Sector Update | 05 September 2024
Sector Update | Financials
Life Insurance
Recommendation Summary
Reco Target Upside
HDFCLIFE BUY
900
20
SBILIFE
BUY
2,250
18
IPRU
BUY
890
17
LIC
BUY
1,300
22
Max
Neutral 1,080
-3
Concerns behind, strong outlook ahead
Top picks HDFCLIFE, SBILIFE
The life insurance sector has experienced a series of regulatory and taxation changes
(ULIP taxation, non-linked products taxation, EOM regulations, and surrender charges)
over the past few years, which have constrained the outlook of the industry. As a
result, valuations in this sector have undergone significant corrections.
Regulations pertaining to surrender charges have had the most profound impact.
However, with the finalization of these regulations, the associated uncertainty has
diminished. Management commentary on the implications of these changes has
largely been neutral to marginally negative.
Our discussions with agents and distribution partners indicate that the enhanced
liquidity of products under new surrender charges regime has emerged as a
compelling selling point, potentially facilitating an increase in the average ticket size.
Moreover, we anticipate that any rate cuts by the Reserve Bank of India (RBI) will
make long-term guaranteed products more attractive again. Notably, protection
products—encompassing both credit protection and individual protection—are
gaining traction, which should help mitigate any adverse effects stemming from
surrender charges.
Looking ahead, forthcoming regulations, such as risk-based solvency and IFRS, are
expected to positively influence financials by releasing capital that can be utilized for
growth and for retaining a larger share of business, particularly in the protection
segment.
In light of these insights, we maintain a positive outlook on the life insurance sector
and recommend BUY ratings for HDFCLIFE, SBILIFE, IPRULIFE, and LIC, whereas we
have a Neutral rating on MAXFIN.
Surrender value regulations, managements guide for stability post some hit
IRDAI released a consultation paper on surrender charges in Nov’23, followed by a
structure in Mar’24 and the final regulations in Jun’24. This sequence of events led
to significant uncertainty regarding the final outcome and the impact of
implementation. While the final regulations have been announced and
implemented from Oct’24, the impact will depend on factors such as: 1) the share of
non-linked business, 2) assumptions with respect to persistency built into the extant
VNB, 3) changes in commission constructs post implementation, and 4) changes in
IRRs post implementation. The key takeaways from management interactions on
surrender charges are as follows:
HDFC Life
Anticipate a gross impact of approximately 100 bp on the company's new
business margin due to higher surrender value payable on early exit; impact is
limited due to a balanced approach to business
Deferment and clawback for commissions may be used for offsetting the impact
of new surrender charges
Product competitiveness will increase with new surrender charge norms; some
calibration in IRRs can be expected
Under the new surrender charges, instead of making the policy paid-up if a
customer surrenders, the impact on HDFCLIFE’s margin will be minimal
Research Analyst: Prayesh Jain
(Prayesh.Jain@MotilalOswal.com)
Research Analyst: Nitin Aggarwal
(Nitin.Aggarwal@MotilalOswal.com)
|
Muskan Chopra
(Muskan.Chopra@MotilalOswal.com)
Investors are
5 September 2024
advised to refer
through important disclosures made at the last page of the Research Report.
1
Motilal Oswal research is available on www.motilaloswal.com/Institutional-Equities, Bloomberg, Thomson Reuters, Factset and S&P Capital.
 Motilal Oswal Financial Services
Sector Update | Financials
The actual experience of surrenders is negligible, based on which the
assumptions factor in close-to-zero surrenders, implying that HDFC has not been
factoring in any surrender profits after the customer pays the first renewal
premium; additionally, the persistency experience is strong and improving
across cohorts
The only impact is in year one, where the experience is quite good, and the
assumptions are also conservative for that year; the experience of lapse or exit
in the first year is even lower than the assumption
SBI Life
Under surrender charges, SBILIFE expects a very low impact (much lower than
1%), owing to its product mix and conservative assumption on surrenders
For new products, SBILIFE is not planning any commission changes for
distributors
The impact of surrender charges will be more than offset by a favorable product
mix (pick up in protection and annuity)
IPRU Life
Even before the revised surrender value norms came into effect, IPRU launched
ICICI Pru GPP Flexi with Benefit Enhancer, which provides customers the option
to receive 100% money back of premiums paid any time. The commission
structure in this product is more level-based, while keeping the overall lifetime
payment at a similar level. The product has been well accepted in the market
segments where it was launched.
IPRU has also experimented with a trail-based commission on the ULIP platform,
seeing acceptance by distributors in the market segment where it has been
launched. It believes that by aligning the interests of all the three stakeholders,
namely customers, shareholders, and distributors, it will be able to absorb any
impact that may arise due to changes in regulations.
There will not be any impact on margins due to surrender guideline changes
from 1st October (that side of the business is only 17% of the portfolio).
Max Financials
Surrender charges are likely to impact VNB margins by 100-200bp for the
company. Management will distribute the impact among all stakeholders,
namely customers, distributors, and shareholders.
On the margin front, management maintains the same VNB growth guidance
despite surrender charges, as higher premium growth will offset the margin hit.
Max believes that the entire life insurance industry will take 3-6 months to settle
as the impact of surrender charges regulations on VNB margins remains
dynamic.
LIC:
The highest surrendering in policies is seen with small ticket sizes.
The customer behavior under the new surrender charges regime cannot be
predicted yet and, hence, deciding on specific measures is difficult.
All measures are on the table, including altering commission structures (trail-
based or clawback) and product constructs.
5 September 2024
2
 Motilal Oswal Financial Services
Sector Update | Financials
Exhibit 2:
Impact of 10% reduction in persistency on EV
EV FY23
1.9%
1.1%
0.3%
0.1%
0.6%
0.4%
-0.2%
-0.9%
HDFC Life
SBI Life
ICICI Pru
Max Fin
LIC
0.3%
0.1%
EV FY24
Exhibit 3:
Impact of 10% reduction in persistency on VNB
VNB FY23
3.8%
3.4%
0.6%
0.3%
5.1%
3.6%
0.7%
0.5%
VNB FY24
0.4%
-0.4%
HDFC Life
SBI Life
ICICI Pru
Max Fin
LIC
Source: Company, MOFSL
Source: Company, MOFSL
For HDFC Life and LIC, the impact is on VNB Margin
While product constructs will undergo a change, the commission constructs will
also need a rework. Managements have indicated that while individual agents can
be shifted to trail-based structure vs. the current model of large upfront
commissions, corporate agents (including banca partners) and brokers can have
clawback clauses built into the contracts.
Our discussion with individual agents reveal the following:
The liquidity of the product enhances after the new surrender value norms,
which will allow them to pitch for higher ticket sizes
Unless trail-based commissions are significantly lower than the overall payout
during the tenure of the product, agents will not be deterred from selling life
insurance products.
Trail commissions will drive them to work toward making customers persistent
and offer better propositions, such as loan against policy and paid-up policy.
Additionally, based on past experience with MF and other financial products where
trail commissions have been implemented, we have not seen any material impact
in volumes.
Commission structures will be altered
Strong growth in YTDFY25, granular strategy driving NOP growth
HDFCLIFE/SBILIFE/IPRU/MAXLIFE/LIC have reported total APE growth of
29%/15%/17%/28%/16%, respectively. Although the growth has been on a low
base of FY24, it has been higher than street estimates built at the beginning of
the fiscal.
The growth momentum is expected to sustain over the medium to longer term,
given the investments in distribution built over the past couple of years to
deepen the reach. We note that the agency count of
HDFCLIFE/SBILIFE/IPRU/MAXLIFE/LIC have been higher by
58%/78%/7%/81%/9% since Mar’22.
The investments have resulted in a strong individual non-single policy count in
YTDFY25 with HDFCLIFE/SBILIFE/IPRU/MAXLIFE/LIC reporting growth of
26%/1%/13%/28%/6%, respectively.
5 September 2024
3
 Motilal Oswal Financial Services
Sector Update | Financials
Exhibit 4:
Strong industry growth despite a series of
regulations
Private
60.0%
40.0%
20.0%
0.0%
-20.0%
LIC
Industry
Exhibit 5:
Private players continued to report strong
outperformance
HDFC Life
ICICI Prudential
100.0%
60.0%
20.0%
-20.0%
-60.0%
SBI Life
Max Life
Exhibit 6:
HDFCLIFE product mix
ULIP
7%
31%
34%
24%
Par
6%
33%
30%
26%
Non Par Savings
4%
45%
27%
19%
Source: IRDAI, MOFSL
Term
5%
30%
23%
35%
Annuity
6%
35%
16%
38%
Exhibit 7:
ICICIPRU product mix
Linked
Annuity
5%
4%
16%
17%
31%
48%
28%
48%
Non Linked
Group Funds
6%
17%
37%
36%
Source: IRDAI, MOFSL
Protection
11%
17%
26%
43%
11%
18%
17%
51%
Source: IRDAI, MOFSL
Source: IRDAI, MOFSL
Exhibit 8:
SBILIFE product mix
ULIP
Protection
12% 0%
11%
5%
42%
12% 0%
14%
3%
45%
Par
Annuity
11%
22%
6%
55%
3%
Non Par Savings
Group Savings
3%
3%
8%
11%
19%
16%
4%
4%
60%
61%
Exhibit 9:
Max Life product mix
ULIP
14%
30%
19%
37%
Par
Non Par
13%
29%
20%
37%
Protection Annuity
5%
6%
6%
8%
44%
13%
27%
28%
18%
35%
Group
5%
10%
22%
13%
39%
Source: IRDAI, MOFSL
Source: IRDAI, MOFSL
Exhibit 10:
LIC product mix
ULIP
28%
2%
65%
1%
Par
29%
0%
66%
1%
Non Par
32%
1%
62%
2%
Protection
33%
7%
55%
2%
Annuity
42%
7%
44%
4%
Group
Source: IRDAI, MOFSL
5 September 2024
4
 Motilal Oswal Financial Services
Sector Update | Financials
Interest rate cuts drive multiples for life insurers
During the previous interest rate cycle (Jan’19 to May’20 repo rate cut of
250bps), the average growth rate for the Life Insurance industry until May’22
(repo rate was stable for two years) was 14% (considering a period of sharp
decline in times of COVID and taxation change of ULIPs). Within the same
period, the deposit growth was 10%.
We note that during this period, the valuations of life insurers went through a
re-rating with peak 1-year forward P/EV for
HDFCLIFE/SBILIFE/IPRU/MAXLIFE/LIC at 5.6x/3.0x/2.9x/3.3x vs.
4.0x/2.2x/1.8x/1.9x at the beginning of the rate cut cycle.
Exhibit 12:
Impact of 100bp rate cut on VNB
VNB FY23
VNB FY24
Exhibit 11:
Impact of 100bp rate cut on EV
EV FY23
3.4%
3.3%
EV FY24
3.8%
3.7%
0.8%
0.7%
0.0%
-0.3%
0.7%
1.0%
10.9%
4.8%
2.6%
2.1%
0.8%
0.2%
-2.3%
-7.4%
HDFC Life
SBI Life
ICICI Pru
Max Fin
-3.8%
-7.7%
LIC
HDFC Life
SBI Life
ICICI Pru
Max Fin
LIC
Source: Company, MOFSL
Source: Company, MOFSL
For HDFC Life and LIC, the impact is on VNB Margin
Exhibit 13:
Sans the impact of COVID, premium growth has been strong in interest rate cut
trends
Repo rate
8.00
6.00
4.00
2.00
-
Pvt players Ind APE growth
150%
100%
50%
0%
-50%
Source: RBI, IRDAI, MOFSL
5 September 2024
5
 Motilal Oswal Financial Services
Sector Update | Financials
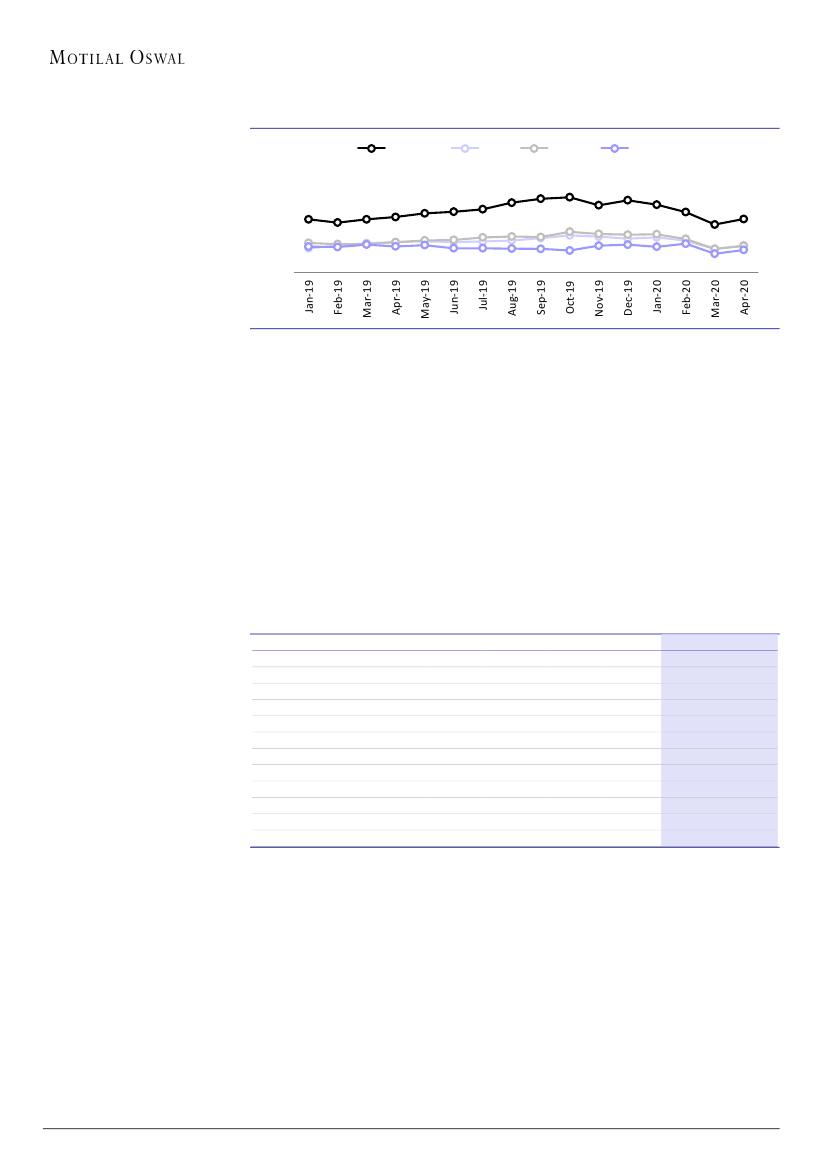
Exhibit 14:
Until COVID, life insurers went through a significant re-rating (1-yr fwd P/EV)
HDFC Life
7.2
5.4
3.6
1.8
-
IPRU
SBILIFE
MAXFIN
Source: Bloomberg, Company, MOFSL
Maintain positive stance on the industry, HDFCLIFE & SBILIFE top picks
We remain constructive on the Life Insurance industry given the positive
tailwinds from regulatory actions. Both IFRS and risk-based solvency would be
favorable and release capital for further growth of the industry.
We upgraded our recommendation on HDFCLIFE in May’24, and since then, the
stock has delivered 32% return, outperforming Nifty by 20%. We believe HDFC
LIFE is well poised for strong growth ahead, led by 1) product innovation; 2)
push in the HDFC Bank channel, especially with new branches; 3) significant
agency count additions over the past two years; and 4) strong RoEV of 16-17%.
We upgrade our target FY26 P/EV multiple to 3.0x and value the stock at
INR900, maintaining BUY.
Exhibit 15:
HDFCLIFE valuation summary
INR b
APE
% YoY
VNB
% YoY
VNB Margin (%)
EV
RoEV (%)
EV/Share (INR)
P/EV
VNB/Share (INR)
P/VNB
Solvency (%)
FY21
83.7
13.0
21.9
13.9
26.1
266.2
28.9
266.2
6.1
10.2
74.1
201.1
FY22
97.6
16.6
26.7
22.4
27.4
329.4
12.9
329.4
4.9
12.4
60.5
175.6
FY23
133.4
36.7
36.7
37.4
27.5
395.1
31.5
395.1
4.1
17.1
44.1
203.2
FY24
132.9
(0.3)
35.0
(4.7)
26.3
474.5
20.1
474.5
3.4
16.3
50.0
186.6
FY25E
157.7
18.6
40.6
16.0
25.8
553.9
16.7
553.9
2.9
18.9
39.9
179.7
FY26E
186.1
18.0
48.5
19.5
26.1
645.0
16.5
645.0
2.5
22.5
33.3
179.1
Source: Company, MOFSL
5 September 2024
6
 Motilal Oswal Financial Services
Sector Update | Financials
SBILIFE continues to be a consistent performer and remains one of our top
picks, considering 1) deep penetration expected in SBI channel; 2) least impact
of surrender charges, given the low dependence on non-linked business; 3) best-
in-class expense ratio with limited risk from higher commissions to SBI; and 4)
best-in-class RoEV. We maintain a BUY rating with a 1-yr Fwd P/EV multiple of
2.7x to reach a fair value of INR2,250.
Exhibit 16:
SBILIFE valuation summary
INR b
APE
% YoY
VNB
% YoY
VNB Margin (%)
EV
RoEV (%)
EV/Share (INR)
P/EV
VNB/Share (INR)
P/VNB
Solvency (%)
FY21
114.7
6.9
26.6
19.8
23.2
333.8
27.0
364.0
5.2
26.6
71.7
214.7
FY22
142.9
24.6
37.0
39.1
25.9
396.1
18.7
396.3
4.8
37.0
51.6
204.8
FY23
168.4
17.9
50.7
37.0
30.1
460.4
16.2
460.4
4.1
50.7
37.6
215.4
FY24E
197.5
17.3
55.5
9.5
28.1
582.5
26.5
582.6
3.3
55.5
34.4
196.5
FY25E
229.9
16.4
63.5
14.3
27.6
710.4
21.9
710.4
2.7
63.5
30.1
188.6
FY26E
271.3
18.0
76.1
19.9
28.1
856.2
20.5
856.3
2.2
76.1
25.1
181.1
Source: Company, MOFSL
ICICIPRU is witnessing strong growth in premiums, albeit on a low base of FY24.
Sustaining this growth, especially from agency and ex-ICICI banca partners, will
drive significant re-rating. Further, the company has been a pioneer in exploring
new product and commission constructs. We maintain our BUY rating with 1-
year price target of INR890 on 2.1x FY26E P/EV.
Exhibit 17:
ICICI Pru valuation summary
INR b
APE
% YoY
VNB
% YoY
VNB Margin (%)
EV
RoEV (%)
EV/Share (INR)
P/EV
VNB/Share (INR)
P/VNB
Solvency (%)
FY21
64.6
(12.5)
16.2
1.3
25.1
291.1
26.4
202.3
3.7
11.3
67.2
216.8
FY22
77.3
19.7
21.7
33.5
28.0
316.3
8.7
219.8
3.4
15.1
50.4
204.5
FY23
86.4
11.7
27.6
27.7
32.0
356.4
12.7
247.7
3.1
19.2
39.4
208.9
FY24E
90.5
4.7
22.3
(19.5)
24.6
423.3
18.8
294.3
2.6
15.5
49.0
192.0
FY25E
111.6
23.4
27.4
22.8
24.5
507.1
19.8
352.5
2.2
19.0
39.9
185.0
FY26E
129.5
16.0
31.7
16.0
24.5
609.0
20.1
423.3
1.8
22.1
34.4
178.5
Source: Company, MOFSL
5 September 2024
7
 Motilal Oswal Financial Services
Sector Update | Financials
MAX FIN will be the worst hit in terms of surrender charges, given their
relatively higher dependence on the non-par segment. Additionally, with five
partners at Axis Bank channel and a challenging C/D ratio at Axis Bank, future
growth will need to be driven primarily through the agency channel. We believe
these factors will keep the valuation under check. We maintain a neutral stance
with a 1-year price target of INR1,080 (2.1x FY26E P/EV).
Exhibit 18:
Max Fin valuation summary
INR b
APE
% YoY
VNB
% YoY
VNB Margin (%)
EV
RoEV (%)
EV/Share (INR)
P/EV
VNB/Share (INR)
P/VNB
Solvency (%)
FY21
49.6
19.5
12.5
39.2
25.2
118.4
18.6
274.3
5.1
36.2
48.2
202.2
FY22
55.9
12.7
15.3
22.3
27.3
141.8
19.8
328.6
4.2
44.3
39.4
200.5
FY23
62.5
11.8
19.5
27.6
31.2
162.6
14.7
377.0
3.7
56.5
30.9
192.7
FY24
74.3
19.0
19.7
1.2
26.5
194.9
19.9
451.9
3.1
57.2
30.5
172.0
FY25E
88.5
19.0
21.2
7.6
24.0
232.4
19.2
538.8
2.6
61.5
28.4
195.0
FY26E
104.4
18.0
26.1
22.9
25.0
277.9
19.6
644.2
2.2
75.6
23.1
190.0
Source: Company, MOFSL
LIC has returned to reporting growth in premiums and expects a double digit
growth in FY25. This growth is driven by new product launches in the non-par,
protection, and ULIP segments. Investments in technology continue with the
launch of Ananda 2.0. VNB Margins increased YoY and the company expects to
reach 20% margins in the medium term. We maintain our BUY rating with a 1-
year price target of INR1,300 on SOTP with life insurance business valued at 0.8x
FY26E P/EV.
Exhibit 19:
LIC valuation summary
INR b
APE
% YoY
VNB
% YoY
VNB Margin (%)
EV
RoEV (%)
EV/Share (INR)
P/EV
VNB/Share (INR)
P/VNB
Solvency (%)
FY21
455.9
(5.0)
41.7
9.1
956.1
105.6
151.2
7.1
6.6
162.3
154.6
FY22
503.9
10.5
76.2
82.8
15.1
5,414.9
466.4
856.1
1.2
12.0
88.7
176.2
FY23
566.8
12.5
91.8
20.5
16.2
5,822.7
7.5
920.6
1.2
14.5
73.6
184.5
FY24
569.7
0.5
95.8
4.4
16.8
7,273.7
24.9
1,150.0
0.9
15.2
70.6
187.2
FY25E
660.4
15.9
112.3
17.1
17.0
8,107.3
11.5
1,281.8
0.8
17.7
60.2
197.6
FY26E
713.2
8.0
128.4
14.4
18.0
9,024.2
11.3
1,426.7
0.7
20.3
52.7
201.4
Source: Company, MOFSL
Investment in securities market are subject to market risks. Read all the related documents carefully before investing
5 September 2024
8
 Motilal Oswal Financial Services
Sector Update | Financials
Explanation of Investment Rating
Investment Rating
BUY
SELL
NEUTRAL
UNDER REVIEW
NOT RATED
Expected return (over 12-month)
>=15%
< - 10%
< - 10 % to 15%
Rating may undergo a change
We have forward looking estimates for the stock but we refrain from assigning recommendation
-
-
-
-
-
-
*In case the recommendation given by the Research Analyst is inconsistent with the investment rating legend for a continuous period of 30 days, the Research Analyst shall be within following 30 days take
appropriate measures to make the recommendation consistent with the investment rating legend.
Disclosures
The following Disclosures are being made in compliance with the SEBI Research Analyst Regulations 2014 (herein after referred to as the Regulations).
Motilal Oswal Financial Services Ltd. (MOFSL) is a SEBI Registered Research Analyst having registration no. INH000000412. MOFSL, the Research Entity (RE) as defined in the Regulations, is engaged in
the business of providing Stock broking services, Depository participant services & distribution of various financial products. MOFSL is a listed public company, the details in respect of which are available on
www.motilaloswal.com. MOFSL (erstwhile Motilal Oswal Securities Limited - MOSL) is registered with the Securities & Exchange Board of India (SEBI) and is a registered Trading Member with National Stock
Exchange of India Ltd. (NSE) and Bombay Stock Exchange Limited (BSE), Multi Commodity Exchange of India Limited (MCX) and National Commodity & Derivatives Exchange Limited (NCDEX) for its stock
broking activities & is Depository participant with Central Depository Services Limited (CDSL) National Securities Depository Limited (NSDL),NERL, COMRIS and CCRL and is member of Association of
Mutual Funds of India (AMFI) for distribution of financial products and Insurance Regulatory & Development Authority of India (IRDA) as Corporate Agent for insurance products. Details of associate entities
of Motilal Oswal Financial Services Limited are available on the website at http://onlinereports.motilaloswal.com/Dormant/documents/List%20of%20Associate%20companies.pdf
MOFSL and its associate company(ies), their directors and Research Analyst and their relatives may; (a) from time to time, have a long or short position in, act as principal in, and buy or sell the securities or
derivatives thereof of companies mentioned herein. (b) be engaged in any other transaction involving such securities and earn brokerage or other compensation or act as a market maker in the financial
instruments of the company(ies) discussed herein or act as an advisor or lender/borrower to such company(ies) or may have any other potential conflict of interests with respect to any recommendation and
other related information and opinions.; however the same shall have no bearing whatsoever on the specific recommendations made by the analyst(s), as the recommendations made by the analyst(s) are
completely independent of the views of the associates of MOFSL even though there might exist an inherent conflict of interest in some of the stocks mentioned in the research report.
MOFSL and / or its affiliates do and seek to do business including investment banking with companies covered in its research reports. As a result, the recipients of this report should be aware that MOFSL
may have a potential conflict of interest that may affect the objectivity of this report. Compensation of Research Analysts is not based on any specific merchant banking, investment banking or brokerage
service
transactions.
Details
of
pending
Enquiry
Proceedings
of
Motilal
Oswal
Financial
Services
Limited
are
available
on
the
website
at
https://galaxy.motilaloswal.com/ResearchAnalyst/PublishViewLitigation.aspx
A graph of daily closing prices of securities is available at www.nseindia.com, www.bseindia.com. Research Analyst views on Subject Company may vary based on Fundamental research and Technical
Research. Proprietary trading desk of MOFSL or its associates maintains arm’s length distance with Research Team as all the activities are segregated from MOFSL research activity and therefore it can have
an independent view with regards to Subject Company for which Research Team have expressed their views.
Regional Disclosures (outside India)
This report is not directed or intended for distribution to or use by any person or entity resident in a state, country or any jurisdiction, where such distribution, publication, availability or use would be contrary
to law, regulation or which would subject MOFSL & its group companies to registration or licensing requirements within such jurisdictions.
For Hong Kong:
This report is distributed in Hong Kong by Motilal Oswal capital Markets (Hong Kong) Private Limited, a licensed corporation (CE AYY-301) licensed and regulated by the Hong Kong Securities and Futures
Commission (SFC) pursuant to the Securities and Futures Ordinance (Chapter 571 of the Laws of Hong Kong) “SFO”. As per SEBI (Research Analyst Regulations) 2014 Motilal Oswal Securities (SEBI Reg.
No. INH000000412) has an agreement with Motilal Oswal capital Markets (Hong Kong) Private Limited for distribution of research report in Hong Kong. This report is intended for distribution only to “Professional
Investors” as defined in Part I of Schedule 1 to SFO. Any investment or investment activity to which this document relates is only available to professional investor and will be engaged only with professional
investors.” Nothing here is an offer or solicitation of these securities, products and services in any jurisdiction where their offer or sale is not qualified or exempt from registration. The Indian Analyst(s) who
compile this report is/are not located in Hong Kong & are not conducting Research Analysis in Hong Kong.
For U.S.
Motilal Oswal Financial Services Limited (MOFSL) is not a registered broker - dealer under the U.S. Securities Exchange Act of 1934, as amended (the"1934 act") and under applicable state laws in the United
States. In addition MOFSL is not a registered investment adviser under the U.S. Investment Advisers Act of 1940, as amended (the "Advisers Act" and together with the 1934 Act, the "Acts), and under
applicable state laws in the United States. Accordingly, in the absence of specific exemption under the Acts, any brokerage and investment services provided by MOFSL, including the products and services
described herein are not available to or intended for U.S. persons. This report is intended for distribution only to "Major Institutional Investors" as defined by Rule 15a-6(b)(4) of the Exchange Act and
interpretations thereof by SEC (henceforth referred to as "major institutional investors"). This document must not be acted on or relied on by persons who are not major institutional investors. Any investment
or investment activity to which this document relates is only available to major institutional investors and will be engaged in only with major institutional investors. In reliance on the exemption from registration
provided by Rule 15a-6 of the U.S. Securities Exchange Act of 1934, as amended (the "Exchange Act") and interpretations thereof by the U.S. Securities and Exchange Commission ("SEC") in order to conduct
business with Institutional Investors based in the U.S., MOFSL has entered into a chaperoning agreement with a U.S. registered broker-dealer, Motilal Oswal Securities International Private Limited. ("MOSIPL").
Any business interaction pursuant to this report will have to be executed within the provisions of this chaperoning agreement.
The Research Analysts contributing to the report may not be registered /qualified as research analyst with FINRA. Such research analyst may not be associated persons of the U.S. registered broker-dealer,
MOSIPL, and therefore, may not be subject to NASD rule 2711 and NYSE Rule 472 restrictions on communication with a subject company, public appearances and trading securities held by a research
analyst account.
For Singapore
In Singapore, this report is being distributed by Motilal Oswal Capital Markets (Singapore) Pte. Ltd. (“MOCMSPL”) (UEN 201129401Z), which is a holder of a capital markets services license and an exempt
financial adviser in Singapore.This report is distributed solely to persons who (a) qualify as “institutional investors” as defined in section 4A(1)(c) of the Securities and Futures Act of Singapore (“SFA”) or (b)
are considered "accredited investors" as defined in section 2(1) of the Financial Advisers Regulations of Singapore read with section 4A(1)(a) of the SFA. Accordingly, if a recipient is neither an “institutional
investor” nor an “accredited investor”, they must immediately discontinue any use of this Report and inform MOCMSPL .
In respect of any matter arising from or in connection with the research you could contact the following representatives of MOCMSPL. In case of grievances for any of the services rendered by MOCMSPL
write to grievances@motilaloswal.com.
Nainesh Rajani
Email: nainesh.rajani@motilaloswal.com
Contact: (+65) 8328 0276
.
Specific Disclosures
1 MOFSL, Research Analyst and/or his relatives does not have financial interest in the subject company, as they do not have equity holdings in the subject company.
2 MOFSL, Research Analyst and/or his relatives do not have actual/beneficial ownership of 1% or more securities in the subject company
3 MOFSL, Research Analyst and/or his relatives have not received compensation/other benefits from the subject company in the past 12 months
4 MOFSL, Research Analyst and/or his relatives do not have material conflict of interest in the subject company at the time of publication of research report
5 Research Analyst has not served as director/officer/employee in the subject company
6 MOFSL has not acted as a manager or co-manager of public offering of securities of the subject company in past 12 months
7 MOFSL has not received compensation for investment banking/ merchant banking/brokerage services from the subject company in the past 12 months
8 MOFSL has not received compensation for other than investment banking/merchant banking/brokerage services from the subject company in the past 12 months
9 MOFSL has not received any compensation or other benefits from third party in connection with the research report
10 MOFSL has not engaged in market making activity for the subject company
********************************************************************************************************************************
The associates of MOFSL may have:
financial interest in the subject company
actual/beneficial ownership of 1% or more securities in the subject company at the end of the month immediately preceding the date of publication of the Research Report or date of the public appearance.
received compensation/other benefits from the subject company in the past 12 months
any other potential conflict of interests with respect to any recommendation and other related information and opinions.; however the same shall have no bearing whatsoever on the specific recommendations
made by the analyst(s), as the recommendations made by the analyst(s) are completely independent of the views of the associates of MOFSL even though there might exist an inherent conflict of interest in
some of the stocks mentioned in the research report.
acted as a manager or co-manager of public offering of securities of the subject company in past 12 months
be engaged in any other transaction involving such securities and earn brokerage or other compensation or act as a market maker in the financial instruments of the company(ies) discussed herein or act as
an advisor or lender/borrower to such company(ies)
5 September 2024
9
 Motilal Oswal Financial Services
Sector Update | Financials
-
-
received compensation from the subject company in the past 12 months for investment banking / merchant banking / brokerage services or from other than said services.
Served subject company as its clients during twelve months preceding the date of distribution of the research report.
The associates of MOFSL has not received any compensation or other benefits from third party in connection with the research report
Above disclosures include beneficial holdings lying in demat account of MOFSL which are opened for proprietary investments only. While calculating beneficial holdings, It does not consider demat accounts
which are opened in name of MOFSL for other purposes (i.e holding client securities, collaterals, error trades etc.). MOFSL also earns DP income from clients which are not considered in above disclosures.
Analyst Certification
The views expressed in this research report accurately reflect the personal views of the analyst(s) about the subject securities or issues, and no part of the compensation of the research analyst(s) was, is, or
will be directly or indirectly related to the specific recommendations and views expressed by research analyst(s) in this report.
Terms & Conditions:
This report has been prepared by MOFSL and is meant for sole use by the recipient and not for circulation. The report and information contained herein is strictly confidential and may not be altered in any
way, transmitted to, copied or distributed, in part or in whole, to any other person or to the media or reproduced in any form, without prior written consent of MOFSL. The report is based on the facts, figures
and information that are considered true, correct, reliable and accurate. The intent of this report is not recommendatory in nature. The information is obtained from publicly available media or other sources
believed to be reliable. Such information has not been independently verified and no guaranty, representation of warranty, express or implied, is made as to its accuracy, completeness or correctness. All such
information and opinions are subject to change without notice. The report is prepared solely for informational purpose and does not constitute an offer document or solicitation of offer to buy or sell or subscribe
for securities or other financial instruments for the clients. Though disseminated to all the customers simultaneously, not all customers may receive this report at the same time. MOFSL will not treat recipients
as customers by virtue of their receiving this report.
Disclaimer:
The report and information contained herein is strictly confidential and meant solely for the selected recipient and may not be altered in any way, transmitted to, copied or distributed, in part or in whole, to any
other person or to the media or reproduced in any form, without prior written consent. This report and information herein is solely for informational purpose and may not be used or considered as an offer
document or solicitation of offer to buy or sell or subscribe for securities or other financial instruments. Nothing in this report constitutes investment, legal, accounting and tax advice or a representation that
any investment or strategy is suitable or appropriate to your specific circumstances. The securities discussed and opinions expressed in this report may not be suitable for all investors, who must make their
own investment decisions, based on their own investment objectives, financial positions and needs of specific recipient. This may not be taken in substitution for the exercise of independent judgment by any
recipient. Each recipient of this document should make such investigations as it deems necessary to arrive at an independent evaluation of an investment in the securities of companies referred to in this
document (including the merits and risks involved), and should consult its own advisors to determine the merits and risks of such an investment. The investment discussed or views expressed may not be
suitable for all investors. Certain transactions -including those involving futures, options, another derivative products as well as non-investment grade securities - involve substantial risk and are not suitable
for all investors. No representation or warranty, express or implied, is made as to the accuracy, completeness or fairness of the information and opinions contained in this document. The Disclosures of Interest
Statement incorporated in this document is provided solely to enhance the transparency and should not be treated as endorsement of the views expressed in the report. This information is subject to change
without any prior notice. The Company reserves the right to make modifications and alternations to this statement as may be required from time to time without any prior approval. MOFSL, its associates, their
directors and the employees may from time to time, effect or have effected an own account transaction in, or deal as principal or agent in or for the securities mentioned in this document. They may perform
or seek to perform investment banking or other services for, or solicit investment banking or other business from, any company referred to in this report. Each of these entities functions as a separate, distinct
and independent of each other. The recipient should take this into account before interpreting the document. This report has been prepared on the basis of information that is already available in publicly
accessible media or developed through analysis of MOFSL. The views expressed are those of the analyst, and the Company may or may not subscribe to all the views expressed therein. This document is
being supplied to you solely for your information and may not be reproduced, redistributed or passed on, directly or indirectly, to any other person or published, copied, in whole or in part, for any purpose. This
report is not directed or intended for distribution to, or use by, any person or entity who is a citizen or resident of or located in any locality, state, country or other jurisdiction, where such distribution, publication,
availability or use would be contrary to law, regulation or which would subject MOFSL to any registration or licensing requirement within such jurisdiction. The securities described herein may or may not be
eligible for sale in all jurisdictions or to certain category of investors. Persons in whose possession this document may come are required to inform themselves of and to observe such restriction. Neither the
Firm, not its directors, employees, agents or representatives shall be liable for any damages whether direct or indirect, incidental, special or consequential including lost revenue or lost profits that may arise
from or in connection with the use of the information. The person accessing this information specifically agrees to exempt MOFSL or any of its affiliates or employees from, any and all responsibility/liability
arising from such misuse and agrees not to hold MOFSL or any of its affiliates or employees responsible for any such misuse and further agrees to hold MOFSL or any of its affiliates or employees free and
harmless from all losses, costs, damages, expenses that may be suffered by the person accessing this information due to any errors and delays.
This report is meant for the clients of Motilal Oswal only.
Investment in securities market are subject to market risks. Read all the related documents carefully before investing.
Registration granted by SEBI and certification from NISM in no way guarantee performance of the intermediary or provide any assurance of returns to investors.
Registered Office Address: Motilal Oswal Tower, Rahimtullah Sayani Road, Opposite Parel ST Depot, Prabhadevi, Mumbai-400025; Tel No.: 022 - 71934200 / 71934263; www.motilaloswal.com.
Correspondence Address: Palm Spring Centre, 2nd Floor, Palm Court Complex, New Link Road, Malad (West), Mumbai- 400 064. Tel No: 022 71881000. Details of Compliance Officer: Neeraj Agarwal,
Email Id: na@motilaloswal.com, Contact No.:022-40548085.
Grievance Redressal Cell:
Registration details of group entities.: Motilal Oswal Financial Services Ltd. (MOFSL): INZ000158836 (BSE/NSE/MCX/NCDEX); CDSL and NSDL: IN-DP-16-2015; Research Analyst: INH000000412 . AMFI:
ARN .: 146822. IRDA Corporate Agent – CA0579. Motilal Oswal Financial Services Ltd. is a distributor of Mutual Funds, PMS, Fixed Deposit, Insurance, Bond, NCDs and IPO products.
Customer having any query/feedback/ clarification may write to query@motilaloswal.com. In case of grievances for any of the services rendered by Motilal Oswal Financial Services Limited (MOFSL) write to
grievances@motilaloswal.com, for DP to dpgrievances@motilaloswal.com.
Contact Person
Ms. Hemangi Date
Ms. Kumud Upadhyay
Mr. Ajay Menon
Contact No.
022 40548000 / 022 67490600
022 40548082
022 40548083
Email ID
query@motilaloswal.com
servicehead@motilaloswal.com
am@motilaloswal.com
5 September 2024
10