Thematic | September 2024
fy
Utilities
EmPOWERING INDIA!
Abhishek Nigam – Research Analyst
(Abhishek.Nigam@MotilalOswal.com)
Research Analyst: Preksha Daga
(Preksha.Daga@motilaloswal.com)
|
Rishabh Daga
(Rishabh.Daga@motilaloswal.com)
Investors are advised to refer through important disclosures made at the last page of the Research Report.
Motilal Oswal research is available on www.motilaloswal.com/Institutional-Equities, Bloomberg, Thomson Reuters, Factset and S&P Capital.
 Motilal Oswal Financial Services
Power Utilities: EmPOWERING INDIA!
Power Utilities: Thematic
01
Page 2: Summary
02
Page 8: Story in charts
03
Page 12: Empowering India!
04
Page 21: India plans to raise
installed power capacity to
900 GW
05
Page 23: Strong, pro-active policy
support key to sector turnaround
06
Page 27: Capacity growth, robust
balance sheet drive 13% PAT
CAGR in FY24-27
07
Page 29: Key risks
08
Page 30/32: Valuation and view/
Valuation methodology across stocks
09
Page 36: Companies Section
NTPC
PG37
Power Grid
PG55
Tata Power
PG73
JSW Energy
PG90
Indian Energy Exchange
PG105
September 2024
2
 Motilal Oswal Financial Services
Power Utilities: Thematic
Power Utilities
Em
POWERING
I
NDIA
!
A colossal multi-decade investment opportunity beckons
Valuation metrics
Mcap TP Upside
(INRb) (INR) (%)
NTPC
4,111 450 10.0
Power Grid Corp 3,172 425 24.0
Tata Power Co
1,417 530 19.0
JSW Energy Ltd
1,283 917 16.0
IEX
207 226 -5.0
Company
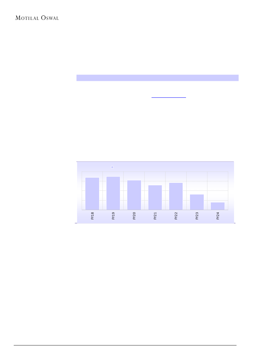
India total installed capacity (GW)
900
610
442
Jun'24
Mar'27
Mar'32
Source: CEA, MOFSL
Investment opportunity of INR40t and more:
We estimate an investment opportunity
of INR40t (INR34t in firm capex + INR8t in optionality) in the Indian power sector over
the next decade, with generation, transmission and smart metering accounting for
86%/10%/4% of this spending. The triple tailwinds driving this mammoth investment
are: 1) power demand accelerating at a higher 7% CAGR (5% previously), 2) the need
to upgrade/replace old power infrastructure as electricity mix undergoes a shift (more
RE all-day), 3) the transition to cleaner sources of energy given India’s target of 500GW
in RE capacity by 2030.
Power demand growth accelerating at 7% CAGR (vs. 5% earlier):
Across a range of
metrics, India’s consumption trends today mirror China’s in the 2000-03 period. In the
following two decades, China’s power consumption compounded at ~8% (real GDP
growth ~8.7% CAGR). With a robust GDP growth outlook for India and the emergence
of new demand drivers (electric vehicles, data centers, electrification of energy
demand), we believe power consumption in India can compound at 7%+ over the next
decade (currently 8-9%).
By 2035, EVs and data centers to drive one-third of power demand growth:
Electric
vehicles (EVs) and data centers account for a negligible share of power demand in
India today. Yet, by 2035, we estimate one-third of power demand growth might be
attributable to these two sectors. We assume data center capacity in India to
compound at 30% over the next decade and assume 60%/20%/20% penetration (in
new vehicle sales) for two-wheelers (2Ws), PVs and CVs by the end of this 10-year
period.
RE generation/transmission preferred over thermal/exchange space:
We like RE
generation (short gestation, long-term visibility of earnings) over thermal (80GW
opportunity + assured return but longer gestation & coal price volatility). Lukewarm
participation by the private sector in thermal means the risk of execution slippages is
higher. We also like the transmission segment, in which Power Grid’s INR2t capex
opportunity for the industry may expand. While energy exchanges should benefit from
the expansion of generation and transmission infra and the launch of new products,
the regulatory risk related to market coupling remains tough to predict.
Initiate with BUY on Power Grid, JSW Energy, Tata Power; Neutral on NTPC, IEX:
Given
this colossal multi-decade investment opportunity, we initiate on Power Grid (TP:
INR425), JSW Energy (TP: INR917) and Tata Power (TP: INR530) with a BUY rating and
NTPC (TP: INR450) and IEX (TP: INR226) with a Neutral rating.
Key risks: 1) delays in start-up of new projects; transmission connectivity in some
states (e.g. Rajasthan) already clouding RE pipeline outlook, 2) lower-than-expected
profitability in RE projects, 3) rising competitive intensity in transmission (TBCB)/plain
vanilla solar/wind generation projects, 4) price volatility in key commodities and
components, 5) insufficient domestic solar module capacity, 6) risk of market coupling
for dominant power exchanges.
India’s power consumption set to transition to a higher orbit
India’s current primary energy and electricity consumption trends closely mirror
those of China in the early 2000s. India’s primary energy consumption in CY23
was 48 EJ (vs. China’s 49 EJ in 2000), while per capita electricity consumption in
2023 stood at 1.4 MWh (vs. China’s 1.3 MWh in 2002).
3
September 2024
 Motilal Oswal Financial Services
Power Utilities: Thematic
In the 2000-20 period, China’s power demand increased at a 9.4% CAGR as real
GDP growth and per capita income compounded at 8.7%/8.1%. Historically,
power demand in China/India has grown by 1.1x/0.9x higher than their real GDP
growth. In the last three years, though, the multiplier for India averaged 1.2x.
As such, like China, we believe power consumption in India is at an inflection
point given the expectation for India to grow by 6.5-7% over the next decade,
and can comfortably compound at 7-7.5% over the next 10 years (vs. 5% CAGR
in the past two decades).
Electrification of energy key demand driver globally
Globally,
electrification of energy
has been a key driver of power demand. The
International Energy Agency (IEA) expects electrification globally to rise from
18% in 2015 to 20% in 2023. Further, to meet the net zero emission status in
2050, the share of electricity in final energy consumption needs to rise to 30%
by 2030.
Electrification is already a well-entrenched trend for residential and office
buildings and is fast catching up in sectors such as transport. By 2030, EVs could
account for ~2-3% of global electricity demand and a
significant 10% of global
power demand growth.
In India, electrification is most evident in the 2W space, which would see EVs
account for 50% of total sales by FY28, as per Ola Electric. Rising per capita
income in India is driving higher household ownership of electrical appliances,
e.g., air conditioners; another example of electrification of space
cooling/heating (room AC sales in India saw 6% CAGR in FY15-24).
In a decade, we estimate EVs may account for ~15% of India power demand
growth with 2Ws/PVs/CVs accounting for 9%/2%/4% of demand growth.
5G, Artificial Intelligence emerging as demand drivers for power
The most advanced technologies globally run on electricity. As such, every time
consumers around the world undergo a technological upgrade, power demand
witnesses a leg up. For example, a simple Google search needs 0.3Wh of power,
while a Chat GPT query consumes 10x the amount of power of a Google search.
Upgrade to 5G networks, rising use-cases for artificial intelligence (AI) and the
Internet of Things (IoT) are thus future drivers for power demand and the
proliferation of data centers across the world.
In the US, data centers already
account for ~30% of total power demand growth.
Based on data from IEA, we
estimate data centers, crypto-currency and AI together can account for 10-15%
of global demand growth in the coming years.
While India has a small data center footprint for now (capacity: ~1GW), data
center capacity is expected to compound in high double digits in the coming
years.
By 2035, we estimate data centers to account for 15% of Indian power
demand growth.
Robust GDP growth, electrification, technology trends converging in India
In developed countries and even in China, the ownership of household
appliances, and hence electrification of energy demand, is already relatively
high. Much of the developing/under-developed world lags in technological
upgrades (such as 5G/AI), which are now common in America/Europe.
4
September 2024
 Motilal Oswal Financial Services
Power Utilities: Thematic
India, instead, is a unique case where burgeoning real GDP/per capita growth,
technology upgrades and electrification are all strong under-currents and
could continue to drive power demand higher for years to come.
India’s real
GDP has grown at 5.9% CAGR in the last 10 years and is expected to grow at 6.5-
7% in the coming decade. Further, the electrification of transport will likely be a
demand driver for many years to come (metro rail network to expand to
~2,000km by in the next few years, boosting EV penetration). While India’s data
center capacity currently is below 900 MW, it could rise to 11GW in 10 years
(assuming 30% CAGR).
The convergence of a robust economic growth outlook, electrification of energy
demand and technology as a demand driver should create an investment
opportunity worth INR40t in the power sector. Note that our estimate is 33%
higher than the INR30t estimate cited by Union Minister for New and
Renewable Energy recently (link). We estimate generation/transmission/smart
metering to account for 86%/10%/4% of this colossal opportunity. This estimate
includes RE power capacity required for green hydrogen production and the
need to upgrade existing transmission infrastructure.
This massive investment opportunity is premised on India’s vision to increase its
installed power capacity to 900GW in FY32 from 442GW in FY24, with solar and
wind together accounting for ~53% of total installed capacity, even as thermal's
share is expected to fall to 29%.
The strong turnaround in the financial health and outlook of the power sector
would not have been possible without pro-active policymaking. The central
government has undertaken a slew of steps in the last few years to turn around
the operational and financial health of the sector. The implementation of the
late payment surcharge (LPS) in 2022 has helped reduce total outstanding dues
of states from INR1,397b as of Jun'22 to INR500b as of Jan’24 (link). One of the
key priorities of the Power Ministry has been the reduction of India’s AT&C
losses, which decreased from 22% in FY21 to 15% in FY23 (link). The government
has provided funding support in areas such as distribution infrastructure and
battery storage while continuing to encourage investment in new areas such as
offshore wind and nuclear energy.
We believe that expectations of strong earnings growth, coupled with high
valuations, create the potential for minor earnings slippages to escalate to
substantial de-rating. We estimate a 13% earnings CAGR for our coverage
companies during FY24-27.
Key risks: 1) delays in the start-up of new projects; transmission connectivity
issues in states such as Rajasthan has already started to have some impact, 2)
lower-than-expected profitability in RE projects, 3) rising competitive intensity
especially in transmission (TBCB)/plain vanilla solar/wind generation projects,
4) price volatility for key commodities and components, 5) insufficient
domestic solar module capacity, 6) risk of market coupling for dominant
power exchanges such as IEX.
INR40t opportunity in India’s power sector
Proactive regulatory support has been a solid tailwind
Rising competition, earnings slippages are key risks
September 2024
5
 Motilal Oswal Financial Services
Power Utilities: Thematic
Prefer RE generation/transmission given robust returns/cash flow visibility
Within the power sector, we prefer segments with a short gestation period, high
visibility of long-term earnings and cash flows, and low risk of an earnings miss
over FY24-27. As such, we like the RE generation segment, especially solar/wind
over thermal/hydro.
We also like the strong capex outlook for transmission, although we note that
the competitive intensity in the segment has increased significantly and TBCB
(tariff-based competitive bidding) bids now yield an IRR of 11-12% (vs. 15% in
regulated tariff mechanism-based projects, but this is less frequent). Thermal
and pumped storage projects are attractive opportunities (IRR: 15-20%) but
have long gestation periods (6-8 years) and are more prone to risk relating to
regulatory approvals and land acquisition.
We are constructive on energy exchanges given the strong installed capacity
growth outlook, rising power demand, and launch of new products, which are
driving improvements in penetration. However, the lack of clarity in government
policy with respect to market coupling remains a risk for individual companies.
Hence, we have a Neutral rating on IEX.
PWGR, JSWE, TPWR are top picks; Neutral on NTPC, IEX
We initiate coverage on the Indian power sector with a BUY rating on Power
Grid (PWGR), JSW Energy (JSWE), and Tata Power (TPWR) and Neutral rating
on National Thermal Power Corporation of India (NTPC), and India Energy
Exchange (IEX).
PWGR – The bellwether transmission play with ~3.5% FY27E dividend yield:
We like PWGR as a bellwether play on the INR2t transmission opportunity with
limited competition in the more complex HVDC space, where it already has an
established track record. Even at 17x FY27PE and 9x EV/EBITDA, the implied
dividend yield is ~3.5%, which we believe is attractive.
JSWE – Prudence, execution, growth:
JSWE’s capacity is set to grow 2.4x over
the next 2.5 years and we see a strong likelihood of the company achieving the
guided 20GW in installed capacity before 2030. JSWE’s strong execution, ability
to turnaround tough assets (Mytrah/Ind-Barath), robust balance sheet and
prudent capital allocation for growth are key differentiators vs. peers.
TPWR – Diversified operations, scalability key growth drivers:
TPWR is
undergoing a multi-year business transformation, with 45% of capex over FY23-
27 to be allocated to RE projects. This is instrumental in increasing the share of
core earnings from 40% to 90% over FY23-27. At 13x EV/EBITDA (LT avg: 10x),
we believe there is scope for further re-rating given lower earnings volatility (vs.
history) and strong 14% PAT CAGR in FY24-27.
NTPC – NGEL IPO may offer limited upside; holdco. discount hard to predict:
NTPC’s re-rating in the last two years is attributable to a large extent to its
burgeoning RE business, which is on a path to IPO in 1HCY25. We value the RE
business at INR880b and believe the upside could be largely priced in. Further,
we believe the holding company discount after listing is hard to predict and
investors may prefer investing in NGEL over NTPC for RE exposure. Lastly,
although we are cautiously optimistic on thermal, NTPC, excluding NGEL, is
trading at FY27E PB of 1.6x, which we view as reasonable (and not inexpensive).
NTPC’s FY27E dividend yield at 2.6% compares poorly with PWGR’s ~3.5%.
September 2024
6
 Motilal Oswal Financial Services
Power Utilities: Thematic
IEX – Solid outlook but market coupling a risk:
IEX is a natural beneficiary of
rising power consumption, growth in power infrastructure, launch of new
products such as long-dated contracts, and rising FDRE projects. We estimate a
CAGR of 17%/15% in IEX's volumes/PAT during FY24-27 amid falling power
prices, favorable base effect and strong market share. We believe the launch of
long-dated contracts could add 4% to volumes in the initial year. However, the
potential implementation of market coupling is a key regulatory overhang that
could dampen IEX's growth prospects given its dominant market share.
Exhibit 1:
Domestic peer comparison
Company Name
NTPC
Power Grid Corp
Tata Power Co
JSW Energy
IEX
ROE (%)
MCap
TP
Upside/
Rating
(INRb)
(INR) (Downside) FY25E FY26E
4,111 Neutral 450
3,172 Buy 425
1,417 Buy 530
1,283 Buy 917
207 Neutral 226
10%
24%
19%
16%
-5%
13.6
19.1
14.7
13.3
35.3
14.2
19.1
15.8
13.8
35.3
EV/EBITDA (x)
FY25E
11.4
10.2
14.4
19.7
46.7
FY26E
10.5
9.6
13.1
17.5
38.7
PE (x)
FY25E
18.1
18.6
28.3
43.7
56.2
FY26E
16.0
17.8
23.8
37.6
47.1
PB (x)
FY25E
2.4
3.5
4.0
5.5
18.2
FY26E
2.2
3.3
3.6
4.9
15.3
Dividend Yield (x)
FY25E
2.4
3.4
0.6
0.3
0.9
FY26E
2.6
3.5
0.7
0.4
1.1
Source: Bloomberg, MOFSL
September 2024
7
 Motilal Oswal Financial Services
Power Utilities: Thematic
STORY IN CHARTS
EVs, Data centers to power 1/3 of electricity demand growth Data centers to account for ~15% of power consumption
in 10 years
growth in a decade
FY35 Power Demand Growth (in tWh)
Particulars
India's CY34 data center power consumption
India's data center power consumption growth
in CY35 (at 20% growth YoY)
India's CY34 power consumption (at 7% CAGR)
India's power consumption growth in CY35 (at
5% growth YoY)
India's CY34 total power consumption
attributable to data centers
India's CY35 power consumption growth
attributable to data centers
tWh
tWh
tWh
tWh
%
%
Unit
120.8
24.2
3,190.7
159.5
3.8%
15.1%
rd
15%
9%
2%
4%
68%
2%
Others
Data Centre's
EV-2 Wheelers
EV-4 Wheelers PVs
EV-4 Wheelers CVs
EV-3 Wheelers
Source: MOFSL
Source: MOFSL
Electrification of energy demand globally to rise to 30% by
2030
30%
EVs to account for ~17% of power consumption growth in
FY35
EV-2 Wheelers FY35 total power consumption
EV-4 Wheelers PVs FY35 total power consumption
EV-4 Wheelers CVs FY35 total power consumption
14.1
3.2
5.8
20%
18%
EV-3 Wheelers FY35 total power consumption
4.1
India's power consumption growth in CY35
159.5
(at 5% growth YoY)
India's FY35 power consumption growth attributable to EV's 17.1%
Source: MOFSL
2015
2023
2030
Source: IEA, MOFSL
India power demand growth
Total Generation including RE (BU)
% growth
India peak demand growth
Peak Demand (GW)
243
177 184
190
203
216
119 122
130 135 136
148 153
160 164
Source: CEA, MOFSL
Source: CEA, MOFSL
September 2024
8
 Motilal Oswal Financial Services
Power Utilities: Thematic
STORY IN CHARTS
India installed capacity (GW)
Jun'24
Mar'27
Mar'32
365
235
260
186
122
25
Coal & Lignite
25
Gas
25
47
60
89
47
73
85
5
Large Hydro (incl. PSP)
Wind
Solar
5
5
8
13
Nuclear
Source: CEA, MOFSL
20
218
Small Hydro Power
Renewable mix in Mar’24 (GW)
81.8
45.9
10.4
AT&C losses have been on a declining trend
AT&C LOSSES (%)
46.9
5.0
23.7
21.5
21.6
20.7
21.2
0.6
16.2
15.4
FY23
FY16
Source: CEA, MOFSL
FY17
FY19
FY20
FY21
FY22
Source: CEA, MOFSL
India Vision
FY24
FY32
STRONG DEMAND
~8-9%
CAGR
442
GW
900
GW
13%
EARNINGS CAGR
FAVOURABLE POLICY STANCE
September 2024
9
 Motilal Oswal Financial Services
Power Utilities: Thematic
Rising competition, earnings slippages are key risks
We believe that
expectations of
strong earnings
growth, coupled
with high
valuations, create
the potential for
minor earnings
slippages to
escalate to
substantial
de-rating.
B
A
Lower-than-
expected
profitability in
RE projects
Delays in the
start-up of
new projects
Rising
competitive
intensity
D
C
Price volatility
for key
commodities
and
components
Insufficient
domestic solar
module
capacity
F
E
Risk of market
coupling for
dominant
power
exchanges
such as IEX
Investment argument
NTPC
A
FY24-27 EPS CAGR
at 9%; pipeline
still expanding
for FY27 and
beyond
B
Low funding
cost vs. peers;
thermal project
economics
remain
attractive
C
NGEL listing can
be a key
catalyst
POWER GRID
Strong
visibility of EPS
and OCF
growth;
dominant
market share
A
Capex cycle
is just
picking up
now
B
September 2024
10
 Motilal Oswal Financial Services
Power Utilities: Thematic
TATA POWER
A
Aims to double
profits by 2027;
execution will be
key
B
We like integrated
business model,
strong execution
C
Offers exposure to
several large
opportunities
JSW ENERGY
Ambitious growth
plans to drive 25%
EPS CAGR during
FY24-27
Well-funded balance
sheet and strong
visibility on cash
flows
Strong track record of
turning around assets
INDIAN ENERGY EXCHANGE
Regulatory
overhang a key
obstacle to
growth
outlook
Recent volume
trends
have been
supportive
IGX provides
medium- to
long-term
optionality
September 2024
11
 Motilal Oswal Financial Services
Power Utilities: Thematic
Empowering India!
India's energy consumption mirrors China’s during 2000-2003
India’s current primary
energy and electricity
consumption trends closely
mirror those of China in the
early 2000s. India’s primary
energy consumption in
CY23 was 48 EJ (vs. China’s
49 EJ in 2000), while per
capita electricity
consumption in 2023 stood
at 1.4 MWh (vs. China’s 1.3
MWh in 2002).
India’s current primary energy and electricity consumption trends closely mirror
those of China in the early 2000s. India’s primary energy consumption in CY23
was 48 EJ (vs. China’s 49 EJ in 2000), while per capita electricity consumption in
2023 stood at 1.4 MWh (vs. China’s 1.3 MWh in 2002).
In the 2000-20 period, China’s power demand increased by a 9.4% CAGR as real
GDP growth and per capita income compounded at 8.7%/8.1%. Historically,
power demand has grown in China and India at 1.1x/0.9x real GDP growth rates.
In the last three years, though, the multiplier for India has averaged 1.2x.
Electricity consumption growth had a high 76% correlation with per capita GDP
growth in China over the 2000-22 period. The corresponding statistic for India
for the 2000-22 period was lower at only 49%, though the last 10 years of data
suggests that the correlation for India is higher at 59%.
As per IMF’s Jul’24 update (link), India’s economy is slated to grow at a robust
7% in 2024 and 6.5% in 2025. As per IMF, a robust domestic demand
environment and rising working-age population are key drivers of strong
economic growth. Given a robust economic growth outlook, we believe power
demand can comfortably rise at 7-7.5% CAGR over the next 10 years (vs. 5%
CAGR in the past two decades).
Exhibit 2:
China and India’s aggregate electricity consumption and real GDP growth rates during 2000-23
10,000
7,500
5,000
2,500
0
China electiricty demand (in TWh)
India electricity demand (in TWh)
China GDP
20,000
15,000
10,000
5,000
0
Source: Ember and World Bank, MOFSL
Exhibit 3:
China and India’s power demand to real GDP growth rate multiplier
3.0
2.3
1.5
0.8
0.0
China multiplier
India multiplier
LTA - China multiplier
LTA - India multiplier
Source: Ember and World Bank, MOFSL
September 2024
12
 Motilal Oswal Financial Services
Power Utilities: Thematic
Exhibit 4:
Co-relation between per capita net national income growth rate and real GDP growth rate - China and India
China multiple
1.5
1.0
0.5
0.0
-0.5
India multiple
Source: CEA, MOFSL
China's power consumption grew at 8.8% CAGR over 2000-23
After 2000, China’s power consumption grew at 12%/6% in the next two decades.
In contrast, India’s power consumption rose at ~5% CAGR in the last two decades.
However, recently power consumption growth in India has picked up to 8-9%.
Due to a higher growth rate, China's aggregate electricity consumption, which was
2.7x that of India's in 2000, rose further to 5.8x in 2022. In line with aggregate
electricity consumption, in the 2000-22 period, China's per capita electricity
consumption grew at 8.3% CAGR, while India's languished at 4.2%.
Exhibit 5:
Per capita electricity demand (in MWh)
China per capita electricity demand (in MWh)
7.0
5.3
3.5
1.8
0.0
India per capita electricity demand (in MWh)
6.6
1.4
Source: Ember and World Bank, MOFSL
In the FY21-23 period after
Covid-19, power demand
saw an 8% CAGR.
India’s power demand to grow 8-9% over FY24-27E
During FY17-24, India’s overall power requirement clocked a 5% CAGR to 1,734
billion units (BU). Peak power demand also saw a similar growth rate over FY17-
24. In the FY21-23 period after Covid-19, power demand saw an 8% CAGR.
Key factors driving strong power demand include rising population,
urbanization, low per capita power consumption and a pickup in economic
activity.
India’s per capita power consumption has been low at only ~1,380kwh vs.
~6,630kwh in China. As per a report by NITI Aayog, 31% of India’s population
was urbanized in 2011, which is set to rise to ~50% by 2050. Should India’s GDP
growth continue at ~7% per annum in the next few years, we expect power
demand to continue to grow at 7-9% p.a. in the coming years.
The Central Electricity Authority (CEA) expects total energy consumption to
increase at a 7% CAGR during FY22-27, followed by a 5.8% CAGR during FY27-32.
September 2024
13
 Motilal Oswal Financial Services
Power Utilities: Thematic
Exhibit 6:
India’s power demand growth
Total Generation including RE (BU)
% growth
Source: CEA, MOFSL
Peak power deficit has been expanding again
The overall energy deficit
declined from a high of 87
BU (or 10% of peak
demand) in FY13 to only 5
BU (or ~0.4%) in FY21.
The peak power deficit used to be as high as 15GW (or ~13% of peak demand) in
FY10, which declined to only 1GW (or less than 1%) in the FY19-21 period. This
was mainly attributable to slower demand growth during FY14-21 and a pickup
in power supply, especially during FY14-19.
As a result, the overall energy deficit declined from a high of 87 BU (or 10% of
peak demand) in FY13 to only 5 BU (or ~0.4%) in FY21.
The peak deficit, though, has been rising again for the last two years, and in
FY23, it was as high as 9GW or ~4% of peak demand.
As per Mr. R K Singh, ex- Union Power Minister, peak power demand in India is
set to rise to ~400 GW by 2030 from 216 GW in FY23 (Peak
power demand likely
to cross 400GW by 2030: R K Singh).
While India has been ramping up renewable capacity over the years, peak power
demand often coincides with non-solar hours, thus increasing the requirement for
round-the-clock (RTC) power.
Exhibit 7:
Peak demand growth
Peak Demand (GW)
243
190
203
216
119
122
130
135
136
148
153
160
164
177
184
Source: CEA, MOFSL
Electrification of energy will be a long-term demand driver
Electrification of energy demand means replacing conventional sources of energy
(e.g., fossil fuels for cooking/space heating) with electricity.
IEA expects electrification of energy demand globally to rise from 18% in 2015 to
20% in 2023. To achieve net zero emissions globally by 2050, electrification should
rise further to 30% by 2030, as per IEA estimates.
September 2024
14
 Motilal Oswal Financial Services
Power Utilities: Thematic
Space heating, cooling and
transport are the most basic
use-cases where traditional
methods are being replaced
with electrical ones, not
only in India but also
globally.
Space heating, cooling and transport are the most basic use-cases where
traditional methods are being replaced with electrical ones, not only in India but
also globally.
In India, room AC sales have seen a 5% CAGR from FY20-23. Further, as per capita
income and household ownership of electrical appliances rise in India,
electrification of energy demand should continue to improve in the coming years.
Exhibit 9:
Electrification of energy demand globally to rise to
30% by 2030
13.9
12.1
10.5
30%
Exhibit 8:
Room Air conditioner sales volumes (in m)
3.4 3.9
4.7
5.5
6.5 7.2
8.4
5.2
6.4
20%
18%
2015
Source: Industry, MOFSL
2023
2030
Source: IEA, MOFSL
EVs, metro network driving electrification of transport in India
4W electrification has been
slow but has continued to
pick up pace, helped by
improved affordability, fast
expanding network of
electric chargers and the
launch of new EV models by
automobile companies.
IEA estimates EVs to account for ~2% of global power demand by 2030. While this
looks like a miniscule number for now, note that EV-related demand is growing in
double digits (vs. global power demand growth of ~3.4%). As such,
EVs could
account for ~10% of global power demand growth by 2030.
In India, electrification of the transport sector is most evident in the 2W category,
while progress on 4W electrification has continued at a steady pace. As per Ola
Electric, EVs could account for ~50% of domestic 2W sales volume by FY28.
Despite robust growth in 2W electrification, India will continue to lag countries
like Germany and China, where electric 2W penetration is estimated at ~90%,
highlighting the potential for further electrification in the 2W industry.
In contrast, 4W electrification has been slow but has continued to pick up pace,
helped by improved affordability, fast expanding network of electric chargers and
the launch of new EV models by automobile companies. Olectra, one of the
largest providers of electric buses in India, has seen steady growth in its order
book, with e-bus orders growing 8x in the 2021-23 period.
Orders received
5831
3017
Exhibit 10:
Olectra’s calendar year wise order received in terms of number of e-buses
2625
6
25
124
513
545
754
Source: Olectra, MOFSL
September 2024
15
 Motilal Oswal Financial Services
Power Utilities: Thematic
Besides 2Ws and 4Ws, India’s metro rail network is also undergoing a
transformation currently. From just five cities and 250km, the metro network has
already expanded to over 20 cities and over 900km by 2023. Additionally, metro
lines are under-construction in 25 cities and the network is set to expand to
~2,000km in the next few years. The pace of progress in metro network has also
undergone a monumental shift from an average monthly commissioning of only
0.7km of metro line before May’14 to ~ 6km now.
Exhibit 11:
EVs to account for ~17% of power consumption growth in FY35
Number of 2 Wheelers to be added in FY35
EV penetration rate
Number of EV-2 Wheelers to be added in FY35
Average km travelled per vehicle per day
Number days p.a.
EV-2 Wheelers km travelled p.a. in FY35
EV-2 Wheelers power consumption per km
EV-2 Wheelers total power consumption in FY35
Number of 4-Wheelers passenger vehicles to be added in FY35
EV penetration rate
Number of EV-4 Wheelers to be added in FY35
Average km travelled per vehicle per day
Number days p.a.
EV-4 Wheelers km travelled p.a. in FY35
EV-4 Wheelers power consumption per km
EV-4 Wheelers passenger vehicles total power consumption in FY35
Number of 4-Wheelers commercial vehicles to be added in FY35
EV penetration rate
Number of EV-4 Wheelers to be added in FY35
Average km travelled per vehicle per day
Number days p.a.
EV-4 Wheelers km travelled p.a. in FY35
EV-4 Wheelers power consumption per km
EV-4 Wheelers commercial vehicles total power consumption
Number of 3-Wheelers commercial vehicles to be added in FY35
EV penetration rate
Number of EV-3 Wheelers to be added in FY35
Average km travelled per vehicle per day
Number days p.a.
EV-3 Wheelers km travelled p.a. in FY35
EV-3 Wheelers power consumption per km
EV-3 Wheelers commercial vehicles total power consumption
Total power consumption by EV's in FY35
India's current power consumption
India's CY34 power consumption (at 7% CAGR)
India's power consumption growth in CY35 (at 5% growth YoY)
India's FY35 power consumption growth attributable to EV's
m units
%
m units
km
days
b km
kWh/km
tWh
m units
%
m units
km
days
b km
kWh/km
tWh
m units
%
m units
km
days
b km
kWh/km
tWh
m units
%
m units
km
days
b km
kWh/km
tWh
tWh
tWh
tWh
tWh
%
30.7
60%
18.4
50.0
330.0
304.3
0.05
14.1
7.2
20%
1.4
50.0
330.0
23.8
0.14
3.2
1.7
20%
0.3
200.0
330.0
21.9
0.27
5.8
1.2
70%
0.8
150.0
330.0
41.0
0.10
4.1
27.2
1,622.0
3,190.7
159.5
17.1%
Source: MOFSL
September 2024
16
 Motilal Oswal Financial Services
Power Utilities: Thematic
Every subsequent
technology upgrade
consumes a
disproportionately higher
amount of power. For
example, a simple Google
search requires 0.3Wh of
electricity, while a Chat GPT
query consumes 10x the
power consumption of a
Google search.
Technology transitioning from fringe to mainstream power demand driver
In the next decade, technology could transition from a fringe driver of electricity
consumption growth to a mainstream driver. While lighting and space
heating/cooling have been traditional drivers of power demand, data centers, 5G,
AI and IoT are emerging as new drivers of power demand.
Note that every subsequent technology upgrade consumes a disproportionately
higher amount of power. For example, a simple Google search requires 0.3Wh of
electricity, while a Chat GPT query consumes 10x the power consumption of a
Google search. At 9b queries every day, global power supply will need to rise by
an estimated 11TWh per annum.
Exhibit 12:
India's data center capacity is significantly underpenetrated vs global peers
Internet user (%)
Mobile data (EB/Month)
Data centers (MW per million users)
Data centers capacity (MW )
India
63
26
1
877
China
76
26
4
3,800
USA
92
10
51
15,930
EU
90
17
12
8,300
Source: CareEdge Ratings, MOFSL; *EB:Exabyte
The most obvious source for technology-related power demand is a data center.
There are estimated 8,000 data centers globally, with the US accounting for 33%.
India has ~150 data centers; this number is likely to rise significantly in the coming
years. In a typical data center, computing, cooling and other ancillary IT
infrastructure typically account for 40%/40%/20% of total power demand. In
countries such as the
US, data centers already account for nearly 30% of power
demand growth.
Exhibit 13:
Data center power consumption split among various components (%)
Other ancilliary IT
infrastructure
20%
Computing
40%
Cooling
40%
Source: Company, MOFSL
As of CY23 end, India's data center operational capacity reached 877MW, a
significant increase following the unprecedented demand surge in FY22 driven by
pandemic-induced reliance on digital infrastructure. In the coming years, data
center as a sector is expected to expand at a ~30% CAGR given India’s rising data
consumption and migration of subscribers from 2G/3G to 4G/5G technologies.
While India has the lowest internet user penetration, we have higher mobile data
consumption than China, the US, and European Union. However, data center
capacity per million internet users in India is only 1MW, compared to 4MW per
million users in China, and 51MW per million users in the US.
September 2024
17
 Motilal Oswal Financial Services
Power Utilities: Thematic
Exhibit 14:
Data center capacity in India (in MW)
1950
50
2007
122
2010
207
2014
350
447
565
722
877
2019
2020
2021
2022
2023
2026
Source: CareEdge Ratings, MOFSL
As per JLL Research, the
rapid growth in the data
center industry should be
primarily driven by the rise
in 5G subscriptions as data
usage on smartphones is
expected to see a 16%
CAGR, up from
26GB/month in 2022 to
62GB/month by 2028.
As per JLL Research, the rapid growth in the data center industry should be
primarily driven by the rise in 5G subscriptions as data usage on smartphones is
expected to see a 16% CAGR, up from 26GB/month in 2022 to 62GB/month by
2028. In India, Generative AI is projected to rise at a 28% CAGR from 2023 to
2030, which will significantly boost demand for data centers.
Exhibit 15:
Significant increase in data subscribers in India due to rising affordability and
higher smart phone penetration
Data Subscribers (m)
830
709
400
220
Mar 14
Mar 17
Mar 20
Mar 23
Source: TRAI, MOFSL
Exhibit 16:
5G to hold 65% share of subscriptions in India, Nepal and Bhutan by CY29
5G
LTE (4G)
WCDMA/HSPA - Only(2G)
WCDMA/HSPA (3G)
2023
10%
63%
20%
5%
2029
65%
32%
2%
1%
Source: Ericsson, MOFSL
Data centers, crypto currencies and AI consumed an estimated 460 TWh (2% of
global power demand) globally in 2022 and IEA's estimate for 2026 is 1000 TWh
(~3.3% of global electricity consumption; growing in double digits).
As such, by
2030, all three put together can account for 10-15% of global electricity demand
growth.
18
September 2024
 Motilal Oswal Financial Services
Power Utilities: Thematic
Exhibit 17:
Data centers to account for ~15% of the power consumption growth in CY35
Particulars
India's current data center capacity
India's CY34 data center capacity at (30% CAGR)
Power consumption per 1 GW
India's CY34 data center power consumption
India's data center power consumption growth in CY35 (at 20% growth YoY)
India's current power consumption
India's CY34 power consumption (at 7% CAGR)
India's power consumption growth in CY35 (at 5% growth YoY)
India's CY34 total power consumption attributable to data centers
India's CY35 power consumption growth attributable to data centers
GW
GW
tWh
tWh
tWh
tWh
tWh
tWh
%
%
Unit
1.0
13.8
8.8
120.8
24.2
1,622.0
3,190.7
159.5
3.8%
15.1%
Source: MOFSL
We estimate the total
investment opportunity size
at INR40t, higher than the
INR30t estimate cited by
the Union Minister for New
and Renewable Energy
recently (link). We estimate
generation, transmission
and smart metering to
account for 86%/10%/4% of
this opportunity.
We estimate investment opportunity of ~INR40t over the next decade
We estimate the total opportunity size from the power uptrend is INR40t,
higher than the INR30t estimate cited by the Union Minister for New and
Renewable Energy recently (link). We estimate generation, transmission and
smart metering to account for 86%/10%/4% of this opportunity.
There are three drivers of the power investment opportunity: 1) the need to
expand power infrastructure for generation and transmission, 2) the transition
from a thermal-heavy infrastructure to a renewable-ready infrastructure, 3) the
upgrade of existing infrastructure to meet rising demand.
This massive investment opportunity in generation is premised upon India’s
vision to increase its installed power capacity to 900GW in FY32 from 442GW in
FY24, with solar and wind together accounting for ~53% of total installed
capacity, even as thermal's share is expected to fall to 29%.
Further, while CEA has a target of 500GW of RE installed capacity by 2030, we see
scope for further upside to this number due to India’s target to produce 5 MMT
green hydrogen by 2030. Assuming 20GW RE installed capacity requirement for
every one MMT of green hydrogen (GH), we estimate another INR5.6t in
investment opportunity from GH-related RE investment.
Such a massive increase in generation capacity will also require substantial
investment in transmission infrastructure. While PWGR estimates transmission-
related industry capex of INR2t, as per NEP Vol II, the transmission sector may
need a capex of ~INR4t given the need to expand and upgrade the current
transmission lines.
Lastly, given the government’s vision to reduce AT&C losses and the ACS-ARR gap,
India has undertaken a mission to replace the country’s ~250m conventional
meters with smart meters. We estimate this will entail a total capex of ~ INR1.2-
1.5t. Besides reducing AT&C losses, smart meters can also help lower electricity
bills for consumers and help reduce carbon emissions by 30-35%.
September 2024
19
 Motilal Oswal Financial Services
Power Utilities: Thematic
Exhibit 18:
Estimated investment opportunity of ~INR42t by FY32
Type of Fuel
Fossil Fuel
Coal & Lignite
Gas
Non-Fossil Fuel
Large Hydro (incl. PSP)
Wind
Solar
Small Hydro Power
Nuclear
TOTAL
Battery Energy Storage System (GW/GWh)
Transmission opportunity
Smart Metering
Firm capex
Optionality
Green Hydrogen related RE capex #
Transmission additional capex *
Total capex including optionality
# We assume 1 MMT of Green hydrogen production needs 20 GW of RE capacity.
* Additional transmission capex for upgrade of existing infrastructure
Mar'22
210.7
24.9
235.6
46.7
40.4
54.0
4.8
6.8
152.7
388.3
n.a.
Capacity (GW)
Jun'24
Mar'27
217.6
24.8
242.4
46.9
46.7
85.5
5.0
8.2
192.2
434.7
n.a.
235.1
24.8
259.9
59.9
72.9
185.6
5.2
13.1
336.6
596.5
8.70/34.8
Mar'32
259.6
24.8
284.4
88.9
121.9
364.6
5.5
19.7
600.5
884.9
47.24/
236.2
Change in
Capex per
Capacity (GW) MW (INR m)
42.0
-
85.0
70.0
Capex
(INR b)
3,570.9
-
3,570.9
3,354.9
3,762.0
13,954.6
35.6
2,069.6
23,176.7
26,747.5
3,968.2
2,000.0
1,500.0
34,215.7
125.0
45.0
5,625.0
2,400.0
42,240.7
Source: CEA, MOFSL
41.9
75.2
279.1
0.4
11.5
80.0
50.0
50.0
80.0
180.0
236.2
16.8
September 2024
20
 Motilal Oswal Financial Services
Power Utilities: Thematic
India plans to raise installed power capacity to 900 GW
As per the National
Electricity Plan (NEP)
released by CEA in May’23,
India’s total installed power
capacity will rise from
~400GW in 2022 to over
600GW by FY27.
Given the strong power demand outlook and the need to transition to green
power, the government of India has outlined an ambitious capacity growth
outlook for the power sector.
As per the National Electricity Plan (NEP) released by CEA in May’23, India’s total
installed power capacity will rise from ~400GW in 2022 to over 600GW by FY27.
Thermal will account for ~39% of this expanded installed capacity, with solar and
wind making up 30% and 12%, respectively.
Further, by the end of FY32, total installed capacity is projected to rise to
~900GW, with solar and wind together accounting for ~53% of total installed
capacity, even as thermal’s share is expected to fall to 29%.
Exhibit 19:
India’s renewable mix in Mar’24 (GW)
81.8
45.9
46.9
10.4
Wind power
Solar Power
Biomass/Co-
generation
5.0
Small Hydro
Power
0.6
Waste To
Energy
Large Hydro
Source: CEA, MOFSL
Exhibit 20:
India’s RE installed capacity in 2027 and 2032
Estimated Installed Capacity by 2026-27 (GW)
Estimated Installed Capacity by 2031-32 (GW)
596.3
364.6
185.6
59.9 88.9
Large Hydro
(including PSP)
Solar
72.9
121.9
13.0 15.5
Biomass
5.2
5.5
Total
Source: CEA, MOFSL
336.6
Wind
Small Hydro
New power sources to emerge as capacity base expands
Besides solar and wind, which will see their installed capacity base rise manifold
in the FY24-32 period, new sources of power generation are expected to
emerge.
The strong growth in RE will also create the need for battery storage capacity.
Requirement for battery energy storage system (BESS) capacity, which is expected
to grow to 8.7GW/34.7 GWh by FY27 and further to 47GW/236 GWh by FY32.
NEP also forecasts an additional generation capacity of 27GW by FY32 from
pumped storage projects and ~20 GW from nuclear.
September 2024
21
 Motilal Oswal Financial Services
Power Utilities: Thematic
Exhibit 21:
Nuclear capacity
GW
19.7
13.1
6.8
FY22
FY27
FY32
Source: CEA, MOFSL
Exhibit 22:
BESS capacity growth projected between FY27 and FY32
BESS(GW)
47.2
8.7
2026-27
2027-32
Source: CEA, MOFSL
September 2024
22
 Motilal Oswal Financial Services
Power Utilities: Thematic
Strong, pro-active policy support key to sector turnaround
Given the strong demand outlook and the need to expand the installed
generation capacity, the government has taken various initiatives over the years
to improve the overall health of the sector. Some of these initiatives are:
Late payment surcharge:
The implementation of the late payment surcharge
(LPS) in 2022 has yielded significant improvements in the recovery of
outstanding dues. As per the Ministry of Power, after the implementation of
LPS, the total outstanding dues of states declined from INR1,397b as of Jun'22 to
INR500b as of Jan’24 (link).
Reduction in AT&C losses:
High aggregate technical and commercial (AT&C)
losses have been a key structural impediment to improving the financial health
of various power sector entities. India’s AT&C losses declined from 22% in FY21
to 15% in FY23 (link), aided by improvements in collection and billing efficiency
and the installation of smart meters.
Exhibit 23:
AT&C losses have been on a declining trend
AT&C LOSSES (%)
23.7
21.5
21.6
20.7
21.2
16.2
15.4
FY23
Source: CEA, MOFSL
FY16
FY17
FY19
FY20
FY21
FY22
Revamped distribution sector:
The GoI has approved a budget of INR3t over
FY22-26 to revamp the distribution sector. The scheme is aimed at providing
financial assistance to upgrade and modernize distribution infrastructure. This
scheme aims to bring down AT&C losses to a 12-15% range by improving
operational efficiencies.
Reduction in ACS-ARR gap:
This is a key indicator of the financial and
operational performance of distribution companies. ACS stands for average cost
of supply and ARR stands for realizable revenue. The ACS-ARR gap narrowed to
INR0.33/kWh in FY22 from a high of INR0.83/kWh (per unit ACSH adjusted gap),
before rising to INR0.55/kWh in FY23.
Exhibit 24:
ACS-ARR (INR/kwh)
FY22
4.4
5.2
FY23
5.5
4.4
1.3 1.6
1.4 1.6
-0.2
-0.2
-0.3 -0.6
Receivables Power Purchase Other Expenses GAP/Surplus
cash adjustment
cost
Source: CEA, MOFSL
Revenue
Booked (excl.
Subsidy)
Subsidy
received
September 2024
23
 Motilal Oswal Financial Services
Power Utilities: Thematic
Allowing power generation companies to import coal:
Given strong demand,
especially in the peak hours, and the shortage of domestic coal, the GoI allowed
power utilities to import up to 6% of their coal requirements.
Imposition and extension of Section XI:
The GoI has been extending the
imposition of Section XI directing plants that use imported coal to run at full
capacity. This has been recently extended until 30
th
Sep’24.
Strong regulatory push driving RE expansion
Given India’s vision to expand its RE installed capacity from ~192GW as of
Dec’23 to 500GW (link), the government has launched a number of initiatives to
encourage RE installation. Some of the initiatives are:
Rooftop Solar Yojana,
also known as the PM Surya Ghar Muft Bijli Yojana, is
designed to provide 300 units of free electricity per month to 10m households
with a total outlay of INR750b. The scheme's goal is to lower household
electricity expenses by installing rooftop solar panels and utilizing solar energy.
As per the Ministry of New and Renewable Energy (MNRE), this plan aims to add
30-40GW of solar capacity through rooftop solar installations in residential
areas. This is expected to generate 1,000 BUs of electricity, which will lead to a
reduction of 720 MT of CO2 equivalent emissions over the 25-year lifespan of
the rooftop systems.
The government offers subsidies for installing solar panels, with amounts
ranging from INR30,000 to INR78,000 based on the solar plant's capacity:
For capacities up to 2 kW, the subsidy is INR30,000 per kW.
For additional capacity up to 3 kW, the subsidy is INR18,000 per kW.
The total subsidy for systems larger than 3 kW is capped at INR78,000.
Exhibit 25:
Rooftop solar scheme – key details
Mode
Through Tender
Through National Portal
for Rooftop solar
Project capacity in
Individual Household
1-3kW
Above 3-10 kW
1-3kW
Above 3-10 kW
Revised CFA for
General States/UTs
INR18,000/kW
INR9,000/kW
INR18,000/kW
INR9,000/kW
Revised CFA for Special
Applicability
category States/UTs
INR20,000/kW
For all Future bids & bids which are
scheduled to be closed after 15 days
INR10,000/kW
of issuance of revised rates
INR20,000/kW
For all claims submitted in National
Portal for Rooftop Solar Panel after
INR10,000/kW
issuance of revised rates
Source: CEA, MOFSL
Renewable purchase obligation (RPO)
requires all electricity distribution
licensees to buy or generate a minimum specified quantity of their requirements
from RE sources as per the Indian Electricity Act, 2003.
As per the Ministry of Power, there are separate sub targets allocated out of the
total target for wind, hydro and distributed energy. Total RPO in 2029-30 is
estimated to be 43.33% of the total electricity consumed.
By 2030, the GoI aims to achieve 500 GW of non-fossil-based generation
capacity.
Year
2024-25
2025-26
2026-27
2027-28
2028-29
2029-30
Wind RE
0.67
1.45
1.97
2.45
2.95
3.48
Hydro RE
0.38
1.22
1.34
1.42
1.42
1.33
Distributed RE
1.5
2.1
2.7
3.3
3.9
4.5
Other RE
27.35
28.24
29.94
31.64
33.1
34.02
Total RE
29.91
33.01
35.95
38.81
41.36
43.33
Exhibit 26:
RPO trajectory (%)
Source: Ministry of power, MOFSL
September 2024
24
 Motilal Oswal Financial Services
Power Utilities: Thematic
Production-linked incentive (PLI) scheme:
The PLI scheme aims to achieve GW-
scale manufacturing capacity of high-efficiency solar PV modules in India,
thereby reducing import dependence in RE. The scheme was implemented in
two tranches. Tranche-I was approved in Apr’21 with an outlay of INR45b and
Tranche II was launched in Sep’22 with an outlay of INR195b.
Under the scheme, incentives are calculated as Sales Volume (Wp) × Base PLI
Rate, with actual PLI dependent on actual sales or maximum capacity awarded.
Maximum capacity awarded to one bidder is 50% of bid capacity or 2000 MW,
whichever is less, to accommodate at least three manufacturers under the
INR45b envelope.
Modules (MW)
4,000
4,000
737
8,737
6,000
6,000
3,400
3,000
6,000
4,800
1,000
2,000
2,400
1,000
4,000
39,600
48,337
Source: MNRE, MOFSL
Exhibit 27:
Manufacturing capacity allocated under the PLI scheme
Name of bidder
Shirdi Sai Electricals ltd
Reliance new energy solar ltd
Adani infrastructure Pvt Ltd
PLI Tranche I
Indosol
Reliance
First solar
Avaada
Waaree
ReNew
JSW
Grew
Vikram
AMPIN
Tata Solar Power
PLI Tranche II
Total
Approved list of module manufacturers (ALMM):
ALMM comprises two lists:
LIST-I for solar PV modules and LIST-II for solar PV cells. The initial ALMM list for
solar PV modules was released in Mar’21. Presently, 94 Indian manufacturers
have received approval under the list.
Only solar PV models with an efficiency of 19% or higher have been considered
for inclusion in List-I as per data from MNRE.
Crystalline-Silicon technology based
Solar PV Modules
20.00%
19.50%
19.00%
Gadmium Telluride Thin Film
technology based Solar PV Modules
19.0%
18.5%
18.0%
Source: MNRE, MOFSL
Exhibit 28:
Minimum module efficiency requirements for enlistment under ALMM
Category
Category I
Category ll
Category lll
Application/
Use
Utility / Grid Scale Power Plants
Rooftop and Solar Pumping
Solar Lighting
Green Energy Open Access Rules (2022),
which were notified in Jun’22, aim to
promote the generation, purchase, and consumption of green energy, including
energy from waste-to-energy plants, through open access.
Green open access will be available to all consumers. For non-captive
consumers, the minimum transaction limit will be 100 KW, while captive
consumers will not have any transaction limit. Additionally, consumers will
receive green certificates beyond their RPO requirements.
September 2024
25
 Motilal Oswal Financial Services
Power Utilities: Thematic
The rules represent a significant stride toward India's goal of reducing emissions
by 45% by 2030.
Rising RE capacity, system upgrades driving capex in T&D
Transition to RE:
With the increasing shift toward RE sources, there is a growing
need to invest in transmission infrastructure to accommodate the decentralized
nature of RE generation and ensure reliable power delivery.
Infrastructure upgrades:
Aging infrastructure requires modernization to meet
current demands and integrate new technologies, such as smart grid systems, to
enhance efficiency and reliability.
Grid reliability concerns:
Instances of grid failure and tripping necessitate
investments in transmission infrastructure to improve resilience and prevent
disruptions in power supply.
Distance between generation and demand centers:
As power generation sites
are often far from major demand centers, substantial investments are required
in transmission networks to efficiently transport electricity.
Technological advancements driving cost reduction:
Ongoing technological
upgrades, such as the deployment of higher capacity lines and the reduction of
system losses, reduce transmission costs. Conversely, rising costs associated
with transporting coal, including the need for new rail infrastructure and general
inflation, further emphasize the importance of cost-effective transmission
solutions.
Overall, the transmission opportunity is estimated at USD30b by 2030.
Exhibit 29:
Capex outlook for India transmission sector
Business segment
Transmission Business
Subhead
Inter State
Intra State
Cross Border
International projects
Subtotal Transmission
Solar generation
Smart Metering Infrastructure
Data Centre Business
Subtotal Other Businesses
Estimated Capex
(INR/b)
1360
370
100
75
1905
10
150
10
170
2075
Source: PWGR, MOFSL
Other Business
Estimated Outlay up to year 2032
September 2024
26
 Motilal Oswal Financial Services
Power Utilities: Thematic
Capacity growth, robust balance sheet drive 13% PAT CAGR in FY24-27
We believe that strong growth, healthy power demand, improved domestic coal
availability, freedom to import fuel if need be and lower credit costs are driving
13% PAT CAGR over FY24-27 for our coverage companies.
Following are the key factors driving PAT growth:
Strong capacity growth driven by RE:
Companies in our coverage universe have
laid out strong capacity growth plans with a strong focus on RE. JSWE plans to
significantly raise its total installed capacity to 20GW by FY30 from 7.5GW as of
1QFY25 end. Similarly, TPWR plans to raise its renewable capacity to 70% of
overall mix by 2030 from 41% now. Further, given ambitious power capacity
growth targets at the India level, the project pipeline has continued to evolve.
For NTPC, for example, another ~26 GW of thermal capacity has been
announced (given the government’s plan to add another 88 GW in thermal
capacity) and there is potentially some upside to even these numbers. For IEX,
we believe the launch of new products, such as long-dated contracts (up to 11
months), and the latest regulation relating to un-requisitioned surplus power to
be offered via exchanges are positive for IEX’s volume growth.
Exhibit 30:
Growth targets across companies
Particular
JSW Energy
NTPC
Tata Power
Growth targets
To become a 20 GW company and 40GWh Energy Storage by FY 30
Green Hydrogen Production, plant to be operational in 2025
Plan to have 60 GW RE Capacity by 2032 Visible RE pipeline of 20 GW
130 GW+ Capacity by 2032
Target to raise Renewable capacity to 70% of overall mix by 2030 vs. 38% at end-
1HFY24
Source: Company, MOFSL
Strong profit growth as new projects commercialize:
We build in notable
improvements in profitability for the five power utility stocks under our
coverage. Generation companies will see strong PAT growth, driven by 1) the
start-up of new capacities during FY24-27, 2) healthy PLF amid strong demand,
benign coal price outlook and improving domestic coal availability, and 3) a
strong merchant power price outlook. PWGR’s regulated equity base is expected
to clock a 4% CAGR over FY24-27, driven by the start-up of new projects. A
turnaround in fundamentals for companies in the last two years has also helped
them pay down debt (leading to savings in interest rates).
September 2024
27
 Motilal Oswal Financial Services
Power Utilities: Thematic
Exhibit 31:
Interest expenses (INR b)
NTPC
Power Grid
Tata Power
119
88
44
8
FY22
FY23
8
FY24
46
21
118
96
50
25
JSW energy
117
93
59
29
124
91
59
49
95
73
45
11
FY20
97
81
40
9
FY21
94
106
96
80
39
FY25E
FY26E
FY27E
Source: Company, MOFSL
Turnaround in working capital; improved leverage situation:
Due to the
implementation of schemes such as LPS and a decline in the ACS-ARR gap, the
working capital situation across generation and transmission companies has
improved. Receivable days for NTPC/JSWE/TPWR declined to 71/32/44 in FY24
from 109/93/55 in FY20 on a consolidated basis. Lower working capital
requirements, in turn, have helped them cut borrowing costs and improve
profitability.
Exhibit 32:
Receivable days
NTPC
109
93
55
47
IEX
PWGR
109
90
82
75
5154
95
68
7170
58
46
6
FY22
FY23
FY24
FY25E
FY26E
FY27E
44
32
86
5862
40
25
86
56
52 44
20
85
53
45 48
20
Tata Power
JSW energy
104
69
58
34
0
FY20
4
FY21
Source: Company, MOFSL
Improvement of 1-8% in ROE across companies during FY19-27:
With an
improvement in profitability, ROE is set to rise for four of the five companies
under our coverage; (IEX is witnessing ROE erosion due to cash build-up on
balance sheet). The most significant improvement in ROE is seen in JSWE (~8%)
during FY19-27. For PWGR, despite some concerns about new TBCB projects
earning a lower 10-12% equity return vs. ~15% in regulated tariff mechanism
(RTM)-based projects, the consolidated ROE remains strong at ~19% over our
forecast period. For TPWR, although the improvement in ROE is limited, it is
worth noting that the ROE in FY24-27 is not dependent on coal business profits,
making it likely more sustainable.
September 2024
28
 Motilal Oswal Financial Services
Power Utilities: Thematic
Key risks
Delays in the start-up of new projects:
The timely completion of generation and
transmission projects is vital for companies to achieve their earnings targets.
However, generation and transmission companies may face issues related to land
acquisition and right of way, leading to delays in projects. Project delays can also
be a result of supply chain issues, such as limited availability of key components
for project completion.
Lower-than-expected profitability in RE projects:
In the case of RE projects, the
tariff is fixed in advance for the life of the project, generally up to 25 years. While
there is no fuel price risk (like thermal projects without a fuel supply agreement),
RE projects have their own set of challenges, such as lower-than-expected PLF,
delays in transmission connectivity, cost overruns or a quicker-than-expected
decline in efficiency for solar panels/wind turbines.
Competition intensity has risen over the years:
Given the strong capex outlook,
companies across the sector have strong growth plans; hence, competition
intensity has risen over the years. Heightened competition is already leading to
concerns over the profitability of TBCB projects. Similarly, ROE on plain vanilla
solar/wind projects, which are simpler to execute, is likely to be lower at 12-15%
vs. more complex round-the-clock projects such as hybrid or PSP.
Price volatility for key commodities and components:
The sharp rise in prices of
key metals (e.g., copper, aluminum and HRC steel) or key components (e.g., solar
modules) impacts overall project costs and thus equity IRRs for projects. Volatility
in coal prices can impact plants where fuel cost pass-through is not present. High
coal prices may also invariably push merchant power prices higher, thus softening
the volume growth outlook for power exchanges such as IEX.
Insufficient domestic solar module capacity:
India has an aggressive target of
increasing its RE installed capacity base to 500GW by 2030 from the current
~192GW. From 1st Apr’24, for central/state projects, only domestically
manufactured solar modules can be used. However, the pace of domestic solar
module manufacturing may not be able to keep up with demand, leading to
delays in project execution.
Market coupling:
For IEX, the implementation of market coupling remains a key
risk to watch out for. Considering its dominant market position, IEX could suffer
the highest volume loss among the three exchanges should market coupling be
implemented. Market coupling could potentially diminish the liquidity advantage
enjoyed by IEX and result in heightened competition, leading to a reduction in
fees. In a tight demand-supply situation, higher spot power prices than bilateral
prices would also be a negative factor for volume outlook and can lead to lower-
than-expected earnings delivery.
September 2024
29
 Motilal Oswal Financial Services
Power Utilities: Thematic
Valuation and view
Strong share price performance across the board:
On a one-year basis, the five
utility stocks within our coverage universe are up 1-84%. All five stocks have
outperformed the Nifty, which has increased 27% in the last one year. The
strong price performance was driven by the following factors:
Strong capacity growth outlook:
Utility companies, such as JSWE, TPWR, PWGR
and NTPC, have outlined aggressive growth plans up to 2030 given the strong
power demand outlook and rising peak demand. As per our estimates, the five
power utility companies are expected to clock a 6-25% EPS CAGR over FY24-27.
For power exchanges (e.g., IEX), healthy power demand and a strong capacity
outlook bode well for power volumes traded on the exchange.
Turnaround in balance sheet and cash flow situation:
The implementation of
LPS has helped generation companies recover dues from distribution
companies, leading to an improvement in net working capital cycle and lower
interest costs. Allowing companies to blend up to 6% imported coal has helped
increase load factors and augment operating cash flows.
Exhibit 33:
ND/Equity and ND/EBITDA (INR m) across our coverage universe
NTPC
Power
Grid
Tata
Power
JSW
Energy
IEX
ND/EBITDA
ND/Equity
ND/EBITDA
ND/Equity
ND/EBITDA
ND/Equity
ND/EBITDA
ND/Equity
ND/EBITDA
ND/Equity
FY21
6.7
1.8
3.9
2.0
5.5
1.6
2.6
0.5
-0.2
-0.1
FY22
5.8
1.7
3.6
1.8
5.4
1.6
1.8
0.4
-0.6
-0.3
FY23
4.5
1.4
3.0
1.5
4.8
1.1
6.0
1.1
-0.2
-0.1
FY24
4.6
1.4
3.2
1.6
3.6
1.0
4.8
1.2
-0.5
-0.2
FY25E
4.0
1.3
2.7
1.4
3.7
1.2
4.1
1.4
-0.9
-0.3
FY26E
3.8
1.2
2.4
1.3
3.7
1.2
4.1
1.5
-1.2
-0.4
FY27E
3.6
1.2
2.1
1.2
4.1
1.3
4.5
2.0
-1.3
-0.5
Source: Company, MOFSL
Improving core profitability:
For companies like TPWR, the core earnings
outlook (excluding commodity profits) remains robust as new capacity begins
operation. TPWR has also witnessed a reduction in losses in the Mundra plant
with the imposition of Section XI, thereby lowering near-term earnings volatility.
Increasingly, for companies across the board, new capacity operation in the
future is RE, which has better earnings and cash flow visibility.
Rerating driven by change in the business mix:
India’s goal to have an installed
RE capacity base of 500 GW by 2030 means the business mix is changing for
companies across the value chain. Generation companies are investing in RE,
which has a strong capacity growth outlook with virtually no fuel price risk and
high visibility of long-term cash flows. For transmission companies, equity IRR on
RE projects at 12% is lower than that on RTM projects, but the opportunity size
is significant.
Capex super cycle is just beginning:
Given the robust capacity expansion plan, power companies have guided a strong
growth in capex over FY25-26 and beyond in the 4QFY24-1QFY25 conference
calls. PWGR will look to raise its capex to INR150b in FY25 from INR125b in FY24.
In fact, this number remains low given the massive INR2.07t bid pipeline to be
September 2024
30
 Motilal Oswal Financial Services
Power Utilities: Thematic
awarded by 2032. For JSWE, the capex run rate is expected to pick up to
~INR150b in FY25, as it targets 20GW capacity. TPWR too plans to raise its capex
to INR150-200b in the coming years from INR120b at present.
Will rich valuations meet earnings slippage?
Admittedly, valuations are
significantly above their historical levels given the robust multi-year capex outlook.
As such, delays in the commissioning timelines of new projects, higher-than-
expected competitive intensity, or strong commodity price volatility can create
potential risks worth monitoring.
Valuations (vs. Nifty) expensive on a historical basis:
NTPC, for the last 10 years,
has traded at an average 46% discount to the Nifty (on a P/E basis), while it is
currently trading at a 22% discount. Similarly, PWGR has historically traded at a
45% discount to the Nifty, while it is currently trading at a 20% discount. The only
exception to this trend is IEX, which has traded at a 71% premium since listing but
is currently trading at a 120% premium.
Exhibit 34:
Current premiums/discounts to Nifty vs. the last 10-year average
Sep-24
Average
120% 71%
-22%
-46%
NTPC
IEX
97%
3%
-20%
-45%
45%
-10%
TPWR
Source: Bloomberg, MOFSL
JSW
PWGR
Exhibit 35:
Global peer comparison
Global Company Name
NextEra Energy Inc
China Three Gorges Renewables
Iberdrola SA
China Longyuan Power Group Cor
American Electric Power Co Inc
Xcel Energy Inc
E.ON SE
RWE AG
Terna - Rete Elettrica Naziona
RoE (%)
EV/EBITDA (x)
PE (x)
PB (x)
MCap
USD b CY24E CY25E CY26E CY24E CY25E CY26E CY24E CY25E CY26E CY24E CY25E CY26E
170.1
117.1
86.3
85.9
54.4
35.8
35.0
23.1
16.1
13.2
9.0
11.5
9.9
11.3
10.7
19.1
6.1
14.6
13.5
9.5
10.6
10.2
11.2
10.8
16.8
4.6
13.3
13.8
9.9
11.0
10.2
11.3
10.8
15.4
4.9
13.9
15.9
11.3
9.6
9.2
11.9
11.4
8.1
6.1
11.0
14.2
9.7
9.5
8.4
11.0
10.3
7.8
6.5
10.5
13.5
8.6
8.9
7.7
10.3
9.3
7.5
5.9
9.6
24.3
14.8
16.2
15.7
18.2
18.0
11.9
11.3
16.1
22.5
13.0
15.7
14.4
17.1
16.7
12.0
14.5
16.6
20.8
11.7
14.8
13.0
16.1
15.6
12.0
13.0
15.5
3.6
1.4
1.9
1.5
2.1
2.0
2.0
0.7
2.5
2.9
1.2
1.7
1.4
1.9
1.8
2.0
0.7
2.2
2.7
1.1
1.6
1.3
1.8
1.7
1.9
0.6
2.2
Source: Bloomberg, MOFSL
Exhibit 36:
Domestic peer comparison
Company Name
NTPC
Power Grid Corp
Tata Power Co
JSW Energy
IEX
ROE (%)
MCap
TP
Upside/
Rating
(INRb)
(INR) (Downside) FY25E FY26E
4,111 Neutral 450
3,172 Buy 425
1,417 Buy 530
1,283 Buy 917
207 Neutral 226
10%
24%
19%
16%
-5%
13.6
19.1
14.7
13.3
35.3
14.2
19.1
15.8
13.8
35.3
EV/EBITDA (x)
FY25E
11.4
10.2
14.4
19.7
46.7
FY26E
10.5
9.6
13.1
17.5
38.7
PE (x)
FY25E
18.1
18.6
28.3
43.7
56.2
FY26E
16.0
17.8
23.8
37.6
47.1
PB (x)
FY25E
2.4
3.5
4.0
5.5
18.2
FY26E
2.2
3.3
3.6
4.9
15.3
Dividend Yield (x)
FY25E
2.4
3.4
0.6
0.3
0.9
FY26E
2.6
3.5
0.7
0.4
1.1
Source: Bloomberg, MOFSL
September 2024
31
 Motilal Oswal Financial Services
Power Utilities: Thematic
Valuation methodology across stocks
NTPC:
Our TP of INR450 implies 5% upside vs. CMP. Our TP is based on valuation
of INR266 for the standalone business at a Dec-26 PB of 2.5x, value of
INR24/INR64 for other subsidiaries and JV/associates at Dec-26 PB of 2.5x, value
of INR91 for the renewables business at 14x FY27 EV/EBITDA.
PWGR:
Our TP of INR425 implies 27% upside from the current level. We derive
the TP based on an Dec-26 EBITDA and an EV/EBITDA multiple of 11x which we
think is reasonable though at the higher end of the historical range.
TPWR:
Our TP of INR530 is derived by valuing: 1) the regulated business at 1.5x
equity, 2) renewables business at 14x FY27E EBITDA, 3) coal segment is valued
based on equity with a 1.5x multiple of FY24 Book Value, 4) pumped storage
segment is valued at 1x PB and other segments are also valued at 1x PB, and 5)
Cash and investments add INR46/share.
JSWE:
Our TP of INR917 implies 16% upside vs. CMP. We value JSWE's core
business at 15x Dec-26 EBITDA, with the stake in JSW Steel valued at a 25%
discount to the current market price.
IEX:
We initiate coverage on IEX with a Neutral rating and a TP of INR226. We
value the business at Dec-26E EPS of 5.6 with a PE multiple of 40x.
Exhibit 38:
JSWE 1-yr FWD PB
Exhibit 37:
JSWE 1-yr FWD PE
P/E (x)
Min (x)
Avg (x)
+1SD
Max (x)
-1SD
P/B (x)
Min (x)
5.0
Avg (x)
+1SD
Max (x)
-1SD
80.0
60.0
40.0
20.0
0.0
4.7
2.7
59.9
30.9
6.6
7.0
41.7
18.8
3.8
2.5
1.3
0.0
4.7
1.7
0.7
0.5
Source: Company, MOFSL
Source: Company, MOFSL
Exhibit 39:
IEX 1-yr FWD PE
P/E (x)
Min (x)
80
60
Avg (x)
+1SD
Max (x)
-1SD
Exhibit 40:
IEX 1-yr FWD PB
P/B (x)
Min (x)
Avg (x)
+1SD
Max (x)
-1SD
68.1
44.2
40
30
29.1
19.6
9.3
8.7
14.4
40
20
0
33.7
46.1
23.1
18.7
20
10
0
16.5
Source: Company, MOFSL
Source: Company, MOFSL
September 2024
32
 Motilal Oswal Financial Services
Power Utilities: Thematic
Exhibit 41:
NTPC 1-yr FWD PE
P/E (x)
21.0
17.0
13.0
9.0
Min (x)
Exhibit 42:
NTPC 1-yr FWD PB
Avg (x)
+1SD
Max (x)
-1SD
P/B (x)
Min (x)
2.4
1.8
1.2
Avg (x)
+1SD
Max (x)
-1SD
17.4
17.0
12.5
10.1
7.8
6.0
2.3
1.5
1.2
0.9
2.3
0.6
0.0
0.6
5.0
Exhibit 43:
PWGR 1-yr FWD PE
P/E (x)
Min (x)
21.0
17.0
13.0
9.0
5.0
Exhibit 44:
PWGR 1-yr FWD PB
Avg (x)
+1SD
Max (x)
-1SD
P/B (x)
Min (x)
3.6
2.8
Avg (x)
+1SD
Max (x)
-1SD
18.8
12.7
10.6
8.5
6.7
18.2
3.4
3.4
2.1
1.7
1.2
2.0
1.2
0.4
1.4
Exhibit 45:
TPWR 1-yr FWD PE
40.0
30.0
Exhibit 46:
TPWR 1-yr FWD PB
Avg (x)
+1SD
Max (x)
-1SD
P/E (x)
Min (x)
33.4
30.8
P/B (x)
Min (x)
4.8
3.6
Avg (x)
+1SD
Max (x)
-1SD
4.1
2.5
1.7
0.8
0.4
3.7
22.8
20.0
10.0
0.0
16.3
2.4
1.2
0.0
9.7
5.9
Exhibit 47:
Nifty 1-yr FWD PE
26.0
22.0
18.0
14.0
P/E (x)
Min (x)
Avg (x)
+1SD
Max (x)
-1SD
Exhibit 48:
Nifty 1-yr FWD PB
5.4
4.4
P/B (x)
Min (x)
Avg (x)
+1SD
Max (x)
-1SD
22.2
19.8
17.9
16.0
13.2
21.3
3.4
2.4
1.4
3.0
2.4
3.3
2.7
1.9
3.4
10.0
Source: Company, MOFSL
Source: Company, MOFSL
September 2024
33
 Motilal Oswal Financial Services
Power Utilities: Thematic
NTPC (NTPC IN)
We initiate coverage on NTPC with a Neutral rating and SoTP-based TP of
INR450. NTPC, via its RE subsidiary NTPC Green Energy Limited (NGEL), is a play
on India’s aim to expand its RE capacity to 500GW by 2030 (FY24: ~192GW).
We build in a 3% CAGR in standalone-regulated equity for the FY24-27E period.
NTPC is projecting an annual group capex of INR350-500b over the next 2-3
years (FY24: INR 340b).
Given its solid credit rating, NTPC’s funding cost is ~1-1.5% lower vs. peers and
this is a formidable advantage for the company while bidding for RE projects
where the debt-to-equity ratio tends to be 80:20.
At FY27E P/E of 14x and PB of 1.9x, valuations are reasonable, especially given
the strong growth outlook for both thermal and RE businesses. However, NTPC’s
FY27E dividend yield at 2.6% compares poorly with PWGR’s 3.5%.
We value the standalone business at 2.5x Dec’26E PB and RE business at 14x
FY27E EV/EBITDA, leading to a value of INR450/share.
Power Grid (PWGR IN)
We initiate coverage on PWGR with a BUY rating and a TP of INR425. We assess
a total transmission opportunity of INR2t in the Indian power sector, and with
~50-60% market, PWGR remains the leading player to tap into this opportunity.
Capex and capitalization trends are just picking up for PWGR, with consolidated
capex guided to rise 20% in FY25 and consolidated capitalization likely to double
in FY25.
Despite virtually no commodity risk/minimal execution risk, PWGR boasts a
higher dividend yield (FY26: 3.5%) vs. other transmission/city gas utilities (GAIL,
GSPL, IGL, MGL, Gujarat Gas), which protects downside despite the stock trading
at a multi-year high 1-year fwd PE of 18x.
Tata Power (TPWR IN)
We initiate coverage on TPWR with a BUY rating and our SoTP-based TP of
INR530. TPWR is an integrated power utility company with presence across
thermal and renewable power generation, transmission and distribution, and
solar module manufacturing.
TPWR management aims to double EBITDA and PAT by FY27 (vs. FY23) as TPWR
allocates 45% of the INR600b capex over FY24-27 to RE-related businesses.
The outlook beyond FY27 also remains optimistic given the INR40t investment
opportunity in the Indian power sector in the FY24-32 period, in our view.
TPWR is trading at FY26E EV/EBITDA of 13x vs. the historical average of 10x,
which we believe is only a modest premium given a sharp turnaround in
leverage situation, guidance of 90% earnings from core business by FY27 (FY23:
40%) and growing income streams from module manufacturing, utility-scale RE
projects and a burgeoning solar rooftop business.
Our SOTP-based TP of INR530 values the RE business at 14 FY27E EV/EBITDA
and the coal and regulated businesses at 1.5x/2.5x FY27E PB, respectively. A
robust 14% CAGR in PAT over FY24-27 should help sustain its valuations, in our
opinion.
September 2024
34
 Motilal Oswal Financial Services
Power Utilities: Thematic
JSW Energy (JSW IN)
We initiate coverage on JSWE with a BUY rating and a TP of INR917. JSWE is a RE
generation-focused play and its installed RE capacity is expected to rise to
9.8GW by CY24 end (FY24: 7.3GW) and further to ~17GW by FY27 end.
The group aims to increase its installed RE capacity to 20GW by 2030; however,
we strongly believe that it will achieve this target before time, given 4.9GW of
MoU signed with JSW Steel and a significant step-up in bid awards by SECI for RE
projects recently. Further, JSWE’s wind asset expertise places it in a favorable
position as more lucrative opportunities shift toward RTC/hybrid projects over
plain vanilla RE projects.
JSWE is trading at FY26E EV/EBITDA of ~16x. While valuations are not
inexpensive, they could be sustained provided key projects are executed on
time and within budget and the installed capacity outlook continues to improve.
We value JSWE’s core business at 15x Dec’26E EBITDA and its stake in JSW Steel
is valued at a 25% discount to CMP, leading to a TP of INR917/share.
Indian Energy Exchange (IEX IN)
We initiate coverage on IEX with a Neutral rating and a TP of INR226. IEX is an
electricity exchange with an 84% market share in total exchange-traded volumes
in FY24. It has delivered a volume CAGR of 15% during FY13-24.
The launch of new products (e.g., long-dated contracts), rising FDRE projects
and growth in RE certificates will boost its volume growth outlook.
The 11-month contract segment represents a significant market opportunity,
with ~40 BUs of transactions happening in the bilateral market and assuming
10% share of this market in the initial year, it adds 4% to FY24 volumes, we
estimate.
However, the potential implementation of market coupling is a key regulatory
overhang that could dampen IEX’s growth prospects given its dominant market
share.
Our TP implies an FY26E P/E of 46x vs. the current FY26E P/E of 42x.
September 2024
35
 Motilal Oswal Financial Services
Power Utilities: EmPOWERING INDIA!
Power Utilities: Thematic
NTPC
PG37
Power Grid
PG55
Tata Power
PG73
JSW Energy
PG90
Indian Energy Exchange
PG105
September 2024
36
 Motilal Oswal Financial Services
Initiating Coverage | Sector: Power Utilities
Power Utilities: Thematic
NTPC
BSE Sensex
84,929
S&P CNX
25,939
CMP: INR406
TP: INR450 (+10%)
Neutral
Energy transition play with expanding project pipeline
Stock info
Bloomberg
Equity Shares (m)
M.Cap.(INRb)/(USDb)
52-Week Range (INR)
1, 6, 12 Rel. Per (%)
12M Avg Val (INR M)
Free float (%)
NTPC IN
9697
4110.9 / 49.2
432 / 228
0/17/46
5984
48.9
Financial Snapshot (INR b)
Y/E March
FY24 FY25E FY26E
Sales
1,785.0 1,913.5 2,050.5
EBITDA
497.5
561.7
615.0
Adj. PAT
213.3
227.1
256.4
EPS (INR)
22.0
23.4
26.4
EPS Gr.%
24.6
6.5
12.9
BV/Sh. (INR)
165.7
178.7
193.8
Ratios
Net D:E
1.4
1.3
1.2
RoE (%)
13.9
13.6
14.2
RoCE (%)
7.4
7.7
8.1
Payout (%)
35.2
43.2
41.1
Valuation
P/E (x)
19.3
18.1
16.0
P/B (x)
2.6
2.4
2.2
EV/EBITDA (x)
12.9
11.4
10.5
Div. yield (%)
1.8
2.4
2.6
FCF yield (%)
1.1
5.0
3.5
Shareholding pattern (%)
Jun-24 Mar-24 Jun-23
As On
51.1
51.1
51.1
Promoter
27.7
27.7
30.3
DII
17.7
17.9
15.8
FII
3.6
3.4
2.8
Others
FII Includes depository receipts
Stock performance (one-year)
We initiate coverage on NTPC with a Neutral rating and SoTP-based TP of
INR450. NTPC, via its renewable energy (RE) subsidiary NTPC Green Energy
Limited (NGEL), is a play on India’s aim to expand its RE capacity to 500GW by
2030 (FY24: ~192GW). NTPC also recently announced its intent to add 26GW of
brownfield capacity out of the government’s target to add 80GW in thermal
capacity. NTPC is also set to participate in India’s plan to add 22GW of nuclear
capacity by 2032 as the company will break ground on its first nuclear project
(2.8GW) by 2HFY25.
While IRR for plain vanilla RE projects has come off, new thermal and nuclear
capacity will be on a regulated return basis and will support the ROE profile. We
build in a 3% CAGR in standalone-regulated equity for the FY24-27 period. NTPC
is projecting an annual group capex of INR350-500b over the next 2-3 years
(FY24: INR 340b).
Given its solid credit rating, NTPC’s funding cost is ~1-1.5% lower vs. peers and
this is a formidable advantage for the company while bidding for RE projects
where the debt-to-equity ratio tends to be 80:20.
Much of NTPC’s re-rating in the past 1 year, we believe, is attributable to an
evolving RE pipeline and the planned listing of RE business, unlocking value for
NTPC shareholders. We currently value the RE business at 14x FY27E
EV/EBITDA, leading to a value of INR91/share; we believe this valuation largely
captures the value from the current project pipeline. As such, we believe IPO
upside is already largely priced in and is not a significant catalyst any more.
Excluding NGEL, NTPC is trading at FY26E PB of 1.6x, which is reasonable, in our
view. However, we believe the holding company discount after listing is hard to
predict and could be a key investor concern in coming months. Also note that
the RE IPO pipeline has continued to evolve and the overall valuation even for
TPWR/JSWE is anchored to RE projects. Investors may show lower appetite (vs.
now) for NTPC after NGEL listing.
At FY26E P/E of 16x and PB of 2.2x, valuations are reasonable, especially given
the strong growth outlook for both thermal and RE businesses. However,
NTPC’s FY27E dividend yield at 2.6% compares poorly with PWGR’s 3.5%. We
value the standalone business at 2.5x Dec’26E PB and RE business at 14x FY27E
EV/EBITDA, leading to a value of INR450/share.
26GW thermal capacity is medium-term growth driver
Given the strong power demand outlook and slower-than-required RE
installed capacity addition, new investment opportunities have emerged
in the thermal sector. NTPC recently announced its intent to add 26GW of
thermal capacity out of the 80GW estimated to be required.
Potentially, NTPC may have to step up and do additional thermal projects
beyond the initially committed 26GW if required. As of Jul’24, NTPC has
~9.5GW of thermal capacity under-construction and another 8GW in the
tendering phase. By 2QFY25, the company expects to commission 2-
2.5GW, leaving about 24GW still under-construction.
September 2024
37
 Motilal Oswal Financial Services
Power Utilities: Thematic
Announces maiden foray into nuclear in JV with NPCIL
NTPC is poised to advance its nuclear power initiatives as it will start the
construction of its first nuclear project of 2.8GW in Mahi Banswara, Rajasthan,
in Sep’24. This project is a joint venture between NPCIL (51%) and NTPC (49%)
and marks NTPC's entry into nuclear power.
The government aims to build 22GW of nuclear power capacity by 2032 for an
estimated capex of INR170-180m per MW. As such, assuming a 25% share of the
total nuclear capacity, NTPC's investment opportunity in this sector could be
worth INR990b.
NTPC is in the process of listing its green energy business, which is held under
NTPC Renewable Energy Ltd., which in turn is a subsidiary of NGEL (a subsidiary
of NTPC).
As per our understanding, the IPO could materialize in 1HCY25. NGEL currently
has RE capacity (operational + under construction + pipeline) of 23GW and plans
to raise it to 60GW by 2031-32, including reaching 5GW electrolyzer capacity for
Green Hydrogen.
We currently value the RE business at 14x FY27E EV/EBITDA, leading to a value
of INR91/share. We believe much of NTPC’s 72% run-up in the last 1 year is
attributable to a burgeoning RE project pipeline and the planned listing of its RE
business. As such, while we remain positive on the listing of the RE business, we
believe IPO upside is largely priced in.
Excluding NGEL, NTPC is trading at FY26E PB of 1.6x, which we think is
reasonable given its solid return profile and a robust pipeline of non-RE projects.
However, we believe the holding company discount after listing is hard to
predict and investors may prefer investing in NGEL over NTPC for RE exposure.
After NGEL listing, NTPC will offer exposure primarily to an evolving brownfield
thermal pipeline (26GW), possibility of nuclear projects (22GW India potential)
and pumped storage projects. Thermal and nuclear projects will be on the
regulated returns basis (and so still attractive), while pumped storage projects
too are expected to earn an attractive IRR in high teens.
However, the gestation period for all three kinds of projects will be 4-6 years
and these projects could entail risks such as commodity prices, land acquisition
or an inability to tie up PPA given higher per unit power costs vs. RE projects.
Also, for segments such as pumped storage projects, while returns are
attractive, investors may prefer investing via private players such as
TPWR/JSWE.
We also highlight that 18 months ago, there were limited RE players in the
Indian market. However, the RE IPO pipeline has continued to evolve and even
for TPWR and JSWE incremental capex allocation is heavily tilted toward RE
projects. For TPWR and JSWE, we estimate 62%/69% of our SOTP is derived
from the RE business and we think the proportion of RE valuation in the overall
valuation will only rise from hereon for both these companies.
We believe all these factors together could contribute to a substantial holding
company discount, which is a risk worth watching out for NTPC.
NGEL listing could offer limited further upside
Excluding NGEL, NTPC trading at 1.6x FY26E PB; holdco discount a risk
September 2024
38
 Motilal Oswal Financial Services
Power Utilities: Thematic
Low funding cost vs. peers; thermal project economics remain attractive
Given its solid credit rating, NTPC’s funding cost is ~1-1.5% lower vs. private
players and this is a formidable advantage for the company while bidding for RE
projects where the debt-to-equity ratio tends to be 80:20. The development of
new thermal capacity will be on a regulated return model, with a projected cost
of INR100m per MW.
While investors focus on RE, brownfield coal projects remain attractive
investment opportunities with guaranteed 15% ROE, and NTPC is the only
sizeable player in the thermal segment.
NTPC continues to step up backward integration as its coal mining output is
slated to rise to 50MT in the next three years from 34MT in FY24, providing
greater visibility and control over coal availability for thermal operations.
Building in 9% PAT CAGR over FY24-27 driven by RE, thermal
NTPC is projected to achieve a PAT CAGR of 9% over FY24-27, driven by strategic
initiatives in thermal, renewable and nuclear energy sectors. The aggressive
commissioning schedule for RE projects in NGEL is a key contributor to earnings
growth. The company has announced plans to add 26GW of brownfield
capacity, contributing to the government's target of 80GW in thermal capacity,
though we believe much of this capacity will likely be commissioned after FY27.
While investors focus on RE, brownfield coal projects remain attractive
investment opportunities with guaranteed 15% ROE, and NTPC is the only
sizeable player in the thermal segment.
Valuation and risks
Our TP of INR450 implies 5% potential upside. NTPC is currently trading at FY26E
P/E of 16x and P/B of 2.2x, above its historical one-year fwd average P/E of 9.9x
and P/B of 1.1x. NTPC’s FY27E dividend yield at 2.6% is lower than PWGR’s 3.5%.
We value the standalone business as well as other subsidiaries and JV at
Dec’26E PB of 2.5x. We value the RE business at 14x FY27E EV/EBITDA, leading
to a value of INR91/share.
Key risks to our earnings estimates and TP stem from: 1) slower-than-expected
commissioning of key projects, 2) holding company discount after NGEL listing,
3) weaker-than-expected return profile for renewable projects, 4) mismatch
between generation and transmission commissioning for key projects, 5) limited
availability of domestic module and cell capacity leading to delayed beginning
for RE projects.
September 2024
39
 Motilal Oswal Financial Services
Power Utilities: Thematic
STORY IN CHARTS
NTPC's Capacity pipeline at 1QFY25 end (GW)
130
8.4
76
3.6
21
Commissioned
Under Construction Under Tendering
NTPC's RE Pipeline (GW)
11.2
Installed Capacity
Under Construction
Target by FY32
RE share in valuation for key power utilities
Renewable
Others
Standalone Closing Regulated Equity - Generation (INR b)
877
38%
80%
62%
20%
NTPC
Tata Power
JSWE
FY 21
FY 24
69%
947
31%
663
FY 27E
Consolidated ROE
Consol ROE (%)
13.1
10.3
13.3
13.0
13.9
12.1
13.6
14.2
14.2
Consolidated Net Debt/EBITDA
Net Debt/EBITDA
7.1
6.7
6.7
5.8
4.5
4.6
4.0
3.8
3.6
FY19 FY20 FY21 FY22 FY23 FY24 FY25E FY26E FY27E
FY19 FY20 FY21 FY22 FY23 FY24 FY25E FY26E FY27E
September 2024
40
 Motilal Oswal Financial Services
Power Utilities: Thematic
Standalone Commercial Capacity
Standalone Commercial capacity (GW)
63.2
Standalone Gross Generation (mk/whr)
Standalone Gross generation
344
362
395
419
425
45.7
49.7
51.7
54.6
56.4
59.1
61.3
61.3
274
260
271
299
FY19 FY20 FY21 FY22 FY23 FY24 FY25E FY26E FY27E
FY19 FY20 FY21 FY22 FY23 FY24 FY25E FY26E FY27E
Standalone Calculated avg. PLF (%)
Standalone Calculated avg. PLF (%)
75.0
ROE (%) and ROCE post tax (%)
Consol RoE (%)
14
14
69.4
62.1
61.0
64.2
70.8
71.5
78.0
78.0
13
13
13
14
12
7.5
7.4
14
10
8.1
6.4
4.8
6.1
7.7
8.1
8.2
FY19 FY20 FY21 FY22 FY23 FY24 FY25E FY26E FY27E
FY19
FY20
FY21
FY22
FY23
FY24 FY25E FY26E FY27E
Quarterly Consolidated EBITDA run rate
Consol EBITDA (INR/b)
144.8
142.0
128.6
108.0
119.4
113.6
140.2
110.1
114.3
89.8
126.8
88.6
105.1
Consolidated Debt/Equity
Consol Debt/Equity
1.7
1.8
1.8
1.7
1.4
1.4
1.3
1.2
1.2
September 2024
41
 Motilal Oswal Financial Services
Power Utilities: Thematic
Company overview
NTPC is India's largest power generation company, founded in Nov’75. With a
profit of INR180b (2023-24), it plays a vital role in India's power sector,
accounting for a substantial 24% of the country's total power generation.
Established with a strong foundation in thermal power, NTPC operates an
extensive portfolio of coal-based, gas-based, and hydroelectric power plants.
The company has significantly expanded into RE to support India's clean energy
transition. It also engages in power trading to optimize generation and stabilize
the grid.
NTPC is foraying into nuclear power to diversify its energy portfolio and
minimize its carbon footprint. The company aims to replicate the success it has
achieved in thermal power, focusing on establishing a strong base load capacity
to support long-term energy needs.
NTPC is set to become a 130GW+ company by 2032, of which 60GW+ will be RE
capacity.
Exhibit 49:
Breakup of NTPC group projects (GW) as of FY24 end
NTPC Owned
Coal
Gas/Liquid Fuel
Hydro
Renewables
Sub-total
JVs and Subs
Coal
Gas/Liquid Fuel
Hydro
Renewables
Sub-total
Total
Stations
27
7
1
17
52
Stations
9
4
8
21
42
94
in GW
53.8
4
0.8
0.5
59.1
in GW
8.3
2.5
2.9
3.1
16.8
75.9
Mix (%)
70.88
5.27
1.05
0.66
77.87
Mix (%)
10.94
3.29
3.82
4.08
22.13
100
Source: Company, MOFSL
Dominant player with sizeable market share
NTPC holds a dominant 17% share of India's installed power capacity and
contributes 24% of the country's total electricity generation. Installed capacity
has grown over the years from 47GW in FY16 to 76GW in FY24.
As of FY24, NTPC's installed capacity was 76GW, with an additional 21GW under
construction. The company aims to exceed 130GW by 2032.
For FY25, India targets a total electricity generation of 1,900BU, representing a
9.3% increase over FY24. This includes 1,445BU from thermal, 1,48BU from
hydro, 55BU from nuclear, 8BU from Bhutan imports, and 244BU from RE
sources (excluding large hydro).
NTPC's RE capacity reached 3.6GW by FY24, with over 8.4GW of projects under
construction and a pipeline of more than 11.2GW. The company is advancing
toward its goal of 60GW in RE capacity by 2032. By 2032, NTPC plans to achieve
a fossil and non-fossil energy mix of ~60:40.
September 2024
42
 Motilal Oswal Financial Services
Power Utilities: Thematic
Exhibit 50:
NTPC total capacity growth over FY24-27 (GW)
98
89
83
76
FY24 Group capacity
FY25
FY26
FY27
Source: Company, MOFSL
NTPC to undertake additional brownfield thermal investment of 26GW
NTPC is set to play a crucial role in India’s thermal power sector, with plans to
contribute 26GW of the additional 80GW required. As of Jul’24, NTPC has
~9.5GW of thermal capacity under-construction and another 8GW in the
tendering phase. By 2QFY25, the company expects to commission 2-2.5GW,
leaving about 24GW still under-construction.
The development of new thermal capacity will be on a regulated return model,
with a projected cost of INR100m per MW. Potentially, NTPC may have to step
up and do additional thermal projects beyond the initially committed 26GW if
required.
Announces foray into nuclear in JV with NPCIL
NTPC is poised to advance its nuclear power initiatives as it will start the
construction of its first nuclear project of 2.8GW in Mahi Banswara, Rajasthan,
by Sep’24. This project is a joint venture between NPCIL (51%) and NTPC (49%)
and marks NTPC's entry into nuclear power.
In addition, NTPC is establishing NTPC Nuclear Power Company as a wholly-
owned subsidiary, signaling its commitment to expanding its nuclear footprint.
The company plans to explore and develop additional nuclear sites across
various states, aiming to replicate its success in thermal power.
The Indian government has a target of building 22GW of nuclear power capacity
by 2032 for an estimated capex of INR170-180m per MW. As such, assuming a
25% share of the total nuclear capacity, NTPC's investment opportunity in this
sector could be worth INR990b.
NGEL IPO a catalyst; but limited value unlocking scope now in our view
NTPC's wholly owned subsidiary, NGEL, was established on Apr’22 to advance
the company's RE initiatives. As part of NTPC's asset monetization scheme, NGEL
acquired 15 RE assets totaling 2,861 MW from NTPC's balance sheet via a
business transfer agreement. NGEL focuses on developing large-scale solar,
wind, and hybrid RE projects across India, including Gigawatt-scale RE parks
under the ultra mega renewable energy power park (UMREPP) scheme.
Additionally, green hydrogen initiatives are also managed under NGEL.
September 2024
43
 Motilal Oswal Financial Services
Power Utilities: Thematic
Exhibit 51:
Breakup of NTPC group renewable projects (MW) as of FY24 end
Capacity (MW)
Commissioned
Solar
Wind
Small Hydro
Under Execution
Solar
Wind
Under Tendering
Solar
Wind
Total
NTPC
411
403
0
8
1,034
1,034
0
82
82
0
1,527
NGEL
2,725
2,675
50
0
1,394
1,086
308
200
200
0
4,319
NTPC-REL TDHC & NEEPCO
200
192
150
55
50
113
0
24
5,702
300
4,550
300
1,152
0
8,773
300
3,183
300
5,590
0
14,675
792
NTPC Group
3,528
3,283
213
32
8,430
6,970
1,460
9,355
3,765
5,590
21,313
Source: Company, MOFSL
In FY24, NGEL's total electricity generation was 5.74Bu and the company plans
to go public in FY25 with an IPO.
In FY24, NGEL had EBITDA/PAT of INR18.2b/INR3.4b, with an operational
capacity of ~3GW. In our SOTP, we estimate the value of NGEL as INR91/share.
We apply a 14x EV/EBITDA multiple to FY27 EBITDA to estimate the value of the
RE business.
Much of NTPC's re-rating in the past 1 year, we believe, is attributable to an
evolving RE pipeline and the planned listing of RE business, unlocking value for
NTPC shareholders. We currently value the RE business at 14x FY27E EV/EBITDA,
leading to a value of INR91/share; we believe this valuation largely captures the
value from the current project pipeline. As such, we believe IPO upside is
already largely priced in and is not a significant catalyst any more.
Excluding NGEL, NTPC is trading at FY26E PB of 1.6x, which is reasonable, in our
view. However, we believe the holding company discount after listing is hard to
predict. Also note that the RE IPO pipeline has continued to evolve and the
overall valuation even for TPWR/JSWE is anchored to RE projects. Investors may
show lower appetite (vs. now) for NTPC after NGEL listing.
Solid ramp-up in coal self-sufficiency to provide operational stability
NTPC has demonstrated impressive growth in its coal production capabilities,
achieving 34mt of coal production in FY24, a significant 48% increase from
23.20mt in FY23. NTPC’s cumulative investment in coal mining has increased
from INR81.8b by FY21 to INR107b by FY24. For FY25, the company projects
crossing 40mt in production and has a target to reach an annual production of
50mt in the next three years to bolster fuel security. In the long term, NTPC aims
to meet at least 25% of its coal requirements through its captive mines by FY30.
September 2024
44
 Motilal Oswal Financial Services
Power Utilities: Thematic
Exhibit 52:
Coal Production has taken off in recent years
Coal Production (MMT)
40
34
23
11
14
FY21
FY22
FY23
FY24
FY25E
Source: Company, MOFSL
In terms of coal capacity planning, NTPC intends to tender ~10,400MW during
FY25. This will be followed by 3,200MW in FY26 and 1,600MW in FY27, totaling
15,200MW. Notably, this figure excludes the 1,600MW Singrauli 3 project
awarded to BHEL in 3QFY24. Of the total capacity, 53% will be implemented
directly by NTPC, while 47% will be through joint ventures and subsidiaries.
Sufficient coal availability has been instrumental in allowing NTPC to maintain
high PLFs at thermal plants. In FY24, NTPC’s coal stations achieved an average
PLF of 77.25%, outperforming the national average of 69.49% by ~8%.
Coal Supply (MMT)
ACQ
Captive /others
Imported
181.3
191.8
Exhibit 53:
Coal supply (MMT)
160.5
155.2
151.3
167.2
14.6
FY19
1
16.8
FY20
2.8
17.9
FY21
25.9
1.1
FY22
27.9
39.8
14.6
FY24
9.6
2.5
FY23
Source: Company, MOFSL
Aims to contribute to India’s 5mmt green hydrogen target
NTPC is also developing a 1,200-acre hydrogen hub in Pudimadaka, Andhra
Pradesh, and has partnered with Gujarat Pipavav for the export of ammonia.
NTPC is aggressively advancing its green hydrogen initiatives as part of its
commitment to a carbon-neutral economy. In Jan’23, NTPC inaugurated India’s
first green hydrogen blending facility at Kawas, Gujarat, achieving an 8% v/v
blend of green hydrogen in the PNG network, the highest blend achieved in
India to date.
The company is implementing several pilot projects, including the deployment
of five green hydrogen-powered buses in Leh by Jul’24 and another five in Delhi
by Dec’24. Additionally, NTPC has secured an agreement with the Indian Army
to establish a green hydrogen-based micro-grid, which is currently underway.
The company is actively pursuing net-zero emissions in its townships by the next
fiscal year, with green hydrogen projects managed under NGEL. NTPC is poised
to undertake significant new projects, reflecting a substantial increase in
capacity additions.
45
September 2024
 Motilal Oswal Financial Services
Power Utilities: Thematic
Exhibit 54:
Key MOUs related to hydrogen domain
Sr.No.
1
2
3
4
5
6
7
8
MoUs
NGEL and GPPL (Gujarat Pipavav Port Limited) for land in Pipavav Port for Green Ammonia Project
NGEL and SCI (Shipping Corporation of India), for supply of green Methanol
NGEL and GSPC (Gujarat State Petroleum Corporation) for H2 blending in NG network and green mobility
NGEL and Nayara Energy for Production of Green Hydrogen
NGEL and HMEL (HPCL Mittal Energy Limited) for development of Green Hydrogen derivatives
NGEL and Government of Maharashtra for Green Hydrogen
NREL and Government of Gujarat for development of 5 GW GH2 technologies
NGEL and RVUNL (Rajasthan Rajya Vidyut Utpadan Nigam Ltd.) for development of Green Hydrogen and its derivatives
Source: Company, MOFSL
Growing international presence can be growth driver
NTPC has expanded its international footprint with several significant initiatives.
In FY24, the company commissioned its first overseas thermal power plant in
Bangladesh through its joint venture with Bangladesh Power Development
Board (BPDB), with a capacity of 1,320MW. Additionally, NTPC is developing a
solar power project in Sri Lanka, initially set at 50MW with potential expansion
to 120MW.
NTPC has also been appointed as the project management consultant for the
implementation of 6,620MW of power projects across 12 countries in Africa and
Latin America. Furthermore, the company is tasked with setting up solar
demonstration projects in 10 member countries of the International Solar
Alliance (ISA).
Capex set to rise meaningfully given ambitious capacity growth plans
NTPC's capex projections and historical spending demonstrate the company's
substantial investment in growth and development. By 2032, NTPC anticipates a
capex of ~ INR7t.
In FY24, NTPC incurred group capex of INR349b, slightly lower than INR352b
spent in FY23. Standalone capex for FY24 was INR193b vs. INR245b in FY23. For
FY25, NTPC has projected a standalone capital outlay of INR227b. Looking
ahead, the company expects an annual group capex range of INR350-500b over
the next 2-3 years.
As of FY24, NTPC invested INR107b in coal mine development.
Capex cycle drives stand-alone regulated equity CAGR of 3%
NTPC's standalone regulated equity stood at INR877b as of FY24, up 13% from
INR776b in FY23. Consolidated regulated equity was INR1,043b, up 11% from
INR941b as of FY23.
Going forward, we estimate a 3% CAGR in standalone regulated equity in the
FY24-27 period. NTPC is likely to commission 13.1GW of capacity over FY25-26.
This includes 6.7GW in FY25, comprising 2.7GW of thermal, 1GW of hydro, and
3GW of RE. In FY26, an additional 6.4GW is expected, with 1.4GW of thermal
and 5GW of RE capacity.
September 2024
46
 Motilal Oswal Financial Services
Power Utilities: Thematic
Exhibit 55:
NTPC's group capex trend (INR b)
467
372
340
292
218
352
FY 22
FY 23
FY 24
FY 25E
FY 26E
FY 27E
Source: Company, MOFSL
Funding cost remains big advantage over peers
NTPC's consolidated finance cost as a percentage of gross debt is ~1-1.5% lower
vs. private peers. The lower finance cost bodes well for RE projects, where there
are no fuel costs involved, thus enhancing NTPC's competitive edge in the
sector.
For NTPC's thermal and hydro projects, the debt-to-equity ratio is typically
70:30. In contrast, for solar and wind projects, the ratio is set at 80:20. This
differentiated approach reflects the varying financial structures and risk profiles
associated with different types of energy projects.
ROE supported by nuclear, thermal
In the 1QFY25 earnings call, the management clarified that upcoming thermal
and nuclear projects will be on the regulated equity model.
NTPC is advancing its nuclear power and plans to establish a dedicated
subsidiary, NTPC Nuclear Power Company, to explore additional sites across
various states and replicate the success achieved in its thermal power sector.
This expansion aims to provide reliable base load power for the coming decades.
With the Indian government targeting 22GW of nuclear power capacity by 2032,
NTPC is positioned to secure a significant share of this market.
Under brownfield expansions, the company plans to add thermal capacity of
26GW to support grid stability amid increased variable RE infusion.
Of the 26GW thermal addition, 10GW is already under construction. This
strategic approach is designed to ensure stable base load support and is
expected to enhance NTPC's ROE by optimizing cost efficiency and leveraging
established infrastructure.
Risks
NTPC faces several risks associated with its coal-based operations and broader
strategic initiatives. Increasing climate risks could constrain growth in its core
coal business and heighten negative ESG reactions. As a government-owned
entity, NTPC may experience strategic directives that could potentially
disadvantage minority shareholders.
The company is also vulnerable to delays in the commissioning of its captive coal
mines and thermal and RE capacities. Such delays could impact operational
efficiency and growth prospects.
September 2024
47
 Motilal Oswal Financial Services
Power Utilities: Thematic
NTPC's trade receivables are heavily dependent on the timely payments from
state discoms, which could pose a risk to its cash flow and financial stability.
Lower PLF at NTPC’s thermal power plants could reduce the overall efficiency
and profitability of its coal-based operations, exacerbating the company’s
financial and operational challenges.
Valuation
Our TP of INR450 for NTPC is based on:
Value of INR266 for the standalone business at Dec’26E PB of 2.5x.
Value of INR24 for other subsidiaries and INR64 for JV/associates at Dec’26E PB
of 2.5x.
Value of INR91 for the renewables business at 14x FY27E EV/EBITDA.
Exhibit 56:
SOTP valuation
Segment
Standalone
Other subsidiaries
JV & Associates
Renewable
Cash and equivalents
Target price
CMP
Upside/(Downside)
Regulated Equity (Dec-26E)
10,17,221
92,799
2,47,414
FY27 EBITDA
P/B
2.5
2.5
2.5
Value/Sh. (Rs)
266
24
64
91
5
450
429
5%
Source: MOFSL
September 2024
48
 Motilal Oswal Financial Services
Power Utilities: Thematic
SWOT analysis
Dominant thermal player
with installed capacity of
73GW and growing
renewable footprint
Low financing costs vs.
private sector peers
De-risked cost and
business model
Strong bargaining power
with customers and
suppliers due to large
scale
Government intervention
in pricing and operations
can disrupt efficiency and
decision-making
Compared to the growing
RE sector, NTPC's portfolio
is still heavily reliant on
coal
NTPC plans to have 60GW
RE capacity by 2032
Worsening peak power
deficits
Foray into green hydrogen
Monetisation of NGEL
Aggressive bidding for
RE projects can lower
IRR
Volatility in solar module
prices, changes in duty
structure
Delayed land execution
or transmission
connectivity for
upcoming projects
September 2024
49
 Motilal Oswal Financial Services
Power Utilities: Thematic
Bull and Bear cases
Bull case
In our Bull case scenario, we anticipate heightened profitability at the
JV/associate level, driven by streamlined operations. Additionally, we foresee a
more proactive stance on capacity buildup of renewables alongside and model
an increased PLF-related incentive income.
We also raise the target PB ratio for the standalone business to 3.0x (base case:
2.5x) and value the renewable business at 18x EV/EBITDA given the quicker-
than-expected capacity ramp-up.
Based on the above assumptions, the company's bull case valuation would be
INR563/sh.
Bear case
In our Bear case scenario, we anticipate subpar execution in coal mining and
FGD projects, moderate PLF-related incentive income, and a delayed start for
some of the renewable projects slated to begin operations in FY25-27.
We also lower the target PB ratio for the standalone business to 1.5 (base case:
2.5x) and value the renewable business at 10x EV/EBITDA given the slower-than-
expected capacity ramp-up.
Based on the above assumptions, the company's valuation would be INR298/sh.
Exhibit 57:
Scenario analysis – Bull case
INR m
Net revenues
EBITDA
PAT
Target price (INR)
Upside (%)
FY25E
19,32,527
5,80,417
2,37,116
563
33
FY26E
21,04,116
6,67,290
2,87,540
FY27E
22,55,253
7,66,757
3,42,272
Exhibit 58:
Scenario analysis – Bear case
INR m
Net revenues
EBITDA
PAT
Target price (INR)
Downside (%)
FY25E
19,05,014
5,52,904
2,14,636
298
30
FY26E
20,40,765
6,03,940
2,34,614
FY27E
21,42,469
6,53,973
2,49,081
Source: MOFSL
Source: MOFSL
September 2024
50
 Motilal Oswal Financial Services
Power Utilities: Thematic
ESG initiatives
Environment
The company is dedicated to carbon sink development, utilizing afforestation
efforts as ‘sinks’ for emissions from power stations. NTPC aims to plant 10m
trees by 2026.
In FY23, specific water consumption decreased to 2.69 liters per kWh,
marking the fourth consecutive year of reduction.
The company is in the process of creating a vast Eco Park in the National
Capital, surpassing the size of New York's Central Park.
Social
NTPC extends a range of benefits, including post-retirement medical
benefits, paid childcare leave, comprehensive medical coverage, educational
support and housing assistance, and holistic support to its employees.
It also offers a provision for sabbatical periods, allowing employees to take a
break up to five years without the risk of losing their jobs.
NTPC showcases its dedication to shared parental duties by offering
extended parental leaves to all its employees, irrespective of gender.
It has dedicated 4,728 man-hours to human rights training.
Governance
The company has in place several policies to enhance integrity, ethics
& transparency with respect to governance.
NTPC has formulated a robust Anti-Bribery and Anti-Corruption
(ABAC) policy, aiming to uphold the highest ethical standards and
compliance with Indian laws, thereby ensuring the integrity of its
business operations.
September 2024
51
 Motilal Oswal Financial Services
Power Utilities: Thematic
Management overview
Shri Gurdeep Singh, Chairman & Managing Director
Mr. Singh has been the CMD of NTPC since CY16. Before joining NTPC, he was
the MD of Gujarat State Electricity Company Ltd. He started his career at NTPC
as an Engineer Trainee in CY87.
He graduated in mechanical engineering from NIT Kurukshetra and completed
Management Education Program at IIM Ahmedabad. He has served as Co-chair
for the taskforce on Energy & Resource efficiency, B20 Italy CY21.
Shri Jaikumar Srinivasan, Director (Finance and HR)
Mr. Srinivasan was appointed as the Director (Finance) in Jul’22. He has more
than 30 years of experience in the Power and Mining sectors in State and
Central PSUs. He also has eight years of Board-level exposure.
He is a commerce graduate and also an Associate Member of the Institute of
Cost Accountants of India. Before his appointment at NTPC, he was the Director
(Finance) of NLC India Ltd.
Shri K. Shanmugha Sundaram, Director (Projects)
Mr. Sundaram joined NTPC as a graduate engineer trainee in CY88 and has over
35 years of diverse and versatile experience. He was actively involved in the
development of the first supercritical power project of NTPC at Sipat. He has
also worked in various capacities at the NTPC Darlipali Project.
He is an Electronics and Communication Engineering graduate from the Govt.
College of Technology, Coimbatore with PGDM in Strategy & Finance from MDI
Gurgaon.
Shri Ravindra Kumar, Director (Operations)
Mr. Kumar joined NTPC as a Graduate Engineer Trainee officer in CY89 and has
more than 34 years of diverse experience in commissioning, O&M, engineering,
and project management. He has also been the CEO of Patratu Vidyut Utpadan
Nigam Ltd.
He did B.Sc. (Engineering) in Mechanical Engineering from BIT Sindri in CY88.
Prior to his current role, he was the Officer on Special Duty (OSD) to Director
(Operations), NTPC.
Shri Shivam Srivastava, Director (Fuel)
Mr. Srivastava joined NTPC in CY88 and has over 34 years of experience. Prior to
his elevation to his current role, he was working as CGM and Business Unit Head
of Pakri Barwadih Coal Mining Project of NTPC.
He is a Mechanical Engineering graduate from Kamala Nehru Institute of
Technology, Sultanpur and Post Graduate in Business Management from MDI
Gurgaon. He also underwent a Leadership Management course at Harvard
Business School, Boston (USA).
September 2024
52
 Motilal Oswal Financial Services
Power Utilities: Thematic
Financials and valuations
Consolidated Income Statement
Y/E March
Net Sales
Change (%)
Total Expenses
EBITDA
Depn. & Amortization
EBIT
Net Interest
Other income
PBT before EO
Regulatory inc./(exp)
EO expense (inc.)
PBT after EO
Tax
Rate (%)
JV
Reported PAT
Minority
Adjusted PAT
Change (%)
Consolidated Balance Sheet
Y/E March
Share Capital
Reserves
Net Worth
Minority Interest
Total Loans
Deferred Tax Liability
Capital Employed
Gross Block
Less: Accum. Deprn.
Net Fixed Assets
Capital WIP
Goodwill
Investments
Curr. Assets
Inventories
Account Receivables
Cash and Bank Balance
Others
Curr. Liability & Prov.
Account Payables
Provisions & Others
Net Curr. Assets
Appl. of Funds
FY21
11,15,312
1.9
7,77,093
3,38,218
1,24,503
2,13,715
96,552
40,157
1,57,320
19,032
15,122
1,67,061
24,205
14.5
6,838.7
1,49,694
3,348
1,62,625
36.6
FY22
13,26,693
19.0
9,30,119
3,96,573
1,37,878
2,58,695
93,747
23,250
1,88,198
14,865
0
2,09,873
50,471
24.0
10,201.3
1,69,603
2,844
1,69,603
4.3
FY23
17,62,072
32.8
12,77,283
4,84,789
1,47,923
3,36,866
1,05,835
17,692
2,48,723
-4,131
0
2,31,377
67,961
29.4
7,797.7
1,71,214
2,088
1,71,214
0.9
FY24
17,85,009
1.3
12,87,537
4,97,472
1,62,036
3,35,436
1,19,407
26,650
2,42,679
10,002
0
2,65,061
68,092
25.7
16,356.0
2,13,325
5,206
2,13,325
24.6
FY25E
19,13,543
7.2
13,51,801
5,61,743
1,82,241
3,79,502
1,14,741
26,650
2,91,410
0
0
2,91,410
82,169
28.2
17,856.0
2,27,097
3,282
2,27,097
6.5
FY26E
20,50,540
7.2
14,35,548
6,14,992
1,99,513
4,15,479
1,14,723
26,650
3,27,406
0
0
3,27,406
90,411
27.6
19,356.0
2,56,351
4,411
2,56,351
12.9
(INR m)
FY27E
21,55,487
5.1
14,86,518
6,68,969
2,17,387
4,51,582
1,24,022
26,650
3,54,210
0
0
3,54,210
97,480
27.5
21,856.0
2,78,586
4,486
2,78,586
8.7
(INR m)
FY27E
96,967
19,48,803
20,45,769
56,310
25,90,167
1,40,619
48,32,866
51,02,334
17,54,913
33,47,421
6,80,100
0
2,47,914
12,15,528
1,57,057
3,15,817
1,72,249
5,70,404
6,58,097
1,23,455
5,34,642
5,57,431
48,32,866
FY21
96,967
11,60,418
12,57,385
35,237
23,16,425
88,119
36,97,166
27,35,469
7,03,017
20,32,452
10,58,803
0
1,05,893
7,81,756
98,096
3,16,724
43,878
3,23,058
2,81,737
88,064
1,93,673
5,00,018
36,97,166
FY22
96,967
12,56,771
13,53,737
37,604
23,47,202
99,560
38,38,103
30,89,597
8,40,367
22,49,230
10,01,477
0
1,06,262
7,98,241
1,01,393
3,26,413
44,581
3,25,854
3,17,108
1,13,620
2,03,488
4,81,134
38,38,103
FY23
96,967
13,73,265
14,70,232
39,305
22,10,924
1,17,522
38,37,981
33,92,828
9,88,584
24,04,244
8,91,790
0
1,39,348
10,34,372
1,42,404
3,27,511
49,485
5,14,972
6,31,773
1,13,562
5,18,211
4,02,599
38,37,981
FY24
96,967
15,10,126
16,07,093
44,130
23,50,403
1,40,619
41,42,245
37,45,108
11,55,772
25,89,336
8,76,645
0
1,58,846
11,65,440
1,80,191
3,46,372
68,473
5,70,404
6,48,022
1,13,380
5,34,642
5,17,419
41,42,245
FY25E
96,967
16,35,856
17,32,823
47,412
22,99,998
1,40,619
42,20,852
42,40,351
13,38,012
29,02,339
7,22,958
0
1,86,702
10,62,245
1,49,573
3,05,467
36,801
5,70,404
6,53,390
1,18,748
5,34,642
4,08,854
42,20,852
FY26E
96,967
17,82,393
18,79,360
51,823
23,57,686
1,40,619
44,29,488
45,82,593
15,37,526
30,45,068
7,42,550
0
2,16,058
10,82,803
1,54,846
3,13,889
43,665
5,70,404
6,56,989
1,22,347
5,34,642
4,25,814
44,29,488
September 2024
53
 Motilal Oswal Financial Services
Power Utilities: Thematic
Financials and valuations
Ratios
Y/E March
Basic (INR)
EPS
Cash EPS
BV/Share
DPS
Payout (%)
Dividend yield (%)
Valuation (x)
P/E
Cash P/E
P/BV
EV/EBITDA
Dividend Yield (%)
Return Ratios (%)
EBITDA Margin (%)
Net Profit Margin (%)
RoE
RoCE (post-tax)
RoIC (post-tax)
Working Capital Ratios
Fixed Asset Turnover (x)
Asset Turnover (x)
Debtor (Days)
Inventory (Days)
Leverage Ratio (x)
Current Ratio
Net Debt/EBITDA
Debt/Equity
Consolidated Cash Flow Statement
Y/E March
EBITDA
FX gain/loss
WC
Others
Direct taxes (net)
CF from Op. Activity
Capex
FCF
Int & div income
Investments(subs/JVs)
CF from Inv. Activity
Share capital
Borrowings
Finance cost
Dividend
Others
CF from Fin. Activity
(Inc)/Dec in Cash
Opening balance
Closing balance
FY21
16.8
29.6
129.7
5.7
33.7
4.5
25.3
14.3
3.3
19.0
1.3
30.3
14.6
13.3
6.4
7.6
0.5
0.3
104
32
FY22
17.5
31.7
139.6
7.0
40.0
4.2
24.2
13.4
3.0
16.3
1.7
29.9
12.8
13.0
6.1
7.6
0.6
0.3
90
28
FY23
17.7
32.9
151.6
7.3
41.1
2.3
24.0
12.9
2.8
13.0
1.7
27.5
9.7
12.1
7.5
8.7
0.7
0.5
68
29
FY24
22.0
38.7
165.7
7.8
35.2
2.1
19.3
11.0
2.6
12.9
1.8
27.9
12.0
13.9
7.4
8.6
0.7
0.4
71
37
FY25E
23.4
42.2
178.7
10.1
43.2
2.4
18.1
10.0
2.4
11.4
2.4
29.4
11.9
13.6
7.7
8.6
0.7
0.5
58
29
FY26E
26.4
47.0
193.8
10.9
41.1
2.6
16.0
9.0
2.2
10.5
2.6
30.0
12.5
14.2
8.1
9.0
0.7
0.5
56
28
FY27E
28.7
51.1
211.0
11.1
38.7
2.6
14.8
8.3
2.0
9.8
2.6
31.0
12.9
14.2
8.2
9.1
0.6
0.4
53
27
6.7
1.8
5.8
1.7
4.5
1.4
4.6
1.4
4.0
1.3
3.8
1.2
3.6
1.2
(INR m)
FY27E
6,68,969
-3,032
-97,480
0
5,68,457
-4,67,291
1,01,165
26,650
0
26,650
0
2,32,482
-1,24,022
-1,07,691
0
770
1,28,585
43,665
1,72,249
FY21
3,38,218
15,364
-33,496
13,295
3,33,381
-3,69,374
-35,993
40,157
-5,000
35,157
-1,979
1,21,651
-96,552
-55,310
40,580
8,390
11,735
32,143
43,878
FY22
3,96,573
28,090
-43,661
12,892
3,93,894
-2,91,970
1,01,923
23,250
5,000
28,250
0
26,677
-93,747
-69,331
11,274
-1,25,127
703
43,878
44,581
FY23
4,84,789
1,78,362
-81,176
19,400
6,01,374
-2,18,332
3,83,042
17,692
-500
17,192
0
-1,09,745
-1,05,835
-70,301
-67,055
-3,52,936
36,253
44,581
49,485
FY24
4,97,472
-84,854
-55,712
25,131
3,82,037
-3,40,276
41,761
26,650
0
26,650
0
1,39,479
-1,19,407
-75,149
6,438
-48,639
22,895
49,485
68,473
FY25E
5,61,743
76,892
-82,169
0
5,56,466
-3,51,556
2,04,910
26,650
0
26,650
0
-50,405
-1,14,741
-98,085
0
-2,63,232
-31,672
68,473
36,801
FY26E
6,14,992
-10,096
-90,411
0
5,14,485
-3,71,834
1,42,651
26,650
0
26,650
0
57,688
-1,14,723
-1,05,403
0
-1,62,437
6,864
36,801
43,665
September 2024
54
 Motilal Oswal Financial Services
Initiating Coverage | Sector: Power Utilities
Power Utilities: Thematic
Power Grid
BSE Sensex
84,929
S&P CNX
25,939
CMP: INR341
TP: INR425 (+24%)
Buy
Capex uptrend drives long-term earnings visibility
Stock info
Bloomberg
Equity Shares (m)
PWGR IN
9301
M.Cap.(INRb)/(USDb)
52-Week Range (INR)
1, 6, 12 Rel. Per (%)
12M Avg Val (INR M)
Free float (%)
3170.1 / 37.9
363 / 194
-4/11/37
5180
48.7
Financial Snapshot (INR b)
Y/E March
Sales
EBITDA
Adj. PAT
EPS (INR)
EPS Gr.%
BV/Sh. (INR)
Ratios
Net D:E
RoE (%)
RoCE (%)
Payout (%)
Valuation
P/E (x)
P/B (x)
EV/EBITDA (x)
Div. yield (%)
FY24
452.7
393.3
155.7
16.7
1.0
93.6
1.6
18.3
9.7
68.0
20.4
3.6
11.3
3.3
FY25E
495.8
426.3
170.7
18.4
9.6
98.2
1.4
19.1
10.4
71.6
18.6
3.5
10.2
3.4
FY26E
518.4
438.0
178.7
19.2
4.7
103.0
1.3
19.1
10.7
71.2
17.8
3.3
9.6
3.5
We initiate coverage on PWGR with a BUY rating and a TP of INR425. We assess a
total transmission opportunity of INR2t in the Indian power sector, and with a 50-
60% market share, PWGR remains the leading player to tap into this opportunity.
Capex and capitalization trends are just picking up for PWGR, with consolidated
capex guided to rise 20% in FY25 and consolidated capitalization likely to double
in FY25.
PWGR's earnings outlook is strong thanks to its robust work pipeline, with an
order book-to-revenue ratio of 2.5x as of 1QFY25 end. Upcoming HVDC projects,
where PWGR has a higher win ratio vs. private peers, will generate higher ROE vs.
TBCB projects, where competition is intense. A maiden data center and cross-
border projects provide future growth optionality.
We believe the Street’s ROE-related concerns due to a rising share of TBCB
projects are overdone, as 1) PWGR's equity in TBCB operations was only 5% of
consolidated equity as of FY24, 2) its upcoming HVDC projects are on RTM basis
and so will earn higher IRR; the pipeline will keep evolving due to the growing RE
footprint, and 3) significant work in hand means PWGR can be more selective in
bidding going forward.
Despite virtually no commodity risk/minimal execution risk, PWGR boasts a
higher dividend yield (FY26: 3.5%) vs. other transmission/city gas utilities (GAIL,
GSPL, IGL, MGL, Gujarat Gas), which protects downside despite the stock trading
at a multi-year high 1-year fwd PE of 18x.
Strong visibility of EPS and OCF growth; dominant market share
Shareholding pattern (%)
As On
Jun-24 Mar-24 Jun-23
Promoter
51.3
51.3
51.3
DII
16.3
15.3
12.6
FII
28.7
29.8
33.1
Others
3.6
3.6
2.9
FII Includes depository receipts
Stock Performance (1-year)
India’s ambition to grow its RE capacity to 500GW by 2030, upcoming
battery storage and pumped hydro projects, and aspirations to be a part of
One World remain the key growth drivers for PWGR in the coming years.
As of 26
th
July 2024, PWGR had total “work in hand” of INR1,141b, providing
medium-term visibility of earnings and cash flows. About 41% of the “work-
in-hand” pertains to RTM projects, which earn superior ~15% ROE.
Further, in FY24, PWGR had been the successful bidder for 13 ISTS TBCB
(tariff-based competitive bidding) projects that transformed into an overall
65% market share in terms of NCT costs. As such, despite rising
competition, PWGR is the best way to play the multi-year tender award
theme.
Upcoming HVDC projects, in our view, remain attractive investment
opportunities for PWGR, given higher ROE (vs. TBCB projects). Further,
PWGR, given its experience, remains best placed to win and execute HVDC
projects, as private players, such as Adani Energy Solutions and Sterlite
Power Transmission, have a limited track record in HVDC projects.
Given rising data consumption in India and the need for expansion in the
data center sector, PWGR has undertaken a pilot project at Manesar. The
data center will feature ~1,000 racks and is expected to be implemented by
4QFY25.
HVDC projects, maiden data center can be future growth drivers
September 2024
55
 Motilal Oswal Financial Services
Power Utilities: Thematic
PWGR is also evaluating potential sites for additional data centers in Bangalore,
Hyderabad, Chennai and other metro cities and aims to play a significant role in
the data center industry, with a projected investment of INR10b by 2032.
The robust order book pipeline is instrumental in guiding FY25 capex growth of
~20% to INR150b. About one-third of the capex will be incurred on RTM
projects, which earn a higher ROE of ~15%.
Management has guided an increase in capex to INR242b in the coming years,
from INR125b in FY24. The sharp rise in capex is driven by a massive INR2.07t
bid pipeline to be awarded by 2032, of which INR1.9t pertains to the
transmission segment, in which PWGR is a dominant player. Overall, >80% of
the work-in-hand is related to RE evacuation.
The awarding activity for new segments, such as offshore wind, has just started
and is likely to pick up pace in the coming quarters. We estimate a capex of
INR153b/INR211b in FY25/FY26.
One of the key concerns of investors has been that equity investment in lower-
ROE TBCB projects (12-13%) has been rising (FY24 end: 5%) vs. investment in
RTM projects, which generate ~15% ROE.
However, the HVDC bid pipeline, which entails higher IRR, has continued to firm
up and PWGR has secured two HVDC projects recently. In FY23-24, PWGR
received investment approvals totaling ~INR3.6b for transmission projects under
RTM and secured projects worth INR335b through the TBCB mechanism.
Also, despite a substantial re-rating and no commodity risk/low execution risk,
PWGR boasts a higher dividend yield (FY26: 3.6%) vs. other transmission utilities
such as GAIL, GSPL or city gas distribution utilities such as IGL, MGL, and Gujarat
Gas. The high dividend yield protects downside despite a multi-year high 1-year
fwd PE.
PWGR is projected to achieve a PAT CAGR of 6% during FY24-27 as the capex
cycle picks up and capitalization increases. The commissioning of various TBCB
projects secured in the last two years should contribute to earnings growth. We
estimate ROE of ~19% in the FY24-27 period despite intense competition in the
TBCB space. Beyond FY27, HVDC projects will likely be a key driver of earnings
growth.
We derive the target price of INR425 for PWGR based on Dec’26E EBITDA and an
EV/EBITDA multiple of 11x, which we think is reasonable but at the higher end
of the historical range.
We estimate an ROE of 19% in FY25/FY26 even as the company is likely to earn
only 12-13% on TBCB projects. We expect its capex to rise to INR210b by FY26
(FY24: INR114b).
Key downside risks to our estimates and investment view stem from: 1) return
ratios, which may face the risk of peaking out as the share of more profitable
regulated tariff mechanism (RTM)-based projects will continue to decline over
the years, 2) rising competitive intensity in tariff-based competitive bidding
(TBCB), and 3) supply-chain issues leading to project delays, especially in the
renewables sector.
Capex cycle is just picking up now
ROE concerns might be overdone; strong dividend yield
Building in 6% PAT CAGR over FY24-27 as capex cycle picks up
Valuation and risks
September 2024
56
 Motilal Oswal Financial Services
Power Utilities: Thematic
STORY IN CHARTS
PWGR’s last four quarter order book-to-sales ratio going up
2.5
1.7
1.3
1.1 1.2 1.0
1.3 1.2
0.9
0.7 0.6
1.1 1.1 1.1 1.1 1.1
1.9
Dividend yield comparison with other utilities
Consolidated gross block
Gross Block (INR b)
16.9 16.1
13.6
14.8
11.6
8.5
6.0
5.2
5.3
5.0
5-yr rolling CAGR (%)
Dividend payout trend
Div. payout (%)
Regulatory limit (%)
187
158
57
80
60
42
68
68
89
72
71
62
68
42
45
RE/Capex (%)
44
21
28
22
54
54
23
Standalone capex
Capex
274
278
188
102
55
207
195
117
64
36
31
30
55
69
106
117
153
116
135
140
Capitalization
Regulated equity trend
Reg. Equity
Standalone Adj. PAT (INRb)
503
561
607
665
711
724
736
771
812
853
86
96
104
128
138
151
154
149
157
164
September 2024
57
 Motilal Oswal Financial Services
Power Utilities: Thematic
Consolidated CWIP/capital employed
CWIP/Cap Employed (%)
17.7
17.9
19.1
16.5
19.4
18.3
RoE (%)
19.1
19.1
19.0
Standalone capitalization
Standalone capitalization (INR b)
44.4
47.0
38.5
21.4
13.3
3.7
11.9
16.1
10.7
9.6
13.0 13.5
6.5
11.7
12.1
10.6
5.5
6.0
7.1
7.1
7.0
7.1
Consolidated Capitalization
Consol capitalization (INR b)
76.3
56.4
52.4
Consolidated Capital expenditure
Consol capex (INR b)
34.9
17.6 19.4
18.7
14.8 17.4
22.1
15.1
37.8
27.4
34.4 34.4
46.2
21.8
13.5
23.8
23.2
17.9 20.6 22.2 16.2
17.8
18.4
Source: Company, MOFSL
Source: Company, MOFSL
Recent new order win momentum has been strong
Date
12-Aug-24
08-Aug-24
10-May-24
10-May-24
16-Apr-24
16-Apr-24
16-Apr-24
05-Jan-24
01-Jan-24
State
Rajasthan
Rajasthan
Rajasthan
Rajasthan
Rajasthan
Gujarat
Rajasthan
Karnataka
Rajasthan
Capacity (GW)
n.a.
n.a.
5.5
5.5
5.5
7
5.5
2.5
n.a.
Source: Company, MOFSL
September 2024
58
 Motilal Oswal Financial Services
Power Utilities: Thematic
Company overview
Power Grid Corporation of India Limited (PWGR), a ‘Maharatna’ CPSE, is India's
largest power transmission utility, transmitting 45% of the nation's electrical
energy. With 177,790ckm of transmission lines and over 290,000 towers, it
ranks among the world's top utilities.
PWGR also operates 18 HVDC stations with 800kV and 500kV systems, each
capable of transmitting up to 6GW, sufficient for most cities, except Delhi,
where demand is around 8GW. The government holds a majority stake of
51.34% in the company, while the remaining shares are publically owned.
In support of the government’s goal of achieving 500GW of non-fossil fuel-based
capacity by 2030, PWGR has enabled the evacuation of over 48GW of non-fossil
energy capacities. PWGR is also engaged in undertaking cross-border electricity
inter-connections, with a total capacity of 4.7GW, which has helped India trade
power with Nepal, Bhutan, Bangladesh, and Myanmar.
Exhibit 59:
PWGR’s Operational transmission lines (CKM)
Operational Transmission Lines (CKM)
1,70,685
1,58,298
1,72,437
1,74,113
1,77,699
1,56,884
FY19
FY20
FY21
FY22
FY23
FY24
Source: Company, MOFSL
Exhibit 60:
Revenue growth from FY20-27E
21%
Consol Revenue (INRb)
YoY Growth
10%
5%
-1%
5%
Exhibit 61:
PAT growth from FY20-27E
Reported PAT (INRb)
40%
YoY Growth
12%
1%
3%
10%
9%
-8%
1%
10%
5%
5%
394
400
411
459
453
496
518
544
111
120
168
154
156
171
179
187
Source: Company, MOFSL
Source: Company, MOFSL
Dominant player with sizeable market share:
The total transmission network in India spans 486,517ckm. This includes
183,080ckm of central transmission lines, 261,439ckm of state transmission
lines, and 41,998ckm managed by joint ventures and the private sector.
Among the key transmission operators, which collectively manage 229,954ckm
of transmission lines, PWGR holds a commanding 77% share. The remaining 23%
is distributed among Tata Power, Sterlite Power, IndiGrid, and Adani Energy.
September 2024
59
 Motilal Oswal Financial Services
Power Utilities: Thematic
This distribution underscores PWGR's significant dominance and central role in
India's transmission infrastructure.
Ambitious RE targets, rising energy storage are transmission capex drivers
We believe the following are the key growth drivers for the transmission sector
in the medium term:
Non-fossil fuel capacity:
India aims to add 500GW of non-fossil fuel-based
capacity by 2030. This ambitious target requires a significant expansion of
transmission infrastructure to accommodate new energy sources that are often
concentrated in a few states.
Energy storage:
To address peak demand and evening consumption, India is
investing in various energy storage solutions, including battery storage and
pumped storage systems, all of which are inter-connected through the
transmission network.
International connectivity:
The global "One Sun, One World, One Grid" initiative
drives the need for international interconnections. India plans to establish
connections with countries such as Sri Lanka, Myanmar, Gulf nations,
Bangladesh, and Nepal to facilitate this global vision.
Green Hydrogen Mission:
The Government of India's Green Hydrogen Mission
targets the production of green hydrogen, necessitating an additional 125GW of
renewable energy capacity.
Strong business outlook premised upon rising capex uptrend
PWGR's earnings outlook remains strong as capex is set to rise from INR114b in
FY24 to INR220b in FY27. The strong increase in capex is a function of a robust
and increasing order book, with INR1,141b of work in hand at 1QFY25 end. This
includes INR103b for ongoing RTM projects, INR370b for new RTM projects and
INR668b for other projects.
Exhibit 62:
PWGRs' Last 4 Quarter Order Book to Sales Ratio
2.49
1.68
1.34
1.06 1.20 1.03
1.28 1.23
0.87
0.67 0.59
1.06 1.08 1.10 1.07 1.10
1.89
Source: Company, MOFSL
PWGR's 2032 business outlook projects a total investment opportunity of
INR2,075b. Of this, INR1,905b is allocated to transmission projects, including
inter-state, intra-state, cross-border, and international initiatives. The remaining
INR170b will be invested in other areas such as smart metering, data centers,
and solar generation. Additionally, the company has over INR1,000b worth of
September 2024
60
 Motilal Oswal Financial Services
Power Utilities: Thematic
transmission projects in its bidding pipeline, with 70-80% expected to advance
or be completed by FY25.
Exhibit 63:
Recent new order win momentum has been strong
Date
12-Aug-24
08-Aug-24
10-May-24
10-May-24
16-Apr-24
16-Apr-24
16-Apr-24
05-Jan-24
01-Jan-24
State
Rajasthan
Rajasthan
Rajasthan
Rajasthan
Rajasthan
Gujarat
Rajasthan
Karnataka
Rajasthan
Capacity (GW)
n.a.
n.a.
5.5
5.5
5.5
7
5.5
2.5
n.a.
Source: Company, MOFSL
While PWGR is projecting industry capex of INR2t by 2032, according to the
National Electricity Plan (Volume II: Transmission), an estimated INR4,758b will
be needed for additional transmission infrastructure between 2022 and 2027.
This expenditure will cover new transmission lines and substations.
Exhibit 64:
Works in Hand
Works in Hand (INRb)
668
370
103
Ongoing RTM Projects
New RTM Projects
Other Projects
Source: Company, MOFSL
Exhibit 65:
Transmission Business
Cross Border
5%
International
projects
4%
Exhibit 66:
Other Business
Smart
Metering
Infrastructure
6%
Data Centre
Business
6%
Solar
Generation
88%
Intra State
20%
Estimated
outlay up to
year 2032
INR1905b
Inter State
71%
Estimated
outlay up to
year 2032
INR170b
Source: Company, MOFSL
Source: Company, MOFSL
September 2024
61
 Motilal Oswal Financial Services
Power Utilities: Thematic
HVDC projects represent substantial opportunities
Upcoming HVDC projects, in our view, remain attractive investment
opportunities for PWGR given higher ROE (vs. TBCB projects). Further, PWGR,
given its experience, remains best placed to win and execute future HVDC
projects as private players, such Adani Energy Solutions or Sterlite Power
Transmission, have a limited track record for HVDC projects.
The Leh-Kaithal HVDC project, part of the Green Energy Corridor (GEC) Phase-II,
is aimed at transmitting power from Ladakh to Haryana. With an estimated cost
of INR207.7b, this project is scheduled for completion by FY30. It will connect
13GW of upcoming RE projects in Ladakh, marking a world-first for high-altitude
HVDC development at 4,500 meters. This is a challenging project given defense
sensitivities and harsh climatic conditions.
PWGR is advancing its efforts to evacuate power from RE zones in Rajasthan
through the Fatehpur-Bhadla HVDC project, which it won in 1QFY25. This
initiative includes the construction of a new 765 kV transmission system. The
project is valued at ~INR130b and is expected to be commissioned by FY29.
Maiden data center could herald new growth avenues
Given the rising data consumption in India and the need for expansion in the
data center sector, PWGR has undertaken a pilot project at Manesar. The data
center will feature ~1,000 racks and is expected to be implemented by 4QFY25.
The first phase will entail an investment of over INR7b, while the second phase
is projected to require around INR20b. PWGR is also evaluating potential sites
for additional data centers in Bangalore, Hyderabad, Chennai and other metro
cities.
The company aims to play a significant role in the data center industry, with a
projected investment of INR10b in this sector by 2032.
Smart meter represents INR1500b investment opportunity
PWGR is actively entering the smart metering sector, aligning with the
government’s ambitious Smart Meter National Program (SMNP) plan to replace
250m conventional meters with smart prepaid meters nationwide.
SMNP offers an INR1,500b capex opportunity for India's power distribution
sector. With an average cost of INR6,000 per meter, prepaid smart meters are
expected to boost discoms' collection efficiency. The central government will
also provide grants of up to INR1,350 per meter to enhance discoms' financial
stability. This initiative aims to reduce T&D losses, lower operational costs,
improve demand forecasting, and increase revenue for discoms.
Despite this, progress has been slower than anticipated, with only about 9.7m
meters installed by Feb'24, and supply chain issues affecting the pace.
PWGR plans to invest ~INR150b in smart metering infrastructure by 2032. The
company has already awarded contracts for about 6.9m meters in Gujarat,
Madhya Pradesh, and Uttar Pradesh, with around 30,000 meters installed by
May'24.
While the transition from postpaid to prepaid metering has presented some
initial challenges, particularly in software, these issues are being addressed.
PWGR expects to improve the pace of installation as these teething problems
are resolved.
62
September 2024
 Motilal Oswal Financial Services
Power Utilities: Thematic
We believe the pace of smart meter installation should pick up in the coming
years, driven by advances in tendering and the government's focus on
enhancing discom finances.
Cross-border opportunities may arise as generation capacity expands
With a presence in 23 countries, PWGR is expanding its footprint globally and
has established a cross-border interconnection network with a capacity of
4.75GW, extending to Nepal, Bhutan, Bangladesh, and Myanmar.
The company is set to invest up to INR100b in cross-border projects by 2032,
demonstrating its strategic focus on enhancing its international infrastructure
footprint and allowing India to trade in power with neighboring countries.
Multi-year capex uptrend has just begun
For FY25, Power Grid has allocated a capex of INR180b. The company's total
work in hand is valued at INR1,140b, a figure expected to rise with upcoming
project bids. Significant ongoing projects include the HVDC transmission systems
for Leh and Kaithal, costing ~INR200b, and the Fatehpur and Bhadla projects,
totaling around INR120b-130b.
After accounting for these major projects, the remaining projects are worth
~INR700b-800b, slated for commissioning by FY27. PWGR aims to invest over
INR250b in FY26 and around INR300b in FY27, demonstrating a robust
commitment to advancing and completing its extensive project pipeline.
Exhibit 68:
Consolidated capitalization in FY20-27E
Consol Capitalisation (INRb)
222.2
209.2
155.7
215.4
219.6
Exhibit 67:
Consolidated capex trend on the rise
Consol Capex (INRb)
211.2
153.7
113.7
93.6
79.7
FY22
82.4
FY23
FY24
FY25E FY26E FY27E
Source: Company, MOFSL
114.0
203.3
146.5
70.0
FY20
FY21
FY22
FY23
70.2
FY24
FY25E FY26E FY27E
Source: Company, MOFSL
FY20
FY21
ROE concerns might be overdone
One of the key concerns of investors has been that equity in lower-ROE TBCB
projects has been rising. As of FY24, PWGR's equity in TBCB operations stands at
INR38b, with an additional INR5.9b in TBCB projects under construction. As
such, equity invested in TBCB projects accounts for only 5% of consolidated
equity and is unlikely to be a drag on overall ROE. ROE on TBCB projects is
estimated at 12-13%, compared to ~15% for RTM projects.
Further, we also highlight that HVDC projects and some of the recent RTM
projects won by the company such as Green Energy Corridor for Ladakh - Pang
to Kaithal HVDC; Fatehpur-Badla HVDC project Phase III (Part I) will earn higher
IRR, thus supporting overall ROE, in our view.
September 2024
63
 Motilal Oswal Financial Services
Power Utilities: Thematic
In FY 2023-24, PWGR received investment approvals totaling ~INR3.6b for
transmission projects under RTM and secured projects valued ~INR335b
through the TBCB mechanism.
The company operates with a shareholder-approved debt ceiling of INR1.8t, yet
current debt is at INR1.2t. PWGR operates at a debt level significantly below the
approved debt ceiling, largely due to lower capex in recent years, which
averaged between INR80b and INR92b annually, although it increased to
INR122b in FY24 and will rise further to INR 180b in FY25. Also, the scheduled
debt repayments between INR120b and INR130b have contributed to the
reduced debt level. As capex is expected to rise, the debt-equity ratio may
increase in coming years, leading to a more efficient balance sheet, thus
boosting ROE further.
Consol ROE (%)
19.4
18.3
Exhibit 69:
Consolidated ROE (%)
19.1
17.9
16.5
19.1
19.1
19.0
FY20
FY21
FY22
FY23
FY24
FY25E
FY26E
FY27E
Source: Company, MOFSL
Highest dividend yield among utilities; protects downside
Despite virtually no exposure to commodity risk and minimal execution risk,
PWGR boasts a higher dividend yield compared to companies such as GAIL,
GSPL, IGL, MGL, and Gujarat Gas, which are subject to commodity price
volatility.
Given PWGR's consistent history of dividend payments, it is anticipated that the
company will continue to distribute dividends in the near future, even with its
ongoing capex and growth initiatives. This elevated dividend yield reflects
PWGR's stable earnings and robust cash flows and suggests that PWGR may be
undervalued relative to its peers.
Exhibit 70:
Dividend yield (%)
FY25E
FY26E
3.4
3.5
2.5
2.7
2.9
3.2
2.7
1.0
1.1
1.3
1.7
2.8
1.3
1.1
PWGR
NTPC
GAIL
GUJS
IGL
MAHGL
GUJGA
Source: Bloomberg, MOFSL
PWGR’s attractiveness as an investment could get a boost should interest rates start
declining in India and globally.
September 2024
64
 Motilal Oswal Financial Services
Power Utilities: Thematic
Exhibit 71:
India G-sec and PWGR PE multiple comparison
PWGR 1Y Fwd P/E (x)
21.0
17.3
13.5
10.6
9.8
6.0
7.0
LTA - PWGR 1Y Fwd P/E (x)
Govt. Sec. 10Y yeild (%)
19.3
9.0
8.0
7.0
6.0
5.0
Source: Bloomberg, MOFSL
Risks
Moderation in incremental order book:
Transmission capacity has seen
substantial growth, with inter-regional capacity increasing by 224% to 116GW
since 2014. While the long-term outlook remains positive, a slowdown in the
pace of auctions will create uncertainties for earnings growth for transmission
players. The shift toward a TBCB approach, as opposed to the previous
nomination-based system, has increased competition and may lead to IRR
concerns.
Risks from capex delays and equipment shortages:
If the transmission capex
cycle is slower than expected, PWGR's favorable outlook could be at risk,
leading to slower earnings growth in the coming years. The risk of a slower
capex cycle may stem from ongoing global shortage of transmission equipment.
Right of way remains a key challenge:
Challenges such as right-of-way and land
acquisition may contribute to project delays and cost/time overruns.
Furthermore, the sector is increasingly vulnerable to cybersecurity threats. As
the grid becomes more digitalized, it faces greater risks from cyberattacks,
which could disrupt power supply and compromise grid security.
Valuation
We derive the target price of INR425 for PWGR based on Dec’26E EBITDA and an
EV/EBITDA multiple of 11x which we think is reasonable though at the higher
end of the historical range.
Despite virtually no commodity risk/minimal execution risk, PWGR boasts a
higher dividend yield (FY26: 3.5%) vs. other transmission/city gas utilities (GAIL,
GSPL, IGL, MGL, Gujarat Gas), which protects downside despite the stock trading
at a multi-year high 1-year fwd PE of 18x.
September 2024
65
 Motilal Oswal Financial Services
Power Utilities: Thematic
Exhibit 72:
PWGR’s dividend yield has historically been lower than NTPC but this has reversed recently
10.0
PWGR
7.5
5.0
2.5
2.5
3.4
NTPC
12m Div. Yield (%)
-
Source: Bloomberg, MOFSL
Exhibit 73:
Power Grid valuation
Dec-26 EBITDA
EV/EBITDA multiple
EV
Net debt
Target Price
CMP
Upside / (Downside)
INR b
(x)
INR bn
INR bn
INR
INR
%
448
11
4,940
986
425
342
24%
Source: Bloomberg, MOFSL
September 2024
66
 Motilal Oswal Financial Services
Power Utilities: Thematic
SWOT analysis
India’s largest power
transmission company
Attractive return profile
with 90% of equity still
invested in regulated
projects with attractive
returns
Advantageous financing
costs and economies of
scale
Low entry barriers in
the transmission
business
Tough to substantially
raise ROE given large
balance sheet size;
already high dividend
payout ratio
Upcoming opportunities
in TBCB projects can
drive increase in capex
as India plans to raise RE
installed capacity from
~192GW to 500 GW by
2030
New opportunities in
data centers or cross-
border transmission
Changes in government
priorities can disrupt
long-term planning and
investment in the power
sector
Credit-worthiness of
customers such as state
power utilities
Increasing participation
of private players in the
transmission sector poses
a competitive threat to
POWERGRID's market
share
September 2024
67
 Motilal Oswal Financial Services
Power Utilities: Thematic
Bull and Bear cases
Bull case
In our Bull case scenario, we see improved visibility and wins in the TBCB and
intra-state bid pipelines. These will likely drive further re-rating even as earnings
impact is muted since capitalization is likely to materialize post-FY26. We raise
our target EV/EBITDA multiple to 13x.
We raise the consolidated capitalization over FY25-27 period by ~25% and also
model a ~1% EBITDA margin improvement.
Based on the above assumptions, the company’s valuation would be INR540/sh.
Bear case
In our Bear case scenario, we build in ~2% lower EBITDA margin over the FY25-
27 period.
We assume ~24% lower standalone capitalization over FY25-27 period.
We also project reduced visibility in TBCB and intra-state bid pipelines,
prompting a downward adjustment of the EV/EBITDA ratio to 8x.
Based on the above assumptions, the company’s valuation would be INR269/sh.
Exhibit 74:
Scenario analysis – Bull case
INR m
Net revenues
EBITDA
PAT
Target price (INR)
Upside (%)
FY25E
4,97,397
4,29,923
1,70,554
540
59
FY26E
5,23,887
4,47,931
1,80,104
FY27E
5,50,867
4,65,910
1,90,189
Exhibit 75:
Scenario analysis – Bear case
INR m
Net revenues
EBITDA
PAT
Target price (INR)
Downside (%)
FY25E
5,05,369
4,24,182
1,68,868
269
21
FY26E
5,21,709
4,31,335
1,75,281
FY27E
5,40,304
4,40,072
1,82,440
Source: MOFSL
Source: MOFSL
September 2024
68
 Motilal Oswal Financial Services
Power Utilities: Thematic
ESG initiatives
Environment
Power Grid is striving towards the goal of becoming "Landfill-free" by FY30 and
is progressing steadily towards becoming a “Net Zero” organization by FY47.
The company’s aim is to derive 50% of its internal energy consumption from
renewable fuel sources by FY25.
Five Organic Waste Converter machines have been provided to the areas in
Gujarat and Odisha.
It aims to achieve a state of being net water positive by FY30.
Social
A total of 2,093 toilets have been built across public areas in Uttar Pradesh,
Telangana, and Bihar.
Provided desks and benches to 82 government schools spread across Tamil
Nadu, Rajasthan, Bihar, Uttar Pradesh, and Chhattisgarh.
Financial assistance was provided to 1,260 students under the National
Foundation for Communal Harmony.
Health checkup camps at over 40 locations across the country have benefited
more than 3,000 villagers.
Governance
The composition of Risk management committee (applicable to the top 1,000
listed entities) is as per the SEBI (Listing obligations and disclosure
requirements) Regulations, 2015.
September 2024
69
 Motilal Oswal Financial Services
Power Utilities: Thematic
Management overview
Shri Ravindra Kumar Tyagi, Chairman & Managing Director
Mr. Tyagi has over 33 years of extensive industry experience in the Power sector
at various key positions in leading CPSUs. Prior to this, he held the position of
Director (Operations) at Power Grid.
He is an Electrical Engineer from Punjab Engineering College (PEC), Chandigarh
and completed his M. Tech in Energy Studies from IIT Delhi. Further, he is a
“Fulbright Scholar” from Carnegie Mellon University, US.
Shri Abhay Choudhary, Director (Projects)
Mr. Choudhary’s career spans around 37 years in the Power sector. Prior to his
current role, he was the Executive Director (Commercial & Regulatory Cell)
along with the charge of CMD Coordination Cell in the company. He was
associated with NTPC too for six years before joining Power Grid.
He is an Electrical Engineering graduate from NIT Durgapur. He also holds a Post
Graduate Diploma in Management from IMT Ghaziabad.
Shri G Ravisankar, Director (Finance)
Mr. Ravisankar has an experience of 32 years, serving predominantly in Power
Grid. He has vast experience in key finance functions viz. resource mobilization,
budgeting, and financial reporting. He was appointed to the Board in Sep’22.
He is a Mathematics Graduate from the University of Madras and is a Cost
Accountant too. He has also done Post Graduate Diploma in Personnel
Management as well as in Materials Management from the Annamalai
University.
Dr. Yatindra Dwivedi, Director (Personnel)
Dr. Dwivedi is Director (Personnel) of Power Grid. Prior to this role, he was the
Executive Director (HR). He has an experience of over 33 years and started his
professional journey with Hindalco Industries and joined Power Grid in CY93.
He holds a Bachelor’s Degree in Engineering from IIT Roorkee, PGDIE from NITIE
Mumbai (now IIM Mumbai), PGDM from MDI Gurgaon and a Doctorate in
Management.
September 2024
70
 Motilal Oswal Financial Services
Power Utilities: Thematic
Financials and valuations
Consolidated Income Statement
Y/E March
Net Sales
Change (%)
EBITDA
% of Net Sales
Depreciation
Interest
Other Income
PBT before EO
EO income (expense)
PBT after EO
Tax
Rate (%)
Share of JVs and asso.
Reported PAT
Adjusted PAT
Change (%)
FY22
4,10,866
2.7
3,60,372
87.7
1,28,717
80,362
10,816
1,62,108
33,203
1,95,312
27,856
14.3
785
1,68,241
1,39,773
8.6
FY23
4,58,517
11.6
3,97,485
86.7
1,33,334
96,339
10,025
1,77,837
0
1,77,837
22,819
12.8
-821
1,54,197
1,54,197
10.3
FY24
4,52,717
-1.3
3,93,315
86.9
1,30,953
87,728
10,700
1,85,335
0
1,85,335
29,408
15.9
-196
1,55,732
1,55,732
1.0
FY25E
4,95,823
9.5
4,26,310
86.0
1,39,784
96,107
11,768
2,02,188
0
2,02,188
32,695
16.2
1,200
1,70,693
1,70,693
9.6
FY26E
5,18,395
4.6
4,38,043
84.5
1,46,125
93,380
12,890
2,11,428
0
2,11,428
34,266
16.2
1,500
1,78,661
1,78,661
4.7
(INR m)
FY27E
5,43,724
4.9
4,51,694
83.1
1,53,072
90,866
14,068
2,21,824
0
2,21,824
35,952
16.2
1,500
1,87,372
1,87,372
4.9
Balance Sheet
Y/E March
Share Capital
Reserves
Net Worth
Loans
Deferred Rev. & tax
Capital Employed
Gross Fixed Assets
Less: Depreciation
Net Fixed Assets
Capital WIP
Investments
Other Assets
Inventory
Debtors
Cash & Bank Balance
Other Current Assets
Loans & Advances
Other Liabilities
Net Current Assets
Application of Funds
FY22
69,755
6,92,717
7,62,471
13,46,653
2,08,715
23,17,839
26,31,148
7,13,419
19,17,728
1,28,536
37,876
4,25,294
13,572
91,893
50,482
1,58,072
1,11,275
1,91,595
2,33,698
23,17,839
FY23
69,755
7,60,391
8,30,145
12,65,949
2,08,424
23,04,518
27,01,123
8,46,753
18,54,370
1,37,723
34,891
4,75,971
13,400
1,36,945
73,846
1,33,195
1,18,585
1,98,438
2,77,534
23,04,518
FY24
93,006
7,77,480
8,70,486
13,54,522
1,94,910
24,19,918
27,71,367
9,72,767
17,98,600
1,72,453
54,159
5,24,023
13,201
1,17,262
76,769
2,08,615
1,08,176
1,29,316
3,94,708
24,19,919
FY25E
93,006
8,19,997
9,13,003
12,82,143
1,94,910
23,90,056
29,27,092
11,06,643
18,20,449
1,70,454
54,159
5,74,067
12,537
1,17,262
1,18,084
2,16,524
1,09,659
2,29,073
3,44,994
23,90,056
FY26E
93,006
8,65,054
9,58,060
12,30,838
1,94,910
23,83,808
31,42,530
12,46,269
18,96,260
1,66,244
54,159
6,50,638
13,201
1,22,655
1,77,616
2,24,631
1,12,534
3,83,492
2,67,146
23,83,808
(INR m)
FY27E
93,006
9,17,820
10,10,826
11,81,526
1,94,910
23,87,262
33,62,128
13,92,193
19,69,935
1,68,816
54,159
6,96,700
13,639
1,26,552
2,10,196
2,32,940
1,13,373
5,02,347
1,94,353
23,87,263
September 2024
71
 Motilal Oswal Financial Services
Power Utilities: Thematic
Financials and valuations
Ratios
Y/E March
Basic (INR)
EPS
Cash EPS
Book Value
DPS
Div.Payout (incl. Tax.)
Valuation (x)
P/E
Cash P/E
EV/EBITDA
Price/Book Value
Dividend Yield (%)
Profitability Ratios (%)
RoE
RoCE
RoIC
Turnover Ratios
Debtors (Days)
Inventory (Days)
Current Liabilities (Days)
Asset Turnover (x)
Leverage Ratio
Net Debt/EBITDA
Debt/Equity (x)
FY22
15.0
28.9
82.0
11.1
60.2
22.7
11.8
12.4
4.2
3.2
16.5
8.9
9.6
82
10
143
0.2
3.6
1.8
FY23
16.6
30.9
89.3
11.1
68.0
20.6
11.0
11.0
3.8
3.2
19.4
10.3
11.1
109
9
134
0.2
3.0
1.5
FY24
16.7
30.8
93.6
11.3
68.0
20.4
11.1
11.3
3.6
3.3
18.3
9.7
10.6
95
9
83
0.3
3.2
1.6
FY25E
18.4
33.4
98.2
11.5
71.6
18.6
10.2
10.2
3.5
3.4
19.1
10.4
11.5
86
7
129
0.3
2.7
1.4
FY26E
19.2
34.9
103.0
12.0
71.2
17.8
9.8
9.6
3.3
3.5
19.1
10.7
12.1
86
7
192
0.3
2.4
1.3
FY27E
20.1
36.6
108.7
12.0
67.9
16.9
9.3
9.2
3.1
3.5
19.0
11.0
12.7
85
6
239
0.3
2.1
1.2
Cash Flow Statement
Y/E March
PBT before EO Items
Depreciation
Interest
Others
(Inc)/Dec in WC
Direct Taxes Paid
CF from Operations
(Inc)/Dec in FA
(Pur)/Sale of Investments
CF from Investments
(Inc)/Dec in Debt
Interest Paid
Dividend Paid
CF from Fin. Activity
Inc/Dec of Cash
Add: Beginning Balance
Closing Balance
FY22
1,94,975
1,28,717
80,362
-42,116
-63,509
-37,194
2,61,235
-79,662
87,190
7,528
-93,343
-88,207
-1,08,120
-2,89,669
-20,906
71,388
50,482
FY23
1,74,531
1,33,334
96,339
869
25,486
-28,530
4,02,029
-82,426
11,044
-71,383
-1,32,578
-86,468
-85,449
-3,04,496
26,151
25,771
51,922
FY24
1,90,853
1,30,953
87,728
-13,363
10,532
-33,807
3,72,895
-1,14,037
-17,107
-1,31,144
-53,168
-93,677
-1,12,189
-2,59,033
-17,282
51,922
34,640
FY25E
2,02,188
1,39,784
96,107
-11,768
91,029
-32,695
4,84,645
-1,53,727
12,968
-1,40,758
-72,379
-96,107
-1,06,957
-2,75,443
68,443
34,640
1,18,084
FY26E
2,11,428
1,46,125
93,380
-12,890
1,37,381
-34,266
5,41,157
-2,11,227
14,390
-1,96,837
-51,305
-93,380
-1,11,607
-2,56,292
88,028
1,18,084
1,77,616
(INR m)
FY27E
2,21,824
1,53,072
90,866
-14,068
1,05,372
-35,952
5,21,114
-2,22,170
13,917
-2,08,253
-49,312
-90,866
-1,11,607
-2,51,785
61,075
1,77,616
2,10,196
September 2024
72
 Motilal Oswal Financial Services
Initiating Coverage | Sector: Power Utilities
Power Utilities: Thematic
Tata Power
BSE Sensex
84,929
S&P CNX
25,939
CMP: INR443
TP: INR530 (+19%)
Buy
Diversified operations key enabler of growth
Stock info
Bloomberg
Equity Shares (m)
M.Cap.(INRb)/(USDb)
52-Week Range (INR)
1, 6, 12 Rel. Per (%)
12M Avg Val (INR M)
Free float (%)
TPWR IN
3195
1419.2 / 17
471 / 231
1/-1/40
6481
53.1
FY24
614.5
107.8
40.9
12.8
7.5
101.2
1.0
13.4
8.4
15.6
34.6
4.4
17.3
0.5
FY25E
803.2
139.1
50.1
15.7
22.4
111.9
1.2
14.7
9.5
15.9
28.3
4.0
14.4
0.6
FY26E
893.4
158.4
59.5
18.6
18.8
124.6
1.2
15.8
9.2
17.4
23.8
3.6
13.1
0.7
Financial Snapshot (INR b)
Y/E March
Sales
EBITDA
Adj. PAT
EPS (INR)
EPS Gr.%
BV/Sh. (INR)
Ratios
Net D:E
RoE (%)
RoCE (%)
Payout (%)
Valuation
P/E (x)
P/B (x)
EV/EBITDA (x)
Div. yield (%)
We initiate coverage on TPWR with a BUY rating and our SoTP-based TP of
INR530. TPWR is an integrated power utility company with presence across
thermal and renewable power generation, transmission and distribution, and
solar module manufacturing.
TPWR management aims to double EBITDA and PAT by FY27 (vs. FY23) as TPWR
allocates 45% of the INR600b capex over FY24-27 to RE-related businesses. The
outlook beyond FY27 also remains optimistic given the INR40t investment
opportunity in the Indian power sector in the FY24-32 period, in our view.
TPWR’s share of core earnings (excluding coal, Tata Projects, etc.) is set to rise
from 40% in FY23 to 90% in FY27 (as per guidance) as the solar module plant
ramps up operations and 15GW of RE capacity is commissioned. TPWR has also
achieved a solid balance sheet turnaround in the last five years, with its net debt-
to-EBITDA ratio declining to 3.6x from 7.6x over FY19-24.
TPWR’s diversified scale of operations has been a key advantage over peers,
giving it exposure to solar rooftop, distribution reforms, transmission
opportunity, RE generation, module manufacturing and pumped storage. In the
1QFY25 earnings call, TPWR highlighted that it is open to a nuclear investment
opportunity and the management awaits further policy clarity.
TPWR is trading at FY26 EV/EBITDA of 13x vs. the historical average of 10x, which
we believe is only a modest premium given a sharp turnaround in leverage
situation, guidance of 90% earnings from core business by FY27 (FY23: 40%) and
growing income streams from module manufacturing, utility-scale RE projects and
a burgeoning solar rooftop business.
Our SOTP-based TP of INR530 values the RE business at 14x FY27E EV/EBITDA and
the coal and regulated businesses at 1.5x/2.5x FY27E PB, respectively. A robust
14% CAGR in PAT over FY24-27 should help sustain its valuations, in our opinion.
Shareholding pattern (%)
As On
Jun-24 Mar-24
Promoter
46.9
46.9
DII
15.8
15.8
FII
9.5
9.5
Others
27.8
27.9
FII Includes depository receipts
Stock performance (one-year)
Jun-23
46.9
14.9
9.8
28.5
Aims to double profits by 2027; execution is key
TPWR management aims to double the company’s EBITDA and PAT by FY27,
which implies a ~19% CAGR in EBITDA/PAT over FY23-27 period. EBITDA of
the conventional segment is expected to see a reasonable 8% CAGR (as
implied by targets), while T&D and renewables are expected to clock
16%/30% CAGRs over FY23-27, as per the management. Similarly, we
estimate renewables/T&D to contribute ~59%/30% to PAT growth and the
rest 11% by the conventional segment.
We believe this is an ambitious task; however, given TPWR’s scale, we note
that 1) in T&D, the company has recently secured three key projects worth
INR46b, which should aid profitability; 2) in renewables, the 4 GW cell and
module manufacturing facility has already started operations with ~64%
utilization in 1QFY25; 3) RE utility scale pipeline has continued to grow, with
the company looking to commission 3GW/4GW in capacity in FY25/FY26.
September 2024
73
 Motilal Oswal Financial Services
Power Utilities: Thematic
Undergoing a multi-year structural shift in business
TPWR is undergoing a multi-year structural shift that will, over time, lower
earnings volatility, improve balance sheet strength and lower commodity
exposure. Some of these factors, such as lower leverage (FY26E ND/E: 1.2x) and
lower earnings visibility, are already evident in recent results.
The structural shift is mainly driven by the company’s decision to deploy 45% of
~ INR600b capex in the FY24-27 period for RE-related projects, which are backed
by long-term PPAs. The company projects that renewables could form ~45-50%
of EBITDA by FY27, which raises visibility on earnings, cash flow and growth.
Further, with limited thermal capex ahead, RE contribution to EBITDA will
continue to grow even beyond 2030, improving cash flow stability and earnings
predictability.
The stability in operations is already reflecting in the balance sheet, with the
company achieving a rating upgrade from Standard & Poor’s recently
(link).
Integrated business model, strong execution track record
We like TPWR's integrated business model spanning generation, transmission
and distribution with exposure to both conventional and renewable assets.
TPWR’s strong distribution footprint, for example, is a key strategic advantage
that helps the company maintain a dominant market share in the solar rooftop
scheme.
Further, we note that many of the investment opportunities in the power utility
space have emerged only recently (e.g. EV charging, module manufacturing) and
the management has been able to capitalize on these opportunities. For
example, in solar rooftop, TPWR has a solid 13% market share, while the utility-
scale RE pipeline is a sizeable 8 GW currently.
In the 1QFY25 earnings call, the management expressed its willingness to
explore the nuclear opportunity after policy clarity emerges.
Diversified operations key to tapping several outsized opportunities
TPWR is a unique play with exposure to several outsized business opportunities,
such as 1) potential USD30b opportunity in the transmission sector, 2) fast-
emerging electric vehicle charging opportunity, and 3) ~40GW pumped hydro
project potential over the long term, 4) ~30-40GW potential solar rooftop
opportunity. Lastly, in distribution, it is by far the most established player, with
12.5m customers spread across Delhi, Mumbai and Odisha.
As such, the opportunity size for the company can continue to grow over the
next decade given India’s need to expand/upgrade its generation and
transmission infrastructure.
Well placed to leverage synergies with Tata Group
TPWR’s close association with Tata Group has been a strategic advantage over
peers and it enhances synergies across its diverse business segments. For
example, TPWR is a key supplier of thermal power to Tata Steel and has signed
an agreement to provide Tata Steel with 966 MW of hybrid power, expected to
be commissioned in FY25/FY26.
September 2024
74
 Motilal Oswal Financial Services
Power Utilities: Thematic
TPWR is well-positioned to meet the growing energy demands of data centers
and semiconductor manufacturing within the group, utilizing its expertise in
energy infrastructure to support these sectors.
The company’s RE projects also provide a consistent off-take for its power
supply projects (PSP), ensuring reliable energy supply.
Building in 14% PAT CAGR over FY24-27 as new ventures scale up
TPWR is projected to achieve a PAT CAGR of 14% over FY24-27, driven by
several key factors. The ramp-up of its 4GW cell and module manufacturing
facility, along with the commissioning of 15GW RE capacity by FY27, will
significantly drive growth. Additionally, the company has secured three major
projects in the T&D segment worth INR46b, which are expected to further
contribute to profitability.
Valuation and risks
TPWR is trading at 13x FY26E EV/EBITDA vs. the historical average of 10x, which
we believe is only a modest premium given a sharp turnaround in leverage
situation and strong earnings growth.
The valuation of TPWR is segmented across various business units, leading to a
target price of INR530/share. The regulated business is valued using a 2.5x
multiple on regulated equity. The coal segment is valued based on equity with a
1.5x multiple of FY24 book value. The renewables segment is valued at a 14x
multiple of FY27E EBITDA. The pumped storage segment is valued at 1x PB and
other segments are also valued at 1.5x PB. Cash and investments add
INR46/share. The sum of these contributions results in a target price of
INR530/share, reflecting the comprehensive valuation of TPWR's diverse
business segments.
Key risks: 1) While we are optimistic about the company’s solar module
manufacturing business, declining panel prices and significant overcapacity in
China pose a risk; 2) the management's FY27 guidance assumes some inorganic
growth (i.e., distribution license wins, securing bids in TBCB projects, etc.),
which may or may not materialize; and 3) delays in securing government
approvals for projects such as pumped hydro storage to impact project
execution.
September 2024
75
 Motilal Oswal Financial Services
Power Utilities: Thematic
STORY IN CHARTS
Current operational capacity (%)
WHRS/ Hybrid
GFG
3%
3%
Capacity share after completion of pipeline projects (%)
Hybrid
24%
WHRS/
GFG
2%
Thermal
59%
Solar
21%
Wind
4%
Hydro
5%
Thermal
44%
Solar
23%
Wind
6%
Hydro
6%
Targeting 15GW+ Clean & Green capacity
20.0
15.0
Consolidated/standalone EBITDA
Consol EBITDA (INRb)
Stand EBITDA (INRb)
5.5
current
2027
2030
Coal prices (USD/t) have come off
Coal Price
600
450
Solar utility EPC order book
EPC Orderbook (INR/b)
174.7 176.4
146.3
152.6 154.4
158.7 158.9
300
150
0
133.9
130.2
Consolidated RoE and RoCE post tax (%)
ROE (%)
ROCE (post-tax) (%)
Consolidated Net Debt/EBITDA
Net Debt/EBITDA
5.9
5.5
5.4
4.8
4.1
3.6
3.7
3.7
Source: Company, MOFSL
Source: Company, MOFSL
September 2024
76
 Motilal Oswal Financial Services
Power Utilities: Thematic
Company overview
TPWR is India's largest vertically integrated power company, with a rich legacy
spanning over a century. Headquartered in Mumbai, India, the company has
established itself as a pioneering force in the energy landscape, boasting a
robust footprint across generation, renewables, transmission, distribution, and
cutting-edge energy solutions.
The company, with a total installed capacity of 14,707 MW in FY24 across both
domestic and international assets, reflects a significant 20% increase from FY20
and maintains a diversified energy portfolio. This includes 8,860 MW of thermal
power, 3,490 MW of solar power, 1,034 MW of wind energy, 880 MW of
hydropower, and 443 MW from waste heat recovery/BFG. The company’s
balanced mix of traditional and renewable energy sources reflects its strategic
focus on sustainability and efficiency.
In FY24, the company generated 64,600 MUs of power, marking a 19.5% YoY
increase, and served 12.5m customers.
TPWR has achieved a 40% clean and green energy portfolio in 2024, aligning
with India's increasing focus on RE. The company is poised for continued
growth, with plans to boost renewable capacity to 15GW by 2027 and achieve
100% renewable power generation by 2045.
Exhibit 76:
TPWR’s business portfolio
Generation
Model
type
Thermal
Regulated Tarif
Returns
Project
Mumbai operations-Trombay, Maithon, Jojobera
(Unit 2 and 3), TPDDL-Rithala
jojobera (Unit 1and 4), Mundra, Kalinganagar-IEL-40
MW
IEL (Unit 5), CKP (Indonesia)
Prayagraj
Capacity
(MW)
2,328
4,378
174
1,980
8,860
4,121
447
307
526
446
5,847
14,707
% Overall
capacity
15.83
29.77
1.18
13.46
60.24
28.02
3.04
2.09
3.58
3.03
39.76
100.00
Regulated Return on
Equity (ROE)
Bilateral Agreement +
Bid Driven
Bilateral Captive
Agreement
PPA Based
PPA / Fixed Tariff (Bid
/ Others)
Captive
Under Platform
Management
Clean and
PPA / Fixed Tariff RE
Green
Regulated Tarif
PPA / Fixed Tariff
(Bid / Others)
Captive
Merchant
Total
Feed In Tariff + Bid
Driven
Regulated Return on
Mumbai operations-Hydro
Equity (ROE)
Bilateral Agreement +
Itezhi-Tezhi Hydro Projects, Georgia Hydro
Bid Driven
Bilateral Captive
IEL (Unit 6, KPO), Captive Renewable project
Agreement
Market driven
Haldia, Dagachhu, RenewablesSolar-TPTCL
Sub-Total
Sub-Total
Wind, Solar and Hybrid Projects (Domestic), TPTCL,
TPDDL
September 2024
77
 Motilal Oswal Financial Services
Power Utilities: Thematic
Exhibit 77:
TPWR’s generation capacity
Total generation capacity (GW)
14.7
14.1
13.5
12.7
12.8
FY20
*PPA Capacity
FY21
FY22
FY23
FY24
Source: Company, MOFSL
TP Solar: Set to become India’s leading integrated cell and module
manufacturer
In FY23, TPWR, via TP Solar (TPSL), signed a MoU with the Tamil Nadu
government to invest ~INR30b in establishing a greenfield 4 GW solar cell and 4
GW solar module manufacturing plant in Tirunelveli District, Tamil Nadu.
The module plant, commissioned in FY24, has stabilized and is now operating at
full capacity, contributing to a robust performance in 1QFY25. The cell plant is
on track for 2GW capacity to be commissioned by Aug’25, with full capacity
(4GW) production anticipated by 3QFY25. Once fully operational, TPSL will
emerge as one of India’s largest integrated cell and module manufacturers,
leveraging industry-leading technology.
The ramp-up at this facility has already shown promising results, with revenues
exceeding INR10b and a PAT of INR0.54b in 1QFY25. The facility produced ~130
MW of modules in 4QFY24 and increased output to 614 MW by 1QFY25,
underscoring its strategic importance to TPWR's RE ambitions.
Pump storage projects (PSPs) set to deliver 2.8GW of clean energy
TPWR, in collaboration with the government of Maharashtra, is developing two
major pumped storage hydro projects – Bhivpuri PSP and Shirwata PSP – with a
combined capacity of 2.8 GW. This initiative reflects the company's commitment
to a greener future and enhancing grid stability. Of the total 2.8 GW,
construction of 1GW is expected to start in the latter part of 2024, contingent
upon the receipt of all necessary approvals, and the remaining 1.8 GW is
anticipated to start by mid-2025.
The Bhivpuri PSP, with a capacity of 1,000 MW, is expected to generate 6,000
MWh daily, with an estimated investment of INR47b, and the DPR approval
from CEA is anticipated by Sep’24.
The Shirwata PSP, with a larger capacity of 1,800 MW, is projected to generate
10,800 MWh daily, with an expected investment of INR78.5b, and the DPR
approval is anticipated by Mar’25.
These projects represent a significant step toward the adoption of clean energy
and the gradual phasing out of thermal operations, contributing to a more
sustainable energy landscape.
September 2024
78
 Motilal Oswal Financial Services
Power Utilities: Thematic
Leading the charge in rooftop and utility-scale RE projects
TPWR is making significant strides in the RE sector, particularly in rooftop solar
installations and utility-scale projects. Through the PM Surya Ghar Program, the
company has already achieved over 0.1m rooftop solar installations. With the
government’s ambitious goal of installing nearly 10m rooftop solar units over
the next 3-4 years, TPWR is well-positioned to become the market leader in
implementing rooftop solar across the country. A significant increase in revenue
from solar rooftop projects is anticipated by the 4QFY25.
Exhibit 78:
Notable utility-scale FDRE tender wins
SJVN 460MW* FDRE
Tariff (₹/unit)
e-RA date
Total capacity (MW)
Tender type
Capacity sizing (x)
Execution timeline
LoA status
*PPA Capacity
4.38
07-Nov-23
1,317 MW
FDRE
~3x
2 years from date of PPA
Received
NTPC 200MW* FDRE
4.71
22-Mar-24
585 MW
FDRE
~3x
2 years from date of PPA
Received
Source: Company, MOFSL
Currently, TPWR has more than 5 GW of utility-scale RE projects under
implementation, including enterprise orders for group captive projects with Tata
Steel and other industries. Additionally, there are nearly 3 GW of third-party EPC
projects underway. In total, the company is managing the commissioning of
nearly 8 GW of projects – 3 GW in FY25 and 4 GW in FY26.
TPWR also holds a well-diversified utility-scale solar EPC order book and leads in
rooftop solar EPC with a 13.1% market share. As of 1QFY25, the company's solar
EPC order book, which includes large-scale utility projects, group captive
projects and rooftop installations, exceeded INR156b. In 1QFY25 alone, the
utility-scale solar EPC business secured orders totaling 225 MW, valued at
INR9.3b, and successfully executed 203 MW of projects.
Exhibit 79:
Utility-scale EPC order book
Customer
Tata Group
SJVN
NTPC
NLC
NHPC
NHDC
SECI
Order Book as on 30th June 2024
Total Capacity as on 30th June 2024 (GW)
Order book (INR b)
68.13
32.66
5.43
12.27
10.95
0.6
0.14
130.18
2.6
Source: Company, MOFSL
September 2024
79
 Motilal Oswal Financial Services
Power Utilities: Thematic
Exhibit 80:
Rooftop solar has grown at 17% CAGR in the
past 4 years (in MW)
Commercial
Industrial
Residential
Exhibit 81:
TPWR has 13.1% market share in Solar Rooftop
EPC
Tata Power,
13.1
Roofsol, 2.3
Mahindra,
1.6
Hartek, 1.4
Orb, 1.3
Market Size =
2,855 MW in
CY23
730
746
180
965
389
2019
358
659
334
2020
1,039
411
2021
1,659
250
2022
1085
1,381
389
2023
Others,
81.6
Source: Company, MOFSL
Source: Company, MOFSL
Transmission expansion: Plans to exceed 10,000ckm capacity in five years
TPWR operates an extensive transmission capacity covering various
geographies, including Mumbai, Uttar Pradesh, West Bengal, Bihar, Rajasthan,
and Haryana, totaling 6,668 ckm. In addition, the company's distribution
operations cater to ~12.5m customers across Mumbai, Delhi, Odisha, and
Ajmer.
The company has recently secured significant projects worth INR46b to bolster
its transmission portfolio, including:
1.
Jalpura Khurja Power Transmission (160 ckm)
2.
Rajasthan Phase IV Part C (682 ckm)
3.
Paradeep Transmission (384 ckm)
As of 1QFY25 end, TPWR's transmission capacity includes 4,626ckm of
operational capacity, 7ckm of capacity added in 1QFY25, and 2,035ckm under
construction, resulting in a total transmission capacity of 6,668ckm.
TPWR aims to expand its transmission capacity to over 10,000ckm and its
customer base to more than 40m within the next five years.
Exhibit 82:
Operational transmission line capacity
Operational transmission line capacity (CKM)
4,626
4,194
3,531
3,536
3,552
FY20
FY21
FY22
FY23
FY24
Source: Company, MOFSL
September 2024
80
 Motilal Oswal Financial Services
Power Utilities: Thematic
Leveraging synergies with Tata Group
TPWR strategically leverages its affiliation with the Tata Group to enhance synergies
across its diverse business segments, thereby optimizing operational efficiency and
strengthening its market position. These synergies encompass:
Thermal power supply: TPWR is a key supplier of thermal power to Tata Steel,
underscoring its critical role within the Tata Group's integrated energy strategy.
The company has signed an agreement to provide Tata Steel with 966 MW of
hybrid power projects, with portions expected to be commissioned in FY25 and
the remainder in FY26. Tata Steel's aggressive pursuit of clean energy
underscores the ongoing support and collaboration between the two entities.
RE integration: TPWR's RE initiatives are seamlessly integrated with the Tata
Group's T&D infrastructure, facilitating efficient power evacuation and delivery.
The company’s RE projects also provide a consistent off-take for its PSP,
ensuring reliable energy supply.
Decarbonization initiatives: TPWR aligns with the Tata Group’s sustainability
goals by capitalizing on decarbonization opportunities, thereby enhancing its
environmental credentials and supporting the group's commitment to reducing
carbon emissions.
Data center and semiconductor opportunities: TPWR is well-positioned to meet
the growing energy demand of data centers and semiconductor manufacturing
within the group, utilizing its expertise in energy infrastructure to support these
sectors.
Group-wide projects: TPWR has secured 1.2 GW of energy projects with various
Tata Group companies. This demonstrates its ability to manage large-scale
energy commitments while benefiting from the group's extensive support and
market presence.
Competitive bidding and flexibility: Despite the challenges of competitive
bidding, TPWR enjoys increased flexibility and visibility within the Tata Group,
which help in strategic decision-making and project execution.
TPWR teams up for 600 MW Bhutan Hydroelectric Project
The company in its 1QFY25 earnings call announced that it has finalized an
agreement to execute a 600 MW hydroelectric project in Bhutan in
collaboration with Druk Green Power. This project will generate electricity in
Bhutan, with a portion of the power being consumed domestically during the
winter months and the surplus being sold in India during the summer.
Preliminary work, including statutory approvals and land acquisition, has been
completed, and construction is expected to commence in the latter part of
2024.
TPWR will invest ~INR6.9b in the project for a 40% equity stake.
The company will be responsible for the sale of power in India, as well as project
implementation and operations, in collaboration with Druk Green Power. The
joint execution by both entities would complete the project in five years.
September 2024
81
 Motilal Oswal Financial Services
Power Utilities: Thematic
Strategic capex plans to drive growth
In 1QFY25, TPWR incurred INR40b in capex, with nearly 60% allocated to RE and
the remaining 40% directed toward T&D. The returns from these investments
are expected to start materializing from 2QFY25 onward.
TPWR has set an ambitious target of investing INR200b in FY25, and the
company is on track to achieve this goal. Of INR200b, ~55-60% will be allocated
to RE initiatives, including the development of a renewable manufacturing plant
and the execution of utility-scale projects, as well as two captive projects.
Around 30% of the investment will be directed toward the T&D business,
encompassing various projects and ongoing distribution efforts in Delhi and
Odisha. The remaining 10-15% will be invested in thermal energy, new
initiatives in pumped hydro, and the Bhutan project. These figures provide a
clear indication of the company's strategic investment priorities.
Exhibit 84:
Exhibit 7: Capex to be spent between FY25-27E
Other
1% Conventional Generation
4%
Pumped
hydro
18%
Exhibit 83:
Exhibit 6: Capex guidelines (INR b)
Capex guidelines (INRb)
200
210
180
WHRS/
GFG
2%
121.8
T&D
16%
Renewable
42%
Source: Company, MOFSL
FY24
FY25E
FY26E
FY27E
Source: Company, MOFSL
Risks
Delays in storage business:
Any delays in the development or deployment of
energy storage solutions could hinder the company's ability to effectively
integrate and manage RE sources.
Mundra plant utilization and Sec XI expiration risks:
Reduced operational
efficiency or lower utilization rates at the Mundra power plant could have an
adverse impact. Sec XI expires on 15th Oct’24 and our base case is it that it will
continue, but if it does not, TPWR could face potential losses of up to INR3b.
Regulatory and compliance risks:
Changes in regulations, tariffs and compliance
requirements could affect profitability and lead to increased operational costs,
particularly in a heavily regulated sector.
Market and revenue risks:
Changes in electricity demand and increased
competition from other power producers could impact TPWR's market share
and pricing strategies. Additionally, the migration of high-end consumers due to
higher tariffs may lead to potential revenue losses for the company.
Cybersecurity and information security threats:
Risks related to cybersecurity
and the potential loss or misuse of sensitive operational and customer data
could disrupt business operations and impact critical systems.
Climate change risks:
Extreme weather events and long-term climate changes
may impact power generation infrastructure and resource availability, such as
hydroelectric power.
September 2024
82
 Motilal Oswal Financial Services
Power Utilities: Thematic
Valuation
The valuation of TPWR is segmented across various business units, leading to a
target price of INR530/share.
The regulated business is valued using a 2.5x multiple on regulated equity.
The coal segment is valued based on equity with a 1.5x multiple of FY24 Book
value.
The renewables segment is valued at a 14x multiple of projected FY27 EBITDA.
The pumped storage segment is valued at 1x PB and Other segments are also
valued at 1.5x PB. Cash and investments add INR46/share.
The sum of these contributions results in a total target price of INR530/share,
reflecting the comprehensive valuation of TPWR’s diverse business segments.
Exhibit 85:
SOTP Valuation
Segment
Regulated business
Coal
Renewables
Pumped storage
Others
Cash and investments
Target price
CMP
Upside / (Downside)
Metric type
Regulated equity
Equity
FY27 EBITDA
Equity
Equity
Metric value
1,04,716
91,254
37,650
Multiple
2.5
1.5x FY24 BV
14
1x PB
1.5x PB
Value
(INR/sh.)
83
14
326
13
48
46
530
454
17%
Source: MOFSL
September 2024
83
 Motilal Oswal Financial Services
Power Utilities: Thematic
SWOT analysis
Integrated power
company with exposure
to generation,
transmission and
distribution
Strong synergistic
benefits due to
presence across the
value chain
Relatively high
leverage vs. industry
peers can be a concern
given heavy capex
cycle
Set to benefit from
upcoming opportunities
in pumped storage and
solar module segments.
Beneficiary of de-
carbonisation efforts by
the wider Tata Group
Limited listed plays in
case distribution sector
reforms are carried out
in Modi 3.0
Changes in duty structure
for solar modules
Volatility in global coal
prices
Long gestation period for
pumped storage projects
can lead to execution
delays
September 2024
84
 Motilal Oswal Financial Services
Power Utilities: Thematic
Bull and Bear cases
Bull case
In our Bull case scenario, we anticipate a surge in new EPC orders for solar
projects, coupled with an EBITDA margin improvement to 8.5% (compared to
the base case of 5-6%).
We also raise our target multiple for the renewables business to 18x FY27E
EV/EBITDA.
Based on the above assumptions, the company’s valuation would be INR669/sh.
Bear case
In our Bear case scenario, we anticipate a decline in new EPC order flows, with
EBITDA margin remaining weak at 4% (compared to the base case of 5-6%).
We also lower our target multiple for the renewables business to 10x FY27E
EV/EBITDA.
Based on the above assumptions, the company’s valuation would be INR367/sh.
Exhibit 86:
Scenario analysis – Bull case
INR m
Net revenues
EBITDA
PAT
Target price (INR)
Upside (%)
FY25E
8,43,181
1,46,487
45,131
669
51
FY26E
9,46,200
1,67,027
53,305
FY27E
10,29,887
1,71,424
55,081
Exhibit 87:
Scenario analysis – Bear case
INR m
Net revenues
EBITDA
PAT
Target price (INR)
Downside (%)
FY25E
7,95,032
1,37,135
38,468
367
17
FY26E
8,65,311
1,54,597
44,449
FY27E
9,25,651
1,56,401
44,377
Source: MOFSL
Source: MOFSL
September 2024
85
 Motilal Oswal Financial Services
Power Utilities: Thematic
ESG initiatives
Environment
TPWR aims to turn carbon net zero by FY45 and to become water neutral by
FY30.
The company secured approval from the Science Based Targets initiative
(SBTi) for its short-term objectives, marking it as the only Indian Integrated
Power entity with endorsed SBTi targets. This aligns with the objective of
limiting global temperature rise to below 2°C.
It aims to phase out thermal portfolio before FY45 as Power Purchase
Agreements (PPA’s) for their thermal capacities expire.
Social
TPWR has significantly improved its CSR ranking, moving into the top 10
positions compared to its previous position of 57
th
last year.
CSR investments of INR706.4m were made across 100 neighborhoods in the
Tata Power Group.
It aims to train 2.1m+ people in digital & financial inclusion by FY28 and to
enable 0.75m+ conservation and STEM education champions by FY28.
CSR initiatives made a positive impact on 6.26m lives across 18 Indian states
during FY24.
The company aims to improve gender diversity to 20% by FY28.
Governance
Composition of the Board is in accordance with the regulatory requirements.
Of its total Board strength of 10 members, 50%/ 20% are
independent/women directors.
The company aspires to improve sustainability disclosures and get listed in
DJSI Emerging Markets list by FY27.
It aims inclusion in the S&P Global Emerging Market list by FY27.
September 2024
86
 Motilal Oswal Financial Services
Power Utilities: Thematic
Management overview
Dr. Praveer Sinha, CEO & Managing Director
He previously served as the CEO and MD of Tata Power Delhi Distribution where
he was instrumental in driving the turnaround of the DISCOM. He is also the
Chairman of CII Western Region Council and co-chairs the CII National
Committee on Power.
Dr. Sinha is a qualified Electrical Engineer and has also done his Master’s in
Business Law. He received his PhD from IIT, Delhi and is a visiting research
associate at Massachusetts Institute of Technology (MIT), Boston, US.
Mr. Natarajan Chandrasekaran, Non-Independent, Non-Executive Director
& Chairman
Mr. Natarajan Chandrasekaran is the Chairman of the Board of Tata Sons, the
holding company of the Tata Group. He joined Tata Sons in Oct’16 and was
appointed the Chairman in Jan’17.
He is an active member of India’s bilateral business forums including the US, UK,
Australia and Japan. He has served as the Chairman of NASSCOM, the apex
trade body for IT services firms in India in FY13.
Mr. Sanjeev Churiwala, Chief Financial Officer
He brings over 27 years of experience in operational and finance leadership
roles with hands-on experience in managing the entire gamut of finance,
reporting & controlling of listed companies. He was previously associated with
Diageo as Regional Finance Director – APAC & Global Travel Retail.
Mr. Churiwala is an all India rank holder Chartered Accountant, a member of the
ICAI and ICMAI. He did his Executive MBA from the London Business School, UK
.
Mr. Ashish Khanna, President – Generation
Mr. Khanna joined TPWR in CY07 and has previously led the renewables
business of the company. He is also the Chairman of the National Council for
New and Renewable Energy at ASSOCHAM.
He holds an engineering degree from the Delhi Technological University and
completed his Master’s in Management and Systems from IIT, Delhi in CY97.
Mr. Sanjay Banga, President – T&D
Mr. Sanjay Banga leads the Transmission and Distribution (T&D) cluster at TPWR
and is responsible for eight Board-managed companies in Tata Power. Before
being elevated to his current role, he was the CEO of Tata Power Delhi
Distribution.
Mr. Deepesh Nanda, President – Renewables
Mr. Nanda is the President of Renewables division of the company. Previously
he led General Electric's (GE) Gas Power business for South Asia. He holds an
MBA from The Open University Business School in the UK.
September 2024
87
 Motilal Oswal Financial Services
Power Utilities: Thematic
Financials and valuations
Consolidated Income Statement
Y/E March
Net Sales
Change (%)
Total Expenses
EBITDA
% of Net Sales
Depn. & Amortization
EBIT
Net Interest
Other income
PBT before EO
Regulatory inc./(exp)
EO expense (inc.)
PBT after EO
Tax
Rate (%)
JV
Reported PAT
Minority,
Adjusted PAT
Change (%)
Consolidated Balance Sheet
Y/E March
Share Capital
Reserves
Net Worth
Minority Interest
Total Loans
Deferred Tax Liability
Capital Employed
Gross Block
Less: Accum. Deprn.
Net Fixed Assets
Capital WIP
Goodwill
Investments
Curr. Assets
Inventories
Account Receivables
Cash and Bank Balance
Others
Curr. Liability & Prov.
Account Payables
Provisions & Others
Net Curr. Assets
Appl. of Funds
FY22
4,28,157
30.9
3,53,045
75,112
17.5
31,222
43,890
38,590
9,200
14,499
-2,395
6,181
5,923
3,796
64.1
19,428.3
21,556
4,142
23,776
56.3
FY23
5,51,091
28.7
4,74,028
77,063
14.0
34,392
42,671
43,717
14,380
13,335
9,241
0
22,575
16,473
73.0
31,994.6
38,097
4,732
38,097
60.2
FY24
6,14,489
11.5
5,06,651
1,07,838
17.5
37,864
69,974
46,332
18,234
41,876
934
2,734
45,544
14,519
31.9
11,775.7
42,801
5,839
40,939
7.5
FY25E
8,03,225
30.7
6,64,165
1,39,060
17.3
41,566
97,495
49,884
14,262
61,873
-4,840
0
57,033
17,164
30.1
10,251
50,120
8,014
50,120
22.4
FY26E
8,93,448
11.2
7,35,069
1,58,379
17.7
47,757
1,10,622
59,233
14,684
66,073
0
0
66,073
18,929
28.6
12,377
59,521
8,746
59,521
18.8
(INR m)
FY27E
9,64,562
8.0
8,02,484
1,62,077
16.8
51,487
1,10,591
58,559
15,280
67,312
0
0
67,312
18,890
28.1
12,614
61,035
7,237
61,035
2.5
(INR m)
FY27E
3,196
4,38,275
4,41,471
80,074
8,30,129
27,723
13,79,397
12,94,621
4,60,178
8,34,443
3,11,688
17,575
1,68,734
5,73,491
47,318
1,25,897
1,65,342
2,34,934
5,26,534
1,30,062
3,96,472
46,957
13,79,397
FY22
3,196
2,21,220
2,24,416
35,869
4,75,900
10,333
7,46,518
8,04,423
2,49,112
5,55,311
46,351
18,583
1,37,498
3,69,967
42,315
59,797
70,512
1,97,342
3,81,193
1,04,596
2,76,597
-11,226
7,46,518
FY23
3,196
2,84,679
2,87,874
54,167
4,89,744
19,194
8,50,979
8,80,388
2,81,504
5,98,884
53,764
18,583
1,55,201
4,55,924
39,429
69,522
1,23,561
2,23,412
4,31,376
74,072
3,57,304
24,548
8,50,979
FY24
3,196
3,20,357
3,23,553
59,775
4,94,798
27,723
9,05,849
9,73,889
3,19,368
6,54,521
1,15,613
17,575
1,48,381
4,59,445
44,196
74,017
1,06,298
2,34,934
4,89,686
93,214
3,96,472
-30,241
9,05,849
FY25E
3,196
3,54,474
3,57,670
66,556
6,39,748
27,723
10,91,697
11,20,229
3,60,934
7,59,295
1,71,438
17,575
1,52,081
4,91,239
45,149
87,283
1,23,873
2,34,934
4,99,930
1,03,458
3,96,472
-8,691
10,91,697
FY26E
3,196
3,94,862
3,98,058
74,070
7,33,463
27,723
12,33,314
12,61,974
4,08,691
8,53,283
1,85,188
17,575
1,56,121
5,35,621
46,359
1,07,815
1,46,513
2,34,934
5,14,473
1,18,001
3,96,472
21,148
12,33,314
September 2024
88
 Motilal Oswal Financial Services
Power Utilities: Thematic
Financials and valuations
Ratios
Y/E March
Basic (INR)
EPS
Cash EPS
BV/Share
DPS
Payout (%)
Dividend yield (%)
Valuation (x)
P/E
Cash P/E
P/BV
EV/EBITDA
Dividend Yield (%)
FCF (pre-int) to EV yield (%)
Return Ratios (%)
RoE
RoCE (post-tax)
RoIC (post-tax)
Working Capital Ratios
Fixed Asset Turnover (x)
Asset Turnover (x)
Debtor (Days)
Inventory (Days)
Leverage Ratio (x)
Net Debt/EBITDA
Debt/Equity
Consolidated Cash Flow Statement
Y/E March
EBITDA
WC
Others
Direct taxes (net)
CF from Op. Activity
Capex
FCF
Int & div income
Investments(subs/JVs)
Others
CF from Inv. Activity
Share capital
Borrowings
Finance cost
Dividend
Others
CF from Fin. Activity
(Inc)/Dec in Cash
Opening balance
Closing balance
FY22
7.4
17.2
70.2
1.8
23.5
0.7
59.6
25.8
6.3
24.7
0.4
0.7
11.0
6.8
3.4
0.8
0.6
51
36
5.4
1.6
FY23
11.9
22.7
90.1
2.0
16.8
1.1
37.2
19.5
4.9
23.8
0.5
1.7
14.9
5.1
2.4
0.9
0.6
46
26
4.8
1.1
FY24
12.8
24.7
101.2
2.0
15.6
0.5
34.6
18.0
4.4
17.3
0.5
1.2
13.4
8.4
9.4
0.9
0.7
44
26
3.6
1.0
FY25E
15.7
28.7
111.9
2.5
15.9
0.6
28.3
15.5
4.0
14.4
0.6
-3.4
14.7
9.5
11.9
1.1
0.7
40
21
3.7
1.2
FY26E
18.6
33.6
124.6
3.3
17.4
0.7
23.8
13.2
3.6
13.1
0.7
0.0
15.8
9.2
11.7
1.0
0.7
44
19
3.7
1.2
FY27E
19.1
35.2
138.1
3.3
17.0
0.7
23.2
12.6
3.2
13.3
0.7
-0.4
14.5
8.2
11.0
1.2
0.7
48
18
4.1
1.3
(INR m)
FY27E
1,62,077
-6,981
0
-18,890
1,36,207
-1,59,147
-22,941
15,280
0
0
-1,43,867
0
96,666
-58,559
-11,619
0
26,489
18,828
1,46,513
1,65,342
FY22
72,717
-1,886
3,044
-6,947
66,927
-72,679
-5,751
20,068
-3,893
8,218
-48,285
113
41,570
-35,552
-5,585
-12,379
-11,832
6,811
63,702
70,513
FY23
86,304
-9,857
3,852
-8,707
71,591
-76,560
-4,969
36,253
5,342
3,015
-31,950
40,084
11,690
-41,084
-7,869
10,587
13,408
53,050
70,512
1,23,562
FY24
1,08,773
19,275
3,808
-5,895
1,25,961
-1,33,328
-7,366
29,774
2,457
2,846
-98,250
1,139
5,126
-47,765
-8,868
5,394
-44,974
-17,263
1,23,561
1,06,298
FY25E
1,34,221
-3,974
0
-17,164
1,13,082
-2,02,164
-89,082
20,813
0
0
-1,81,351
0
1,44,950
-49,884
-9,222
0
85,844
17,575
1,06,298
1,23,873
FY26E
1,58,379
-7,199
0
-18,929
1,32,250
-1,55,495
-23,244
23,021
0
0
-1,32,474
0
93,715
-59,233
-11,619
0
22,863
22,640
1,23,873
1,46,513
September 2024
89
 Motilal Oswal Financial Services
Initiating Coverage | Sector: Power Utilities
Power Utilities: Thematic
JSW Energy
BSE Sensex
84,929
S&P CNX
25,939
CMP: INR782
TP: INR917 (+16%)
Buy
Solid execution, ambitious vision drive growth
Stock info
Bloomberg
Equity Shares (m)
M.Cap.(INRb)/(USDb)
52-Week Range (INR)
1, 6, 12 Rel. Per (%)
12M Avg Val (INR M)
Free float (%)
JSW IN
1748
1282.4
/ 15.4
790 / 348
6/42/62
2377
30.7
Financial Snapshot (INR b)
Y/E March
Sales
EBITDA
Adj. PAT
EPS (INR)
EPS Gr.%
BV/Sh. (INR)
Ratios
Net D:E
RoE (%)
RoCE (%)
Payout (%)
Valuation
P/E (x)
P/B (x)
EV/EBITDA (x)
Div. yield (%)
FCF yield (%)
FY24
114.9
53.8
17.2
10.5
24.2
127.0
1.2
8.7
7.7
19.0
74.4
6.2
28.7
0.3
-1.2
FY25E
152.8
82.2
29.4
17.9
70.3
142.0
1.4
13.3
9.4
15.1
43.7
5.5
19.7
0.3
-5.6
FY26E
171.8
96.2
34.2
20.8
16.3
159.8
1.5
13.8
9.6
14.4
37.6
4.9
17.5
0.4
-4.3
We initiate coverage on JSWE with a BUY rating and a TP of INR917. JSWE
is a RE generation focused play and its installed RE capacity is expected to
rise to 9.8GW by CY24 end (FY24: 7.3GW) and further to ~17GW by FY27
end. The group aims to increase its installed RE capacity to 20GW by 2030;
however, we strongly believe that it will achieve this target before time,
given 4.9GW of MoU signed with JSW Steel and a significant step-up in bid
awards by SECI for RE projects recently. Further, JSWE’s wind asset
expertise places it in a favorable position as more lucrative opportunities
shift toward RTC/hybrid projects over plain vanilla RE projects.
JSWE is undergoing a transformational shift as RE capacity will rise from
61% in FY25 to 83% by 2030. About 85% of the generation capacity is tied
up under long-term contracts, which provides strong cash flow visibility.
This places JSWE in favorable position given the capex uptrend in the
sector. JSWE boasts a strong operational record as evident from a
turnaround in operations and profitability at the Mytrah and Ind-Barath
assets acquired in FY23.
We estimate an EBITDA CAGR of 35% over FY24-27, with upside risks from
the company’s 1.4GW merchant capacity exposure. Further, JSWE has a
strong balance sheet with a sustainable net debt-to-EBITDA ratio of 2.2x as
of FY24; this gives it a formidable ~1-1.25% interest cost advantage over
other private IPPs.
JSWE is trading at 17.5x FY26E EV/EBITDA. While valuations are not
inexpensive, they could be sustained provided key projects are executed
on time and within budget and the installed capacity outlook continues to
improve. We value JSWE’s core business at 15x Dec’26E EBITDA and its
stake in JSW Steel is valued at a 25% discount to CMP, leading to a TP of
INR917/share.
As of 4QFY24, the company's installed capacity stood at 7.3GW, which is
expected to increase to 9.8GW as new projects are scheduled for
commissioning by the end of CY24.
Out of the total 9.8GW generation capacity, 39% will come from thermal
energy sources and the remaining will come from RE sources. The company
aims to achieve 20GW of power generation capacity and 40 GWh of storage
capacity by FY30.
Additionally, operations for green hydrogen production are expected to
commence in CY25. As such, the commencement of new projects is
expected to drive an EBITDA CAGR of 35% during FY24-27.
After FY26, growth will be powered by, among other things, the group’s
recent foray into pumped storage production, for which JSWE plans to have
an installed capacity base of 5GW. This compares with the all-India level
target of 27GW pumped storage capacity by FY32 as per the National
Electricity Plan 2023.
Shareholding pattern (%)
As On
Jun-24 Mar-24 Jun-23
Promoter
69.3
73.7
74.7
DII
9.2
9.5
10.3
FII
15.6
8.6
5.4
Others
5.9
8.2
9.6
FII Includes depository receipts
Stock performance (one-year)
Ambitious growth plans to drive 35% EBITDA CAGR during FY24-27
September 2024
90
 Motilal Oswal Financial Services
Power Utilities: Thematic
Well-funded balance sheet and strong visibility on cash flows
Currently, 85% of the company's generation capacity is under contractual
agreements, providing strong visibility on cash flows. Additionally, the average
remaining term for various power purchase agreements is ~18 years. The
company maintains a robust and diversified base of off-takers, with group
captive projects accounting for 22% of the power sold.
JSWE also benefits from competitive financing costs, averaging around 8.6%,
which serves as a significant advantage when bidding for RE projects.
Given a positive outlook for merchant power prices, JSWE had ~11% of its
capacity uncontracted as of 4QFY24, which we see as an upside risk to its
earnings.
With a strong balance sheet and healthy cash flows, the company is capable of
pursuing growth using internal accruals while maintaining leverage within the
guided range. As of FY24, the net debt-to-EBITDA ratio (excluding construction
work in progress) stood at 4.8x, which falls within the lower end of the guided
range of 4.5-5.0x.
Strong track record of turning around assets
In FY23, JSWE acquired the assets of Mytrah, which included both wind and
solar generation assets totaling 1753 MW in capacity. The transaction valued
the Mytrah Energy portfolio at INR105b. These assets are expected to remain
operational for ~17 more years.
JSWE is currently revitalizing these plants and actively implementing cost-
optimization and profitability-improvement initiatives. Our projections suggest
an estimated EBITDA of INR13.7b from these assets in FY25.
Additionally, in FY23, JSWE acquired Ind-Barath Energy (Utkal) through a debt
resolution process. Utkal is a thermal plant with a capacity of 700 MW.
Currently, Unit 1 is operational and Unit 2 is anticipated to begin operations by
the end of 1HFY25. This acquisition provides the company with nearly 700 MW
of exposure to the merchant power market, where the price outlook is expected
to remain robust in the forthcoming years.
New project commissioning to drive 35% EBITDA CAGR over FY24-27
JSWE is projected to achieve an EBITDA CAGR of 35% over FY24-27, driven by its
focus on RE generation. The company's installed RE capacity is expected to
reach ~17GW by FY27 end, with a longer-term goal of 20GW by 2030. Given the
4.9GW MOU signed with JSW Steel and a notable increase in bid awards for RE
projects by SECI, it is anticipated that JSWE will surpass this target ahead of
schedule.
Valuation and risks
We value JSWE's core business at 15x Dec’26E EV/EBITDA and its stake in JSW
Steel is valued at a 25% discount to CMP, leading to a TP of INR917/share.
Key risks to our earnings estimates and TP stem from: 1) slower-than-expected
commissioning of key projects, 2) limited progress on green business value-
unlocking, 3) weaker-than-expected return profile for renewable projects
September 2024
91
 Motilal Oswal Financial Services
Power Utilities: Thematic
STORY IN CHARTS
Current locked in capacity + MoU with JSW Steel already above 20GW target
Generation capacity (GW)
20
22.38
7.5
2.3
Current operational
Under Constuction
7.7
4.88
Pipeline Projects
MOU with JSW Steel
FY30Target
Current Locked-in +
MOU with JSW Steel
Diversified Off-takers
Diversified Off-takers
22%
9%
25%
Mytrah turnaround boasts strong execution ability
EBITDA (INRb)
Net debt/ EBITDA
16.5
12.4
11.9
7.7
7.2
5.2
20%
9%
6%
3%
2%
2%
2%
Pre-Acquisition
FY23
Normalised
Leverage trending up amid capacity expansion
Consol Net Debt/Equity
Consol Net Debt/EBITDA
6.0
4.7
4.0
3.3
2.6
1.2
1.8
1.0
0.8
0.5
0.4
1.1
1.2
1.4
1.5
2.0
Capex ramp-up driven by 20GW capacity target
Opr. cash flows after WC change (INR b)
Consol Capex (INR b)
130
4.5
80
79
62
39
1
25
2
37
21
1
4
30
23
42
21
125
130
115
94
4.8
4.1
4.1
FY18 FY19 FY20 FY21 FY22 FY23 FY24 FY25E FY26E FY27E
FY18 FY19 FY20 FY21 FY22 FY23 FY24 FY25E FY26E FY27E
September 2024
92
 Motilal Oswal Financial Services
Power Utilities: Thematic
Energy Storage (GWh)
Energy storage (GWh)
Capacity breakdown by 1QFY25 end
Under construction (MW)
3508
Installed (MW)
1715
1962
1391
675
240
350
Thermal
Wind
Hydro
Solar
Consolidated generation
Consol Generation GW
6.8
5.7
5.1
4.3 4.3
4.2
4.9
6.8
5.6
7.0
Standalone generation
SA Generation GW
3.1 3.1 3.1
3.0
2.8
2.7
2.6
5.3 5.2 5.2
2.1
2.2
2.3
2.0
2.2
1.8
Source: Company, MOFSL
Source: Company, MOFSL
September 2024
93
 Motilal Oswal Financial Services
Power Utilities: Thematic
Company overview
JSWE is one of India's largest power generation companies with an installed
capacity of 7.5GW as of 1QFY25 end. During the FY10-24 period, JSWE's
installed capacity and EBITDA have clocked a CAGR of 16% and 11%,
respectively. The company aims to increase its installed capacity to 20GW by
2030, with RE accounting for 2/3rd of the total installed capacity. Over the
years, JSWE has strategically diversified from conventional thermal assets to
renewable assets. The company has a strong operational and capital allocation
track record, demonstrated by its successful acquisition of stressed assets such
as Mytrah (1.7 GW) and Ind-Barath (0.7 MW) in recent years.
JSWE is advancing its value chain by moving beyond traditional solar/wind
projects to more sophisticated, round-the-clock and firm day-ahead renewable
energy (FDRE) projects.
Exhibit 88:
JSWE’s installed capacity
Installed capacity (MW)
6564
7245
4541
4559
4559
4559
4559
Source: Company, MOFSL
Exhibit 89:
Consolidated EBITDA
Consol. EBITDA (INR m)
Source: Company, MOFSL
Strong capacity growth roadmap
Locked-in capacity of 17.6GW (1QFY25 installed capacity: 7.5GW):
As of
1QFY25, the company's installed capacity stood at 7.5GW, which is expected to
increase to 10GW as new projects are commissioned by CY24 end. The project
pipeline (excluding Group captive MOU) stands at 7.7GW currently. Its total
locked-in capacity stands at 17.6GW, which we believe will be commissioned by
FY28.
Medium-term vision of 20GW installed capacity:
Out of the total 10GW
generation capacity slated to start by FY25 end, 39% will come from thermal
94
September 2024
 Motilal Oswal Financial Services
Power Utilities: Thematic
energy sources and the remaining will come from RE sources. The company aims
to achieve 20GW of power generation capacity and 40GWh of storage capacity
by FY30. The shift in the business model, lower fuel price risk and high certainty
of earnings and cash flows can be instrumental in driving and sustaining
valuations, in our view.
Exhibit 90:
Thermal Assets Offtaker Profile (3,858MW)
Offtaker profile
Group Captive
30%
Open
34%
3,858mw
MSDECL
8%
Rajasthan
28%
Source: Company, MOFSL
Green Hydrogen, PSP and JSW Steel are medium-term growth engines:
The
green hydrogen project for JSW Steel (capacity: 3,800tpa) is expected to be
commissioned by FY25. Further, JSWE has a MoU with JSW Steel for up to 6.2
GW of RE, of which 1.32GW has already been secured. JSW Steel has a current
steel capacity of 34.2mt, which could rise to 50mt by FY31. After FY26, growth
will be powered by, among other things, the group's recent foray into pumped
storage production, for which JSWE plans to have an installed capacity base of
5GW. This compares with the all-India level target of 27GW pumped storage
capacity by FY32, as per the National Electricity Plan 2023.
Exhibit 91:
Energy Storage (GWh)
Energy storage (GWh)
77.1
40
1
2.4
3.4
2.7
SECI
PCKL
Total Locked-in MoU with JSW PSP MoU with
steel
states
2030 Target
Source: Company, MOFSL
BESS – PPA signed for 250MW/500MWh with SECI
PSP – LoI received for 2.4GWh from Power Company of Karnataka Limited
Shift in business mix to create value
As of 1QFY25 end, RE formed 53% of installed capacity base:
JSWE’s installed
capacity currently stands at 7.5GW. This includes 1.9GW of wind power, 1.4GW
of hydro power, and 0.7GW of solar power. Collectively, these RE sources
account for a total of 4GW, representing ~53% of the company's total installed
capacity.
September 2024
95
 Motilal Oswal Financial Services
Power Utilities: Thematic
RE proportion to rise to 61%/83% by end FY25/FY30:
We expect RE to form
61% of capacity base by end FY25 mainly due to the start-up of 1.7GW of Wind
projects and 0.24GW of hydro projects. In the long term, JSWE has a target of
20GW in total installed capacity, of which the company targets to have 83% in
renewable energy.
RE projects create "value" for the company:
We believe RE assets have the
following advantages over thermal and these are key to a valuation re-rating: 1)
a shorter gestation period with PPA award to commissioning typically entailing
two years, 2) stable cash flows and earnings given no fuel price risk, and 3)
easier availability of finance at competitive rates.
Strong execution ability gives confidence of vision translating to reality
Strong execution track record:
Project execution is the unique selling
proposition of JSW Group. The group boasts strong in-house teams, including
techno-commercial, procurement, and project management teams. Over the
last two decades, the group has developed and honed these capabilities. The
company has learned not to outsource EPC contracts but instead build projects
in-house. This strategy helps save on margins and lowers capex per unit. Instead
of offering turnkey contracts, it prefers package-based approaches. JSWE also
acquires land independently and its significant scale provides substantial buying
power.
History of turning around troubled assets:
JSW Group has a history of acquiring
underperforming assets and successfully turning them around. In the past, its
steel business acquired and revitalized plants such as Dolvi (2010) and Monnet
Ispat (2018). On the same lines, in 1HFY23, JSWE announced its acquisition of
Mytrah Energy (India), which faced technical, operational and financial
challenges.
Mytrah on the path to robust financial turnaround:
The Mytrah acquisition was
done at an enterprise valuation of ~INR105b and the portfolio included 17 wind
and Solar SPVs with a total generation capacity of 1,753 MW, located across
south, west, and central India. These assets had long-term power purchase
agreements (PPAs) with an average remaining life of ~18 years at the time of
acquisition. At the time of acquisition, many of Mytrah's assets were
inadequately maintained, and the company faced cash flow issues, resulting in
poor upkeep of machinery. Around 250 MW of the 1,753 MW installed capacity
was non-functional, and upgrades were needed for the solar assets as well.
After the acquisition, JSWE has worked on turning this asset around and its
EBITDA is set to rise from INR14b in FY24 to INR16.5b by FY25.
After Mytrah, Ind-Barath assets too set for turnaround:
Similarly, in FY23, JSWE
acquired Ind-Barath, which owned a 700 MW thermal power plant situated in
Odisha, comprising two 350 MW units. Unit-I, commissioned in 2016, had been
non-operational due to financial difficulties at Ind-Barath, while Unit-II remained
uncommissioned. The acquisition was valued at INR10.4b. The first unit was
commissioned by JSWE in 4QFY24 and the second unit is scheduled for
commissioning by FY25. This will enhance the company's ability to diversify its
fuel mix, expand its geographical footprint, and optimize its off-take
arrangements.
September 2024
96
 Motilal Oswal Financial Services
Power Utilities: Thematic
Exhibit 92:
Mytrah – Underlying Normalized Net Debt /EBITDA at 5.2x
EBITDA (INRb)
Net debt/ EBITDA
16.5
12.4
7.7
11.9
7.2
5.2
Pre-Acquisition
FY23
Normalised
Source: Company, MOFSL
Earnings upside risk from 1.4GW of merchant capacity
As of FY24 end, JSWE has a total merchant capacity of ~1GW, which formed 13%
of total installed capacity as of 1QFY25 end. Additionally, the merchant capacity
will be further boosted by the start of unit 2 (350MW) of Ind Barath plant.
As per data from IEX, day-ahead-market (DAM) prices in FY24 were down 12%
YoY. In 1QFY25, DAM prices on average were up 2% YoY. The outlook for
merchant prices remains strong given total/peak power demand in India is
expected to grow at 1-1.2x real GDP growth rate. Current peak demand is
250GW and by 2030, it is expected to rise to 400GW.
Exhibit 93:
Ind-Barath (Utkal) gives merchant exposure
Installed capacity (MW)
1200
1105
1080 1080
860
700
338
0
Ratnagiri
Barmer
Vijayanagar
Utkal
Source: Company, MOFSL
PPA tied (MW)
Prudent capital allocation, moderate leverage key differentiators
Sustainable ND/EBITDA (ie ex CWIP) stood at 2.2x at end FY24.
Currently, 85% of the company's generation capacity is under contractual
agreements, providing strong visibility on cash flows. Additionally, the average
remaining term for various PPAs is ~18 years. The company maintains a robust
and diversified base of off-takers, with group captive projects accounting for
22% of power sales. This we believe is instrumental in enhancing EBITDA
visibility and keeping leverage related concerns, if any, in check.
JSWE also benefits from competitive financing costs, averaging around 8.6%,
which serves as a significant advantage when bidding for RE projects. As of
1QFY25, the net debt-to-EBITDA ratio (excluding CWIP) stood at 2.2x, which was
well below the guided range of 3.5-4.0x.
September 2024
97
 Motilal Oswal Financial Services
Power Utilities: Thematic
Exhibit 94:
JSWE’s net debt/EBITDA and net debt/Equity
Consol Net Debt/Equity
Consol Net Debt/EBITDA
6.0
4.7
4.0
3.3
2.6
1.2
1.8
1.0
0.8
0.5
FY21
1.1
0.4
FY22
FY23
FY24
FY25E
FY26E
FY27E
4.8
4.1
4.1
2.0
4.5
1.2
1.4
1.5
FY18
FY19
FY20
Source: Company, MOFSL
Risks
Risks associated with RE investments: The transition to RE involves balancing
new investments with existing fossil fuel assets. Market volatility and policy
changes could impact the profitability and success of these RE projects.
Regulatory uncertainty: The power sector's profitability is influenced by
government tariffs and regulations. Changes in government policies could affect
the company's financial outcomes.
Exceeding power demand growth expectations: Stronger-than-expected growth
in power demand could lead to a positive deviation from the target share price.
Environmental compliance challenges: JSWE must adhere to strict
environmental regulations. Failure to manage emissions, water usage, and
waste effectively could result in penalties and legal issues.
Improved clarity on RE capacity: Greater visibility into the long-term RE capacity
pipeline may support share performance.
We value JSWE's core business at 15x Dec’26 EBITDA, reflecting its strong
operational performance and market position (FY27 EBITDA discounted for 3
months at 9%).
The stake in JSW Steel is valued at a 25% discount to the current market price,
acknowledging the strategic significance of this holding while incorporating a
conservative valuation approach.
By aggregating the values from these different components, the total equity
value of JSWE Energy was determined, leading to a TP of INR917/share.
Units
INR m
(x)
INR m
INR m
INR m
INR m
INR m
INR/Share
INR/share
Amount
1,28,975
15
19,97,824
5,43,953
14,53,871
51,688
15,05,560
917
792
Source: MOFSL
Valuation
Exhibit 95:
SOTP Valuation
Particulars
Core EBITDA - Dec-26
Valuation multiple
EV
Less: Net Debt
Market cap
JSW Steel stake*
Total Equity value
Target price
CMP
*At 25% discount
September 2024
98
 Motilal Oswal Financial Services
Power Utilities: Thematic
SWOT analysis
Diversified Portfolio with
7.5GW Installed Capacity
and 17.6GW of locked in
capacity.
Strong cash flow and
earnings visibility with
bulk of capacity backed by
PPAs.
Strong execution track
record underpins vision to
reach 20 GW capacity in
medium term.
Despite diversification
efforts, thermal still
forms ~39% of overall
installed capacity (end
FY24).
Well placed to capture
new opportunities in
battery storage, Green
Hydrogen and other
renewable projects.
Energy sector is highly
competitive, with both
domestic and
international players,
which could pressure
margins and profitability.
Pumped hydro projects
can have long gestation
period with multiple
approvals required
September 2024
99
 Motilal Oswal Financial Services
Power Utilities: Thematic
Bull and Bear cases
Bull case
In our Bull case scenario, we project a ~10% higher Load Factors (PLF) across key
plants such as Ratnagiri, Vijay Nagar and Baspa and model 50-70% rise in
merchant tariffs across plants. We also build in higher than guided financial ram-
up at Mytrah.
Based on the above assumptions, the company’s valuation would be
INR1,115/sh.
Bear case
In our Bear case scenario, we anticipate a 10% decline in PLF across key plants
such as Ratnagiri, Vijay Nagar and Baspa and model a 40-50% decline in
merchant tariffs across plants. We also build in lower than guided financial
ramp-up at Mytrah.
Based on the above assumptions, the company’s valuation would be INR579/sh.
Exhibit 96:
Scenario analysis – Bull case
INR m
Net revenues
EBITDA
PAT
Target price (INR)
Upside (%)
FY25E
1,62,805
89,271
35,007
1,115
42
Source: MOFSL
FY26E
1,82,350
1,03,827
40,212
FY27E
2,22,479
1,36,334
36,765
Exhibit 97:
Scenario analysis – Bear case
INR m
Net revenues
EBITDA
PAT
Target price (INR)
Downside (%)
FY25E
1,45,613
78,942
26,802
579
26
Source: MOFSL
FY26E
1,63,227
93,005
31,615
FY27E
2,01,343
1,24,987
28,255
September 2024
100
 Motilal Oswal Financial Services
Power Utilities: Thematic
ESG initiatives
Environment
JSW Energy is committed to being carbon neutral by FY50.
It aims to increase the proportion of renewable energy to two-thirds of their
total installed capacity by FY30.
The transition from wet module cleaning to dry cleaning has led to notable
conservation of groundwater, saving ~2,400 cubic meters per month for the
company.
The company aims to achieve a 50% reduction in water consumption per unit of
energy generated by FY30.
Social
Project Charkha has provided training to over 460 women artisans in Sholtu and
Kutehr.
A total of 2,243 students across 21 schools received benefits through
Foundational Literacy and Numeracy and extracurricular activities.
After rejuvenation of a lake in Vadagapatti, 1,800 people benefitted from
increased water availability.
Sports kits were distributed to 3,100 students attending government schools in
Dharapuram and Tuticorin.
Governance
All members of the audit/nomination and remuneration committees are
independent directors.
The composition of the Board of Directors meets the requirement of SEBI
(Listing obligations and disclosure requirements) Regulations, 2015.
September 2024
101
 Motilal Oswal Financial Services
Power Utilities: Thematic
Management overview
Mr. Sajjan Jindal, Chairman and Managing Director
Mr. Jindal is the CMD and also the principal promoter of the company. Under his
leadership, the JSW Group over the years has expanded in other core sectors of
the economy.
He is the founder of JSW Foundation, which is committed to providing
opportunities to bridge the socio-economic divide and create equitable and
sustainable communities.
Mr. Sharad Mahendra, Joint Managing Director & CEO
Mr. Mahendra has been associated with the JSW Group for 15 years and was
the CEO of JSW Steel Coated Products Ltd. prior to becoming CEO of JSW
Energy. He was the COO of JSW Energy in CY17 and subsequently appointed as a
WTD in CY19.
He completed his B.E. in Mechanical Engineering from NIT, Allahabad.
Previously, he has been on the Board of APL Apollo Tubes and had worked in
PCBL, JSW Steel, Escorts, and Yamaha Motors in various capacities.
Mr. Pritesh Vinay, Director (Finance) & CFO
Mr. Vinay has 22 years of experience across Corporate Finance, Fund Raising,
Investor Relations, M&A and Equity Research. He has been associated with the
JSW Group for more than 10 years. Earlier he was the VP - Corporate Finance at
JSW Steel and Head - Investor Relations at JSW Group.
He is a B.E. (Computer Science & Engineering) from Bihar Institute of
Technology, Sindri and completed his Master of Management Studies (Finance)
from Sydenham Institute of Management Studies, Mumbai University. He has
also worked with Goldman Sachs (India) and the Aditya Birla Group.
Mr. Ashok Ramachandran, WTD and COO
Mr. Ramachandran has over 18 years of experience. Previously, he was the
President and CEO at Schindler India from Jul’18 onwards. He was the youngest
CEO in Schindler Worldwide and one of the youngest MNC CEOs in India. He was
awarded ET 40 under Forty by Economic Times in CY19.
He is a Master of Engineering (Industrial Engineering) from Swinburne University
of Technology, Melbourne, Australia and a Bachelor of Engineering
(Instrumentation & Control Engineering) from University of Madras, S.R.M
Engineering College, Chennai. He is also a motivational speaker.
September 2024
102
 Motilal Oswal Financial Services
Power Utilities: Thematic
Financials and valuations
Consolidated Income Statement
Y/E March
Net Sales
Change (%)
EBITDA
% of Net Sales
Depreciation
EBIT
Net Interest
Other income
PBT before EO
EO expense
PBT after EO
Tax
Rate (%)
JV
Reported PAT
Minority
Adjusted PAT
Change (%)
Consolidated Balance Sheet
Y/E March
Share Capital
Reserves
Net Worth
Minority Interest
Total Loans
Deferred Tax Liability
Capital Employed
Gross Block
Less: Accum. Deprn.
Net Fixed Assets
Capital WIP
Goodwill
Investments
Curr. Assets
Inventories
Account Receivables
Cash and Bank Balance
Others
Curr. Liability & Prov.
Account Payables
Provisions & Others
Net Curr. Assets
Appl. of Funds
FY20
82,727
-9.5
29,569
35.7
11,681
17,888
10,511
2,870
10,247
-2,656
12,904
2,372
18.4
280.4
10,812
-187
8,644
26.3
FY21
69,222
-16.3
29,066
42.0
11,669
17,396
8,957
2,375
10,814
0
10,814
2,759
25.5
171.5
8,227
272
8,227
-4.8
FY22
81,672
18.0
35,690
43.7
11,311
24,380
7,769
5,687
22,297
0
22,297
4,948
22.2
85.4
17,435
149
17,435
111.9
FY23
1,03,318
26.5
32,818
31.8
11,692
21,126
8,443
5,352
18,036
-1,200
19,236
4,627
24.1
192.9
14,801
24
13,890
-20.3
FY24
1,14,859
11.2
53,818
46.9
16,334
37,484
20,534
4,554
21,504
0
21,504
4,423
20.6
165.1
17,247
19
17,247
24.2
FY25E
1,52,827
33.1
82,190
53.8
24,718
57,471
24,926
4,237
36,781
0
36,781
7,565
20.6
165.1
29,382
19
29,382
70.4
FY26E
1,71,809
12.4
96,223
56.0
29,065
67,158
28,584
4,237
42,811
0
42,811
8,805
20.6
165.1
34,171
19
34,171
16.3
(INR m)
FY27E
2,11,386
23.0
1,31,877
62.4
42,773
89,104
48,998
4,237
44,343
0
44,343
11,086
25.0
165.1
33,422
19
33,422
-2.2
(INR m)
FY27E
16,412
2,74,059
2,90,471
1,883
6,18,266
18,536
9,29,157
7,72,852
1,98,699
5,74,153
2,45,206
6,398
59,458
1,08,251
10,425
11,583
26,792
59,452
64,309
31,853
32,456
43,942
9,29,157
FY20
16,419
1,00,037
1,16,456
-238
1,07,531
3,705
2,27,453
2,11,866
51,137
1,60,729
3,913
6,398
10,990
69,088
6,396
21,032
9,448
32,213
23,665
6,903
16,762
45,423
2,27,453
FY21
16,423
1,28,647
1,45,070
-87
86,852
6,081
2,37,916
2,12,775
62,806
1,49,969
4,728
6,398
33,402
69,866
3,951
13,012
11,634
41,268
26,448
6,083
20,365
43,418
2,37,916
FY22
16,397
1,57,752
1,74,149
21
90,246
8,923
2,73,338
2,16,025
74,116
1,41,908
20,906
6,398
51,946
88,166
9,010
12,147
25,265
41,745
35,986
9,562
26,424
52,180
2,73,339
FY23
16,405
1,69,883
1,86,288
1,054
2,48,172
10,784
4,46,298
3,29,615
85,809
2,43,807
47,795
6,485
49,616
1,39,714
9,871
16,314
50,850
62,679
41,119
12,741
28,378
98,595
4,46,298
FY24
16,412
1,91,905
2,08,317
1,825
3,13,266
13,390
5,36,798
3,85,207
1,02,143
2,83,064
1,02,851
6,398
59,458
1,30,920
8,307
10,205
52,957
59,452
45,893
13,437
32,456
85,028
5,36,798
FY25E
16,412
2,16,675
2,33,087
1,844
3,68,266
14,334
6,17,531
5,13,646
1,26,861
3,86,785
1,04,412
6,398
59,458
1,11,777
10,049
10,468
31,808
59,452
51,298
18,842
32,456
60,479
6,17,531
FY26E
16,412
2,45,741
2,62,154
1,864
4,13,266
15,432
6,92,716
5,43,249
1,55,926
3,87,323
1,99,809
6,398
59,458
95,720
10,356
9,414
16,498
59,452
55,992
23,536
32,456
39,728
6,92,716
September 2024
103
 Motilal Oswal Financial Services
Power Utilities: Thematic
Financials and valuations
Ratios
Y/E March
Basic (INR)
EPS
Cash EPS
BV/Share
DPS
Payout (%)
Dividend yield (%)
Valuation (x)
P/E
Cash P/E
P/BV
EV/EBITDA
Dividend Yield (%)
FCF (pre-interest) to EV (%)
Return Ratios (%)
RoE
RoCE (post-tax)
RoIC (post-tax)
Working Capital Ratios
Fixed Asset Turnover (x)
Asset Turnover (x)
Debtor (Days)
Inventory (Days)
Working Capital Turnover (Days)
Leverage Ratio (x)
Net Debt/EBITDA
Debt/Equity
Consolidated Cash Flow Statement
Y/E March
EBITDA
FX gain/loss
WC
Others
Direct taxes (net)
CF from Op. Activity
Capex
FCFF
Interest income
Others
CF from Inv. Activity
Share capital
Borrowings
Finance cost
Dividend
Others
CF from Fin. Activity
(Inc)/Dec in Cash
Opening balance
Closing balance (as per B/S)
FY20
5.3
12.4
71.0
1.0
19.0
2.4
148.4
63.1
11.0
46.7
0.1
1.4
7.4
7.8
7.3
0.5
0.4
93
28
FY21
5.0
12.1
88.5
2.0
39.9
2.3
155.9
64.5
8.8
46.7
0.3
2.5
6.3
7.3
6.8
0.5
0.3
69
21
FY22
10.6
17.5
106.2
2.0
18.8
0.7
73.6
44.6
7.4
37.8
0.3
0.5
10.9
9.8
10.8
0.6
0.3
54
40
FY23
8.5
15.6
113.6
2.0
23.6
0.8
92.3
50.1
6.9
45.1
0.3
-1.5
7.7
6.1
7.0
0.4
0.2
58
35
FY24
10.5
20.5
127.0
2.0
19.0
0.4
74.4
38.2
6.2
28.7
0.3
-1.2
8.7
7.7
9.8
0.4
0.2
32
26
FY25E
17.9
33.0
142.0
2.7
15.1
0.3
43.7
23.7
5.5
19.7
0.3
-3.2
13.3
9.4
12.5
0.4
0.2
25
24
FY26E
20.8
38.5
159.8
3.0
14.4
0.4
37.6
20.3
4.9
17.5
0.4
-1.8
13.8
9.6
12.9
0.4
0.2
20
22
FY27E
20.4
46.4
177.0
3.0
14.7
0.4
38.4
16.8
4.4
14.2
0.4
0.8
12.1
10.1
13.3
0.4
0.2
20
18
3.3
0.8
2.6
0.5
1.8
0.4
6.0
1.1
4.8
1.2
4.1
1.4
4.1
1.5
4.5
2.0
(INR m)
FY27E
1,31,877
0
6,080
0
-7,982
1,29,975
-1,15,000
14,975
0
4,237
-1,10,763
0
45,000
-48,998
-4,920
0
-8,918
10,294
16,498
26,792
FY20
29,569
0
-7,743
746
-1,751
20,820
-1,210
19,611
2,101
2,122
3,013
54
-7,070
-10,621
-1,979
-228
-19,844
3,989
5,458
9,448
FY21
29,066
0
8,663
1,101
-1,831
36,999
-4,354
32,644
1,707
-7,678
-10,326
10
-15,082
-8,433
-1,643
661
-24,487
2,187
9,448
11,635
FY22
35,690
0
-4,375
2,593
-4,388
29,520
-22,941
6,580
3,166
5,852
-13,922
-844
3,892
-7,574
-3,287
5,846
-1,967
13,631
11,634
25,265
FY23
32,818
0
-11,336
2,833
-3,473
20,843
-42,363
-21,520
2,342
-30,074
-70,095
24
87,278
-10,758
-3,288
1,581
74,838
25,586
25,265
50,850
FY24
53,818
0
10,085
2,290
-3,857
62,336
-80,328
-17,991
1,894
-4,743
-83,177
0
-1,77,098
-23,082
-3,468
2,26,596
22,947
2,106
50,850
52,957
FY25E
82,190
0
3,400
0
-6,621
78,969
-1,30,000
-51,031
0
4,237
-1,25,763
0
55,000
-24,926
-4,428
0
25,646
-21,149
52,957
31,808
FY26E
96,223
0
5,440
0
-7,706
93,957
-1,25,000
-31,043
0
4,237
-1,20,763
0
45,000
-28,584
-4,920
0
11,496
-15,310
31,808
16,498
September 2024
104
 Motilal Oswal Financial Services
Initiating Coverage | Sector: Power Utilities
Indian Energy Exchange
BSE Sensex
84,929
S&P CNX
25,939
CMP: INR239
TP: INR226 (-5%)
Neutral
Regulatory overhang mars an otherwise solid outlook
Stock info
Bloomberg
Equity Shares (m)
M.Cap.(INRb)/(USDb)
52-Week Range (INR)
1, 6, 12 Rel. Per (%)
12M Avg Val (INR M)
Free float (%)
IEX IN
892
206.3 / 2.5
233 / 121
14/55/44
2297
100.0
FY25E
5.1
4.3
3.7
4.1
7.6
12.7
(0.3)
35.3
34.6
50.0
56.2
18.2
46.7
0.9
FY26E
6.0
5.2
4.4
4.9
19.2
15.2
(0.4)
35.3
34.7
50.0
47.1
15.3
38.7
1.1
Financial Snapshot (INR b)
Y/E March
Sales
EBITDA
Adj. PAT
EPS (INR)
EPS Gr.%
BV/Sh. (INR)
Ratios
Net D:E
RoE (%)
RoCE (%)
Payout (%)
Valuation
P/E (x)
P/B (x)
EV/EBITDA (x)
Div. yield (%)
FY24
4.5
3.8
3.4
3.8
16.7
10.6
(0.2)
39.4
38.6
50.0
60.5
21.8
54.1
0.8
We initiate coverage on IEX with a Neutral rating and a TP of INR226. IEX is an
electricity exchange with an 84% market share in total exchange-traded volumes
in FY24. It has delivered a volume CAGR of 15% during FY13-24.
The launch of new products (e.g., long-dated contracts), rising FDRE projects and
growth in RE certificates will boost its volume growth outlook. The 11-month
contract segment represents a significant market opportunity, with ~40 BUs of
transactions happening in the bilateral market; and assuming 10% share of this
market in the initial year, it adds 4% to FY24 volumes, we estimate.
The Transmission System Plan, prepared by a committee set up by the Ministry
of Power, envisions installation of 51.5GW of BESS by 2030 to provide RTC
power to end consumers. Also, given the need to meet base power demand, the
industry has been pivoting toward FDRE and RTC tenders, with power exchanges
playing a crucial role in meeting the growing demand from discoms and ensuring
compliance with RPO targets. IEX could be a key beneficiary of this trend.
We estimate a CAGR of 17%/15% in IEX’s volumes/PAT during FY24-27,
considering falling power prices, favorable base effects and a strong market
share.
However, the potential implementation of market coupling is a key regulatory
overhang that could dampen IEX’s growth prospects given its dominant market
share. We initiate coverage on IEX with a Neutral rating and a TP of INR226. Our
TP implies an FY26E P/E of 46x vs. the current FY26E P/E of 47x. Our valuation
multiple of 40x is marginally below the historical mean +1 SD PE of 44x for the
stock and already takes into account robust growth prospects, leaving limited
upside potential.
Robust
v
olume trends in 1HFY25
Shareholding pattern (%)
As On
Jun-24 Mar-24 Jun-23
Promoter
0.0
0.0
0.0
DII
31.3
27.3
21.1
FII
12.0
11.2
17.6
Others
56.8
61.6
61.3
FII Includes depository receipts
Stock performance (one-year)
IEX reported 14% YoY volume growth in FY24, after a robust 29% CAGR
during FY20-22. We estimate volume growth of 13% YoY in FY25 and 14%
YoY in FY26. In 1QFY25, IEX reported a 21% YoY jump in overall volumes.
We believe that the following factors should support volume growth in the
medium term: 1) lower power prices due to softer coal prices on YoY basis;
2) the launch of new products like long-dated contracts spanning up to 11
months; and 3) the recent amendment to late payment surcharge rules,
which mandates offering surplus power in order to claim capacity charges.
IEX is currently awaiting approval from CERC to extend the term-ahead
market contract from 90 days to 11 months. The 11-month contract
segment represents a significant market opportunity, with ~40 BUs of
transactions happening in the bilateral market. Even if IEX secures only a
10% share of this market in the initial year, it adds 4% to FY24 volumes, we
estimate.
In response to the growing addition of RE capacity and feedback from RE
generators, IEX has also filed a petition with CERC to introduce a green
real-time market (RTM) product to address the variability in renewable
generation.
105
Launch of long-term contracts to add 4% to total volumes in near term
September 2024
 Motilal Oswal Financial Services
Power Utilities
Medium- to long-term boost from FDRE and battery storage projects
Given the need to meet base power demand, the industry has been pivoting
toward FDRE and RTC tenders, with power exchanges playing a crucial role in
meeting the growing demand from discoms and ensuring compliance with RPO
targets. These contracts, which may include surplus generation capacity, offer
significant opportunities for exchanges to facilitate the sale of surplus power,
particularly as 5% of the annual commitment in FDRE can be purchased through
GDAM. IEX is well-positioned to support these advancements, providing a
robust platform for the trading of surplus capacity generated through these
contracts and helping discoms meet their RPO targets.
The Transmission System Plan, prepared by a committee set up by the Ministry
of Power, envisions installation of 51.5GW of BESS by 2030 to provide RTC
power to end consumers.
IEX has a 47.28% stake in Indian Gas Exchange (IGX), which offers short-term
products in the gas markets. IGX saw a 15% volume CAGR during FY13-24. We
believe the outlook is robust as domestic gas production from ONGC, Oil India,
and Reliance Industries is set to rise meaningfully YoY in FY25 and beyond. Start
of Indradhanush Gas Grid (phase I – 4QFY25) should also catalyze volume
growth from northeastern producers.
Moreover, as spot LNG prices have moderated from a higher base of
USD16/mmbtu in 3QFY24 to ~USD13/mmbtu in 2QFY25TD, we believe overall
gas consumption (and so volumes on IGX) in India should rise.
Accordingly, IEX’s stake in IGX provides long-term value optionality should IGX
go for an IPO in the future.
The uncertainty surrounding the implementation of market coupling has been a
major concern for IEX in the last two years. Considering its dominant market
position, IEX could suffer the most should market coupling be implemented.
The concept of a market-coupling operator, tasked with consolidating bids from
various exchanges to establish a uniform price, could potentially diminish IEX’s
liquidity advantage and result in higher competition, leading to a dip in fees.
Exchange volumes tend to fare poorly during the periods of high power prices;
therefore, elevated power prices remain a risk given the expected power deficit
situation in India in the coming years.
Potential market share loss by exchanges to bilateral transactions and increased
competitive intensity
The implementation of market coupling without a roadmap toward MBED will
be a backward step for innovation and progress in power markets and could
lead to loss of volumes/profitability for IEX, in our view.
IEX is projected to achieve a PAT CAGR of 15% during FY24-27 and EBITDA
margin of 86%, driven by a CAGR of 17% in volumes and declining power prices,
the introduction of new products such as long-dated contracts(LDC) up to 11
months, and a robust market share.
IGX provides medium- to long-term optionality
Regulatory overhang weighs on an otherwise positive growth outlook
Key risks
Solid market share, rising volumes underpin profitability
September 2024
106
 Motilal Oswal Financial Services
Power Utilities
Valuation and view
We initiate coverage on IEX with a Neutral rating and a TP of INR226. Our
valuation multiple of 40x is marginally below the historical mean + 1 SD PE of
44x for the stock and already takes into account robust growth prospects,
leaving limited upside potential.
In FY24-27, we estimate a 17% CAGR in volumes and EBITDA margin of ~86%.
Given limited capex, low working capital requirements, and an established
market position, we expect IEX to sustain its ROE in the current range of 35-40%.
September 2024
107
 Motilal Oswal Financial Services
Power Utilities
STORY IN CHARTS
Spot power prices on IEX
IEX spot prices - INR/kWh
5.9
5.2
4.4
3.3
3.9
3.0
2.8
97
IEX’s market share among exchanges
Market share of IEX of volumes traded on exchanges (%)
97
95
93
94
88
84
Revenue growth (INR b)
Transaction fees
Others
Volume growth (BU)
DAM
Others
2.0
0.3
1.7
2.3
0.2
2.1
2.5
0.2
2.3
2.6
0.2
2.4
3.2
0.2
3.0
4.3
0.2
4.0
4.0
0.2
3.8
4.5
0.4
4.0
5.1
0.2
4.9
6.0
0.2
5.8
7.1
0.2
6.8
2
50
11
49
14
60
35
65
46
51
57
53
68
61
82
100
71
79
PAT growth (INR b)
EBITDA
PAT
6.1
5.2
Day ahead volume as % of all India generation
Volumes on exchanges - BU
5.8
3.6
3.9
4.1
% of all-India generation
7.0
6.8
6.3
2.01.7 2.01.8
2.6
2.1
3.7
3.0 3.42.9
4.3
3.83.4
3.7
5.2
4.4
48
54
56
79
101
103
121
Short-term volume
Short Term Volumes (BU)
Share of Total Generation (%)
13.3
14.0
14.6
Exchange volume (%) in total short term volumes
Exchange Volumes (BU)
55
37
41
54
53
Share in ST volume(%)
62
53
65
68
10.6
9.9
10.6
12.5
12.0
12.9
54
56
80
101
103
121
157
185
216
Source: Company, MOFSL
Source: Company, MOFSL
September 2024
108
 Motilal Oswal Financial Services
Power Utilities
Company overview
IEX is India's leading energy marketplace, providing a nationwide automated
platform for trading electricity, renewables and certificates. Since its inception
on in Jun’08, IEX has expanded into cross-border electricity trade, aiming to
integrate the South Asian power market. The exchange operates with cutting-
edge technology, supporting efficient price discovery and seamless power
procurement.
IEX's ecosystem includes over 7,900 participants across 28 states and 8 union
territories, such as 65+ discoms, 800+ generators, 2,100+ RE generators and
obligated entities, and 4,900+ commercial and industrial consumers from
diverse sectors. The exchange is regulated by CERC and is listed on NSE and BSE
since Oct’17.
IEX offers multiple trading options, including:
Electricity Market: Day Ahead Market, Term Ahead Market, Real Time Market,
Cross Border Trad
Green Market: Green Term Ahead Market, Green Day-Ahead Market
Certificate Market: Renewable Energy Certificates, Energy Saving Certificates
In 2020, IEX incorporated the Indian Gas Exchange (IGX), which has been
profitable for more than three years. The government aims to increase gas
consumption from 6% to 15% of the energy mix, supported by growing
infrastructure such as expanding LNG terminal capacity from 45mt to 75mt and
new pipeline networks. With these developments, along with lower gas prices,
IGX is expected to demonstrate significant growth, potentially reaching the scale
of IEX in the next five years.
Exhibit 98:
IEX Volume(BU) across markets
DAM
200
150
100
50
0
FY19
FY20
FY21
FY22
FY23
FY24
FY25E
FY26E
FY27E
TAM + RTM
G-DAM
G-TAM
HP-DAM
DAM TRAS
RTM TRAS
RECs
ESCert
Source: Company, MOFSL
Launch of long-term contracts is a significant near-term catalyst
IEX is currently awaiting approval from CERC to extend the term-ahead market
contract from 90 days to 11 months. The hearing has concluded and an order is
reserved for the 11-month contract. The 11-month contract segment represents
a significant market opportunity, with ~40 BUs of transactions happening in the
bilateral market. Once approved, this contract is expected to drive considerable
volume on IEX's platform.
In response to the growing addition of RE capacity and feedback from RE
generators, IEX has also filed a petition with CERC to introduce a green RTM
product to address the variability in renewable generation.
September 2024
109
 Motilal Oswal Financial Services
Power Utilities
Market demand has prompted the development of contracts linked to
international benchmarks. To facilitate this, IEX has entered into a licensing
agreement with S&P Global Platts, allowing the use of benchmarks such as WIM,
JKM, and Brent. Upon approval from PNGRB, these assessment contracts will be
listed on IGX, offering buyers and sellers the option to select index on which
they want to buy/ sell their produce for a 3-month to a 12-month contract.
IEX has remained leading exchange over the years
India's power market operates through three major exchanges: IEX, PXIL and
HPX, all regulated by CERC. Among these, IEX stands out as the only listed entity
and dominates the market with an
84% share in FY24
based on volumes.
In terms of performance, IEX achieved a new milestone by trading 110 BUs in
FY24, surpassing the 100 BUs mark for the first time. This included 101.5 BUs of
electricity. Both electricity and REC segments have seen strong growth, with
1QFY25 seeing a 19% increase in electricity trading and a 50% rise in REC
trading. The latter has been driven by a significant price correction, with REC
floor prices dropping to INR128 from INR1,000 in 2023, attracting more C&I
consumers and utilities to meet their RE purchase obligations. IEX's broad
participant base continues to support its growth and market leadership.
Exhibit 99:
IEX’s market share among exchanges
Market share of IEX of volumes traded on exchanges (%)
97
97
95
93
94
88
84
Source: Company, MOFSL
IEX is particularly optimistic about the growth potential in the Green Market and
RTM segments. DAM is also showing positive consolidation, especially as DAC
volumes. REC trading has seen substantial improvement, with stable and
favorable pricing.
The optimization potential in the market, which had been constrained by high
prices in the past few years, is now re-emerging as a growth area. The decline in
coal prices and the increased availability of affordable solar power during the
day have reignited this segment's growth prospects.
Looking ahead, India's GDP is projected to grow 7-8% over the next several
years, with power demand expected to match this growth rate through 2030.
This economic expansion presents significant opportunities for IEX and other
exchanges to grow their business. The government's focus on green hydrogen,
green energy banking solutions, and innovations like pump storage and battery
storage, is expected to drive new product developments and market
innovations.
September 2024
110
 Motilal Oswal Financial Services
Power Utilities
Exhibit 100:
IEX total volume
IEX Total Volume (BU)
179
153
130
102
56
60
74
97
110
Exhibit 101:
Cumulative volume in FY24
G-TAM G-DAM
1%
2%
TAM
13%
DAM
49%
110.1
BU
RTM
27%
FY19 FY20 FY21 FY22 FY23 FY24 FY25E FY26E FY27E
ESCerts
1%
WHRS/GFG, 2%
Source: Company, MOFSL Source: Company, MOFSL
Market coupling remains a material risk
CERC released a discussion paper in Aug'23 regarding market coupling, inviting
feedback from sector participants. Over 75% of respondents indicated that
market coupling would not add value to the market and emphasized the need
for increased liquidity instead. On 6th Feb’24, CERC issued an order, revealing
that a three-month simulation of market coupling in the RTM and DAM across
three exchanges showed no significant benefits.
Given that one exchange dominates with a 99% market share in the RTM and
DAM segment, the benefits of market coupling are further diminished.
However, CERC suggested exploring the potential of coupling the RTM market
with the SCED to enhance liquidity and optimization. The National Load
Despatch Centre (NLDC) has been directed to develop the necessary software
for this coupling and conduct a four-month simulation to evaluate its feasibility.
As of now, the software development process is ongoing, a complex task that
could take considerable time. Following the simulation, CERC will assess
whether to proceed with coupling based on the results. The complexity of
financial settlements between these two markets is significant.
Furthermore, the GoI's amendment to the LPS Rule mandates that all generating
stations offer un-requisitioned power on the exchange platform to be eligible
for fixed charges. This has already led to a shift of optimization from the SCED
market to the RTM and DAM markets, reducing the potential benefits of further
coupling.
Considering these factors, the case for coupling the RTM and SCED markets
appears weak. However, a final decision will depend on the outcomes of the
simulations and further deliberations by CERC and hence we think it is a low
probability event but a material risk to the business case.
September 2024
111
 Motilal Oswal Financial Services
Power Utilities
Medium- to long-term boost from FDRE and battery storage projects
The Ministry of Power has set an ambitious goal of adding 50 GW of RE capacity
annually, aiming for a total of 500 GW by 2030. To support the integration of
this RE capacity with the grid, the Ministry has introduced a viability gap funding
(VGF) mechanism to develop BESS across the country, starting with a 4,000
MWh capacity.
The Transmission System Plan, prepared by a committee set up by the Ministry
of Power, envisions the installation of 51.5 GW of BESS by 2030 to provide RTC
power to end consumers.
Power exchanges are considered a key platform for the charging and discharging
of BESS, particularly during peak hours in the DAM and ancillary services.
Toward the end of FY24, BESS started to gain traction due to a significant
reduction in discovered rates, from ~11/kWh to ~3.66/kWh for two cycle
operations per day. This reduction is expected to continue as BESS
manufacturing overcapacity reduces costs, making BESS more viable and
increasing its participation in power markets during peak hours.
Furthermore, FDRE and RTC tenders are gaining traction, with power exchanges
playing a crucial role in meeting the growing demand from discoms and
ensuring compliance with RPO targets. These contracts, which may include
surplus generation capacity, offer significant opportunities for exchanges to
facilitate the sale of surplus power, particularly as 5% of the annual commitment
in FDRE can be purchased through GDAM. IEX is well-positioned to support
these advancements, providing a robust platform for the trading of surplus
capacity generated through these contracts and helping discoms meet their RPO
targets.
Exhibit 103:
Stable prices on IEX despite high demand
Power Consumption (BU)
DAM MCP (INR/unit)
7.8
820
5.73
101
4.93
5.2
910
400
407
4.93
5.3
452
RTM MCP (INR/unit)
Exhibit 102:
Technology cost (INR m)
Opex
Capex
520
320
FY20
350
250
FY21
100
470
FY22
650
FY23
FY24
1QFY23
1QFY24
1QFY25
Source: Company, MOFSL
Source: Company, MOFSL
RECs emerging as significant growth drivers
In 1QFY25, REC segments at IEX exhibited robust growth, with REC trading
surging by 50%. This notable increase in REC trading is largely attributed to a
significant correction in REC floor prices, which dropped from INR1,000/unit in
2023 to INR128/unit. This price adjustment has successfully attracted a greater
number of commercial and industrial consumers, as well as utilities, keen to
meet their RPOs. IEX's extensive participant base continues to bolster its market
leadership and sustained growth. Overall, RECs accounted for 7% of IEX’s total
volumes in FY24.
September 2024
112
 Motilal Oswal Financial Services
Power Utilities
A recent regulatory change now classifies large hydro projects as RE, whereas
previously only small hydro projects were considered as such. This adjustment
has led to a substantial increase in REC issuance, particularly from states like
Uttarakhand and Himachal Pradesh, resulting in inventory exceeding 3.5m
certificates. The surge in supply, coupled with the reduced price, has sparked
interest from utilities and consumers, who were previously hesitant to meet
their RPOs at higher price points. The positive momentum seen in 1Q is
expected to persist, with IEX anticipating strong performance in FY25.
Additionally, the Ministry of New and Renewable Energy (MNRE) and the
Bureau of Energy Efficiency (BEE) are implementing stricter measures to enforce
RPO compliance under the Energy Conservation Act, including potential
penalties for non-compliance. This heightened regulatory oversight is expected
to significantly enhance the compliance market, potentially doubling the
demand from 7m to 14m RECs in the near future.
New products, rising power consumption support positive outlook
The growth drivers for IEX are anchored in several key areas:
Increase in power consumption:
The anticipated high GDP growth is expected
to drive a surge in power demand. Additionally, the ongoing electrification of
the economy, encompassing EVs, rooftop solar, electric cooking, railway
traction, and data centers, will further bolster electricity consumption. These
factors, coupled with CEA's projections on electricity demand, position IEX to
capitalize on the growing power requirements.
New products and regulatory developments:
IEX is poised to benefit from the
introduction of new products and regulatory advancements, including TAM for
durations up to 11 months, Green RTM and the implementation of late payment
surcharge (LPSC) rules. The continued relevance of RECs further underscores the
exchange's role in the evolving energy landscape.
Redesigning the electricity market:
The ongoing re-design of the electricity
market presents significant opportunities for IEX.
Energy transition:
The transition toward RE is reshaping the energy mix and
market dynamics. IEX is well-positioned to support this transition by integrating
new market models that align with the changing energy landscape.
Diversity in demand/supply patterns:
The inherent diversity in demand and
supply patterns, influenced by diurnal, seasonal, and geographical variations,
provides IEX with opportunities to offer tailored solutions that cater to these
fluctuations, thereby enhancing market efficiency and stability.
Ample supply:
The adequate availability of power at reasonable prices, coupled
with the addition of new capacity in both conventional and RE sectors, ensures
steady supply. This creates a favorable environment for IEX to facilitate robust
trading activities, supporting the exchange's growth and market leadership.
Other opportunities for growth:
Load shifting to solar hours, capacity addition
to increase market activity on the exchange and introduction of electricity
derivatives.
These growth levers underscore IEX's strategic positioning to thrive in an
increasingly dynamic and evolving energy market.
September 2024
113
 Motilal Oswal Financial Services
Power Utilities
Exhibit 104:
Rising demand acting as a growth driver
All India demand (BU)
Traded volume at PXs (electricity)
121
101 103
80
41
48
54
56
31
29
35
Source: Company, MOFSL
Exhibit 105:
Energy transition
Maket Models to
support energy
transition
Contract for
difference (CFD)
Virtual PPA &
merchant RE
Firm dispatchable RE,
Round the clock RE
(FDRE & RTC)
Battery energy
storage systems
(BESS)
Source: Company, MOFSL
Cross-border trade can rise 7x over next decade
South Asian countries have engaged in cross border electricity trade (CBET) for
over a decade, predominantly through bilateral agreements. IEX initiated CBET
on its platform in Apr'21, initially limiting participation to DAM. In FY24, CEA
amended the procedures for CBET, extending it to include RTM operated by
power exchanges. This regulatory change has contributed to a significant
increase in cross-border trading volumes on the exchange. In FY24, IEX
facilitated trades of 4.0 BU in cross-border power, marking a 52% increase over
the previous fiscal year.
A report on BIMSTEC Energy Outlook 2035 projects that the potential for CBET
in the region could grow up to 7x, from 16 BU in 2020 to 127 BU by 2035. This
anticipated expansion is expected to further elevate CBET volumes on
exchanges.
Currently, India trades ~18 BUs (~4,000 MW) with its neighboring countries
through medium- and long-term bilateral contracts. IEX presently facilitates
electricity trade with Nepal and Bhutan, with Bangladesh expected to join soon.
Bangladesh's participation in CBET with India is anticipated to significantly
enhance the performance of its domestic power sector. As more of India's
neighboring countries engage in CBET, the South Asian power market will
benefit from increased cross-border trade, leveraging demand and generation
complementarities. This regional cooperation will optimize electricity costs,
accelerate access to power for consumers across participating countries, and aid
September 2024
114
 Motilal Oswal Financial Services
Power Utilities
in the integration of RE. Moreover, this collaborative pricing mechanism will
provide a buffer against volatile fluctuations in the global market
Through its diverse market offerings, IEX anticipates greater participation from
these countries across various market segments.
IGX provides value optionality in the future
In line with the GoI's goal to increase the share of natural gas in India's energy
mix to 15% by 2030, IEX established the Indian Gas Exchange (IGX) in Jun'20. IGX
began operations as a gas trading platform in Jun'20, and has been functioning
as a gas exchange since Dec'20.
IGX is India's first national gas exchange for physical delivery and has traded a
total of 100m mmbtu over its first three years, capturing ~10% of the country's
natural gas spot market. IGX currently has 44 members and over 190 clients.
Key Positives for IGX in FY24:
DGH Empanelment now allows domestic producers to auction their gas
through IGX.
Fertilizer manufacturers are now allowed to purchase domestic gas via IGX
on a pilot basis.
IGX has received approval to introduce small-scale LNG contracts for
trading.
In FY23, IGX launched the Gas Index of India (GIXI), marking the first
nationwide price index to serve as a benchmark for natural gas prices in
India. In FY24, IGX signed an MoU with GSPC to create a Hydrogen Price
Index in GIFT City and partnered with S&P Global Platts to introduce long
duration contracts (LDC) linked to indices such as WIM, JKM, and Brent.
Currently, IEX currently holds 47.3% in IGX. IOCL holds another 4.9% stake in
IGX.
IEXs' FY24 consolidated PAT included share in profit from IGX (associate
company) amounting to INR109m. IGXs' PAT for FY23/FY24 stood at
INR280/230m.
Exhibit 106:
IGX Delivery volume & price
Volume (mmscmd)
Price (USD/mmbtu)
13.6 13.1
13.1
12.8 13.3
12.2
12.1
11.6
11.4 10.7
10.7
10.5 10.6
9.6
9.0 10.2
Source: Company, MOFSL
September 2024
115
 Motilal Oswal Financial Services
Power Utilities
Exhibit 107:
Total Trade Volume (in mmscmd)
5.3
1.3
1.5
6.7
4.6
1.2
2.3
2.4
3.3
3.3
Source: Company, MOFSL
IGX key business segments
IGX operates with six gas hubs, each featuring multiple delivery points. It offers
six types of contracts: day-ahead, daily, weekly, weekday, fortnightly, and
monthly. Additionally, there are 12 consecutive monthly contracts available for
trading on any given trade date. The mechanism for price discovery is outlined
below:
For ex-hub contracts, the buyer handles delivery, whereas for delivery contracts,
the exchange is responsible for facilitating delivery. The contracts are in INR and
the minimum purchase amount is 50mmbtu/day.
India’s natural gas consumption will continue to rise over the next two
decades.
During FY24, the country's natural gas consumption was ~185mmscmd and has
already crossed 200mmscmd. To enhance the gas infrastructure, the current
~23,300km of gas pipelines is set to be expanded to ~35,000km over the next
two years.
India's LNG terminal capacity has reached 47.5mmtpa with the commissioning
of the Dhamra LNG Terminal. With additional projects in the pipeline, this
capacity is expected to expand to over 70mmtpa.
The development of robust infrastructure, combined with the increase in gas
demand from KG D6, KG 98/2, NRL, etc. will facilitate the growth of short-term
gas trading in India.
Exhibit 108:
IGX yearly volume trend (Mn mmbtu)
50.9
40.8
12.2
FY22
FY23
FY24
Source: Company, MOFSL
September 2024
116
 Motilal Oswal Financial Services
Power Utilities
Key drivers of future LNG demand in India
Sales purchase agreements (SPAs):
Since 2023, Indian buyers have announced
11.65mmtpa of SPAs. Recent agreements have reduced the gap between
contractual supply and demand, driven by increasing demand and peaking
domestic gas production, which highlights the need for more long-term deals to
minimize spot market exposure.
Policy focus:
Current policies emphasize fuel switching through the promotion
of natural gas.
Affordability efforts:
Unified tariff:
Its implementation has significantly reduced pipeline
transportation costs, especially for consumers located far from source
points.
Pricing linkage:
Domestic natural gas pricing is now linked to crude oil
prices, leading to a substantial decrease in prices for PNG (households) and
CNG (transport).
HPHT gas mandates:
Measures are in place to support price-sensitive
downstream sectors.
Sector prioritization:
The government prioritizes bids from the CGD sector for
transport and residential customers, followed by fertilizer plants, LPG
producers, and power plants.
Trader margin caps:
There are caps on traders' margins to prevent excessive
charges to downstream customers.
Production trends:
Domestic gas production is on the rise, with further growth
expected as more fields come online. Increased availability of domestic gas,
including HPHT, has contributed to reduced imports.
Exhibit 109:
All India Natural Gas Consumption (in mmscmd)
Net Domestic Production
144
49
95
141
51
90
143
58
85
153
68
85
162
75
LNG Imports
167
79
176
93
Total Consumption
166
90
179
88
165
187
89
73
87
88
83
76
91
92
98
Source: Company, MOFSL
September 2024
117
 Motilal Oswal Financial Services
Power Utilities
Risks
Market coupling and market share impact:
The implementation of market
coupling presents a critical risk for IEX. However, CERC has yet to decide on its
implementation. This uncertainty introduces regulatory risk, as any design
changes or delays in the adoption of market coupling could affect IEX’s
competitive positioning and market dynamics.
Shift from spot market to long-term instruments:
High power prices have
resulted in a shift in power volumes from the spot market to longer-duration
instruments. This shift could affect IEX’s revenue streams, as a decline in spot
market trading volumes may affect overall trading activity and profitability. IEX
must adapt to these changes by evolving its product offerings and market
strategies to maintain its competitive edge and revenue growth.
Rising competition:
Increasing competition in the electricity market poses a risk
to IEX. The presence of new and existing market players intensifies the
competitive landscape, potentially affecting IEX’s market share and profitability.
Regulatory risks:
IEX is subject to various regulations under the Electricity Act,
2003, including the Power Market Regulations, Inter-State Open Access
Regulations, and scheduling procedures issued by POSOCO. The regulatory
environment is dynamic, and any deviations from established regulations could
adversely affect IEX's operations and market standing.
Technological risks:
The introduction of new market products, such as the RTM
and High Price DAM, with stringent timelines, increases IEX’s dependency on
advanced technologies and systems. Risks related to system failures,
cybersecurity threats, and operational disruptions could affect trading
processes, disrupt business operations, and damage IEX’s reputation.
Revenue impact from market volatility:
IEX’s revenues are closely tied to its
market share and trading volumes. Market volatility and fluctuating trading
volumes can adversely affect the company’s financial performance. Failure to
align its products and services with evolving market demands may further
impact revenue and profitability.
Valuation
Our target price of INR 226 for IEX is based on:
We value the business at Dec’26E EPS of 5.6 with a PE multiple of 40x. This
compares with mean and mean+1 SD of 33x and 44x, respectively.
We have not assumed any value for IGX stake in our valuation.
Our valuation multiple of 40x is marginally below the historical mean + 1 SD PE of 44x
for the stock and already takes into account robust growth prospects, leaving limited
upside potential.
Exhibit 110:
Valuation Table
Dec-26 EPS
Valuation multiple
Target Price
CMP
Upside / (Downside)
INR
(x)
INR
INR
%
5.6
40
226
239
-5%
Source: MOFSL
September 2024
118
 Motilal Oswal Financial Services
Power Utilities
SWOT analysis
Leading power exchange
in India with near 90%
market share in exchange
traded volumes.
Strong technological
expertise and product
innovation (RTM, LDC)
have been key to
maintaining market
share.
While IEX is the leading
power exchange in
India, its operations
are confined to the
domestic market for
now.
Play on rising share of
short-term market and
increasing exchange
penetration in India’s
overall electricity
market.
Stake in Indian Gas
Exchange provides
opportunity to
leverage rising gas
trading in India.
Market coupling or other
adverse regulatory
decisions remain key
threat.
Economic downturns,
currency fluctuations,
and macroeconomic
factors can impact
electricity demand and
energy prices.
September 2024
119
 Motilal Oswal Financial Services
Power Utilities
Bull and Bear cases
Bull case
In our Bull case scenario, we factor in a volume growth CAGR of ~23% over the
FY25-27 period (vs. a ~17% CAGR in the Base case over FY25-27 period.
We also raise the valuation multiple to 32x PE vs 40x in the base case leading to
a bull case valuation of INR308/sh.
Bear case
In our Bear case scenario, we factor in a volume growth CAGR of ~12% over the
FY25-27 period (vs. a ~17% CAGR in the Base case over FY25-27 period.
We also assume that market-coupling concerns may arise again leading to a
sharp valuation de-rating. Based on the above assumptions, the company’s
valuation on a P/E multiple basis would be INR155/sh.
Exhibit 111:
Scenario analysis – Bull case
INR m
Net revenues
EBITDA
PAT
Target price (INR)
Upside (%)
FY25E
5,326
4,572
3,850
308
33
FY26E
6,598
5,752
4,810
FY27E
8,190
7,232
6,013
Exhibit 112:
Scenario analysis – Bear case
INR m
Net revenues
EBITDA
PAT
Target price (INR)
Downside (%)
FY25E
4,842
4,088
3,488
155
33
FY26E
5,445
4,606
3,946
FY27E
6,124
5,183
4,456
Source: MOFSL
Source: MOFSL
September 2024
120
 Motilal Oswal Financial Services
Power Utilities
ESG initiatives
Environment
IEX became India’s first carbon neutral Power Exchange in FY23, using market-
based tradable instruments. The aim is to offset its carbon emissions for FY22.
IEX has ISO Certifications for quality management, information security
management, and environmental management since Aug’16.
Social
In association with the Friends of Tribal Society, IEX has set up 100 Ekal
Viyalayas in Rourkela, Odisha, with an objective of providing education to tribal
children.
IEX collaborated with the Sabhyata Foundation for promoting and protecting
India’s culture, art, and heritage. It supported the Foundation’s initiatives of
restoration, preservation, and promotion of national culture and heritage at the
Red Fort Monument, which is designated as a UNESCO World Heritage site.
The company incurred INR56.6m of expenses in FY23 (compared to INR45.6m in
FY22) towards CSR as mandated by Section 135 of the Companies Act, 2013,
thus meeting its obligation.
Since FY17, IEX has partnered with the Akruti School for the Mentally
Challenged in Bangalore to deliver daily living skills training to over 50 children
and adolescents, and aim to enhance their self-sufficiency and capacity
development.
IEX, in collaboration with the Sampark Foundation, implemented the Sampark
Smart Class Program, which will enhance English and Numerics skills of children
in 170 government schools in Raigarh, Chhattisgarh.
Governance
The composition of the Board of Directors meets the requirement of SEBI
(Listing obligations and disclosure requirements) Regulations, 2015.
The composition of Risk management committee (applicable to the top 1,000
listed entities) is as per the SEBI (Listing obligations and disclosure
requirements) Regulations, 2015.
September 2024
121
 Motilal Oswal Financial Services
Power Utilities
Management overview
Mr. Satyanarayan Goel, Chairman and Managing Director
Mr. Goel is the CMD of the company, having held the position of MD & CEO
during CY14-19. Under his tutelage, the company has expanded its portfolio of
offerings, and undertaken several digital transformation initiatives, leading to
significant growth in the business.
With over 40 years of experience, he has previously held positions in PTC and
NTPC. He holds a Bachelor’s degree in Electrical Engineering from NIT Rourkela
and an MBA from the Faculty of Management Studies, New Delhi.
Mr. Vineet Harlalka, CFO & Company Secretary
Mr. Harlalka was appointed as the CFO in CY14 and he is also the Company
Secretary and Compliance Officer of IEX. With more than 20 years of experience,
he has previously worked with New Holland Fiat (India) Pvt. Ltd.
He holds a Bachelor’s degree of Commerce from the University of Delhi and has
been inducted as an Associate of the ICAI and the Institute of Company
Secretaries of India.
Mr. Rohit Bajaj, ED – Business Development, Strategy and Regulatory
Affairs
Mr. Bajaj was appointed as the ED in CY14; he has 27 years of experience in the
energy domain, especially in the power, oil, and gas sectors. Prior to joining IEX,
he was the Head of business for National Energy Trading and Services.
He has a Bachelor’s degree in Mechanical Engineering from the Regional
Engineering College, Rourkela, Sambalpur University and attended a Post
Graduate Diploma program in Executive Management from the Management
Development Institute, Gurgaon.
Mr. Amit Kumar, Head – Market Operations & NPI
Mr. Kumar has 19 years of experience and has worked in roles across
operations, product management, program management, and software
development functions. Previously, he was a member of the core leadership
team at Limeroad. He has also worked at Amazon, Microsoft, and Infosys.
Amit Kumar holds a Bachelor of Technology degree in Chemical Engineering
from the Indian Institute of Technology (BHU), Varanasi. He completed his MBA
from the Indian School of Business, Hyderabad.
September 2024
122
 Motilal Oswal Financial Services
Power Utilities
Financials and valuations
Standalone Income Statement
Y/E March
Net Sales
Change (%)
Transaction fees
Volumes (excl. REC) - BU
EBITDA
EBITDAM (%)
Depn. & Amortization
EBIT
Net Interest
Other income
PBT
Tax
Rate (%)
Reported PAT
Adjusted PAT
Change (%)
Standalone Balance Sheet
Y/E March
Share Capital
Reserves
Net Worth
Deferred Tax Liability
Capital Employed
Gross Block
Less: Accum. Deprn.
Net Fixed Assets
Capital WIP
Investments
Curr. Assets
Account Receivables
Current Investments
Cash and Cash Equivalents
Cash balance
Bank balance
Others
Curr. Liability & Prov.
Account Payables
Provisions & Others
Net Curr. Assets
Appl. of Funds
FY22
4,255
34.2
4,038
100
3,656
85.9
163
3,493
20
523
3,996
971
24.3
3,025
3,025
41.7
FY23
4,009
-5.8
3,807
97
3,365
83.9
186
3,179
25
732
3,887
960
24.7
2,927
2,927
-3.2
FY24
4,492
12.0
4,042
110
3,785
84.3
204
3,581
28
1,016
4,568
1,154
25.3
3,414
3,414
16.7
FY25E
5,093
13.4
4,886
130
4,339
85.2
193
4,146
28
797
4,914
1,238
25.2
3,676
3,676
7.6
FY26E
6,028
18.4
5,814
153
5,186
86.0
197
4,989
28
899
5,860
1,477
25.2
4,383
4,383
19.2
(INR m)
FY27E
7,057
17.1
6,838
179
6,108
86.6
201
5,907
28
1,020
6,899
1,738
25.2
5,160
5,160
17.7
(INR m)
FY27E
891
14,168
15,059
307
15,366
2,436
1,638
775
30
4,481
17,779
863
8,617
7,658
7,283
374
642
7,699
5,627
2,073
10,080
15,367
FY22
898
6,122
7,020
223
7,242
1,755
656
1,099
49
1,046
14,754
874
11,420
2,326
2,242
85
133
9,705
6,352
3,354
5,048
7,242
FY23
891
6,954
7,845
220
8,065
1,944
842
1,102
38
5,197
8,051
70
6,847
645
569
76
489
6,323
4,024
2,299
1,728
8,065
FY24
891
8,591
9,482
307
9,789
2,076
1,046
1,007
30
4,481
11,974
863
8,617
1,852
1,478
374
642
7,702
5,627
2,076
4,271
9,789
FY25E
891
10,429
11,320
307
11,627
2,176
1,240
913
30
4,481
13,900
863
8,617
3,778
3,404
374
642
7,697
5,627
2,071
6,203
11,627
FY26E
891
12,620
13,511
307
13,818
2,296
1,437
837
30
4,481
16,169
863
8,617
6,047
5,673
374
642
7,698
5,627
2,072
8,471
13,819
September 2024
123
 Motilal Oswal Financial Services
Power Utilities
Financials and valuations
Ratios
Y/E March
Basic (INR)
EPS
Growth (%)
Cash EPS
BV/Share
DPS
Payout (%)
Dividend yield (%)
Valuation (x)
P/E
Cash P/E
P/BV
EV/EBITDA
Dividend Yield (%)
Return Ratios (%)
RoE
RoCE (post-tax)
RoIC (post-tax)
Working Capital Ratios
Fixed Asset Turnover (x)
Asset Turnover (x)
Debtor (Days)
Payable (Days)
Standalone Cash flow statement
Y/E March
EBITDA
WC
Others
Direct taxes (net)
CF from Op. Activity
Capex
FCFF
Interest income
Others
CF from Inv. Activity
Share capital
Borrowings
Finance cost
Dividend
Others
CF from Fin. Activity
(Inc)/Dec in Cash
Opening balance
Closing balance
FY22
3.4
-52.9
3.6
7.8
2.0
59.4
0.9
68.8
65.3
29.7
56.3
0.9
49.1
47.5
71.7
3.9
0.6
75
545
FY23
3.3
-2.5
3.5
8.8
1.0
30.4
0.8
70.6
66.4
26.3
61.2
0.4
39.4
38.6
79.7
3.6
0.5
6
366
FY24
3.8
16.7
4.1
10.6
1.9
50.0
1.2
60.5
57.1
21.8
54.1
0.8
39.4
38.6
95.4
4.5
0.5
70
457
FY25E
4.1
7.6
4.3
12.7
2.1
50.0
0.9
56.2
53.4
18.2
46.7
0.9
35.3
34.6
91.7
5.6
0.4
62
403
FY26E
4.9
19.2
5.1
15.2
2.5
50.0
1.1
47.1
45.1
15.3
38.7
1.1
35.3
34.7
113.1
7.2
0.4
52
341
FY27E
5.8
17.7
6.0
16.9
4.1
70.0
1.7
40.0
38.5
13.7
32.6
1.7
36.1
35.6
136.8
9.1
0.5
45
291
(INR m)
FY27E
6,108
0
0
-1,738
4,370
-140
4,230
225
378
463
0
0
-28
-3,612
418
-3,223
1,610
5,673
7,283
FY22
3,656
5,210
36
-1,025
7,877
-108
7,769
103
-4,725
-4,730
0
0
-7
-1,345
-6
-1,358
1,789
452
2,242
FY23
3,365
-2,690
30
-930
-225
-87
-312
79
709
700
0
0
-2
-897
-1,249
-2,148
-1,673
2,242
569
FY24
3,785
263
14
-1,061
3,001
-132
2,869
228
-357
-262
0
0
-2
-1,780
-49
-1,831
909
569
1,478
FY25E
4,339
0
0
-1,238
3,101
-100
3,001
225
566
691
0
0
-28
-1,838
0
-1,866
1,926
1,478
3,404
FY26E
5,186
0
0
-1,477
3,709
-120
3,589
225
681
786
0
0
-28
-2,191
-6
-2,226
2,269
3,404
5,673
Investment in securities market are subject to market risks. Read all the related documents carefully before investing
September 2024
124
 Motilal Oswal Financial Services
REPORT GALLERY
RECENT STRATEGY/THEMATIC REPORTS
Power Utilities
September 2024
125
 Motilal Oswal Financial Services
Power Utilities
NOTES
September 2024
126
 Motilal Oswal Financial Services
Power Utilities
Explanation of Investment Rating
Investment Rating
Expected return (over 12-month)
BUY
>=15%
SELL
< - 10%
NEUTRAL
< - 10 % to 15%
UNDER REVIEW
Rating may undergo a change
NOT RATED
We have forward looking estimates for the stock but we refrain from assigning recommendation
*In case the recommendation given by the Research Analyst is inconsistent with the investment rating legend for a continuous period of 30 days, the Research Analyst shall be within following 30 days take
appropriate measures to make the recommendation consistent with the investment rating legend.
Disclosures
The following Disclosures are being made in compliance with the SEBI Research Analyst Regulations 2014 (herein after referred to as the Regulations).
Motilal Oswal Financial Services Ltd. (MOFSL) is a SEBI Registered Research Analyst having registration no. INH000000412. MOFSL, the Research Entity (RE) as defined in the Regulations, is engaged in
the business of providing Stock broking services, Depository participant services & distribution of various financial products. MOFSL is a listed public company, the details in respect of which are available on
www.motilaloswal.com.
MOFSL (erstwhile Motilal Oswal Securities Limited - MOSL) is registered with the Securities & Exchange Board of India (SEBI) and is a registered Trading Member with National
Stock Exchange of India Ltd. (NSE) and Bombay Stock Exchange Limited (BSE), Multi Commodity Exchange of India Limited (MCX) and National Commodity & Derivatives Exchange Limited (NCDEX) for
its stock broking activities & is Depository participant with Central Depository Services Limited (CDSL) National Securities Depository Limited (NSDL),NERL, COMRIS and CCRL and is member of
Association of Mutual Funds of India (AMFI) for distribution of financial products and Insurance Regulatory & Development Authority of India (IRDA) as Corporate Agent for insurance products.
Details of
associate entities of Motilal Oswal Financial Services Limited are available on the website at
http://onlinereports.motilaloswal.com/Dormant/documents/List%20of%20Associate%20companies.pdf
MOFSL and its associate company(ies), their directors and Research Analyst and their relatives may; (a) from time to time, have a long or short position in, act as principal in, and buy or sell the securities or
derivatives thereof of companies mentioned herein. (b) be engaged in any other transaction involving such securities and earn brokerage or other compensation or act as a market maker in the financial
instruments of the company(ies) discussed herein or act as an advisor or lender/borrower to such company(ies) or may have any other potential conflict of interests with respect to any recommendation and
other related information and opinions.; however the same shall have no bearing whatsoever on the specific recommendations made by the analyst(s), as the recommendations made by the analyst(s) are
completely independent of the views of the associates of MOFSL even though there might exist an inherent conflict of interest in some of the stocks mentioned in the research report.
MOFSL and / or its affiliates do and seek to do business including investment banking with companies covered in its research reports. As a result, the recipients of this report should be aware that MOFSL
may have a potential conflict of interest that may affect the objectivity of this report. Compensation of Research Analysts is not based on any specific merchant banking, investment banking or brokerage
service
transactions.
Details
of
pending
Enquiry
Proceedings
of
Motilal
Oswal
Financial
Services
Limited
are
available
on
the
website
at
https://galaxy.motilaloswal.com/ResearchAnalyst/PublishViewLitigation.aspx
A graph of daily closing prices of securities is available at
www.nseindia.com, www.bseindia.com.
Research Analyst views on Subject Company may vary based on Fundamental research and Technical
Research. Proprietary trading desk of MOFSL or its associates maintains arm’s length distance with Research Team as all the activities are segregated from MOFSL research activity and therefore it can
have an independent view with regards to Subject Company for which Research Team have expressed their views.
Regional Disclosures (outside India)
This report is not directed or intended for distribution to or use by any person or entity resident in a state, country or any jurisdiction, where such distribution, publication, availability or use would be contrary
to law, regulation or which would subject MOFSL & its group companies to registration or licensing requirements within such jurisdictions.
For Hong Kong:
This report is distributed in Hong Kong by Motilal Oswal capital Markets (Hong Kong) Private Limited, a licensed corporation (CE AYY-301) licensed and regulated by the Hong Kong Securities and Futures
Commission (SFC) pursuant to the Securities and Futures Ordinance (Chapter 571 of the Laws of Hong Kong) “SFO”. As per SEBI (Research Analyst Regulations) 2014 Motilal Oswal Securities (SEBI Reg.
No. INH000000412) has an agreement with Motilal Oswal capital Markets (Hong Kong) Private Limited for distribution of research report in Hong Kong. This report is intended for distribution only to
“Professional Investors” as defined in Part I of Schedule 1 to SFO. Any investment or investment activity to which this document relates is only available to professional investor and will be engaged only with
professional investors.” Nothing here is an offer or solicitation of these securities, products and services in any jurisdiction where their offer or sale is not qualified or exempt from registration. The Indian
Analyst(s) who compile this report is/are not located in Hong Kong & are not conducting Research Analysis in Hong Kong.
For U.S.
Motilal Oswal Financial Services Limited (MOFSL) is not a registered broker - dealer under the U.S. Securities Exchange Act of 1934, as amended (the"1934 act") and under applicable state laws in the
United States. In addition MOFSL is not a registered investment adviser under the U.S. Investment Advisers Act of 1940, as am ended (the "Advisers Act" and together with the 1934 Act, the "Acts), and
under applicable state laws in the United States. Accordingly, in the absence of specific exemption under the Acts, any brokerage and investment services provided by MOFSL, including the products and
services described herein are not available to or intended for U.S. persons. This report is intended for distribution only to "Major Institutional Investors" as defined by Rule 15a-6(b)(4) of the Exchange Act
and interpretations thereof by SEC (henceforth referred to as "major institutional investors"). This document must not be acted on or relied on by persons who are not major institutional investors. Any
investment or investment activity to which this document relates is only available to major institutional investors and will be engaged in only with major institutional investors. In reliance on the exemption
from registration provided by Rule 15a-6 of the U.S. Securities Exchange Act of 1934, as amended (the "Exchange Act") and interpretations thereof by the U.S. Securities and Exchange Commission
("SEC") in order to conduct business with Institutional Investors based in the U.S., MOFSL has entered into a chaperoning agreement with a U.S. registered broker-dealer, Motilal Oswal Securities
International Private Limited. ("MOSIPL"). Any business interaction pursuant to this report will have to be executed within the provisions of this chaperoning agreement.
The Research Analysts contributing to the report may not be registered /qualified as research analyst with FINRA. Such research analyst may not be associated persons of the U.S. registered broker-dealer,
MOSIPL, and therefore, may not be subject to NASD rule 2711 and NYSE Rule 472 restrictions on communication with a subject company, public appearances and trading securities held by a research
analyst account.
For Singapore
In Singapore, this report is being distributed by Motilal Oswal Capital Markets (Singapore) Pte. Ltd. (“MOCMSPL”) (UEN 201129401Z), which is a holder of a capital markets services license and an exempt
financial adviser in Singapore.This report is distributed solely to persons who (a) qualify as “institutional investors” as defined in section 4A(1)(c) of the Securities and Futures Act of Singapore (“SFA”) or (b)
are considered "accredited investors" as defined in section 2(1) of the Financial Advisers Regulations of Singapore read with section 4A(1)(a) of the SFA. Accordingly, if a recipient is neither an “institutional
investor” nor an “accredited investor”, they must immediately discontinue any use of this Report and inform MOCMSPL .
In respect of any matter arising from or in connection with the research you could contact the following representatives of MOCMSPL. In case of grievances for any of the services rendered by MOCMSPL
write to
grievances@motilaloswal.com.
Nainesh Rajani
Email:
nainesh.rajani@motilaloswal.com
Contact: (+65) 8328 0276
.
Specific Disclosures
1 MOFSL, Research Analyst and/or his relatives does not have financial interest in the subject company, as they do not have equity holdings in the subject company.
2 MOFSL, Research Analyst and/or his relatives do not have actual/beneficial ownership of 1% or more securities in the subject company
3 MOFSL, Research Analyst and/or his relatives have not received compensation/other benefits from the subject company in the past 12 months
4 MOFSL, Research Analyst and/or his relatives do not have material conflict of interest in the subject company at the time of publication of research report
5 Research Analyst has not served as director/officer/employee in the subject company
6 MOFSL has not acted as a manager or co-manager of public offering of securities of the subject company in past 12 months
7 MOFSL has not received compensation for investment banking/ merchant banking/brokerage services from the subject company in the past 12 months
8 MOFSL has not received compensation for other than investment banking/merchant banking/brokerage services from the subject company in the past 12 months
9 MOFSL has not received any compensation or other benefits from third party in connection with the research report
10 MOFSL has not engaged in market making activity for the subject company
********************************************************************************************************************************
The associates of MOFSL may have:
-
financial interest in the subject company
-
actual/beneficial ownership of 1% or more securities in the subject company at the end of the month immediately preceding the date of publication of the Research Report or date of the public
appearance.
-
received compensation/other benefits from the subject company in the past 12 months
-
any other potential conflict of interests with respect to any recommendation and other related information and opinions.; however the same shall have no bearing whatsoever on the specific
recommendations made by the analyst(s), as the recommendations made by the analyst(s) are completely independent of the views of the associates of MOFSL even though there might exist an
inherent conflict of interest in some of the stocks mentioned in the research report.
-
acted as a manager or co-manager of public offering of securities of the subject company in past 12 months
September 2024
127
 Motilal Oswal Financial Services
Power Utilities
-
-
-
be engaged in any other transaction involving such securities and earn brokerage or other compensation or act as a market maker in the financial instruments of the company(ies) discussed herein or
act as an advisor or lender/borrower to such company(ies)
received compensation from the subject company in the past 12 months for investment banking / merchant banking / brokerage services or from other than said services.
Served subject company as its clients during twelve months preceding the date of distribution of the research report.
The associates of MOFSL has not received any compensation or other benefits from third party in connection with the research report
Above disclosures include beneficial holdings lying in demat account of MOFSL which are opened for proprietary investments only. While calculating beneficial holdings, It does not consider demat accounts
which are opened in name of MOFSL for other purposes (i.e holding client securities, collaterals, error trades etc.). MOFSL also earns DP income from clients which are not considered in above disclosures.
Analyst Certification
The views expressed in this research report accurately reflect the personal views of the analyst(s) about the subject securities or issues, and no part of the compensation of the research analyst(s) was, is,
or will be directly or indirectly related to the specific recommendations and views expressed by research analyst(s) in this report.
Terms & Conditions:
This report has been prepared by MOFSL and is meant for sole use by the recipient and not for circulation. The report and information contained herein is strictly confidential and may not be altered in any
way, transmitted to, copied or distributed, in part or in whole, to any other person or to the media or reproduced in any form, without prior written consent of MOFSL. The report is based on the facts, figures
and information that are considered true, correct, reliable and accurate. The intent of this report is not recommendatory in nature. The information is obtained from publicly available media or other sources
believed to be reliable. Such information has not been independently verified and no guaranty, representation of warranty, express or implied, is made as to its accuracy, completeness or correctness. All
such information and opinions are subject to change without notice. The report is prepared solely for informational purpose and does not constitute an offer document or solicitation of offer to buy or sell or
subscribe for securities or other financial instruments for the clients. Though disseminated to all the customers simultaneously, not all customers may receive this report at the same time. MOFSL will not
treat recipients as customers by virtue of their receiving this report.
Disclaimer:
The report and information contained herein is strictly confidential and meant solely for the selected recipient and may not be altered in any way, transmitted to, copied or distributed, in part or in whole, to
any other person or to the media or reproduced in any form, without prior written consent. This report and information herein is solely for informational purpose and may not be used or considered as an
offer document or solicitation of offer to buy or sell or subscribe for securities or other financial instruments. Nothing in this report constitutes investment, legal, accounting and tax advice or a representation
that any investment or strategy is suitable or appropriate to your specific circumstances. The securities discussed and opinions expressed in this report may not be suitable for all investors, who must make
their own investment decisions, based on their own investment objectives, financial positions and needs of specific recipient. This may not be taken in substitution for the exercise of independent judgment
by any recipient. Each recipient of this document should make such investigations as it deems necessary to arrive at an independent evaluation of an investment in the securities of companies referred to in
this document (including the merits and risks involved), and should consult its own advisors to determine the merits and risks of such an investment. The investment discussed or views expressed may not
be suitable for all investors. Certain transactions -including those involving futures, options, another derivative products as well as non-investment grade securities - involve substantial risk and are not
suitable for all investors. No representation or warranty, express or implied, is made as to the accuracy, completeness or fairness of the information and opinions contained in this document. The Disclosures
of Interest Statement incorporated in this document is provided solely to enhance the transparency and should not be treated as endorsement of the views expressed in the report. This information is subject
to change without any prior notice. The Company reserves the right to make modifications and alternations to this statement as may be required from time to time without any prior approval. MOFSL, its
associates, their directors and the employees may from time to time, effect or have effected an own account transaction in, or deal as principal or agent in or for the securities mentioned in this document.
They may perform or seek to perform investment banking or other services for, or solicit investment banking or other business from, any company referred to in this report. Each of these entities functions as
a separate, distinct and independent of each other. The recipient should take this into account before interpreting the document. This report has been prepared on the basis of information that is already
available in publicly accessible media or developed through analysis of MOFSL. The views expressed are those of the analyst, and the Company may or may not subscribe to all the views expressed
therein. This document is being supplied to you solely for your information and may not be reproduced, redistributed or passed on, directly or indirectly, to any other person or published, copied, in whole or
in part, for any purpose. This report is not directed or intended for distribution to, or use by, any person or entity who is a citizen or resident of or located in any locality, state, country or other jurisdiction,
where such distribution, publication, availability or use would be contrary to law, regulation or which would subject MOFSL to any registration or licensing requirement within such jurisdiction. The securities
described herein may or may not be eligible for sale in all jurisdictions or to certain category of investors. Persons in whose possession this document may come are required to inform themselves of and to
observe such restriction. Neither the Firm, not its directors, employees, agents or representatives shall be liable for any damages whether direct or indirect, incidental, special or consequential including lost
revenue or lost profits that may arise from or in connection with the use of the information.
The person accessing this information specifically agrees to exempt MOFSL or any of its affiliates or employees
from, any and all responsibility/liability arising from such misuse and agrees not to hold MOFSL or any of its affiliates or employees responsible for any such misuse and further agrees to hold MOFSL or any
of its affiliates or employees free and harmless from all losses, costs, damages,
expenses that may be suffered by the person accessing this information due to any errors and delays.
This report is meant for the clients of Motilal Oswal only.
Investment in securities market are subject to market risks. Read all the related documents carefully before investing.
Registration granted by SEBI and certification from NISM in no way guarantee performance of the intermediary or provide any assurance of returns to investors.
Registered Office Address: Motilal Oswal Tower, Rahimtullah Sayani Road, Opposite Parel ST Depot, Prabhadevi, Mumbai-400025; Tel No.: 022 - 71934200 / 71934263; www.motilaloswal.com.
Correspondence Address: Palm Spring Centre, 2nd Floor, Palm Court Complex, New Link Road, Malad (West), Mumbai- 400 064. Tel No: 022 71881000. Details of Compliance Officer: Neeraj Agarwal,
Email Id: na@motilaloswal.com, Contact No.:022-40548085.
Grievance Redressal Cell:
Contact Person
Contact No.
Email ID
Ms. Hemangi Date
022 40548000 / 022 67490600
query@motilaloswal.com
Ms. Kumud Upadhyay
022 40548082
servicehead@motilaloswal.com
Mr. Ajay Menon
022 40548083
am@motilaloswal.com
Registration details of group entities.: Motilal Oswal Financial Services Ltd. (MOFSL): INZ000158836 (BSE/NSE/MCX/NCDEX); CDSL and NSDL: IN-DP-16-2015; Research Analyst: INH000000412 . AMFI:
ARN .: 146822. IRDA Corporate Agent – CA0579. Motilal Oswal Financial Services Ltd. is a distributor of Mutual Funds, PMS, Fixed Deposit, Insurance, Bond, NCDs and IPO products.
Customer having any query/feedback/ clarification may write to query@motilaloswal.com. In case of grievances for any of the services rendered by Motilal Oswal Financial Services Limited (MOFSL) write to
grievances@motilaloswal.com, for DP to dpgrievances@motilaloswal.com.
September 2024
128