Thematic |
Company name
October 2024
hfy
Power Financiers
The Power Play
Abhijit Tibrewal - Research Analyst
(Abhijit.Tibrewal@MotilalOswal.com)
Research Analyst: Nitin Aggarwal
(Nitin.Aggarwal@MotilalOswal.com) |
Raghav Khemani
(Raghav.Khemani@MotilalOswal.com)
10 December 2010
Motilal Oswal research is available on www.motilaloswal.com/Institutional-Equities, Bloomberg, Thomson Reuters, Factset and S&P Capital.
Investors are advised to refer through important disclosures made at the last page of the Research Report.
1
 Motilal Oswal Financial Services
Content:
Power Financiers: The Power Play
Power Financiers - Thematic: The Power Play: Key to India’s energy transition
01
Page #4
Summary: The Power Play: Key
to India’s energy transition
02
Page #6
03
Page #9
Sizing the opportunity in the
power finance sector
Story in charts
04
Page #16
05
Page #23
Companies Covered
Overview of the power sector
Power Finance Corporation: Powering progress!
Summary
...............................................................................................................................
Pg24
Story in charts
.......................................................................................................................
Pg26
Investment proposition in PFC
............................................................................................
Pg27
Valuation and View
..............................................................................................................
Pg37
Key risks
................................................................................................................................
Pg38
ESG initiatives
.......................................................................................................................
Pg39
Bull and Bear cases ...................................................................................................... Pg42
SWOT analysis
......................................................................................................................
Pg43
Management Team
..............................................................................................................
Pg44
Financials and valuations
.....................................................................................................
Pg45
REC: Charging ahead with renewable might
Summary
...............................................................................................................................
Pg48
Story in charts
.......................................................................................................................
Pg50
Valuation and View
..............................................................................................................
Pg63
Key risks
................................................................................................................................
Pg64
ESG initiatives ............................................................................................................. Pg65
Bull and Bear cases ...................................................................................................... Pg67
SWOT analysis
......................................................................................................................
Pg68
Management Team
..............................................................................................................
Pg69
Financials and valuations
.....................................................................................................
Pg70
October 2024
2
 Motilal Oswal Financial Services
Power Financiers - Thematic: The Power Play: Key to India’s energy transition
October 2024
Thematic| Sector: NBFC
Power Financiers
The Power Play: Key to India’s energy transition
PFC and REC fueling the nation’s energy boom
Initiating coverage on PFC and REC
Cos.
PFC
REC
Mcap TP Upside
(INR
b)
INR (%)
1,449 560
1,317 630
28
26
Total installed power capacity
exhibited a ~4% CAGR over FY18-FY24
Installed capacity (GW)
YoY Growth (%)
Per capita power consumption (kwh)
Per Capita consumption
Investment opportunity of INR42t and more:
An investment opportunity of
INR42t (INR34t in firm capex + INR8t in optionality) is set to unfold in the Indian
power sector over the next decade, with generation accounting for ~85% of this
capex. The triple tailwinds driving this investment are: 1) power demand
accelerating at a higher ~7% CAGR (~5% earlier), 2) the urgent need to upgrade/
replace aging power infrastructure as the electricity mix undergoes a shift (more
RE all-day), and 3) the transition to cleaner sources of energy considering India’s
ambitious target of achieving 500GW of renewable energy (RES) capacity by 2030.
Power demand growth accelerating at 7% CAGR (vs. 5% earlier):
With a robust
GDP growth outlook for India and the emergence of new demand drivers
(electric vehicles, data centers, electrification of energy demand), we believe
power consumption in India can compound at 7%+ over the next decade
(currently 8-9%).
India's power sector is undergoing a significant transition from a phase of
surplus to one of shortage.
This transition has been driven by a combination of
factors, including increased power demand, underinvestment in dispatchable
power sources (such as thermal and hydro), and the govt.'s focus on renewable
energy. Consequently, there is a renewed emphasis on expanding power
generation capacity, which in turn will drive loan book growth for lenders such
as Power Finance Corporation (PFC) and Rural Electrification Corporation (REC).
India is projected to add ~250GW of new power generation capacity over the
next five years, nearly three times the 86GW capacity added in the previous
five years.
This expansion will involve substantial investments in renewable
energy, along with essential supporting infrastructure such as thermal plants,
battery storage, and pumped storage systems.
The ability of PFC and REC, as state-owned NBFCs, to mobilize and manage
substantial amounts of capital renders them indispensable to India's energy
ambitions.
Under the National Infrastructure Pipeline (NIP), there is a total
capex opportunity of INR29t:
~INR18t under renewable generation, ~INR7t
under T&D, and the remaining under conventional generation. Besides power
projects, PFC and REC are also exploring financing opportunities in electric
vehicles and charging infrastructure, bio-refinery projects, ethanol blending,
solar panels, Flue Gas Desulfurization (FGD), smart metering, and city-gas
distribution (CGD) projects. Further, their expansion into financing infrastructure
& logistics projects is likely to serve as an additional driver of sustained, healthy
loan growth.
In previous cycles, the power sector was plagued by high levels of NPAs, mainly
in thermal projects. However, the current cycle is markedly different, since a
majority of loans extended by PFC and REC are now directed towards
government entities or private renewable energy companies, both of which
exhibit lower default risks.
The GNPA and NNPA ratios are at their multi-year
lows, as the power sector has witnessed the resolution of various stressed
assets over the past three years.
3
October 2024
 Motilal Oswal Financial Services
Power Financiers - Thematic: The Power Play: Key to India’s energy transition
For PFC, we expect a loan book CAGR of ~15% and a PAT CAGR of ~12% over
FY24-FY27. This is for an RoA/RoE of 2.9%/19% and a dividend yield of ~4.2% in
FY27E. PFC (standalone) trades at 1.0x FY26E core P/ABV, and the risk rewards
are attractive.
We initiate coverage on PFC with a BUY rating and a TP of
INR560
(based on a target multiple of 1.2x Sep’26E P/ABV on the standalone
business and ~INR211/share for its stake in REC with a holdco discount of 20%).
For REC, we project a loan book CAGR of ~18% and a PAT CAGR of ~15% over
FY24-FY27. This is for an RoA/RoE of 2.6%/21% and a dividend yield of ~4.7% in
FY27E. REC trades at 1.4x FY26E P/ABV.
We initiate coverage on REC with a BUY
rating and a TP of INR630
(based on a target multiple of 1.6x Sep’26E P/ABV).
Asset quality at its best in nearly a decade
POWER FINANCE CORPORATION
Financials Snapshot (INR b)
Y/E March
FY25E FY26E FY27E
NII
178 202
231
PPP
198 224
255
PAT
165 182
205
EPS (INR)
49.9 55.0 62.1
EPS Gr. (%)
15
10
13
BV/Sh. (INR)
275 313
357
ABV/Sh. (INR)
231 270
313
RoAA (%)
3.1
3.0
2.9
RoAE (%)
19.4 18.7 18.5
Div Payout (%) 30.0 30.0 30.0
Valuations
P/E (x)
8.8
8.0
7.1
P/BV (x)
1.6
1.4
1.2
Core P/E (x)
5.4
4.9
4.4
Core P/BV (x)
1.1
1.0
0.8
Div. Yld (%)
3.4
3.8
4.2
DISCOMs have historically been the weak link in India's power sector, suffering
from poor financial health due to high debt levels, operational inefficiencies,
and political interference. Interestingly, not every asset in the power sector is
stressed, and various government schemes and reforms such as IPDS, UDAY,
and LPS have actually reduced AT&C losses, improved the average realizable
revenue - average cost of supply (ARR-ACS) gap, and reduced DISCOM’s legacy
dues outstanding towards power generation and transmission companies.
PFC and REC are perceived as financial intermediaries that can raise borrowings
at attractive interest rates for deployment in the power sector. While a part of
this is true, it is also important to note that PFC and REC play an advisory role in
various government initiatives in the power sector. These are also the nodal
implementing agencies for various government schemes and packages, and
both together have funded more than 40% of the power sector capex in the last
five years.
In the current power upcycle, many distressed power plants have been acquired
by larger players, resulting in the resolution of multiple stressed projects. This
trend is expected to continue, leading to further recoveries for lenders like PFC
and REC. As the power sector recovers, there is potential for provision reversals,
particularly in the case of loans to thermal power plants that are now generating
positive cash flows. State-guaranteed loans now constitute 81% and 89% of the
loan mix for PFC and REC (v/s 83% and 88% in FY19), respectively.
Diversification into infra and logistics to enable a strong sanction pipeline
Beyond power generation, India’s infrastructure sector, including roads,
airports, and logistics, is set for significant expansion. PFC and REC have
expanded their mandates to include infrastructure financing, opening new
avenues for growth. The diversification into infrastructure projects, particularly
those backed by government guarantees, will provide PFC and REC with lower-
risk, high-reward opportunities.
Disbursements in renewables and infrastructure projects are usually back-
ended, suggesting that a healthy sanction pipeline will translate into healthy
disbursement growth in the subsequent yields. We estimate a disbursement
CAGR of 11% and 23% for PFC and REC, respectively, over FY24-FY27. However,
we should remain wary of higher exposures to private infrastructure/logistics
projects and promoter funding to entities in this segment.
October 2024
4
 Motilal Oswal Financial Services
Power Financiers - Thematic: The Power Play: Key to India’s energy transition
REC
Financials Snapshot (INR b)
PFC & REC: Benefitting from the power sector’s capex revival
PFC and REC will both be beneficiaries of the revival in power sector capex. With
our detailed project-level analysis of stressed assets, we believe that we are
now in a phase of power upcycle, where we will see stressed asset resolutions
continue, leading to further asset quality improvement. We do not see risks of
incremental additions to the stress pool over the next two years, and this should
keep credit costs benign at <5bp over FY25E-FY26E.
For an RoA profile of 3.0%/2.6%, a RoE of ~19%/21%, and dividend yields of
~3.8%/4.1% in FY26E, we believe current valuations of 1.0x and 1.4x FY26E
P/ABV for PFC (standalone) and REC, respectively, are attractive. Moreover,
both PFC and REC’s stock prices have corrected by ~25% from their recent highs,
and now even provide a margin of safety in valuations.
While we have a BUY
rating on both PFC and REC, we prefer REC over PFC, because of its better
execution capability and a stronger RoE profile.
Key downside risks for both PFC and REC:
1) an increase in exposure to projects
without PPA or to private infrastructure projects, 2) the RBI’s stricter draft
provisioning norms on project financing, 3) compression in spreads/NIM from
high competitive intensity in renewable projects, and 4) deterioration in the
health of DISCOM and potential haircuts in interest income.
Y/E March
FY25E FY26E FY27E
NII
196 226 264
PPP
196 228 266
PAT
159 183 211
EPS (INR)
60.5 69.3 80.1
EPS Gr. (%)
14
15
16
BV/Shr (INR)
306 357 417
ABV/Shr (INR)
302 354 413
RoAA (%)
2.7
2.6
2.6
RoE (%)
21.3 20.9 20.7
Div. Payout (%) 29.8 29.6 29.3
Valuation
P/E (x)
8.3
7.2
6.2
P/BV (x)
1.6
1.4
1.2
Div. Yield (%)
3.6
4.1
4.7
Valuation matrix: Comparison of PFC and REC with other NBFCs
CMP
MCap
(INR)
(INR b)
PFC*
439
1,449
REC
500
1,317
Five-Star
790
231
LIC HF
607
334
PNB HF
934
243
Aavas
1,727
137
HomeFirst
1,239
110
CanFin
823
110
Repco
499
31
Cholamandalam
1,481
1,245
MMFS*
292
361
Shriram Finance
3,302
1,242
Indostar
284
35
Muthoot*
1,883
756
Manappuram
183
155
BAF
7,272
4,501
Poonawalla
380
295
ABCL
225
587
LTFH
168
420
PIEL
1,003
226
MAS Financial
275
50
IIFL Finance
436
185
CreditAccess
1,145
183
Fusion Micro
226
23
Spandana Sphoorty
541
39
Note: *standalone; Source: MOFSL, Company
Peers
RoA (%)
FY25E
FY26E
3.1
3.0
2.7
2.6
8.1
7.6
1.6
1.6
2.3
2.5
3.2
3.2
3.5
3.4
2.2
2.2
3.0
2.9
2.5
2.8
2.0
2.4
3.3
3.3
1.3
1.6
5.4
5.3
4.6
4.8
4.0
4.2
4.6
4.3
0.0
0.0
2.5
2.6
1.0
1.8
2.9
3.0
2.1
3.3
4.4
4.8
-0.1
4.5
0.7
3.8
RoE (%)
FY25E
FY26E
19.4
18.7
21.3
20.9
18.7
18.8
14.7
13.8
11.5
13.0
14.5
15.2
16.4
17.5
17.9
17.5
13.9
13.2
20.6
22.5
12.7
15.7
16.3
17.2
5.1
7.1
19.3
19.1
18.5
19.1
19.6
21.3
14.8
16.4
12.1
13.9
11.5
13.1
3.4
6.4
14.5
14.7
9.6
14.9
18.1
18.4
-0.6
17.5
2.5
13.0
P/E (x)
FY25E
FY26E
5.4
4.9
8.3
7.2
21.5
17.8
6.8
6.5
13.3
10.5
23.2
19.1
29.2
23.5
13.0
11.3
7.2
6.7
27.8
20.3
14.1
10.3
14.7
12.1
22.6
16.1
14.9
13.0
6.7
5.5
26.6
20.0
22.5
17.8
17.0
13.2
14.8
11.8
24.4
12.5
16.3
12.6
16.5
9.0
14.1
11.7
-
4.2
42.6
7.4
P/BV (x)
FY25E
FY26E
1.1
1.0
1.6
1.4
3.7
3.1
0.9
0.8
1.4
1.3
3.1
2.7
4.5
3.8
2.1
1.8
0.9
0.8
5.2
4.0
1.7
1.5
2.2
2.0
1.1
1.1
2.7
2.3
1.1
1.0
4.7
3.9
3.1
2.7
2.0
1.7
1.6
1.5
0.8
0.8
2.0
1.7
1.4
1.3
2.4
2.0
0.8
0.7
1.0
0.9
October 2024
5
 Motilal Oswal Financial Services
Power Financiers - Thematic: The Power Play: Key to India’s energy transition
STORY IN CHARTS
Strong investment pipeline in renewable energy sources (RES) projects
Electricity generation (Renewable)
Total RES Projects
Projected investment (INR t)
450
RDSS scheme is aimed at:
18
Reducing the
AT&C losses to
pan-India levels
of 12-15%
A
Reducing the ACS-
ARR gap to zero
by 2024-25 by
improving the
operational
efficiencies and
financial
sustainability
B
Improving the
quality, reliability,
and affordability of
power supply to
consumers through
a financially
sustainable and
operationally
efficient
distribution sector
C
Strong investment pipeline in infrastructure projects
Infrastructure loans
Total Infrastructure Projects
Projected investment (INR t)
5,153
49
October 2024
6
 Motilal Oswal Financial Services
Power Financiers - Thematic: The Power Play: Key to India’s energy transition
STORY IN CHARTS
History of Central govt’s debt relief measures for DISCOMs
Accelerated power development scheme:
Aimed at upgrading T&D network+ adding tamper-
proof meters outlay of USD121m.
State Electricity Board bailout:
Central govt. converted 50% of outstanding debt to govt.
bonds and 50% waived off; INR7b package.
Electricity Act, 2003:
Established CERC/SERCs
Accelerated Power Development Reforms package:
Aims to achieve 15% AT&C loss (50% at
the time) through grants and incentives to states.
Restructured accelerated power development reforms package:
Central govt. to provide loans to
states to improve T&D structure of high density load centers to reduce AT&C losses.
Financial restructuring package:
DISCOM loans restructured (USD19b outstanding to banks); 50%
as govt-backed bonds and 50% into long-term loans, with lenient repayment terms and waiver of
penal interests.
Ujwal DISCOM Assurance Yojana (UDAY):
States to take up 75% of DISCOM debt (USD52b at the
time) and remainder loan to have low interest rates
Revamped distribution sector scheme:
Outlay of USD37b aimed at reducing India's AT&C losses to
12-15% and ACS-ARR gap to 0 through results-linked financial assistance outlay.
Electricity (late payment surcharge and related matters) Rules:
Scheme was introduced to reduce
Genco receivables from DISCOMs. Late Payment Surge rules provided for an incremental surcharge
with every additional month of default.
Electricity (amendment) Rules:
Quarterly monitoring of subsidies being released by states as billed
by DISCOMs.
2001-2003
2008-2015
2021-2023
Power Finance Corporation : Investment Rationale
A
Asset quality
strength to sustain;
stressed asset
resolutions to
continue
B
Expect ~15% loan
CAGR over the next
three years
High earnings
predictability with
PAT CAGR of ~12%
over FY24-27E
C
Rural Electrification Corporation: Investment Rationale
Strong loan CAGR of
~18% likely over the
next three years
Spread compression from
high competitive
intensity can be mitigated
with benign credit costs
New stressed asset
formation will be
minimal in this power
upcycle; Asset quality
outlook healthy
Healthy earnings
trajectory with ~21%
RoE over FY25-27E
October 2024
7
 Motilal Oswal Financial Services
Power Financiers - Thematic: The Power Play: Key to India’s energy transition
STORY IN CHARTS
Total installed power capacity exhibited a ~4% CAGR over
FY18-FY24
Installed capacity (GW)
7.2
6.2
YoY Growth (%)
Thermal is still the largest conventional power source in
India and fossil fuel contributes ~55% to the total installed
power capacity (in GW)
Thermal
Hydro
Nuclear
Solar
Wind
Other RE
16
46
82
7
47
8
5.3
3.5
3.9
3.3
4.5
4.1
5.8
13
34
22 7
45
223
14
36
28 7
45
227
15
38
35
7
46
231
15
39
40
7
46
16
40
54
7
47
16
43
67
47
235
236
237
243
327
FY17
344
FY18
356
FY19
370
FY20
382
FY21
399
FY22
416
FY23
442
446
FY18
FY19
FY20
FY21
FY22
FY23
FY24
FY24 Jun'24
Per capita power consumption (kwh)
Per Capita consumption
1,331
1,255
1,149
1,181
1,208
1,161
Peak power demand and met status (GWh)
Peak Demand
Peak Met
Surplus(+) / Deficits(-)
1,122
1,075
1,010
FY15
FY16
FY17
FY18
FY19
FY20
FY21
FY22
FY23
PFC: Stressed loans being resolved in NCLT and outside NCLT
with healthy provision covers (%)
Under NCLT
72
62
76
63
76
64
77
77
Outside NCLT
77
77
77
77
REC: Healthy provision coverage on both NCLT and non-
NCLT stressed exposures
Resolution Status
Under NCLT
Outside NCLT
Total Stage III
Resolution Status
Under NCLT
Outside NCLT
Total Stage III
PCR on Stage 3
Under NCLT
Outside NCLT
PCR on total Stage III
INR b
123
15
138
No. of projects
12
4
16
%
71
49
69
51
51
52
55
55
55
October 2024
8
 Motilal Oswal Financial Services
Power Financiers - Thematic: The Power Play: Key to India’s energy transition
Sizing the opportunity in the power finance sector
Power has ~23% share in the INR111t total capex under NIP over FY20-25
The power sector has always commanded a significant proportion of the overall
domestic infrastructure spending. Conventionally, a large part of the domestic
power financing was towards coal-based thermal projects. However, given the
country’s stated objectives to generate 500GW of non-fossil electricity capacity and
reduce emissions by 1b tons by 2030, we believe the capex in renewable energy will
continue to remain elevated over the next five years as well.
Exhibit 1: Sector wise breakup of capex of INR111t during
FY20-25
2%
7%
8%
3%
17%
1%
1%
12%
4% 3%
24%
Energy
Roads
Railways
Ports
Airports
Urban
Digital infra
Irrigation
Rural infra
Agri and food processing infra
Social infra
Industrial infra
Source: NIP
Exhibit 2: Power and renewable energy to command ~87%
share in the estimated capex on Energy during FY20-25
7%
6%
52%
Power
Renewable energy
35%
Atomic energy
Petroleum and natural gas
18%
Source: NIP
A large part of the opportunity in power financing lies in renewable energy
Until now, private investment has not found its way into thermal power because of
the overcapacity, low plant load factor (PLF) and the government’s clear focus on
renewable energy projects. Besides, the environmental norms have become stricter,
and given the constant scrutiny around ESG, investors remain wary of investing in
conventional thermal power plants.
Thermal power projects of
28K MW are under
construction by the central
and state sector entities.
Moreover, ~28K MW of thermal power projects is under construction (at different
stages) by the central and state sector entities. By end-Jun’24, investments worth
INR1.8t had already gone into these projects, and additional investments of INR1.2t
are likely over the next five years. Thermal power projects of 28K MW are under
construction by the central and state sector entities.
October 2024
9
 Motilal Oswal Financial Services
Power Financiers - Thematic: The Power Play: Key to India’s energy transition
Exhibit 3: Thermal capacity under construction as of Jun’24
Capacity Addition GW
Project Name
Centre
Barh STPP St-I
Buxar TPP
Lara STPP St-II
North Karanpura STPP
Patratu STPP
Singrauli STPP, St-III
Talcher TPP St- III
NLC Talabira TPP
Ghatampur TPP
Khurja SCTPP
State
Jawaharpur STPP
Obra-C STPP
Panki TPS Extn.
Ennore SCTPP
North Chennai TPP St-III
Udangudi STPP St-I
Bhusawal TPS
Sagardighi TPP St-III
Yadadri TPS
DCRTPP Extn.
Private
Mahan STPP, Ph- II
Total
15
2
FY25E FY26E FY27E FY28E FY29E FY30E
Cumulative
State
INR b
Total Cost incurred Additional
Implementing
project
till
investment
agency
cost
30 Jun 24
required
NTPC
SJVN
NTPC
NTPC
PVUNL
NTPC
NTPC
NLC
NUPPL
THDC
UPRVUNL
UPRVUNL
UPRVUNL
TANGEDCO
TANGEDCO
TANGEDCO
MAHAGENCO
WBPDCL
TSGENCO
HPGCL
Mahan
Energen
224
104
155
162
187
172
118
272
194
111
146
117
67
164
102
131
64
46
345
69
124
3,075
224
96
9
155
139
5
16
10
174
107
126
108
57
99
90
105
45
22
271
0
10
1,869
-
8
146
7
48
167
103
263
20
3
20
9
10
65
12
26
18
24
75
69
115
1,207
Source: CEA
0.66
1.32
0.66
0.8 1.6
0.8
0
0.8
1.6
0.66 0.66
2
1.98
1.32
0.66
0.66
0.66
1.32
0.8
1.32
0.66
0.66
3.2 0.8
0.8
0.8
3
0.8
2
2
3
1
0.7
1.3
1.6
0.7
2.4
1.6
1.3
2.4
2.0
1.3
0.7
0.7
0.7
1.3
0.8
1.3
0.7
0.7
4.0
0.8
1.6
28
Bihar
Bihar
Chhattisgarh
Jharkhand
Jharkhand
Madhya Pradesh
Odisha
Odisha
Uttar Pradesh
Uttar Pradesh
Uttar Pradesh
Uttar Pradesh
Uttar Pradesh
Tamil Nadu
Tamil Nadu
Tamil Nadu
Maharashtra
West Bengal
Telangana
Haryana
Madhya Pradesh
FGD installation mandatory and can be a good opportunity
To curb sulfur-dioxide emissions, installation of FGD systems in existing and all new
thermal power plants has been made mandatory. Our discussions with industry
experts suggested that installation of FGD will entail a cost of INR5m per MW,
implying a total investment of ~INR1t if it were to be fully and mandatorily installed
across all thermal plants.
Exhibit 4: FGD installed capacity (MW)
Central
State
Private
Total (MW)
Feasibility Study
started
Feasiblity Study
Tender
Completed
specification made
NIT issued
Bid Awarded
FGD installed
Source: CEA; Note: Data as of Mar’23
October 2024
10
 Motilal Oswal Financial Services
Power Financiers - Thematic: The Power Play: Key to India’s energy transition
Exhibit 5: Status of FGD installation (based on the no. of units)
222 210
168
135
70
2
Total (No.
of units)
19 23
33
Central
State
Private
-
16
-
16 13
6
NIT
issued
18
38 46
7
Bid Awarded
-
15
Feasibility Study
started
Feasiblity Study
Tender
Completed
specification made
FGD
installed
Source: CEA; Note: Data as of Mar’23
A process for in-principle approval to pass FGD costs on to the end-consumers
through tariff increases is already in place for plants that have long-term power
purchase contracts. To enable financing, a provisional tariff increase for each such
contract should be approved upfront by regulators rather than just in-principle
approvals.
Renewable power: Focus of the government and where the opportunity lies
Under the 2015 Paris agreement, India committed to reduce its greenhouse gas
emissions by 33-35% below the 2005 levels and to achieve 40% of installed electric
power capacity from non-fossil sources by 2030. Renewable Energy Sources (RES)
are sustainable even at lower power tariffs, and they are attractive means of
meeting India’s energy requirements.
Exhibit 6: Installed RES capacity (in GW)
% share of RE in total installed capacity
33%
30%
28%
25%
22% 24%
110
125
144
33%
9%
148
7%
8%
10%
11%
10%
Exhibit 7:
Proportion of generation from renewable sources
% share of RE in Generation
13%
14%
18%
20%
58
70
78
87
94
82
FY17 FY18 FY19 FY20 FY21 FY22 FY23 FY24 June'24
Source: CEA, Note: Data is up to Jun’24
FY17
102
FY18
127
FY19
138
FY20
147
FY21
155
FY22
204
FY23
226
FY24
Source: CEA; Note: Data is up to Mar’24
Currently, India is committed to reaching 500GW of renewable energy capacity by
2030. As of Jun’24, the total installed renewable energy capacity had reached
~148GW, which was predominantly solar and wind, along with a relatively lower
proportion of biomass and hydro. The next committed target is to achieve net zero
carbon by 2070.
October 2024
11
 Motilal Oswal Financial Services
Power Financiers - Thematic: The Power Play: Key to India’s energy transition
Exhibit 8: Strong investment pipeline in RES projects
Electricity generation
(Renewable)
NIP Projects
Non-NIP Projects
Stressed Projects
Total RES Projects
No. of
projects
271
135
44
450
Source: NIP, MOFSL
Exhibit 9: Estimated investment of ~USD215b in RES projects
Electricity generation
(Renewable)
NIP Projects
Non-NIP Projects
Total RES Projects
Projected
investment (USD b)
187.8
26.8
214.6
Projected
investment (INR t)
15.8
2.2
18.0
Source: NIP, MOFSL
The NIP forecasts
investment opportunities of
~INR18t in the renewable
generation segment.
The NIP projects investment opportunities of ~INR18t in the renewable generation
segment. Most of the large-ticket projects in RES generation are under NIP.
Rajasthan, Uttar Pradesh, Gujarat, Madhya Pradesh, and Himachal Pradesh are the
top five states where there are opportunities in the RES generation segment. These
states contribute ~82% of the total number of such projects in the country as of
Mar’24.
The NIP also identifies a list of 44 renewable energy projects that are stressed. Most
of the stressed projects in this sub-sector are in the state of Telangana (contributing
~40% of the total number of stressed renewable energy projects as of Mar’24).
Transmission needs to scale up significantly to support the generation/load
Transmission capacity depends on the growth in loan and the addition of installed
generation capacity. Transmission infrastructure in India largely has participation
from the central/state entities and very little (or insignificant) presence of the
private sector.
Exhibit 10: Installed capacity of transmission lines in each of the five-year plans (all figures
in circuit km; CKM)
Installed capacityin cKM (220kV)
1,35,980
1,14,629
96,993
79,600
46,005
59,631
1,63,268
6th plan
7th plan
8th plan
9th plan
10th plan
11th plan
12th plan
Source: Ministry of Power
October 2024
12
 Motilal Oswal Financial Services
Power Financiers - Thematic: The Power Play: Key to India’s energy transition
Exhibit 11: Total transmission lines (220KV and above in
CKM)
Transmission lines (in ckm)
4,71,341
4,41,821
4,13,407
4,25,071
4,56,716
4,85,544
Exhibit 12: Total transformation capacity (220KV and above
in MVA)
Transmission lines (in mva)
11,80,352
8,99,663
9,67,893
10,25,468
11,04,450
12,51,080
FY19
FY20
FY21
FY22
FY23
FY24
FY19
FY20
FY21
FY22
FY23
FY24
Source: National Power Portal and Ministry of power
Source: National Power Portal and Ministry of power
The NIP forecasts an
investment of ~INR5.2t in
electricity transmission
spread across 217 NIP and
79 non-NIP projects.
Transmission capacity would need to grow to support the generation from the RES
of electricity. The NIP forecasts an investment of ~INR5.2t in electricity transmission
spread across 217 NIP and 79 non-NIP projects.
Typically, Pan-India, there are no
stressed assets as of Mar’24 in the transmission segment vs. 58 and 78 such
stressed projects in the distribution and generation segments, respectively.
The
NIP forecasts an investment of ~INR5.2t in electricity transmission spread across 217
NIP and 79 non-NIP projects.
Moreover, to fulfill the government’s vision to deliver 500GW of RES by 2030,
transmission capex would need to be carried out to support this additional load.
Distribution improving through multiple reforms
Distribution is often perceived (and perhaps also is) as the weakest link in the power
value chain. The government had in the past introduced various schemes, such as
the Integrated Power Development Scheme (IPDS) and Deen Dayal Upadhyaya Gram
Jyoti Yojana (DDUGJY), to strengthen the urban and rural distribution networks.
Due to the pandemic and the consequent lockdown, liquidity problems traversed
upstream in the power sector value chain due to the inability of DISCOMs to pay
generation and transmission companies for the electricity purchased and
transmitted. To tide over the liquidity crisis in the power sector, the GoI announced
the Liquidity Infusion Scheme (LIS) in May’20 to help DISCOMs pay outstanding dues
to CPSU GENCOs and TRANSCOs, Renewable Generators, and Independent Power
Producers. Under the scheme, REC and PFC provided long-term concessional
transition financing to the distribution utilities against an unconditional and
irrevocable state government guarantee. The sanctioned loan under the scheme
was disbursed in two tranches (50% each).
As of Dec’23, the total loan disbursed by
PFC and REC together under the Scheme stood at INR1.12t for 16 states.
October 2024
13
 Motilal Oswal Financial Services
Power Financiers - Thematic: The Power Play: Key to India’s energy transition
In CY21, the Central
government approved an
RDSS scheme with an outlay
of ~INR3t and estimated
budgetary support from the
central government worth
~INR976b over a period of
five years.
NIP anticipates investments of ~INR5.1t in the distribution segment
In CY21, the central government approved a Revamped Distribution Sector Scheme
(RDSS) – a reforms-based and results-linked scheme with an outlay of ~INR3t and
estimated budgetary support from the central government worth ~INR976b over a
period of five years (from FY22 to FY26). The scheme’s objective is to improve the
quality, reliability, and affordability of power supply to consumers through a
financially sustainable and operationally efficient distribution sector. In CY21, the
Central government approved an RDS scheme with an outlay of ~INR3t and
estimated budgetary support from the central government worth ~INR976b over a
period of five years.
The scheme aimed at:
reducing the AT&C losses to Pan-India levels of 12-15% and
reducing the ACS-ARR gap to zero by 2024-25 by improving the operational
efficiencies and financial sustainability
Improving the quality, reliability, and affordability of power supply to consumers
through a financially sustainable and operationally efficient distribution sector.
Key interventions under the plan included:
Providing support to DISCOMs to undertake activities for ensuring 100% system
metering, implementing prepaid smart metering, energy accounting, and
implementing infrastructure works for loss reduction, as well as for
modernization and system augmentation aimed at improving the quality and
reliability of power supply.
Segregating feeders dedicated only for supply of power for agricultural
purposes, which are proposed to be solarized under the KUSUM scheme, will be
sanctioned on priority under the scheme.
Along with their proposals, DISCOMs will also need to submit an action plan for
strengthening their distribution system and improving performance by way of
various reform measures. The action plan should contain targeted
improvements in operational efficiency, financial viability, as well as the quality
and reliability of power supply.
The unique feature of the scheme is that its implementation is based on the
action plan worked out for each state to address state-specific issues, rather
than a “one-size-fits-all” approach.
Progress made under RDSS:
Because of the reform measures taken under the scheme, AT&C losses have
come down to ~15.4% (provisional) in FY23. The direct impact of this will be on
reducing the ACS-ARR gap, which will ultimately benefit end consumers for
getting quality supply.
October 2024
14
 Motilal Oswal Financial Services
Power Financiers - Thematic: The Power Play: Key to India’s energy transition
Statutory mechanism for timely payment to Generating companies
DISCOMs’ legacy dues
amounting to
~INR883b have been paid
by 13 States/UTs as of
Nov’23. The remaining
legacy dues as of Dec’23
stood at INR516.7b.
Electricity (late payment surcharge and related matters) Rules, 2022
provide
relief to the DISCOMs as well as electricity consumers, and at the same time,
generation companies are also getting the benefit of assured monthly
payments, which will help the whole power sector to become financially viable.
Provision has been made for a one-time scheme for liquidation of arrears,
enabling DISCOMs to pay total outstanding dues including Late Payment
Surcharge (LPS), as on the date of notification, in up to 48 monthly instalments.
No LPS on past outstanding dues will be applicable in case of timely payment of
these instalments. It will bring discipline in timely payment of dues.
All current dues are being paid since August 2022 within a maximum timeframe
of 75 days.
DISCOMs’ legacy dues, amounting to ~INR883b, have been paid by 13 States/
UTs as of Nov’23 (against total outstanding of ~INR1.4t as of Jun’22). The
balance legacy dues stood at INR516.7b as of Dec’23.
Based on the results achieved so far, it is expected that strict implementation of
the LPS Rules will bring back the financial viability of the power sector in the
country and would attract investments in the power sector. This rule has not
only ensured that the outstanding dues have been liquidated, but it has also
guaranteed that the current dues have been paid in time. It has played a vital
role towards ensuring the financial discipline in DISCOMs.
A total of 13 states opted for loans from PFC/REC (total loans sanctioned
under LPS stood at INR1.14t as of Dec’23).
October 2024
15
 Motilal Oswal Financial Services
Power Financiers - Thematic: The Power Play: Key to India’s energy transition
Overview of the power sector
India's power demand has been recording an impressive 6% CAGR from FY18 to
FY24, with projections indicating a continuation of this trend as the economy
expands. However, power generation capacity has lagged behind at 4% CAGR,
leading to a scenario where demand could outstrip supply, particularly as the
country adds more renewable energy capacity with lower plant load factors (PLFs)
vs. thermal power.
Exhibit 13: Total installed power capacity exhibited a ~4% CAGR over FY18-FY24
7.2%
Installed capacity (GW)
5.3%
3.5%
3.9%
3.3%
YoY Growth (%)
6.2%
4.5%
4.1%
5.8%
Thermal is still the largest
conventional power source
in India, and fossil fuel
contributes ~55% to the
total installed power
capacity.
327
FY17
344
FY18
356
FY19
370
FY20
382
FY21
399
FY22
416
FY23
442
FY24
446
Jun'24
Source: CEA
The gap between growing demand and lagging capacity presents a significant
opportunity for PFC and REC to finance new power generation projects, particularly
in renewables, thereby ensuring stable and profitable loan growth.
Exhibit 14: Thermal is still the largest conventional power source in India and fossil fuel
contributes ~55% to the total installed power capacity (In GW)
Thermal
344
34
22
45
223
357
36
28
45
227
Hydro
370
38
35
46
231
Nuclear
382
39
40
46
235
Solar
Wind
399
40
54
47
236
Other RE
416
43
67
47
237
442
46
82
47
243
FY18
FY19
FY20
FY21
FY22
FY23
FY24
Source: CEA
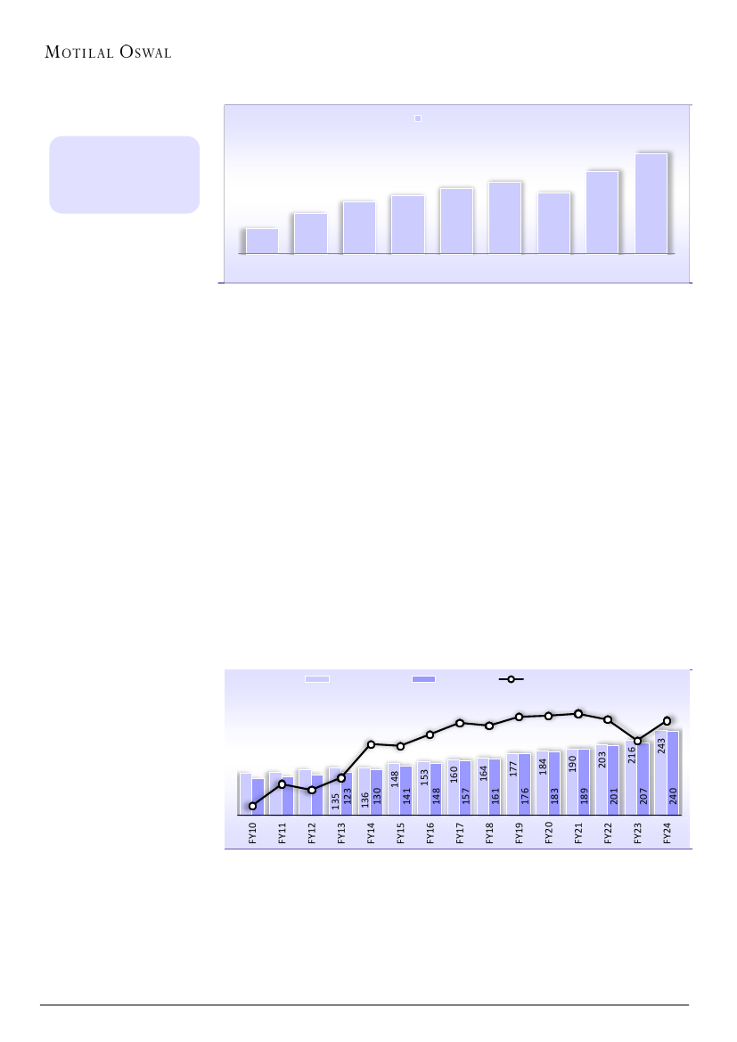
As of now, India’s per capita consumption of electricity is approximately one-third of
the world average, and per capita emission of carbon dioxide is also one-third of the
world average. In India’s pursuit to become a developed country, its per capita
consumption of electricity will definitely increase. Even if it were to cross the world
average over the next two decades, it will entail a three-fold increase in the per
capita consumption of electricity. Both PFC and REC will play a crucial role in
financing the capex towards electricity generation to cater to those levels of
electricity demand.
October 2024
16
 Motilal Oswal Financial Services
Power Financiers - Thematic: The Power Play: Key to India’s energy transition
Exhibit 15: Per capita power consumption (kwh)
Per Capita consumption
India’s per capita
consumption of electricity is
approximately one-third of
the world average.
1010
1331
1181
1208
1255
1161
1075
1122
1149
FY15
FY16
FY17
FY18
FY19
FY20
FY21
FY22
FY23
Source: CEA
India has seen a steady and robust increase in power demand driven by intense
weather conditions in certain geographies, the emergence of new power use-cases
such as data centers, and an intensified focus on manufacturing.
Until 2013, India’s peak electricity demand used to be significantly higher than the
peak met, resulting in a power deficit ranging between 9% and 13% over FY10-13.
However, a surge in thermal capacity addition post-2012 allowed India to achieve
sufficient power supply after 2014. What followed was the power deficit declining
from ~5% in FY14 declining to <1% by FY20-FY21. This was driven by a surge in
thermal capacity addition post-2012, which allowed the country to achieve
sufficient power supply. This led to many thermal plants becoming distressed,
lacking power purchase agreements and coal supply, ultimately halting new thermal
capacity additions and shifting the focus to renewable energy.
Since FY23, however, India has again faced power shortages due to a combination of
the lack of new dispatchable power supply (excluding renewables) and strong
growth in power demand.
Exhibit 16: Peak power demand and met status (GWh)
Peak Demand
Peak Met
-1.6% -2.0%
Surplus(+) / Deficits(-)
-0.8% -0.7% -0.4% -1.2%
-4.0%
-1.4%
-3.2%
-4.5% -4.7%
-9.8%
-12.7%
-10.6%
-9.0%
Source: CEA
October 2024
17
 Motilal Oswal Financial Services
Power Financiers - Thematic: The Power Play: Key to India’s energy transition
High AT&C losses + inadequate tariffs: Poor financial health of DISCOMs
Exhibit 17: DISCOM losses mounted again in FY23 after declining in FY22
Discom losses (INR b)
779
611
323
672
381
138
FY18
FY19
FY20
FY21
FY22
FY23
Source: PFC (Report on performance of power utilities); Note: Losses are after tax with subsidy
received
Exhibit 18: Collection and billing efficiency consistently improving
AT&C Losses (In %)
93.7
94.2
82.6
22.2
Billing Efficiency RHS (%)
92.8
83.4
22.6
92.2
84.9
21.7
92.8
84.2
21.9
Collection Efficiency (%)
97.3
97.3
87.0
81.6
23.6
86.1
16.2
15.4
FY17
FY18
FY19
FY20
FY21
FY22
FY23
Source: PFC (Report on performance of power utilities); Note: Data is up to 31 Mar 23
Various reports on the domestic power sector from the credit rating agencies
suggested that the DISCOM losses in FY21/FY22 could have increased up to
INR900b/INR750b due to the adverse impact on the industrial segments in the first
Covid lockdown in the early months of FY21.
DISCOM losses, excluding
revenue grant under UDAY
and regulatory income,
were equal to ~INR672b in
FY23.
DISCOM losses, excluding revenue grant under UDAY and regulatory income, were
equal to ~INR672b in FY23. Tamil Nadu, Telangana, Jharkhand, Maharashtra, Uttar
Pradesh, and Karnataka were among the most distressed state distribution utilities,
with a combined contribution of ~92% to the DISCOM losses (excluding revenue
grant under UDAY and regulatory income) in FY23.
October 2024
18
 Motilal Oswal Financial Services
Power Financiers - Thematic: The Power Play: Key to India’s energy transition
Exhibit 19: Share of respective state DISCOMs in the cumulative losses of DISCOMs
4%
8%
14%
Tamil Nadu
Telangana
Maharashtra
23%
17%
Jharkhand
UP
5%
karnataka
30%
Others
Source: PFC (Report on performance of power utilities) as of 31 Mar’23
Note: Losses are excluding revenue grant under UDAY and regulatory income
Exhibit 20: Outstanding borrowing of DISCOMs (INR b)
Outstanding borrowing of discoms (INR b)
Exhibit 21: DISCOMs’ borrowing distribution
23%
37%
Tamil Nadu
Telangana
Maharashtra
5%
9%
FY13 FY14 FY15 FY16 FY17 FY18 FY19 FY20 FY21 FY22 FY23
Source: PFC (report on performance of power utilities) as of Mar’23
8%
11%
7%
MP
UP
AP
Others
Source: PFC (report on performance of power utilities) as of Mar’23
Power sector reforms in India for the distribution segment
Some of the key recommendations made by the government or its agencies
in the recent past included the following:
Regular tariff revisions to fairly reflect the fixed and variable costs.
Distribution franchise model where the private sector entities have no
ownership over the distribution of grid assets but primarily manage the
collections and the billing instead
Distribution licensee model where the private sector entities are even owners of
the distribution assets
Smart metering that can help DISCOMs improve their billing efficiency. RDSS can
be effectively leveraged to achieve full coverage using prepaid/smart meters.
DISCOMs should be dissuaded from signing newer, more expensive long-term
PPAs with thermal gencos, provided the markets can offer lower-cost power to
the DISCOMs.
October 2024
19
 Motilal Oswal Financial Services
Power Financiers - Thematic: The Power Play: Key to India’s energy transition
Exhibit 22: Reforms introduced by the govt. to reduce ACS-ARR GAP to Zero by FY25 (in
INR/kWh)
ARR (Subsidy received)
0.7
ACS
Gap
0.6
0.5
0.7
0.6
0.6
0.5
4.8 5.4
FY16
4.9 5.5
FY17
5.0 5.5
FY18
5.3 6.0
FY19
5.6 6.2
FY20
5.6 6.2
FY21
0.1
6.2 6.3
FY22
6.7 7.1
FY23
Source: PFC (Report on performance of power utilities) as of Mar’23
RDSS scheme is aimed at:
reducing the AT&C losses to pan-India levels of 12-15% and
reducing the ACS-ARR gap to zero by 2024-25 by improving the operational
efficiencies and financial sustainability.
Exhibit 23: Debt service coverage ratio for states
Debt Service Coverage ratio
FY21
FY23
PFC (Report on performance of power utilities):
Debt servicing capabilities of state DISCOMs have seen a major improvement as
compared to DSCR in 2021 (barring a few DISCOMs in Uttarakhand, Andhra
Pradesh, and Chhattisgarh).
October 2024
20
 Motilal Oswal Financial Services
Power Financiers - Thematic: The Power Play: Key to India’s energy transition
Exhibit 24: History of Central govt’s debt relief measures for DISCOMs
Accelerated power development scheme:
Aimed at upgrading T&D network+ adding tamper-
2001-2003
2008-2015
2021-2023
proof meters outlay of USD121m.
State Electricity Board bailout:
Central govt. converted 50% of outstanding debt to govt.
bonds and 50% waived off; INR7b package.
Electricity Act, 2003:
Established CERC/SERCs
Accelerated Power Development Reforms package:
Aims to achieve 15% AT&C loss (50% at
the time) through grants and incentives to states.
Restructured accelerated power development reforms package:
Central govt. to provide loans to
states to improve T&D structure of high density load centers to reduce AT&C losses.
Financial restructuring package:
DISCOM loans restructured (USD19b outstanding to banks); 50%
as govt-backed bonds and 50% into long-term loans, with lenient repayment terms and waiver of
penal interests.
Ujwal DISCOM Assurance Yojana (UDAY):
States to take up 75% of DISCOM debt (USD52b at the
time) and remainder loan to have low interest rates
Revamped distribution sector scheme:
Outlay of USD37b aimed at reducing India's AT&C losses to
12-15% and ACS-ARR gap to 0 through results-linked financial assistance outlay.
Electricity (late payment surcharge and related matters) Rules:
Scheme was introduced to reduce
Genco receivables from DISCOMs. Late Payment Surge rules provided for an incremental surcharge
with every additional month of default.
Electricity (Amendment) Rules:
Quarterly monitoring of subsidies being released by states as billed
by DISCOMs
The NDA government has a strong focus on infrastructure, and with PFC/REC both
mandated to finance both infrastructure/logistics projects, we will see a healthy
sanction pipeline (presently) translating into stronger disbursements in the coming
years. The loan sanction data published by REC suggests that the surge in loan
sanctions has been aided by a combination of both renewables as well as
infrastructure/logistics.
It is important to note that only those renewable plants that get commissioned
before Jul’25 will be eligible for free inter-state transmission. This could result in a
significant increase in renewable capacity additions in FY25 and translate into
stronger disbursements (from existing pipelines) in FY25 and early FY26.
Exhibit 25: Strong investment pipeline in infrastructure
projects
Infrastructure loans
NIP Projects
Non-NIP Projects
Total RES Projects
No. of projects
4,188
965
5,153
Source: NIP, MOFSL
Exhibit 26: Estimates investment of ~USD600b in
infrastructure projects
Infrastructure loans
NIP Projects
Non-NIP Projects
Total RES Projects
Projected
investment (USD b)
542.9
39.8
582.6
Projected
investment (INR t)
45.5
3.3
48.9
Source: NIP, MOFSL
Wholesale loans and infrastructure financing by NBFCs have been looked
upon with much skepticism, particularly after the default of IL&FS
In FY24, REC sanctioned ~INR406b to non-power infrastructure sectors comprising
roads & expressways, metro rail, airports, IT communication, social and commercial
infrastructure (educational institution, hospitals), ports, and electro-mechanical
(E&M) works in respect of various other sectors such as steel, refinery, etc.
Infrastructure financing in India has evolved significantly over recent years. The
previous reliance on public-private partnerships (PPP) led to failures due to
October 2024
21
 Motilal Oswal Financial Services
Power Financiers - Thematic: The Power Play: Key to India’s energy transition
developers/generators facing risks like traffic in road projects and revenue in power
plants. Now, the government has shifted to models such as Hybrid Annuity Model
(HAM) and Engineering, Procurement, and Construction (EPC), which reduce these
risks. While this new approach is less risky, it is still a new area for PFC and REC,
which have their core expertise in power sector financing. Their focus on
government-backed infrastructure projects is prudent, but a shift towards significant
lending to private infrastructure projects could pose risks and could be again met
with skepticism from much of the investor fraternity.
Exhibit 27: REC infra and logistics loan sanctions for FY23
Ports
Shipping,
waterways
5%
Drinking water
12%
Highways
20%
Communicaton
3%
FY23- Infra loans sanctions
Private
Airport
Sector Refinery
1%
9%
4%
Hospitals
3%
Education
Institutions
1%
Others
8%
Metro
7%
Hospitals
11%
Drinking
water/
irrigation
12%
Source: Company, MOFSL
Exhibit 28: REC infra and logistics loans sanctions for FY24
FY24- Infra loans sanction
Private
24%
Highways/R
oads
38%
Metro
42%
S
ource: Company, MOFSL
The majority of the infra
and logistics loans
sanctioned by REC are to
govt./ state projects, which
account for ~75% (FY23:
~96%) of the total infra and
logistics loans.
During FY24, REC sanctioned 38 infrastructure & logistics projects involving a total
loan amount of ~INR406b in several large-scale infrastructure projects in areas such
as development of highways/roads, metro rail systems, airports, hospitals, etc. The
majority of the infra and logistics loans sanctioned by REC are to govt./ state
projects, which account for ~75% (FY23: ~96%) of the total infra and logistics loans.
However, increasing share of private loans can expose the loan book of power
financiers to higher risk and ultimately elevated credit costs in the future.
October 2024
22
 Motilal Oswal Financial Services
Power Financiers - Thematic: The Power Play: Key to India’s energy transition
COMPANIES COVERED
Power Finance Corporation: Powering progress!
Summary
...............................................................................................................................
Pg24
Story in charts
.......................................................................................................................
Pg26
Investment proposition in PFC
.............................................................................................
Pg27
Valuation and View
..............................................................................................................
Pg37
Key risks
................................................................................................................................
Pg38
ESG initiatives
.......................................................................................................................
Pg39
Bull and Bear cases ...................................................................................................... Pg42
SWOT analysis....................................................................................................................... Pg43
Management Team
..............................................................................................................
Pg44
Financials and valuations
.....................................................................................................
Pg45
REC: Charging ahead with renewable might
Summary
...............................................................................................................................
Pg48
Story in charts
.......................................................................................................................
Pg50
Valuation and View
..............................................................................................................
Pg63
Key risks
................................................................................................................................
Pg64
ESG initiatives ............................................................................................................. Pg65
Bull and Bear cases ...................................................................................................... Pg67
SWOT analysis....................................................................................................................... Pg68
Management Team
..............................................................................................................
Pg69
Financials and valuations
.....................................................................................................
Pg70
October 2024
23
 Motilal Oswal Financial Services
Power Financiers - Thematic: The Power
Initiating
to India’s energy transition
Play: Key
Coverage | Sector: NBFC
7 October 2024
Power Finance Corporation
BSE SENSEX
81,050
S&P CNX
24,796
CMP: INR439
TP: INR560 (+28%)
Buy
Powering progress!
Stressed asset resolutions will aid write-backs and keep credit costs benign
Stock Info
Bloomberg
Equity Shares (m)
M.Cap.(INRb)/(USDb)
52-Week Range (INR)
1, 6, 12 Rel. Per (%)
12M Avg Val (INR M)
Free float (%)
POWF IN
3300
1447.6 / 17.2
580 / 226
-19/-5/52
7255
44.0
PFC is one of India’s two major public sector pure-play power asset finance companies.
With a presence across the value chain, PFC has a significant exposure to power
generation (~48% of loans as of Jun’24, including ~13% in renewable energy or RE) and
only ~19% of its loans are offered to private players. Given its strong focus on
RE/infrastructure lending and intense competition from banks in this segment, PFC’s
spreads are likely to contract by ~20bp over the next two years. Our detailed project-
level analysis suggests that asset quality will continue to improve from hereon, aided by
stressed asset resolutions (particularly in thermal generation) and lower credit costs
(including write-backs from recoveries) of <5bp over the next three years.
Financials Snapshot (INR b)
Y/E March
FY25E FY26E
NII
178
202
PPP
198
224
PAT
165
182
EPS (INR)
49.9 55.0
EPS Gr. (%)
15
10
BV/Sh. (INR)
275
313
ABV/Sh. (INR)
231
270
RoAA (%)
3.1
3.0
RoAE (%)
19.4 18.7
Div Payout (%)
30.0 30.0
Valuations
P/E (x)
8.8
8.0
P/BV (x)
1.6
1.4
Core P/E (x)
5.4
4.9
Core P/BV (x)
1.1
1.0
Div. Yld (%)
3.4
3.8
FY27E
231
255
205
62.1
13
357
313
2.9
18.5
30.0
7.1
1.2
4.4
0.8
4.2
Asset quality risks have receded; stressed asset resolutions to continue
We tried to reconstitute PFC’s stressed project portfolio and believe that PFC has
demonstrated significant progress on stressed asset resolutions and is already at
advanced stages of resolutions in projects with total exposure of ~INR40b. Most of
the stressed projects are adequately provided for and recoveries in many projects
will flow directly into the income statement. Based on our analysis, we estimate
recoveries of ~INR15-20b over the next 12-18 months.
Expect ~15% loan CAGR over the next three years
PFC and REC will always remain the implementing agencies for all incentives
and schemes rolled out by the government of India (GoI) to influence every
power sector reform. PFC clocked a ~24% CAGR in loan book over FY10-FY15,
driven by strong capex in the thermal power segment. However, loan book
growth slowed to a 7% CAGR during FY15-FY22 because of stress in thermal
generation projects and the focus shifting toward RE projects and T&D.
FY24 disbursements were dominated by DISCOM disbursements. Over the
next five years, we anticipate a significant acceleration in generation capex,
driven by investments in conventional generation and energy transition in
India, which is aiding RE projects. A strong sanction pipeline in infrastructure
will also lead to stronger disbursements in such infrastructure projects in the
coming years. We expect a ~15% CAGR in loans for PFC over FY24-FY27.
Intense competition and declining interest rate cycle to weigh on margins
PFC delivered historical high spreads of 3.3% in FY22, which declined to 3.1%/2.8%
in FY23/FY24. Historically, the spreads for PFC have been around 250-300bp.
Spreads could compress further due to a) banks remaining aggressive and
amenable to financing good-quality operational power projects, b) lower spreads
in RE financing, which continues to see high competition, and c) a possible decline
in the repo (interest) rate since a large proportion of assets are linked to a floating
rate, while a large proportion of liabilities (particularly domestic debt market and
foreign borrowings) are fixed rate. PFC had shared that a ~25bp decline in the
interest rates (over a one-year period) would impact its profits by ~INR3.2b.
Shareholding pattern (%)
As On
Jun-24 Mar-24 Jun-23
Promoter
56.0
56.0
56.0
DII
17.1
18.3
18.1
FII
17.9
17.2
17.5
Others
9.0
8.6
8.4
FII Includes depository receipts
Stock Performance (1-year)
October 2024
24
 Motilal Oswal Financial Services
Power Financiers - Thematic: The Power Play: Key to India’s energy transition
We estimate yield compression of ~20bp over the next three years, which will
potentially result in a decline in NIM to ~3.5% in FY25/FY26E.
High earnings predictability from healthy loan growth and benign credit costs
PFC, being a specialized power financier, will be able to leverage its lending
opportunities across conventional generation, renewables, and logistics to deliver a
healthy 11% disbursement CAGR over FY24-FY27E. Considering the status of PFC’s
sanctioned loans (translating into disbursements in the subsequent years), we are
confident that PFC’s loan growth will remain healthy at ~15% CAGR over FY24-
FY27E. PFC has no NPAs in state-backed projects. All 21 projects that are classified
as NPAs are from the private sector. GNPA has declined to ~3.3% in FY24 from
~8.1% in FY20, and similarly, NNPA has declined to ~0.9% in FY24 from ~3.8% in
FY20. Over the last five years, PFC has increased the PCR on its Stage 3 loan assets
from ~51% in FY20 to ~74% in FY24. The company reported ~22% YoY PAT growth to
~INR145b in FY24. There is good visibility on a stable earnings growth trajectory for
PFC, and we estimate an adjusted PAT CAGR of ~12% over FY24-FY27E with RoA/RoE
of 2.9%/19% and a dividend yield of ~4.2% in FY27E.
Valuation and view
PFC (standalone) trades at 1.0x FY26E P/BV and 4.9x FY26E P/E. In our view, we are
in the early phase of this current power uptrend and there is strong visibility on loan
and earnings growth, given that stressed asset resolutions will continue (keeping
credit costs at <5bp) for the next three years.
We initiate coverage on PFC with a
BUY rating
and our SoTP (Sep’26E)-based TP of INR560 (based on 1.2x target
multiple for the PFC standalone business and INR211/share for PFC’s stake in REC
after holdco discount of 20%).
Key risks
The key downside risks to our investment thesis include: 1) increasing exposure to
the high-risk power projects without PPAs, such as merchant RE plants, pumped
storage, and green hydrogen projects; 2) expanding exposure to private
infrastructure projects that raises risks as these loans fall outside PFC’s core
business of lending to power projects; 3) the RBI’s proposed stricter provisioning
norms for project financing that increase the provisioning requirement to ~5.0%
from ~0.4% and which would be gradually brought down subject to conditions; and
4) compression in spreads and margins due to intensified competition.
PFC: SOTP – Sep’26E
Stake
PFC Standalone
REC Stake (Pre-Holdco)
Hold Co Discount (20%)
REC Stake (Post-Holdco)
Target Value
100
53
Target
Multiple
1.2
1.6
Value
(INR B)
1,153
873
175
698
1,852
INR per
share
350
265
210
560
% To
Total
62
Rationale
1.2x Sep'26 PBV
1.6x Sep'26 PBV
38
100
October 2024
25
 Motilal Oswal Financial Services
Power Financiers - Thematic: The Power Play: Key to India’s energy transition
STORY IN CHARTS
Loan book CAGR of 15%...
Loans (INR b)
14%
10%
8%
5.1
0.5
14%
YoY Gr. (%)
14%
16%
13%
15%
29.9
10.0
11.0
13.0
…supported by 11% disbursement CAGR
Disbursements (INR b)
67.4
48.9
YoY Gr. (%)
0%
-42.0
Compression in spreads is inevitable… (%)
Avg. Yields
Avg Cost of funds
Interest Spread
…leading to a minor pressure on NIM as well
Net Interest…
3.8
11.1 10.4
10.0 10.0 10.4 10.2 9.8
9.9 10.1 10.0
9.9
2.3
3.6
3.2
3.6
3.6
3.5
3.5
8.2
7.9
7.1
7.2
2.8
7.2
6.9
6.7
7.1
2.8
7.4
7.3
7.3
2.6
2.9 2.4 2.9
3.2
3.3 3.1
2.7 2.6
Resolutions will result in a further improvement in asset
quality (%)
GNPA ratio
63.4
51.5 47.1
NNPA ratio
PCR
Stressed loans being resolved in NCLT and outside NCLT with
healthy provision covers (%)
Under NCLT
72
62
76
63
76
64
77
51
77
51
Outside NCLT
77
52
77
55
77
55
77
55
74.4 73.0 71.0 70.0
68.6 72.7
22.9
PAT CAGR of 12% over FY24-26E…
53
PAT (In b)
Growth YoY (%)
RoA/RoE of ~3%/19% in FY26
ROA (%)
19.5
ROE (%)
19.4
18.7
18.5
19
88
105
22
13
119
145
14
165
10
182
13
205
17.3
2.2
17.9
18.2
2.5
2.8
3.0
3.1
3.0
2.9
October 2024
26
 Motilal Oswal Financial Services
Power Financiers - Thematic: The Power Play: Key to India’s energy transition
Investment proposition in PFC
Loan growth to remain strong on the back of healthy sanction pipeline
Margins reasonably healthy even after building in spread compression
Diversified liability profile with greater hedging of foreign currency liabilities
Significant improvement in asset quality with stressed asset resolutions
Good visibility on earnings growth and franchise with healthy RoA/RoE
Disbursement/loan likely to clock CAGR of 11%/15% over FY24-27
PFC is a mono-line and a specialized power and infrastructure lender. Given that,
incrementally, a lot of the focus is on financing renewable energy and infrastructure
projects, PFC has also started exploring newer business avenues actively. It has
started financing electric vehicles/ EV charging infrastructure, smart metering
projects, FGD installations, bio-refinery projects, ethanol blending and selectively
even CGD projects.
Exhibit 29: Loan book CAGR of 15%...
Loans (INR b)
14%
10%
8%
14%
YoY Gr. (%)
16%
14%
13%
Exhibit 30: …supported by 11% disbursement CAGR
Disbursements (INR b)
67.4
15%
29.9
5.1
0.5
10.0
11.0
13.0
48.9
YoY Gr. (%)
0%
-42.0
Source: MOFSL, Company
Source: MOFSL, Company
PFC being a specialized power financier will be able to leverage the lending
opportunities across conventional generation, renewable and logistics to deliver a
healthy 11% CAGR in disbursements over FY24-FY27E. We expect the run-off in the
loan book (including pre-payments) to remain elevated at ~16% in FY25 and then
moderate to ~13% in FY26/FY27. This should translate in a loan CAGR of ~15% over
the next three fiscal years.
October 2024
27
 Motilal Oswal Financial Services
Power Financiers - Thematic: The Power Play: Key to India’s energy transition
Exposure to generation (including conventional) and transmission will start
picking up now
Exhibit 31: Sharp increase in exposure to distribution over the last four years driven by
disbursements under the DISCOM liquidity infusion package and LPS scheme (%)
Conventional Generation
1
30
8
10
51
FY21
2
34
8
10
47
FY22
Generation - Renewable
2
38
Transmission
4
41
7
13
36
FY24
Distribution
Others
4
40
7
13
36
1QFY25
Source: MOFSL, Company
7
11
42
FY23
The proportion of conventional generation projects in the loan mix has declined to
36% as of Jun’24 from ~51% in Mar’21. This was both a function of the aversion of
power lenders to conventional generation as well as the subsequent resolution of
stressed thermal generation projects. Decline in conventional generation was
complemented by higher proportion of loans in the renewable and distribution
segments.
India had committed under the 2015 Paris agreement to reduce greenhouse gas
emissions intensity by 33%-35% below 2005 levels, and to achieve 40% of installed
electric power capacity from non-fossil sources by 2030. In 2015, India had
embarked on an ambitious plan of installing 500 GW of renewable energy capacity
by 2030. Against this target, total renewable capacity (including Hydro) as of Jul’24
was ~200GW.
Renewable energy now contributes 13% to PFC’s loan mix and we
expect this to increase to ~25% over the next five years.
Exhibit 32: Marginal increase in exposure to private sector in the loan mix is
predominantly from renewable projects
State (%)
17%
17%
16%
Private (%)
17%
19%
19%
16%
83%
83%
84%
84%
83%
81%
81%
FY19
FY20
FY21
FY22
FY23
FY24
1QFY25
Source: MOFSL, Company
PFC and REC were the nodal implementation agencies for the DISCOM package
announced by the GoI under the Atmanirbhar DISCOM Scheme and the Late
Payment Surcharge (LPS) rules and reforms. Disbursements under the scheme are
supported by state government guarantees and secured
a
gainst DISCOMS’
receivables in the form of electricity dues.
October 2024
28
 Motilal Oswal Financial Services
Power Financiers - Thematic: The Power Play: Key to India’s energy transition
PFC has also been actively financing private sector projects in RE since it has a
smaller execution timeline compared to thermal generation and has pre-agreed
PPAs. Further, the risk of NPAs in RE projects is significantly low. This led to a minor
increase in PFC’s exposure to private sector enterprises over the last two years.
Margins healthy despite building in a ~20bp compression in spreads
In 2015, prior to the introduction of the UDAY scheme, DISCOM debt had surged to
INR4.3t, with banks having an exposure of ~INR1.6t at interest rates of 14-15%.
Most of this debt was transferred to state governments, while the remaining portion
was restructured, resulting in banks taking haircut and offering lower interest rates
at the base rate plus 10bp (which amounted to ~400-500bp of haircut in interest
rates). Because of this, banks and most other wholesale NBFCs have in the recent
past avoided power financing, especially to financially stressed DISCOMS.
Exhibit 33: Compression in spreads is inevitable… (%)
Avg. Yields
11.1
Avg Cost of funds
Interest Spread
3.8
10.4 10.0 10.0 10.4 10.2 9.8
9.9 10.1 10.0 9.9
2.3
8.2
7.9
7.1
7.2
2.8
7.2
3.2
FY21
6.9
7.1
2.8
7.4
7.3
7.3
2.6
3.6
3.2
Exhibit 34: …leading to a minor pressure on NIM as well
Net Interest…
3.6
3.6
3.5
3.5
6.7
2.9 2.4 2.9
FY17
FY19
3.3 3.1
FY23
2.7 2.6
FY25E
FY27E
FY20
FY21
FY22
FY23
FY24
FY25E FY26E FY27E
Source: MOFSL, Company
Source: MOFSL, Company
We did a scenario analysis around the yields and the spreads that PFC will be able to
command as we believe the current yields are clearly unsustainable given the
increasing proportion of renewable and infrastructure loans (which are more
competitive segments) in the loan mix. Our belief that spreads will moderate is
predicated on the following reasons: a) As the financial health of the state DISCOMS
improve, they would expect PFC/REC to extend loans to them at interest rates that
are comparable to the state government bond yields; and b) With low systemic
credit growth, the banks will be looking to selectively re-finance operational and
good-quality power projects of PFC/REC and c) Increasing proportion of renewables
which is a highly competitive segment with relatively lower spreads.
Our scenario analysis suggests that even if spreads were to moderate to ~2.3% over
the next two years, PFC would still be able to deliver NIM of ~3.2% and RoA/RoE of
~2.7%/17.4%. This combination of return profile, along with a dividend yield of ~4%,
is better than many other PSU banks (albeit, at slightly cheaper valuations than
PFC/REC).
Exhibit 35: Scenario analysis on spreads/margins assuming other items remain unchanged
(%)
Scenario Analysis
Yields
CoF
Spreads
Margin
RoA
RoE
Scenario 1
9.65
7.30
2.30
3.20
2.7
17.4
Scenario 2
9.75
7.30
2.40
3.30
2.8
17.8
Base Case
9.95
7.30
2.60
3.50
3.0
18.7
Source: MOFSL, Company
October 2024
29
 Motilal Oswal Financial Services
Power Financiers - Thematic: The Power Play: Key to India’s energy transition
Under our base case, we estimate a yield of 9.95%, a spread of 2.6% and a margin of
3.5% in FY26E for PFC.
Diversified liability profile with better hedging of foreign currency liabilities
PFC has a diversified liability profile and a high share of domestic bonds and foreign-
currency borrowings in its liability mix. Unlike other NBFCs/HFCs, PFC does not fully
hedge its foreign currency borrowings. As of Jun’24, PFC enhanced its exchange risk
hedge ratio to 95% for the portfolio with residual maturity of up to five years (up
from 86% as of Mar’21). With this, PFC’s earnings are relatively insulated from
foreign exchange fluctuations.
Until 2023, a lot of RE projects leveraged USD bonds compared to INR term loans.
After 2023, the spreads between 10Y Indian and US G-Sec bond yields narrowed and
stood at <300bp as of Jun’24. USD borrowing rates have gone up faster than INR
borrowing rates. After hedging costs, it is now cheaper for power/infrastructure
projects to borrow in INR than in USD bonds.
Exhibit 36: Liability mix has a fair share of foreign borrowings
Domestic Bonds %
0
24
1
19
Foreign Bonds %
1
19
21
Term Loans %
1
19
18
19
Short term loans %
18
17
18
18
65
FY19
65
FY20
65
FY21
62
FY22
62
FY23
62
FY24
64
Q1FY25
Source: MOFSL, Company
The interest rate cut in the US will not change the attractiveness of INR term loans
since, at some point, the interest rate cuts will happen in India as well. Quite a few
power generators issued USD bonds when borrowing in USD was cheaper than
borrowing in INR. When these maturing USD bonds are refinanced with INR term
loans, it will offer another opportunity for loan growth for PFC/REC.
Exhibit 37: Liability mix is dominated by domestic bonds
2% 2%
18%
Domestic Bonds
RTL from Banks/FI’s
Foreign Currency Borrowing
Subordinated Bonds
18%
60%
54EC Bonds
CP
Others like CC/OD/line of credit/LAFD
Source: Company, MOFSL; Note: Data as on Jun’24
PFC has a credit rating of AAA for domestic borrowings and is rated BBB- for all
external commercial borrowings. PFC has sovereign backing and much better access
October 2024
30
 Motilal Oswal Financial Services
Power Financiers - Thematic: The Power Play: Key to India’s energy transition
to longer-duration liabilities (~60% of its borrowings come from domestic bonds,
most of which have a duration of 10 years), which enable PFC to keep a matched
ALM profile.
Earlier, only REC was allowed to raise money via 54EC bonds, but later PFC also got
approval from the Ministry of Power to raise liabilities through this route. 54EC
bonds now constitute ~2% of the borrowing mix for PFC.
Exhibit 38: Credit rating of PFC
Debt type
Domestic long-term instrument
Short term borrowing
Foreign borrowing
CRISIL
AAA
A1+
ICRA
AAA
A1+
Fitch/Care
Moody's/IR&R
AAA
AAA
A1+
BBB-/stable
Baa3(stable)
Source: MOFSL, Company; Data as of Mar’24
Stress asset resolutions have led to significant improvement in asset quality
Like most industry experts in the power sector, we also believe that the current
power uptrend will last for several years, driven by investments in both
conventional generation and RE capability. We do not want to underemphasize the
investments in transmission, which will be required to support the new installed
generation capacity coming up over the next five years.
We would not go so far as to say that there was no stress in the power sector or that
all stressed assets would be resolved in the near future. However, it is important to
highlight that asset quality risks in the current power uptrend have receded and we
would continue to see the resolution of stressed assets, which became distressed in
the last power down-cycle), over the next two years.
Exhibit 39: Resolutions will result in a further improvement in asset quality (%)
GNPA ratio
63.4
51.5
22.9
9.6
7.4
FY18
9.4
47.1
68.6
NNPA ratio
74.4
72.7
PCR
73.0
71.0
70.0
5.7
5.6
4.6
8.1
3.8
2.1
FY21
1.8
FY22
3.9
1.1
3.3
0.9
FY24
2.8 0.7
FY25E
2.3 0.7
FY26E
1.8 0.6
FY27E
FY19
FY20
FY23
Source: MOFSL, Company
Even though there is always an overarching risk in exposures to state government
entities, they have managed to remain standard because of the guarantees from
state government and repayments just before they turn NPAs. However, our
project-level analysis of PFC’s private sector loans (primarily large ticket exposures)
suggests that many of the erstwhile stressed projects are now at advanced stages of
resolution and that the net slippages over the next two years should be negative.
This should translate into an improvement in headline asset quality as well as keep
net credit costs benign at <5bp over FY25-FY27E.
October 2024
31
 Motilal Oswal Financial Services
Power Financiers - Thematic: The Power Play: Key to India’s energy transition
Exhibit 40: Nil NPAs in the public sector loan book of PFC
Gross Stage 3 %
11
11
Net Stage 3 %
Coverage %
9.8
8.7
FY16
FY17
1.8
FY18
FY19
FY20
FY21
FY22
FY23
FY24
1.6
Source: MOFSL, Company
PFC has no NPAs in state-backed projects. All the 21 projects that are classified as
NPAs are from the private sector. Resolutions in 13 NPA projects are being pursued
under NCLT, and PFC is trying to achieve a resolution in the remaining eight NPA
projects outside NCLT.
Among the stressed projects, three accounts with total outstanding of ~INR40b are
at advanced stages of resolution.
Among these three accounts,
Lanco Amarkantak
(600MW commissioned and
2x660MW expansions under Phase II), in which PFC has
total exposure of
~INR24b,
has received final NCLT approval to be acquired by Adani Power
through the insolvency resolution process. PFC had made provisions of ~76% for
this exposure and based on this resolution, there will be minor write-backs.
In addition, there is also
TRN Energy with outstanding exposure of ~INR11.4b
(600MW commissioned). The resolution of TRN is being pursued outside NCLT,
whereby the resolution plan has been formulated and approval from all the
consortium lenders is awaited.
The resolution of
KSK Mahanadi (6x600MW party commissioned project) with
an outstanding exposure of ~INR33b
is being pursued in NCLT. While PFC has a
~55% provision cover on this exposure, it expects >100% recovery against this
project based on the bids that have been received.
Exhibit 41: Only 18% of PFC’s entire loan book is unsecured, 43% backed by tangible assets
and 39% backed by bank/government guarantees
PFC loans security details (%)
Secured by Tangibe assets
Covered by Bank/ Government guarantees
18
19
63
17
21
62
18
30
52
12
38
50
15
40
46
Unsecured
18
39
43
FY19
FY20
FY21
FY22
FY23
FY24
Source: MOFSL, Company
October 2024
32
 Motilal Oswal Financial Services
Power Financiers - Thematic: The Power Play: Key to India’s energy transition
If we look at the security details of the loans extended by PFC, nearly ~40% of PFC’s
loan book is backed by state govt. guarantees/bank guarantees, ~43% by tangible
assets and only 18% unsecured. Many of these unsecured loans are also eventually
backed by state-guarantees. Until some of those loans are approved for state-
guarantee, they are categorized as unsecured.
Exhibit 42: Private loan book of PFC has witnessed resolutions and improved PCR
Gross Stage 3 %
Net Stage 3 %
63
51
41
26
53
69
Coverage %
73
74
15.9 9.3
42.7 31.7
55.1 26.7
48.6 22.9
35.6 13.0
35.4 11.1
22.7 6.2
17.5 4.5
FY17
FY18
FY19
FY20
FY21
FY22
FY23
FY24
Source: MOFSL, Company
Over the last five years, PFC has increased its provision coverage on its Stage 3 loan
assets to ~74% (compared to ~51% as of FY19). It is working on the resolutions of
stressed exposures both in NCLT as well as outside.
Exhibit 43: Stressed loans being resolved in NCLT and outside NCLT with healthy
provision covers (%)
Under NCLT
72
62
76
63
76
64
51
51
52
77
77
Outside NCLT
77
77
77
77
55
55
55
1QFY23
2QFY23
3QFY23
4QFY23
1QFY24
2QFY24
3QFY24
4QFY24
1QFY25
Source: MOFSL, Company
October 2024
33
 Motilal Oswal Financial Services
Power Financiers - Thematic: The Power Play: Key to India’s energy transition
Exhibit 44:
PFC – A snapshot of NPA exposure along with expected recovery and current status of resolutions
Sr No
Projects
State
Fuel
Outstanding
(INR b)
NCLT
Stage of
Resolution
Expected
Recovery
COD
Status
Comments
Expression of interest was
seen with 26 active
participants. Company
has made provisions of
~55%
NCLT approval received
on 23rd August.
The
2 units
company has made ~76%
commissioned
provision. Write-backs in
the range of ~20%
Discussions on
resolutions going on and
Not
case is with COC.
commissioned
Company has made
provisions of 100%
1
KSK Mahanadi Chhattisgarh
Coal
(domestic)
33
Expected to get
3 units
resolved
NCLT
>100% commissioned
in this
(1800 MW)
fiscal
2
Lanco
Amarkantak
Chhattisgarh
Coal
(domestic)
24
NCLT
Advanced
~30%
3
Shri
Maaheshwar
Madhya
Pradesh
Hydel
Power
16
NCLT
4
Sinnar Power
Transmission
Delhi
Power
transmission
1.6
NCLT
Expression
of interest
from
16
participants
Commissioned
Made provisions of ~80%
5
6
India Power
Corporation
(Haldia)
Sinnar Thermal
(Rattan India Maharashtra
Nasik)
Konaseema
Andhra
Pradesh
10
Coal
(domestic)
Gas
NCLT
Outside
NCLT
Outside
NCLT
Outside
NCLT
2 units
commissioned
(300 MW)
40%
Made provisions of ~80%
30
7
4
8
IPCL Haldia
West Bengal
Imported
coal
9.6
9
Shiga Energy
Sikkim
Hydro
5.2
Outside
NCLT
Advanced
10
TRN Energy
Chhattisgarh
Coal
(domestic)
11.4
Outside
NCLT
Advanced
11
East Coast
Andhra
Pradesh
Bihar
Coal (domestic
& imported)
Coal
(domestic)
Thermal
Power
Coal
(domestic)
11.25
NCLT
12
Jas Infra (coal)
Ind Barath
Madras
KVK Nilachal
2
NCLT
13
Tamil Nadu
4.25
NCLT
14
Hyderabad
Andhra
Pradesh
Rajasthan
4
NCLT
15
EMP Power
0.16
16
Om Shakti
0.04
Under liquidation and
<20%
made provisions of
~100%
Expression of Interest
pending, once the same is
completed all the bids
will be finalized.
Approved the resolution
plan and it is expecting
that the other consortium
100% Commissioned
members will be
approving it soon. Expect
marginal write-backs.
Resolution plan is
finalized but the same is
100% Commissioned
pending for approval by
lenders. Expect marginal
write-backs.
Under liquidation and
<20%
made provisions of
~100%
Under liquidation and
10%-20%
made provisions of
~100%
Under liquidation and
20%
made provisions of
~100%
Under liquidation and
20%
made provisions of
~100%
Under liquidation and
made provisions of
~100%
Under liquidation and
made provisions of
~100%
Source: MOFSL, Company
October 2024
34
 Motilal Oswal Financial Services
Power Financiers - Thematic: The Power Play: Key to India’s energy transition
Exhibit 45: PFC – Stressed loan projects that are in liquidation
Corporate
East Coast
Konaseema
Jas Infra (coal)
Ind Barath Madras
KVK Nilachal
Emp Power
Om Shakti
Outstanding amount
(INR b)
11
4
24
4.25
4
0.16
0.04
Details
Under liquidation and made provisions of ~100%
Under liquidation and made provisions of ~100%
Under liquidation and made provisions of ~100%
Under liquidation and made provisions of ~100%
Under liquidation and made provisions of ~100%
Under liquidation and made provisions of ~100%
Under liquidation and made provisions of ~100%
Source: MOFSL, Company
Exhibit 46: PFC – Stressed loan projects which are resolved
Name of the borrower
Mytrah Vayu Tungbhadra Private Limited
Dans Energy Private Limited
Suzlon Energy Ltd
South-East UP Power Transmission Company Limited
Jhabua Power Limited
Ind Barath Energy Utkal Ltd. (IBUEL)
Krishna Godavari Power Utilities Ltd.
GVK Ratle Hydro Electric Project Pvt. Ltd.
Essar Power MP Ltd
Astonfield Solar (Gujarat) Pvt. Ltd.
RS India Wind Energy Private Limited
Essar Power Transmission Corp. Ltd
Suzlon Energy Limited
RKM Powergen Pvt. Ltd.
Ratnagiri Gas & Power Pvt. Ltd.
Jal Power Corporation Ltd.
PFC’s
exposure
(INR b)
7
4
2
23
8
14
1
11
13
0
2
4
9
51
2
4
Remarks
Restructuring with change in ownership outside NCLT
Restructuring without change in ownership outside NCLT
One Time Settlement
Resolution with change in ownership through NCLT
Resolution with change in ownership through NCLT
Resolution with change in ownership through NCLT
Restructuring with change in ownership through NCLT
One time settlement
Restructuring with change in ownership through NCLT
Restructuring with change in ownership through NCLT
One time settlement
Restructuring without change in ownership
Restructuring without change in ownership
Restructuring without change in ownership
Composite Resolution Plan including One time settlement
One time settlement
Year of
Resolution
FY24
FY24
FY23
FY23
FY23
FY23
FY22
FY22
FY22
FY22
FY22
FY21
FY20
FY20
FY20
FY20
Source: MOFSL, Company
PFC has demonstrated its ability to achieve stressed project resolutions. As of
Jun’24, PFC’s gross Stage 3 stood at 3.4%, down from ~8% as of FY20. The company
has also increased the provision cover on its Stage 3 loans, with the net Stage 3
declining to 0.9%. We believe that the provision coverage on Stage 3 loans is
adequate. Moreover, on the 13 projects that are being resolved under NCLT, PFC
now carries a PCR of 77%, while on the eight projects that are being resolved
outside NCLT, it now carries a PCR of 55%.
Good visibility on earnings growth and franchise with healthy RoA/RoE
Considering the status of PFC’s sanctioned loans (translating into disbursements in
the subsequent years), we are confident that PFC’s loan growth will remain healthy
at ~15% CAGR over FY24-FY26E. While NIM could compress, we believe that it could
be offset by better asset quality. Given our view on the power cycle, over the next at
least two years, we do not see any new stressed asset formation. In the absence of
any new stressed asset formation and the resolution of existing stressed projects,
credit costs will remain benign with a stronger possibility of write-backs over the
next two years.
October 2024
35
 Motilal Oswal Financial Services
Power Financiers - Thematic: The Power Play: Key to India’s energy transition
There is good visibility on a stable earnings growth trajectory for PFC and we
estimate a PAT CAGR of ~12% over FY24-FY26. This will translate into an RoA/RoE of
3%/19% in FY26.
Exhibit 47: PAT CAGR of 12% over FY24-26E…
53
PAT (In b)
Growth YoY (%)
Exhibit 48: RoA/RoE of ~3%/19% in FY26
ROA (%)
19.5
18.2
ROE (%)
19.4
18.7
18.5
19
13
88
FY21
105
FY22
119
FY23
22
14
145
FY24
165
FY25E
10
182
FY26E
13
205
FY27E
17.3
2.2
FY21
17.9
2.5
FY22
2.8
FY23
3.0
FY24
3.1
FY25E
3.0
FY26E
2.9
FY27E
Source: MOFSL, Company
Source: MOFSL, Company
Back in May’16, the GoI had mandated every CPSE to pay a minimum annual
dividend that is higher than either 30% of PAT or 5% of net worth. This was subject
to the maximum dividend allowed to be paid out under the extant legal provisions.
Exhibit 50: …driven by dividend policy that is higher of
either 30% of PAT or 5% of the net worth
18.6
15.0
16.5
Dividend pay-out (%)
44.4
Dividend to net worth (%)
Exhibit 49: Healthy payout of dividends…
DPS (INR)
12.0
13.3
13.5
31.3
31.6
9.5
10.0
30.1
31.0
30.0
30.0
30.0
5.6
5.0
5.3
5.1
5.6
5.4
5.3
5.2
FY20
FY21
FY22
FY23
FY24 FY25E FY26E FY27E
Source: MOFSL, Company
FY20
FY21
FY22
FY23
FY24 FY25E FY26E FY27E
Source: MOFSL, Company
Exhibit 51: Dividend yield of ~3.8% in FY26
Dividend Yield (%)
3.8
4.2
2.2
2.3
2.7
3.0
3.1
3.4
FY20
FY21
FY22
FY23
FY24
FY25E
FY26E
FY27E
Source: MOFSL, Company
October 2024
36
 Motilal Oswal Financial Services
Power Financiers - Thematic: The Power Play: Key to India’s energy transition
PFC: Valuation and View
We believe that given the niche nature of power financing and the fact that PFC/REC
are the nodal implementation agencies for the power reforms initiated by the GoI,
PFC will always remain relevant. Moreover, with opportunities in RE, EVs, and
charging infrastructure, and the modernization of the existing thermal power plants,
infrastructure and logistics, we believe PFC will be able to demonstrate a healthy
loan growth with receding risks on asset quality.
We estimate a PAT CAGR of ~12% for PFC over FY24-FY26 with an RoA/RoE of
3.0%/19% and a dividend yield of ~3.8% in FY26. The stock trades at 1.0x FY26E
standalone P/ABV and we believe that the risk-rewards are favorable in the current
power uptrend. Moreover, PFC’s stock price has corrected by ~25% from its recent
highs, and now even provides a margin of safety in valuations.
We initiate coverage on PFC with a BUY rating
with our SoTP (Sep’26E)-based TP of
INR560 (based on 1.2x target multiple for the standalone business and INR211/share
for PFC’s stake in REC after holdco discount of 20%).
Exhibit 52: PFC - One-year forward P/E
13.0
10.0
7.0
4.0
1.0
P/E (x)
Min (x)
Avg (x)
+1SD
Max (x)
-1SD
Exhibit 53: PFC - One-year forward P/B
2.2
1.8
1.4
P/B (x)
Min (x)
Avg (x)
+1SD
Max (x)
-1SD
10.8
1.9
5.8
3.8
1.8
1.8
8.3
1.0
0.6
0.3
1.0
0.6
0.2
1.5
0.3
Source: MOFSL, Company
Source: MOFSL, Company
October 2024
37
 Motilal Oswal Financial Services
Power Financiers - Thematic: The Power Play: Key to India’s energy transition
PFC: Key risks
Increase in exposure to projects without PPA:
Lending to power projects
without PPAs was a significant reason behind the financial strain in the past.
While power sector lenders have since made PPAs a prerequisite for loan
disbursal, there are still concerns about renewed exposure to projects lacking
these PPAs. High-risk areas include: merchant RE plants (NBFCs have started
partial lending without PPAs), pumped storage plants (which require significant
capital before securing PPAs), and green hydrogen projects (which lack a
defined PPA structure and have high capex requirements).
Expanding exposure to private infrastructure loans:
Until recently, PFC
primarily extended loans to government entities in the infrastructure sector,
with minimal exposure to private firms. However, any future increase in lending
to private infrastructure or industrial projects could pose significant risks. The
company acknowledged sanctioning loans to Shapoorji Pallonji Group, which we
believe could be secured by the Group’s real estate cash flows and shares in
Tata Sons. Private loans (particularly those to promoters) fall outside the core
business of PFC.
RBI's draft stricter provisioning norms on project financing:
The RBI has
proposed stricter lending norms for project financing, increasing provisioning
requirements from 0.4% to 5%, with gradual reductions to 2.5% and 1% as
projects become operational, subject to conditions. These changes apply across
infrastructure, non-infrastructure, and commercial real estate projects for
regulated financial entities. Additional guidelines, such as a minimum 10%
exposure for consortium lending, are also included. While we see a low
probability of these draft guidelines on project financing being implemented in
their current form, it remains a risk to the overall sector.
Compression in spreads and margins:
We have highlighted earlier that the
current yields are clearly not sustainable due to the following reasons: a) As the
financial health of DISCOMs improves, states would expect PFC/REC to extend
loans to them at interest rates that are comparable to the state government
bond yields; b) With low systemic credit growth, banks will be looking to
selectively re-finance operational and good-quality power projects of PFC/REC;
and c) Increasing proportion of RE, which is a highly competitive segment with
relatively lower spreads.
Asset quality stress from any further deterioration in health of private power
projects or DISCOMS:
The government has initiated many reforms in the power
sector, which should potentially improve the health of the sector. However, we
cannot completely rule out any adverse impact on the provisioning and credit
costs because of slippages in some of the large private sector accounts and the
adverse effect on interest income from any DISCOM bailouts provided by the
government.
October 2024
38
 Motilal Oswal Financial Services
Power Financiers - Thematic: The Power Play: Key to India’s energy transition
PFC: ESG initiatives
As of FY24, PFC is the largest RE sector financier in India, having supported
50GW of RE capacity in India, which is around ~25% of India’s total non-fossil
fuel based installed capacity (around 190.57GW as per CEA, March 2024). PFC
has cumulatively disbursed over INR1t to the RE sector.
To oversee the activities of CSR, PFC has in place a board level CSR & SD
Committee of Directors headed by an independent director. For FY24, the board
approved the CSR budget of INR2.15b.
PFC’s Board comprises seven directors, including three independent directors
and one woman director.
The members of the Board are appointed by the President of India through the
administrative ministry, which, inter alia, fixes the remuneration of such whole-
time directors through their respective appointment orders/pay fixation orders.
PFC: Pillars of ESG Vision
Source: Company, MOFSL
October 2024
39
 Motilal Oswal Financial Services
Power Financiers - Thematic: The Power Play: Key to India’s energy transition
About PFC
A country’s energy usage is an important measure to gauge its advancement and
expansion and PFC plays a crucial role in the rise of India as a global player in the
energy sector. PFC endeavors to maintain a robust evaluation and appraisal process,
which in turn helps the company maintain a healthy loan book despite the hardships
in the power sector.
Description
PFC is a power and infrastructure finance company under the administrative
control of the Ministry of Power.
PFC has been conferred with the title of Maharatna CPSE and is designated as a
"Nodal Agency" for development of Integrated Power Development Scheme
(IPDS), Ultra Mega Power Projects (UMPPs) and "Bid Process Coordinator" for
Independent Transmission Projects (ITPs).
PFC provides financial assistance to power projects in the field of generation,
transmission and distribution and has also ventured into financing of
development of coal mines and oil and gas pipelines.
PFC’s continued focus on expansion and diversification has led to its foray into
the infrastructure and logistics sectors, wherein it caters to EV fleet, charging
infrastructure, roads, ports, metro rail, smart cities, and other significant
infrastructure projects.
Further, it extends consultancy and advisory services in strategic, financial,
regulatory and capacity building skills under one umbrella.
In Mar’19, the Ministry of Power approved PFC to take over a ~52.6% stake of
the Government of India (GoI) in REC.
PFC is currently led by Ms. Parminder Chopra, Chairman and Managing
Director. She earlier held the role of Director (Finance) at PFC since Jul’20.
Product portfolio
Fund based:
Project term loans (rupee and foreign currency), debt refinancing,
lease financing for power wind projects and purchase of equipment, short-/
medium-term loans to equipment manufacturers, line of credit for import of
coal, grants/interest-free loans for studies/ consultancies, credit facility for
purchase of power through Power Exchange, etc.
Non-fund based:
Guarantee for performance of contract/ obligations w.r.t. fuel
supply agreement, letter of comfort, policy for guarantee of credit
enhancement, etc.
October 2024
40
 Motilal Oswal Financial Services
Power Financiers - Thematic: The Power Play: Key to India’s energy transition
Exhibit 54: Group structure
REC (52.63%)
Subsidiaries
PFC Consulting
(100%)
PFC
PFC Infra
Finance
IFSC(100%)
Associates
Ultra Mega
Power Projects
(100%)
PFC Infra Finance:
Subsidiary to provide financial solutions for infrastructure
projects across multiple sectors.
PFC Projects:
Coastal Karnataka Power Limited (CKPL) was created to develop
ultra-mega power projects in Karnataka, as mandated by the Government of
India. It can also participate in bidding for lender-backed resolution plans
through PFC.
PFC Consulting:
provides services like transaction advisory, project
development, project management (e.g., RDSS), and policy support for the
Ministry of Power.
President of India
FIIs and FPIs
Mutual Funds
7.1
Resident Individual
Others
Exhibit 55: Shareholding of PFC (%)
7.3
11.7
56.0
17.9
Source: MOFSL, Company; Data as on Jun’24
Exhibit 56: Top 10 shareholders of PFC
Sr no.
1
2
3
4
5
6
7
8
9
10
Shareholder
% holding
Republic of India
55.99%
Life Insurance Corp of India
2.14%
HDFC Asset Management Co Ltd
2.02%
Vanguard Group Inc
1.81%
Blackrock Inc
1.66%
Kotak Mahindra Asset Management Co Ltd
1.60%
Nippon Life India Asset Management Ltd
1.57%
DSP Investment Managers Pvt Ltd
1.25%
Capital Group Cos Inc
0.70%
Dimensional Fund Advisors LP
0.67%
Source: MOFSL, Bloomberg; Data as on 07-Oct-2024
October 2024
41
 Motilal Oswal Financial Services
Power Financiers - Thematic: The Power Play: Key to India’s energy transition
PFC: Bull and Bear cases
Bull case
In our bull case, we assume ~18% AUM CAGR, driven by a ~18% disbursement
CAGR over FY24-FY27E.
We expect spreads/margins to remain largely stable at ~2.8%/3.7% by FY27.
We estimate NII and PPOP CAGR of ~19% and 17% respectively, over FY24-27
owing to strong loan growth and the company’s ability to deliver operating
efficiencies.
We estimate cost ratios to improve over the next three years. Average credit
costs of ~2bp-5bp can lead to ~16% PAT CAGR over FY24-FY27.
Bear case
In our bear case, we assume ~12% AUM CAGR over FY24-FY27.
We expect spreads to decline ~35bp and NIM to contract ~25bp by FY27.
We estimate NII and PPOP CAGR of ~10% each over FY24-27.
We project average credit costs of ~10-20bp to drive PAT CAGR of ~6% over
FY24-FY27
Exhibit 58: PFC Bear case scenario
FY26E
66,33,683
20
3.6
2,12,913
2,34,920
431
2,34,490
1,91,109
15
3.0
19.6
316
FY27E
79,49,560
20
3.7
2,60,367
2,84,601
7,355
2,77,245
2,25,955
18
3.0
20.2
364
1.4
415
245
660
50%
Source: MOFSL, Company
INR m
AUM
YoY Growth (%)
NIM (%)
NII
PPoP
Credit Costs
PBT
PAT
Growth (%)
RoA (%)
RoE (%)
BV (INR)
PFC Target Multiple
PFC Standalone (INR)
REC stake post hold-co
discount (INR)
PFC SOTP Target price (INR)
Downside (%)
FY25E
54,34,273
13
3.6
1,77,569
1,97,523
(4,192)
2,01,715
1,64,398
14
3.1
19.4
275
FY26E
60,94,325
12
3.4
1,91,961
2,13,969
18,010
1,95,959
1,59,706
-3
2.7
16.6
309
FY27E
68,03,856
12
3.3
2,08,008
2,32,241
20,561
2,11,680
1,72,519
8
2.6
16.0
345
0.9
245
135
380
-13%
Source: MOFSL, Company
Exhibit 57: PFC Bull case scenario
INR m
AUM
YoY Growth (%)
NIM (%)
NII
PPoP
Credit Costs
PBT
PAT
Growth (%)
RoA (%)
RoE (%)
BV (INR)
PFC Target Multiple
PFC Standalone (INR)
REC stake post hold-co
discount (INR)
PFC SOTP Target price (INR)
Upside (%)
FY25E
55,36,398
15
3.6
1,80,464
2,00,418
(3,293)
2,03,712
1,66,025
15
3.1
19.5
275
October 2024
42
 Motilal Oswal Financial Services
Power Financiers - Thematic: The Power Play: Key to India’s energy transition
PFC: SWOT analysis
Improving asset
quality with GS3 of
<3.4% and NS3 of <1%.
Healthy sanction
pipeline will help the
company achieve
strong loan growth.
Expanding exposure
to private
infrastructure
projects raises risks
as these loans fall
outside PFC’s core
business of lending to
power projects.
Increasing exposure
to high risk power
projects without
PPAs, such as
merchant RE plants,
pumped storage, and
green hydrogen
projects.
Significant
acceleration in
investments in
renewable energy
will help the
company increase
disbursements.
The National
Infrastructure
Pipeline presents
opportunity of
~INR35t across
electricity generation
and T&D, which will
lead to strong loan
growth of ~15% over
FY24-27.
Increasing
competitiveness
through active
participation by
banks in renewable
financing might lead
to margin
compression.
The RBI’s draft
circular on increasing
provisioning
requirements from
~0.4% to ~5.0%,
which would be
gradually brought
down subject to
conditions.
October 2024
43
 Motilal Oswal Financial Services
Power Financiers - Thematic: The Power Play: Key to India’s energy transition
PFC: Board of Directors
Smt. Parminder Chopra
Chairman and MD
Smt. Parminder Chopra has assumed the
th
charge w.e.f. 14 Aug’23. Previously, she held
the additional charge of Chairman and
Managing Director (CMD), w.e.f. 01.06.2023
and was Director (Finance), PFC since
01.07.2020. During her term as Director
(Finance), she spearheaded the Finance
division, leading to the highest net profit,
highest net worth, and lowest NPA levels.
Shri Rajiv Ranjan Jha
Director (Projects)
Shri Rajiv Ranjan Jha has been working with
PFC since Mar’97. He has overall 33 years of
experience and had been holding the position
th
of Executive Director (Projects), PFC since 27
May’19. He had earlier handled the entire
loan portfolio in Consortium Lending with PFC
as lead FI.
Shri Manoj Sharma
Director (Commercial)
Shri Manoj Sharma is a Chartered Accountant
with a degree in law (LLB). He joined PFC in
1990 and was working as Executive Director
(In Charge) of Commercial Division before
assuming charge as Director (Commercial),
PFC. He has more than 30 years of experience
in the power sector.
Shri Sandeep Kumar
Director (Finance)
Shri Sandeep Kumar has assumed the charge
of Director (Finance) at PFC w.e.f. 11 July
2024. Shri Sandeep Kumar has a distinguished
career spanning over 34 years in the power
and financial sectors. Throughout his tenure
at PFC, he has held various positions within
the finance function.
Shri Shashank Misra
Director (Govt. Nominee)
Shri Shashank Misra is an IAS officer and
holds a B. Tech degree in Electrical
Engineering from IIT Delhi. Presently, he is
posted as Joint Secretory in the Ministry of
Power, Government of India. Prior to joining
the Ministry of Power, he served in the Dept.
of Revenue, Ministry of Finance.
Shri Bhaskar Bhattacharya
Independent Director
Shri Bhaskar Bhattacharya is an honors
graduate in Commerce and has a bachelor’s
degree in Law. He also holds a Post Graduate
Diploma in Business Management. He has been
acting as an Advocate for more than 24 years.
.
Smt. Usha Sajeev Nair
Independent Director
Smt. Usha Sajeev Nair holds a graduate
degree in Bachelors of Arts. She is a female
entrepreneur engaged in her own business in
Dadra and Nagar Haveli and Daman and Diu,
providing employment and support to a
number of families for quite some time now.
Shri Prasanna Tantri
Independent Director
Shri Prasanna Tantri holds a B. Com degree
from Mangalore University and is a qualified
Cost Accountant. . At present, he is an
Associate Professor in the Finance area at the
Indian School of Business and Executive
Director of the Centre for Analytical Finance
at ISB.
October 2024
44
 Motilal Oswal Financial Services
Power Financiers - Thematic: The Power Play: Key to India’s energy transition
PFC: Financials and valuations
PFC: Income Statement (Standalone)
Y/E March
Interest on loans
Interest exp & other charges
Net Interest Income
Change (%)
Other operating income
Exchg Gain/(loss) on Forex loans
Other Income
Net Income
Change (%)
Employee Cost
Administrative Exp
Depreciation
Operating Income
Change (%)
Total Provisions
% to operating income
PBT
Tax
Tax Rate (%)
Reported PAT
Adjusted PAT
(Excluding REC Dividend)
Change (%)
FY19
284
190
94
7.8
6
-5
0
95
-8.0
2
2
0
91
-8.7
-9
-9.6
100
29
28.7
71
73
12.4
FY20
320
219
101
6.9
22
-26
0
97
2.3
2
2
0
93
2.3
10
10.7
83
25
30.5
58
53
-28.2
FY21
361
232
130
28.3
15
2
0
146
50.5
2
3
0
141
51.5
35
24.8
106
18
16.6
88
82
56.7
FY22
367
227
140
8.3
24
-9
0
155
6.2
2
3
0
149
6.0
22
14.9
127
22
17.3
105
98
18.7
FY23
376
233
144
2.4
23
-20
0
147
-5.0
2
4
0
141
-5.4
-3
-2.1
144
26
17.8
119
113
15.4
FY24
436
280
156
8.8
24
2
0
182
23.7
2
4
0
176
24.2
-2
-1.0
177
33
18.4
145
139
23.5
FY25E
503
325
178
14.1
26
1
0
206
12.8
3
5
0
198
12.9
-4
-1.9
202
37
18.5
165
160
14.8
FY26E
571
370
202
13.1
29
1
0
232
12.6
3
5
0
224
12.8
1
0.3
223
41
18.5
182
176
10.2
(INR b)
FY27E
657
426
231
14.6
32
1
0
264
14.0
3
6
0
255
14.2
4
1.5
252
47
18.5
205
199
12.8
(INR b)
FY27E
33
1,145
1,178
0
1,178
0
6,207
14.9
7,385
245
5.0
7,100
15.2
0
1
51
7,397
PFC Balance Sheet (Standalone)
Y/E March
Capital
Reserves & Surplus
Net Worth
Deferred Tax Liability
Networth (incl DTL)
Interest subsidy from GoI
Borrowings
Change (%)
Total Liabilities
Investments
Change (%)
Loans
Change (%)
Forex monetary reserves
Net Fixed Assets
Net Current Assets
Total Assets
E: MOFSL Estimates
FY19
26
406
433
0
433
0
2,952
24.7
3,385
166
558.2
3,032
14.0
0
0
142
3,340
FY20
26
425
452
0
452
0
3,103
5.1
3,554
165
-0.7
3,341
10.2
0
1
2
3,509
FY21
26
498
524
0
524
0
3,330
7.3
3,854
160
-3.0
3,601
7.8
0
1
48
3,809
FY22
26
567
594
0
594
0
3,274
-1.7
3,868
161
0.7
3,609
0.2
0
1
40
3,811
FY23
26
656
682
0
682
0
3,704
13.1
4,386
173
7.6
4,108
13.8
0
1
16
4,298
FY24
33
759
792
0
792
0
4,164
12.4
4,956
202
16.9
4,699
14.4
0
1
2
4,905
FY25E
33
874
907
0
907
0
4,679
12.4
5,586
222
10.0
5,316
13.1
0
1
46
5,586
FY26E
33
1,001
1,034
0
1,034
0
5,403
15.5
6,438
234
5.0
6,164
15.9
0
1
46
6,444
October 2024
45
 Motilal Oswal Financial Services
Power Financiers - Thematic: The Power Play: Key to India’s energy transition
PFC: Financials and valuations
PFC Loans and Disbursements
Gross Loans (INR b)
YoY Growth (%)
Disbursements (INR b)
YoY Growth (%)
FY19
3,147
13
677
5
FY20
3,449
10
680
0
FY21
3,708
7
883
30
FY22
3,731
1
512
-42
FY23
4,225
13
858
67
FY24
4,815
14
1,277
49
FY25E
5,473
14
1,404
10
FY26E
6,320
15
1,559
11
FY27E
7,260
15
1,761
13
PFC: Ratios
Y/E March
Spreads Analysis (%)
Avg. Yields
Avg Cost of Funds
Interest Spread
NIM
Profitability Ratios (%)
RoE
RoA
Efficiency Ratios (%)
Int. Expended/Int. Earned
Other operating Inc./Net Income
Other Income/Net Income
Op. Exps./Net Income
Empl. Cost/Op. Exps.
Asset-Liability Profile (%)
Loans/Borrowings Ratio (x)
Assets/Networth (x)
Debt/Equity (x)
Asset Quality (%)
Gross Stage 3
Net Stage 3
PCR
Credit costs
FY19
10.0
7.1
2.9
3.1
FY20
10.0
7.2
2.8
2.3
FY21
10.4
7.2
3.2
3.8
FY22
10.2
6.9
3.3
3.6
FY23
9.8
6.7
3.1
3.2
FY24
9.9
7.1
2.79
3.6
FY25E
10.1
7.4
2.70
3.6
FY26E
10.0
7.3
2.62
3.5
FY27E
9.9
7.3
2.57
3.5
17.3
2.2
12.8
1.6
17.3
2.2
17.9
2.5
18.2
2.8
19.5
3.0
19.4
3.1
18.7
3.0
18.53
2.9
66.8
5.8
0.2
4.2
43.5
68.4
23.0
0.1
4.1
48.5
64.2
10.1
0.1
3.5
37.9
61.8
15.1
0.3
3.7
37.1
61.8
15.9
0.1
4.1
36.3
64.2
13.0
0.1
3.7
36.3
64.6
12.7
0.1
3.6
35.2
64.7
12.4
0.1
3.5
34.6
64.8
12.0
0.2
3.3
34.2
103
7.7
6.8
108
7.8
6.9
108
7.3
6.4
110
6.4
5.5
111
6.3
5.4
113
6.2
5.3
114
6.2
5.2
114
6.2
5.2
114
6.3
5.3
9.4
4.6
51.5
-0.31
8.1
3.8
47.1
0.31
5.7
2.1
63.4
1.01
5.6
1.8
68.6
0.62
3.9
1.1
72.7
-0.08
3.3
0.9
74.4
-0.04
2.8
0.7
73.0
-0.08
2.3
0.7
71.0
0.01
1.8
0.6
70.0
0.06
Valuations
Book Value (INR)
BV Growth (%)
Price-BV (x)
Adjusted Book Value (INR)
ABV Growth (%)
Price-ABV (x)
EPS (INR)
EPS Growth (%)
Price-Earnings (x)
Core EPS (INR)
Adj Core EPS Growth (%)
Adj. Price-Core EPS (x)
DPS
Dividend Yield (%)
E: MOFSL Estimates
164
17.1
2.7
150
24.8
1.7
26.3
4.2
16.7
27.7
12.4
9.5
0.0
0.0
171
4.3
2.6
116
-22.8
2.3
21.4
-18.7
20.5
19.9
-28.2
13.2
9.5
2.2
198
16.0
2.2
144
23.6
1.8
32.0
49.3
13.7
31.2
56.7
8.4
10.0
2.3
225
13.3
2.0
170
18.4
1.5
38.0
18.7
11.6
37.0
18.7
7.1
12.0
2.7
258
14.9
1.7
203
19.7
1.3
44.0
15.8
10.0
42.8
15.4
6.1
13.3
3.0
240
-7.1
1.8
196
-3.6
1.3
43.5
-1.0
10.1
42.3
-1.2
6.2
13.5
3.1
275
14.6
1.6
231
17.8
1.1
49.9
14.6
8.8
48.5
14.8
5.4
15.0
3.4
313
14.0
1.4
270
16.7
1.0
55.0
10.3
8.0
53.5
10.2
4.9
16.5
3.8
357
13.9
1.2
313
16.1
0.8
62.1
12.8
7.1
60.3
12.8
4.4
18.6
4.2
October 2024
46
 Motilal Oswal Financial Services
Power Financiers - Thematic: The Power Play: Key to India’s energy transition
PFC: Du Pont Analysis %
Interest income
Interest expenses
Net Interest Income
Other Operating Income
Other Income
Total Income
Operating expenses
Operating profits
Provisions
PBT
Taxation
RoA
Leverage (x)
RoE
E: MOFSL Estimates
FY19
9.1
6.1
3.0
0.2
-0.2
3.0
0.1
2.9
-0.3
3.2
0.9
2.3
7.8
17.7
FY20
9.0
6.2
2.9
0.6
-0.7
2.7
0.1
2.6
0.3
2.4
0.7
1.6
8.0
13.1
FY21
9.6
6.2
3.4
0.4
0.0
3.9
0.1
3.7
0.9
2.8
0.5
2.3
7.7
18.1
FY22
9.3
5.8
3.6
0.6
-0.2
3.9
0.1
3.8
0.6
3.2
0.6
2.7
7.0
18.8
FY23
9.0
5.5
3.4
0.6
-0.5
3.5
0.1
3.4
-0.1
3.4
0.6
2.8
6.6
18.6
FY24
9.2
5.9
3.3
0.5
0.0
3.8
0.1
3.7
0.0
3.7
0.7
3.0
6.4
19.6
FY25E
9.4
6.0
3.3
0.5
0.0
3.8
0.1
3.7
-0.1
3.8
0.7
3.1
6.3
19.4
FY26E
9.3
6.0
3.3
0.5
0.0
3.8
0.1
3.6
0.0
3.6
0.7
3.0
6.3
18.7
FY27E
9.3
6.0
3.3
0.4
0.0
3.8
0.1
3.6
0.1
3.6
0.7
2.9
6.4
18.5
October 2024
47
 Motilal Oswal Financial Services
Power Financiers - Thematic: The Power
Initiating
to India’s energy transition
Play: Key
Coverage | Sector: NBFC
7 October 2024
REC
BSE SENSEX
81,050
S&P CNX
24,796
CMP: INR500
TP: INR630 (+26%)
Buy
Charging ahead with renewable might
Strong loan growth and benign credit costs render good visibility on earnings
Stock Info
Bloomberg
Equity Shares (m)
M.Cap.(INRb)/(USDb)
52-Week Range (INR)
1, 6, 12 Rel. Per (%)
12M Avg Val (INR M)
Free float (%)
RECL IN
2633
1317 / 15.7
654 / 259
-17/-4/49
7750
47.4
Financials Snapshot (INR b)
Y/E March
FY25E FY26E FY27E
NII
196
226
264
PPP
196
228
266
PAT
159
183
211
EPS (INR)
60.5
69.3
80.1
EPS Gr. (%)
14
15
16
BV/Shr (INR)
306
357
417
ABV/Shr (INR)
302
354
413
RoAA (%)
2.7
2.6
2.6
RoE (%)
21.3
20.9
20.7
Div. Payout (%)
29.8
29.6
29.3
Valuation
P/E (x)
8.3
7.2
6.2
P/BV (x)
1.6
1.4
1.2
Div. Yield (%)
3.6
4.1
4.7
Shareholding pattern (%)
As On
Jun-24 Mar-24 Jun-23
Promoter
52.6
52.6
52.6
DII
14.7
15.5
12.1
FII
20.4
19.9
21.9
Others
12.2
12.0
13.4
FII Includes depository receipts
Stock Performance (1-year)
REC is one of the two major public sector power and infrastructure asset finance
companies. Present across the value chain, a major part of its exposure as of Jun’24
caters to distribution and generation (~41% and ~28%, respectively) and only ~11%
of its loans are towards the private sector. REC has intensified its efforts in financing
renewable energy and infrastructure/logistics projects, resulting in a marked
increase in the proportion of these segments within its sanction mix.
In the current power upcycle, which is propelled by investments in power generation
and transmission, the loan growth for REC is likely to remain robust over the next
few years. Our asset quality analysis indicates that, similar to PFC, REC will also
continue to experience resolutions of its stressed assets. This trend is anticipated to
lead to notably benign credit costs over the next two to three years.
Strong loan CAGR of ~18% likely over the next three years
National Infrastructure Pipeline (NIP) forecasts an investment opportunity of
~INR35t across electricity generation (both renewable and non-renewable) as well
as transmission and distribution (T&D). REC reported ~22% loan CAGR over FY10-
FY15, driven by robust capex in the thermal power segments and its higher
exposure to distribution utilities. However, this was followed by only 12% CAGR in
the loan book during FY15-FY22 because of: a) subsequent stresses in thermal
generation projects, b) losses incurred by distribution utilities, and c) shift in focus
towards renewable energy projects.
During FY23-FY24, REC’s disbursements remained strong, propelled by
disbursements towards the RDSS, RBPF, and LPS schemes.
Over the next five
years, REC aims to capture a market share of 30-35% in thermal generation
projects and ~20% in renewable projects. Additionally, the contribution of
renewables in the FY24 sanction mix improved to ~38% (from ~8% in FY23).
These sanctions are likely to translate into stronger disbursement growth over
the next three years. We expect ~18% loan CAGR for REC over FY24-FY27.
Compression in spreads due to high competitive intensity
Renewables represent a highly competitive segment with significantly narrower
spreads than conventional generation or distribution projects. As the proportion of
renewables in the loan mix increases, we anticipate some compression in the
spreads. Banks have also been aggressive and willing to finance high-quality
operational power projects. We estimate a yield compression of ~30bp over the
next two years, driven by a shift in the loan mix and heightened competitive
intensity. Consequently, we estimate spreads to decline ~20bp over the next two
years, resulting in ~10bp NIM compression to 3.5% by FY26. A significant portion of
REC's liability mix is fixed, while a substantial part of its asset portfolio is floating.
This disparity could exert additional downward pressure on spreads and NIM if
there is a reduction in repo rates in the second half of FY25.
October 2024
48
 Motilal Oswal Financial Services
Power Financiers - Thematic: The Power Play: Key to India’s energy transition
Assset quality strength to sustain in the current power upcycle
REC’s GNPA has receded from its last peak of ~7% during FY18-FY19 to ~2.6% as of
Jun’24, with a provision coverage ratio (PCR) of ~69%. This improvement in asset
quality has been driven by the resolution of stressed assets, which has accelerated
over the last three years.
Currently, REC has 16 exposures classified under Stage 3. For 12 of these exposures,
it has maintained a provision coverage of ~71%, and these are being resolved under
the National Company Law Tribunal (NCLT). All stressed exposures are related to the
private sector, with none originating from the government sector. We anticipate
that the resolution of stressed assets will continue over the next two years, as
distressed assets are available at a fraction of the total investments required to
establish a greenfield generation project.
For REC, the exposures to Nagai Power and Lanco Amarkantak are effectively
resolved,
as both have received NCLT approval in Jul’24 and Aug’24, respectively.
The company has indicated that it is in the advanced stages of resolution for
Sinnar Power Nashik, Hiranmaye, KSK Mahanadi in Chattisgarh, TRN Energy,
Bhadreshwar Corporate Power, and Konaseema Gas Power.
Healthy earnings growth trajectory with ~21% RoE over FY25-27E
REC has delivered a loan CAGR of ~11% over FY21-FY24, and its loan book stood at
~INR5.3t as of Jun’24. We expect the company to report a loan CAGR of ~18% over
FY24-27 and scale its loan book to ~INR8.4t by FY27. Given the ongoing resolutions
of stressed thermal projects and investments in scaling up renewable energy
sources, the new stressed asset formation will be minimal in the current power
upcycle. The company posted an earnings CAGR of ~19% over FY21-FY24 and is
projected to record an earnings CAGR of ~15% over FY24-FY27, along with an
RoA/RoE of 2.6%/21% and dividend yield of ~4.7% in FY27.
Valuations and View
REC trades at 1.4x FY26E P/ABV, and we believe that the risk-rewards are attractive
considering the strong visibility on loan growth, earnings growth, and healthy return
ratios. All these factors support a very healthy outlook on asset quality.
We initiate
coverage on REC with a BUY rating
and a TP of INR630 (premised on a target
multiple of 1.6x Sep’26E P/ABV).
Key risks
The key downside risks to our investment thesis include: 1) increasing exposure to
the high-risk power projects without PPAs, such as merchant RE plants, pumped
storage, and green hydrogen projects; 2) expanding exposure to private
infrastructure projects that raises risks as these loans fall outside REC’s core
business of lending to power projects; 3) the RBI’s proposed stricter provisioning
norms for project financing that increase the provisioning requirement to ~5.0%
from ~0.4% and which would be gradually brought down subject to conditions; and
4) compression in spreads and margins due to intensified competition.
October 2024
49
 Motilal Oswal Financial Services
Power Financiers - Thematic: The Power Play: Key to India’s energy transition
STORY IN CHARTS
Loan book CAGR of 18% over FY24-27E…
Loans (INR b)
19
13
15
17
13
17
2
5
23
642
(31)
Growth YoY (%)
18
18
18
19
51
67
32
…supported by 23% disbursement CAGR
Disbursements (INR b)
Growth YoY (%)
20
18
Intense competition and increase in renewables in the mix
will lead to compression in spreads
Yield on loans %
3.5
3.02
2.81
Cost of Funds %
2.9
2.7
2.6
Exposure to private entities gradually increasing, perhaps
because of higher exposures in renewables and
infrastructure
State (%)
17%
17%
Spread %
2.5
2.5
Private (%)
17%
19%
19%
2.75
16%
16%
7.3
7.2
7.2
7.1
7.1
7.1
6.9
6.8
6.7
9.7 10.1 10.1 10.3 9.7
9.9
9.8
9.6
9.5
83%
83%
84%
84%
83%
81%
81%
Negligible credit costs over FY25-FY27E
Credit Cost (%)
0.94
0.71
0.31
0.09
Stressed asset resolutions have led to an improvement in
asset quality
GNPA %
NNPA %
70.6
68.5
68.0
PCR %
68.0
66.0
65
48
50
0.03
7.2
6.6
3.8
3.3
1.7
4.8
67.4
0.03
(0.29) (0.05) (0.01)
1.5
1.0 2.70.9 2.10.7 1.60.5 1.20.4
3.4
4.5
PAT CAGR of ~15% over FY24-27
PAT (INR b)
71
20
(15)
27
10
14
15
16
YoY Growth (%)
Healthy RoA/RoE of ~2.6%/21.0% in FY27
RoA
21.2
14.1
21.1
20.3
22.2
RoE
21.3
20.9
20.7
1.5
2.2
2.5
2.5
2.8
2.7
2.6
2.6
October 2024
50
 Motilal Oswal Financial Services
Power Financiers - Thematic: The Power Play: Key to India’s energy transition
Investment proposition in REC
1.
2.
3.
4.
5.
Disbursement and loan CAGR of 23% and 18%, respectively, over FY24-FY27E
NIM compression can be mitigated by leveraging credit costs
Diversified liabilities; borrower preference for rupee term loans over USD bonds
Stressed asset resolutions to continue; credit cost outlook remains benign
Healthy earnings growth trajectory; RoE of ~21% over FY25-27E
1. Disbursement/loan CAGR of 23%/18% during FY24-27E
Given the increasing emphasis on financing renewable energy and infrastructure
projects, REC has begun actively exploring new business avenues. It has started
financing electric vehicles (EV)/EV charging infrastructure, smart metering projects,
FGD installations, bio-refinery projects, and ethanol blending initiatives.
Exhibit 59: Loan book CAGR of 18% over FY24-27E…
Loans (INR b)
19
13
15
17
13
17
2
5
Growth YoY (%)
18
18
18
19
51
23
642
(31)
32
20
18
Exhibit 60: …supported by 23% disbursement CAGR
Disbursements (INR b)
67
Growth YoY (%)
Source: MOFSL, Company
Source: MOFSL, Company
Renewables and infrastructure/logistics formed 8% and 12% of the loan mix for REC
as of Jun’24, respectively. Management has indicated that by FY30, it aims to
achieve a loan mix of 30% from renewable energy, ~20% from infrastructure/
logistics, and ~50% from conventional generation and T&D.
Exhibit 61: Share of renewable at ~8% as of Jun’24…
Generation
Distribution
1
33
19
5
43
FY19
33
18
5
43
FY20
38
16
4
41
Exhibit 62: …which is expected to jump to ~30% by FY30
Target Loan Mix in FY30 (%)
Convention
al
generation,
transmissio
n and
distributio…
Loan Mix (%)
Renewable Energy
Infra & logistics
1
1
9
40
43
17
11
3
6
40
30
FY22
FY23
Transmission
Others
2
2
12
11
42
9
8
29
FY24
41
9
8
28
1QFY25
Renewable
30%
FY21
Infrastructu
re and
logistics
20%
Source: MOFSL, Company
Source: MOFSL, Company
October 2024
51
 Motilal Oswal Financial Services
Power Financiers - Thematic: The Power Play: Key to India’s energy transition
Exhibit 63: REC’s infrastructure loan sanctions for FY23
FY23- Infra loans sanctions
Ports Shipping,
waterways
5%
Drinking water
12%
Airport Private Sector
4% Refinery
1%
9%
Hospitals
3%
Education
Institutions
1%
Highways
20%
Communicaton
3%
Metro
42%
Source: MOFSL, Company
Exhibit 64: REC’s infrastructure loan sanctions for FY24
FY24- Infra loans sanctions
Private
24%
Others
8%
Metro
7%
Highways/Roads
38%
Hospitals
11%
Drinking water/
irrigation
12%
Source: MOFSL, Company
Infrastructure loans
The majority of the infra loans sanctioned by REC are directed towards government
and state projects, which account for over 75% of the total infra loans. However, it is
important to note that infrastructure loans to the private sector, which constituted
<4% of the sanction mix in FY23, increased to ~25% in FY25. The growing share of
infrastructure loans to the private sector may expose REC’s loan portfolio to higher
risks and might lead to elevated credit costs in the future.
Exhibit 65: REC’s annual disbursements to sanctions
Sanctions (INR b)
Disbursements (INR b)
Y-0 Disbursement of Y-1 sanction (%)
178%
75%
89%
65%
67%
64%
95%
41%
60%
FY15
FY16
FY17
FY18
FY19
FY20
FY21
FY22
FY23
FY24
Source: MOFSL, Company; Data is as of Mar’24
October 2024
52
 Motilal Oswal Financial Services
Power Financiers - Thematic: The Power Play: Key to India’s energy transition
Disbursements for renewable generation project loans are typically back-ended,
implying that the majority of disbursements in such projects occur in the second or
third year following the initial loan sanction. REC reported robust growth in
renewable sanctions in FY23 and FY24. Considering the healthy growth in renewable
sanctions over the last two years, we anticipate strong growth in renewable
disbursements over FY25-26.
Exhibit 66: Renewable sanctions surged ~533% in FY24
Renewable sanctions (INR b)
YoY Growth (%)
533
Exhibit 67: Renewable sanctions to disbursements
Sanctions (INR b)
Disbursements (INR b)
Yo Disbursement of Y-1 sanction (%)
87%
74%
1,365
144
(14)
172
147
46
216
1,365
16%
172
FY21
33
147
28
216
FY23
FY24
129
160
FY21
FY22
FY23
FY24
FY22
Source: MOFSL, Company
Source: MOFSL, Company
Exhibit 68: Share of renewable in the sanction mix improved in FY24
Sanctions - Segment Mix (%)
FY23
38
FY24
42
33
19
12
8
3
5
Distribution
Infra
23
11
2
STL
4
Generation
Renewable
Transmission
Source: MOFSL, Company; Data is as of Mar’24
The primary mandate of REC has been to finance rural electrification projects across
India. This includes providing funding to state electricity boards, lending to state and
central power utilities, and supporting rural electricity cooperatives. As a result,
REC’s loan book was relatively more skewed towards T&D vs. its parent (PFC).
Given that, REC traditionally had a higher exposure to T&D, we believe that the
reform-based, result-linked power distribution sector scheme (covered extensively
earlier in this report) launched by the GoI has improved (albeit marginally) the
health of the distribution utilities and will benefit REC. This can potentially also lead
to demand in the generation and transmission segments.
Modernization of traditional thermal power plants and installation of FGD systems
in the existing and upcoming thermal power plants will also create lending
opportunities for REC. The company is also working closely with different state
governments for various lift irrigation projects.
October 2024
53
 Motilal Oswal Financial Services
Power Financiers - Thematic: The Power Play: Key to India’s energy transition
Exhibit 69: In its loan mix, REC has historically had a higher exposure to distribution (%)
Generation
1
33
19
5
43
FY19
33
18
5
43
FY20
38
16
4
41
FY21
Renewable Energy
Transmission
1
9
43
17
3
40
FY22
11
6
30
FY23
Distribution
12
42
9
8
29
FY24
Others
14
41
9
8
40
28
1QFY25
Source: MOFSL, Company
India had committed under the 2015 Paris agreement to reduce the greenhouse gas
emissions intensity by 33-35% below 2005 levels and to achieve 40% of installed
electric power capacity from non-fossil sources by 2030. In 2015, India embarked on
an ambitious plan of installing 500GW of renewable energy capacity by 2030.
Against this target, total renewable capacity at the end of Jun’24 was ~200GW.
Renewable energy now contributes only 8% to REC’s loan mix; however, we
expect this share to grow to ~25% over the next five years.
Exhibit 70: Exposure to private entities gradually increasing, perhaps because of higher
exposures in renewables and infrastructure
State (%)
17%
17%
16%
16%
Private (%)
17%
19%
19%
83%
83%
84%
84%
83%
81%
81%
FY19
FY20
FY21
FY22
FY23
FY24
1QFY25
Source: MOFSL, Company
2. NIM compression can be mitigated with benign credit costs
With a shift in segment mix in favor of renewables and infrastructure, we expect the
yield compression to continue. REC reported spreads of ~2.7% in FY24 and spreads
of 2.6% in FY25E are likely to be at a decadal low. We expect further moderation in
spreads for REC to ~2.5% by FY27, due to compression in yields led by a change in
segment mix and high competitive intensity from banks and other NBFC peers in this
segment.
October 2024
54
 Motilal Oswal Financial Services
Power Financiers - Thematic: The Power Play: Key to India’s energy transition
Exhibit 71: Intense competition and increase in renewables in the mix will lead to
compression in spreads
Yield on loans %
3.5
2.75
2.81
3.02
2.9
Cost of Funds %
Spread %
2.7
2.6
2.5
2.5
6.9
9.7
FY19
10.1
7.3
10.1
7.1
10.3
6.8
9.7
6.7
9.9
7.2
9.8
7.2
9.6
7.1
9.5
7.1
FY20
FY21
FY22
FY23
FY24
FY25E
FY26E
FY27E
Source: MOFSL, Company
Spreads may experience further compression due to the following factors: 1) banks
continuing to be aggressive and willing to finance high-quality operational power
projects; 2) lower spreads in renewable financing, which is characterized by intense
competition; and 3) a decline in repo (interest) rates, as a significant portion of the
asset side is linked to floating rates, while a large share of the liabilities, particularly
in the domestic debt market and foreign borrowings, are fixed rate in nature.
Exhibit 72: NIM likely to compress due to a moderation in the yields
4.4
3.7
NIM %
3.8
3.6
3.6
3.5
3.5
3.7
3.9
FY19
FY20
FY21
FY22
FY23
FY24
FY25E
FY26E
FY27E
Source: MOFSL, Company
October 2024
55
 Motilal Oswal Financial Services
Power Financiers - Thematic: The Power Play: Key to India’s energy transition
Our scenario analysis suggests that even if spreads were to moderate to ~2.2% over
the next two years, REC will still be able to deliver NIM of ~3.2% and RoA/RoE of
2.4%/19.3%. This combination of return profile complemented with dividend yields
of ~3.3% is by far better than many other PSU banks (which trade at marginally
lower valuations compared to REC).
Exhibit 73: Scenario analysis on spreads/margin assuming other things remain unchanged (%)
REC - Scenario Analysis
Yields
CoF
Spreads
Margin
RoA
RoE
Scenario 1
9.30
7.10
2.20
3.20
2.4
19.3
Scenario 2
9.40
7.10
2.30
3.30
2.5
19.9
Base Case
9.60
7.10
2.50
3.50
2.6
20.9
Source: MOFSL, Company
Under our base case, we estimate a yield of 9.6%, spreads of 2.5%, and a margin of
3.5% in FY26 for REC.
Exhibit 74: Expect cost ratios to remain stable at current levels
Cost to Income (%)
5.5
FY19
7.1
FY20
3.1
FY21
2.9
FY22
3.8
FY23
3.9
FY24
3.8
FY25E
3.8
FY26E
3.6
FY27E
Source: MOFSL, Company
REC can mitigate some of this spread/margin compression due to the levers it has
on credit costs, as we estimate credit costs to remain <5bp over FY25-27.
Exhibit 75: Negligible credit costs over FY25-FY27E
Credit Cost (%)
0.94
0.71
0.31
0.09
0.03
0.03
FY19
FY20
FY21
FY22
FY23
(0.29)
FY24
(0.05)
FY25E
(0.01)
FY26E
FY27E
Source: MOFSL, Company
October 2024
56
 Motilal Oswal Financial Services
Power Financiers - Thematic: The Power Play: Key to India’s energy transition
3. Diversified liabilities; borrower preference for rupee term loans over
USD bonds
Similar to its parent PFC, REC is also rated AAA by various credit rating agencies. It
also extensively leverages foreign currency borrowings that are 99% hedged for all
such borrowings, which have a residual maturity of less than five years.
Exhibit 76: REC also has a fairly diversified borrowing mix (%)
Capital gains bonds
Foreign
5
15
10
56
10
FY19
Taxable Bonds
CPs
Banks and Fis
Tax free bonds + Infra bonds
3
25
20
42
10
FY23
2
29
2
30
16
42
9
1QFY25
5
18
12
56
8
FY20
4
16
18
56
6
FY21
4
23
19
47
8
FY22
18
41
10
FY24
Source: MOFSL, Company
Exhibit 77: Liability mix dominated by domestic NCDs (%)
Capital gains bonds
Taxable Bonds
Banks and Fis
2
Foreign
9
30
Tax free bonds + Infra bonds
42
16
Source: MOFSL, Company; Note: Data as of Jun’24
PFC and REC, which possess a quasi-sovereign status, have demonstrated a strong
correlation between their cost of borrowings (CoB) and government securities (G-
Sec) yields. Quite a few power generators issued USD bonds when borrowing in USD
was more cost-effective than borrowing in INR. As these maturing USD bonds are
refinanced with INR term loans, it will present an additional opportunity for loan
growth for REC.
October 2024
57
 Motilal Oswal Financial Services
Power Financiers - Thematic: The Power Play: Key to India’s energy transition
4. Stressed asset resolutions to continue; credit cost outlook remains
benign
Even though there is always an overarching risk associated with exposures to state
government entities, they have managed to maintain stability due to guarantees
from the state government and timely repayments just before they turn into NPAs.
Many of the erstwhile stressed exposures are now in advanced stages of resolution.
In our opinion, fresh slippages over the next two years would be far and few, as this
current power upcycle (driven by power shortages) will continue to foster
investments aimed at increasing both thermal and renewable generation capacities.
This should translate into an improvement in the headline asset quality and in the
provision coverage ratio.
Exhibit 78: Stressed asset resolutions have led to an improvement in asset quality
GNPA %
65
48
7.2
3.8
50
6.6
3.3
4.8 1.7
4.5 1.5
3.4 1.0
2.7 0.9
2.1 0.7
1.6 0.5
1.2 0.4
67.4
NNPA %
70.6
68.5
PCR %
68.0
68.0
66.0
FY19
FY20
FY21
FY22
FY23
FY24
FY25E
FY26E
FY27E
Source: MOFSL, Company
REC does not have any exposure to state-sector projects that have been classified as
NPAs. All the 16 projects that are classified as NPAs are from the private sector.
Resolutions in 12 NPA projects are being pursued under NCLT, and REC is trying to
achieve a resolution in the remaining four NPA projects outside the NCLT.
Exhibit 79: Resolutions of stressed exposures in the private sector to continue
Private GS3 (%)
66
67
68
69
69
Private NS3 (%)
72
71
Private PCR (%)
69
70
68
68
52
18
49
16
42
13
40
12
38 12
36 10
35 10
33 10
29 9
25 8
23 7
Source: MOFSL, Company
As the stressed exposures continue to get resolved, REC has gradually been reducing
the provision coverage on its Stage 3 loan assets, particularly on the 12 NPA projects
that are being resolved in NCLT.
October 2024
58
 Motilal Oswal Financial Services
Power Financiers - Thematic: The Power Play: Key to India’s energy transition
Exhibit 80: Healthy provision coverage on both NCLT and non-NCLT stressed exposures
Resolution Status
Under NCLT
Outside NCLT
Total Stage III
Resolution Status
Under NCLT
Outside NCLT
Total Stage III
PCR on Stage 3
Under NCLT
Outside NCLT
PCR on total Stage III
INR b
123
15
138
No. of projects
12
4
16
%
71
49
69
Source: MOFSL, Company
Exhibit 81: REC – A snapshot of NPA exposure along with expected recovery and current status of resolutions
Sr No.
Projects
State
Fuel
Outstanding
(INR b)
NCLT
Stage of
Resolution
Expected
Recovery
Comments
1
Rattan India Nasik
(Sinnar Thermal)
KSK Mahanadi
Maharashtra
Coal
(domestic)
Coal
(domestic)
23.30
NCLT
Admitted in NCLT
EOI Last date was 20th July
24
Made provision of 50%.
The project is expected to
get resolved before year
end.
No substantial write back
expected as company has
made provision of around
~60%.
Prospective applicants list
received. Stay order on
the IBC process as of now.
Last plan was submitted in
August. Expected to be
completed by year end
2
Chhattisgarh
26.00
NCLT
Bids have come
115%
3
Lanco
Amarkantak
IPCL
Haldia
Shri Maaheshwar
Hydel
Chhattisgarh
Coal
(domestic)
Imported
coal
Hydel Power
22.14
NCLT
Resolved in
2QFY25
37-38%
4
West Bengal
Madhya
Pradesh
13.47
NCLT / Under IBC - Not
IBC in advanced Stage
NCLT
Advanced stages
of resolution
5
2.50
6
TRN Energy
Chhattisgarh
Coal
(domestic)
15.00
Under
Outside Restructuring-
NCLT Advanced Stage
of Resolution
Advanced Stage
of Resolution
Restructuring Proposal -
Rating Process is ongoing.
Resolution plan from
7
Bhadreshwar
Gujarat
8
9
10
11
12
13
Nagai Power
Konaseema
Jas Infra (coal)
Ind Barath Madras
Corporate Power
Lanco Vidharba
Coal
Tamil Nadu (domestic)
Andhra
Coal
Pradesh
(domestic)
Coal
Bihar
(domestic)
Thermal
Tamil Nadu
Power
Coal
Jharkhand (domestic)
Coal
Maharashtra (domestic)
Coal
(domestic)
10.00
5.61
2.22
0.33
4.16
7.97
5.00
NCLT
NCLT
NCLT
NCLT
NCLT
NCLT
NCLT
Resolved
Under liquidation
Under liquidation
Under liquidation
Under liquidation
Under liquidation
Source: MOFSL, Company
Jindal Power received.
Reverse bidding process is
going on.
Resolved in 2QFY25
October 2024
59
 Motilal Oswal Financial Services
Power Financiers - Thematic: The Power Play: Key to India’s energy transition
Exhibit 82: REC – Stressed loan projects that are in liquidation
Corporate
Konaseema
Jas Infra (coal)
Ind Barath Madras
Corporate Power
Lanco Vidharba
Outstanding amount
(INR b)
2.22
0.33
4.16
7.97
5.00
Details
The project is under liquidation
The project is under liquidation
The project is under liquidation
The project is under liquidation
The project is under liquidation
Source: MOFSL, Company
Exhibit 83: REC – Stressed loan projects that are resolved.
Name of the borrower
Meenakshi Energy Private Limited
Dans Energy Private Limited
Classic Global Securities Limited
Meenakshi Energy Private Limited
South-East UP Transmission Company Limited
Jhabua Power Limited
Ind Barath Energy (Utkal) Limited
Gati Infrastructure Private Limited
ATN International Limited
Silicon Valley Infotech Limited
Essar Power (MP) Limited
Amrit Jal Ventures Private Limited
VS Lignite Power Private Limited
Essar Power Transmission Company Limited
Facor Power Limited
RKM Powergen Private Limited
REC’s
exposure
(INR b)
7
4
0
7
9
3
8
2
0
0
13
0
1
11
5
23
Remarks
Resolved under IBC
Resolved through Restructuring
Resolved through OTS outside IBC
Resolved under IBC
Resolved under IBC
Resolved under IBC
Resolved under IBC
Overdue has been fully paid by the company
Resolved through OTS outside IBC
Resolved through OTS outside IBC
Resolved under IBC
Resolved under IBC
Resolved under IBC
Resolved outside IBC by implementation of Restructuring Plan
Resolved under IBC
Resolved outside IBC by implementation of Restructuring Plan
Year of
Resolution
FY24
FY24
FY24
FY24
FY23
FY23
FY23
FY23
FY23
FY23
FY22
FY22
FY22
FY21
FY21
FY21
Source: MOFSL, Company
Stressed project resolutions are driven by the power shortages and the consequent
power upcycle. As of Jun’24, REC’s Gross Stage 3 stood at 2.6%, down from its peak
of 7.2% in Mar’19. We believe that the provision coverage on the stage 3 loans is
adequate. Moreover, on the 12 projects that are being resolved under NCLT, REC
carries a PCR of 71%, while on the four projects that are being resolved outside
NCLT, it carries a PCR of 49%. With total PCR on its Stage 3 loans at ~69%, its Net
Stage 3 has declined to ~0.8% as of Jun’24.
With multiple such large stressed exposures in advanced stages of resolution and
high provision coverage on these loans, we anticipate a reversal of provisions,
resulting in provision write-backs. This trend is expected to keep credit costs at a
benign level of less than 5bp over FY25-27E.
October 2024
60
 Motilal Oswal Financial Services
Power Financiers - Thematic: The Power Play: Key to India’s energy transition
Exhibit 84: Expect credit costs to remain benign over FY25-FY27
Credit Cost (%)
0.94
0.71
0.31
0.09
0.03
0.03
FY19
FY20
FY21
FY22
FY23
(0.29)
FY24
(0.05)
FY25E
(0.01)
FY26E
FY27E
Source: MOFSL, Company
5. Healthy earnings growth trajectory; RoE of ~21% over FY25-27E
With high confidence in the sustainability of this power upcycle (because of reasons
elaborated in detail earlier in this report), we attach a very low probability to new
NPA formation and ascribe a high probability to continued resolutions in the
stressed private sector assets. In the absence of any new NPA formation, the credit
costs will remain benign in the foreseeable future.
Given the aspirations of India to achieve the energy transition and the investments
in power generation (both conventional and renewable) to support the power
demand, we believe that the strong loan growth for REC will sustain. Despite
marginal NIM compression, we estimate REC will deliver a PAT CAGR of ~15% over
FY24-FY27.
REC delivered an RoA/RoE of ~2.8%/22.0% in FY24, which was its best performance in
the last six years. We expect REC to clock a RoE of ~21% over each of FY25-27E.
Exhibit 85: PAT CAGR of ~15% over FY24-27
PAT (INR b)
71
14.1
14
15
16
YoY Growth (%)
21.2
21.1
Exhibit 86: Healthy RoA/RoE of ~2.6%/21.0% in FY27
RoA
20.3
22.2
RoE
21.3
20.9
20.7
20
(15)
27
10
1.5
FY20
FY21
FY22
FY23
FY24 FY25E FY26E FY27E
Source: MOFSL, Company
FY20
2.2
FY21
2.5
FY22
2.5
FY23
2.8
FY24
2.7
2.6
2.6
FY25E FY26E FY27E
Source: MOFSL, Company
Back in May’16, the GoI mandated every CPSE to pay a minimum annual dividend
that was higher of either 30% of PAT or 5% of the net worth. This was subject to the
maximum dividend allowed to be paid out under the extant legal provisions.
We
estimate a DPS of INR23.5/share and a dividend yield of ~4.5% in FY27E for REC.
October 2024
61
 Motilal Oswal Financial Services
Power Financiers - Thematic: The Power Play: Key to India’s energy transition
Exhibit 87: Healthy dividend payout…
Dividend per share (INR)
20.5
18.0
23.5
Exhibit 88: …driven by a dividend policy that is higher of
either 30% of PAT or 5% of the net worth
Dividend Payout (%)
44
38
30
% to net worth
15.3
11.0
11.0
12.7
12.6
16.0
30
30
30
30
30
29
6.3
6.2
5.7
5.9
5.8
6.1
5.9
5.7
5.6
FY19 FY20 FY21 FY22 FY23 FY24 FY25E FY26E FY27E
Source: MOFSL, Company
FY19 FY20 FY21 FY22 FY23 FY24 FY25E FY26E FY27E
Source: MOFSL, Company
Exhibit 89: Dividend yields of ~3-5% over the next three years are attractive
Dividend Yield (%)
4.1
3.6
4.7
3.1
2.2
2.2
2.5
2.5
3.2
FY19
FY20
FY21
FY22
FY23
FY24
FY25E
FY26E
FY27E
Source: MOFSL, Company
October 2024
62
 Motilal Oswal Financial Services
Power Financiers - Thematic: The Power Play: Key to India’s energy transition
REC: Valuation and View
We believe that given the niche nature of power financing and the fact that REC and
PFC are the nodal implementation agencies for the power reforms initiated by the
government, REC will continue to maintain its relevance. Moreover, with emerging
opportunities in renewable energy, electric vehicles, charging infrastructure,
modernization of the existing thermal power plants, FGD installations, and smart
metering, we believe that REC will be able to demonstrate steady loan growth while
mitigating risks associated with asset quality.
REC is projected to deliver an earnings CAGR of ~15% over FY24-FY27, with an RoA/
RoE of 2.6%/21.0% and a dividend yield of ~4.1% in FY26. The stock trades at 1.4x
FY26E P/ABV and we believe that the risk-rewards are attractive given the strong
visibility on its earnings trajectory. Moreover, REC’s stock price has corrected by
~25% from its recent highs, and now even provides a margin of safety in valuations.
We initiate coverage on REC with a BUY rating and a TP of INR630
(premised on a
target multiple of 1.6x Sep’26E P/ABV).
Power financiers, namely REC and PFC, are both favored options to capitalize on the
current power upcycle. Both of these lenders are poised to capture a significant share
of the power financing opportunities in India over the next five years. However, they
must remain cautious and avoid becoming overly ambitious regarding their target
opportunities. We would appreciate if PFC and REC exercise prudence and refrain
from investing in merchant plants (without Power Purchase Agreements), limit their
exposure to private sector projects, and expand in a measured manner within
infrastructure and logistics, areas that are not their core expertise.
While we have a BUY rating on both PFC and REC, we prefer REC over PFC because
of its better execution and stronger RoE profile.
Exhibit 90: REC - One-year forward P/E
13.0
10.0
7.0
4.0
1.0
P/E (x)
Min (x)
Avg (x)
+1SD
Max (x)
-1SD
Exhibit 91: REC - One-year forward P/B
2.3
1.8
P/B (x)
Min (x)
Avg (x)
+1SD
Max (x)
-1SD
10.2
2.0
5.5
3.6
1.8
1.5
7.6
1.3
0.8
0.3
1.0
0.7
1.5
Source: MOFSL, Company
Source: MOFSL, Company
October 2024
63
 Motilal Oswal Financial Services
Power Financiers - Thematic: The Power Play: Key to India’s energy transition
REC: Key risks
Increase in exposure to projects without PPA:
Lending to power projects
without PPAs was a significant reason for financial strain in the past. While
power sector lenders have since made PPAs a prerequisite for loan disbursal,
there are still concerns about renewed exposure to projects lacking these PPAs.
High-risk areas include: merchant renewable plants, where NBFCs have started
partial lending without PPAs; pumped storage plants (PSPs), which require
significant capital before securing PPAs; and green hydrogen projects, which
lack a defined PPA structure and have high capex requirements.
Expanding exposure to private infrastructure loans:
Until recently, REC
primarily extended loans to government entities in the infrastructure sector,
with minimal exposure to private firms. However, any future increase in lending
to private infrastructure or industrial projects could pose significant risks.
Private loans (particularly those towards promoters) fall outside the core
expertise of REC.
The RBI's draft stricter provisioning norms on project financing:
The RBI has
proposed stricter lending norms for project financing, increasing provisioning
requirements from 0.4% to 5%, with gradual reductions to 2.5% and 1% as
projects become operational, subject to conditions. These changes apply across
infrastructure, non-infrastructure, and commercial real estate projects for
regulated financial entities. Additional guidelines, such as a minimum 10%
exposure for consortium lending, are also included. While we attach a low
probability to these draft guidelines on project financing being implemented in
its current form, it still remains a risk to the overall sector.
Compression in spreads and margins:
We have previously emphasized that
current yields are clearly unsustainable, based on the following factors: 1) as the
financial health of the state DISCOMs improves, they will expect REC to extend
loans to them at interest rates that are comparable to the state government
bond yields; 2) with low systemic credit growth, banks will seek to selectively
refinance operational and high-quality power projects of REC; and 3) the
increasing proportion of renewables, which is a highly competitive segment with
relatively lower spreads.
Asset quality stress due to any further deterioration in the health of private
power projects or DISCOMS:
Although the government has implemented
numerous reforms in the power sector that could potentially enhance its overall
health, we cannot entirely dismiss the possibility of adverse effects on
provisioning and credit costs. This could arise from slippages in some large
private sector accounts and the adverse effect on interest income resulting from
any government bailouts provided to DISCOMs.
October 2024
64
 Motilal Oswal Financial Services
Power Financiers - Thematic: The Power Play: Key to India’s energy transition
REC: ESG initiatives
In FY24, REC has sanctioned 82 renewable energy projects with installed
generation capacity aggregating to 17,465MW, with total loan assistance of
INR1.4t.
As of Mar’24, the company had 78 permanent women employees, which
represented 15% of the total work force. A women’s cell has been in operation
to look after the welfare and all-round development of the women employees.
The company spent a total amount of ~INR2.5b during the year towards various
CSR projects.
REC’s Board comprises eight directors, including four independent directors and
one woman director.
REC has set up a Risk Management Committee (RMC) of its directors in place for
monitoring the integrated risks of the company. Further, as required under the
RBI norms, the Board has appointed a Chief Risk Officer (CRO).
REC’s contribution for Clean Energy Projects
Note: 43GW is based on sanctions. Source: Company, MOFSL
REC’s Environmental Stewardship: Areas of Focus
Source: Company, MOFSL
October 2024
65
 Motilal Oswal Financial Services
Power Financiers - Thematic: The Power Play: Key to India’s energy transition
About REC
REC is a leading NBFC categorized as an infrastructure finance company by the
RBI, servicing the financing needs of the entire power sector value chain. REC
advances financial assistance to the power sector in all segments, viz.,
generation (both conventional and renewable energy), and T&D.
REC’s principal products are interest-bearing loans to state utilities and private-
sector borrowers. REC has contributed successfully to the development of
power infrastructure in the country, right from its inception in 1969.
REC has been appointed as a nodal agency for GoI’s flagship schemes, viz.,
Pradhan Mantri Sahaj Bijli Har Ghar Yojana (SAUBHAGAYA), Deen Dayal
Upadhaya Gram Jyoti Yojana (DDUGJY), and National Electricity Fund (NEF).
Further, along with PFC, REC has also been designated as the Nodal Agency for
Revamped Distribution Sector Scheme (RDSS).
In addition, REC assists the Ministry of Power in monitoring the Ujjwal Discom
Assurance Yojana (UDAY), which seeks to operationally reform and financially
turnaround the power distribution companies of the country.
REC is currently led by Mr. Vivek Kumar Devangan, IAS, Chairman and
Managing Director. REC is usually led by Secretary-level IAS officers.
Markets served
REC operates in the Indian market and has a presence across the entire country. To
mobilize resources, the company also taps international capital markets in addition
to domestic markets.
Exhibit 92: Shareholding pattern (%)
20
4
53
11
10
2
PFC
Corporates
MFs
Individual
Insurance
FPI
Source: MOFSL, Company; Note: Data as of Jun’24
Exhibit 93: Top 10 shareholders
Sr. No.
1
2
3
4
5
6
7
8
9
10
Particulars
Power Finance Corporation
Blackrock
Vanguard Group
HDFC Asset Management
Nippon Life India Asset Management
Dimensional Fund Advisors LP
Life Insurance Corporation of India
Republic of Singapore
Axis Asset Management
SBI Funds Management
Shareholding
%
52.63
2.04
1.96
1.44
1.15
1.10
1.07
1.02
0.70
0.59
th
Source: MOFSL, Bloomberg; Data as of 07 Oct’24
October 2024
66
 Motilal Oswal Financial Services
Power Financiers - Thematic: The Power Play: Key to India’s energy transition
REC: Bull and Bear cases
Bull case
In our bull case, we assume ~21% AUM CAGR, driven by a ~27% disbursement
CAGR over FY24-FY27E.
We expect spreads and margins to remain largely stable at ~2.6% and 3.5%,
respectively, by FY27.
We estimate NII and PPOP CAGR of ~20% each, over FY24-27 on account of
strong loan growth and the company’s ability to deliver operating efficiencies.
We estimate cost ratios to improve over the next three years. We expect
negligible credit cost, leading to a PAT CAGR of ~18% over FY24-FY27.
Bear case
In our bear case, we assume ~13% AUM CAGR over FY24-FY27.
We expect spreads to decline ~25bp and NIM to contract ~15bp by FY27.
We estimate NII and PPOP CAGR of ~12% and 13%, respectively, over FY24-27.
We project average credit costs of ~2-5bp to drive PAT CAGR of ~5% over FY24-
FY27.
Exhibit 2: REC: Bear case scenario
FY25E
60,99,409
20
3.6
1,96,761
1,97,678
(7,526)
2,05,204
1,64,163
17
2.7
21.9
308
FY26E
FY27E
INR m
AUM
YoY Growth (%)
NIM (%)
NII
PPoP
Credit Costs
PBT
PAT
Growth (%)
RoA (%)
RoE (%)
BV (INR)
REC Target Multiple (Sep'26E)
REC Target Price (INR)
Downside (%)
FY25E
FY26E
FY27E
73,59,794 89,35,727
21
3.6
2,36,568
2,38,410
(2,764)
2,41,174
1,92,939
18
2.7
21.9
363
21
3.5
2,84,652
2,87,163
2,362
2,84,801
2,27,841
18
2.6
21.9
429
1.8
725
45%
Source: MOFSL, Company
58,38,570 66,01,207 73,91,216
15
3.5
1,86,756
1,87,674
(1,633)
1,89,307
1,51,446
8
2.6
20.4
303
13
3.4
2,09,487
2,11,329
23,742
1,87,587
1,50,069
-1
2.3
17.7
342
12
3.4
2,33,772
2,36,283
33,026
2,03,257
1,62,605
8
2.2
17.0
386
1.1
400
-20%
Source: MOFSL, Company
Exhibit 1: REC: Bull case scenario
INR m
AUM
YoY Growth (%)
NIM (%)
NII
PPoP
Credit Costs
PBT
PAT
Growth (%)
RoA (%)
RoE (%)
BV (INR)
REC Target Multiple (Sep'26E)
REC Target Price (INR)
Upside (%)
October 2024
67
 Motilal Oswal Financial Services
Power Financiers - Thematic: The Power Play: Key to India’s energy transition
REC: SWOT analysis
Improving asset
quality with GS3 of
<2.7% and NS3 of <1%.
Healthy sanction
pipeline will help the
company achieve
strong loan growth.
Expanding exposure
to private
infrastructure
projects raises risks
as these loans fall
outside REC’s core
business of lending to
power projects.
Increasing exposure
to high risk power
projects without
PPAs such as
merchant RE plants,
pumped storage, and
green hydrogen
projects.
Significant
acceleration in
Investments in
renewable energy
will help the
company increase
disbursements.
The National
Infrastructure
Pipeline presents
opportunity of
~INR35t across
electricity generation
and T&D, which will
lead to strong loan
growth of ~18% over
FY24-27.
Increasing
competitiveness
through active
participation by
banks in renewable
financing might lead
to margin
compression.
The RBI’s draft
circular on increasing
provisioning
requirement from
~0.4% to ~5.0%,
which would be
gradually brought
down subject to
conditions.
October 2024
68
 Motilal Oswal Financial Services
Power Financiers - Thematic: The Power Play: Key to India’s energy transition
REC: Board of Directors
Shri Vivek Kumar Dewangan
Chairman and MD
Shri Vivek Kumar Dewangan is the Chairman
th
& Managing Director of REC Limited since 17
May’22. He is an IAS officer (Manipur: 1993)
and holds a degree in B.E. (Electronics) from
NIT, Bhopal, and P.G. in Optoelectronics &
Optical Communication from IIT, Delhi. Prior
to joining REC, he was Additional Secretary in
the Ministry of Power, Government of India.
Shri Vijay Kumar Singh
Director (Projects)
Shri Vijay Kumar Singh is the Director
th
(Projects) of REC Limited since 15 Jul’22.
Prior to his elevation, he was serving as an
Executive Director in the company. He holds a
Bachelor’s Degree in Electrical Engineering
from IIT, Roorkee, and has over 35 years of
experience in the Indian power sector.
Shri Harsh Baweja
Director (Finance)
Shri Harsh Baweja is Director (Finance) of REC
th
Limited since 14 May’24. With a wealth of
experience spanning over three decades, his
previous role as Executive Director (Finance)
at REC showcased his adeptness in leading
both state and private sector financing,
showcasing exceptional acumen in managing
diverse business verticals and financial
portfolios.
Shri Manoj Sharma
Nominee Director of PFC
Shri Manoj Sharma is a Chartered Accountant
with a degree in law (LLB). He joined PFC in
1990 and was working as Executive Director
(In charge) of Commercial Division before
assuming charge as Director (Commercial),
PFC. He has more than 30 years of experience
in the power sector.
Shri Shashank Misra
Director (Govt. Nominee)
Shri Shashank Misra is an IAS officer and
holds a B. Tech degree in Electrical
Engineering from IIT Delhi. Presently, he is
posted as Joint Secretory in the Ministry of
Power, Government of India. Prior to joining
in the Ministry of Power, he served in the
Dept. of Revenue, Ministry of Finance.
Dr. Gambheer Singh
Part Time Non-official Independent Director
Professor Dr. Gambheer Singh has been
appointed as a Part-time Non-official
Independent Director on the Board of REC
th
Limited w.e.f. 15 Nov’21. He is an MBBS from
Gandhi Medical College, Bhopal and Master of
Surgery from G.R. Medical College, Gwalior.
.
Dr. Manoj Manohar Pande
Part Time Non-official Independent
Director
Dr. Manoj Manohar Pande has been
appointed as Part-time non-official
Independent Director on the Board of REC
Limited with effect from November 15, 2021.
He is currently working as a family physician
and social worker in Yavatmal, Maharashtra.
He is also at the helm of two NGOs, dedicated
for the betterment of society since past 16
years.
Dr. Durgesh Nandini
Part time Non-official Independent
Director
Dr. Durgesh Nandini has been appointed as
Part-time Non-official Independent Director
on the Board of REC Limited with effect from
Dec’30, 2021. She holds a Master Degree in
Arts from Gorakhpur University, Masters in
Education from Maharshi Dayanand
University, Rohtak and a doctorate degree in
Political Science from Dr. B.R. Ambedkar
Shri Narayanan Thirupathy
Part time Non official Independent
Director
Shri Narayanan Thirupathy has been
appointed as a Part-time non-official
Independent Director on the Board of REC
th
Limited w.e.f. 6 Mar’23. He holds a
Bachelor’s degree in Economics from the
University of Madras. He is a popular
television debater and social worker from
Tamil Nadu.
October 2024
69
 Motilal Oswal Financial Services
Power Financiers - Thematic: The Power Play: Key to India’s energy transition
REC: Financials and valuations
REC: Income Statement
Y/E March
Interest on Loans
Interest Exp and Other Charges
Net Interest Income
Change (%)
Forex Gains/(Losses)
Net Interest Income
(including forex gains/losses)
Other Operating Income
Other Income
Net Total Income
Change (%)
Employee Cost
Administrative Exp
Depreciation
Total Operating Expenses
PPoP
Change (%)
Total Provisions
% to Operating Income
PBT
Tax (Incl Deferred tax)
Tax Rate (%)
PAT
Change (%)
REC: Balance Sheet
Y/E March
Capital
Reserves & Surplus
Net Worth
Borrowings
Change (%)
Total Liabilities
Investments
Change (%)
Loans
Change (%)
Net Fixed Assets
Net current assets
Total Assets
E: MOFSL Estimates
FY19
250
156
93
6.6
-5
88
0
0
88
3.4
2
3
0
5
83
2.0
2
2.9
81
23
28.8
58
30.4
FY20
297
190
107
14.3
-24
83
1
1
85
-4.0
2
4
0
6
79
-5.6
9
11.3
70
21
30.0
49
-15.2
FY21
347
215
132
23.7
-3
129
7
0
136
60.4
1
3
0
4
132
67.4
24
18.4
108
24
22.3
84
71.1
FY22
382
221
161
22.3
-8
153
9
1
164
20.5
2
3
0
5
159
20.7
35
21.8
124
24
19.1
100
20.1
FY23
388
237
151
-6.4
-11
140
4
0
144
-12.1
2
3
0
5
139
-12.9
1
0.8
137
27
19.5
111
10.0
FY24
464
299
165
9.0
-2
163
7
1
171
18.6
2
4
0
7
164
18.5
-14
-8.3
178
38
21.2
140
26.8
FY25E
542
347
196
18.8
-2
194
9
1
204
19.5
2
5
0
8
196
19.6
-3
-1.3
199
40
20.0
159
13.6
FY26E
629
403
226
15.6
-2
225
11
1
237
15.9
3
6
0
9
228
16.0
0
-0.1
228
46
20.0
183
14.7
(INR b)
FY27E
738
474
264
16.7
-2
262
13
1
276
16.7
3
7
0
10
266
16.8
2
0.9
264
53
20.0
211
15.6
(INR b)
FY27E
26
1,071
1,097
7,310
19.2
8,407
99
15.0
8,261
19.1
7
0
8,367
FY19
20
323
343
2,395
13.5
2,738
24
-6.9
2,705
12.9
4
0
2,732
FY20
20
331
351
2,815
17.5
3,166
23
-3.5
3,121
15.4
5
0
3,148
FY21
20
418
438
3,228
14.7
3,666
19
-17.4
3,653
17.0
6
0
3,678
FY22
20
493
513
3,263
1.1
3,776
22
13.0
3,719
1.8
6
0
3,747
FY23
26
550
577
3,808
16.7
4,385
31
45.4
4,221
13.5
6
0
4,259
FY24
26
661
688
4,456
17.0
5,144
53
69.5
4,992
18.3
7
0
5,052
FY25E
26
779
805
5,210
16.9
6,015
72
35.0
5,878
17.7
7
0
5,956
FY26E
26
914
940
6,135
17.7
7,075
86
20.0
6,936
18.0
7
0
7,029
October 2024
70
 Motilal Oswal Financial Services
Power Financiers - Thematic: The Power Play: Key to India’s energy transition
REC: Financials and valuations
REC: Loans and Disbursements
Gross Loans (INR b)
YoY Growth (%)
Disbursements (INR b)
YoY Growth (%)
REC: Ratios
Y/E March
Spreads Analysis (%)
Avg. Yield - on Financing Portfolio
Avg Cost of Funds
Interest Spread
Net Interest Margin
Profitability Ratios (%)
RoE
RoA
Efficiency Ratios (%)
Int. Expended/Int. Earned
Other operating Inc./Net
Income
Other Income/Net Income
Op. Exps./Net Income
Empl. Cost/Op. Exps.
Asset-Liability Profile (%)
Loans/Borrowings Ratio
Assets/Networth
Debt/Equity Ratio
Asset Quality (%)
Gross Stage 3
Net Stage 3
PCR
Credit costs
Valuations
Book Value (INR)
BV Growth (%)
Price-BV (x)
Adjusted Book Value (INR)
ABV Growth (%)
Price-ABV (x)
EPS (INR)
EPS Growth (%)
Price-Earnings (x)
Dividend
Dividend Yield (%)
E: MOFSL Estimates
FY19
2,812
17
722
17
FY20
3,224
15
757
5
FY21
3,774
17
930
23
FY22
3,854
2
642
-31
FY23
4,350
13
968
51
FY24
5,094
17
1,615
67
FY25E
6,003
18
2,131
32
FY26E
7,059
18
2,558
20
FY27E
8,383
19
3,018
18
FY19
9.7
6.9
2.8
3.7
FY20
10.1
7.3
2.8
3.7
FY21
10.1
7.1
3.0
3.9
FY22
10.3
6.8
3.5
4.4
FY23
9.7
6.7
2.9
3.8
FY24
9.9
7.2
2.7
3.6
FY25E
9.8
7.2
2.6
3.6
FY26E
9.6
7.1
2.5
3.5
FY27E
9.5
7.1
2.5
3.5
17.0
2.1
14.1
1.5
21.2
2.2
21.1
2.5
20.3
2.5
22.2
2.8
21.3
2.7
20.9
2.6
20.7
2.6
62.6
-0.1
0.4
5.5
32.2
64.0
1.2
0.8
7.1
29.2
62.0
5.2
0.2
3.1
34.9
57.8
5.8
0.6
2.9
33.1
61.1
2.6
0.3
3.8
33.2
64.5
4.2
0.4
3.9
32.4
63.9
4.6
0.4
3.8
31.8
64.1
4.7
0.4
3.8
31.8
64.3
4.7
0.4
3.6
32.0
112.9
8.0
7.0
110.9
9.0
8.0
113.1
8.4
7.4
114.0
7.3
6.4
110.8
7.4
6.6
112.0
7.3
6.5
112.8
7.4
6.5
113.1
7.5
6.5
113.0
7.6
6.7
7.2
3.8
47.7
0.1
6.6
3.3
49.6
0.3
4.8
1.7
64.6
0.7
4.5
1.5
67.4
0.9
3.4
1.0
70.6
0.0
2.7
0.9
68.5
-0.3
2.1
0.7
68.0
0.0
1.6
0.5
68.0
0.0
1.2
0.4
66.0
0.0
174
2.8
2.9
160
1.4
3.1
29.2
30.4
17.1
11.0
2.2
178
2.3
2.8
164
2.4
3.0
24.7
-15.2
20.2
11.0
2.2
222
24.8
2.3
213
30.1
2.3
42.3
71.1
11.8
12.7
2.5
260
17.3
1.9
253
18.4
2.0
50.9
20.1
9.8
15.3
3.1
219
-15.7
2.3
215
-15.0
2.3
42.0
-17.5
11.9
12.6
2.5
261
19.3
1.9
257
19.6
1.9
53.2
26.8
9.4
16.0
3.2
306
17.0
1.6
302
17.4
1.7
60.5
13.6
8.3
18.0
3.6
357
16.8
1.4
354
17.1
1.4
69.3
14.7
7.2
20.5
4.1
417
16.7
1.2
413
16.9
1.2
80.1
15.6
6.2
23.5
4.7
October 2024
71
 Motilal Oswal Financial Services
Power Financiers - Thematic: The Power Play: Key to India’s energy transition
REC: Du Pont Analysis %
Interest income
Interest expenses
Net Interest Income
Other Operating Income
Other Income
Total Income
Operating expenses
Operating profits
Provisions
PBT
Taxation
RoA
Leverage (x)
RoE
FY19
9.2
5.8
3.4
-0.2
0.0
3.3
0.2
3.1
0.1
3.0
0.9
2.1
8.0
17.0
FY20
9.2
5.9
3.3
-0.7
0.0
2.6
0.2
2.4
0.3
2.2
0.7
1.5
9.3
14.1
FY21
9.3
5.8
3.5
0.1
0.0
3.6
0.1
3.5
0.6
2.9
0.6
2.2
9.5
21.2
FY22
9.4
5.4
4.0
0.0
0.0
4.0
0.1
3.9
0.9
3.1
0.6
2.5
8.5
21.1
FY23
8.9
5.4
3.4
-0.2
0.0
3.3
0.1
3.2
0.0
3.1
0.6
2.5
8.0
20.3
FY24
9.2
5.9
3.3
0.1
0.0
3.4
0.1
3.2
-0.3
3.5
0.7
2.8
8.0
22.2
FY25E
9.1
5.8
3.3
0.1
0.0
3.4
0.1
3.3
0.0
3.4
0.7
2.7
8.0
21.3
FY26E
9.0
5.8
3.3
0.1
0.0
3.4
0.1
3.3
0.0
3.3
0.7
2.6
8.0
20.9
FY27E
9.0
5.8
3.2
0.1
0.0
3.4
0.1
3.3
0.0
3.2
0.6
2.6
8.0
20.7
Investment in securities market are subject to market risks. Read all the related documents carefully before investing
October 2024
72
 Motilal Oswal Financial Services
Power Financiers - Thematic: The Power Play: Key to India’s energy transition
NOTES
October 2024
73
 Motilal Oswal Financial Services
REPORT GALLERY
RECENT STRATEGY/THEMATIC REPORTS
May 2024
Gautam Duggad – Research Analyst
(Gautam.Duggad@MotilalOswal.com)
Research Analyst: Deven Mistry
(Deven@MotilalOswal.com)
/
Aanshul Agarawal
(Aanshul.Agarawal@Motilaloswal.com)
Investors are advised to refer through important disclosures made at the last page of the Research Report.
Motilal Oswal research is available on www.motilaloswal.com/Institutional-Equities, Bloomberg, Thomson Reuters, Factset and S&P Capital.
 Motilal Oswal Financial Services
Power Financiers - Thematic: The Power Play: Key to India’s energy transition
Explanation of Investment Rating
Investment Rating
BUY
SELL
NEUTRAL
UNDER REVIEW
NOT RATED
Expected return (over 12-month)
>=15%
< - 10%
< - 10 % to 15%
Rating may undergo a change
We have forward looking estimates for the stock but we refrain from assigning recommendation
*In case the recommendation given by the Research Analyst is inconsistent with the investment rating legend for a continuous period of 30 days, the Research Analyst shall be within following 30 days take
appropriate measures to make the recommendation consistent with the investment rating legend.
Disclosures
The following Disclosures are being made in compliance with the SEBI Research Analyst Regulations 2014 (herein after referred to as the Regulations).
Motilal Oswal Financial Services Ltd. (MOFSL) is a SEBI Registered Research Analyst having registration no. INH000000412. MOFSL, the Research Entity (RE) as defined in the Regulations, is engaged in
the business of providing Stock broking services, Depository participant services & distribution of various financial products. MOFSL is a listed public company, the details in respect of which are available on
www.motilaloswal.com. MOFSL (erstwhile Motilal Oswal Securities Limited - MOSL) is registered with the Securities & Exchange Board of India (SEBI) and is a registered Trading Member with National
Stock Exchange of India Ltd. (NSE) and Bombay Stock Exchange Limited (BSE), Multi Commodity Exchange of India Limited (MCX) and National Commodity & Derivatives Exchange Limited (NCDEX) for
its stock broking activities & is Depository participant with Central Depository Services Limited (CDSL) National Securities Depository Limited (NSDL),NERL, COMRIS and CCRL and is member of
Association of Mutual Funds of India (AMFI) for distribution of financial products and Insurance Regulatory & Development Authority of India (IRDA) as Corporate Agent for insurance products.
Details of
associate entities of Motilal Oswal Financial Services Limited are available on the website at
http://onlinereports.motilaloswal.com/Dormant/documents/List%20of%20Associate%20companies.pdf
MOFSL and its associate company(ies), their directors and Research Analyst and their relatives may; (a) from time to time, have a long or short position in, act as principal in, and buy or sell the securities or
derivatives thereof of companies mentioned herein. (b) be engaged in any other transaction involving such securities and earn brokerage or other compensation or act as a market maker in the financial
instruments of the company(ies) discussed herein or act as an advisor or lender/borrower to such company(ies) or m ay have any other potential conflict of interests with respect to any recommendation and
other related information and opinions.; however the same shall have no bearing whatsoever on the specific recommendations made by the analyst(s), as the recommendations made by the analyst(s) are
completely independent of the views of the associates of MOFSL even though there might exist an inherent conflict of interest in some of the stocks mentioned in the research report.
MOFSL and / or its affiliates do and seek to do business including investment banking with companies covered in its research reports. As a result, the recipients of this report should be aware that MOFSL
may have a potential conflict of interest that may affect the objectivity of this report. Compensation of Research Analysts is not based on any specific merchant banking, investment banking or brokerage
service
transactions.
Details
of
pending
Enquiry
Proceedings
of
Motilal
Oswal
Financial
Services
Limited
are
available
on
the
website
at
https://galaxy.motilaloswal.com/ResearchAnalyst/PublishViewLitigation.aspx
A graph of daily closing prices of securities is available at
www.nseindia.com, www.bseindia.com.
Research Analyst views on Subject Company may vary based on Fundamental research and Technical
Research. Proprietary trading desk of MOFSL or its associates maintains arm’s length distance with Research Team as all the activities are segregated from MOFSL research activity and therefore it can
have an independent view with regards to Subject Company for which Research Team have expressed their views.
Regional Disclosures (outside India)
This report is not directed or intended for distribution to or use by any person or entity resident in a state, country or any jurisdiction, where such distribution, publication, availability or use would be contrary
to law, regulation or which would subject MOFSL & its group companies to registration or licensing requirements within such jurisdictions.
For Hong Kong:
This report is distributed in Hong Kong by Motilal Oswal capital Markets (Hong Kong) Private Limited, a licensed corporation (CE AYY-301) licensed and regulated by the Hong Kong Securities and Futures
Commission (SFC) pursuant to the Securities and Futures Ordinance (Chapter 571 of the Laws of Hong Kong) “SFO”. As per SEBI (Research Analyst Regulations) 2014 Motilal Oswal Securities (SEBI Reg.
No. INH000000412) has an agreement with Motilal Oswal capital Markets (Hong Kong) Private Limited for distribution of research report in Hong Kong. This report is intended for distribution only to
“Professional Investors” as defined in Part I of Schedule 1 to SFO. Any investment or investment activity to which this document relates is only available to professional investor and will be engaged only with
professional investors.” Nothing here is an offer or solicitation of these securities, products and services in any jurisdiction where their offer or sale is not qualified or exempt from registration. The Indian
Analyst(s) who compile this report is/are not located in Hong Kong & are not conducting Research Analysis in Hong Kong.
For U.S.
Motilal Oswal Financial Services Limited (MOFSL) is not a registered broker - dealer under the U.S. Securities Exchange Act of 1934, as amended (the"1934 act") and under applicable state laws in the
United States. In addition MOFSL is not a registered investment adviser under the U.S. Investment Advisers Act of 1940, as am ended (the "Advisers Act" and together with the 1934 Act, the "Acts), and
under applicable state laws in the United States. Accordingly, in the absence of specific exemption under the Acts, any brokerage and investment services provided by MOFSL, including the products and
services described herein are not available to or intended for U.S. persons. This report is intended for distribution only to "Major Institutional Investors" as defined by Rule 15a-6(b)(4) of the Exchange Act
and interpretations thereof by SEC (henceforth referred to as "major institutional investors"). This document must not be acted on or relied on by persons who are not major institutional investors. Any
investment or investment activity to which this document relates is only available to major institutional investors and will be engaged in only with major institutional investors. In reliance on the exemption
from registration provided by Rule 15a-6 of the U.S. Securities Exchange Act of 1934, as amended (the "Exchange Act") and interpretations thereof by the U.S. Securities and Exchange Commission
("SEC") in order to conduct business with Institutional Investors based in the U.S., MOFSL has entered into a chaperoning agreement with a U.S. registered broker-dealer, Motilal Oswal Securities
International Private Limited. ("MOSIPL"). Any business interaction pursuant to this report will have to be executed within the provisions of this chaperoning agreement.
The Research Analysts contributing to the report may not be registered /qualified as research analyst with FINRA. Such research analyst may not be associated persons of the U.S. registered broker-dealer,
MOSIPL, and therefore, may not be subject to NASD rule 2711 and NYSE Rule 472 restrictions on communication with a subject company, public appearances and trading securities held by a research
analyst account.
For Singapore
In Singapore, this report is being distributed by Motilal Oswal Capital Markets Singapore Pte Ltd (“MOCMSPL”) (Co. Reg. NO. 201129401Z) which is a holder of a capital markets services license and an
exempt financial adviser in Singapore. As per the approved agreement under Paragraph 9 of Third Schedule of Securities and Futures Act (CAP 289) and Paragraph 11 of First Schedule of Financial
Advisors Act (CAP 110) provided to MOCMSPL by Monetary Authority of Singapore. Persons in Singapore should contact MOCMSPL in respect of any matter arising from, or in connection with this
report/publication/communication. This report is distributed solely to persons who qualify as “Institutional Investors”, of which some of whom may consist of "accredited" institutional investors as defined in
section 4A(1) of the Securities and Futures Act, Chapter 289 of Singapore (“the SFA”). Accordingly, if a Singapore person is not or ceases to be such an institutional investor, such Singapore Person must
immediately discontinue any use of this Report and inform MOCMSPL.
Specific Disclosures
1 MOFSL, Research Analyst and/or his relatives does not have financial interest in the subject company, as they do not have equity holdings in the subject company.
2 MOFSL, Research Analyst and/or his relatives do not have actual/beneficial ownership of 1% or more securities in the subject company
3 MOFSL, Research Analyst and/or his relatives have not received compensation/other benefits from the subject company in the past 12 months
4 MOFSL, Research Analyst and/or his relatives do not have material conflict of interest in the subject company at the time of publication of research report
5 Research Analyst has not served as director/officer/employee in the subject company
6 MOFSL has not acted as a manager or co-manager of public offering of securities of the subject company in past 12 months
7 MOFSL has not received compensation for investment banking/ merchant banking/brokerage services from the subject company in the past 12 months
8 MOFSL has not received compensation for other than investment banking/merchant banking/brokerage services from the subject company in the past 12 months
9 MOFSL has not received any compensation or other benefits from third party in connection with the research report
10 MOFSL has not engaged in market making activity for the subject company
********************************************************************************************************************************
The associates of MOFSL may have:
-
financial interest in the subject company
-
actual/beneficial ownership of 1% or more securities in the subject company at the end of the month immediately preceding the date of publication of the Research Report or date of the public
appearance.
-
received compensation/other benefits from the subject company in the past 12 months
-
any other potential conflict of interests with respect to any recommendation and other related information and opinions.; however the same shall have no bearing whatsoever on the specific
recommendations made by the analyst(s), as the recommendations made by the analyst(s) are completely independent of the views of the associates of MOFSL even though there might exist an
inherent conflict of interest in some of the stocks mentioned in the research report.
-
acted as a manager or co-manager of public offering of securities of the subject company in past 12 months
-
be engaged in any other transaction involving such securities and earn brokerage or other compensation or act as a market maker in the financial instruments of the company(ies) discussed herein or
act as an advisor or lender/borrower to such company(ies)
-
received compensation from the subject company in the past 12 months for investment banking / merchant banking / brokerage services or from other than said services.
-
Served subject company as its clients during twelve months preceding the date of distribution of the research report.
The associates of MOFSL has not received any compensation or other benefits from third party in connection with the research report
October 2024
75
 Motilal Oswal Financial Services
Power Financiers - Thematic: The Power Play: Key to India’s energy transition
Above disclosures include beneficial holdings lying in demat account of MOFSL which are opened for proprietary investments only. While calculating beneficial holdings, It does not consider demat accounts
which are opened in name of MOFSL for other purposes (i.e holding client securities, collaterals, error trades etc.). MOFSL also earns DP income from clients which are not considered in above disclosures.
Analyst Certification
The views expressed in this research report accurately reflect the personal views of the analyst(s) about the subject securities or issues, and no part of the compensation of the research analyst(s) was, is,
or will be directly or indirectly related to the specific recommendations and views expressed by research analyst(s) in this report.
Terms & Conditions:
This report has been prepared by MOFSL and is meant for sole use by the recipient and not for circulation. The report and information contained herein is strictly confidential and may not be altered in any
way, transmitted to, copied or distributed, in part or in whole, to any other person or to the media or reproduced in any form, without prior written consent of MOFSL. The report is based on the facts, figures
and information that are considered true, correct, reliable and accurate. The intent of this report is not recommendatory in nature. The information is obtained from publicly available media or other sources
believed to be reliable. Such information has not been independently verified and no guaranty, representation of warranty, express or implied, is made as to its accuracy, completeness or correctness. All
such information and opinions are subject to change without notice. The report is prepared solely for informational purpose and does not constitute an offer document or solicitation of offer to buy or sell or
subscribe for securities or other financial instruments for the clients. Though disseminated to all the customers simultaneously, not all customers may receive this report at the same time. MOFSL will not
treat recipients as customers by virtue of their receiving this report.
Disclaimer:
The report and information contained herein is strictly confidential and meant solely for the selected recipient and may not be altered in any way, transmitted to, copied or distributed, in part or in whole, to
any other person or to the media or reproduced in any form, without prior written consent. This report and information herein is solely for informational purpose and may not be used or considered as an
offer document or solicitation of offer to buy or sell or subscribe for securities or other financial instruments. Nothing in this report constitutes investment, legal, accounting and tax advice or a representation
that any investment or strategy is suitable or appropriate to your specific circumstances. The securities discussed and opinions expressed in this report may not be suitable for all investors, who must make
their own investment decisions, based on their own investment objectives, financial positions and needs of specific recipient. This may not be taken in substitution for the exercise of independent judgment
by any recipient. Each recipient of this document should make such investigations as it deems necessary to arrive at an independent evaluation of an investment in the securities of companies referred to in
this document (including the merits and risks involved), and should consult its own advisors to determine the merits and risks of such an investment. The investment discussed or views expressed may not
be suitable for all investors. Certain transactions -including those involving futures, options, another derivative products as well as non-investment grade securities - involve substantial risk and are not
suitable for all investors. No representation or warranty, express or implied, is made as to the accuracy, completeness or fairness of the information and opinions contained in this document. The Disclosures
of Interest Statement incorporated in this document is provided solely to enhance the transparency and should not be treated as endorsement of the views ex pressed in the report. This information is subject
to change without any prior notice. The Company reserves the right to make modifications and alternations to this statement as may be required from time to time without any prior approval. MOFSL, its
associates, their directors and the employees may from time to time, effect or have effected an own account transaction in, or deal as principal or agent in or for the securities mentioned in this document.
They may perform or seek to perform investment banking or other services for, or solicit investment banking or other business from, any company referred to in this report. Each of these entities functions as
a separate, distinct and independent of each other. The recipient should take this into account before interpreting the document. This report has been prepared on the basis of information that is already
available in publicly accessible media or developed through analysis of MOFSL. The views expressed are those of the analyst, and the Company may or may not subscribe to all the views expressed
therein. This document is being supplied to you solely for your information and may not be reproduced, redistributed or passed on, directly or indirectly, to any other person or published, copied, in whole or
in part, for any purpose. This report is not directed or intended for distribution to, or use by, any person or entity who is a citizen or resident of or located in any locality, state, country or other jurisdiction,
where such distribution, publication, availability or use would be contrary to law, regulation or which would subject MOFSL to any registration or licensing requirement within such jurisdiction. The securities
described herein may or may not be eligible for sale in all jurisdictions or to certain category of investors. Persons in whose possession this document may come are required to inform themselves of and to
observe such restriction. Neither the Firm, not its directors, employees, agents or representatives shall be liable for any damages whether direct or indirect, incidental, special or consequential including lost
revenue or lost profits that may arise from or in connection with the use of the information.
The person accessing this information specifically agrees to exempt MOFSL or any of its affiliates or employees
from, any and all responsibility/liability arising from such misuse and agrees not to hold MOFSL or any of its affiliates or employees responsible for any such misuse and further agrees to hold MOFSL or any
of its affiliates or employees free and harmless from all losses, costs, damages,
expenses that may be suffered by the person accessing this information due to any errors and delays.
This report is meant for the clients of Motilal Oswal only.
Investment in securities market are subject to market risks. Read all the related documents carefully before investing.
Registration granted by SEBI and certification from NISM in no way guarantee performance of the intermediary or provide any assurance of returns to investors.
Registered Office Address: Motilal Oswal Tower, Rahimtullah Sayani Road, Opposite Parel ST Depot, Prabhadevi, Mumbai-400025; Tel No.: 022 - 71934200 / 71934263; www.motilaloswal.com.
Correspondence Address: Palm Spring Centre, 2nd Floor, Palm Court Complex, New Link Road, Malad (West), Mumbai- 400 064. Tel No: 022 71881000. Details of Compliance Officer: Neeraj Agarwal,
Email Id: na@motilaloswal.com, Contact No.:022-40548085.
Grievance Redressal Cell:
Contact Person
Contact No.
Email ID
Ms. Hemangi Date
022 40548000 / 022 67490600
query@motilaloswal.com
Ms. Kumud Upadhyay
022 40548082
servicehead@motilaloswal.com
Mr. Ajay Menon
022 40548083
am@motilaloswal.com
Registration details of group entities.: Motilal Oswal Financial Services Ltd. (MOFSL): INZ000158836 (BSE/NSE/MCX/NCDEX); CDSL and NSDL: IN-DP-16-2015; Research Analyst: INH000000412 . AMFI:
ARN .: 146822. IRDA Corporate Agent – CA0579. Motilal Oswal Financial Services Ltd. is a distributor of Mutual Funds, PMS, Fixed Deposit, Insurance, Bond, NCDs and IPO products.
Customer having any query/feedback/ clarification may write to query@motilaloswal.com. In case of grievances for any of the services rendered by Motilal Oswal Financial Services Limited (MOFSL) write to
grievances@motilaloswal.com, for DP to dpgrievances@motilaloswal.com.
October 2024
76