14 October 2021
E
CO
S
COPE
What are India’s excess household savings…
…and how does it compare with other nations?
The Economy Observer
One of the most important features of CY20 was the build-up of household (HH) savings due to many different factors.
This characteristic has continued in 1HCY21. In our recently released
note,
we had emphasized that while HH savings rate
has increased globally, the rise has been the slowest in India compared to other major nations.
The savings rate, however, can surge due to two factors: the rise in savings (the numerator) and/or the fall in the
personal disposable income (PDI, the denominator). The former indicates a likely pick-up in private demand and thus,
inflationary pressures, while the latter reflects the weak financial position of households, pointing towards a muddled
growth trajectory. Since these two factors have very different implications, it is important to understand the extent and
the primary driver of a higher savings rate.
Even with or without the COVID-19 pandemic, assuming an unchanged savings rate, nominal savings would have
increased globally in CY20/CY21 in line with HH income. What matters are the ‘excess savings’, the additional savings
that would not have occurred in the absence of the pandemic. In this note, we discuss and estimate India’s excess
savings and compare it with other major nations.
Based on our assumptions, India’s cumulative excess HH savings (since 1QCY20 to 2QCY21) ranged from -1.0% to +1.6%
of CY20 PDI, compared to as high as 8-19% of PDI in advanced nations. India is the only nation in our sample, where
cumulative excess savings have declined in 2QCY21, while it is still rising in other economies.
Apart from precautionary motives and forced savings, fiscal support played a very important role in the build-up of the
excess HH savings. A cross-country comparison suggests that India’s low excess HH savings are a clear result of much
lower fiscal support.
We reiterate that the financial position of the Indian HH sector has weakened considerably during the past 18 months,
which is in stark contrast to most rich nations. The households incurred the maximum share of COVID-led income losses
in India, while governments suffered the most in other economies. Overall, it indicates that the economic growth is likely
to remain subdued over the next few years.
Excess HH savings and its determinants:
A large part of the world economy was
under physical lockdown in 2QCY20 on account of the COVID-19 outbreak. Such
restrictions led to a huge buildup of ‘forced savings’ among households across the
world. They are called ‘forced’ because whether one wants it or not, the absence of
an opportunity to spend on many goods and services led to higher savings among
the general population.
Further, as the world economy witnessed a collapse in economic activity, risk
perception of households made them save more than usual on account of
‘precautionary savings’ – to prepare for a rainy day. This is true during each
slowdown and every uncertain period leads to such an increase in HH savings.
Third, unlike a general economic slowdown, the fiscal response during COVID-19
was very swift and coordinated across the globe. According to the International
Monetary Fund (IMF)
Fiscal Monitor,
global fiscal deficit rose to ~11.5% of GDP in
CY20 from about 3.5% of GDP in CY19. Moreover, the quality of fiscal support has
also been different as a significant part was directed towards individuals to help
replace lost income and/or support minimum spending.
Nikhil Gupta – Research Analyst
(Nikhil.Gupta@MotilalOswal.com)
Yaswi Agarwal
– Research Analyst
(Yaswi.Agarwal@MotilalOswal.com)
Investors are advised to refer through important disclosures made at the last page of the Research Report.
Motilal Oswal research is available on www.motilaloswal.com/Institutional-Equities, Bloomberg, Thomson Reuters, Factset and S&P Capital.
 Motilal Oswal Financial Services
A comparison of actual HH
savings vis-à-vis non-COVID
savings (counterfactual
scenario) will reveal the
level of excess savings
Although it is difficult to segregate the impact of each of these factors in higher HH
savings in CY20, savings have been undoubtedly much more than usual. A
comparison of actual HH savings vis-à-vis non-COVID savings (counterfactual
scenario) will reveal the level of excess savings. The accumulation of such excess
savings over a period of time is ‘cumulative excess savings’.
We make an assumption on the likely path of PDI (or HH income) in the absence of
the COVID-19 outbreak and find out the savings, assuming the unchanged savings
rate from the pre-COVID years. We then compare it with the actual HH savings since
the beginning of CY20 and add the differences (from 1QCY20 to 2QCY21) to
estimate ‘cumulative excess savings’ in an economy.
In order to make the data comparable across nations, we assume that in the
absence of the pandemic, the PDI growth in CY20 and 1HCY21 would have been the
same as the average of the preceding two years (CY18-CY19) and the savings rate (as
a percentage of PDI) would also have been the average of the preceding two years
1
.
To simplify, we reveal our estimates of excess HH savings in the US, which is then
repeated for other nations, including India (IN).
Exhibit 1:
A comparison of actual personal savings with its
counterfactual path suggests…
Actual savings
600
(USD b)
450
300
Non-COVID savings
Exhibit 2:
…that the cumulative excess personal savings in
the US stood at USD2.5t by Aug’21
Cumulative excess savings
3,000
(USD b)
2,000
1,000
150
0
Jan/18 Aug/18 Mar/19 Oct/19 May/20 Dec/20
0
Jul/21
Dec/19
May/20
Oct/20
Mar/21
Aug/21
Non-COVID savings is the counterfactual path for personal savings
Source: US Bureau of Economic Analysis (BEA), CEIC, MOFSL
The average growth in nominal PDI in the US was 4.7% in the pre-COVID period
(CY18-19) and the personal savings rate was 7.6%. Assuming these ratios remained
intact in the absence of the pandemic, provides the non-COVID (counterfactual)
trend path of personal savings in the US
(Exhibit 1).
The peaks seen in Apr’20 and
Mar’21 pertains to the first and third tranches of the transfer of USD1,200 and
USD1,400 to eligible adults under the support package
2
.
The cumulative excess
savings in the US stood at
USD1.6t in CY20 and surged
to USD2.5t by Aug’21
The difference between actual and non-COVID savings is equal to the excess savings
in the US, which are then added up to estimate the cumulative excess (personal)
savings
(Exhibit 2).
The cumulative excess savings stood at USD1.6t in CY20 and
surged further to USD2.5t by Aug’21. Although there are still excess savings every
month in the US, they have fallen since May’21 and are likely to move into negative
territory very soon.
1
The IMF assumes the average of the preceding three years to prepare counterfactual estimates. However, these differences do not change the
conclusions
2
The federal response to the economic crisis in the US, caused by the COVID-19 pandemic, has included a ayment of USD3,200 to eligible adults: USD1,200
under the CARES (Coronavirus Aid Relief and Economic Security) Act in Mar’20; USD600 in a Dec’20 relief measure; and USD1,400 under the American
Rescue Plan signed in Mar’21 by President Joe Biden
14 October 2021
2
 Motilal Oswal Financial Services
While the savings rate in
most rich nations increased
by 1.5x to 3x, the surge in
IN’s HH savings rate was
only 1.1x
Excess savings are a direct result of a number of factors mentioned above. As noted
in our recent
report,
the HH savings rate has increased globally in the post-COVID
period. However, the rise in IN’s HH savings rate is the slowest compared to major
global economies
(Exhibit 3).
While the savings rate in most rich nations increased
by 1.5x to 3x (with the exception of 6.4x increase in Japan), the surge in IN’s HH
savings rate was only 1.1x to 27.8% of PDI in the post-COVID period v/s 24.6% of PDI
in pre-COVID years.
Exhibit 4:
…as the jump in savings was also the slowest in
the post-COVID# period
Savings
1.1x
1.5x
21
(% of PDI)
PDI
Both
Total
Exhibit 3:
Rise in IN’s HH savings rate is the least compared
to other nations…
HH/Personal savings rate (% of PDI)
30
Pre-COVID*
Post-COVID#
1.6x
20
3.0x
6.4x
10
3.0x
2.1x
14
7
0
-7
0
JP@
UK
CA
US
EZ
AU
IN~
*CY18-19 average
@up to 1QCY21
#CY20-1HCY21 (Ann.) average
Arranged in descending order of the surge
US
JP@
UK
EZ
CA
AU
IN~
~IN are MOFSL estimates, the rest is official data
Source: RBI, MoF, CAG, Bloomberg, company reports, CEIC, MOFSL
The decomposition of the rise in the savings rate across nations suggests that the
increase in savings (the numerator) was the primary driver
(Exhibit 4)
and the surge
in IN’s HH savings was the least. This rise in nominal savings, however, should not be
surprising as it would have grown in line with income to keep the savings rate intact,
even in the absence of the pandemic. What matters are ‘excess savings’, the
additional savings that would not have occurred in the absence of the pandemic.
Estimating IN’s excess savings…:
Unlike all other economies in this study, there are
no official estimates of HH savings and PDI in IN. We had explained our methodology
of HH physical savings and PDI
here
and
here.
We have reproduced the
methodology in the appendix section at the end of this report.
The actual HH savings in IN
in CY20/1HCY21 are almost
similar to the
counterfactual (no-COVID)
savings trajectory
Using the same methodology as discussed above for the US, we estimate IN’s excess
savings. Assuming the same PDI growth (11.5%) and HH savings rate (24.5%) as in
the preceding two years, our calculations suggest that there are no ‘excess savings’
in IN. It means that the actual HH savings in IN in CY20/1HCY21 are almost similar to
the counterfactual (no-COVID) savings trajectory
(Exhibit 5).
On the cumulative
basis, excess HH savings were negligible at the end of Mar’21 (or FY21), and there
were lower (not excess) savings of USD20b (or -1% of CY20 PDI) as of Jun’21.
However, is it correct to assume the counterfactual trajectory based on the average
of the two preceding years (CY18-19) for IN? Unlike rich nations, the Indian
economy had weakened before COVID-19. Therefore, it is very likely that PDI growth
would have been lower even in the absence of the pandemic. We prepare some
alternate scenarios based on slower PDI growth to estimate IN’s cumulative excess
savings as of 2QCY21
(Exhibit 6).
14 October 2021
3
 Motilal Oswal Financial Services
Exhibit 5:
IN’s HH savings didn’t see any major additional
jump due to COVID-19…
Actual HH savings
17,000
14,000
(INR b)
Counter-factual HH savings
Exhibit 6:
…and therefore the cumulative excess savings
ranged between -1% and +1.6% of CY20 PDI
India's cumulative excess savings (as a percentage of PDI)
At 7%
2.2
1.1
At 9.5%
At 12% (Avg of 2 years)
1.6
0.3
-1.0
Q1CY20 Q2CY20 Q3CY20 Q4CY20 Q1CY21 Q2CY21
11,000
8,000
5,000
Q2CY18
Q1CY19
Q4CY19
Q3CY20
Q2CY21
Considering the trend of the preceding two years
0.0
-1.1
-2.2
Source: RBI, MoF, CAG, Bloomberg, company reports, CEIC, MOFSL
Assuming 7% growth in PDI in the absence of the pandemic, the cumulative excess
savings would have amounted to USD34b in 2QCY21, equivalent to 1.6% of PDI.
Depending on assumptions,
the cumulative excess
savings in IN were between
-1% (or -USD20b) and +1.6%
(USD34b) as of 2QCY21
In any case, our calculations suggest that: a) depending on the assumptions, the
cumulative excess savings in IN were between -1% (or -USD20b) and +1.6%
(USD34b) in 2QCY21, and b) the cumulative excess savings peaked out in 1QCY21
and fell in 2QCY21.
…and comparing it with other nations:
These estimates of cumulative excess
savings and its trend in IN are very different compared to other major nations in the
world. Adopting the same methodology for the US, we estimate the cumulative
excess HH savings for other nations
(Exhibit 7).
Cumulative excess savings
ranged between 10.4% of
PDI in EZ to 18.6% of PDI in
CA
As mentioned above, the cumulative excess savings in the US increased to USD2.4t
in 2QCY21 (and further to USD2.5t till Aug’21) from USD1.6t in CY20. It means it was
13.7% of CY20 PDI as of 2QCY21. The corresponding estimates for other major
nations were 10.4% of PDI for EZ, 11.8% of PDI (as of 1QCY21) for Japan (JP), 12.5%
in Australia (AU), 13.6% in the UK, and at 18.6% (the highest) of PDI in Canada (CA).
This is how wide the difference between IN and major rich nations in the world is in
terms of the excess HH savings on account of COVID-19.
Exhibit 8:
…and it continued to surge in 2QCY21 in all
nations except IN
Cumulative excess savings (as a percentage of CY20 PDI)
Exhibit 7:
Barring IN, the cumulative excess savings ranged
between 10% and 19% of CY20 PDI…
Excess savings as of Jun'21 (% of expected CY20 PDI)
-5
0
5
10
15
20
CA
US
UK
AU
JP*
EZ
IN
-1.0
1.6
*Data for JP as of 1QCY21
10.4
13.7
13.6
12.5
11.8
18.6
20
15
US
JP
UK
EZ
CA
AU
IN
10
5
0
-5
Q1CY20 Q2CY20 Q3CY20 Q4CY20 Q1CY21 Q2CY21
Source: Various national sources, CEIC, MOFSL
14 October 2021
4
 Motilal Oswal Financial Services
While cumulative excess
savings continued to
increase everywhere in the
world till 2QCY21, it had
already declined in IN
Besides this, while cumulative excess savings continued to increase globally till
2QCY21, it had already declined in IN
(Exhibit 8).
CY20 was an exceptional year, as
governments across the globe supported their citizens directly with cash
transfer/income support. The support continued in 1HCY21 in all advanced nations.
While the cumulative excess savings ranged between 6.4% (in EZ) to 13% of PDI (in
CA) in CY20, it has risen by an additional 2.8% of PDI in CY20 (in AU) to 5.7% of PDI
(in CA) in 1HCY21 as well. Even in Japan, for which data is available up to 1QCY21,
the cumulative excess savings increased by another 1.7% of PDI in 1QCY21.
In contrast, IN’s cumulative savings peaked in 1QCY21 (4QFY21) and declined in
2QCY21, irrespective of our PDI growth assumption
(see Exhibit 6 above).
This was
also the period when the second COVID wave swept IN. Therefore, it would be
interesting to watch if the trend reverses in 3QCY21, as things normalize. In any
case, it is amply clear that unlike most advanced economies, there are no large
cumulative excess savings in IN.
Fiscal support and excess savings
As discussed above, there are three key factors that have led to higher global
savings since CY20 – precautionary savings (like in any slowdown), forced savings
(due to physical restrictions), and direct cash transfers/income support from the
government. While it is difficult to decompose the cumulative excess savings into
these three factors, we provide an analysis to confirm that weak fiscal support was
one of the key factors driving IN’s negligible cumulative excess savings.
Similar to our exercise of estimating excess savings, we calculate cumulative fiscal
support in various nations. Unlike a normal economic slowdown, the fiscal support
since CY20 has not only been exceptional, but more direct as well, targeting citizens.
As the government transferred cash/income to citizens during the lockdowns, their
inability to spend it pushed savings higher automatically. Therefore, the greater the
fiscal support, higher could be the extent of excess savings in an economy. This is
exactly what is reflected through our analysis as well.
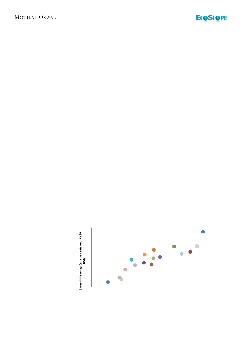
Exhibit 9:
Strong relationship between fiscal support and excess savings across nations
20
CA
16
AU
12
8
FI*
4
0
0
5
10
15
Cumulative fiscal support (as a percentage of CY20 GDP)
20
SW*
IN#
PT*
EZ* DE
NL*
ES
FR
IT
NO*
JP*
UK
US
DN*
*Data up to 1QCY21 (2QCY21 otherwise)
#Based on 7% nominal PDI growth since CY20
Source: Various national sources, CEIC, MOFSL
14 October 2021
5
 Motilal Oswal Financial Services
In order to estimate the fiscal support, we prepare a counterfactual scenario
assuming that had there been no pandemic. Nominal GDP would have grown at the
preceding two years average, and the fiscal deficit would also have been the same
as in CY18-19. The difference between the actual fiscal deficit and the
counterfactual estimates reveals the extent of fiscal support in each economy.
When we add them up since 1QCY20 to 2QCY21, we get the cumulative fiscal
support in each nation.
The extremely low level of
cumulative excess savings in
IN is in line with the very
weak cumulative fiscal
support as of 2QCY21,
amounting to just 2.6% of
GDP in CY20
Comparing the cumulative fiscal support vis-à-vis cumulative excess HH savings
suggest a strong positive relationship. The higher the fiscal support, greater the
excess savings
(Exhibit 9).
Very low level of cumulative excess savings in IN is in line
with the weak cumulative fiscal support as of 2QCY21, amounting to just 2.6% of
CY20 GDP. At the other extreme is CA, where the cumulative fiscal support
amounted to the highest at 17.6% of GDP, leading to the highest cumulative excess
savings as well
(see Exhibit 7 above).
Conclusion: IN’s growth trajectory and challenges may not be similar to that in
advanced nations
Based on our assumptions, IN’s cumulative excess HH savings (since 1QCY20 to
2QCY21) ranged from -1.0% to +1.6% of CY20 PDI, compared to as high as 10-19% of
PDI in most advanced nations. IN is the only nation in our sample, where cumulative
excess savings declined in 2QCY21, while it continued to rise in other economies.
Apart from the precautionary motive and forced savings, fiscal support played a very
important role in the buildup of excess HH savings. A cross-country comparison
suggests that IN’s low excess HH savings are a clear result of much lower fiscal
support.
There are no such large
excess savings in IN, which
alleviate the potential fears
of over-heating and
inflationary concerns
Excess savings have become an extremely critical indicator to assess the likely surge
in private demand as things normalize and thus inflationary pressures. The debate
about the overheating of the economy and the re-birth of inflation in advanced
economies hinges over the fact that there is a large buildup in excess savings in such
nations. Nevertheless, there are no such large excess savings in IN, which alleviate
the potential fears of over-heating and inflationary concerns.
We reiterate that the financial position of IN’s HH sector has weakened considerably
during the past 18 months, which is in stark contrast to most rich nations.
Households incurred the maximum share of COVID-led income losses in IN, while
governments suffered the most in other economies. It indicates that IN’s economic
growth is likely to remain subdued over the next few years, alleviating inflationary
concerns.
14 October 2021
6
 Motilal Oswal Financial Services
Appendix: Estimating IN’s HH savings and PDI
The Government of India publishes gross savings and income data on an annual
basis with a lag of 10 months. FY21 data, thus, will be available only at the end of
Jan’22. In order to make a timely assessment of the Indian economy, we conduct
certain proprietary analysis to prepare estimates of HH savings on a quarterly basis.
We had explained our methodology on HH’s savings and PDI
here
and
here.
We
have reproduced the methodology here for the convenience of our readers.
HH savings in India consist of two parts: (net) financial savings and physical savings.
Net financial savings is the difference between gross financial savings and financial
liabilities. Physical savings account for 60-70% of total HH savings.
Estimating HH’s financial savings:
The RBI has been providing quarterly estimates of
HH’s financial balance sheet (flows and stocks) for the past couple of years, which
includes financial savings estimates up to 3QFY21. Replicating the RBI’s
methodology, we have updated financial savings data for 1QFY22. Our estimates of
HH’s financial savings, however, differ slightly from the official estimates due to two
reasons: 1) information on HH deposits are not readily available; and 2) lending by
non-SCBs is defined differently (RBI seems to have taken personal loans of NBFCs as
‘HH liabilities’, while we have included agricultural and trade loans also).
Estimating HH’s physical savings:
Since physical savings are 1.5-2x financial savings,
it is difficult to comment on HH’s savings without a good understanding of physical
savings. In order to arrive at physical savings, we estimate HH’s investments using
‘stamp duties and registration charges’ (S&RCs) collected by states (available on a
monthly basis). The Construction (Real Estate) sector accounted for 65-70% of HH’s
investments in the past four years and S&RCs was ~8% of Construction investments
during this period. Using these ratios, we have arrived at HH’s investments, which
are equal to physical savings (by definition).
PDI is estimated using direct approach:
By adding private consumption final
expenditure (PFCE) from quarterly GDP data to our estimates of HH’s total savings,
we arrive at HH’s income (or PDI). This is the direct methodology and is adopted
across all advanced economies. However, the official agencies estimate PDI in India
from an indirect approach (as the residual). Our estimates of PDI, thus, are not
directly comparable with official estimates.
14 October 2021
7
 Motilal Oswal Financial Services
NOTES
14 October 2021
8
 Motilal Oswal Financial Services
Disclosures:
The following Disclosures are being made in compliance with the SEBI Research Analyst Regulations 2014 (herein after referred to as the Regulations).
Motilal Oswal Financial Services Ltd. (MOFSL) is a SEBI Registered Research Analyst having registration no. INH000000412. MOFSL, the Research Entity (RE) as defined in the Regulations,
is engaged in the business of providing Stock broking services, Investment Advisory Services, Depository participant services & distribution of various financial products. MOFSL is a subsidiary
company of Passionate Investment Management Pvt. Ltd.. (PIMPL). MOFSL is a listed public company, the details in respect of which are available on
www.motilaloswal.com.
MOFSL
(erstwhile Motilal Oswal Securities Limited - MOSL) is registered with the Securities & Exchange Board of India (SEBI) and is a registered Trading Member with National Stock Exchange of
India Ltd. (NSE) and Bombay Stock Exchange Limited (BSE), Multi Commodity Exchange of India Limited (MCX) and National Commodity & Derivatives Exchange Limited (NCDEX) for its
stock broking activities & is Depository participant with Central Depository Services Limited (CDSL) National Securities Depository Limited (NSDL),NERL, COMRIS and CCRL and is member
of Association of Mutual Funds of India (AMFI) for distribution of financial products and Insurance Regulatory & Development Authority of India (IRDA) as Corporate Agent for insurance
products.
Details
of
associate
entities
of
Motilal
Oswal
Financial
Services
Limited
are
available
on
the
website
at
http://onlinereports.motilaloswal.com/Dormant/documents/Associate%20Details.pdf
Details of pending Enquiry Proceedings of Motilal Oswal Financial Services Limited are available on the website at
https://galaxy.motilaloswal.com/ResearchAnalyst/PublishViewLitigation.aspx
MOFSL, it’s associates, Research Analyst or their relative may have any financial interest in the subject company. MOFSL and/or its associates and/or Research Analyst may have
actual/beneficial ownership of 1% or more securities in the subject company in the past 12 months.
MOFSL and its associate company(ies), their directors and Research Analyst and their
relatives may; (a) from time to time, have a long or short position in, act as principal in, and buy or sell the securities or derivatives thereof of companies mentioned herein. (b) be engaged in
any other transaction involving such securities and earn brokerage or other compensation or act as a market maker in the financial instruments of the company(ies) discussed herein or act as
an advisor or lender/borrower to such company(ies) or may have any other potential conflict of interests with respect to any recommendation and other related information and opinions.;
however the same shall have no bearing whatsoever on the specific recommendations made by the analyst(s), as the recommendations made by the analyst(s) are completely independent of
the views of the associates of MOFSL even though there might exist an inherent conflict of interest in some of the stocks mentioned in the research report.
Research Analyst may have served
as director/officer, etc. in the subject company in the past 12 months. MOFSL and/or its associates may have received any compensation from the subject company in the past 12 months.
In the past 12 months , MOFSL or any of its associates may have:
a)
managed or co-managed public offering of securities from subject company of this research report,
b)
received compensation for investment banking or merchant banking or brokerage services from subject company of this research report,
c)
received compensation for products or services other than investment banking or merchant banking or brokerage services from the subject company of this research report.
d)
Subject Company may have been a client of MOFSL or its associates in the past 12 months.
MOFSL and it’s associates have not received any compensation or other benefits from the subject company or third party in connection with the research report. To enhance transparency,
MOFSL has incorporated a Disclosure of Interest Statement in this document. This should, however, not be treated as endorsement of the views expressed in the report. MOFSL and / or its
affiliates do and seek to do business including investment banking with companies covered in its research reports. As a result, the recipients of this report should be aware that MOFSL may
have a potential conflict of interest that may affect the objectivity of this report. Compensation of Research Analysts is not based on any specific merchant banking, investment banking or
brokerage service transactions. Above disclosures include beneficial holdings lying in demat account of MOFSL which are opened for proprietary investments only. While calculating beneficial
holdings, It does not consider demat accounts which are opened in name of MOFSL for other purposes (i.e holding client securities, collaterals, error trades etc.). MOFSL also earns DP income
from clients which are not considered in above disclosures. Above disclosures include beneficial holdings lying in demat account of MOFSL which are opened for proprietary investments only.
While calculating beneficial holdings, It does not consider demat accounts which are opened in name of MOFSL for other purposes (i.e holding client securities, collaterals, error trades etc.).
MOFSL also earns DP income from clients which are not considered in above disclosures.
Terms & Conditions:
This report has been prepared by MOFSL and is meant for sole use by the recipient and not for circulation. The report and information contained herein is strictly confidential and may not be
altered in any way, transmitted to, copied or distributed, in part or in whole, to any other person or to the media or reproduced in any form, without prior written consent of MOFSL. The report is
based on the facts, figures and information that are considered true, correct, reliable and accurate. The intent of this report is not recommendatory in nature. The information is obtained from
publicly available media or other sources believed to be reliable. Such information has not been independently verified and no guaranty, representation of warranty, express or implied, is made
as to its accuracy, completeness or correctness. All such information and opinions are subject to change without notice. The report is prepared solely for informational purpose and does not
constitute an offer document or solicitation of offer to buy or sell or subscribe for securities or other financial instruments for the clients. Though disseminated to all the customers
simultaneously, not all customers may receive this report at the same time. MOFSL will not treat recipients as customers by virtue of their receiving this report.
Analyst Certification
The views expressed in this research report accurately reflect the personal views of the analyst(s) about the subject securities or issues, and no part of the compensation of the research
analyst(s) was, is, or will be directly or indirectly related to the specific recommendations and views expressed by research analyst(s) in this report.
Disclosure of Interest Statement
Companies where there is interest
Analyst ownership of the stock
No
A graph of daily closing prices of securities is available at
www.nseindia.com, www.bseindia.com.
Research Analyst views on Subject Company may vary based on Fundamental research and
Technical Research. Proprietary trading desk of MOFSL or its associates maintains arm’s length distance with Research Team as all the activities are segregated from MOFSL research activity
and therefore it can have an independent view with regards to subject company for which Research Team have expressed their views.
Regional Disclosures (outside India)
This report is not directed or intended for distribution to or use by any person or entity resident in a state, country or any jurisdiction, where such distribution, publication, availability or use
would be contrary to law, regulation or which would subject MOFSL & its group companies to registration or licensing requirements within such jurisdictions.
For Hong Kong:
This report is distributed in Hong Kong by Motilal Oswal capital Markets (Hong Kong) Private Limited, a licensed corporation (CE AYY-301) licensed and regulated by the Hong Kong Securities
and Futures Commission (SFC) pursuant to the Securities and Futures Ordinance (Chapter 571 of the Laws of Hong Kong) “SFO”. As per SEBI (Research Analyst Regulations) 2014 Motilal
Oswal Financial Services Limited(SEBI Reg No. INH000000412) has an agreement with Motilal Oswal capital Markets (Hong Kong) Private Limited for distribution of research report in Hong
Kong. This report is intended for distribution only to “Professional Investors” as defined in Part I of Schedule 1 to SFO. Any investment or investment activity to which this document relates is
only available to professional investor and will be engaged only with professional investors.” Nothing here is an offer or solicitation of these securities, products and services in any jurisdiction
where their offer or sale is not qualified or exempt from registration. The Indian Analyst(s) who compile this report is/are not located in Hong Kong & are not conducting Research Analysis in
Hong Kong.
For U.S:
Motilal Oswal Financial Services Limited (MOFSL) is not a registered broker - dealer under the U.S. Securities Exchange Act of 1934, as amended (the"1934 act") and under applicable state
laws in the United States. In addition MOFSL is not a registered investment adviser under the U.S. Investment Advisers Act of 1940, as amended (the "Advisers Act" and together with the 1934
Act, the "Acts), and under applicable state laws in the United States. Accordingly, in the absence of specific exemption under the Acts, any brokerage and investment services provided by
MOFSL, including the products and services described herein are not available to or intended for U.S. persons. This report is intended for distribution only to "Major Institutional Investors" as
defined by Rule 15a-6(b)(4) of the Exchange Act and interpretations thereof by SEC (henceforth referred to as "major institutional investors"). This document must not be acted on or relied on
by persons who are not major institutional investors. Any investment or investment activity to which this document relates is only available to major institutional investors and will be engaged in
only with major institutional investors. In reliance on the exemption from registration provided by Rule 15a-6 of the U.S. Securities Exchange Act of 1934, as amended (the "Exchange Act") and
interpretations thereof by the U.S. Securities and Exchange Commission ("SEC") in order to conduct business with Institutional Investors based in the U.S., MOFSL has entered into a
chaperoning agreement with a U.S. registered broker-dealer, Motilal Oswal Securities International Private Limited. ("MOSIPL"). Any business interaction pursuant to this report will have to be
executed within the provisions of this chaperoning agreement.
14 October 2021
9
 Motilal Oswal Financial Services
The Research Analysts contributing to the report may not be registered /qualified as research analyst with FINRA. Such research analyst may not be associated persons of the U.S. registered
broker-dealer, MOSIPL, and therefore, may not be subject to NASD rule 2711 and NYSE Rule 472 restrictions on communication with a subject company, public appearances and trading
securities held by a research analyst account.
For Singapore:
In Singapore, this report is being distributed by Motilal Oswal Capital Markets Singapore Pte Ltd (“MOCMSPL”) (Co.Reg. NO. 201129401Z) which is a holder of a capital markets services
license and an exempt financial adviser in Singapore,
as per the approved agreement under Paragraph 9 of Third Schedule of Securities and Futures Act (CAP 289) and Paragraph 11 of First Schedule of Financial Advisors Act (CAP 110)
provided to MOCMSPL by Monetary Authority of Singapore. Persons in Singapore should contact MOCMSPL in respect of any matter arising from, or in connection with this
report/publication/communication. This report is distributed solely to persons who qualify as “Institutional Investors”, of which some of whom may consist of "accredited" institutional investors
as defined in section 4A(1) of the Securities and Futures Act, Chapter 289 of Singapore (“the SFA”). Accordingly, if a Singapore person is not or ceases to be such an institutional investor, such
Singapore Person must immediately discontinue any use of this Report and inform MOCMSPL.
Disclaimer:
The report and information contained herein is strictly confidential and meant solely for the selected recipient and may not be altered in any way, transmitted to, copied or
distributed, in part or in whole, to any other person or to the media or reproduced in any form, without prior written consent. This report and information herein is solely for informational purpose
and may not be used or considered as an offer document or solicitation of offer to buy or sell or subscribe for securities or other financial instruments. Nothing in this report constitutes
investment, legal, accounting and tax advice or a representation that any investment or strategy is suitable or appropriate to your specific circumstances. The securities discussed and opinions
expressed in this report may not be suitable for all investors, who must make their own investment decisions, based on their own investment objectives, financial positions and needs of specific
recipient. This may not be taken in substitution for the exercise of independent judgment by any recipient. Each recipient of this document should make such investigations as it deems
necessary to arrive at an independent evaluation of an investment in the securities of companies referred to in this document (including the merits and risks involved), and should consult its
own advisors to determine the merits and risks of such an investment. The investment discussed or views expressed may not be suitable for all investors. Certain transactions -including those
involving futures, options, another derivative products as well as non-investment grade securities - involve substantial risk and are not suitable for all investors. No representation or warranty,
express or implied, is made as to the accuracy, completeness or fairness of the information and opinions contained in this document. The Disclosures of Interest Statement incorporated in this
document is provided solely to enhance the transparency and should not be treated as endorsement of the views expressed in the report. This information is subject to change without any prior
notice. The Company reserves the right to make modifications and alternations to this statement as may be required from time to time without any prior approval. MOFSL, its associates, their
directors and the employees may from time to time, effect or have effected an own account transaction in, or deal as principal or agent in or for the securities mentioned in this document. They
may perform or seek to perform investment banking or other services for, or solicit investment banking or other business from, any company referred to in this report. Each of these entities
functions as a separate, distinct and independent of each other. The recipient should take this into account before interpreting the document. This report has been prepared on the basis of
information that is already available in publicly accessible media or developed through analysis of MOFSL. The views expressed are those of the analyst, and the Company may or may not
subscribe to all the views expressed therein. This document is being supplied to you solely for your information and may not be reproduced, redistributed or passed on, directly or indirectly, to
any other person or published, copied, in whole or in part, for any purpose. This report is not directed or intended for distribution to, or use by, any person or entity who is a citizen or resident of
or located in any locality, state, country or other jurisdiction, where such distribution, publication, availability or use would be contrary to law, regulation or which would subject MOFSL to any
registration or licensing requirement within such jurisdiction. The securities described herein may or may not be eligible for sale in all jurisdictions or to certain category of investors. Persons in
whose possession this document may come are required to inform themselves of and to observe such restriction. Neither the Firm, not its directors, employees, agents or representatives shall
be liable for any damages whether direct or indirect, incidental, special or consequential including lost revenue or lost profits that may arise from or in connection with the use of the information.
The person accessing this information specifically agrees to exempt MOFSL or any of its affiliates or employees from, any and all responsibility/liability arising from such misuse and agrees not
to hold MOFSL or any of its affiliates or employees responsible for any such misuse and further agrees to hold MOFSL or any of its affiliates or employees free and harmless from all losses,
costs, damages, expenses that may be suffered by the person accessing this information due to any errors and delays.
Registered Office Address: Motilal Oswal Tower, Rahimtullah Sayani Road, Opposite Parel ST Depot, Prabhadevi, Mumbai-400025; Tel No.: 022 71934200/ 022-71934263; Website
www.motilaloswal.com.
CIN No.: L67190MH2005PLC153397.Correspondence Office Address: Palm Spring Centre, 2nd Floor, Palm Court Complex, New Link Road, Malad(West), Mumbai- 400 064. Tel No: 022
7188 1000.
Registration Nos.: Motilal Oswal Financial Services Limited (MOFSL)*: INZ000158836(BSE/NSE/MCX/NCDEX); CDSL and NSDL: IN-DP-16-2015; Research Analyst: INH000000412. AMFI:
ARN - 146822; Investment Adviser: INA000007100; Insurance Corporate Agent: CA0579 ;PMS:INP000006712. Motilal Oswal Asset Management Company Ltd. (MOAMC): PMS (Registration
No.: INP000000670); PMS and Mutual Funds are offered through MOAMC which is group company of MOFSL. Motilal Oswal Wealth Management Ltd. (MOWML): PMS (Registration No.:
INP000004409) is offered through MOWML, which is a group company of MOFSL. Motilal Oswal Financial Services Limited is a distributor of Mutual Funds, PMS, Fixed Deposit, Bond,
NCDs,Insurance Products and IPOs.Real Estate is offered through Motilal Oswal Real Estate Investment Advisors II Pvt. Ltd. which is a group company of MOFSL. Private Equity is offered
through Motilal Oswal Private Equity Investment Advisors Pvt. Ltd which is a group company of MOFSL. Research & Advisory services is backed by proper research. Please read the Risk
Disclosure Document prescribed by the Stock Exchanges carefully before investing. There is no assurance or guarantee of the returns. Investment in securities market is subject to market risk,
read all the related documents carefully before investing. Details of Compliance Officer: Name: Neeraj Agarwal, Email ID: na@motilaloswal.com, Contact No.:022-71881085.
* MOSL has been amalgamated with Motilal Oswal Financial Services Limited (MOFSL) w.e.f August 21, 2018 pursuant to order dated July 30, 2018 issued by Hon'ble National Company Law
Tribunal, Mumbai Bench.
14 October 2021
10