23 May 2024
E
CO
S
COPE
The Economy Observer
A primer of Household finances in India
Income, savings, and debt patterns reflect deteriorating financial position
The household sector, which includes all individuals and unincorporated enterprises, is one of the three primary
domestic participants in an economy. From the perspective of GDP, the household (HH) sector has the highest share and
contribution to GDP growth, as their spending – consumption and investments – accounts for ~70% of GDP. This is not
only true for India, but for most other major nations on the planet. Still, the data availability and research dedicated to
this segment is not up to the mark in India. Not only is there an absence of a comprehensive and timely income statistics
(on monthly or quarterly basis), but quarterly consumption data presents many challenges and annual savings data is
highly under-researched. With a sharp surge in personal loans in the recent period, household debt has attracted some
attention.
In this note, we intend to discuss in detail about personal disposable income (PDI), household savings, their debt and
spending patterns in the country. Given below are some of the questions we have answered in this note:
What are the recent trends in PDI and what are its constituents?
What explains the combination of weak PDI growth and very strong growth in personal income tax (PIT) collection?
What explains low and falling household savings in India? Why are they important and do they pose a concern?
Why does household net financial savings (NFS) hold special significance in economic growth?
What are the recent trends and key drivers of household debt in India?
Is the recent surge in household debt a matter of concern?
Lastly, is the recent slowdown in private consumption temporary or structural? Can household spending (consumption +
investments) grow much faster in FY25 and beyond than in FY24?
These answers help us draw conclusions regarding the ability of consumers to support economic growth in India. The
growth in private final consumption expenditure (PFCE) – in nominal terms – has weakened to 8.0-8.5% YoY in FY24, the
slowest in two decades, barring FY21. In real terms also, PFCE growth (at 3-4%) was the slowest in two decades. Is this
something fleeting or more durable? Not only consumption, household total spending growth was only ~9% YoY in FY24,
much weaker than 10.5% in the previous four years (FY20-FY23) and 11-12% in the pre-pandemic years.
Our conclusions are clear. The financial position of the household sector in India began deteriorating in the pre-pandemic
years and continued to worsen in the recent years as well. Not only is the growth in household debt in recent years the
fastest in several decades, it has coincided with weak income growth. At the same time, while physical savings are
substituting financial savings, the collapse in the latter is unprecedented and HH total savings have declined. Our
calculations suggest that HH net financial savings (NFS) have likely fallen further in FY24 (to about 5% of GDP, from 5.3%
in FY23), and even if it remains unchanged in FY25 (though we hope it improves from these levels), household spending
growth would remain subdued at sub-10%.
Overall, we expect household spending growth to remain muted in FY25 and for the next few years, until HH NFS comes
back to a reasonable level of 7-8% of GDP. In particular, we believe that while consumption could grow faster in FY25
compared to the two-decade slowest growth in FY24, household investments (which largely consist of the residential real
estate) could moderate. This assumption is based on the expectation that HH NFS picks up to 5.5% of GDP this year.
If household spending remains subdued (as we predict) and the government spending also grows slowly in order to meet
its fiscal consolidation path, then the entire responsibility to keep nominal GDP growth intact at 11% (same as in the pre-
pandemic years, let alone higher growth) falls on the corporate sector. This would be a tall task for the corporate sector
(since it contributes only about 20%-25% to GDP growth), and therefore underlines the urgent need for HH NFS to pick up
in the coming years.
Alternatively, HH NFS may remain stuck at low levels (or fall further), potentially boosting GDP growth in the near term.
However, this growth model will become unsustainable when corporate investments pick up in the future.
Nikhil Gupta
– Research analyst
(Nikhil.Gupta@MotilalOswal.com)
Tanisha Ladha
– Research analyst
(Tanisha.Ladha@MotilalOswal.com)
Investors are advised to refer through important disclosures made at the last page of the Research Report.
Motilal Oswal research is available on www.motilaloswal.com/Institutional-Equities, Bloomberg, Thomson Reuters, Factset and S&P Capital.
 Motilal Oswal Financial Services
Personal disposable income (PDI): Trends, constituents, and drivers
Aggregate income (equal to GDP) generated in an economy is distributed among the
three domestic economic participants – household (HH), corporate, and the
government. In simple words, PDI is the total income accrued to the household
sector after paying taxes in an economy, i.e., take-home income. In this section, we
will delve deeper into the long-term trends in PDI growth and its key components.
Overall, PDI growth has moderated in the post-pandemic years, which was broadly
the case in the pre-pandemic period as well. This fact poses another important
question regarding its disconnect with very strong growth in personal income taxes
(PIT). We argue that the sharp uptick in PIT in the past four years is not due to
higher income, but led by a regulatory change in FY21.
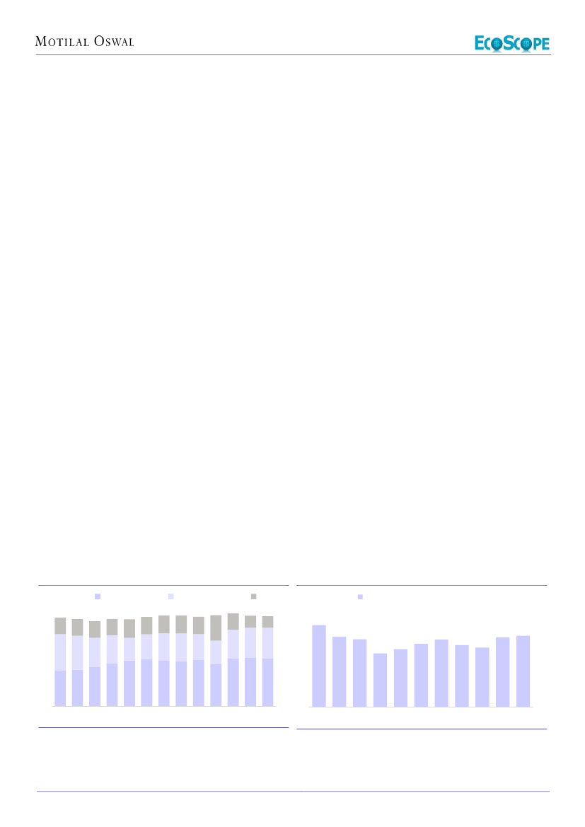
1. Falling share of PDI (as % of GDP/GNDI) neither unique nor concerning
Based on three-year centered moving average (3ycma), nominal PDI growth stayed
in a narrow range of 10-12% YoY in the pre-pandemic years (FY14-FY19), compared
to an average growth of 16% in the prior six years (FY08-FY13). Due to the
pandemic, it moved into high single-digit growth post-FY20, but recovered to 12% in
FY23
(Exhibit 1).
India’s long-term data
suggests that PDI growth
has lagged GDP growth for
majority of the post-
independence period in
India
What is more important to note is that GDP growth has outpaced PDI growth in the
post-pandemic period (FY20-FY23), due to which the share of PDI – as % of gross
national disposable income (GNDI) or GDP – has fallen to a five-year low of 77.8% in
FY23
(Exhibit 2).
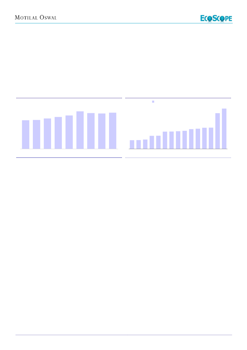
This, however, is neither unique nor concerning. India’s long-term
data suggests that PDI growth has lagged GDP growth for majority of the post-
independence period in India, and that is why the fall in the share of PDI (as % GNDI)
has been happening almost continuously for a long period of time
(Exhibit 3).
Moreover, if we compare the share of household income in recent years vis-à-vis
two decades ago (2000-04) in the world’s other major economies, we find that it has
declined in many of these economies
(Exhibit 4).
Notably, this share at 79% in the
last five years (and 78% in FY23) in India is the highest compared to other nations.
Exhibit 1: Nominal PDI growth has weakened in the past few
years…
Nominal PDI (% YoY, 3ycma)
20
15
10
5
Exhibit 2: …and it has fallen to five-year low of 78% of GNDI
in FY23
Nominal PDI (% of GNDI)
85
80
75
70
65
0
FY99 FY02 FY05 FY08 FY11 FY14 FY17 FY20 FY23
3-year centered moving average (Assuming 9% growth in FY24)
2004-05 base till FY11; 2011-12 base since FY12
FY99
FY03
FY07
FY11
FY15
FY19
FY23
GNDI = Gross national disposable income
Source: Central Statistics Office (CSO), CEIC, RBI, MOFSL
23 May 2024
2
 Motilal Oswal Financial Services
Exhibit 3: PDI has lagged GDP growth during most decades…
(% CAGR)
Nominal GDP
Nominal PDI
Exhibit 4: …and is the case in many other economies as well
Share of PDI in GNDI (%)
2000-04
Recent*
66
61
66
66
67
73
77
82
79
14.9
10.6
10.3
15.0
15.2
12.4
12.1
12.4
12.3
9.5
9.3
11.0
10.7
14.8
60
55
60
57
62
59
60
67
57
1960s
1970s
1980s
1990s
2000s
2010s FY20-23
SKr
TH
RU
CN
DE
SAf
UK
US
IN
1960s decade runs from FY50-FY59 and so on
*Last five years
#As % of GDP or GNDI
Source: CSO, CEIC, Various national sources, MOFSL
The share of CoEs – at 40% -
in India is, by far, the lowest
and compares with 55-86%
in other economies
2. Lower share of compensation of employees (CoE) in line with the low share of
regular wage/salaried employment
Further details of PDI reveals that it can be divided into three major components –
compensation of employees (CoEs, earned by regular wage/salaried workers), mixed
income/operating surplus (MI/OS, earned by self-employed or own-account
workers) and others (including property income, interest receipts, current transfers
form the government etc.). In India, only about 40% of PDI comes from CoEs, while
another 35% accrues to the self-employed people. After remaining steady for many
years in the pre-pandemic period, this composition changed slightly in the favor of
CoEs, at the cost of self-employed class
(Exhibit 5).
A comparison of the break-up of
India’s PDI vis-à-vis other major nations suggests that the share of CoEs – at 40% - is,
by far, the lowest and compares with 55-86% in other economies. While the share of
‘others’ in India is similar to that in the US (and lower than in Russia), the share of
MI/OS – at 35% - is the highest in PDI
(Exhibit 6).
This, however, should not be surprising considering the profile of India’s workforce.
Based on International Labour organization (ILO), the share of self-employed is as
high as 75% in India, while regular employees account for less than a quarter of its
workforce
(Exhibit 7).
Unfortunately, the share of the latter has actually fallen in the
post-pandemic period.
The share of regular
employees at ~25% is the
lowest in India, and
compares with >90% in
Germany, Russia, and the
US
A comparison with other major nations suggests that the share of regular employees
is, by far, the lowest in India, and compares with more than 90% in Germany, Russia,
and the US
(Exhibit 8).
At the same time, India’s self-employed workforce is huge.
The lower share of CoEs in India represents the earnings of regular employees,
which accounts for a small portion of the total workforce in the country.
23 May 2024
3
 Motilal Oswal Financial Services
Exhibit 5: Compensation of employees (COEs) accounts for
only ~40% of PDI…
Exhibit 6: …which is the lowest compared to that in world’s
other major economies
Key components of PDI (%)
CoE
MI/OS
11
15
Others
24
19
5
9
14
Key components of PDI (%)
CoE
25
37
24
37
25
36
24
37
MI/OS
23
37
24
36
Others*
24
36
27
34
24
35
23
35
24
35
40
IN
55
9
36
35
6
59
21
9
69
72
76
-1
UK
85
85
86
38
39
39
39
40
40
40
39
41
42
FY14 FY15 FY16 FY17 FY18 FY19 FY20 FY21 FY22 FY23P
*Include property income, current transfers and others
TH
RU
US
SAf
-4
DE
SKr
CN#
Arranged by the share of CoE
Average of last five years
#Data up to 2021
Source: CEIC, Various national sources, MOFSL
Exhibit 7: India’s workforce profile may explain the lower
share of CoEs…
India's employment by economic status (%)
Employees
1.6
1.4
73.1
5.9
Self-employed
2.4
Others
1.4
1.5
Exhibit 8: …as the share of regular wage/salaried employees
is the lowest compared to other nations
Employment by economic status (%)
Employees
28
23
Self-employed
13
9
7
6
52
72.6
74.8
75.8
75.0
75
48
46
73.3
54
72
76
87
91
93
94
25.1
2018
25.5
2019
21.4
2020
22.8
2021
22.8
2022
23.5
2023
24
IN
TH
CN
SAf
SKr
UK
DE
RU
US
Source: International Labour Organization (ILO), MOFSL
3. What explains the combination of weak PDI growth and strong personal income
taxes (PIT)?
After discussing India’s PDI, it is important to address the most perplexing question
about it. If PDI growth has moderated in India, what explains a very strong rise in
PIT? Income taxes paid by entities other than corporations (i.e., the household
sector, conveniently called personal income taxes) have increased at a compounded
rate of ~20% during the last four years (FY21-FY24RE), while PDI (and GDP) growth is
more modest at <10%
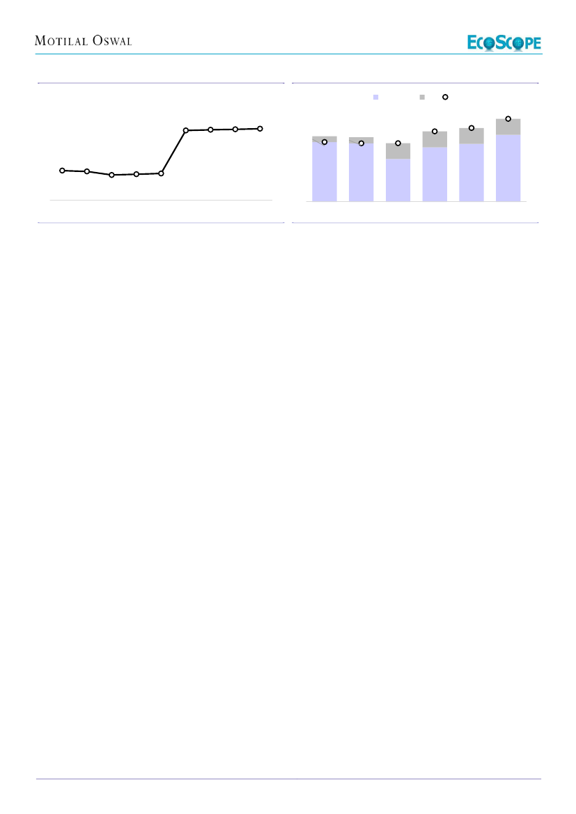
(Exhibit 9).
Consequently, PIT has increased to 3.5% of GDP in
FY24RE (and budgeted at 3.5% in FY25 as well), up from 2.5% in the pre-pandemic
years
(Exhibit 10).
If PDI growth is so muted, what explains this surge in PIT?
We believe that taxes paid
on dividends explain a good
chunk of the surge in PIT
during the past four years
Because of the lack of any details on PIT, the question is largely unsettled with
possible explanations like the K-shaped recovery or higher surcharges on high-
income individual taxpayers. We, however, believe that taxes paid on dividends
explain a good chunk of the surge in PIT during the past four years.
In its
2020-21 Budget speech,
on the 1
st
February 2020, before the pandemic hit us,
the Finance Minister proposed
“…to remove the DDT and adopt the classical system
of dividend taxation under which the companies would not be required to pay DDT.
The dividend shall be taxed only in the hands of the recipients at their applicable
rate…”.
It means that dividend distribution tax (DDT) ended to exist in its erstwhile
23 May 2024
4
 Motilal Oswal Financial Services
form in FY21, and was shifted from the corporation taxes into PIT. With such a shift,
the tax rate on dividends was also changed from 15% (plus surcharges and cess) to
the personal income tax applicable to the individual taxpayer. These two related
changes – to our mind – explains about 60-65% of the surge in PIT in the post-
pandemic years.
Exhibit 9: Personal income taxes (PIT) have grown very
strongly in the past three years…
54
(% YoY)
36
18
0
-18
FY16 FY17 FY18 FY19 FY20 FY21 FY22 FY23 FY24E
FY16 FY17 FY18 FY19 FY20 FY21 FY22 FY23 FY24E
Source: Union Budget documents, Capitaline, Author’s calculation
2.1
2.4
PDI
PIT
Exhibit 10: …rising to 3.5% of GDP in FY24RE from 2.5% in
FY18/FY19
PIT (% of GDP)
2.5
2.5
2.5
2.5
3.0
3.1
3.5
The shift of dividend taxes
from the corporation taxes
to PIT alone accounts for
60-65% of the surge in PIT
According to the last data available for DDT under corporation taxes, it amounted to
INR500b (or 0.3% of GDP) in FY20. It is common knowledge that the equity market is
dominated by the high-income or the wealthiest individuals. In the US, as much as
87% of all corporate equities and mutual fund shares were held by the top 20%
income earners (or 20% wealthiest) in 2023. It would not be unfair to assume that
similar is the case in India also, and thus, their dividend receipts are subjected to a
much higher tax rate since FY21. Including the surcharges, the effective tax rate on
dividends could be 35-40%, double the tax rate on dividends till FY20.
Further, our calculations suggest that listed companies accounted for about 75% of
total dividends paid in the country in the pre-pandemic years (back calculated from
dividend tax receipts). Assuming that the share of listed companies would have
increased to 90%-100% now, taxes on dividends (with an effective tax rate of 36%)
would amount to INR1.8-2t in FY24 or 0.6-0.7% of GDP
(Exhibit 11).
If so, the shift of
dividend taxes from the corporation taxes to PIT alone accounts for 60-65% of the
surge in PIT (to 3.5% of GDP, from 2.5% in the pre-FY20 years). Excluding dividend
taxes, thus, PIT would have mostly increased in line with nominal PDI/GDP, with
better growth only in FY24. PIT excluding dividend taxes (PIT ex DT) amounted to
2.4% of GDP in FY23, lower than 2.5% of GDP each in FY19 and FY20, but likely
surged to 2.8% of GDP in FY24RE
(Exhibit 12).
Excluding dividend taxes,
thus, PIT would have mostly
increased in line with
nominal PDI/GDP, with
better growth only in FY24
23 May 2024
5
 Motilal Oswal Financial Services
Exhibit 11: A good chunk of PIT growth is likely because of
the inclusion of dividend taxes since FY21…
Exhibit 12: …without which PIT growth may not have been
as impressive in the post-pandemic period
(% of GDP)
PIT ex DT
DT
3.0
2.5
2.5
0.3
2.5
2.5
0.7
0.7
PIT
3.5
3.1
0.7
0.7
Taxes paid on dividends* (% of GDP)
0.7
0.7
0.7
0.7
0.3
0.3
0.2
0.2
0.3
0.2
2.5
1.8
2.3
2.4
2.8
FY16 FY17 FY18 FY19 FY20 FY21E FY22E FY23E FY24E
*Shifted from corporate to PIT from FY21. Tax rate on dividends also
changed from 15% in FY20 to applicable individual income tax slab
(assumed at 36%)
FY19
FY20
FY21E
FY22E
FY23E
FY24E
MOFSL estimates from FY21 based on total dividends paid by listed
companies and effective tax rate of 36%
Source: Union Budget documents, Capitaline, MOFSL
Besides dividends, it is very likely that the capital market could have accounted for
another 5-10% of the surge in PIT in FY24. The securities transaction taxes (STT) are
also expected to triple to INR360b in FY25BE (or 0.11% of GDP), from INR124b (or
0.06% of GDP) in FY20.
Besides dividends, the
capital market could have
accounted for another 5-
10% of the surge in PIT in
FY24
Overall, the following three factors explain the surge in PIT in the last few years – 1)
inclusion of taxes on dividends into PIT, from the corporation taxes, 2) almost
doubling of the effective tax rate on dividends, which have almost doubled, and 3)
capital market transactions (incurring STT) and capital gains taxes. In other words,
the growth in PIT, excluding these factors, has been largely in line with the nominal
PDI/GDP growth. Additionally, the K-shaped recovery (since the surcharges were
increased at high-income levels) may have also contributed to the surge in PIT, but
its impact is likely small.
23 May 2024
6
 Motilal Oswal Financial Services
Household savings – Why do NFS hold special importance?
What do consumers do with their earnings? They can either spend it on
consumption or invest in property market (called physical savings) or save in
financial assets. PDI, thus, is divided into these three segments – private final
consumption expenditure (PFCE), physical savings, and net financial savings (NFS).
The share of PFCE has risen to almost three-decade high of 77% of PDI in FY23 and
that of physical savings was at a decade high of 17%, implying that NFS has fallen to
a four-decade low of 7% of PDI
(Exhibit 13).
These shares would have changed only
slightly in FY24, with PFCE and NFS falling a little, while physical savings are expected
to have risen further (official data only available up to FY23 as of now). NFS and
physical savings, together, are called HH total savings in India.
In this section, we delve deeper into the recent trends of HH savings, and dissect the
changing composition and preferences within that. We also argue that HH NFS holds
special significance in economic growth, and thus, its sharp collapse in the last two
years should not be ignored.
1. What are the significant shifts in household savings?
HH savings in India consist of two parts – net financial savings (NFS) and physical
savings. NFS is arrived by adjusting gross financial savings (GFS) with financial
liabilities (FL). GFS includes seven key areas: currency, deposits (bank and non-bank),
insurance, provident and pension funds (P&PFs, including public provident funds
[PPF]), shares & debentures (S&D), claims on government (small savings), and
others. HH physical savings primarily constitute residential real estate (accounting
for about two-thirds) and machinery & equipment (owned by producers within the
HH sector).
HH total savings were at a
six-year low of 18.4% of
GDP in FY23, as NFS
collapsed to a four-decade
low of 5.3% of GDP of PDI
The share of PFCE has risen
to almost three-decade high
of 77% of PDI in FY23 and
that of physical savings was
at a decade high of 17%
As mentioned above, physical savings were at a decade high in FY23 (and we expect
it to have increased further in FY24). At 13.2% of GDP, HH physical savings have
come a long way from its trough of 10% in FY16 and pre-pandemic levels of 11-12%
of GDP
(Exhibit 14).
Nevertheless, HH total savings were at a six-year low of 18.4% of
GDP in FY23
(Exhibit 15),
as NFS collapsed to a four-decade low of 5.3% of GDP
(Exhibit 16).
Exhibit 14: …and physical savings (=investments) were at a
decade high in FY23
HH physical savings (% of GDP)
Exhibit 13: PFCE accounted for 77% of PDI in FY23, the
highest in three decades...
(% of PDI)
Consumption
9
Physical savings
9
7
NFS
6
9
9
9
10 10 10 10 10 14
16 17 17
14 15 16 14
20 19 16
16
13
13
15.1
75 76 76 75 76 73 76 77 77
70 70 72 74
FY12
FY15
FY18
FY21
FY24F
FY13
12.9 12.5
11.6 12.4 11.4 11.0 12.8 13.2
9.9 10.7
FY15
FY17
FY19
FY21
FY23
FY24 are our forecasts
Source: CSO, CEIC, MOFSL
23 May 2024
7
 Motilal Oswal Financial Services
Exhibit 15: HH total savings, however, were at a six-year low
in the year...
NFS
Physical savings
HH total savings
(% of GDP)
22.7
22.5
20.3 19.6
20.1
19.3 20.3 19.1
18.4
18.0 18.1
15.1 12.9
12.5 9.9 10.7 11.6 12.4 11.4
11.0
12.8
11.7
13.2
Exhibit 16: …as HH NFS collapsed to a four-decade low of
5.3% of GDP in FY23
HHNFS (% of GDP)
5.3
7.4
7.4
7.1
8.1
7.4
7.6
7.9
7.7
7.3
5.3
FY73 FY78 FY83 FY88 FY93 FY98 FY03 FY08 FY13 FY18 FY23
Source: CSO, CEIC, MOFSL
FY13 FY14 FY15 FY16 FY17 FY18 FY19 FY20 FY21 FY22 FY23
Physical savings accounted
for more than 71% of total
HH savings in FY23, the
highest proportion in at
least the past half-century
Three key trends have emerged within HH total savings in recent years.
First,
within
GFS, HHs have increased their exposure to non-deposit assets such as shares &
debentures, pension & provident funds and small savings
(Exhibit 17). Second,
HHs
have transitioned away from financialization of its savings by allocating a larger
portion to physical assets in the post-pandemic years. Physical savings accounted for
more than 71% of total HH savings in FY23, the highest proportion in at least the
past half-century, and compared to 60% in the pre-pandemic years
(Exhibit 18).
And
third,
HH liabilities have mounted in the past few years, particularly in the last
couple of years. All these trends are interconnected, reflecting the evolving
preferences of Indian consumers, which present both opportunities and some
challenges.
Exhibit 18: …and the share of physical savings was at a five-
decade high in FY23
(% of HH
savings)
80
60
40
20
0
NFS
Physical savings
Exhibit 17: HH financial savings shifting from deposits to
other assets…
Currency
P&PFs
(% of GDP)
0.9
1.0
2.2
2.0
3.1
2.8
FY18
1.1
0.9
2.1
2.1
4.3
1.5
FY19
1.3
0.5
2.3
1.7
4.4
Deposits
S&D
1.3
0.5
2.5
2.9
6.3
1.9
FY21
1.1
0.9
2.3
2.1
3.5
1.1
FY22
Insurance
Small savings
0.9
0.8
2.3
2.0
4.1
0.9
FY23
1.4
FY20
Source: CSO, CEIC, MOFSL
Our estimates suggest that
HHNFS fell slightly (or, at
best, remained steady) in
FY24, and thus, the fall in in
FY23 was not a one-off
2. Was a dramatic fall in HHNFS in FY23 a one-off?
The collapse in NFS in FY23 was sudden, and thus, there were doubts over its
durability. It may be, as was argued, a response to the all-time high NFS of 11.7% of
GDP in FY21 (the pandemic year). However, our
estimates
clearly suggests that
HHNFS fell slightly (or, at best, remained steady) in FY24, and thus, the fall in HH NFS
in FY23 was not a one-off.
Based on our component-wise calculations, we believe that HH GFS increased
slightly to 10.8% of GDP in 9MFY24, as higher deposits and small savings were
almost entirely offset by the fall in currency holdings. HHNFS, however, was 5.0-
23 May 2024
8
 Motilal Oswal Financial Services
5.5% of GDP in FY24, since higher GFS was more than offset by the stronger rise in
FL – to 6.2% of GDP in 9MFY24, from 5.7% of GDP in the corresponding period a
year ago
(Exhibit 19).
Exhibit 19: HH NFS likely steady at 5-5.5% of GDP in FY24 as well
% of GDP
FY19
GFS
12.0
Deposits
4.3
Currency
1.5
Insurance
2.1
P&PFs^
2.1
Investments@
0.9
Small savings
1.1
Financial liabilities
4.1
Bank loans
3.3
HFCs*
0.3
NBFCs
0.5
NFS
7.3
~CSO’s data up to FY23
FY20
11.6
4.4
1.4
1.7
2.3
0.5
1.3
4.1
2.9
0.0
1.2
7.5
Annual data~
FY21
15.4
6.3
1.9
2.9
2.5
0.5
1.3
4.0
3.3
0.3
0.4
11.6
FY22
11.1
3.5
1.1
2.1
2.3
0.9
1.1
3.8
3.3
0.4
0.1
7.4
FY23
11.0
4.1
0.9
2.0
2.3
0.8
0.9
6.0
4.6
0.4
0.9
5.1
9MFY20
10.5
3.3
0.8
2.1
2.0
0.8
1.4
3.3
2.9
0.1
0.4
7.2
First nine-month data#
9MFY21
9MFY22
9MFY23
9MFY24
14.5
9.0
10.5
10.8
4.9
1.8
3.8
4.5
2.2
0.7
0.4
-0.7
3.0
2.0
2.1
2.2
2.3
2.0
2.2
2.4
0.3
1.0
0.7
0.7
1.6
1.5
1.2
1.5
3.4
3.2
5.7
6.2
3.1
2.7
4.5
4.9
0.2
0.4
0.4
0.1
0.2
0.1
0.8
1.3
11.0
5.9
4.8
4.6
@ Including net flows into MFs and capital
raised
^ Assumptions for
9MFY24
Source: Various national sources, CEIC,
MOFSL
#Based on RBI’s quarterly data (up to FY23), which may be different from CSO’s data
*For comparison sake, HDFC Ltd. is included in HFCs in 2Q/3QFY24
3. Why does HHNFS hold special significance in economic growth?
In my Book titled
“The Eight Per Cent Solution”,
I have used an identity extensively,
which I call the
Theory of Everything.
It says that every rupee (physically) invested in
an economy must be financed either through gross domestic savings (GDS) or
foreign savings (i.e., current account deficit, CAD), i.e.,
Total investments = GDS +
CAD.
As the name suggests, it provides important insights analyzing the potential impacts
of any economic policy in this context. It indicates that any policy announced to
affect the external balance must alter the interaction between total investments
and domestic savings in an economy.
CAD is – barring some errors & omissions – the sum of the differences of savings and
investments of each of the three institutional participants – HH, corporate and
government. The higher savings, given a level of total investments, will lead to lower
CAD (or higher surplus) and vice-versa. Therefore, one must analyze the sectoral
balances – savings
minus
investments – to understand the likely implications on
CAD. Commenting on only savings or investments isn’t as comprehensive and
helpful.
The rise and fall of HHNFS
can happen only due to two
factors – either
consumption and/or
physical savings could grow
faster than income/GDP
HH NFS, therefore, holds special significance since it represents the
surplus(+)/deficit(-) of the household sector, i.e., the difference between its total
savings and investments. The rise and fall of HHNFS, as % of income/GDP, can
happen only due to two factors – either consumption and/or physical savings could
grow faster than income/GDP, shifting the balance towards de-financialization
within HH total savings. Of course, HH total savings fall in the former case, but
remain unchanged in the latter (but this is not important for this discussion).
23 May 2024
9
 Motilal Oswal Financial Services
Consumption in India has become import-oriented in the past many years. Based on
our classification of India’s foreign trade, consumption basket (primarily including
agricultural products, textiles and electronic goods) has seen a continued
deterioration in its external balance. India used to run a large foreign trade surplus
of ~3% of GDP on its consumption basket in the mid-1990s, which worsened to a
surplus of only 1% of GDP by mid-2000s and turned into a small deficit in the pre-
COVID years (beginning FY16) to a trade deficit of 0.7% of GDP in the last three years
(FY22-FY24). Therefore, if higher consumption drives lower HHNFS, it is very likely to
lead to higher CAD
(Exhibit 20).
Exhibit 20: India’s external trade balance on its consumption* basket
India's trade balance on consumption basket (% of GDP)
2.8
2.3
2.0
2.7
2.1 2.1
1.6
1.1 1.0
0.7 0.7
-0.1
0.2
0.8
0.5 0.6
1.3
0.4
-0.2 -0.2
-0.4 -0.4 -0.4 -0.3
-0.7 -0.8
-0.8
FY98
FY00
FY02
FY04
FY06
FY08
FY10
FY12
FY14
FY16
*Includes agriculture, textiles (including readymade garments), electronic goods and others
FY18
FY20
FY22
FY24
Source: CMIE, CEIC, MOFSL
The conclusions, however, would not be very different, if a surge in physical savings
drive lower HHNFS – by changing the composition of HH total savings. Let’s assume
household total savings remain unchanged at 19% of GDP (hypothetically) in the
year 1 and 2, but physical savings increase to 13% from 12%, while HHNFS fall to 6%
from 7% of GDP earlier. Assuming all other things constant, higher physical savings
would push India’s total investments higher by the same extent. However, with no
change in corporate and government net surplus/deficit (i.e., difference between
savings and investments), India’s CAD will widen (by lesser extent since income also
rises with higher investments) since household surplus (i.e., HHNFS) has declined
amid higher total investments.
In case, total investments, and thus, income (or GDP), remain unchanged and
physical savings substitute corporate or government savings, then lower NFS does
not lead to higher CAD. However, one must remember that household investments
(majorly in the residential property market) may be less efficient than the
government (i.e., infrastructure) and corporate investments (in machinery &
equipment). And thus, even though lower HHNFS does not pose a direct challenge, if
higher physical savings replace corporate/government investments, it could
certainly hurt overall efficiency in the economy, and thus, GDP growth.
The policy makers must
ensure to push India’s total
savings higher before a
revival in its investment
rate
In any case, since the broad general expectation (or narrative) is for India’s
investment rate to pick up from FY25, we don’t find the declining trend of HHNFS
very comforting in India. Irrespective of its drivers, a durable fall in HHNFS combined
with higher investment rate, has the potential to widen India’s external deficit (i.e.,
CAD). The policy makers, thus, must ensure to push India’s total savings higher
before a revival in its investment rate.
10
23 May 2024
 Motilal Oswal Financial Services
Household debt – Is it concerning or not?
India’s household debt is estimated at 38% of GDP in FY23, as per the recent data
published by the Reserve Bank of India (RBI) in Sep-23. Although there are no official
updates yet, our calculations suggest that it is likely to have touched 40% of GDP as
of Dec-23. As % of PDI, household debt is expected to have risen to 52% in FY24F,
compared to 48% in FY23. Is this a matter of concern? Is HH debt in India high or
low? How does one approach this question? In this section, we address these
questions and discuss HH debt in detail.
1. Household borrowings/debt has risen rapidly in the last few years
Household borrowings have increased rapidly in the past many years. From its peak
annual level of 6.7% of GDP in FY07, household financial liabilities (FL) dropped to
~3% of GDP in FY09 and remained around that level till FY17. In the run-up to the
pandemic (FY18-FY21), FL increased towards 4% of GDP, which surged to 5.8% of
GDP in FY23 and our calculations suggest that it likely crossed 6% of GDP in FY24F,
only the second time in history
(Exhibit 21).
With mounting annual
borrowings, HH debt surged
from 32% of PDI in
FY12/FY13 to 40% in FY20
and further to 48% in FY23
With mounting annual borrowings, HH debt (outstanding stock) surged from 32% of
PDI in FY12/FY13 to 40% in FY20 and further to 48% in FY23. We project it to have
risen further to 52% of PDI in FY24F
(Exhibit 22),
as HH borrowings is likely to grow
~13% YoY compared to 9% growth in PDI during the year.
Exhibit 22: …which means that household debt may have
risen to ~52% of PDI
Household debt (% of PDI)
6.1
40
37 38
34 35
32
32 32 33
52
Exhibit 21: Household annual financial liabilities likely at
~6% of GDP in FY24F...
HH financial liabilities (% of GDP)
6.7
47 46 48
FY74 FY79 FY84 FY89 FY94 FY99 FY04 FY09 FY14 FY19 FY24F
2004-05 base till FY11; 2011-12 base since FY12
FY12
FY14
FY16
FY18
FY20
FY22
FY24F
Source: RBI, CEIC, MOFSL
The Banking sector
accounts for about four-
fifths of HH total debt,
while HFCs and other NBFCs
account for ~10% each
2. What is driving household debt in India?
We divide household debt into four parts – agricultural debt, housing loans, non-
housing personal loans and loans taken by small businesses (calculated as the
residual). The RBI publishes quarterly data on scheduled commercial banks’ (SCBs)
aggregate loan book divided into household, corporate and government sector. The
Banking sector (including SCBs and cooperative &credit societies) accounts for about
four-fifths of HH total debt, while housing finance companies (HFCs) and other non-
banking financial companies (NBFCs) account for ~10% each
(Exhibit 23).
This ratio
has remained quite stable in the past few years.
23 May 2024
11
 Motilal Oswal Financial Services
Non-housing personal loans
are now the largest
component with 32% share
in HH total debt, followed
by housing loans (~30%),
business loans (24%) and
agricultural loans
RBI data provides details of SCBs exposure to the household sector into the four
components, HFCs debt is entirely housing debt and we classify NBFCs loan book to
the household sector using RBI data (assuming no exposure to unincorporated
businesses since there is not enough data). Such compilation suggests that non-
housing personal loans are now the largest component with 32% share in HH total
debt, followed by housing loans (~30%), business loans (24%) and agricultural loans
(remaining ~15%). Interestingly, while the share of housing loans has remained
broadly stable in the past few years, non-housing personal loans have witnessed an
increase, while business and agricultural loans have fallen
(Exhibit 24).
This is
because non-housing personal loans have increased at an average of ~20% in the
last five years, compared to ~13% average growth each in housing and businesses,
with 10% growth in agricultural loans. Notably, business loans have increased ~20%
in the last two years, second to 24% growth in non-housing personal loans
(Exhibit
25).
Exhibit 24: Housing loans account for ~30% of household
total debt in India
Details of household debt~ (% of total)
Agri Housing Non-housing Businesses@
Exhibit 23: Banks* account for four-fifths of household total
debt in the country
Share in HH total debt (%)
Banks*
11
7
10
7
9
10
NBFCs
9
10
HFCs@
9
9
9
10
8
12
26
26
25
29
30
16
FY20
24
29
31
16
FY21
23
30
31
16
FY22
23
31
30
15
FY23
24
32
29
15
1HFY24
80
79
79
79
80
80
80
30
17
FY18
FY19
FY20
FY21
FY22
FY23
Dec'23#
FY19
*Including cooperative and credit societies
@HDFC Ltd. included in HFCs for comparison purposes
#MOFSL estimates (Official data available up to FY23)
~Excluding cooperative & credit societies
@Business loans are estimated as the residual
Source: RBI, CEIC, MOFSL
Exhibit 25: Non-housing personal loans have increased at
the fastest pace in the last few years…
Components of HH debt~ (% YoY)
Agri
30
20
10
0
FY20
FY21
FY22
FY23
1HFY24
Business loans are estimated as the residual
Housing
Non-housing
Businesses
Exhibit 26: …of which ‘others’ have risen at the fastest pace
in the past few years
Details of non-housing debt (% of total HH debt)
Gold
Vehicles
Education
Others
14
1
9
1
FY19
16
1
10
2
FY20
15
1
10
3
FY21
17
1
9
2
FY22
19
1
19
1
9
2
1HFY24
9
2
FY23
‘Others’ is a residual
~Excluding cooperative & credit societies
Source: RBI, CEIC, MOFSL
Within non-housing loans, it is very clear that while ‘vehicle’ loans account for more
than a fourth of such loans, their share has been broadly static in the past few years.
Gold and education loans account for a very small portion of household debt, while
‘others’ have seen the maximum increase within non-housing personal loans
23 May 2024
12
 Motilal Oswal Financial Services
(Exhibit 26).
Although there is a lack of clarity on ‘others’, it includes all sort of loans,
such as medical loans, credit cards, personal exigencies, consumer durables among
others.
Non-housing HH debt is
~30% of GDP in India,
comparable to that in
Malaysia and Taiwan, and
higher than in the US, Japan
and China
All-in-all, it means that housing debt in India amounts to ~11% of GDP, up from 10%
in FY20, and non-housing HH debt is ~30% of GDP
(Exhibit 27 and 28).
A comparison
of the latter with their counterparts in world’s major economies confirms that
India’s non-housing HH debt is comparable to that in Malaysia (MY) and Taiwan
(TW), and higher than in the US, Japan (JP), and China (CN).
Exhibit 28: …which means that India’s non-housing HH debt
is comparable to that in world’s major economies
HH non-mortgage debt (% of GDP)
56
50
Exhibit 27: India’s housing debt* is only about 11% of GDP in
3QFY24…
India's housing debt (% of GDP)
11.2
8.5
8.6
9.1
9.5
9.9
10.6
10.5
10.8
27 28 29
30
24 24 24 25
18
18
12 12 13
FY16 FY17 FY18 FY19 FY20 FY21 FY22 FY23 Dec-23
* Including Banks and HFCs
RU# SAf ID DE UK US JP CN AU CA TW MY IN SKr TH
#Data as of Sep-23 (Dec-2023 for all others)
Source: CEIC, Various national sources, MOFSL
3. Is India’s HH debt a concern?
Many participants compare India’s HH debt-to-GDP ratio with that in other
economies and conclude that even though it has risen sharply in the past few years,
at 40%, it is still among the lowest compared to others
(Exhibit 29).
To our mind, this
is not appropriate. One of the most well-acceptable ways to answer this question is
to estimate HH debt service ratio (DSR). DSR measures the portion of income used
by the borrower to meet its repayment (principal + interest) obligations. So, a DSR of
10% would mean that, on an average, a typical household spends 10% of its income
to meet its loan repayment dues. A higher DSR, thus, means higher debt repayment
obligations, which tend to affect GDP growth adversely via the restricted ability of a
household to grow its spending and savings. A look at the trends in India’s HH DSR
and its comparison with other economies will throw valuable insights into this
question.
According to the RBI, debt
service ratio (DRS) of Indian
households is estimated at
6-7%, compared to our
estimate of 11-12%
An estimation of DSR has two major components – residual maturity and effective
interest rate. The lower the residual maturity and the higher the effective interest
rate, the higher (and worse) the DSR will be and vice-versa. According to the
Financial Stability Report of the RBI published in December 2023, DSR of Indian
households was estimated at 6-7%, which is not only comparable to other
economies, but also very stable in the past few years. According to the RBI, the
weighted average effective interest rate stood at 9.7% in March 2023 and the
residual maturity of retail loans (from a survey of 12 major scheduled commercial
banks, comprising about 80% of the retail loan portfolio at the system level) was
12.7 years on the existing stock of debt.
23 May 2024
13
 Motilal Oswal Financial Services
This, however, is in stark contrast to our calculations of household DSR in India,
which was published in a
report
titled
“How sustainable is India’s household debt?”
on 4
th
October 2023. According to our analysis, DSR for Indian households is 11-12%
(almost double of that estimated by the RBI), which is not only much higher than its
counterparts in other major economies, but has also increased gradually over the
past many years. The substantial difference between our and the RBI’s estimates of
household DSR emerges from the estimates of residual maturity (effective interest
rate estimates are similar). In stark contrast to the RBI’s residual maturity of 12.7
years, our calculations suggested a residual maturity of only about 5.5 years. What
explains this difference and what are its implications?
As mentioned above, there are four parts in India’s HH debt – housing loans, non-
housing personal loans, agricultural loans and business loans. Even if one assumes a
residual (not contracted) maturity of 12 years on housing loan portfolio, the
remaining HH debt must have a residual maturity of about 13 years to make RBI’s
estimates believable. This looks highly impractical
(Exhibit 30).
Exhibit 29: Although India’s HH debt is very low compared
to world’s other major nations…
Household debt-to-GDP (%)
102
71
63 66
40
16
49
25
0
0
ID RU# SAf IN DE JP CN US TW UK MY SKr TH CA AU
#As of Sep-23 (All other data as of Dec-23)
20
40
60
80
Share of non-mortgage debt (%)
100
76 79
84 84 87
110
Exhibit 30: …it has a much higher share of shorter duration
loans vis-à-vis other economies
100
75
50
UK
AU
CA
US
TW
JP
SAf RU#
SKr
IN
ID
PH
TH
MY
DE
CN
22
30
#As of Sep-23 (All other data as of Dec-23)
Source: CEIC, Various national sources, MOFSL
Agricultural loans, which account for ~15% of HH debt in India, are primarily short-
term crop loans, with a maturity about a year. Similarly, business loans, which
accounts for 24-25% of HH debt in India, are also likely to be dominated by working
capital loans (of 1-3 years), rather than long-term investment loans (which would
largely be a part of corporate loans).
Of the non-housing personal loans, vehicle loans (including that of banks and non-
banking finance companies, NBFCs) account for 9-10% and education loans were
only about 1% of HH debt. These loans are likely to have a residual maturity of up to
5 years, with the remaining non-housing personal loans (which includes all
unsecured and gold loans) falling into 1-3 years’ maturity profile.
23 May 2024
14
 Motilal Oswal Financial Services
30% of HH debt may have a
residual maturity of 12
years, another 10-15% of
say, 5 years, and the
remaining 55-60% may have
a maturity of, say 2 years
In short, this understanding suggests that 30% of HH debt may have a residual
maturity of 12 years, another 10-15% is likely to have a residual maturity of say, 5
years, and the remaining 55-60% may have a residual maturity of, say 2 years (i.e.,
1-3 years). If so, the weighted average residual maturity of the entire HH debt would
be 5.3-5.5 years. Notably, only 22.5% of SCBs’ entire loan book (at INR143t) had a
maturity of above 5 years in FY23, compared to 16-17% a decade ago.
With an effective interest rate of 9.7 years and weighted average residual maturity
of 5.5 years, Indian household DSR would be 11-12% in FY23/FY24F, instead of 6-7%
estimated by the RBI. Further, it has also increased over a period of time – to 11-
12% now from ~10% up to FY18
(Exhibit 31).
Is this high or low? This can be gauged by comparing 11-12% DSR for Indian
households at 52% leverage ratio (debt-to-PDI), with 6-9% DSR in several advanced
economies with much higher (almost double) leverage ratio. HH DSR in China with
debt-to-income ratio of more than 100% is estimated at 8.5%. A few advanced
economies, which have a HH DSR of more than 10%, have household debt at more
than 175% of income
(Exhibit 32).
Exhibit 31: Consequently, Indian HH DSR is estimated at 11-
12% now…
Indian household DSR (%)
14
11
9
6
4
FY03
FY06
FY09
FY12
FY15
FY18
FY21
FY24F
10.8
12.4
11.7
Exhibit 32: …which is much higher than that in other major
economies
20
15
10
5
IT
0
0
50
100
150
Household debt-to-income (%)
200
IN#
CN*
JP
ES
DE
US
BL
FR
UK
AU
SKr*
CA
DN
9.7
SW
8.9
Assuming residual maturity of 5.5 years
*Dec-22, #Mar-23 (All other data as of Sep’23)
Source: CEIC, Various national sources, MOFSL
23 May 2024
15
 Motilal Oswal Financial Services
Private final consumption expenditure (PFCE): Is the slowdown temporary
or durable?
The household sector is the primary consumer in any economy. Of the total final
consumption expenditure in India, consumers account for ~85%, while the
government contributes to the remaining 15%. PFCE, thus, is the largest component
of GDP in India, like in most other economies in the world. In the pre-pandemic
years (FY13-FY20), PFCE growth outpaced GDP growth significantly. While the
former grew at an average of 12.1% during the eight-year period, the latter posted
an average growth of 11%
(Exhibit 33).
Accordingly, the share of PFCE in GDP
increased to multi-year high of ~61% in FY20 and remained there till FY23, from its
all-time low of 56.2% in FY12
(Exhibit 34).
Notably, the share of PFCE in GDP has
risen for the first time in India since the 1970s.
Exhibit 33: PFCE growth has outpaced GDP almost
continuously for a decade up to FY21...
(% YoY)
21
14
7
56.2
0
-7
FY14
FY16
FY18
FY20
FY22
FY24F
Nominal GDP
Nominal PFCE
Exhibit 34: …due to which PFCE (as % of GDP) increased for
the first time in the 2010s decade since the 1970s
PFCE (% of GDP)
61.1
61.0
60.5
FY04
FY08
FY12
FY16
FY20
FY24F
FY24 are our forecasts
Source: CSO, CEIC, MOFSL
PFCE growth has exceeded
PDI growth for the first time
in the post-independence
era in the 2010s decade,
which has continued in the
first four years of the 2020s
decade as well
Although PFCE is generally seen as a ratio of GDP, it is more appropriate to compare
it with PDI. As mentioned earlier, PDI growth has lagged GDP growth in the last few
years. It means that PFCE has not only increased faster than GDP, but it has also
outpaced PDI growth in the last many years
(Exhibits 35).
As % of PDI, PFCE stood at
77%, the highest in almost three decades
(Exhibit 36).
In fact, a look at the long-term
trends in PDI and PFCE growth reveals that the latter has exceeded the former for
the first time in the post-independence era in the 2010s decade, which has
continued in the first four years of the 2020s decade as well
(Exhibit 37).
Exhibit 36: …due to which PFCE (as % of PDI) has risen to
almost three-decade highest level in FY23
PFCE (% of PDI)
83
76
69
62
55
Exhibit 35: More importantly, PFCE growth has outpaced
PDI growth in the past many years...
(% YoY)
27
18
9
0
-9
PDI
PFCE
FY24 are our forecasts
Source: CSO, CEIC, MOFSL
23 May 2024
16
 Motilal Oswal Financial Services
PFCE, however, has weakened sharply in FY24. In the first three quarters of the year,
real (nominal) PFCE has increased at just 3.7% (8%) YoY, compared to 8.7% (17.4%)
in the previous year. It is very likely, thus, that real (nominal) PFCE growth will be 3-
4% (8-8.5%) in FY24E, the slowest in the past two decades (except FY21). Although
the slowdown in consumption had come as a surprise to many participants, we had
projected
a slowdown in household spending (either consumption and/or
investments) in FY24. As it turned out, both have weakened, though the weakness in
PFCE has outpaced the weakness in household investments (=physical savings).
A decline in NFS by one
percentage point of GDP
allows a growth of ~8pp in
physical savings or about
2pp in PFCE
Our calculations suggest that compared to an average growth of 16.4% and 28.2%
during the previous two years (and 10.3%/12.2% in the previous four years, i.e.
FY20-FY23), PFCE growth could have moderated to 8.4% YoY in FY24
(Exhibit 38),
while physical savings could have increased 12% last year. If so, it is likely that
HHNFS declined further to 5% of GDP (and 6.3% of PDI) in FY24E, from a four-
decade low of 5.3% (6.6%) in FY23. The fall in NFS may not be much in FY24, but we
must note that a decline in NFS by one percentage point of GDP allows a growth of
~8pp in physical savings or about 2pp in PFCE (or some combination of both).
Exhibit 38: Real (and nominal) PFCE growth has moderated
sharply in FY24F
Nominal PFCE (% YoY)
21
14
7
0
-7
Exhibit 37: PFCE has grown faster than PDI for the first time
in the recent decade in the post-independence period
(% CAGR)
20
15
10
5
0
1950s 1960s 1970s 1980s 1990s 2000s 2010s 2020s*
* FY21-FY24F
PDI
PFCE
FY03
FY06
FY09
FY12
FY15
FY18
FY21
FY24F
Source: CSO, CEIC, MOFSL
We expect the residential
real estate to see sharper
moderation in FY25,
especially since PFCE
growth is expected to
recover
Is this slowdown temporary or structural? We believe that like FY24, household
spending (PFCE + physical savings) growth could remain modest in FY25 as well;
however, faster growth in PDI (in line with GDP growth) could help push HH total
savings higher – only marginally – for the second consecutive year
(Exhibit 39).
At
the same time, we hope (as reflected in our base case, FY25-S2) that HHNFS
recovers in FY25 (to 5.5% of GDP), which means that the residential real estate (a
large part of physical savings) would see sharper moderation this year, especially
since PFCE growth is expected to recover.
Alternatively, HH NFS may remain unchanged (at 5% of GDP) or fall further (to 4.5%
of GDP), and thereby boost the residential property market (FY25-S1 and FY25-S3,
respectively). Lastly, nominal PFCE may continue to grow at the same pace or slowly
this year (say 7-8%), which means that real PFCE grows faster, as the deflator is
expected to be lower in FY25. In this case, HH savings could also pick up faster,
helping both NFS and physical savings.
23 May 2024
17
 Motilal Oswal Financial Services
Exhibit 39: Can HH NFS fall further in FY25?
PFCE growth (% YoY)
39.2
18.6
14.2 17.1
5.3
22.5
8.4
12.5
3.4 5.0
9.5 11.9 11.6
5.0
9.5 7.9
5.5
9.5
16.1
4.5
0.0
-17.3
-26.5
FY22
FY24 are MOFSL forecasts
FY23
FY24F
FY25-S1
FY25-S2*
FY25-S3
* MOFSL base case for FY25 (FY25-S2)
Source: CSO, RBI, various other national sources, MOFSL
Physical savings (% YoY)
NFS (% YoY)
NFS (% of GDP)
7.3
We believe that household
spending could continue to
grow modestly for the next
few years, until HHNFS
comes back to a reasonable
level of 7-8% of GDP
Overall, we believe that household spending (consumption + investments) is likely to
continue to grow modestly (say, 9-10% YoY per annum) for the next few years,
slower than 11-12% growth witnessed in the pre-pandemic years, until HH NFS
comes back to a reasonable level of 7-8% of GDP. Further, we hope that HHNFS
recovers within HH savings, so that a pick-up in India’s investments, led by corporate
sector as and when it happens, does not create external imbalances in the economy.
23 May 2024
18
 Motilal Oswal Financial Services
Conclusion – Household financial position has deteriorated:
In this report, we discussed in detail the financial position of the Indian household
sector, delving deeper into its earnings, savings (financial and physical),
borrowings/debt and consumption patterns. Our conclusion is that its finances have
worsened in the past few years, and thus, it would be unreasonable to expect them
to continue to be the primary driver of economic growth in the coming years. A look
at the long-term finances of household finances
(Exhibit 40)
confirms that:
1) Income growth has weakened continuously in the past few decades, falling into
single-digits in the last four years (FY21-FY24E), led by the pandemic,
2) For the first time, PFCE growth outpaced PDI growth in the 2010s decade, which
continued in the post-pandemic years as well
(see Exhibit 41 also),
3) Although household borrowings have risen at the fastest pace (of all the
indicators) in almost all the decades, its average growth of 27% in recent years is the
highest, at a time when PDI growth has been the least, and
4) While financial savings have been replaced by physical savings since the 1990s,
the collapse in the former in the recent years in unprecedented.
PDI
19.9
21.1
PFCE
PS
NFS
24.1
14.9
12.1 10.9
15.5
10.8
9.2
9.6 10.1
2.5
1980s
1990s
2000s
2010s
FY21-FY24E
15.8
FL
26.6
An average growth of 27%
in HH borrowings in recent
years is the highest ever, at
a time when PDI growth has
been the least
Exhibit 40: A look at long-term trends in household finances (% CAGR)
(% CAGR)
22.8
19.6
13.2
17.8
14.8 13.7
12.9
15.2 14.3
12.0 13.2
All data used are ‘flow’ (annual) indicators
PS = physical savings (=investments)
FY24E are our forecasts
Source: RBI, CEIC, Various national sources, MOFSL
Exhibit 41: PDI growth has lagged PFCE growth for the first
time in the post-independence period…
(% CAGR)
20
15
10
PDI
PFCE
Exhibit 42: …which is tantamount to lower household
savings and rising debt
HH total savings
(% of GDP)
32.0
25.5
25.9
HH debt
40.8
5
0
1950s 1960s 1970s 1980s 1990s 2000s 2010s 2020s*
*FY21-FY24F
FY00
FY03
FY06
FY09
FY12
FY15
FY18
FY21 FY24F
Source: CSO, CEIC, MOFSL
Household spending may
remain subdued on average
in the coming years unless
their finances improve
We believe that it is just a beginning of a long-term trend. Household spending
(consumption + investments) may remain subdued on average in the coming years
(it may grow faster in one year and slower in another), unless household finances
improve. Combined with the fact that the growth in government spending will
remain muted over the next few years due to ongoing fiscal consolidation, the
entire responsibility of keeping GDP growth at ~7% will fall on the corporate sector.
Investment in securities market are subject to market risks. Read all the related documents carefully before investing
23 May 2024
19
 Motilal Oswal Financial Services
NOTES
23 May 2024
20
 Motilal Oswal Financial Services
Explanation of Investment Rating
Investment Rating
BUY
SELL
NEUTRAL
UNDER REVIEW
NOT RATED
Expected return (over 12-month)
>=15%
< - 10%
> - 10 % to 15%
Rating may undergo a change
We have forward looking estimates for the stock but we refrain from assigning recommendation
*In case the recommendation given by the Research Analyst is inconsistent with the investment rating legend for a continuous period of 30 days, the Research Analyst shall within following 30 days take
appropriate measures to make the recommendation consistent with the investment rating legend.
Disclosures:
The following Disclosures are being made in compliance with the SEBI Research Analyst Regulations 2014 (herein after referred to as the Regulations).
Motilal Oswal Financial Services Ltd. (MOFSL) is a SEBI Registered Research Analyst having registration no. INH000000412. MO FSL, the Research Entity (RE) as defined in the Regulations, is engaged in
the business of providing Stock broking services, Depository participant services & distribution of various financial products. MOFSL is a listed public company, the details in respect of which are available on
www.motilaloswal.com.
MOFSL (erstwhile Motilal Oswal Securities Limited - MOSL) is registered with the Securities & Exchange Board of India (SEBI) and is a registered Trading Member with National Stock
Exchange of India Ltd. (NSE) and Bombay Stock Exchange Limited (BSE), Multi Commodity Exchange of India Limited (MCX) and National Commodity & Derivatives Exchange Limited (NCDEX) for its stock
broking activities & is Depository participant with Central Depository Services Limited (CDSL) National Securities Depository Limited (NSDL),NERL, COMRIS and CCRL and is member of Association of Mutual
Funds of India (AMFI) for distribution of financial products and Insurance Regulatory & Development Authority of India (IRDA) as Corporate Agent for insurance products. Details of associate entities of Motilal
Oswal Financial Services Ltd. are available on the website at
http://onlinereports.motilaloswal.com/Dormant/documents/Associate%20Details.pdf
Details of pending Enquiry Proceedings of Motilal Oswal Financial Services Limited are available on the website at
https://galaxy.motilaloswal.com/ResearchAnalyst/PublishViewLitigation.aspx
MOFSL, it’s associates, Research Analyst or their relatives may have any financial interest in the subject company. MOFSL and/or its associates and/or Research Analyst or their relatives may have actual
beneficial ownership of 1% or more securities in the subject company at the end of the month immediately preceding the date of publication of the Research Report or date of the public appearance.
MOFSL
and its associate company(ies), their directors and Research Analyst and their relatives may have any other potential conflict of interests at the time of publication of the research report or at the time of public
appearance, however the same shall have no bearing whatsoever on the specific recommendations made by the analyst(s), as the recommendations made by the analyst(s) are completely independent of the
views of the associates of MOFSL even though there might exist an inherent conflict of interest in some of the stocks mentioned in the research report.
In the past 12 months, MOFSL or any of its associates may have:
a)
received any compensation/other benefits from the subject company of this report
b)
managed or co-managed public offering of securities from subject company of this research report,
c)
received compensation for investment banking or merchant banking or brokerage services from subject company of this research report,
d)
received compensation for products or services other than investment banking or merchant banking or brokerage services from the subject company of this research report.
MOFSL and it’s associates have not received any compensation or other benefits from the subject company or third party in connection with the research report.
Subject Company may have been a client of MOFSL or its associates during twelve months preceding the date of distribution of the research report.
Research Analyst may have served as director/officer/employee in the subject company.
MOFSL and research analyst may engage in market making activity for the subject company.
MOFSL and its associate company(ies), and Research Analyst and their relatives from time to time may have:
a) a long or short position in, act as principal in, and buy or sell the securities or derivatives thereof of companies mentioned herein.
(b) be engaged in any other transaction involving such securities and earn brokerage or other compensation or act as a market maker in the financial instruments of the company(ies) discussed herein or act as
an advisor or lender/borrower to such company(ies) or may have any other potential conflict of interests with respect to any recommendation and other related information and opinions.; however the same shall
have no bearing whatsoever on the specific recommendations made by the analyst(s), as the recommendations made by the analyst(s) are completely independent of the views of the associates of MOFSL
even though there might exist an inherent conflict of interest in some of the stocks mentioned in the research report.
Above disclosures include beneficial holdings lying in demat account of MOFSL which are opened for proprietary investments only. While calculating beneficial holdings, It does not consider demat accounts
which are opened in name of MOFSL for other purposes (i.e holding client securities, collaterals, error trades etc.). MOFSL also earns DP income from clients which are not considered in above disclosures.
To enhance transparency, MOFSL has incorporated a Disclosure of Interest Statement in this document. This should, however, not be treated as endorsement of the views expressed in the report. MOFSL and
/ or its affiliates do and seek to do business including investment banking with companies covered in its research reports. As a result, the recipients of this report should be aware that MOFSL may have a
potential conflict of interest that may affect the objectivity of this report.
Terms & Conditions:
This report has been prepared by MOFSL and is meant for sole use by the recipient and not for circulation. The report and information contained herein is strictly confidential and may not be altered in any way,
transmitted to, copied or distributed, in part or in whole, to any other person or to the media or reproduced in any form, without prior written consent of MOFSL. The report is based on the facts, figures and
information that are considered true, correct, reliable and accurate. The intent of this report is not recommendatory in nature. The information is obtained from publicly available media or other sources believed
to be reliable. Such information has not been independently verified and no guaranty, representation of warranty, express or implied, is made as to its accuracy, completeness or correctness. All such information
and opinions are subject to change without notice. The report is prepared solely for informational purpose and does not constitute an offer document or solicitation of offer to buy or sell or subscribe for securities
or other financial instruments for the clients. Though disseminated to all the customers simultaneously, not all customers may receive this report at the same time. MOFSL will not treat recipients as customers
by virtue of their receiving this report.
Analyst Certification
The views expressed in this research report accurately reflect the personal views of the analyst(s) about the subject securities or issues, and no part of the compensation of the research analyst(s) was, is, or
will be directly or indirectly related to the specific recommendations and views expressed by research analyst(s) in this report.
Disclosure of Interest Statement
Companies where there is interest
Analyst ownership of the stock
No
A graph of daily closing prices of securities is available at
www.nseindia.com, www.bseindia.com.
Research Analyst views on Subject Company may vary based on Fundamental research and Technical
Research. Proprietary trading desk of MOFSL or its associates maintains arm’s length distance with Research Team as all the activities are segregated from MOFSL research activity and therefore it can have
an independent view with regards to subject company for which Research Team have expressed their views.
Regional Disclosures (outside India)
This report is not directed or intended for distribution to or use by any person or entity resident in a state, country or any jurisdiction, where such distribution, publication, availability or use would be contrary to
law, regulation or which would subject MOFSL & its group companies to registration or licensing requirements within such jurisdictions.
For Hong Kong:
This report is distributed in Hong Kong by Motilal Oswal capital Markets (Hong Kong) Private Limited, a licensed corporation (CE AYY-301) licensed and regulated by the Hong Kong Securities and Futures
Commission (SFC) pursuant to the Securities and Futures Ordinance (Chapter 571 of the Laws of Hong Kong) “SFO”. As per SEBI (Research Analyst Regulations) 2014 Motilal Oswal Financial Services Limited
(SEBI Reg No. INH000000412) has an agreement with Motilal Oswal capital Markets (Hong Kong) Private Limited for distribution of research report in Hong Kong. This report is intended for distribution only to
“Professional Investors” as defined in Part I of Schedule 1 to SFO. Any investment or investment activity to which this document relates is only available to professional investor and will be engaged only with
professional investors.” Nothing here is an offer or solicitation of these securities, products and services in any jurisdiction where their offer or sale is not qualified or exempt from registration. The Indian Analyst(s)
who compile this report is/are not located in Hong Kong & are not conducting Research Analysis in Hong Kong.
For U.S.
MOTILAL Oswal Financial Services Limited (MOFSL) is not a registered broker - dealer under the U.S. Securities Exchange Act of 1934, as amended (the"1934 act") and under applicable state laws in the
United States. In addition MOFSL is not a registered investment adviser under the U.S. Investment Advisers Act of 1940, as amended (the "Advisers Act" and together with the 1934 Act, the "Acts), and under
23 May 2024
21
 Motilal Oswal Financial Services
applicable state laws in the United States. Accordingly, in the absence of specific exemption under the Acts, any brokerage and investment services provided by MOFSL, including the products and services
described herein are not available to or intended for U.S. persons. This report is intended for distribution only to "Major Institutional Investors" as defined by Rule 15a-6(b)(4) of the Exchange Act and interpretations
thereof by SEC (henceforth referred to as "major institutional investors"). This document must not be acted on or relied on by persons who are not major institutional investors. Any investment or investment
activity to which this document relates is only available to major institutional investors and will be engaged in only with major institutional investors. In reliance on the exemption from registration provided by
Rule 15a-6 of the U.S. Securities Exchange Act of 1934, as amended (the "Exchange Act") and interpretations thereof by the U.S. Securities and Exchange Commission ("SEC") in order to conduct business
with Institutional Investors based in the U.S., MOFSL has entered into a chaperoning agreement with a U.S. registered broker-dealer, Motilal Oswal Securities International Private Limited. ("MOSIPL"). Any
business interaction pursuant to this report will have to be executed within the provisions of this chaperoning agreement.
The Research Analysts contributing to the report may not be registered /qualified as research analyst with FINRA. Such research analyst may not be associated persons of the U.S. registered broker-dealer,
MOSIPL, and therefore, may not be subject to NASD rule 2711 and NYSE Rule 472 restrictions on communication with a subject company, public appearances and trading securities held by a research
analyst account.
For Singapore
In Singapore, this report is being distributed by Motilal Oswal Capital Markets Singapore Pte Ltd (“MOCMSPL”) (Co. Reg. NO. 201129401Z) which is a holder of a capital markets services license and an exempt
financial adviser in Singapore. Persons in Singapore should contact MOCMSPL in respect of any matter arising from, or in connection with this report/publication/communication. This report is distributed solely
to persons who qualify as “Institutional Investors”, of which some of whom may consist of "accredited" institutional investors as defined in section 4A(1) of the Securities and Futures Act of Singapore .Accordingly,
if a Singapore person is not, or ceases to be, such an investor, they must immediately discontinue any use of this Report and inform MOCMSPL .
Disclaimer:
The report and information contained herein is strictly confidential and meant solely for the selected recipient and may not be altered in any way, transmitted to, copied or distributed, in part or in whole, to any
other person or to the media or reproduced in any form, without prior written consent. This report and information herein is solely for informational purpose and may not be used or considered as an offer
document or solicitation of offer to buy or sell or subscribe for securities or other financial instruments. Nothing in this report constitutes investment, legal, accounting and tax advice or a representation that any
investment or strategy is suitable or appropriate to your specific circumstances. The securities discussed and opinions expressed in this report may not be suitable for all investors, who must make their own
investment decisions, based on their own investment objectives, financial positions and needs of specific recipient. This may not be taken in substitution for the exercise of independent judgment by any recipient.
Each recipient of this document should make such investigations as it deems necessary to arrive at an independent evaluation of an investment in the securities of companies referred to in this document
(including the merits and risks involved), and should consult its own advisors to determine the merits and risks of such an investment. The investment discussed or views expressed may not be suitable for all
investors. Certain transactions -including those involving futures, options, another derivative products as well as non-investment grade securities - involve substantial risk and are not suitable for all investors.
No representation or warranty, express or implied, is made as to the accuracy, completeness or fairness of the information and opinions contained in this document. The Disclosures of Interest Statement
incorporated in this document is provided solely to enhance the transparency and should not be treated as endorsement of the views expressed in the report. This information is subject to change without any
prior notice. The Company reserves the right to make modifications and alternations to this statement as may be required from time to time without any prior approval. MOFSL, its associates, their directors and
the employees may from time to time, effect or have effected an own account transaction in, or deal as principal or agent in or for the securities mentioned in this document. They may perform or seek to perform
investment banking or other services for, or solicit investment banking or other business from, any company referred to in this report. Each of these entities functions as a separate, distinct and independent of
each other. The recipient should take this into account before interpreting the document. This report has been prepared on the basis of information that is already available in publicly accessible media or
developed through analysis of MOFSL. The views expressed are those of the analyst, and the Company may or may not subscribe to all the views expressed therein. This document is being supplied to you
solely for your information and may not be reproduced, redistributed or passed on, directly or indirectly, to any other person or published, copied, in whole or in part, for any purpose. This report is not directed
or intended for distribution to, or use by, any person or entity who is a citizen or resident of or located in any locality, state, country or other jurisdiction, where such distribution, publication, availability or use
would be contrary to law, regulation or which would subject MOFSL to any registration or licensing requirement within such jurisdiction. The securities described herein may or may not be eligible for sale in all
jurisdictions or to certain category of investors. Persons in whose possession this document may come are required to inform themselves of and to observe such restriction. Neither the Firm, not its directors,
employees, agents or representatives shall be liable for any damages whether direct or indirect, incidental, special or consequential including lost revenue or lost profits that may arise from or in connection with
the use of the information.
The person accessing this information specifically agrees to exempt MOFSL or any of its affiliates or employees from, any and all responsibility/liability arising from such misuse and
agrees not to hold MOFSL or any of its affiliates or employees responsible for any such misuse and further agrees to hold MOFSL or any of its affiliates or employees free and harmless from all losses, costs,
damages,
expenses that may be suffered by the person accessing this information due to any errors and delays.
This report is meant for the clients of Motilal Oswal only.
Investment in securities market are subject to market risks. Read all the related documents carefully before investing.
Registration granted by SEBI and certification from NISM in no way guarantee performance of the intermediary or provide any assurance of returns to investors.
Registered Office Address: Motilal Oswal Tower, Rahimtullah Sayani Road, Opposite Parel ST Depot, Prabhadevi, Mumbai-400025; Tel No.: 022 - 71934200 / 71934263; www.motilaloswal.com.
Correspondence Address: Palm Spring Centre, 2nd Floor, Palm Court Complex, New Link Road, Malad (West), Mumbai- 400 064. Tel No: 022 71881000. Details of Compliance Officer: Neeraj Agarwal, Email
Id: na@motilaloswal.com, Contact No.:022-40548085.
Grievance Redressal Cell:
Contact Person
Ms. Hemangi Date
Ms. Kumud Upadhyay
Mr. Ajay Menon
Contact No.
022 40548000 / 022 67490600
022 40548082
022 40548083
Email ID
query@motilaloswal.com
servicehead@motilaloswal.com
am@motilaloswal.com
Registration details of group entities.: Motilal Oswal Financial Services Ltd. (MOFSL): INZ000158836 (BSE/NSE/MCX/NCDEX); CDSL and NSDL: IN-DP-16-2015; Research Analyst: INH000000412 . AMFI:
ARN .: 146822. IRDA Corporate Agent – CA0579. Motilal Oswal Financial Services Ltd. is a distributor of Mutual Funds, PMS, Fixed Deposit, Insurance, Bond, NCDs and IPO products.
Customer having any query/feedback/ clarification may write to query@motilaloswal.com. In case of grievances for any of the services rendered by Motilal Oswal Financial Services Limited (MOFSL) write to
grievances@motilaloswal.com, for DP to dpgrievances@motilaloswal.com.
23 May 2024
22