursements for larger players have picked up meaningfully. Abundant
system-wide liquidity has led to a sharp decline in the cost of funds. Asset quality
concerns are reducing. HDFC and Indiabulls Housing Finance (IHFL) have also raised
capital. The stance of the regulator is incrementally more supportive. We believe
the excess liquidity and low interest rate environment would sustain in the near-to-
medium term, which augurs well for the RE sector, and in turn, for HFCs. With
growth and profitability normalizing, the sector is likely to see a re-rating. The risk-
reward at this point is favorable. We reiterate HDFC as our top pick. We are also
initiating coverage on AAVAS with a Neutral rating and CANF with a Buy rating.
January 2021
4
 Motilal Oswal Financial Services
Thematic: Housing Finance
KEY EXHIBITS
Exhibit 1: Comparison of various HFCs on key parameters
AUM (INR b)
AUM mix (%)
Home Loans
Corporate
LAP, NRP, etc.
Share of off-BS AUM (%)
Customer Mix (%)
Salaried
Self-employed
Borrowings (INR b)
Borrowing mix (%)
Banks & FIs
NCD
CP
Deposits
Others
Key Financial Parameters (FY20)
PAT (INR b)
RoA (%)
RoE (%)
Loans/Equity (x)
HDFC
5,403
70
25
5
12
80
20
4,209
21
37
7
35
0
96.2
1.8
13.1
6.5
LICHF
2,133
77
7
16
0
87
13
1,903
23
60
3
9
5
24.0
1.2
14.3
11.7
PNBHF
812
57
17
26
18
54
46
662
29
21
3
25
22
6.5
0.8
8.3
9.1
CANF
208
90
0
10
0
71
29
187
60
17
0
2
21
3.8
1.9
19.1
9.9
AAVAS
84
74
0
26
20
35
65
60
48
24
0
0
28
2.5
3.8
12.7
2.8
REPCO
121
81
0
19
0
48
52
103
82
3
0
0
15
2.8
2.4
16.9
6.8
Source: MOFSL, Company
Exhibit 2: Affordability is the best over past two decades
Affordability
5.9
5.3
5.1
5.1
5.1
4.7
4.3
4.7
5.0
4.5
4.7
4.8
4.6
4.7
4.6
4.4
4.1
3.8
3.7
3.5
3.3
2000 2001 2002 2003 2004 2005 2006 2007 2008 2009 2010 2011 2012 2013 2014 2015 2016 2017 2018 2019 2020
Source: MOFSL, HDFC; Note: Affordability = Property Value/Annual Income
Exhibit 3: Slow growth in housing prices
Housing Price Index
101
103
104
106
107
107
109
113
112
112
Exhibit 4: Top-7 cities have witnessed stagnant prices
4
3
Price (INR/sqft)
2
2
1
Growth (%)
99
100
98
97
1
-1
6,605
6,869
6,993
7,157
7,254
7,294
7,207
Source: NHB
Source: PropEquity; Note: CY20 data as of Oct ‘20
January 2021
5
 Motilal Oswal Financial Services
Thematic: Housing Finance
Exhibit 5: Sales have exceeded launches in the prior 3 years leading to lower inventory
599
Sales (Mn sqft)
567
474
New Launches (Mn sqft)
412
381
358
354
446
425
246
295
294
352
367
309
211
184
376
Source: MOFSL, PropEquity; Note: CY20 data as of Oct ‘20
Exhibit 6: Market share of the Top-2 HFCs in NBFCs improving since FY18; Expected to continue (%)
HDFC
26
26
48
32
27
42
31
28
41
31
27
40
30
27
41
LICHF
31
26
40
PNBHF
Others
32
25
40
33
23
39
34
21
40
31
21
41
25
23
45
Source: MOFSL, Company
Exhibit 7: Sharp decline in NCD issuance cost for HDFC…
Interest Rate (%)
7.35
6.99
6.95
7.25
5.40
4.95
5.78
Date of Issue
10-Feb-20
13-Feb-20
27-Apr-20
17-Jun-20
11-Aug-20
09-Sep-20
25-Nov-20
Tenure (yr)
5.0
3.0
3.0
10.0
3.0
2.0
5.0
Source: NSE
Exhibit 8: …and LICHF to keep spreads stable
Interest Rate (%)
7.45
7.97
7.33
6.57
5.45
6.19
5.53
Date of Issue
10-Jan-20
28-Jan-20
12-Feb-20
12-Feb-20
26-Aug-20
25-Sep-20
01-Dec-20
Tenure
3.1
10.0
5.0
1.4
3.0
4.2
4.1
Source: NSE
January 2021
6
 Motilal Oswal Financial Services
Thematic: Housing Finance
Revival in the RE space
Record low interest rates, economic revival, government impetus key drivers
After a sustained downcycle, the residential real estate sector has bottomed out, in
our view. Affordability has been the best over the past two decades, driven by wage
inflation exceeding real estate price inflation, record low interest rates and reduction
in stamp duty by some state governments. Interest rates currently are ~300bp lower
than levels five years ago.
More importantly, we note that the government and the regulator are firm on
resolving issues that have been plaguing the sector in the past 4-5 years. We expect
the regulator to favor high liquidity and low interest rates at the system level to
revive growth, which augurs well for the RE sector.
The AIF set-up by the government has seen some early traction. In addition, the
government has taken several steps to reduce inventory by announcing GST cuts on
under-construction and affordable housing projects. Lastly, the flagship PMAY project
of the government is witnessing improved traction.
The Reserve Bank of India (RBI) is also being supportive. It has reduced RWA for
housing loans, allowed extension of DCCO and one-time restructuring without
downgrading accounts to NPAs.
Over the past three years, housing sales in the top-7 cities exceeded launches,
resulting in a meaningful decline in inventory overhang. While sales plummeted ~65%
YoY immediately post the lockdown, there are early signs of revival. Moreover, we
note of a consolidation in market share of the top-10 developers in the top-6 cities
over the past four years.
Record low interest
rates, increased
affordability and
continued government
support make us positive
on the RE sector.
Why are we incrementally bullish on the real estate sector?
Affordability has improved to its best over the past two decades, driven by a
combination of largely stagnant real estate prices over the past five years
(significant time correction), wage inflation and multi-year low interest rates.
Post-COVID, developers have reduced prices (directly/indirectly) by 10-15%,
which has led prices back to 2014-15 levels.
Firm resolve on the part of the government and regulator to solve issues
plaguing the real estate sector and to boost affordable housing as a sector
remains the key for economic revival.
Post the demand shock immediately after the lockdown, demand has been on
an uptrend and is likely to revert to pre-COVID levels soon.
Additionally,
demand has outpaced supply over the past few years, leading to a reduction
in inventory overhang during the same period.
January 2021
7
 Motilal Oswal Financial Services
Thematic: Housing Finance
REAL ESTATE SECTOR ON THE CUSP OF RECOVERY
1
3 REASONS TO
TURN
POSITIVE ON
REAL ESTATE
Improved affordability,
Low interest rates
2
Sales have exceeded launches in
last 3 years
3
Firm resolve of GoI and regulator
to solve real estate sector issues
Source: MOFSL
Affordability best now
over the past two
decades.
Affordability better than ever now in the past two decades
Over the past few years, property prices in most metros have been largely
stagnant, driven by a large supply-demand mismatch. On the other hand,
wages have grown in line with or above inflation.
According to HDFC, affordability (property price/annual income) has declined
from 4.7x in 2010 and 4.4x in 2015 to 3.3x in 2020.
In addition, the cost of borrowing has declined to multi-year lows.
Interest
rates on home loans at ~7% (for Prime category borrowers) are 150-200bp
lower than those three years ago.
As a result, EMI has reduced by ~10% for a
20-year loan (refer Exhibit 10).
Exhibit 9: Affordability is the best over past two decades
Affordability
5.9
5.3
5.1
4.7
4.3
4.7
5.0
5.1
5.1
4.5
4.7
4.8
4.6
4.7
4.6
4.4
4.1
3.8
3.7
3.5
3.3
2000 2001 2002 2003 2004 2005 2006 2007 2008 2009 2010 2011 2012 2013 2014 2015 2016 2017 2018 2019 2020
Source: MOFSL, HDFC; Note: Affordability = Property Prices/Annual Income
January 2021
8
 Motilal Oswal Financial Services
Thematic: Housing Finance
Exhibit 10: Sensitivity of EMI to change in interest rate and ticket size
150bp reduction in
interest rates reduces
EMI by ~10%.
Interest Rate/Loan Amount (INR '000)
100
110
120
130
140
6.5%
746
820
895
969
1,044
7.0%
775
853
931
1,008
1,085
7.5%
806
886
967
1,047
1,128
8.0%
836
920
1,004
1,087
1,171
8.5%
868
955
1,042
1,129
1,215
Source: MOFSL, Company; Note: 20 year loan
According to NHB’s Residex, housing prices for the top-50 cities has increased
12% cumulatively over the past 3-4 years. Our interactions with managements
suggest that this is largely due to non-metro locations rather than the top 7
cities, wherein prices have been flattish/modestly growing over the past 3-4
years. Post the lockdown, developers have been proactive in giving discounts,
freebies and innovative payment schemes to lure buyers.
Exhibit 12: Top-7 cities have witnessed stagnant prices
4
3
Price (INR/sqft)
2
1
1
7,207
-1
6,605
6,869
6,993
7,157
7,254
7,294
Growth (%)
Exhibit 11: Slow growth in housing prices
Housing Price Index
113 112 112
106 107 107 109
100 99 98 97 103 101 104
2
Source: NHB
Source: PropEquity; Note: CY20 data as of Oct ‘20
Reduction in GST, set-up
of AIF, improved traction
in PMAY – key support
measures of the
government.
Firm resolve of GoI and regulator to tackle RE sector issues
Over the past few years, the government has taken several steps to boost the
housing sector, especially affordable housing. The most prominent scheme,
PMAY (Pradhan Mantri Aawas Yojna), has witnessed fair success over the past
three years.
Other initiatives include
tax breaks for affordable housing,
GST reduction on under-construction housing projects from 12% (with
Input Tax Credit (ITC)) to 5% (without ITC), and on affordable housing
projects from 8% (with ITC) to 1% (without ITC) from 1
st
Apr’19,
extension of deadline for CLSS-MIG scheme under PMAY by one year up to
Mar ’21, and
additional tax deduction of up to INR0.15m for interest paid on housing
loans sanctioned in current fiscal for homes priced is below INR4.5m
In order to resolve stuck projects across the country (estimated at 458k units),
the government has introduced a fund called SWAMIH (Special Window for
Affordable and Mid-Income Housing) with a corpus of INR105b in 2019. In
addition to the government, the fund has received investments from
institutional investors too. The objective of this fund is to provide last-mile
January 2021
9
 Motilal Oswal Financial Services
Thematic: Housing Finance
financing to stuck projects.
So far, SWAMIH has approved INR120b to 123
stuck projects comprising 80k+ housing units
Recent stamp duty cuts announced by the Maharashtra, MP and Karnataka
governments have also helped improve demand
Cut in construction premiums by 50% by the Maharashtra government
Allowance of one-time restructuring of real estate projects as well as
extension of DCCO for commercial projects by one year without change in
classification, and
Reduction in risk weights on housing loans based on the LTV v/s ticket size
earlier should also lead to higher push from financiers.
Inventory overhang is
down from record 43
months in 2017 to 31
months in 2019.
Real estate inventory overhang declining over past few years
In the prior four calendar years, sales in the top-7 cities of India exceeded new
launches, leading to a decline in the inventory overhang (calculated as unsold
inventory/prior 4-quarter sales) from a record 43 months in 2017 to 31
months in 2019.
Post the outbreak of COVID-19, home sales plummeted, falling 65% YoY in
1QFY21 to 8m sqft in the top-7 cities.
However, with increased discounts offered by developers, reduction in stamp
duty in some states and reduction in home loan rates by lenders, sales have
started picking up again.
For example, housing sales in Mumbai reached 86%
of pre-COVID 19 levels in Sep’20, as per a report by CRE Matrix. This trend
sustained in Oct ’20 and Nov ’20 too, with Nov ’20 sales up 17% MoM and
67% YoY. In other cities, home sales have seen a sharp recovery in the past six
months and are slightly below YoY levels.
Exhibit 13: Sales have exceeded launches in the prior 4 years…
Sales (Mn sqft)
599
567
474
New Launches (Mn sqft)
412
381
358
354
446
425
295
246
352
294
367
309
211
184
376
Source: MOFSL, PropEquity; Note: CY20 data as of Oct ‘20
January 2021
10
 Motilal Oswal Financial Services
Thematic: Housing Finance
Exhibit 14: …leading to a decline in inventory
Inventory (Mn sqft)
34
18
22
27
34
Inventory overhang (months)
43
37
34
40
31
14
554
671
823
965
1,063
1,094
1,098
1,048
990
933
921
Source: MOFSL, PropEquity; Note: CY20* number as of Oct ‘20
Market share of top-10
developers in the top-6
cities is up from 22% to
32% over the past four
years.
Consolidation underway in the real estate sector – long-term positive
Post the implementation of demonetization, RERA and GST, the RE sector faced
several headwinds. This was more pronounced for smaller players. As a result,
there has been consolidation in the industry ever since.
Analysis of the top-6 cities reveals that the market share in housing sales of
the top-10 developers has increased from 23% in 2016 to 31% in 2020.
Exhibit 15: Consistent increase in sales market share of Top-10 developers
Sales (Mn sqft)
26
Market share (%)
31
23
23
26
64
CY16
52
CY17
70
CY18
72
CY19
35
CY20*
Source: MOFSL, PropEquity; Note: CY20 data as of Oct ‘20
INR55t opportunity in affordable housing
A study by KPMG on the housing sector estimated urban/rural housing shortage
in India to be 37m/53m units.
Assuming that even half of this shortage is met, it would create ~INR55t
financing opportunity in affordable housing.
Exhibit 17: INR55t opportunity even if 50% of shortage is met
Shortage
(Mn)
Urban
Rural
Total
37
53
90
% shortage
met
50%
50%
Avg. ticket
size (INR m)
1.8
0.8
Total funding
opportunity
(INR t)
33
21
55
Source: MOFSL, Company
Exhibit 16: Total housing shortage amounts to 90m units
Million Units
Current Shortage
Additional
Vacant Houses
Core demand
Urban
19
28
9
37
Rural
40
23
10
53
Total
59
51
20
90
Source: MOFSL, Company
January 2021
11
 Motilal Oswal Financial Services
Thematic: Housing Finance
Recent steps by GoI and regulator to boost affordable housing
Gujarat and Maharashtra
lead the pack in terms of
number of PMAY
beneficiaries
Additional tax deduction up to INR150k for interest paid on loans to purchase
homes priced below INR4.5m extended till 31 March, 2021.
Scope of affordable housing expanded to those costing up to INR4.5m with a
carpet area of 60sqm in metros and 90sqm in non-metros.
Increased budgetary support - Allocation to PMAY increased from INR253b in
FY20 to INR275b in FY21. Extra-budgetary allocation of INR100b for PMAY-
urban & PMAY-Rural each.
Exhibit 18: Number of beneficiaries under PMAY (U) – top-10 states (‘000)
248
193
EWS/LIG
MIG
92
45
55
14
MH
MP
44
19
40 43
28 28
TN
21 16
WB
18
40
13 18
AP
13
33
GJ
RJ
UP
Kar.
Tel.
Source: MOFSL, Lok Sabha
Exhibit 19: Sharp growth in Central Assistance utilized under PMAY (U)
Central Assistance Utilized (INR b)
264
190
15
FY17
46
FY18
FY19
FY20
Source: MOFSL, Lok Sabha
Consumers waiting on the sidelines making a comeback
As per consumer research conducted by NAREDCO and Housing Research in
Apr-May’20, 47% of respondents were either uncertain or not confident of their
income outlook stability. However, as business has recovered close to pre-
COVID levels for most sectors, many of these 47% respondents would now have
greater clarity on income stability as compared to Apr-May’20, in our view.
35% of respondents preferred real estate as an asset class and 60% preferred
ready-to-move-in properties.
~80% of respondents who were looking to buy a home have put it on hold for
up to the next 12 months, i.e. Apr-May ’21.
January 2021
12
 Motilal Oswal Financial Services
Thematic: Housing Finance
Exhibit 20: 47% customers were unsure of income stability
Income Stability Outlook
53%
Exhibit 21: RE remains the most preferred investment class
Preferred Investment Class
35%
28%
22%
29%
18%
15%
Can't Say
Not Confident
Confident
Fixed Deposit
Gold
Real Estate
Stock Market
Source: MOFSL, NAREDCO; Note: As of Apr/May ‘20
Source: MOFSL, NAREDCO; Note: As of Apr/May ‘20
Exhibit 22: Overwhelming preference for ready properties
60%
Preferred Stage of buying
Exhibit 23: 81% of respondents paused for up to a year only
Pause to look for a home
29%
24%
28%
19%
21%
10%
9%
New launch
< 3 months
3-6 months
6-12 months
Indefinitely
Source: MOFSL, NAREDCO; Note: As of Apr/May ‘20
Ready-to-move- 6-12M delivery
in
1-2Y delivery
Source: MOFSL, NAREDCO; Note: As of Apr/May ‘20
January 2021
13
 Motilal Oswal Financial Services
Thematic: Housing Finance
Consolidation in the HFC space positive for incumbents
Top-2 players have gained 700bp market share within HFCs
While on the whole, the HFC sector lost market share in retail home loans to banks
post the IL&FS crisis, the top-2 HFCs clearly outperformed its peers with 700bp
market share gain within the space. These players enjoy strong parentage and
comfortable access to liquidity at attractive prices.
Concerns on the trajectory of spreads post the sharp home loan rate cuts by banks in
Mar-Apr’20 have abated. This is due to the fact that HFCs have witnessed anywhere
between 75-200bp reduction in incremental cost of funds over the past nine months.
Banks have reduced their lending rates by 75-100bp, thus, benefiting HFCs directly.
Further, few HFCs have moved to repo linked borrowings from Banks. At the same
time, the cost of funds from capital markets has declined ~200bp since the start of the
crisis. Hence, we believe HFCs will be able to keep spreads stable despite intense
competition.
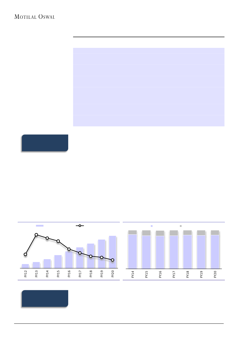
Asset quality has deteriorated over the past three years for most players led by the
non-retail segment. Stage 2 loan ratio has increased by up to 230bp over FY17-20 with
Stage 3 ratio increasing by up to 250bp over the same time period.
Banks have gained 500bp
market share in home
loans over past two
years.
Banks have gained market share since the IL&FS crisis…
From the start of this decade till the IL&FS crisis, HFCs consistently gained
market share in home loans as compared to banks – their market share
increased from 30% to 40% over FY10-18.
However, post the IL&FS crisis, growth for some HFCs took a backseat. In
addition, some players are focused on running down their loan books to
generate liquidity. As a result, HFCs lost nearly half the market share gained
over FY10-18 in FY19-20.
Exhibit 24: Banks gained nearly 500bp market share in home loans over FY18-20 (%)
Banks
30.0
33.7
35.2
37.8
37.9
38.1
HFCs
37.7
37.7
39.6
37.9
34.9
70.0
66.3
64.8
62.2
62.1
61.9
62.3
62.3
60.4
62.1
65.1
Source: MOFSL, Company
The Top 2 HFCs have
gained 700bp market
share within the HFC
space in the past two
years.
…led by decline in the loan books of some HFCs
However, after analyzing market share trends of HFCs, we note that market
share of the top-2 HFCs is largely steady despite severe competition from
banks.
Within the HFC space, these players have gained 700bp market share
cumulatively over the past two years.
January 2021
14
 Motilal Oswal Financial Services
Thematic: Housing Finance
Exhibit 25: While HDFC’s market share was largely stable over FY12-18, it improved over
FY18-20 (%)
HDFC
26
0
26
48
32
0
27
42
31
0
28
41
31
2
27
40
LICHF
30
2
27
41
31
3
26
40
PNBHF
32
4
25
40
33
4
23
39
Others
34
5
21
40
31
7
21
41
25
7
23
45
Source: MOFSL, Company
Sharp decline in cost of funds over past six months to protect spreads
~75-200bp decline in cost
of funds across various
instruments.
After the sharp MCLR cuts by banks in Mar-Apr’20, one of the biggest concerns
for HFCs was the sustainability of spreads. This is because loans reprice
immediately (given their floating rate nature), while borrowings, especially
market borrowings, reprice only on maturity of the borrowing.
However, in this phase, the repo rate cuts by the RBI have witnessed effective
transmission. The incremental cost of funds for HFCs from capital markets has
declined by ~200bp since the start of the crisis.
HDFC and LICHF are able to raise 3-year NCDs at ~5% and 90-day CPs at <4%.
Banks have also reduced MCLR by 75-100bp since the start of the lockdown.
Typically, the interest rate reset happens on the anniversary date of the loan –
for example, if an HFC borrowed from a bank at 1-year MCLR on 1
st
Jan’20 and
the bank cuts its MCLR on 1
st
Jun’20, the HFC would get the re-pricing benefit
on 1
st
Jan’21.
Large HFCs typically have 20-30% of their borrowings from banks
while smaller HFCs have 50-85% of borrowings from the banking system.
Exhibit 27: NCD issuance - LICHF
Tenure (yr)
3.0
3.0
10.0
3.0
2.0
5.0
2.0
Source: NSE
Interest Rate (%)
7.97
7.33
6.57
5.45
6.19
5.53
4.96
Date of Issue
28-Jan-20
12-Feb-20
12-Feb-20
26-Aug-20
25-Sep-20
01-Dec-20
01-Jan-21
Tenure
10.0
5.0
1.4
3.0
4.2
4.1
2.8
Source: NSE
Exhibit 26: NCD issuance - HDFC
Interest Rate (%)
6.99
6.95
7.25
5.40
4.95
5.78
4.23
Date of Issue
13-Feb-20
27-Apr-20
17-Jun-20
11-Aug-20
09-Sep-20
25-Nov-20
23-Dec-20
Exhibit 28: 80-90bp reduction in 1-year MCLR by leading banks since Jan’20 (%)
8.20
8.20
8.15
8.00
SBI
7.75
7.70
7.55
ICICIB
7.45
7.40
7.35
7.35
7.35
7.90
7.85
7.75
7.40
7.25
7.00
7.00
7.00
7.00
7.00
7.00
7.00
Source: MOFSL, Company
January 2021
15
 Motilal Oswal Financial Services
Thematic: Housing Finance
Minimal Covid-19 impact on asset quality
Economic revival better than expected
With most sectors of the economy reviving close to pre-COVID levels, the fear of job
losses or salary cuts has abated. Most companies are confident of restricting the
stress pool in retail loans to less than 2-3% of the overall book.
Over the last three years, the non-retail segment has led to sharp rise in NPAs for
HFCs. Post the lockdown, the fear of NPAs in this segment increased manifold.
However, with the permission of one-time restructuring and the pick-up in sales
velocity for large developers, this is now abating.
Stage 2 and Stage 3 loans
for most HFCs have
increased over the past
three years.
Asset quality deterioration over the last two years – a key concern
Over the past few years, asset quality stress has built up in the system. Barring
AAVAS and to an extent Repco, we have observed worsening asset quality
across players.
Stage 2 loans for most players have increased 80-230bp over the past three
years. However, REPCO/AAVAS have witnessed sharp declines of
~1,300/220bp over the same time period.
At the same time, Stage 3 loans ratio for all HFCs, barring AAVAS, increased
140-250bp over FY17-20.
AAVAS witnessed modest reduction of 40bp in this
ratio over the same time period.
Exhibit 29: Stage 2 loans increased up to 230bp over FY17-20… Exhibit 30: …while Stage 3 loans increased up to 250bp
Stage 2 (%)
HDFC
LICHF
PNBHF
CANF
REPCO
AAVAS
FY17
3.6
3.7
1.3
15.6
3.3
FY18
4.5
3.8
1.7
4.4
15.5
2.3
FY19
4.3
4.4
3.3
4.8
12.2
1.6
FY20
5.5
4.6
3.7
6.0
2.3
1.0
Stage 3 (%)
HDFC
LICHF
PNBHF
CANF
REPCO
AAVAS
FY17
FY18
FY19
0.9
0.4
0.2
2.9
0.9
1.3
0.8
0.3
0.4
3.1
0.4
1.4
1.5
0.5
0.6
3.2
0.5
FY20
2.3
3.0
2.7
1.8
4.8
0.4
Source: MOFSL, Company
Source: MOFSL, Company
Non-retail segment led to rise in NPAs
Continued stagnation in RE segment, inability of developers to raise money
through few HFCs (struggling with capitalization, liquidity and corporate
governance issues) and change in repayment schedule (which were tagged as
NPAs) have led to a rise in NPAs for the non-retail segment at industry level.
Considering aggressive lending by a few NBFCs dealing in the RE segment,
regulators also adopted a tougher stance for the sector. We entered the COVID
situation with an already gloomy background and fear of NPAs in this segment
increasing sharply at the beginning of the year.
January 2021
16
 Motilal Oswal Financial Services
Thematic: Housing Finance
Exhibit 31: Segment wise GNPL ratio – HDFC (%)
Retail
Corporate
2.7
2.9
2.9
7.8
0.7
0.7
0.8
1.0
0.9
0.8
0.4
0.8
0.8
0.9
1.1
4.7
4.1
4.2
Exhibit 32: Segment wise GNPL ratio – LICHF (%)
Retail GNPL
Non-retail GNPL
14.2
11.7
8.8
7.1
6.1
6.9
1.3
1.5
1.9
1.8
13.7
17.6
2.3
0.7
2.2
0.7
2.5
0.7
2.3
0.7
Source: MOFSL, Company
Source: MOFSL, Company
Share of sales of the top-
10 developers in the top-
6 cities up from 23% to
31% over the past four
years
Incremental events point toward relatively better outcome
With most sectors of the economy reviving close to pre-COVID levels, the fear
of job losses or salary cuts has abated. Most companies are confident of
restricting the stress pool in retail loans to less than 2-3% of the overall book.
Further, improvement in demand and ability of larger developers to raise
money and service their debts points toward better asset quality outcome.
Even regulators’ favorable stance toward RE is positive. Over the last six
months, the RBI allowed (a) an extension of DCCO for the RE space without
classifying it as NPA, (b) one-time restructuring in RE projects, and (c) reduction
in risk weights for housing loans.
Over the past four years, there has been a trend in consolidation of the large
developers in the top-6 cities while the share of the top-10 developers in total
housing sales has increased from 23% to 31% over 2016-20.
We expect this
consolidation trend to pick up further, which augurs well for asset quality and
growth of HFCs.
January 2021
17
 Motilal Oswal Financial Services
Thematic: Housing Finance
Valuation and view
On the brink of a turnaround; Valuations attractive
Over the past five years, the real estate sector has faced several headwinds including
slowing sales, rising inventory levels and price stagnation. The implementation of
RERA and GST also hit the sector, especially the smaller players. Post IL&FS, some
NBFCs faced continued headwinds in accessing debt capital from markets. As a result,
large players with strong balance sheets gained market share.
Over the past few years, housing sales exceeded new home launches, resulting in a
decline in inventory overhang. Following the lockdown, sales suddenly plunged, but
have now started recovering.
The housing finance sector has witnessed two turbulent years post the IL&FS crisis,
resulting in loss of market share to banks. However, in these two years, we note of a
sharp gain in market share by the top-2 HFCs. Also, while disbursements were muted
in 1QFY21, they have largely normalized in 2QFY21. These players expect to deliver
YoY disbursement growth in 2HFY21.
Post the sharp cut in home loan rates by banks in Mar-Apr’20, investors were
skeptical of the trajectory in spreads. However, the incremental cost of funds has
declined sharply (between 75-200bp) for players with strong parentage. As a result,
we do not foresee any impact on spreads.
While there had been some asset quality deterioration pre-COVID, concerns on
significant deterioration post-COVID too have abated. The retail lending portfolios
would not see any meaningful asset quality issues as very few customers have lost
jobs or witnessed permanent cash flow disruption. At the same time, HFCs got some
relief on the corporate side post the allowance of one-time restructuring by the RBI.
We expect HFCs under our coverage to generate 12-17% RoE once the situation
normalizes in FY22. We believe the current risk-reward is favorable. HDFC remains
our top idea in the sector. In this report, we are also initiating coverage of AAVAS
with a Neutral rating and CANF with a Buy rating. We remain Neutral on PNBHF due
to concerns over its capitalization.
FY15
10.83
7.50
3.33
0.12
3.46
0.29
8.53
0.14
0.16
3.16
0.07
3.09
0.29
0.22
0.00
3.60
1.10
30.54
2.50
8.01
20.02
22.76
FY16
10.32
7.13
3.20
0.14
3.34
0.28
8.37
0.13
0.15
3.06
0.10
2.96
0.30
0.63
-0.17
3.72
1.11
29.83
2.61
8.01
20.90
20.66
FY17
9.87
6.69
3.19
0.11
3.30
0.27
8.12
0.12
0.14
3.03
0.14
2.89
0.29
0.34
-0.09
3.43
1.05
30.62
2.38
7.87
18.74
19.74
FY18
9.03
6.40
2.63
0.06
2.69
0.52
19.32
0.37
0.15
2.17
0.13
2.04
0.29
1.56
-0.45
3.45
0.61
17.62
2.84
6.75
19.18
12.57
FY19
9.16
6.49
2.67
0.07
2.74
0.35
12.65
0.17
0.18
2.39
0.12
2.27
0.26
0.42
-0.10
2.86
0.81
28.44
2.05
6.01
12.30
12.98
FY20
8.90
6.31
2.59
0.06
2.65
0.30
11.48
0.12
0.18
2.35
0.32
2.03
0.22
2.58
-0.88
3.94
0.53
13.32
3.42
6.01
20.55
13.13
FY21E
8.02
5.35
2.66
0.05
2.72
0.33
12.12
0.17
0.16
2.39
0.28
2.11
0.17
0.37
-0.16
2.48
0.48
19.56
1.99
5.84
11.30
12.48
FY22E
7.41
4.67
2.74
0.06
2.80
0.32
11.27
0.15
0.17
2.48
0.29
2.19
0.22
0.08
0.00
2.49
0.56
22.41
1.93
5.74
11.89
12.56
FY23E
7.28
4.60
2.69
0.06
2.74
0.28
10.19
0.11
0.17
2.46
0.29
2.17
0.23
0.08
0.00
2.48
0.56
22.47
1.92
6.01
12.41
12.88
Exhibit 33: DuPont Analysis – HDFC (%)
(%)
Interest Income
Interest Expended
Net Interest Income
Other core operating income
Core Income
Operating Expenses
Cost to Income Ratio (%)
Employee Expenses
Other Expenses
Core Operating Profits
Provisions/write offs
Core PBT
Dividend Income
Treasury and Other Income
One off provisions/Expenses
PBT
Tax
Tax Rate (%)
Reported PAT
Leverage (x)
RoE
Core RoE
January 2021
18
 Motilal Oswal Financial Services
Thematic: Housing Finance
Exhibit 34: DuPont Analysis – LICHF (%)
Interest Income
Interest Expenses
Net Interest Income
Non interest Income
Net Income
Operating Expenses
Cost to income (%)
Employees
Others
Operating Profits
Provisions/write offs
PBT
Tax
Tax Rate (%)
PAT
Leverage (x)
RoE
FY15
10.88
8.57
2.31
0.26
2.57
0.39
15.24
0.13
0.26
2.18
0.01
2.17
0.74
34.05
1.43
12.63
17.54
FY16
10.92
8.29
2.62
0.21
2.83
0.42
14.74
0.13
0.28
2.42
0.13
2.28
0.80
35.22
1.48
13.23
19.58
FY17
10.26
7.56
2.69
0.15
2.85
0.45
15.89
0.18
0.27
2.39
0.21
2.18
0.76
34.67
1.43
12.65
18.06
FY18
9.12
6.93
2.19
0.11
2.30
0.27
11.89
0.14
0.13
2.03
0.31
1.72
0.47
27.59
1.25
12.33
15.36
FY19
9.24
6.94
2.30
0.11
2.41
0.26
10.63
0.13
0.12
2.15
0.33
1.82
0.51
28.07
1.31
12.53
16.40
FY20
9.33
7.08
2.24
0.10
2.34
0.30
12.62
0.14
0.15
2.05
0.48
1.57
0.42
26.53
1.15
12.42
14.30
FY21E
8.72
6.51
2.21
0.09
2.30
0.29
12.53
0.14
0.15
2.02
0.34
1.68
0.35
20.70
1.33
11.87
15.82
FY22E
8.11
5.85
2.26
0.09
2.36
0.29
12.39
0.15
0.14
2.06
0.38
1.68
0.34
20.50
1.34
11.32
15.14
FY23E
7.63
5.42
2.20
0.10
2.30
0.29
12.82
0.16
0.14
2.00
0.38
1.62
0.33
20.50
1.29
10.93
14.10
Source: MOFSL, Company
Exhibit 35: DuPont Analysis – PNBHF (%)
Interest Income
Interest Expended
Net Interest Income
Other Income
Fees
Others
Net Income
Operating Expenses
Cost to Income Ratio (%)
Employee Expenses
Other Expenses
Operating Profit
Provisions/write offs
PBT
Tax
Tax Rate (%)
Reported PAT
Leverage
RoE
2015
10.93
8.28
2.66
0.72
0.32
0.40
3.37
1.20
35.5
0.44
0.76
2.18
0.25
1.93
0.66
34.09
1.27
12.16
15.45
2016
10.46
7.64
2.82
0.63
0.35
0.28
3.45
1.04
30.0
0.31
0.73
2.41
0.34
2.07
0.73
35.05
1.35
13.07
17.58
2017
10.08
7.32
2.76
0.74
0.46
0.28
3.50
0.99
28.3
0.28
0.71
2.51
0.28
2.23
0.78
34.86
1.45
9.09
13.18
2018
9.56
6.70
2.86
0.84
0.55
0.28
3.70
0.84
22.6
0.27
0.56
2.86
0.52
2.34
0.74
31.87
1.59
8.54
13.60
2019
9.25
7.03
2.21
1.21
0.61
0.60
3.43
0.81
23.6
0.41
0.39
2.62
0.26
2.36
0.74
31.30
1.62
10.41
16.89
2020
9.45
7.22
2.23
0.98
0.37
0.62
3.21
0.68
21.1
0.29
0.39
2.53
1.54
1.00
0.20
20.32
0.79
10.47
8.32
2021E
9.35
6.80
2.56
0.56
0.16
0.41
3.12
0.62
19.9
0.30
0.32
2.50
0.93
1.57
0.35
22.00
1.23
9.34
11.45
2022E
9.08
6.45
2.63
0.79
0.27
0.52
3.42
0.68
20.0
0.34
0.35
2.74
0.93
1.81
0.40
22.00
1.41
8.65
12.19
2023E
8.92
6.34
2.59
0.87
0.33
0.54
3.46
0.70
20.2
0.35
0.35
2.76
0.51
2.24
0.49
22.00
1.75
8.41
14.71
Source: MOFSL, Company
January 2021
19
 Motilal Oswal Financial Services
Thematic: Housing Finance
Exhibit 36: DuPont Analysis – CANF (%)
Interest Income
Interest Expended
Net Interest Income
Other Income
Net Income
Operating Expenses
Cost to Income Ratio (%)
Employee Expenses
Other Expenses
Operating Profit
Provisions/write offs
PBT
Tax
Tax Rate (%)
PAT
Leverage
RoE
2015
11.06
8.57
2.49
0.41
2.90
0.77
26.62
0.35
0.43
2.13
0.20
1.93
0.72
37.26
1.21
11.64
14.09
2016
10.94
7.79
3.15
0.41
3.56
0.70
19.64
0.35
0.35
2.86
0.20
2.66
1.01
38.11
1.65
11.57
19.05
2017
10.86
7.35
3.51
0.39
3.90
0.67
17.21
0.33
0.34
3.23
0.16
3.07
1.12
36.50
1.95
11.55
22.55
2018
10.27
6.76
3.51
0.22
3.73
0.60
16.23
0.31
0.30
3.12
0.15
2.97
1.00
33.61
1.97
10.78
21.27
2019
9.94
6.79
3.16
0.10
3.26
0.53
16.27
0.24
0.29
2.73
0.01
2.73
1.00
36.80
1.72
10.54
18.15
2020
10.15
6.76
3.39
0.06
3.45
0.54
15.69
0.27
0.27
2.91
0.30
2.61
0.71
27.43
1.89
10.11
19.13
2021E
9.71
6.01
3.70
0.04
3.74
0.49
13.03
0.27
0.22
3.25
0.53
2.72
0.68
25.00
2.04
9.19
18.74
2022E
9.31
5.83
3.47
0.05
3.52
0.51
14.58
0.28
0.24
3.01
0.28
2.73
0.68
25.00
2.05
8.30
16.98
2023E
9.22
5.77
3.44
0.05
3.49
0.52
14.77
0.28
0.24
2.98
0.18
2.79
0.70
25.00
2.09
7.80
16.34
Source: MOFSL, Company
Exhibit 37: DuPont Analysis – REPCO (%)
Interest Income
Interest Expended
Net Interest Income
Other Income
Net Income
Operating Expenses
Cost to Income Ratio (%)
Employee Expenses
Other Expenses
Operating Profit
Provisions/write offs
PBT
Tax
Tax Rate (%)
PAT
Leverage
RoE
2015
12.38
7.99
4.40
0.43
4.83
1.01
20.95
0.62
0.39
3.82
0.38
3.44
1.17
33.89
2.28
6.97
15.88
2016
12.31
7.92
4.39
0.43
4.82
0.93
19.28
0.59
0.34
3.89
0.57
3.33
1.16
34.77
2.17
7.83
16.99
2017
12.07
7.69
4.38
0.38
4.76
0.80
16.91
0.51
0.29
3.95
0.62
3.33
1.17
34.95
2.17
8.03
17.42
2018
11.56
6.91
4.65
0.27
4.91
0.84
17.12
0.53
0.31
4.07
0.80
3.27
1.13
34.60
2.14
7.68
16.44
2019
11.25
6.96
4.29
0.31
4.59
0.95
20.71
0.57
0.39
3.64
0.16
3.48
1.21
34.79
2.27
7.30
16.55
2020
11.48
7.19
4.29
0.29
4.58
0.93
20.24
0.58
0.35
3.66
0.52
3.14
0.70
22.17
2.44
6.92
16.92
2021E
11.14
6.77
4.37
0.16
4.53
0.86
19.04
0.57
0.29
3.67
0.52
3.14
0.79
25.20
2.35
6.44
15.15
2022E
10.55
6.35
4.20
0.21
4.41
0.88
19.95
0.59
0.29
3.53
0.42
3.11
0.78
25.20
2.33
6.03
14.03
2023E
10.56
6.30
4.26
0.22
4.48
0.88
19.74
0.59
0.29
3.60
0.44
3.16
0.80
25.20
2.36
5.78
13.67
Source: MOFSL, Company
January 2021
20
 Motilal Oswal Financial Services
Thematic: Housing Finance
Exhibit 38: DuPont Analysis – AAVAS (%)
%
Interest Income
Interest Expended
Net Interest Income
Other Income
Net Income
Operating Expenses
Cost to Income Ratio (%)
Employee Expenses
Other Expenses
Operating Profit
Provisions
PBT
Tax
Tax Rate (%)
PAT
Leverage
RoE
2015
14.93
8.23
6.70
1.68
8.38
3.49
41.7
2.73
0.77
4.89
0.37
4.52
1.54
34.1
2.98
8.12
24.20
2016
13.41
7.53
5.88
1.90
7.78
3.62
46.5
2.64
0.98
4.16
0.36
3.80
1.30
34.4
2.49
8.45
21.06
2017
13.01
6.86
6.15
1.67
7.82
3.24
41.4
2.07
1.17
4.58
0.32
4.26
1.48
34.7
2.78
5.41
15.04
2018
12.10
5.95
6.15
3.14
9.29
5.07
54.6
3.44
1.63
4.22
0.08
4.14
1.27
30.7
2.87
3.70
10.60
2019
12.28
5.28
7.00
2.43
9.43
3.91
41.5
2.43
1.49
5.52
0.18
5.33
1.69
31.7
3.64
3.19
11.62
2020
11.84
5.36
6.48
1.76
8.24
3.46
42.0
2.21
1.24
4.78
0.23
4.55
0.80
17.5
3.75
3.38
12.66
2021E
11.63
5.61
6.02
1.18
7.19
3.06
42.5
2.06
1.00
4.13
0.55
3.58
0.79
22.0
2.79
3.80
10.61
2022E
11.56
5.53
6.03
1.52
7.54
3.06
40.6
2.08
0.97
4.48
0.31
4.18
0.92
22.0
3.26
3.94
12.84
2023E
11.80
5.55
6.24
1.65
7.90
2.99
37.9
2.06
0.93
4.91
0.27
4.64
1.02
22.0
3.62
4.00
14.47
Source: MOFSL, Company
January 2021
21
 Motilal Oswal Financial Services
Thematic: Housing Finance
Key takeaways from business leaders
Mr. Deepak Parekh – Chairman, HDFC
“Property developers should be prepared for up to 20% fall in housing prices
and must create liquidity by selling their inventory at whatever prices they get.”
(Apr’20)
“Look at any number, whether it is e-bills, tolls and even housing sector (things
have recovered). We never expected that September and October would be
such fantastic new inflows of application compared to previous September-
October, which was pre-pandemic.”
(Dec’20)
“Strong AAA rated-NBFCs have no dearth of liquidity. Lower rated NBFCs/HFCs
have not been getting funding from banks due to risk aversion. Guarantee
should help these lenders. Expect the CLSS to be helpful for the housing finance
industry.”
(May’20)
“This is the best time to buy a house. Interest rates of sub-7% on housing loans
are the lowest in my career and the likelihood of a further rate cuts by RBI
seems relatively limited”
(Jan’21)
Mr. Keki Mistry – Vice-Chairman and CEO, HDFC
Mr. Siddhartha Mohanty – MD, LIC Housing Finance
“Recently launched home loans at 7.5% interest for customers with 800+ CIBIL
score. Taking advantage of reducing cost of funds. Expect demand revival for
the affordable housing segment after 2-3 quarters.”
(May’20)
“As far as realty sector is concerned, after September, we realized that a lot of
growth is happening in this sector, especially in every segment. Earlier, it was
restricted just to the affordable segment but in the last two months, we
realized the mid-segment, upper mid-segment and premium segment are also
growing significantly.”
(Jan’21)
“Real estate developers are unlikely to sell their inventory at a discount in a
hurry. Developers are likely to face high ready-reckoner rates/the minimum
price to calculate taxes, as an inability to sell at a discount.” (Jun’20).
“Governments are taking a proactive view in terms of intervention into real
estate. The Maharashtra government has brought down stamp duty rates by
60%, which is unprecedented. Stamp duty rates are just 2%, which many people
thought would never happen” (Dec’20).
“We are starting the year (2021) on a positive note. There were a lot of
concerns last year with COVID and the lockdown; those concerns passed us. We
had a good first half of the financial year from sales volume perspective. We
expect the second half to be much better and especially the Q4 where we have
large number of launches planned. We have four markets that are of prime
focus for us – Mumbai, Pune, National Capital Region (NCR) and Bengaluru and
we are seeing good traction here, reasonably equal sales across these 4
markets.” (Jan’21).
Mr. Niranjan Hiranandani – President, Naredco
Mr. Pirojsha Godrej – Executive Chairman, Godrej Properties
January 2021
22
 Motilal Oswal Financial Services
HFC: A Home Run!
Well-placed to capture market share
Well diversified liability profile; Provisions >
GNPLs; Improving ROAs
Thematic: Housing Finance
Business turning around
Strong parentage aids debt capital at
competitive rates
Building a foundation for the long term
Rights Systems, Right Processes | RoA, asset
quality best-in-class
Pg24
Pg30
Pg35
Pg56
Pg71
Pg75
Pg79
Pg84
A balanced player
Healthy asset quality | Low CoF | 100% retail
loans
Preserving capital; Focus on retail loans
Asset quality a key monitorable
Prioritizing asset quality over growth
RoA/RoE to be healthy at 2.4%/14%
Pan-India affordable housing finance player
~50% CRAR; Healthy return ratios
A niche player
Focus on analytics | Healthy asset quality |
Strong growth
January 2021
23
 Motilal Oswal Financial Services
Update
Thematic:
Financials
Finance
| Sector:
Housing
– NBFC
HDFC
BSE Sensex
49,584
S&P CNX
14,596
CMP: INR2,684
TP: INR3,250 (+21%)
Buy
Well-placed to capture market share
Stock info
Bloomberg
Equity Shares (m)
M.Cap.(INRb)/(USDb)
52-Week Range (INR)
1, 6, 12 Rel. Per (%)
HDFC IN
1,721
4832.3 / 65.8
2778 / 1473
9/12/-11
Well diversified liability profile; Provisions > GNPLs; Improving ROAs
Sharp fall in cost of funds
HDFC is the key beneficiary of continued excess liquidity at the system level and
the resultant plunge in borrowing cost (partially led by flight to safety).
It is
borrowing 3- to 5-year money at 5–5.5% and one-year CPs at less than 4.5%.
Even deposit rates have been down by 150bp+ since the start of the year.
The
75–100bp cut in MCLR by banks is also likely to help the company. Overall,
incremental cost of funds has declined 150–200bp to 5–5.5%, whereas
incremental lending rates in the retail portfolio stand at 7%+ – providing
significant comfort on spreads in a hyper-competitive environment. Reduction
in excess liquidity and the benefit of a capital raise are likely to aid margins.
Financial Snapshot (INR b)
Y/E March
2020 2021E
Core PPoP
140.3 164.2
Adj. PAT
96.2 107.4
Adj. EPS (INR)
49.2
54.4
EPS Gr. (%)
10.8
10.6
BV/Sh. (INR)
537.9 619.8
ABV/Sh. (INR)
399.0 485.2
Core RoA (%)
1.8
1.8
Core RoE (%)
13.1
12.5
Payout (%)
23.7
43.5
Valuation
AP/E (x)
33.6
28.5
P/BV (x)
5.0
4.3
AP/ABV (x)
4.1
3.2
Div. Yield (%)
0.8
0.9
Shareholding pattern (%)
As On
Sep-20 Jun-20
Promoter
0.0
0.0
DII
18.7
18.5
FII
70.0
70.2
Others
11.3
11.3
As On
Stock Performance (1-year)
2022E
184.9
128.3
63.8
17.3
665.3
530.7
1.9
12.6
43.5
21.6
4.0
2.6
1.0
Growth to remain healthy, led by consolidation in the sector
We are constructive on the Indian RE space, and HDFC being a leader with
~16% market share, is likely to be a key beneficiary of the same. HDFC is
expected to be a beneficiary of balance transfer cases at the system level as
some of the large HFCs face their own sets of issues.
Overall, we estimate a 12-
13% AUM CAGR in the individual and corporate segments over FY20–23E.
Asset quality best in class; Non-Individual segment to be a drag
Sep-19
0.0
16.7
72.5
10.8
HDFC has managed asset quality well across cycles, with the individual GNPA %
remaining below 1%. With stability returning at the economy level, the fear of
job loss or sharp salary cuts has reduced sharply. We expect the Individual
segment to remain resilient in the ensuing years. On the other hand, the Non-
Individual segment is likely to remain under pressure, in our view. The GNPA %
increased to 4%+ v/s sub 2% earlier.
However, we draw our comfort with
adequate ECL provisioning of 2.6% v/s sub 1% three years ago.
We expect
HDFC to continue to utilize any one-off gains to build provisions for potential
stress in the future; hence, higher provisioning may not impact core earnings.
Healthy core ROA of 1.8%; Valuations attractive
Stable-to-improving margins, a lean cost structure, and a well-provided balance
sheet would keep core RoA healthy at 1.8% over the medium term. Decline in
leverage (6–7x, v/s 9–10x earlier) due to the recent capital raise would restrict
ROE to ~13% in the near-to-medium term. Over the last 3–5 years, HDFC’s core
business (assuming a constant 20% Holdco discount) has seen de-rating, with
multiples contracting from 3x+ to 2x core BV due to headwinds faced by the
sector and falling ROA. RE sector tailwinds, coupled with improving profitability,
should now see multiple re-ratings. We use SOTP to arrive at a TP of INR3,250
(FY23E based).
January 2021
24
 Motilal Oswal Financial Services
Thematic: Housing Finance
Story in charts
Exhibit 39: In last three quarters borrowing rates down by ~250bp across tenure
Instrument
NCD
NCD
NCD
NCD
NCD
NCD
NCD
NCD
NCD
NCD
NCD
Month of issue
Apr
Apr
May
May
Jun
Aug
Sep
Sep
Nov
Dec
Dec
Tenure of instrument
3YR
3YR
1.5YR
2YR
10YR
2YR
1YR
5YR
5YR
2YR
2YR
Interest rate (%)
7.20
6.95
7.06
7.00
7.25
5.40
4.95
6.43
5.78
4.50
4.23
Source: MOFSL, NSE
Exhibit 40:
Stable spreads (%)
Individual Loans
3.14
3.08
3.02
3.44
3.07
3.09
Non Individual Loans
3.26
3.14
3.14
3.16
Exhibit 41:
NII growth largely in-line with AUM growth
AUM growth
NII growth
1.91
1.91
1.85
1.97
1.91
1.95
1.93
1.89
1.92
1.90
Source: MOFSL, Company
Source: MOFSL, Company; 2QFY21 NII growth strong due to equity
raise
Exhibit 42: Individual loan growth remains healthy at ~15% YoY
Individual Loan Growth
17.8
17.1
10.4
16.8
16.7
Non-Individual Loan Growth
16.2
15.2
10.5
6.2
2.2
9MFY19
FY19
Q1FY20
3.5
6.1
9.1
13.9
13.9
8.1
1HFY20
9MFY20
FY20
Q1FY21
1HFY21
Source: MOFSL, Company
January 2021
25
 Motilal Oswal Financial Services
Thematic: Housing Finance
Exhibit 43:
Non individual segment NPA% rising
Individual GNPA
Non-Individual GNPA
4.7
4.1
2.9
2.9
1.31
0.7
0.8
1.0
0.9
0.8
1.33
4.2
1.44
Exhibit 44:
HDFC prudently increasing provisioning
ECL Provisions (%)
2.25
1.55
1.72
2.44
2.64
2.60
2.2
0.7
2.5
0.7
2.3
0.7
2.7
0.7
Source: MOFSL, Company
Source: MOFSL, Company
Exhibit 45:
Consistently gaining share despite high
competition from banks
HDFC Overall MS (%)
14.5
15.2 15.4 15.3 15.0
14.8
15.7 15.5 15.9
Exhibit 46:
Sharp improvement in MS within HFCs in last
three years (MS, %)
HDFC
26
0
26
32
0
27
31
0
28
31
2
27
LICHF
30
2
27
31
3
26
PNBHF
32
4
25
40
33
4
23
39
Others
34
5
21
40
31
7
21
41
25
7
23
14.3 14.1
48
42
41
40
41
40
45
Source: MOFSL, Company, RBI
Source: MOFSL, Company
Exhibit 47: Share of key ventures in SOTP on the rise (%)
51
54
51
59
49
46
48
47
54
55
43
44
43
44
46
49
50
48
Source: MOFSL, Company
January 2021
26
 Motilal Oswal Financial Services
Thematic: Housing Finance
Exhibit 48: DuPont Analysis
(%)
Interest Income
Interest Expended
Net Interest Income
Other core operating income
Core Income
Operating Expenses
Cost to Income Ratio (%)
Employee Expenses
Other Expenses
Core Operating Profits
Provisions/write offs
Core PBT
Dividend Income
Treasury and Other Income
One off provisions/Expenses
PBT
Tax
Tax Rate (%)
Reported PAT
Leverage (x)
RoE
Core RoE
FY15
10.83
7.50
3.33
0.12
3.46
0.29
8.53
0.14
0.16
3.16
0.07
3.09
0.29
0.22
0.00
3.60
1.10
30.54
2.50
8.01
20.02
22.76
FY16
10.32
7.13
3.20
0.14
3.34
0.28
8.37
0.13
0.15
3.06
0.10
2.96
0.30
0.63
-0.17
3.72
1.11
29.83
2.61
8.01
20.90
20.66
FY17
9.87
6.69
3.19
0.11
3.30
0.27
8.12
0.12
0.14
3.03
0.14
2.89
0.29
0.34
-0.09
3.43
1.05
30.62
2.38
7.87
18.74
19.74
FY18
9.03
6.40
2.63
0.06
2.69
0.52
19.32
0.37
0.15
2.17
0.13
2.04
0.29
1.56
-0.45
3.45
0.61
17.62
2.84
6.75
19.18
12.57
FY19
9.16
6.49
2.67
0.07
2.74
0.35
12.65
0.17
0.18
2.39
0.12
2.27
0.26
0.42
-0.10
2.86
0.81
28.44
2.05
6.01
12.30
12.98
FY20
8.90
6.31
2.59
0.06
2.65
0.30
11.48
0.12
0.18
2.35
0.32
2.03
0.22
2.58
-0.88
3.94
0.53
13.32
3.42
6.01
20.55
13.13
FY21E
8.02
5.35
2.66
0.05
2.72
0.33
12.12
0.17
0.16
2.39
0.28
2.11
0.17
0.37
-0.16
2.48
0.48
19.56
1.99
5.84
11.30
12.48
FY22E
FY23E
7.41
7.28
4.67
4.60
2.74
2.69
0.06
0.06
2.80
2.74
0.32
0.28
11.27
10.19
0.15
0.11
0.17
0.17
2.48
2.46
0.29
0.29
2.19
2.17
0.22
0.23
0.08
0.08
0.00
0.00
2.49
2.48
0.56
0.56
22.41
22.47
1.93
1.92
5.74
6.01
11.89
12.41
12.56
12.88
Source: MOFSL, Company
Exhibit 49: SOTP (FY23E based)
Particular
Core business
Key Ventures
HDFC Bank
HDFC Standard Life
HDFC AMC
HDFC ERGO GIC
Bandhan Bank
Credila
Other Invt
Total Value of Ventures
Less: 20% holding discount
Value of Key Ventures
SOTP
CMP
Upside - %
Stake
Value
(INR b)
3,114
1,968
681
422
120
81
82
17
3,372
674
2,697
5,811
Value
(USD b)
41.2
26.0
9.0
5.6
1.6
1.1
1.1
0.2
44.6
8.9
35.7
76.9
Value/Sh.
(INR)
1,741
1,102
381
236
67
45
46
10
1,887
377
1,510
3,250
2,684
21.0
Target
% of total Multiple (x) Rationale
53.6
3.0
PBV
33.9
11.7
7.3
2.1
1.4
1.4
0.3
58.1
11.6
46.4
100.0
3.6
4.0
45.0
7.0
3.0
1.0
PBV
PEV
PE
PBV
PBV
Last deal
Invested Capital
21.1
50.0
52.7
49.9
10.0
100.0
Source: MOFSL, Company
January 2021
27
 Motilal Oswal Financial Services
Thematic: Housing Finance
Financials and valuation
Income statement
Y/E March
Interest Income
Interest Expended
Net Interest Income
Change (%)
Assignment income
NII (including assignment income)
Change (%)
Other core operating income
Core Income
Change (%)
Operating Expenses
Change (%)
% of core income
Core operating profits
Change (%)
Provisions/write offs
Core PBT
Change (%)
Profit on sale/MTM on Invt.
Dividend Income
One off exp/prov
Miscellanous Income
PBT
Tax
Tax Rate (%)
Reported PAT
Change (%)
PAT adjusted for EO*
Change (%)
Proposed Dividend
Other liabilities
Total Liabilities
Loans
Change (%)
Investments
Change (%)
Net Fixed Assets
Other assets
Total Assets
E: MOFSL Estimates
2016
281
194
87
8.8
0
87
8.8
4
91
9.5
8
7.4
8.4
83
9.7
7
76
2.5
16
8
-5
1
97
30
31.2
66
10.9
66
8.9
31
142
2,879
2,592
13.6
153
7.4
7
144
2,897
2017
309
209
100
14.5
0
100
14.5
3
103
13.5
8
10.3
8.1
95
13.8
7
88
15.3
10
9
-3
1
105
33
31.4
72
7.9
74
12.2
29
124
3,352
2,989
15.3
202
31.5
10
150
3,352
2018
331
235
96
-3.2
5
102
2.2
2
104
0.9
19
127.6
18.3
85
-10.3
21
64
-27.3
57
11
-17
0
115
22
19.3
93
29.8
68
-8.7
41
139
3,989
3,628
21.4
307
52.2
10
43
3,989
2019
393
278
114
18.7
9
123
21
3
126
21.4
15
-22
11.8
111
31.1
9
102
59.9
18
11
-4
0
127
35
27.4
92
-1
87
29
43
152
4,588
4,066
12.1
462
50.5
10
50
4,588
2020
437
310
127
11.4
10
137
11.5
3
140
11.1
15
0.8
10.7
125
12.5
59
66
-35.2
126
11
-43
0
160
26
16.1
135
46
96
10.5
44
188
5,241
4,509
10.9
649
40.4
22
60
5,241
2021E
445
297
148
15.8
8
156
13.4
3
159
13.1
18
21.9
11.5
140
12.1
25
116
75.2
20
9
-9
0
136
27
19.7
109
-18.7
107
11.6
44
207
5,852
5,062
12.3
682
5
25
84
5,852
2022E
459
289
170
15
10
180
15.9
4
184
15.9
20
6.9
10.6
164
17
18
146
26.4
5
14
0
0
165
35
21
130
19.2
128
19.5
49
228
6,544
5,679
12.2
750
10
27
88
6,544
(INR b)
2023E
510
322
188
10.9
12
200
11.2
4
204
11.3
20
0.3
9.6
185
12.6
21
164
12.3
5
16
0
0
186
39
21
147
12.8
145
12.8
55
251
7,471
6,531
15
825
10
30
85
7,471
January 2021
28
 Motilal Oswal Financial Services
Thematic: Housing Finance
Financials and valuation
Y/E March
AUM (INR B)
Change (%)
Individual loans (%)
Non Individual loans (%)
On Balance Sheet (%)
Assignment/Securitisation (%)
E: MOFSL Estimates
Ratios
Y/E March
Spreads Analysis (%)
Avg Yield on Hsg Loans
Avg. Yield on Funds
Avg. Cost of funds
Interest Spread on loans
Net Interest Margin
Profitability Ratios (%)
RoAE
Core ROE
RoA
Core ROA
Efficiency Ratios (%)
Int. Expended/Int.Earned
Op. Exps./Net Income
Empl. Cost/Op. Exps.
Asset Quality (INR m)
Gross NPAs
Gross NPAs to Adv. (%)
Net NPAs
Net NPAs to Adv. (%)
2016
2,915
15.1
72.8
27.2
88.9
11.1
2017
3,385
16.1
72.6
27.4
88.3
11.7
2018
4,029
19.0
72.9
27.1
90.1
9.9
2019
4,619
14.7
74.5
25.5
88.0
12.0
2020E
5,168
11.9
75.8
24.2
87.3
12.7
2021E
5,736
11.0
74.8
25.2
88.3
11.8
2022E
6,453
12.5
74.5
25.5
88.0
12.0
2023E
7,421
15.0
74.5
25.5
88.0
12.0
2016
11.0
11.0
8.7
2.3
3.4
2017
10.5
10.5
8.1
2.5
3.4
2018
9.6
9.4
7.8
1.7
2.7
2019
9.7
9.5
8.1
1.6
2.8
2020
9.7
9.4
7.9
1.8
2.7
2021E
8.9
8.5
6.8
2.1
2.8
2022E
8.2
7.8
5.9
2.3
2.9
2023E
8.0
7.6
5.8
2.3
2.8
20.9
20.7
2.42
2.02
18.7
19.7
2.37
2.04
20.2
12.6
1.84
1.61
13.5
13.0
2.03
1.84
21.7
13.1
1.96
1.80
12.5
12.5
1.94
1.82
12.1
12.6
2.07
1.90
12.6
12.9
2.06
1.88
69.0
6.6
46.0
67.7
6.8
46.5
70.9
11.1
72.0
70.9
9.6
48.2
70.9
5.4
39.6
66.8
9.7
50.3
63.0
9.7
47.1
63.1
8.7
39.9
19
0.7
13
0.5
24
0.8
16
0.6
41
1.1
29
0.8
48
1.2
34
0.8
2019
451.7
6.0
352.4
5.3
44.4
28.7
41.7
21.0
0.8
89
2.0
66
1.5
2020
537.9
5.0
399.0
4.2
49.2
10.8
34.0
21.0
0.8
141.0
2.8
98.7
2.0
2021E
619.8
4.3
485.2
3.2
54.4
10.6
28.5
24.8
0.9
170.7
3.0
119.5
2.1
2022E
665.3
4.0
530.7
2.6
63.8
17.3
21.6
27.3
1.0
201.8
3.1
141.2
2.2
2023E
716.7
3.7
582.1
2.0
71.6
12.3
16.4
30.8
1.1
VALUATION
2016
2017
2018
Book Value (INR)
227.7
274.7
391.1
Price-BV (x)
Adjusted BV* (INR)
176.6
220.1
340.2
Adj Price-ABV (x)
Adjusted EPS (INR)#
33.7
39.1
34.5
Adjusted EPS Growth YoY
8.2
15.9
-11.7
Adj Price-Adj EPS (x)
Dividend per share (INR)
17.0
18.0
20.0
Dividend yield (%)
E: MOFSL Estimates; * BV is adj. by ded. invt in Subs/Asso. from NW
# Adjusted EPS is adjusting for dividend from key ventures and one offs
January 2021
29
 Motilal Oswal Financial Services
Update
Thematic:
Financials
Finance
| Sector:
Housing
– NBFC
LIC Housing Finance
BSE Sensex
49,584
S&P CNX
14,596
CMP: INR433
TP: INR510 (+18%)
Buy
Business turning around
Strong parentage aids debt capital at competitive rates
Stock info
Bloomberg
Equity Shares (m)
M.Cap.(INRb)/(USDb)
52-Week Range (INR)
1, 6, 12 Rel. Per (%)
Focused approach on growth
LICHF IN
505
218.6 / 3
486 / 186
12/27/-23
Financial Snapshot (INR b)
Y/E March
2020 2021E
NII
46.8
49.9
PPP
42.7
45.5
PAT
24.0
30.1
EPS (INR)
47.6
59.6
EPS Gr. (%)
-1.2
25.3
BV/Sh (INR)
352
401
Ratios
NIM (%)
2.3
2.3
C/I ratio (%)
12.6
12.5
RoAA (%)
1.2
1.3
RoE (%)
14.3
15.8
Payout (%)
16.8
17.5
Valuations
P/E (x)
9.1
7.3
P/BV (x)
1.2
1.1
Div. Yield (%)
1.8
2.1
Shareholding pattern (%)
As On
Sep-20 Jun-20
Promoter
40.3
40.3
DII
12.6
10.6
FII
34.4
34.3
Others
12.6
14.8
FII Includes depository receipts
Stock Performance (1-year)
Over FY17–1HFY21, amid a hyper-competitive environment, LICHF moderated
growth in core retail housing to ~10% CAGR. During this period, it focused on
cross-selling high-yielding LAP products with ticket sizes lower than INR1.5m to
manage spreads (30%+ CAGR). With the comfort emerging on cost of funds and
reducing competitive intensity,
LICHF is likely to see healthy growth in core
retail housing. Overall, we factor an 8–9% CAGR over FY20–23E.
2022E
55.4
50.6
32.7
64.8
8.8
455
2.4
12.4
1.3
15.1
17.5
6.7
1.0
2.2
Sep-19
40.3
14.6
32.9
12.2
Comfort emerging on spreads
Historically, LICHF has seen margin expansion in periods of excess liquidity,
aided by sharp decline in cost of funds.
In 2QFY21, it reported a fall in
incremental cost of funds to 5.8% v/s ~8% earlier.
We expect this to moderate
further in 2HFY21. With ~68% of liabilities coming from the capital markets (v/s
43% for HDFC), LICHF is likely to see bigger benefit than HDFC in terms of
improvement in spreads.
Asset quality a key monitorable
Asset quality in the core Housing segment (77% of loans) remains manageable,
with GNPA % at less than 1.5%. However, LAP (16% of loans, post hyper-
growth) has started seeing some deterioration, with GNPA % rising to >3%.
LICHF has consolidated its Developer Loan segment at 6–7% of the portfolio
over the last two years; however, the book has seen massive deterioration with
GNPA % rising to 17%. While tailwinds in the RE sector point to improvement,
we believe LAP and the Developer segment remain key monitorables. ECL
provisions on BS stand at 1.3% v/s 2.6% for HDFC.
Leverage level of 12–13x poses concern
LICHF’s leverage (assets/equity) is at a higher level of 12.5x. While this is lower
than the regulatory permissible level, the expectation of lower leverage by
rating agencies at the sector level would enable capital raise in the ensuing
quarters. Stock trades below BV and hence any potential capital raise at current
price is likely to be BVPS-dilutive.
Valuations factor in negatives
We are constructive on the RE space and LICHF with its strong parentage is
likely to be a key beneficiary of the same. We expect spreads and core Retail
Housing segment growth to improve in the ensuing quarters.
However, asset
quality remains a key monitorable. In our view, valuations at 0.8x PBV FY22
largely factor in concerns over capitalization and asset quality.
We maintain
Buy, with target price of INR510 (1x FY23E BVPS).
January 2021
30
 Motilal Oswal Financial Services
Thematic: Housing Finance
Story in charts
Exhibit 50: NIM to remain stable
Exhibit 51: Product mix going forward (%)
Individual loans
2.7
2.70
2.27
3.9
4.1
5.9
5.6
Builder loans
6.2
6.9
7.0
2.52
2.38
2.33
2.31
2.37
2.30
97.3
96.1
95.9
94.1
94.4
93.8
93.1
93.0
FY16
FY17
FY18
FY19
FY20
FY21E
FY22E
FY23E
FY16
FY17
FY18
FY19
FY20
FY21E FY22E FY23E
Source: MOFSL, Company
Source: MOFSL, Company
Exhibit 52: Declining cost of funds provides comfort
Yield on loans
10.5
9.0
10.3
8.6
9.4
9.6
8.2
8.2
9.7
8.2
CoF
9.1
7.4
8.5
6.7
Exhibit 53: Spreads have now stabilized
1.4
1.5
1.3
1.3
1.4
1.5
1.3
1.5
1.5
1.3
8.0
6.3
FY16
FY17
FY18
FY19
FY20
FY21E FY22E FY23E
Source: MOFSL, Company
Source: MOFSL, Company
Exhibit 54: Asset quality under pressure
GNPA
NNPA
Source: MOFSL, Company
January 2021
31
 Motilal Oswal Financial Services
Thematic: Housing Finance
Exhibit 55: DuPont Analysis (%)
DuPont Analysis (%)
Interest Income
Interest Expenses
Net Interest Income
Non interest Income
Net Income
Operating Expenses
Cost to income (%)
Employees
Others
Operating Profits
Provisions/write offs
PBT
Tax
Tax Rate (%)
PAT
Leverage (x)
RoE
FY15
10.88
8.57
2.31
0.26
2.57
0.39
15.24
0.13
0.26
2.18
0.01
2.17
0.74
34.05
1.43
12.63
17.54
FY16
10.92
8.29
2.62
0.21
2.83
0.42
14.74
0.13
0.28
2.42
0.13
2.28
0.80
35.22
1.48
13.23
19.58
FY17
10.26
7.56
2.69
0.15
2.85
0.45
15.89
0.18
0.27
2.39
0.21
2.18
0.76
34.67
1.43
12.65
18.06
FY18
9.12
6.93
2.19
0.11
2.30
0.27
11.89
0.14
0.13
2.03
0.31
1.72
0.47
27.59
1.25
12.33
15.36
FY19
9.24
6.94
2.30
0.11
2.41
0.26
10.63
0.13
0.12
2.15
0.33
1.82
0.51
28.07
1.31
12.53
16.40
FY20
9.33
7.08
2.24
0.10
2.34
0.30
12.62
0.14
0.15
2.05
0.48
1.57
0.42
26.53
1.15
12.42
14.30
FY21E
8.72
6.51
2.21
0.09
2.30
0.29
12.53
0.14
0.15
2.02
0.34
1.68
0.35
20.70
1.33
11.87
15.82
FY22E
FY23E
8.11
7.63
5.85
5.42
2.26
2.20
0.09
0.10
2.36
2.30
0.29
0.29
12.39
12.82
0.15
0.16
0.14
0.14
2.06
2.00
0.38
0.38
1.68
1.62
0.34
0.33
20.50
20.50
1.34
1.29
11.32
10.93
15.14
14.10
Source: MOFSL, Company
Exhibit 56: One-year forward P/B chart
3.6
2.7
1.8
0.9
0.0
P/B (x)
Min (x)
Avg (x)
+1SD
Max (x)
-1SD
Exhibit 57: One-year forward P/E chart
21.0
16.0
11.0
P/E (x)
Min (x)
Avg (x)
+1SD
Max (x)
-1SD
2.2
1.2
0.6
2.7
1.7
13.9
10.9
7.8
3.9
17.8
0.8
6.0
1.0
6.0
Source: MOFSL, Company
Source: MOFSL, Company
January 2021
32
 Motilal Oswal Financial Services
Thematic: Housing Finance
Financials and valuation
Income Statement
Y/E March
Interest Income
Interest Expense
Net Interest Income
Change (%)
Fee Income
Other Income
Net Income
Change (%)
Operating Expenses
Operating Profits
Change (%)
Provisions/write offs
PBT
Tax
Tax Rate (%)
PAT
Change (%)
Proposed Dividend
2016
1,22,509
93,068
29,441
31.6
1,453
893
31,787
27.7
4,687
27,100
28.5
1,465
25,636
9,028
35.2
16,608
19.8
3,333
2017
1,38,767
1,02,315
36,452
23.8
1,102
934
38,489
21.1
6,118
32,371
19.4
2,813
29,558
10,247
34.7
19,311
16.3
3,759
2018
1,46,662
1,11,439
35,223
-3.4
356
1,388
36,968
-4.0
4,396
32,572
0.6
4,917
27,655
7,630
27.6
20,025
3.7
3,998
2019
1,71,628
1,28,915
42,713
21.3
348
1,669
44,730
21.0
4,754
39,976
22.7
6,181
33,796
9,486
28.1
24,310
21.4
4,471
2020
1,94,620
1,47,839
46,781
9.5
394
1,684
48,859
9.2
6,167
42,692
6.8
10,002
32,690
8,672
26.5
24,018
-1.2
4,040
2021E
1,96,837
1,46,920
49,917
6.7
536
1,600
52,053
6.5
6,521
45,532
6.7
7,575
37,957
7,857
20.7
30,100
25.3
5,260
2022E
1,98,592
1,43,184
55,408
11.0
541
1,760
57,709
10.9
7,153
50,557
11.0
9,369
41,188
8,443
20.5
32,744
8.8
5,722
(INR M)
2023E
2,03,392
1,44,623
58,769
6.1
625
1,936
61,330
6.3
7,863
53,467
5.8
10,201
43,266
8,870
20.5
34,397
5.0
6,011
(INR M)
2023E
1,010
2,57,129
2,58,139
24,11,275
8.8
1,16,876
27,86,290
73,157
10.0
26,64,392
9.4
3,869
44,872
27,86,290
Balance Sheet
Y/E March
Capital
Reserves & Surplus
Net Worth
Borrowings
Change (%)
Other liabilties
Total Liabilities
Investments
Change (%)
Loans
Change (%)
Net Fixed Assets
Other assets
Total Assets
E: MOFSL Estimates
2016
1,010
90,450
91,460
11,09,310
14.9
0
12,00,769
2,768
16.7
12,51,730
15.5
920
-54,649
12,00,769
2017
1,010
1,21,351
1,22,361
12,63,170
13.9
1,19,285
15,04,816
33,694
1,117.1
14,47,167
15.6
965
22,990
15,04,816
2018
1,010
1,37,404
1,38,413
14,53,099
15.0
1,19,385
17,10,898
19,722
-41.5
16,61,623
14.8
971
28,582
17,10,898
2019
1,010
1,57,112
1,58,122
17,06,670
17.5
1,41,043
20,05,835
35,951
82.3
19,29,927
16.1
1,359
38,598
20,05,835
2020
1,010
1,76,881
1,77,891
19,13,317
12.1
76,848
21,68,056
54,964
52.9
20,79,880
7.8
2,544
30,669
21,68,056
2021E
1,010
2,01,721
2,02,731
20,57,497
7.5
88,375
23,48,603
60,460
10.0
22,48,631
8.1
2,925
36,587
23,48,603
2022E
1,010
2,28,743
2,29,753
22,16,656
7.7
1,01,631
25,48,040
66,506
10.0
24,35,886
8.3
3,364
42,284
25,48,040
January 2021
33
 Motilal Oswal Financial Services
Thematic: Housing Finance
Financials and valuation
Ratios
Y/E March
Spreads Analysis (%)
Yield on loans
Cost of funds
Spreads Analysis (%)
Margins
Profitability Ratios (%)
Adj RoAE
Adj RoAA
Int. Expended/Int.Earned
Other Inc./Net Income
Efficiency Ratios (%)
Fees/Operating income
Op. Exps./Net Income
Empl. Cost/Op. Exps.
Asset-Liability Profile (%)
Loans/Borrowings Ratio
Debt/Equity (x)
Gross NPAs (Rs m)
Gross NPAs to Adv.
Net NPAs (Rs m)
Net NPAs to Adv.
112.8
12.1
5,678
0.5
2,705
0.2
2016
181.1
17.0
32.9
19.8
5.5
114.6
10.3
6,271
0.4
2,053
0.1
2017
242.3
33.8
38.2
16.3
6.2
114.4
10.5
13,036
0.8
7,117
0.4
2018
274.1
13.1
39.7
3.7
6.8
113.1
10.8
30,754
1.6
21,000
1.1
2019
313.1
14.2
48.1
21.4
7.6
108.7
10.8
59,594
2.8
41,000
2.0
2020
352.3
12.5
1.1
47.6
-1.2
7.8
8.0
2.2
109.3
10.1
82,080
3.6
57,456
2.6
2021E
401.5
14.0
1.1
59.6
25.3
7.3
8.9
2.1
109.9
9.6
94,259
3.8
65,982
2.7
2022E
455.0
13.3
1.0
64.8
8.8
6.7
9.7
2.2
110.5
9.3
1,07,581
4.0
75,307
2.8
2023E
511.2
12.4
0.8
68.1
5.0
6.4
10.2
2.4
1.2
14.7
32.1
0.8
15.9
40.2
0.2
11.9
50.8
0.2
10.6
52.1
0.2
12.6
48.5
0.3
12.5
49.1
0.3
12.4
51.5
0.3
12.8
53.8
19.6
1.5
76.0
2.8
18.1
1.4
73.7
2.4
15.4
1.2
76.0
3.8
16.4
1.3
75.1
3.7
14.3
1.2
76.0
3.4
15.8
1.3
74.6
3.1
15.1
1.3
72.1
3.0
14.1
1.3
71.1
3.2
10.5
9.0
1.52
2.5
10.3
8.6
1.7
2.7
9.4
8.2
1.2
2.3
9.6
8.2
1.4
2.4
9.7
8.2
1.5
2.3
9.1
7.4
1.7
2.3
8.5
6.7
1.8
2.4
8.0
6.3
1.7
2.3
2016
2017
2018
2019
2020
2021E
2022E
(%)
2023E
Valuation
Book Value (INR)
Growth (%)
Price-BV (x)
EPS (INR)
Growth (%)
Price-Earnings (x)
Dividend Per Share
Dividend Yield (%)
E: MOFSL Estimates
January 2021
34
 Motilal Oswal Financial Services
Initiating Coverage
Thematic:
Financials
Finance
| Sector:
Housing
– NBFC
AAVAS Financiers
BSE Sensex
49,269
S&P CNX
14,485
CMP: INR1,930
TP: INR2,000 (+4%)
Neutral
Building a foundation for the long term
Rights Systems, Right Processes | RoA, asset quality best-in-class
Stock info
Bloomberg
Equity Shares (m)
M.Cap.(INRb)/(USDb)
52-Week Range (INR)
1, 6, 12 Rel. Per (%)
12M Avg Val (INR M)
Free float (%)
AAVAS IN
-
151.3 / 2.1
2113 / 846
9/14/-22
207
49.8
Financial Snapshot (INR b)
INR b
2020 2021E
NII
4.3
5.1
PPP
3.2
3.5
PAT
2.5
2.4
EPS (INR)
31.8
30.0
EPS Gr. (%)
35.3
67.3
BV/Sh. (INR)
268
298
Ratios (%)
NIM
7.9
7.5
C/I ratio
42.0
42.5
Credit cost
0.28
0.69
RoA
3.8
2.8
RoE
12.7
10.6
Payout (%)
0.0
0.0
Valuation
P/E (x)
60.7
64.3
P/BV (x)
7.2
6.5
Div. Yield (%)
0.0
0.0
Shareholding pattern (%)
As On
Sep-20 Jun-20
Promoter
50.2
53.5
DII
12.4
13.0
FII
28.0
24.5
Others
9.5
9.1
FII Includes depository receipts
Stock Performance (1-year)
2022E
5.9
4.4
3.2
40.9
41.2
339
7.3
40.6
0.37
3.3
12.8
0.0
47.2
5.7
0.0
Sep-19
58.3
8.7
18.1
15.0
Incorporated as a subsidiary of erstwhile AU Financiers in 2011, Aavas Financiers
(AAVAS) has come a long way over the past decade. It is now one of the fastest
growing, most profitable affordable housing finance companies in India.
Backed by two PE players (Kedara Capital and Partners Group), AAVAS has
focused on the right systems and processes from day one. Asset quality was and
is its top priority. It segregated its sales, credit and collections functions to
facilitate independent underwriting. Around 60-70% of files sourced are rejected.
With a credit team of 600+ members and a collections team of ~200 (MOFSL est.),
we believe no other company of the size of AAVAS has such a large underwriting
and collections teams. The focus on underwriting reflects in its pristine asset
quality – 2.4% 1dpd+ ratio and 0.5% GS3 ratio (FY20) – which is superior to peers.
AAVAS also has the largest branch network among affordable housing financiers
in India. Over FY17-20, the network by over 2.5x to 250 branches and AAVAS’
employee base by nearly 4x to 3,500+ employees. Hence, its expense ratio of
3.3% is far higher than peers. However, with scale-up of these new branches, the
company should benefit from operating leverage. We forecast 50bp reduction in
the expense ratio to 2.8% over FY20-23E.
At the core of its performance is its technology. AAVAS has a team of ~100
people just working in technology and data analytics. Its predictive analytics
model on customer bounce has accuracy of 75-80% (as per management). The
model is also able to predict which customers are likely to do a balance transfer
(BT) out of AAVAS – this has helped AAVAS curtail BT by ~50%.
At 7.5-8%, AAVAS’ NIM is far superior to peers (~4% typically) due to (a) higher
share of self-employed customers and of LAP, and (b) high Tier I ratio of 50%+.
We believe AAVAS has built a sustainable business model to deliver healthy
growth along with strong profitability over the long term. The company’s
management team is young and well-incentivized. While AAVAS has best-in-class
RoA of 3.5%+, its RoE is modest at 12-14% due to low leverage. While this is
unlikely to meaningfully improve over the next two years, we believe it can
improve to 16-18% structurally over the long term. There is no risk of dilution
over the next five years, in our opinion. However, given its rich valuations, we
initiate coverage with Neutral and a TP of INR2,000 (5.0x FY23E BVPS).
Niche affordable housing finance player operating in 10 states
Headquartered in Jaipur, AAVAS primarily focuses on the low and middle-
income category of borrowers in semi-urban and rural areas.
More than half of
its borrowers are part of the EWS and LIG categories (<INR0.6m/annum
household income) while over a third are new to credit.
The company caters
primarily to self-employed customers (65% share in total AUM) and salaried
customers in the informal sector with an average ticket size of INR0.9m. Over
the past four years, the company has grown its LAP book considerably – it now
January 2021
35
 Motilal Oswal Financial Services
Thematic: Housing Finance
accounts for 27% of overall AUM.
While AAVAS is present across 10 states,
~80% of its branches are in Rajasthan, Maharashtra, Gujarat and MP.
What makes AAVAS’ asset quality stand out vs peers?
Across all asset quality parameters, AAVAS is either in line with or better than
peers.
Its GS3 ratio is only 0.5% despite catering to the low-ticket, self-
employed segment. Its 1dpd+ ratio of 2.4% (FY20) is also significantly better
than peers.
Also, contrary to other HFCs, its GNPL ratio improved over the past
three years. We attribute this to its heavy investment in people, systems and
processes.
AAVAS has a credit team of 600+ people and a collections team of
~200 people (MOFSL est.). ~50% of its underwriters are Chartered
Accountants. None of its peers of a similar size have such a large credit or
underwriting team.
AAVAS also has a 30-member fraud risk team. It has
templates of 60+ customer profiles compiled throughout the years.
Borrowers
with 100% agricultural income are rejected.
In addition, not only does AAVAS
monitor the progress of its customers on a regular basis, but also keeps track of
the progress of applicants that were rejected in the past and have taken a loan
elsewhere.
Also, for overdue customers, there are multiple collections teams
involved depending on the delinquency bucket. In addition, the credit
manager has to visit every 90dpd+ customer to understand what went wrong.
Largest branch network among affordable housing financiers
The company has been in a rapid expansion mode over the past three years.
Its
branch network increased from 97 in FY17 to 250 in FY20. This is a key
differentiator v/s other affordable housing finance companies like REPCO,
CANF and erstwhile GRHF that opened only 10-21 branches over FY17-20.
As a
result, AAVAS delivered AUM CAGR of 40%+ over FY17-20 to INR78b. While
AUM growth is likely to slow down meaningfully in FY21 due to the pandemic,
we believe it is only a temporary blip.
Beyond FY21, AAVAS plans to continue
to open 30-40 branches every year.
In addition, branches opened over the past
1-2 years would continue to scale up. Hence, we expect AAVAS to deliver 20%
AUM CAGR over FY20-23E, higher than other HFCs in our coverage.
Profitability susceptible to up-fronting of assignment income
At 22% of AUM as of FY20, AAVAS’ share of off-balance sheet loans is the
highest in our coverage universe.
Under Ind-AS, companies are required to
upfront the future estimated spreads from loan assignments.
As a result, over
the past two years, assignment income has been meaningful .i.e. ~20% of NII
and 25-30% of PBT.
This makes overall profitability of the company susceptible
to the quantum of sell-downs done during the year. Any reduction in
assignments could significantly impact profits.
Margins to moderate; Operating leverage to drive expense ratio lower
AAVAS generates an average yield of 13.5%, ~200bp above peers like REPCO.
This is due to its lower ticket size customer segment, higher share of self-
employed customers and higher share of LAP.
However, yields have declined
130bp over the past three years despite rising share of LAP.
This is owing to (a)
reduction in interest rates for customers looking to switch to other lenders, and
(b) in order to grow the loan book beyond a certain point, yields would have to
January 2021
36
 Motilal Oswal Financial Services
Thematic: Housing Finance
decline to be competitive with peers. We expect this trend to play out over the
next 2-3 years, albeit at lower pace.
Hence, we forecast 50bp moderation in
margins over FY20-23E to 7.4%.
Over the past three years, AAVAS has
expanded its branch network by over 2.5x to 250 and its employee base by
nearly 4x to 3,500+.
Hence, its expense ratio of 3.3% is far higher than peers.
With gradual scale-up of recently-opened branches, it should benefit from
operating leverage, resulting in 50bp expense ratio reduction over FY20-23E.
Best-in-class RoA and asset quality; Initiate with Neutral due to rich
valuations
Being a niche product, only a few companies have been able to scale up in low-
ticket affordable housing finance. This business is very geography specific –
there is no large pan-India player in this segment yet. We believe AAVAS has
built a sustainable business model to scale up profitably across geographies
over the long term. Its technology adoption and relentless focus on asset
quality has made it stand out vs peers. The management team is young and
well-incentivized.
While the company has best-in-class RoA of 3.5%+, its RoE is
modest at 12-14% due to low leverage. While this is unlikely to meaningfully
improve over the next two years, one can expect 16-18% RoE structurally over
the long term.
AAVAS could deliver 20-25% EPS CAGR over the medium-to-long
term without any dilution. However, as valuations are rich, we initiate coverage
on AAVAS with a Neutral rating and a TP of INR2,000 (5.0x FY23E BVPS).
January 2021
37
 Motilal Oswal Financial Services
Thematic: Housing Finance
WHAT MAKES AAVAS DIFFERENT?
No month-end concept:
Around 70% of the
business is done in the first three weeks of
the month (sub-50% for peers). Hence,
there is no unnecessary pressure on the
sales and credit teams to disburse files at
month-end.
High rejection rate:
On an average, the sales
team sources ~10k files per month. Of these, 60-
70% are rejected.
Note that customers with
100% agricultural income are rejected.
In
addition, AAVAS continually tracks the
performance of customers that it rejects.
01
05
02
Separate teams for sales, credit and collections:
The
credit manager in the branch does not report to the
branch manager. Instead, he reports to the area
credit manager. This ensures unbiased underwriting.
The credit manager is empowered to sanction loans
only up to a particular limit depending on the vintage
of the branch and other parameters.
The company
has a 600+ member underwriting team which is the
largest among peers of its size (MOFSL est.).
Hiring policy:
AAVAS prefers to recruit
executives not previously exposed to the
mortgage finance sector. As per
management, their inexperience is an
06
03
Large collections team:
AAVAS has a
collections team of ~200+ people (MOFSL
est.). In addition, there are two collections
heads – one for 1dpd+ and the other for
higher buckets.
Others:
(a) AAVAS also takes an employer
guarantee for salaried customers who receive
their salary in cash. (b) The sales team
incentive is linked to 1dpd performance. (c)
The credit manager has to visit every case
that turns 90dpd.
07
04
Technology:
80 people tech team and 15 people data analytics team. All data is geotagged. The
portfolio is now plotted on a heat map wherein just pointing to any location, you can know
details of loans, arrears, collections, demographic, etc. Have predictive model for balance
transfers which has helped reduce balance transfers by 50%.
January 2021
38
 Motilal Oswal Financial Services
Thematic: Housing Finance
Low-ticket affordable housing player
65% self-employed customers; High margins; Strong asset quality
Incorporated in 2011 in Rajasthan, AAVAS delivered AUM CAGR of 42% over FY17-20
to INR78b. This, the company achieved by deepening penetration in its home state
and expansion into new states. It has a network of 251 branches across 10 states with
the key states being Rajasthan, Maharashtra, Gujarat and Madhya Pradesh.
The company focuses on the low-income, affordable housing segment with an
average ticket size of sub-INR1m. ~65% of its loans are to the self-employed segment.
Unlike peers, the company has a 100% insourcing model. In addition, it has separate
teams for sales, credit and collections.
In FY15, AAVAS started loans against property. This book has grown rapidly and
comprises 26% of total AUM. In addition, unlike most peers, the company regularly
assigns loans to banks – the share of assigned loans stands at 20% of total AUM.
Incorporated in 2011;
Based out of Jaipur.
Incorporated as a subsidiary of AU SFB; Key states are RJ, MH, GJ and MP
AAVAS Financiers was incorporated in 2011 as AU Housing Finance, a subsidiary
of AU Financiers (AUSFB).
However, after AUSFB received a small finance bank license in 2013, it divested
90% stake in the business to various private equity funds managed by Kedaara
Capital and Partners Group.
Exhibit 58: Company Snapshot
What?
Key segments
Customer profile
Property
Key states
Average ticket size
Sourcing mix
Average yield
Average LTV
Loan assignment
Description
Home Loans (74% of AUM), LAP (26% of AUM)
Self-employed (65%), Salaried (35%)
Self-construction (80-85% of cases)
Rajasthan, Maharashtra, Gujarat and MP
INR0.9m for home loans, INR0.6m for LAP
100% own-sourced
~13% for home loans, 15% for LAP
50%
20% of the AUM is assigned to banks
Source: MOFSL, Company
Exhibit 59: State-wise mix of AAVAS’ 259 branches (%)
UP, 6%
CH, 2%
HY, 6%
NCR, 2%
HP, 2%
RJ, 34%
UK, 3%
MP , 14%
GJ, 14%
MH, 17%
Source: MOFSL, Company
January 2021
39
 Motilal Oswal Financial Services
Thematic: Housing Finance
Catering primarily to the self-employed segment; Ticket size sub-INR1m
Separate teams for sales,
credit and collections.
AAVAS primarily caters to the informal customer segment of the economy, with
particular focus on self-employed customers. Credit underwriting of such
customers is done on the basis of several templates developed by the company
over the years.
The company has a database of over 60+ templates, which
helps it in underwriting home loans for the self-employed.
There is clear segmentation of the sales and credit teams – the sales team is not
authorized to sanction a loan. Also, the credit manager at the branch has the
authority to sanction a loan only up to a particular limit depending on the
vintage of the branch and other parameters. One of the differentiating aspects
of AAVAS is that it has an underwriting team of over 600 people (MOFSL est.) –
the largest among any of its similarly sized peers.
Exhibit 61: Average ticket size lower than peers (INR m)
1.8
1.2
Exhibit 60: Average ticket size steady over past few years
Average ticket size (INR m)
1.0
0.8
0.64
FY14
0.76
FY15
0.85
FY16
0.86
FY17
0.86
FY18
0.86
FY19
0.84
FY20
CANF
REPCO
BANDHAN
AAVAS
Source: MOFSL, Company; Note: Blended average of HL and LAP
Source: MOFSL, Company; Note: Affordable housing finance
segment of BANDHAN
Share of self-employed
customers 65% higher
than that of peers.
Exhibit 62: Share of self-employed customers (%)
FY17
64
64
65
65
60
58
55
52
40
40
40
FY18
FY19
FY20
44
25
27
29
29
AAVAS
REPCO
BANDHAN
CANF
Source: MOFSL, Company
AUM up 3x over FY17-20
to INR78b.
40%+ AUM CAGR over the past three years
Over the past few years, the company has scaled up its loan book rapidly,
driven by increased business from vintage branches as well as new branch
expansions.
Disbursements grew 2x to INR29b while total AUM grew 3x to INR78b over
FY17-20.
January 2021
40
 Motilal Oswal Financial Services
Thematic: Housing Finance
Exhibit 63: Disbursements up 2x…
Disbursements (INR b)
96
47
Growth (%)
Exhibit 64: …while AUM up 3x over FY17-20
AUM (INR b)
60
51
Growth (%)
46
31
10
24
32
30
5.4
10.5
13.9
20.5
26.7
29.3
8
17
27
41
59
78
84
Source: MOFSL, Company
Source: MOFSL, Company
LAP now comprises 26%
of total AUM.
Rapid scale-up of the LAP book; LAP now 26% of total AUM
In FY15, AAVAS started ‘Loans against Property’ (LAP), catering to the same
segment of customers, with an average ticket size of INR0.6-0.7m. This business
has grown quite swiftly and now accounts for 26% of total AUM.
Around one-fourth of these loans are top-up loans. Note that top-up loans are
not given to overdue customers. Apart from LAP, there are no other non-core
loans such as builder loans and LRD.
Among peers, AAVAS has the highest share of AUM coming from non-core
loans.
It is also the only player that has increased its share of non-core loans
over FY17-20.
Exhibit 65: Share of LAP in total AUM continually rising (%)
LAP AUM (INR b)
Share of total AUM (%)
22.4
18.1
12.0
6.1
0.5
FY15
2.0
FY16
4.9
FY17
9.1
FY18
14.5
FY19
20.7
FY20
24.5
26.5
Source: MOFSL, Company
Exhibit 66: Non-home loans share on a rising trend and highest amongst peers (%)
FY17
22
18
24
27
19
18
17
20
14
12
10
11
10
19
18
19
FY18
FY19
FY20
AAVAS
BANDHAN
CANF
REPCO
Source: Company, MOFSL
January 2021
41
 Motilal Oswal Financial Services
Thematic: Housing Finance
Pristine asset quality a key differentiator
Only HFC to report improvement in Stage 2 and Stage 3 loans over FY17-20
AAVAS has a GS3 ratio of 0.5%. Its average credit cost over the past 5 years is 0.3%.
Superior asset quality performance despite a high share of self-employed customers
is on back of (a) large credit team (600+) as well as collections team (~200), (b) strong
underwriting model with 60+ templates of various professions and (c) 100% in-
sourcing with focus on customer referrals.
The company also has multiple collections teams depending on the delinquency
bucket. It has one team for early delinquencies and one for higher bucket
delinquencies. In addition, there is a specialized team focusing only on SARFAESI
cases. Given its strong focus on collections, AAVAS’ 1dpd has improved from 9% to
2.4% over the past three years.
Interestingly, LAP has lower NPLs compared to home loans (30bp v/s 50bp).
AAVAS has 600+
employees in credit team
and ~200 employees in
collections team (MOFSL
est.).
Rigid underwriting process; Strong focus on collections…
AAVAS has segregated its sales and credit teams.
While the credit manager
works out of the branch, he does not report to the branch manager, and thus,
is independent from the sales team.
The company has over 60 templates for
different professions, which assists the credit team in underwriting. Typically,
65-70% of loan applications are rejected.
Moreover, the company uses two valuers – internal and external for property
valuation. Also, it sanctions loans based on the documented transaction price
and not on the market value.
The company also has multiple collections teams with a total workforce of ~200
employees. Moreover, the credit manager has to visit every 90dpd case to
understand what went wrong.
Exhibit 67: Number of employees – Large investments in the team across functions
FY17
3,564
2,384
1,862
940
670
785
929
994
578
648
792
838
FY18
FY19
FY20
AAVAS
REPCO
CANF
Source: MOFSL, Company; Note: On-roll employees
…resulting in strong asset quality
1dpd+ loans ratio
improved from 9% to
2.4% over the past three
years.
This has resulted in strong asset quality.
The 1dpd+ ratio has improved from
9% to 2.4% over FY17-20, while the GNPL ratio stands at ~0.3%.
Interestingly, the LAP book has lower GNPLs than the home loan book (0.3% v/s
0.5% as of FY19).
Moreover, the highest credit cost over the past five years is only ~40bp.
January 2021
42
 Motilal Oswal Financial Services
Thematic: Housing Finance
Exhibit 68: Asset quality trend (%)
Gross NPL (INR m)
0.8
0.5
0.5
0.3
43
80
169
107
0.3
0.3
0.3 0.3 0.3
AAVAS
Source: MOFSL, Company
0.5
0.7
1.3
0.4
0.6 0.8
GNPL ratio (%)
Exhibit 69: GNPL ratio much better than peers (%)
FY18
FY19
FY20
2.9 3.0
3.8
158
210
BANDHAN
CANF
Repco
Source: MOFSL, Company
Exhibit 70: Significant improvement in 1dpd+ loans (%)
8.9
7.3
6.7
4.8
4.9
4.1
3.9
3.4
4.3
3.9
1dpd+ %
Exhibit 71: Slippage ratio and credit costs benign
Slippage ratio (%)
0.8
0.6
Credit cost (%)
3.4
2.4
0.5
0.3
0.3
0.4
0.4
0.4
0.4
0.1
0.3
0.3
0.3
0.2
Source: MOFSL, Company
Source: MOFSL, Company
Strong collection efficiency during the moratorium period
Collection efficiency of
97% post the
moratorium period in
Sep ‘20.
Even during the moratorium period, AAVAS delivered collection efficiency (CE)
higher than peers. CE improved from 76% in Apr’20 to ~90% in Jun’20.
Once the moratorium was lifted in September, the company collected money
from 97% of its customers.
Less than 0.5% of its customers had not paid a single instalment during the
moratorium period.
January 2021
43
 Motilal Oswal Financial Services
Thematic: Housing Finance
Margins best-in-class
Long-term borrowings ensure no ALM mismatch
Given the high-share of self-employed customers as well as of LAP, AAVAS earns an
average yield of 13.5% (~200bp higher than that of peers like REPCO). Nevertheless,
yields compressed 130bp over the past three years. This has been partly offset by
90bp decline in cost of funds over the same time period.
One key differentiator of AAVAS’ liability profile is the average duration of the
borrowings. AAVAS borrows money at an average duration of 10-11 years. In
addition, the company has 20%+ liquidity on the balance sheet. Therefore, the
company does not face any ALM issues despite the long duration of its assets.
Another key differentiator between AAVAS and other affordable housing players is
that it has ~20% of its AUM off-balance sheet. It has been selling down loans since
FY16, which has helped it not only generate liquidity but also to forge strong
relationships with its lenders.
Yields down 130bp over FY17-20, yet significantly higher than peers
Yield of 13.5% is ~200bp
higher than peers due to
higher share of self-
employed customers and
higher share of LAP.
AAVAS’ yield is ~200bp higher than competitors. This is on account of (a)
higher share of self-employed customers (100-150bp higher interest rate v/s
salaried customers), (b) higher share of LAP, and (c) lower ticket size (implying
a ‘riskier’ category of borrowers).
However, in order to tap a larger customer base and retain good-quality
existing customers, it has had to cut its home loan rates over the past three
years. This has led to 130bp reduction in total yields over FY17-20, as compared
to only 50bp reduction for peers like REPCO and CANF.
Exhibit 72: Yield on loans (%)
FY17
14.8
14.2
13.9
13.5
10.9
12.2
10.3
10.1
10.4
11.7
11.4
11.7
FY18
FY19
FY20
AAVAS
CANF
REPCO
Source: MOFSL, Company
~80% of total borrowings
(incl. off-BS borrowings)
come from banks and
NHB.
Low dependence on capital markets for borrowings
AAVAS’ key sources of borrowings include banks, NHB and foreign multi-lateral
institutions.
Around 60% of its total borrowings come from banks and loan
assignments to banks while ~20% comes from NHB.
The share of NCDs has historically been low. However, in FY20, AAVAS raised
long-term money from ADB and CDC Group, largely via NCDs. Unlike raising
money from mutual funds, which are of 3-year tenure, these borrowings come
with tenure of 5-8 years. Also, AAVAS does not have any commercial paper
outstanding.
January 2021
44
 Motilal Oswal Financial Services
Thematic: Housing Finance
Exhibit 73: Borrowing mix trend (%)
Term Loans
13
10
27
50
11
19
28
42
11
18
28
43
Assignment
16
15
28
42
15
13
28
44
NHB
18
14
25
43
NCDs
19
21
24
36
18
22
24
36
Credit Rating
Exhibit 74: Credit rating
ICRA
AA-
CARE
AA-
Source: MOFSL, Company
Source: MOFSL, Company
Exhibit 75: Share of off-BS as % of AUM higher than that of peers
FY16
21
13
22
23
22
FY17
FY18
FY19
FY20
20
12
12
13
7
1
AAVAS
HDFC
PNBHF
Source: MOFSL, Company
8
12
11
10
Healthy ALM position due to long borrowing tenure; 20%+ liquidity on BS
Average borrowing
tenure of 11 years helps
maintain positive ALM.
AAVAS has no CPs outstanding. In addition, it typically does not borrow much
from mutual funds due to the relatively short tenure of the money offered. The
company prefers long-term borrowings from banks, NHB and multi-lateral
institutions.
The average tenure of borrowings for the company is 11 years.
The company has INR15b liquidity on the balance sheet (25% of borrowings).
This helps it maintain positive ALM across buckets.
Exhibit 76: ALM pattern as of 1HFY21 (INR b)
Assets
Liabilities
31.5
16.8
8.2
4.2
2.6
2.7
1.2
6-12 months
1-3 years
8.7
16.8
17.3
12.8
9.4
6.1
5.4
< 3 months
3-6 months
3-5 years
5-7 years
7+ years
Source: MOFSL, Company
January 2021
45
 Motilal Oswal Financial Services
Thematic: Housing Finance
Exhibit 77: Average tenure of borrowings (years)
11.9
11.0
11.9
Exhibit 78: Liquidity at 20%+ of borrowings
Liquidity (INR b)
% of borrowings
22.3
25.0
11.6
11.4
11.2
10.6
20.6
10.8
16.1
15.4
18.6
2.3
2.8
5.6
6.8
11.9
15.1
Source: MOFSL, Company
Source: MOFSL, Company
Cost of funds (calc.)
declined 200bp over past
five years to ~8%.
Strong fundamentals lead to competitive cost of funds
Over the past five years, AAVAS’ cost of funds (calc.) has declined by 200bp to
~8%. Its cost of funds is competitive with some of the largest HFCs.
Exhibit 79: Cost of funds (calc., %)
Cost of funds (%)
12.0
9.9
8.9
8.8
8.5
8.0
7.9
Source: Company, MOFSL
January 2021
46
 Motilal Oswal Financial Services
Thematic: Housing Finance
Expect 18% PAT CAGR over FY20-23E
Spread pressure to be offset by lower expense ratio
In our view, FY21 will be a temporary blip in the long-term growth trajectory of
AAVAS. AUM growth is likely to slow from ~30% in FY20 to ~20% in FY21, Going
forward, the company should be able to grow at 20-25% CAGR sustainably with
ramping up of existing branches as well as new branch openings. The share of LAP
should be largely stable incrementally.
We expect modest 20bp spread compression over the next three years, driven by
40bp yield decline. Nevertheless, the company should deliver 18% NII CAGR over
FY20-23E. Assignment income is a meaningful contributor to the top line – while it is
difficult to forecast assignment income, we forecast 20% CAGR over FY20-23E.
Asset quality would witness some deterioration given the impact of the lockdown.
We expect GNPL ratio to increase to ~2.5% in FY22 and remain stable thereafter.
Likewise, credit costs would increase from 30bp in FY20 to 70bp in FY21 and
normalize thereafter.
These factors should drive 18% PAT CAGR over FY20-23E. RoA is expected to
moderate 20bp to 3.6% while RoE should improve ~200bp to 15% over the same
period.
Disbursements per
branch should recover to
FY20 levels of ~INR120m
by FY23E.
Expect 20% AUM CAGR over FY20-23E
Over the past two years, AAVAS has opened 85 branches.
Typically, an HFC
branch reaches its optimum disbursements level in 3-4 years. Many of these
new branches are likely to witness an improving disbursement trajectory over
the next 1-3 years.
In addition, the company expects to open 30-40 branches per year on a run-
rate basis in foreseeable future.
These new branches should provide more
impetus to overall growth.
Hence, post the estimated 15% YoY in disbursement decline in FY21E, we
expect 32% disbursement CAGR over FY21-23E, resulting in an average 20%
AUM CAGR over FY20-23E.
Exhibit 81: …resulting in 6% CAGR in AUM per branch over
FY20-23E (INR m)
AUM/branch
110
89
122
287
283
312
331
346
372
Exhibit 80: Expect gradual recovery in disbursements per
branch over FY21-23E (INR m)…
148
124
127
Disb/branch
117
247
Source: MOFSL, Company
Source: MOFSL, Company
January 2021
47
 Motilal Oswal Financial Services
Thematic: Housing Finance
Exhibit 82: Expect 14% disbursement CAGR over FY20-23E…
Disbursements (INR b)
32
47
30
10
-14
Growth (%)
40
25
Exhibit 83: …resulting in 20% AUM CAGR
60
AUM (INR b)
51
46
31
19
19
111
21
134
Growth (%)
10.5
13.9
20.5
26.7
29.3
25.1
35.1
43.9
17
27
41
59
78
93
Source: MOFSL, Company
Source: MOFSL, Company
Expect 40bp yield
compression to 13.1%
over FY20-23E.
Spreads to contract 20bp driven by lower yields
Over the past three years, AAVAS’ yields declined 130bp, sharper than the 50bp
yield decline reported by peers like REPCO and CANF. In our view, AAVAS could
experience further yield pressure over the next 2-3 years, albeit at a lower
intensity.
AAVAS’ calculated cost of funds in FY20 was 8%. Given the long-term nature of
its borrowings, we do not foresee any major decline in the cost of funds.
Moreover, due to higher liquidity on its balance sheet, the impact on margins
would be slightly more (50bp) than that on spreads.
Exhibit 85: NIM contraction sharper than that in spreads (%)
Spreads
8.4
13.1
6.6
7.9
NIM
7.5
7.3
7.4
Exhibit 84: Expect 30bp compression in yields (%)
Yield on loans
15.0
14.8
14.2
13.9
13.5
Cost of funds
13.5
13.1
7.0
7.3
8.9
8.8
8.5
8.0
7.9
7.9
7.7
7.7
6.0
6.1
5.7
5.9
5.6
5.6
5.4
5.4
Source: MOFSL, Company
Source: MOFSL, Company
Share of assigned
portfolio stable at ~20%
for the past two years.
Share of assigned portfolio to stabilize
Over FY15-18, AAVAS had an aggressive sell-down strategy resulting in the
share of assigned loans increasing from nil to 22% of total AUM.
Under Ind-AS,
companies upfront the future spread income.
Over the past two years, this
income was INR750-800m i.e. ~20% of NII and 25-30% of PBT.
Currently, AAVAS’ share of off-balance sheet book is significantly higher than
most peers. However, we expect it to stabilize going forward. While it is difficult
to predict upfront assignment income, we expect it to decline 20% YoY in FY21E
and bounce back in FY22E.
January 2021
48
 Motilal Oswal Financial Services
Thematic: Housing Finance
Exhibit 86: Share of sell-downs to remain stable
Sell-down portfolio (INR b)
21
13
22
23
22
20
% of AUM
21
22
1.8
Exhibit 87: Trend in assignment income
Assignment income (INR m)
1.6
1.1
0.7
1.0
1.1
% of avg. AUM
2.3
5.6
9.0
13.6
17.4
18.5
23.2
29.5
602
783
766
613
1,042
1,354
Source: MOFSL, Company
Source: MOFSL, Company
25% of PBT came from
assignment income in
FY20.
The impact of upfronting of assignment income on profitability is much higher
for AAVAS compared to other HFCs.
Note that assignment income comprised
30% of the company’s PBT in FY19 v/s 8-18% for others (note that we have
not taken FY20 numbers as PBT was suppressed due to Covid-19 provisions).
Exhibit 89: Contribution of assignment income to PBT (%)
FY19
FY20
9,679
3,362
4,530
766
% of PBT
HDFC
PNBHF
IHFL
AAVAS
FY19
8%
18%
12%
30%
FY20
9%
41%
18%
25%
8,600
3,081
6,731
783
Exhibit 88: Assignment income (INR m)
HDFC
PNBHF
IHFL
AAVAS
Source: MOFSL, Company
Source: MOFSL, Company; Note: Core PBT for HDFC
Expense ratio should
reduce to 2.8% by FY23E.
Operating leverage to result in 50bp expense ratio reduction over FY20-23E
AAVAS opened 85 new branches over the past two years. These branches are
yet to scale up to their full potential in terms of disbursements. As and when
these branches do scale up over the medium-to-long term, there would be a
meaningful impact on operating leverage.
We have built in opex growth of 12% YoY for FY21, as business activity has
resumed full-fledged in 2HFY21. Beyond FY21, opex should grow at ~15% CAGR,
resulting in 50bp reduction in the expense ratio to 2.8% over FY20-23E.
Exhibit 90: 400bp reduction in C/I ratio over FY20-23E (%)
C/I ratio
4.9
3.6
3.7
3.1
3.8
3.3
3.0
3.0
2.8
Opex/Avg AUM
41.7
46.5
41.4
54.6
41.5
42.0
42.5
40.6
37.9
Source: MOFSL, Company
January 2021
49
 Motilal Oswal Financial Services
Thematic: Housing Finance
Expect GNPL ratio to rise
to 2.6% by FY22.
GNPL ratio to rise due to Covid-19 impact, should stabilize thereafter
While AAVAS had healthy collection efficiency during the moratorium period,
there is a tail risk.
Compared to an average slippage ratio of 0.4% over the past
three years, we are forecasting a cumulative 5% slippage ratio over FY21-22.
This would result in the GNPL ratio increasing from 0.3% to 2.1% in FY21. Credit
costs should increase from 0.3% in FY20 to 0.7% in FY21 and then normalize.
Exhibit 92: …resulting in 2.1% GNPL ratio by FY21E
GNPL ratio (%)
30
2.2
2.0
1.0
1.0
0.3
0.3
0.3
0.3
2.1
2.6
2.4
23
19
25
PCR (%)
25
25
Exhibit 91: Slippage ratio to spike to 3% in FY21E…
Slippage ratio
Net Slippage ratio
3.0
1.0 0.8
0.4
-0.2
0.4 0.2
0.4 0.2
Source: MOFSL, Company
Source: MOFSL, Company
Exhibit 93: Improvement in Stage 2 loans over FY17-20 only
for AAVAS
Stage 2 (%)
HDFC
LICHF
PNBHF
CANFIN
REPCO
AAVAS
FY17
3.6
3.7
1.3
15.6
3.3
FY18
4.5
3.8
1.7
4.4
15.5
2.3
FY19
4.3
4.4
3.3
4.8
12.2
1.6
FY20
5.5
4.6
3.7
6.0
2.3
1.0
Exhibit 94: Credit costs to spike in FY21 and then moderate
Provisions (INR m)
0.7
0.3
153
467
0.4
302
0.3
304
Credit cost (%)
0.1
26
0.2
89
Source: MOFSL, Company
Source: MOFSL, Company
Increase in leverage from
2.9x to 3.4x over FY20-
23E to drive RoE to ~15%
by FY23E
3.6% RoA, 15% RoE in FY23E
Over FY20-23E, margins are likely to compress 50bp given the yield decline and
higher BS liquidity. Assignment income would moderate in FY21 but normalize
in FY22. Lower NIM would be offset by a lower expense ratio.
This would result in a modest 20bp compression in RoA over FY20-23E to 3.5%,
which is yet significantly higher than peers.
However, as leverage is still low,
RoE would be 13-15% over FY22-23.
Exhibit 96: Expect 18% PAT CAGR over FY20-23E
RoE
80
PAT (INR b)
89
61
42
2.5 2.4
-6
3.2
4.1
Growth (%)
Exhibit 95: Trend in RoA and RoE (%)
21.1
15.0
10.6
2.5
2.8
2.9
RoA
12.7
11.6
10.6
2.8
12.8
14.5
36
29
3.6
3.8
3.3
3.6
0.6
0.9
1.8
Source: MOFSL, Company
Source: MOFSL, Company
January 2021
50
 Motilal Oswal Financial Services
Thematic: Housing Finance
Key risks
The company operates in the low-ticket affordable housing segment,
predominantly in rural areas. Around 65% of its borrowers are self-employed while
majority of the remaining are salaried people in the informal sector. Such
customers are more prone to cyclical swings in the economy. This could result in
asset quality shocks in an economic downturn.
Asset quality risks on account of large share of self-employed customers
Liquidating collateral in rural areas could be difficult
Properties in rural areas are more illiquid compared to those in urban areas. If the
company were to invoke SARFAESI and repossess a property, it could be difficult to
liquidate.
Risk of balance transfers as the book matures
While balance transfers out of AAVAS’ book are currently low, there is a risk of an
increase when the book matures. This is because their borrowers would have a few
years of credit history to back them, leading to balance transfers by banks.
High contribution of upfront assignment income to PBT
Over the past two years, AAVAS derived 25-30% of its PBT from assignment income.
If the quantum of loan assignments were to decline, it would impact profitability
meaningfully.
January 2021
51
 Motilal Oswal Financial Services
Thematic: Housing Finance
Initiate coverage with a Neutral rating
Sturdy fundamentals, but rich valuations limit upside
Only a few companies have been able to scale up in low-ticket affordable housing
finance. This business is geography-specific – there is no large pan-India player in this
segment. While the company has grown fast over the past three years, it has done so
by expanding into new locations. It network grew from 94 branches in FY17 to 250 in
FY20. It now has more branches than peers like REPCO and CANF. We believe AAVAS
has the ingredients in place to deliver ~20% AUM CAGR over the next decade.
The company has done an excellent job of maintaining healthy asset quality despite
fast loan growth and rising share of LAP. Its GNPL ratio as well as credit costs are best-
in-class as compared to peers. While there would be a temporary disruption due to
the lockdown, we expect normalization in FY22.
Over the next three years, we expect investments in people and branches to bear
fruit, resulting in 50bp reduction in the expense ratio to 2.8%, driven by operating
leverage. Over the long term, we believe the expense ratio would decline further.
However, on account of low leverage, AAVAS generates RoE of 13-14% despite 3.5%+
RoA. It does not pay a dividend, thus reinvesting all profits in the business itself.
Valuations at ~5x FY23E BVPS are rich and leave little room for error. We believe the
risk-reward is unfavourable at these valuations. Hence, we initiate with a Neutral
rating and a target price of INR2,000 (5.0x FY23E BVPS).
Exhibit 97: DuPont Analysis
%
Interest Income
Interest Expended
Net Interest Income
Non-Interest Income
Total Income
Operating Expenses
Operating Profit
Provisions
PBT
Tax
Tax Rate (%)
PAT
Leverage
RoE
2015
14.93
8.23
6.70
1.68
8.38
3.49
4.89
0.37
4.52
1.54
34.1
2.98
8.12
24.20
2016
13.41
7.53
5.88
1.90
7.78
3.62
4.16
0.36
3.80
1.30
34.4
2.49
8.45
21.06
2017
13.01
6.86
6.15
1.67
7.82
3.24
4.58
0.32
4.26
1.48
34.7
2.78
5.41
15.04
2018
12.10
5.95
6.15
3.14
9.29
5.07
4.22
0.08
4.14
1.27
30.7
2.87
3.70
10.60
2019
12.28
5.28
7.00
2.43
9.43
3.91
5.52
0.18
5.33
1.69
31.7
3.64
3.19
11.62
2020
11.84
5.36
6.48
1.76
8.24
3.46
4.78
0.23
4.55
0.80
17.5
3.75
3.38
12.66
2021E
11.63
5.61
6.02
1.18
7.19
3.06
4.13
0.55
3.58
0.79
22.0
2.79
3.80
10.61
2022E
11.56
5.53
6.03
1.52
7.54
3.06
4.48
0.31
4.18
0.92
22.0
3.26
3.94
12.84
2023E
11.80
5.55
6.24
1.65
7.90
2.99
4.91
0.27
4.64
1.02
22.0
3.62
4.00
14.47
Source: MOFSL, Company
Exhibit 98: PB chart – 1 year forward
8.0
6.5
5.0
3.5
2.0
P/B (x)
Min (x)
Avg (x)
+1SD
6.8
5.8
4.7
2.6
Max (x)
-1SD
Exhibit 99: PE chart – 1 year forward
90
70
50
30
10
P/E (x)
Min (x)
Avg (x)
+1SD
Max (x)
-1SD
67.7
55.3
43.7
32.1
23.6
5.9
3.6
45.7
Source: MOFSL, Company
Source: MOFSL, Company
January 2021
52
 Motilal Oswal Financial Services
Thematic: Housing Finance
Company overview
Shareholding pattern – Sep ’20 (%)
Promoter
- Lake District Holdings
-Partners group
Smallcap World Fund
AU Small Finance Bank
SBI Mutual Fund
Kotak Mutual Fund
Others
Total
50.2
29.5
20.6
6.2
4.6
2.4
2.1
34.5
100.0
AAVAS Financiers was incorporated in 2011 as AU Housing Finance, a subsidiary of
erstwhile AU Financiers (AU SFB). After AUSFB received a small finance bank license
in 2013, it divested 90% stake in the business to various private equity funds
managed by Kedaara Capital and Partners Group. In Sep’18, AAVAS listed on the
stock exchanges – the listing was a mix of OFS by existing shareholders (INR15b)
and fresh equity raise (INR4b). The company has 259 branches across ten states in
the country.
Key management personnel
Mr. Sushil Kumar Agarwal, MD & CEO
Mr. Sushil Kumar Agarwal is the whole-time Director and CEO of the company. He
has been associated with the AAVAS since incorporation in 2011. He is a qualified
Chartered Accountant and a qualified Company Secretary. He was previously
associated with AU SFB as its Business Head – SME & Mortgages. Mr. Agarwal has
also worked with ICICI Bank Limited as its Chief Manager and with Kotak Mahindra
Primus Limited as an Assistant Manager. He has more than 19 years of experience
in the field of retail financial services.
Mr. Ghanshyam Rawat, Chief Financial Officer
Mr. Ghanshyam Rawat is the Chief Financial Officer (finance and treasury) of the
company. He is associated with AAVAS since 2013. He presently heads finance and
treasury, accounts, internal audit, compliance, budget and analytics departments.
He holds a Bachelor’s degree in Commerce from Rajasthan University and is a
fellow member of the Institute of Chartered Accountants of India. He has been
previously associated with First Blue Home Finance Limited, Accenture India Private
Limited and Deutsche Postbank Home Finance Limited. Further, he has also worked
with Pan Asia Industries Limited and Indo Rama Synthetics (I) Limited.
Mr. Sunku Ram Naresh, Chief Business Officer
Mr. Sunku Ram Naresh joined AAVAS in 2016 and has been instrumental in setting
up the rural distribution model for the company. His last assignment was with Bajaj
Finance Ltd. He has also worked with other companies like GE Money, ICICI Bank
and Nestle India. He is an MBA and B.Sc. from Sri Krishnadevaraya University, A.P.
Mr. Ashutosh Atre, Chief Risk Officer
Mr. Ashutosh Atre is the Chief Risk Officer and was previously the Chief Credit
Officer of the company. He has over three decades of experience in sales, credit
and risk across retail and SME products. Prior to joining AAVAS, he worked with
leading institutions including Equitas, ICICI Bank and Cholamandalam Investment &
Finance. He holds a Diploma in Finance and Engineering from NMIMS and MP Board
of Technical Education, respectively.
January 2021
53
 Motilal Oswal Financial Services
Thematic: Housing Finance
Financials and Valuation
Income statement
Y/E March
Interest Income
Interest Expended
Net Interest Income
Change (%)
Gain on Securitisation
Other Operating Income
Total Income
Change (%)
Operating Expenses
Operating Income
Change (%)
Provisions
PBT
Tax
Tax Rate (%)
PAT
Change (%)
Proposed Dividend
2016
1,725
969
757
76.3
0
244
1,001
86.5
466
535
71.0
47
489
168
34.4
321
68.0
0
2017
2,707
1,428
1,279
69.0
5
343
1,627
62.5
673
953
78.1
67
887
308
34.7
579
80.4
0
2018
3,926
1,931
1,995
56.0
602
417
3,014
85.3
1,645
1,369
43.6
26
1,343
412
30.7
931
60.9
0
2019
5,935
2,554
3,382
69.5
783
391
4,556
51.2
1,890
2,666
94.7
89
2,577
818
31.7
1,759
89.0
0
2020
7,864
3,561
4,304
27.3
766
401
5,470
20.1
2,296
3,174
19.1
153
3,020
529
17.5
2,491
41.6
0
2021E
9,788
4,721
5,068
17.8
613
377
6,058
10.7
2,577
3,481
9.7
467
3,014
663
22.0
2,351
-5.6
0
2022E
11,354
5,433
5,920
16.8
1,042
448
7,410
22.3
3,005
4,405
26.5
302
4,103
903
22.0
3,201
36.1
0
INR m
2023E
13,497
6,353
7,144
20.7
1,354
536
9,034
21.9
3,422
5,612
27.4
304
5,308
1,168
22.0
4,140
29.3
0
Balance sheet
Y/E March
Capital
Reserves & Surplus
Net Worth
Borrowings
Change (%)
Other liabilities
Total Liabilities
Loans
Change (%)
Investments
Change (%)
Other assets
Total Assets
E: MOFSL Estimates
2016
384
1,647
2,031
14,572
104.2
505
17,108
14,702
75.9
0
NM
2,405
17,108
2017
582
5,082
5,663
17,935
23.1
908
24,507
21,638
47.2
8
NM
2,861
24,507
2018
692
11,207
11,899
27,376
52.6
1,126
40,401
33,334
54.1
45
NM
7,022
40,401
2019
781
17,589
18,370
36,533
33.4
1,366
56,268
47,245
41.7
45
0.0
8,978
56,268
2020
783
20,196
20,979
53,520
46.5
2,081
76,580
61,808
30.8
45
0.0
14,727
76,580
2021E
783
22,547
23,331
65,987
23.3
2,497
91,815
74,143
20.0
45
0.0
17,627
91,815
2022E
783
25,748
26,531
75,137
13.9
2,996
1,04,664
87,368
17.8
45
0.0
17,251
1,04,664
2023E
783
29,888
30,671
89,865
19.6
3,595
1,24,131
1,04,494
19.6
45
0.0
19,593
1,24,131
January 2021
54
 Motilal Oswal Financial Services
Thematic: Housing Finance
Financials and Valuation
Ratios
Y/E March
Spreads Analysis (%)
Avg Yield on Housing Loans
Avg. Cost-Int. Bear. Liab.
Interest Spread
Net Interest Margin
Profitability Ratios (%)
RoE
RoA
Loans/Equity (x)
Cost/Income
Asset Quality (%)
Gross NPAs
Gross NPAs to Adv.
Net NPAs
Net NPAs to Adv.
VALUATION
Book Value (INR)
Price-BV (x)
EPS (INR)
EPS Growth YoY
Price-Earnings (x)
Dividend per share (INR)
Dividend yield (%)
E: MOFSL Estimates
80
0.6
62
0.4
2016
52.9
8.4
44.1
0.0
169
0.8
129
0.6
2017
97.4
9.9
19.1
0.0
107
0.3
83
0.2
2018
172.0
13.5
35.3
0.0
158
0.3
112
0.2
2019
235.2
22.5
67.3
0.0
210
0.3
171
0.3
2020
267.9
6.3
31.8
41.2
53.4
0.0
0.0
1,548
2.1
1,161
1.6
2021E
297.9
6.5
30.0
-5.6
64.3
0.0
0.0
2,273
2.6
1,705
2.0
2022E
338.7
5.7
40.9
36.1
47.2
0.0
0.0
2,517
2.4
1,888
1.8
2023E
391.6
4.9
52.9
29.3
36.5
0.0
0.0
2016
15.0
8.9
6.0
6.6
21.1
2.5
7.2
46.5
2017
14.8
8.8
6.1
7.0
15.0
2.8
3.8
41.4
2018
14.2
8.5
5.7
7.3
10.6
2.9
2.8
54.6
2019
13.9
8.0
5.9
8.4
11.6
3.6
2.6
41.5
2020
13.5
7.9
5.6
7.9
12.7
3.8
2.9
42.0
2021E
13.5
7.9
5.6
7.5
10.6
2.8
3.2
42.5
2022E
13.1
7.7
5.4
7.3
12.8
3.3
3.3
40.6
(%)
2023E
13.1
7.7
5.4
7.4
14.5
3.6
3.4
37.9
January 2021
55
 Motilal Oswal Financial Services
Initiating Coverage
Thematic:
Financials
Finance
| Sector:
Housing
– NBFC
Can Fin Homes
BSE Sensex
48,584
S&P CNX
14,596
CMP: INR500
TP: INR650 (+30%)
Buy
A balanced player
Healthy asset quality | Low CoF | 100% retail loans
Stock info
Bloomberg
Equity Shares (m)
M.Cap.(INRb)/(USDb)
52-Week Range (INR)
1, 6, 12 Rel. Per (%)
Financial Snapshot (INR b)
Y/E March
2020 2021E
NII
6.7
8.0
PPP
5.8
7.0
PAT
3.8
4.4
EPS (INR)
28.2
33.2
EPS Growth (%)
26.8
17.5
BVPS (INR)
161
193
Ratios (%)
NIM
3.5
3.8
C/I ratio
15.7
13.0
RoAA
1.9
2.0
RoE
19.1
18.7
Payout
8.5
6.0
Valuation
P/E (x)
17.7
15.1
P/BV (x)
3.1
2.6
Div. Yield (%)
0.4
0.4
Shareholding pattern (%)
Dec-20 Sep-20
As On
Promoter
30.0
30.0
FII
10.1
11.5
DII
15.3
13.4
Others
44.6
45.1
FII Includes depository receipts
Stock Performance (1-year)
CANF IN
133
66.6 / 0.9
519 / 253
-5/6/11
2022E
8.0
7.0
4.7
35.6
7.2
226
3.6
14.6
2.0
17.0
5.6
14.1
2.2
0.4
Can Fin Homes (CANF) is a leading player in the low-to-middle income housing
finance segment. The company has strong parentage of Canara Bank and a track
record of superior asset quality and profitability. CANF is amongst the lowest-
cost borrowers in the HFC market (in line with the top-2 HFCs). As a result, it has
maintained healthy spreads of 2.5-2.8% over the past few years (compared to
1.5% for LICHF, 2.2% for HDFC and 3.2% for REPCO) despite catering primarily to
the salaried customer segment.
CANF’s key differentiator is its pristine asset quality. With 90% share of home
loans and nil corporate loans, its GNPL ratio has been sub-1% and average credit
cost over the past five years is 0.2%. While we expect some spike in FY21 due to
the impact of COVID-19, asset quality should normalize thereafter.
While the company has targeted primarily salaried customers over the past five
years, it has also grown its self-employed customer book rapidly. The self-
employed book grew at 36% CAGR to INR61b (v/s 16% CAGR for the salaried
customer book) and its share in the total book has increased from 15% to 29%
over FY15-20. While this would help maintain margins, it could impact asset
quality negatively, especially post COVID-19.
With healthy NIMs of 3.2-3.5%, low expense ratio and benign credit costs, CANF
generated an average ~19% RoE over the past three years, the highest in our HFC
coverage universe. The company offers balanced loan growth (in line with peers),
high RoE and low balance sheet risk. While it has received the Board’s approval
to raise up to INR10b equity capital, the exact quantum and timelines are yet to
be finalized. Hence, we have not included it in our estimates. Initiate coverage
with a Buy rating and TP of INR650 (2.5x FY23E BVPS).
Jun-20
30.0
13.6
11.8
44.6
Low cost of funds due to strong parentage and robust track record
With strong parentage (Canara Bank), 100% retail loans and a history of healthy
asset quality, CANF has been able to raise money at rates competitive with
even the top-2 HFCs.
The company borrows from banks at sub-MCLR rates by
linking to external benchmarks.
Moreover, given that most of its loans assume
PSL status, banks are willing to lend to CANF at lower rates. In addition, 20% of
its borrowings are from NHB, which are at low rates too.
Its cost of funds at
7.6% in FY20 was the lowest in our HFC coverage universe. As a result, CANF
has maintained healthy spreads of 2.5-2.8% over the past few years
(compared to 1.5% for LICHF, 2.2% for HDFC and 3.2% for REPCO) despite
catering primarily to the salaried customer segment.
100% retail lending ensures healthy asset quality
Unlike some other HFCs that aggressively disbursed corporate/builder loans
over 2015-18, CANF stuck to its principle of doing only retail loans. Also, within
retail, the company has consistently maintained a mix of 90% home loans and
10% non-housing loans (LAP, etc.). As a result, historically its asset quality has
January 2021
56
 Motilal Oswal Financial Services
Thematic: Housing Finance
remained pristine –
GNPL ratio has been sub-1% and average credit cost over
the past five years is 0.2%.
Post lifting of the moratorium in September,
collection efficiency was 93%, excluding pre-payments. As a result, we do not
foresee any significant asset quality disruptions.
We forecast GNPL ratio to rise
from 0.8% to 1.9% YoY in FY21 and stabilize thereafter. Likewise, credit costs
should inch up to 0.6% this fiscal but normalize in FY22.
Rising share of self-employed customers a risk
Historically, CANF has targeted salaried customer on the outskirts of large
cities. Given this profile, it has not faced any problems in asset quality.
However, over the past five years, it has focused on growing its self-employed
customer book.
Over FY15-20, the self-employed book has delivered 36%
CAGR to INR61b and its share in the total book has increased from 15% to
29%. Management plans to further increase this to 35% over the near-to-
medium term.
This could pose some risk to asset quality going forward.
Highest RoE in our coverage universe
Given the healthy margins (3.2-3.5%), low expense ratio (0.5% for CANF v/s
0.9% for REPCO) and benign credit costs, CANF generates healthy return ratios.
Over the past five years, it has delivered RoA in the range of 1.6-2.0%. In
addition, it has maintained high leverage of ~10x. As a result, its historical RoE
of 18-22% is the best in our coverage universe.
Beyond the temporary
disruption in FY21, we believe CANF would continue to generate healthy RoE of
16-17% in the medium term. However, in the event of a capital raise (not
factored in our estimates), RoE could moderate.
Valuation and view
Over the past five years, CANF has been prudent in balancing growth,
profitability and asset quality.
On the growth front, we expect a modest 8%
loan book CAGR over FY20-23E given a slowdown in disbursement growth and
higher levels of balance transfers out of the book.
Spreads would remain
healthy at 2.8% as the competitive pressure on yields is offset by lower cost of
funds. While trajectory of GNPLs is uncertain at the moment, our conversations
with management and industry participants suggest that retail loan portfolios
are unlikely to cause any meaningful stress for the industry. Hence, credit costs
would remain benign, post the temporary spike in FY21. Leverage, though, at
~9x is quite high. While the company has Board approval for up to INR10b
equity capital raise, the timeline and exact quantum is not clear. Hence, we
have not included it in our estimates. We forecast an average 2% RoA and 16-
17% RoE over the medium term. Its RoE is 200-400bp higher than that of the
top-2 HFCs. We expect strong RoE to drive re-rating in the stock. Initiate
coverage with a Buy rating and TP of INR650 (2.5x FY23E BVPS).
January 2021
57
 Motilal Oswal Financial Services
Thematic: Housing Finance
Retail-focused player
Catering to salaried players on the outskirts of cities
While CANF was incorporated over three decades ago, bulk of its scale-up happened
during the past 7-8 years. Its loan book grew nearly 8x to INR205b since FY12, driven
by steady branch expansion.
Unlike many peers, the company does not cater to corporate/builder loans. It has
largely maintained its share of home loans at ~90% over the past few years. However,
the new management intends to increase the share of non-housing loans over the
medium-to-long term.
The company targets primarily the salaried customer segment with an average ticket
size of INR1.8m. However, over the past five years, the company has pushed the
pedal on self-employed home loans, the share of which has increased from 15% in
FY15 to 29% in FY20.
While the company delivered above-average loan growth in the past, we believe
growth is likely to slow as the company does not want to sacrifice profitability for
growth. We forecast 8% loan book CAGR over FY20-23E.
16% loan book CAGR
over FY17-20.
Retail lending book; 70% in South India
While CANF was incorporated over three decades ago, most of the business
scale-up occurred during the past 7-8 years. From a loan book of INR27b in
FY12, it grew nearly 8x to INR205b, driven by steady branch count expansion
(up ~4x to 200 over the same time period).
In addition, unlike many other HFCs, its growth has been driven by retail
lending. The company does not do builder loans.
In addition, 90% of the loan
book is home loans (with an average ticket size of INR1.8m) and the rest is
non-housing (i.e. LAP, top-ups, etc.). While the share of non-housing loans is
significantly lower than that of peers like REPCO and AAVAS, management
intends to grow this share over the medium-to-long term.
The company is predominantly in South India, the share of which in total loans
stands at ~70%. Karnataka accounts for 25-30% of CANF’s total loan book.
Exhibit 101: Loan mix largely steady (%)
Housing
8.8
11.3
11.9
11.5
Non-housing
10.1
10.7
9.9
Exhibit 100: Rapid scale up, though growth decelerating
50.8
Loans (INR b)
45.8
41.3
29.1
21.2
23.4
Growth (%)
18.3
156
16.6
182
12.6
205
91.2
88.7
87.9
88.4
89.9
89.3
90.1
27
40
59
83
107
132
Source: MOFSL, Company
Source: MOFSL, Company
Share of self-employed
loans nearly doubled to
29% over FY15-20.
Primarily a salaried player, but growing fast in self-employed segment
While CANF typically caters to the salaried customer segment, it has grown fast
in the self-employed segment over the past five years.
January 2021
58
 Motilal Oswal Financial Services
Thematic: Housing Finance
Over the past five years, the share of self-employed customers has nearly
doubled to 29%.
Management’s intention is to increase this to 35% over the
near-to-medium term. While this would support margins, we acknowledge an
asset quality risk associated with the same, especially in the post-pandemic era.
Exhibit 102: Rise in share of self-employed customers over the past five years (%)
Salaried
14.0
14.0
15.5
19.4
Self-employed
24.5
26.7
28.8
29.0
86.0
86.0
84.5
80.6
75.5
73.3
71.2
71.0
Source: MOFSL, Company
Expect 8% disbursement
CAGR over FY20-23E.
Loan growth slowing down; Expect 8% loan book CAGR over FY20-23E
While the company enjoyed a phase of robust growth till FY17, growth
slowed from 25% YoY in FY17 to 13% YoY in FY20.
This was due to slowdown in
branch expansion as well as reluctance to compromise margins for growth.
In the near term, growth is likely to remain subdued given the impact of the
lockdown on its customer base.
While we expect disbursements to bounce
back in FY22, overall loan book CAGR is likely to remain modest at 8% over
FY20-23E.
Exhibit 104: …to lead to 8% loan book CAGR
Loans (INR b)
40.0
20.0
29.1
23.4
18.3
-26.0
16.6
12.6
4.5
8.7
215
233
11.3
Growth (%)
Exhibit 103: 8% disbursement CAGR over FY20-23E…
Disbursements (INR b)
17.2
22.2
8.7
5.2
0.0
Growth (%)
39.2
47.9
52.1
54.8
54.8
40.6
56.8
68.1
107
132
156
182
205
260
Source: MOFSL, Company
Source: MOFSL, Company
January 2021
59
 Motilal Oswal Financial Services
Thematic: Housing Finance
Low cost of funds – A sustainable advantage
Expense ratio lower than peers
One of CANF’s biggest competitive advantages is its low cost of funds. Over the past
three years, its average cost of funds stood at 7.6% – 30-40bp lower than that of
LICHF and HDFC. The low cost of funds, in turn, helps the company deliver healthy
spreads (2.5%+) without taking any major asset quality risks.
An interesting feature is that most of CANF’s bank borrowings are at sub-MCLR rates.
This has been achieved by linking to external benchmarks. Note that banks account
for 60% of total borrowings for the company.
Roughly half of sourcing by CANF comes from external partners. This minimizes the
fixed cost in P&L. With an expense ratio of 0.5-0.6%, CANF has been able to deliver an
expense ratio superior to peers, REPCO (0.9-1%) and AAVAS (3%+).
Cost of funds was 30-
40bp lower than that of
the top-2 HFCs in FY20.
Strong parentage and track record results in low cost of funds
One of the biggest advantages that CANF has over its peers is access to low cost
of funds (in line with that of the top-2 HFCs). In our view, this comes from its
strong PSU Bank parentage (Canara Bank) as well as robust track record over
the past decade.
The company is able to borrow from banks at sub-MCLR rates by linking its
borrowings to external benchmarks.
Over the past 5-6 years, CANF’s borrowing mix has changed in line with the
overall macro environment.
Prior to the IL&FS crisis, it rapidly moved from
bank borrowings to market borrowings (share up from 22% in FY15 to 50% in
FY18), post which there was a reversal in trend (share down from 50% in FY18
to 20% currently).
Exhibit 106: Trend in borrowing mix (%)
Banks
8.2
8.2
3
22
2
34
NHB
Market borrowings
2
51
2
50
2
34
12
37
28
31
27
FY16
19
FY17
15
33
FY18
52
57
Deposits
2
22
19
Exhibit 105: Cost of funds lower than top-2 HFCs (%)
FY18
FY19
8.1
7.8
7.6
7.6
7.6
7.9
FY20
8.2
44
CANF
HDFC
LICHF
Source: MOFSL, Company
FY15
FY19
FY20
Source: MOFSL, Company
January 2021
60
 Motilal Oswal Financial Services
Thematic: Housing Finance
Exhibit 107: Able to borrow at sub-MCLR rates from banks (FY20 data)
Lender
Canara Bank
Canara Bank
Canara Bank
State Bank of India
State Bank of India
State Bank of India
State Bank of India
State Bank of India
State Bank of India
HDFC Bank
HDFC Bank
HDFC Bank
HDFC Bank
Corporation Bank
Federal Bank
Federal Bank
Federal Bank
Federal Bank
Federal Bank
Syndicate Bank
Axis Bank
Bank of India
Allahabad Bank
Bank of Maharashtra
Total
Amount (INR b)
5.0
5.0
15.0
5.0
10.0
5.0
1.8
10.0
10.0
3.0
2.6
5.0
10.0
2.5
2.5
2.5
2.5
0.9
1.0
10.0
2.0
10.0
5.0
4.0
130.2
Source: MOFSL, Company
Interest Rate
7.65%
7.65%
7.65%
7.70%
7.80%
7.80%
7.70%
7.70%
7.80%
5.65%
6.88%
7.85%
7.70%
8.00%
7.65%
7.65%
7.65%
7.95%
7.65%
7.60%
7.80%
7.50%
8.10%
7.75%
Spreads should remain
stable at 2.8%.
Expect spreads to remain largely stable at 2.8%
Over FY15-18, CANF’s spreads improved meaningfully from 1.4% to 2.7%, led
by the sharp reduction in cost of funds, partially offset by lower yields. Post
FY18, spreads have been largely range-bound at those levels.
While cost of funds is likely to improve 80bp in FY21 due to excess liquidity in
the system, we also expect a similar decline in yields due to the competitive
pressure. Hence, we do not foresee further improvement in spreads hereon.
Exhibit 109: …leading to largely stable NIMs (%)
NIM
9.5
Exhibit 108: Decline in CoF to be offset by lower yields (%)…
Yield on loans
11.1
11.0
10.9
10.3
10.1
Cost of funds
10.4
10.0
9.6
9.7
9.0
8.4
7.6
7.6
7.6
6.8
6.7
6.7
2.5
3.2
3.5
3.5
3.2
3.5
3.8
3.6
3.6
Source: MOFSL, Company
Source: MOFSL, Company
January 2021
61
 Motilal Oswal Financial Services
Thematic: Housing Finance
CANF’s expense ratio of
50-60bp is much lower
than peers.
Stringent cost control leads to lower expense ratio v/s peers
Roughly half of CANF’s sourcing comes from external partners. This minimizes
the fixed cost on the P&L. In addition, the company has a low-cost model of
operations.
As a result, it has been able to deliver an expense ratio superior to peers.
CANF’s expense ratio of 0.5-0.6% is lower than that of REPCO (0.9-1%) and
much lower than that of AAVAS (3%+).
Exhibit 111: Expect expense ratio to remain stable (%)
Expense ratio
4.86
3.77
3.34
19.6
17.2
16.2
16.3
15.7
13.0
14.6
14.8
C/I ratio
Exhibit 110: Low expense ratio v/s peers (%)
FY18
FY19
FY20
0.61 0.54 0.56
CANF
0.85 0.96 0.95
0.7
REPCO
AAVAS
Source: MOFSL, Company
FY16
0.7
FY17
0.6
FY18
0.5
FY19
0.6
FY20
0.5
0.5
0.5
FY21E FY22E FY23E
Source: MOFSL, Company
January 2021
62
 Motilal Oswal Financial Services
Thematic: Housing Finance
Asset quality trends encouraging
RoE in high-teens, better than that of listed peers
Given its product and customer positioning (retail lending primarily to salaried
customers), CANF has enjoyed healthy asset quality over time. Its slippage ratio has
historically been less than 0.4%. GNPL ratio has been sub-1% while the average credit
cost over the past five years is 0.2%.
However, rising share of self-employed customers poses a risk to asset quality,
especially post the pandemic. The company has witnessed deterioration in Stage 2
loan ratio – from 4.4% in FY18 to 6.0% in FY20. We believe GNPL ratio will rise from
0.8% to ~2% YoY in FY21 due to the Covid-19 impact, but moderate thereafter.
While the company generates a RoA of ~2%, which is the median in the HFC universe,
its RoE of 19% (FY20) is best-in-class. While we forecast ~200bp decline in RoE to 16-
17% over the medium term, we believe it would still be comfortably ahead of peers.
Gross slippage/ net
slippage ratio of
0.4%/0.2% in FY20.
Low GNPL ratio a comforting factor
A key differentiating factor of CANF is its historically low GNPL ratio and credit
costs. This has been driven by its targeted business segments (100% retail
lending with majority salaried customers).
Its slippage ratio has historically
been less than 0.4%. GNPL ratio has been sub-1% while the average credit
cost over the past five years is 0.2%.
Even in this pandemic, the company did a decent job on collection efficiency.
Post lifting of the moratorium, CANF achieved 93% collection efficiency in
September, excluding pre-payments.
However, the rising share of self-employed customers poses a risk to asset
quality.
In addition, the company witnessed deterioration in Stage 2 loans
ratio from 4.4% in FY18 to 6.0% in FY20.
We forecast GNPL ratio to rise from 0.8% to ~2% YoY in FY21 due to the impact
of Covid-19, but it should moderate thereafter. Likewise, credit costs should
inch up to 0.6% this fiscal but normalize in FY22.
Exhibit 113: …resulting in 2% GNPL ratio in FY21E
GNPL ratio
100
100
PCR
Exhibit 112: Slippage ratio to spike in FY21/22E (%)…
Slippage ratio
Net slippage ratio
1.8
1.2
1.0
0.5
53
30
0.3
0.2
0.2
0.4
0.6
29
0.8
25
1.9
30
1.8
30
1.8
0.4 0.4
0.1 0.1
0.4
0.3
0.4
0.2
0.1
Source: MOFSL, Company
Source: MOFSL, Company
January 2021
63
 Motilal Oswal Financial Services
Thematic: Housing Finance
Exhibit 114: Trend in credit costs (%)
0.6
0.3
0.2
0.2
0.0
0.2
0.2
4.4
4.8
Exhibit 115: Stage 2 loans up 160bp over FY18-20 (%)
FY18
6.0
4.5
4.3
FY19
5.5
3.8
4.4
4.6
FY20
0.2
0.2
CANF
Source: MOFSL, Company
HDFC
LICHF
Source: MOFSL, Company
Leverage higher than peers
Leverage at 9.5x is higher
than that of peers.
CANF operates at leverage higher than most peers.
Over the past five years,
leverage (loans/equity) has been ~10x.
The company has the Board’s approval to raise up to INR10b equity capital to
bring down leverage and fuel growth. However, the timeline and exact
quantum is not finalized as yet.
Exhibit 116: Loans/Equity – CANF is the second highest after LICHF (FY20, x)
11.7
9.5
8.3
6.5
5.2
2.9
LICHF
CANF
PNBHF
REPCO
HDFC
AAVAS
Source: MOFSL, Company
Highest RoE in our HFC coverage universe
2% RoA/19% RoE over
the past three years.
With healthy margins coupled with low expense ratio and credit costs, CANF
generates healthy RoA of 1.9-2% (middle of HFC’s RoA range).
However, given the higher leverage, its RoE of 19% is best-in-class. We expect
a slight moderation in RoE to 16-17%, driven by lower leverage due to modest
loan growth over the medium term.
Nevertheless, we expect CANF to deliver
12% PAT CAGR over FY20-23E.
January 2021
64
 Motilal Oswal Financial Services
Thematic: Housing Finance
Exhibit 117: RoA in middle of HFC range (FY20, %)…
3.8
19.1
2.4
1.9
1.8
1.2
0.8
16.9
14.3
Exhibit 118: …but RoE best-in-class (FY20, %)
13.1
12.7
8.3
AAVAS
REPCO
CANF
HDFC
LICHF
PNBHF
CANF
REPCO
LICHF
HDFC
AAVAS
PNBHF
Source: MOFSL, Company
Source: MOFSL, Company
Exhibit 119: Moderation in RoE due to lower leverage (%)
22.5
21.3
18.2
RoA
19.1
18.7
RoE
17.0
16.3
Exhibit 120: Expect 12% PAT CAGR over FY20-23E
PAT (INR b)
49.4
4.7
17.5
7.2
3.8
4.4
12.6
5.3
Growth (%)
22.0
26.8
3.0
3.7
2.0
2.0
1.7
1.9
2.0
2.0
2.1
2.3
2.9
Source: MOFSL, Company
Source: MOFSL, Company
January 2021
65
 Motilal Oswal Financial Services
Thematic: Housing Finance
Valuation and view
A balanced player
In our view, CANF is a well-balanced player. Its loan growth is in line with large HFCs.
It has maintained spreads higher than that of large HFCs, driven by competitive cost
of funds. Also, asset quality is superior to peers due to product and customer
segmentation (i.e. no builder loans and primarily salaried customers).
Having said that, the company is facing a few challenges. CANF’s ability to kick-start
growth in FY22, post the pandemic, will be keenly watched. Additionally, the
company would have to focus on collections to minimize the asset quality impact of
the lockdown. Moreover, it needs to raise equity capital due to leverage being higher
than that of peers. Note that we haven’t built in any capital raise in our estimates.
In our view, its loan growth, in high-single digits, is likely to be in line with larger HFCs
like LICHF. With excess liquidly in the system, margins should remain intact. In our
view, the impact of the lockdown, especially on salaried customers, has been benign
compared to our initial expectations. Hence, the asset quality impact should be
temporary and manageable.
CANF is the only listed HFC to make high-teens RoE on a consistent basis. This, we
believe would moderate to ~17% over the medium term, but still be 200-300bp higher
than that of the top-2 HFCs. We believe consistent performance on RoE would drive re-
rating in the stock. Initiate coverage with Buy and a TP of INR650 (2.5x FY23E BVPS).
2014
11.16
8.47
2.69
0.42
3.11
0.88
28.29
0.36
0.52
2.23
0.09
2.14
0.62
29.01
1.52
11.82
17.93
2015
11.06
8.57
2.49
0.41
2.90
0.77
26.62
0.35
0.43
2.13
0.20
1.93
0.72
37.26
1.21
11.64
14.09
2016
10.94
7.79
3.15
0.41
3.56
0.70
19.64
0.35
0.35
2.86
0.20
2.66
1.01
38.11
1.65
11.57
19.05
2017
10.86
7.35
3.51
0.39
3.90
0.67
17.21
0.33
0.34
3.23
0.16
3.07
1.12
36.50
1.95
11.55
22.55
2018
10.27
6.76
3.51
0.22
3.73
0.60
16.23
0.31
0.30
3.12
0.15
2.97
1.00
33.61
1.97
10.78
21.27
2019
9.94
6.79
3.16
0.10
3.26
0.53
16.27
0.24
0.29
2.73
0.01
2.73
1.00
36.80
1.72
10.54
18.15
2020
10.15
6.76
3.39
0.06
3.45
0.54
15.69
0.27
0.27
2.91
0.30
2.61
0.71
27.43
1.89
10.11
19.13
2021E
2022E
2023E
9.71
9.31
9.22
6.01
5.83
5.77
3.70
3.47
3.44
0.04
0.05
0.05
3.74
3.52
3.49
0.49
0.51
0.52
13.03
14.58
14.77
0.27
0.28
0.28
0.22
0.24
0.24
3.25
3.01
2.98
0.53
0.28
0.18
2.72
2.73
2.79
0.68
0.68
0.70
25.00
25.00
25.00
2.04
2.05
2.09
9.19
8.30
7.80
18.74
16.98
16.34
Source: MOFSL, Company
Max (x)
-1SD
Exhibit 121: DuPont analysis (%)
Interest Income
Interest Expended
Net Interest Income
Other Income
Total Income
Operating Expenses
Cost to Income Ratio (%)
Employee Expenses
Other Expenses
Operating Profit
Provisions/write offs
PBT
Tax
Tax Rate (%)
PAT
Leverage
RoE
2013
11.17
8.34
2.82
0.41
3.23
1.06
32.80
0.46
0.60
2.17
-0.04
2.21
0.62
27.93
1.60
9.17
14.63
Exhibit 122: P/E chart (1-year forward)
40.0
30.0
20.0
10.0
0.0
P/E (x)
Min (x)
Avg (x)
+1SD
Max (x)
-1SD
Exhibit 123: P/B chart (1-year forward)
6.0
4.0
P/B (x)
Min (x)
Avg (x)
+1SD
5.5
29.7
17.1
10.8
4.4
3.0
13.4
3.1
1.8
0.4
0.6
2.0
0.0
2.2
Source: MOFSL, Company
Source: MOFSL, Company
January 2021
66
 Motilal Oswal Financial Services
Thematic: Housing Finance
Key Risks
Pressure on margins due to competition
Over the past six months, banks and large HFCs have cut home loan rates by 100-
150bp. While CANF should be able to manage spreads due to a similar decline in
cost of funds, any further rate cut by competitors would result in meaningful spread
compression for CANF.
Exit of Canara Bank as the promoter
Canara Bank owns 30% of the company. With strong parentage, CANF has been
able to access debt capital at competitive rates, even in times of tight liquidity. If
Canara Bank were to sell its stake in the company, it could have an impact on
CANF’s credit rating as well as access to debt capital.
The share of self-employed customers increased from 15% to 29% over the past
five years. In the current pandemic, self-employed customers have faced more cash
flow problems than salaried customers. In addition, while the company has
historically maintained the share of non-housing loan at ~10%, the new
management is looking to increase its share over the medium-to-long term. These
could pose a risk to asset quality in the future.
Rising share of LAP/self-employed customers could impact asset quality
January 2021
67
 Motilal Oswal Financial Services
Thematic: Housing Finance
Key management personnel and shareholding
Mr. Girish Kousgi, MD & CEO
Mr. Kousgi is a seasoned banking professional with over two decades of work
experience. He joined the company in 2019. He has previously worked with several
institutions including HDFC, ICICIB, IDFCB and Tata Capital in a variety of products
such as home loans, business loans, LAP, personal loans, etc. Mr. Kousgi has worked
in several functions including sales, product, underwriting, risk and operations. He
holds a Bachelor’s in Commerce degree and is an MBA.
Mr. Shreekant Bhandiwad, Dy. MD
Mr. Bhandiwad is the Dy. Managing Director of the company. He joined Canara
Bank in 1994 as an officer. He was also the ‘Head’ of Jaipur circle for Canara Bank.
He has over 26 years of work experience in banking.
Mr. Prashanth Joishy, CFO
Mr. Joishy is the Asst. General Manager and CFO of the company. He joined the
company in 1989 and has over three decades of work experience. He has worked in
operations in various locations such as Karnataka, Maharashtra and Odisha. He has
also worked for 11 years in the finance and accounts department of the company.
January 2021
68
 Motilal Oswal Financial Services
Thematic: Housing Finance
Financials and Valuation
Income statement
Y/E March
Interest Income
Interest Expended
Net Interest Income
Change (%)
Other Income
Net Income
Change (%)
Operating Expenses
Operating Income
Change (%)
Provisions/write offs
PBT
Tax
Tax Rate (%)
Reported PAT
Change (%)
Proposed Dividend (incl. tax)
2016
10,444
7,435
3,009
69.4
391
3,401
64.5
668
2,733
80.1
194
2,539
968
38.1
1,571
82.2
321
2017
13,060
8,840
4,220
40.2
471
4,691
37.9
807
3,884
42.1
188
3,696
1,349
36.5
2,347
49.4
321
2018
14,906
9,810
5,096
20.8
314
5,410
15.3
878
4,532
16.7
221
4,311
1,449
33.6
2,862
22.0
321
2019
17,134
11,693
5,441
6.8
179
5,621
3.9
915
4,706
3.8
11
4,695
1,728
36.8
2,967
3.7
321
2020
20,189
13,442
6,747
24.0
115
6,862
22.1
1,076
5,786
23.0
603
5,183
1,422
27.4
3,761
26.8
321
2021E
21,027
13,013
8,014
18.8
91
8,104
18.1
1,056
7,048
21.8
1,156
5,892
1,473
25.0
4,419
17.5
266
2022E
21,539
13,498
8,041
0.3
115
8,155
0.6
1,189
6,967
-1.2
652
6,315
1,579
25.0
4,736
7.2
266
INR m
2023E
23,466
14,702
8,763
9.0
125
8,889
9.0
1,313
7,576
8.7
463
7,113
1,778
25.0
5,335
12.6
266
INR m
2023E
266
34,925
35,192
2,31,193
11.3
2,833
2,69,218
2,59,767
11.3
323
10.0
504
8,623
2,69,218
Balance sheet
Y/E March
Capital
Reserves & Surplus
Net Worth
Borrowings
Change (%)
Other liabilities
Total Liabilities
Loans
Change (%)
Investments
Change (%)
Net Fixed Assets
Other assets
Total Assets
E: MOFSL Estimates
2016
266
8,514
8,780
90,740
23.0
8,040
1,07,560
1,07,146
29.1
149
0.0
89
175
1,07,560
2017
266
11,771
12,037
1,18,675
30.8
2,168
1,32,880
1,32,241
23.4
160
7.1
102
377
1,32,880
2018
266
14,604
14,870
1,39,210
17.3
3,215
1,57,295
1,56,440
18.3
160
0.0
96
600
1,57,295
2019
266
17,556
17,822
1,67,974
20.7
1,500
1,87,295
1,82,342
16.6
163
1.9
99
4,692
1,87,295
2020
266
21,234
21,501
1,87,484
11.6
1,451
2,10,436
2,05,257
12.6
243
49.1
379
4,557
2,10,436
2021E
266
25,387
25,654
1,95,263
4.1
1,813
2,22,730
2,14,575
4.5
267
10.0
417
7,471
2,22,730
2022E
266
29,857
30,123
2,07,675
6.4
2,267
2,40,065
2,33,342
8.7
294
10.0
459
5,970
2,40,065
January 2021
69
 Motilal Oswal Financial Services
Thematic: Housing Finance
Financials and Valuation
Ratios
Y/E March
Yield on loans
Cost of funds
Spread
Net Interest Margin
Profitability Ratios (%)
RoE
RoA
C/I ratio
Asset Quality (%)
Gross NPAs
Gross NPAs to Adv.
Net NPAs
Net NPAs to Adv.
PCR
VALUATION
Book Value (INR)
Price-BV (x)
EPS (INR)
EPS Growth YoY
Price-Earnings (x)
Dividend per share (INR)
Dividend yield (%)
E: MOFSL Estimates
2016
11.0
9.0
1.9
3.2
2017
10.9
8.4
2.5
3.5
2018
10.3
7.6
2.7
3.5
2019
10.1
7.6
2.5
3.2
2020
10.4
7.6
2.8
3.5
2021E
10.0
6.8
3.2
3.8
2022E
9.6
6.7
2.9
3.6
2023E
9.5
6.7
2.8
3.6
19.0
1.6
19.6
22.5
2.0
17.2
21.3
2.0
16.2
18.2
1.7
16.3
19.1
1.9
15.7
18.7
2.0
13.0
17.0
2.0
14.6
16.3
2.1
14.8
198
0.2
0
0.0
100.0
279
0.2
0
0.0
100.0
675
0.4
316
0.2
53.2
1,135
0.6
795
0.4
30.0
1,571
0.8
1,118
0.5
28.8
4,050
1.9
3,038
1.4
25.0
4,245
1.8
2,971
1.3
30.0
4,759
1.8
3,331
1.3
30.0
66.0
7.4
11.8
82.2
2.0
90.4
5.4
17.6
49.4
2.0
111.7
4.4
21.5
21.9
2.0
133.8
3.6
22.3
3.7
2.0
161.5
3.0
28.2
26.8
17.6
2.0
0.4
192.6
2.6
33.2
17.5
15.1
2.0
0.4
226.2
2.2
35.6
7.2
14.1
2.0
0.4
264.3
1.9
40.1
12.6
12.5
2.0
0.4
January 2021
70
 Motilal Oswal Financial Services
Update
Thematic:
Financials
Finance
| Sector:
Housing
– NBFC
PNB Housing Finance
BSE Sensex
49,584
S&P CNX
14,596
CMP: INR370
TP: INR400 (+8%)
Neutral
Preserving capital; Focus on retail loans
Asset quality a key monitorable
Stock info
Bloomberg
Equity Shares (m)
M.Cap.(INRb)/(USDb)
52-Week Range (INR)
1, 6, 12 Rel. Per (%)
PNBHOUSI IN
167
62.2 / 0.9
579 / 146
-9/45/-40
Focus on capital preservation and de-risking the balance sheet
Financial Snapshot (INR b)
Y/E March
2020 2021E 2022E
NII
18.1
20.0
20.9
PPP
20.6
19.5
21.8
PAT
6.5
9.6
11.2
EPS (INR)
38.4
56.9
66.6
EPS Gr. (%)
-46
48
17
BV/Sh. (INR)
476
519
573
Ratios
NIM (%)
2.6
3.0
3.1
C/I ratio (%)
21.1
19.9
20.0
RoAA (%)
0.8
1.2
1.4
RoE (%)
8.3
11.4
12.2
Valuations
P/E (x)
9.6
6.5
5.6
P/BV (x)
0.8
0.7
0.6
Div. Yield (%)
2.4
3.1
2.7
Shareholding pattern (%)
As On
Sep-20 Jun-20
Promoter
32.7
32.7
DII
3.6
4.9
FII
24.0
21.9
Others
39.8
40.6
FII Includes depository receipts
Stock Performance (1-year)
Sep-19
32.7
7.1
23.4
36.8
In the past year, PNBHF has focused on capital preservation, increasing balance
sheet liquidity, and de-risking the loan book. It has been running down its loan
book (especially corporate loans) as well as assigning loans to banks.
Total
AUM declined ~10% over the past four quarters.
<