Thematic Study | December 2024
29
th
ANNUAL WEALTH CREATION STUDY
(2019-2024)
Creating Wealth Through
Bruised Blue Chips
HIGHLIGHTS
Blue Chips are aspirational investments, but mostly richly valued
Bruised Blue Chips bought at close to lows offer handsome returns
Probability of permanent loss of capital is low for Bruised Blue Chips
The main elements of the process to invest in Bruised Blue Chips are:
(1)
Create a watchlist
(2)
Await buying triggers, mainly sector tailwind and change of management
(3)
Buy at attractive valuations, typically Price/Book less than 2x
Wealth Creation in the last 5 years is the highest ever; Wealth Destruction is
among the lowest
PSUs are regaining prominence in Wealth Creation
TOP 10 WEALTH CREATORS (2019-2024)
BIGGEST
Rank
1
2
3
4
5
6
7
8
9
10
Company
Reliance Industries
TCS
Bharti Airtel
ICICI Bank
State Bank of India
Infosys
Larsen & Toubro
Adani Enterprises
Tata Motors
HCL Technologies
Wealth
Created
(INR b)
11,178
8,312
5,449
5,109
4,176
3,893
3,530
3,408
3,164
3,150
FASTEST
Company
Adani Green
Adani Enterprises
Jindal Stainless
Dixon Technologies
Linde India
Persistent Systems
CG Power
Adani Power
Trent
Varun Beverages
5-year
Price
CAGR (%)
118
85
77
74
68
67
66
62
62
61
CONSISTENT
Company
Linde India
Varun Beverages
Hind. Aeronautics
Bharat Electronics
Thermax
NMDC
Adani Green
Adani Enterprises
Jindal Stainless
Persistent Systems
No. of
5-year
years
Price
outperformed CAGR (%)
5
5
5
5
5
5
4
4
4
4
68
61
58
46
34
26
118
85
77
67
Raamdeo Agrawal
(Raamdeo@MotilalOswal.com) /
Shrinath Mithanthaya
(Shrinath.Mithanthaya@gmail.com)
We thank Mr Dhruv Mehta (Dhruv@SapientWealth.co.in) for his invaluable contribution to this report
Investors are advised to refer through important disclosures made at the last page of the Research Report
Motilal Oswal research is available on www.motilaloswal.com/Institutional-Equities, Bloomberg, Thomson Reuters, Factset and S&P Capital
 Motilal Oswal Financial Services
29th Annual Wealth Creation Study (2019-2024)
Motilal Oswal 29th Annual Wealth Creation Study
Page
Wealth Creation Study:
Objective, Concept & Methodology
....................... 1
Wealth Creation 2019-24:
Highlights
.......................................................... 2-3
Theme Study:
Creating Wealth Through Bruised Blue Chips
.................. 4-45
Wealth Creation 2019-24:
Detailed Findings
......................................... 46-60
Appendix 1:
The 100 Biggest Wealth Creators
....................................... 62-63
Appendix 2:
The 100 Fastest Wealth Creators
....................................... 64-65
Appendix 3:
The 100 Most Consistent Wealth Creators
........................ 66-67
Appendix 4:
The 100 All-round Wealth Creators
................................... 68-69
Appendix 5:
The 100 Wealth Creators (alphabetical)
............................ 70-71
Appendix 6:
Top 20 Fastest Wealth Creators by Mkt Cap Category
........... 72
Abbreviations and Terms used in this report
Description
Reference to years for India are financial year ending March, unless otherwise stated
Average
Compound Annual Growth Rate
Indian Rupees in billion
Loss to Profit / Profit to Loss. In such cases, calculation of PAT CAGR is not possible
In the case of aggregates, Price CAGR refers to Market Cap CAGR
Wealth Created
Increase in Market Capitalization over the last 5 years, duly adjusted for corporate
actions such as fresh equity issuance, mergers, demergers, share buybacks, etc.
Note:
Capitaline database has been used for this study. Source of all exhibits is MOFSL analysis, unless otherwise stated
Abbreviation / Term
2014, 2019, 2024, etc
Avg
CAGR
INR bn
L to P / P to L
Price CAGR
WC
Wealth Created
 Motilal Oswal Financial Services
29th Annual Wealth Creation Study (2019-2024)
Wealth Creation Study
Objective, Concept & Methodology
Objective
The foundation of Wealth Creation is to buy businesses at a price substantially lower than their
“intrinsic value” or “expected value”. The lower the market value compared to the intrinsic value,
the higher is the margin of safety. Every year, as in the past 28 years, we endeavor to cull out the
characteristics of businesses that create value for their shareholders.
As Phil Fisher says, “It
seems logical that even before thinking of buying any common stock, the
first step is to see how money has been most successfully made in the past.”
Our Wealth Creation
Studies are attempts to study the past as a guide to the future, and gain insights into the various
dynamics of stock market investing.
Concept & Methodology
Wealth Creation is the process by which a company enhances the market value of the capital
entrusted to it by its shareholders. It is a basic measure of success for any commercial venture.
For listed companies, we define Wealth Created as the difference in market capitalization over a
period of last five years, duly adjusted for corporate events such as fresh equity issuance,
dividends, share buybacks, mergers, etc.
We rank the top 100 companies in descending order of absolute Wealth Created,
subject to the
company’s stock price at least outperforming the benchmark index (Nifty 50 Total Return Index
in our case).
These top 100 Wealth Creators are also ranked according to speed (i.e. price CAGR
during the period under study).
We define
Consistent Wealth Creators
based on the number of years the stock has outperformed
in each of the last 5 years. Where the number of years is the same, the stock price CAGR decides
the rank.
We define
All-round Wealth Creators
based on the summation of ranks, under each of the 3
categories – Biggest, Fastest and Consistent. Where the scores are tied, the stock price CAGR
decides the All-round rank.
Report structure
We present the 2019-2024 Wealth Creation Study highlights in pages 2-3. The detailed findings
are presented in pages 46-60. Appendix 1 (pages 62-63) ranks the top 100 Wealth Creators by
size. Appendix 2 (pages 64-65) ranks the same 100 Wealth Creators by speed. Appendix 3 (pages
66-67) lists the Consistent Wealth Creators. Appendix 4 (pages 68-69) presents the All-round
Wealth Creators. Appendix 5 (pages 70-71) provides an alphabetical listing of the Wealth
Creators. Appendix 6 (page 72) carries the list of top 20 Fastest Wealth Creators under various
market cap categories, namely, large, mid, small and mini.
This year’s theme study titled “Creating
Wealth Through Bruised Blue Chips”
is featured in pages
4-45.
December 2024
1
 Motilal Oswal Financial Services
29th Annual Wealth Creation Study (2019-2024)
Wealth Creation 2019-2024: Highlights
Reliance emerges as the biggest Wealth Creator for the 6
th
time in a row
For the sixth time in succession,
Reliance Industries
has emerged the biggest Wealth Creator
over 2019-24.
This takes Reliance’s overall No.1 tally to 11 in the last 17 five-year study periods.
Exhibit 1
Top 10 Biggest Wealth Creators (2019-24)
Rank Company
1
Reliance Inds
2
TCS
3
Bharti Airtel
4
ICICI Bank
5
State Bank of India
6
Infosys
7
Larsen & Toubro
8
Adani Enterprises
9
Tata Motors
10
HCL Technologies
Total of Top 10
Total of Top 100
Wealth Created
INR bn % share
11,178
8,312
5,449
5,109
4,176
3,893
3,530
3,408
3,164
3,150
51,369
1,38,034
8.1
6.0
3.9
3.7
3.0
2.8
2.6
2.5
2.3
2.3
37
100
CAGR (%)
Price PAT
20
16
33
23
20
17
23
85
42
26
21
25
12
8
L to P
60
100
11
8
34
L to P
9
25
23
P/E (x)
2024 2019
29
30
58
17
10
24
40
103
11
27
24
26
22
24
-
60
136
21
22
20
-
15
27
23
RoE (%)
2024 2019
9
52
15
17
17
34
15
9
38
23
17
17
10
35
-1
4
1
24
14
5
-2
24
10
11
Adani Green has emerged the Fastest Wealth Creator
Adani Green
has emerged the Fastest Wealth Creator with 2019-24 Price CAGR of 118%.
Two more Adani group companies have made it to the list of top 10 Fastest Wealth Creators
-
Adani Enterprises
and
Adani Power.
INR 1 million invested in 2019 in these top 10 companies would be worth INR 17.5 million in
2024, a return CAGR of 77% vi/s 14% for Nifty 50.
Exhibit 2
Top 10 Fastest Wealth Creators (2019-24)
Rank Company
1
2
3
4
5
6
7
8
9
10
Adani Green
Adani Enterprises
Jindal Stainless
Dixon Technologies
Linde India
Persistent Systems
CG Power
Adani Power
Trent
Varun Beverages
Price Appn. Price
(x)
CAGR %
49
22
17
16
13
13
13
11
11
11
118
85
77
74
68
67
66
62
62
61
PAT
CAGR %
L to P
34
79
42
76
27
L to P
L to P
56
47
Mkt Cap (INR bn)
2024
2019
2,905
3,641
572
448
547
615
825
2,058
1,404
1,817
58
162
19
27
42
51
27
186
120
158
P/E (x)
2024 2019
226
103
22
121
127
57
59
10
154
86
-
20
14
42
163
16
-
-
121
52
December 2024
2
 Motilal Oswal Financial Services
29th Annual Wealth Creation Study (2019-2024)
Linde India is the Most Consistent Wealth Creator
We define Consistent Wealth Creators based on the number of years the stock has out-
performed in each of the last 5 years. Where the number of years is the same, the stock price
CAGR decides the rank.
Based on this, over 2019-24,
Linde India
has emerged as the Most Consistent Wealth Creator.
It has outperformed the Nifty Total Return Index in all the last 5 years, and has the highest
price CAGR of 68%.
Consistent Wealth Creation is a challenge – only 6 out of 100 have outperformed in each of
the 5 years.
Exhibit 3
Top 10 Most Consistent Wealth Creators (2019-24)
No. of years of 2019-24 Total
2019-24
RoE (%)
Rank Company
outperformance Ret. CAGR (%)
PAT CAGR (%) 2024 2019
1
Linde India
5
68
76
12
2
2
Varun Beverages
5
61
47
31
15
3
Hind. Aeronautics
5
58
27
26
19
4
Bharat Electronics
5
46
16
24
20
5
Thermax
5
34
10
13
12
6
NMDC
5
26
5
23
18
7
Adani Green
4
118
L to P
13
-24
8
Adani Enterprises
4
85
34
9
5
9
Jindal Stainless
4
77
79
18
6
10
Persistent Systems
4
67
27
22
14
P/E (x)
2024
2019
127
163
86
52
29
10
37
12
85
31
10
7
226
-
103
20
22
14
57
16
Adani Enterprises is the Best All-round Wealth Creator for the third time in a row
We define All-round Wealth Creators based on the summation of ranks, under each of the 3
categories – Biggest, Fastest and Consistent. Where the scores are tied, the stock price CAGR
decides the All-round rank.
Based on the above criteria,
Adani Enterprises
has emerged as the Best All-round Wealth
Creator.
Two other Adani group companies –
Adani Green
and
Adani Power
– also feature in the top
10 All-round Wealth Creators.
Exhibit 4
Top 10 All-round Wealth Creators (2019-24)
All-round
Rank
Rank
Company
Biggest
Fastest
1
Adani Enterprises
8
2
2
Adani Green
12
1
3
Hind. Aeronautics
17
12
4
Varun Beverages
25
10
5
Adani Power
21
8
6
Bharat Electronics
32
18
7
Trent
33
9
8
Tata Motors
9
19
9
CG Power
53
7
10
Siemens
28
27
Consistent
8
7
3
2
12
4
13
41
11
19
Total of
Ranks
18
20
32
37
41
54
55
69
71
74
2019-24
Price CAGR (%)
85
118
58
61
62
46
62
42
66
37
Detailed findings page 46 onwards.
December 2024
3
 Motilal Oswal Financial Services
29th Annual Wealth Creation Study (2019-2024)
Theme Study
December 2024
4
 Motilal Oswal Financial Services
29th Annual Wealth Creation Study (2019-2024)
Creating Wealth Through Bruised Blue Chips
Spotting and exploiting this high-return opportunity
Warren Buffett has popularly said, “Turnarounds seldom turn around!” Bruised Blue Chips
come across as an exception to this maxim. When bought at the right time and right price,
Bruised Blue Chips generate handsome returns.
1. Backdrop
Bruised Blue Chips – the best way to make turnarounds work
Conventional investing is all about buying into healthy companies. Investing in troubled
companies – or potential turnarounds – is a contrarian approach. The biggest risk in this approach
is mortality of the companies invested in i.e. permanent capital loss. As Warren Buffett says,
“Turnarounds seldom turn around”.
The best – if not the only – way to make turnarounds work is by investing in “Bruised
Blue Chips”
– large companies with a very strong track record, currently going through troubled times i.e.
bruised. As stated later, the returns in this approach are handsome, and probability of mortality
is near-zero.
The Study is structured as follows –
Defining Bruised Blue Chips and making a case for investing in them
What causes Blue Chips to get bruised
What causes Bruised Blue Chips to heal
The process of investing in Bruised Blue Chips
Current watchlist of Bruised Blue Chips
Conclusions and
Case Studies.
2. Defining Bruised Blue Chips
Blue Chips which have fallen more than 50% from their 5-year high
2.1 What are Blue Chips?
There is no textbook definition of Blue Chips. Wikipedia defines Blue Chips as stocks with a
reputation for quality, reliability, and the ability to operate profitably in both good and bad times.
The typical characteristics of Blue Chips are –
1. Track record:
Blue Chips have a fairly long track record of financial performance and stock
market listing.
2. Size:
Blue Chips are large companies in terms of market capitalization, sales, profits, etc.
3. Market leadership:
Most Blue Chips are market leaders in their respective businesses.
December 2024
5
 Motilal Oswal Financial Services
29th Annual Wealth Creation Study (2019-2024)
4. Profitability:
Blue Chips not only generate huge profits, they also tend to be profitable i.e.
high return on capital invested in the business.
Considering all of the above, for the purpose of this Study, we define Blue Chips are under –
1. Track record:
Listing history of minimum 10 years.
2. Size:
Top 50 companies by market cap.
3. Profitability:
If not among the top 50 companies by market cap, companies need to fulfill
two criteria to qualify as Blue Chips –
(a) They must be within the top 250 stocks by market cap and
(b) They must have 10-year average RoE (Return on Equity) of at least 20%.
By these criteria, the list of 68 Blue Chips for financial year 2023-24 is tabled in Exhibit 1 (pages 7
and 8). Glancing through the names makes it evident that most of them are leaders in their
respective marketplaces. What is also evident s that most of the Blue Chips are richly valued. The
average FY24 P/E of these 68 Blue Chips is as high as 40x, 60% higher than the Nifty 50 P/E of
around 25x.
This makes it amply clear that under normal or elevated market conditions, given their several
positive attributes, Blue Chips are unlikely to be available at reasonable price. Hence the need for
Blue Chips to be “bruised”, as a golden entry point.
2.2 What are Bruised Blue Chips?
We have borrowed the phrase “Bruised Blue Chips” from a booklet titled, “How
To Create Wealth
Investing In Turnaround Stocks”.
However, even the booklet does not specifically define the term
“bruised”.
For the purpose of this Study, we have defined a Bruised Blue Chip as one whose stock price, at
any time over the next 10 years, has fallen by 50% or more from its 5-year high. For instance, the
universe of Bruised Blue Chips during FY15-24 is the number of stocks whose price at any point
in time during these 10 years was lower by 50% or more from the FY10-14 (5-year) high. For the
sake of simplicity we have taken the low price during FY15-24 and checked whether the same is
lower by 50% or more than the FY10-14 high. If yes, it’s a Bruised Blue Chip else no.
2.3 Why Bruised Blue Chips?
There are 3 main reasons for strongly considering investing in Bruised Blue Chips –
1. Golden opportunity to build large positions in Blue Chips
2. Attractive returns and
3. Asymmetric payoff
4. Very low mortality.
2.3.1 Golden opportunity to build large positions in Blue Chips
By definition Bruised Blue Chips are down at least 50% from their 5-year high prices. This implies
a significant correction in their otherwise rich valuations. Assuming there is no structural decline
in the companies’ fundamentals, such bruising offers a golden opportunity to build large positions
in these aspirational Blue Chips.
December 2024
6
 Motilal Oswal Financial Services
29th Annual Wealth Creation Study (2019-2024)
Exhibit 1
Blue Chips as of March 2024
Company
Among top 50 by Mkt Cap
Adani Enterprises
Adani Ports
Adani Power
Asian Paints
Axis Bank
Bajaj Auto
Bajaj Finance
Bajaj Finserv
Bharat Electronics
Bharti Airtel
Coal India
DLF
Grasim Inds
HCL Technologies
HDFC Bank
Hind. Unilever
IOCL
ICICI Bank
Infosys
ITC
JSW Steel
iKotak Mahindra Bank
Larsen & Toubro
M&M
Maruti Suzuki
Nestle India
NTPC
ONGC
Pidilite Inds
Power Grid Corp
Reliance Inds
SBI
Sun Pharma
Tata Motors
Tata Steel
TCS
Titan Company
Trent
UltraTech Cement
Wipro
Mkt Cap Rank
(Mar-2024)
16
25
39
27
22
31
12
29
48
5
28
38
46
13
3
10
35
4
7
9
40
18
11
34
14
32
21
20
45
30
1
6
15
17
41
2
19
50
26
33
RoE
FY24
7%
16%
22%
26%
10%
22%
18%
13%
19%
8%
44%
3%
8%
23%
15%
28%
16%
12%
26%
24%
16%
13%
13%
12%
12%
64%
12%
12%
22%
16%
9%
9%
13%
9%
10%
39%
24%
8%
11%
17%
FY14-24
PAT CAGR
Price CAGR
5%
18%
L to P
16%
15%
9%
35%
18%
15%
17%
9%
18%
12%
9%
22%
11%
21%
15%
9%
9%
36%
22%
11%
10%
18%
11%
6%
7%
15%
13%
13%
17%
7%
8%
8%
9%
17%
L to P
13%
3%
30%
22%
27%
18%
14%
16%
45%
35%
33%
16%
4%
18%
17%
15%
14%
14%
14%
17%
14%
6%
23%
16%
16%
15%
20%
17%
13%
2%
26%
17%
22%
15%
11%
10%
15%
14%
31%
44%
16%
9%
P/E
FY24/CY23
103
33
10
50
12
33
31
32
37
58
7
83
26
27
17
52
6
17
24
26
24
19
40
21
29
81
16
7
86
16
29
10
39
11
26
30
97
154
40
23
December 2024
7
 Motilal Oswal Financial Services
29th Annual Wealth Creation Study (2019-2024)
Exhibit 1 (continued)
Blue Chips as of March 2024
Mkt Cap Rank
RoE
FY14-24
Company
(Mar-2024)
FY24
PAT CAGR
Price CAGR
Among top 250 by mkt cap with 10-year Avg RoE >= 20%
Abbott India
139
27%
23%
31%
Ajanta Pharma
237
23%
13%
24%
APL Apollo Tubes
176
21%
29%
54%
BPCL
57
23%
21%
15%
Berger Paints
120
21%
17%
24%
Britannia Inds
68
42%
19%
28%
Colgate-Palmolive
114
60%
11%
15%
Coromandel Inter.
216
22%
16%
17%
CRISIL
213
29%
10%
14%
Dabur India
86
23%
7%
11%
Deepak Nitrite
233
23%
34%
48%
Eicher Motors
73
20%
27%
23%
Glaxosmith. Pharma
209
28%
4%
3%
Hero Motocorp
84
23%
7%
8%
Hindustan Zinc
62
26%
2%
9%
K P R Mill
235
21%
19%
53%
Lloyds Metals
224
42%
L to P
65%
Marico
126
35%
12%
17%
Oracle Financial
111
27%
5%
11%
P & G Hygiene
145
53%
8%
15%
Page Industries
185
42%
14%
18%
Petronet LNG
182
22%
18%
14%
Solar Industries
107
24%
22%
48%
Supreme Inds
147
23%
14%
23%
Tata Comm
138
75%
30%
21%
Tata Elxsi
161
32%
27%
40%
Torrent Pharma
94
22%
9%
26%
TVS Motor
77
22%
25%
36%
P/E
FY24/CY23
48
35
57
5
57
55
55
19
49
50
40
27
50
25
16
36
25
44
34
79
67
11
87
52
53
61
56
63
Exhibit 2 demonstrates how bruising transforms the investment-attractiveness of Blue Chips. For
instance, Cummins India was trading at a P/E of 26x at its high price, which collapsed to 13x at its
low price. Likewise, its Price/Book contracted from 6.1x to 2.1x. For all the stocks tabled, median
P/E was 23x at the high price and 8x at the low. Median Price/Book was 5.5x at the high price and
0.8x at the low price.
Such attractive valuations limit the downside and offer significant upside opportunity.
December 2024
8
 Motilal Oswal Financial Services
29th Annual Wealth Creation Study (2019-2024)
Exhibit 2
Bruising makes valuations of Blue Chips exceptionally attractive
Blue Chip Stock
Cummins India
Bank of Baroda
M&M
Glenmark Pharma
Shriram Finance
Sun Pharma
NTPC
Jindal Steel
GAIL (India)
Engineers India
MEDIAN
High Price
Low Price
Price fall Return CAGR from
2010-14 (INR) 2015-24 (INR) High to Low low to Mar-2024
602
210
527
612
880
653
201
778
100
269
282
36
246
168
430
315
74
48
44
50
-53%
-83%
-53%
-73%
-51%
-52%
-63%
-94%
-56%
-81%
-60%
81%
67%
67%
54%
53%
50%
46%
42%
42%
42%
51%
P/E (x) at
High
Low
26
11
21
26
23
27
24
19
20
39
23
13
Loss
15
8
3
19
5
Loss
5
9
8
Price/Book (x) at
High
Low
6.1
2.1
3.8
5.9
5.2
8.0
3.4
7.6
3.7
14.5
5.5
2.1
0.2
0.8
1.0
0.6
1.8
0.7
0.3
0.7
1.4
0.8
2.3.2 Attractive returns
Exhibit 2 also captures the attractive return that Bruised Blue Chips generate. Further, Exhibit 3
suggests that such returns are high across time periods. Also, returns of Bruised Blue Chips are
significantly higher than that of non-Bruised Blue Chips.
Exhibit 3
Bruised Blue Chips offer attractive returns across time periods
10-year period ending
10 years ago
No. of Blue Chips
No. of Bruised Blue Chips
No. of Non-Bruised Blue Chips
2018
2019
2020
2021
2022
2023
2024
Avg
62
54
8
83
61
22
79
40
39
79
39
40
83
36
47
80
25
55
82
28
54
78
40
38
Avg fall from 5-year high to 10-year low
Bruised Blue Chips
-77%
Non-Bruised Blue Chips
-41%
Avg Return from 10-yr low
Bruised Blue Chips
Non-Bruised Blue Chips
-73%
-33%
-78%
-22%
-74%
-28%
-76%
-22%
-76%
-29%
-71%
-22%
-75%
-28%
30%
28%
73%
20%
24%
14%
131%
27%
38%
23%
36%
23%
52%
24%
55%
23%
2.3.3 Asymmetric payoff
Bruised Blue Chips offer an asymmetric payoff i.e. upside is multiple times the limited downside.
As Exhibit 3 suggests, Bruised Blue Chips are on average lower by 75% over their 5-year high.
Hypothetically, if the high is INR 100 and the low is INR 25, further downside from this level is
likely to be low. However, if the Blue Chip were to go back at least to its previous high, the upside
is INR 75 i.e. 300%. Likewise, if the fall is 50%, the upside is a minimum 100% if at least the
previous high is restored.
2.3.4 Near-zero mortality
There were 99 Bruised Blue Chips in our study of seven rolling 10-year periods ending 2018 to
2024. Of these, every single company continues to exist today. Thus, by investing in Bruised Blue
Chips, mortality is near-zero and risk of permanent loss of capital is low.
December 2024
9
 Motilal Oswal Financial Services
29th Annual Wealth Creation Study (2019-2024)
3. What causes Blue Chips to get bruised
A combination of internal and external factors
By definition, Blue Chips are large companies with healthy profitability during both good and bad
times. What then causes them to be bruised? There are a variety of factors which can be
categorized as follows –
1. Stock market-related
2. Company related –
i. External to the company
ii. Internal to the company
3.1 Stock market-related bruising
Very rarely, there occur major collapses in the stock market as a whole, causing Blue Chips also
to get bruised i.e. their prices fall by 50% or more from their 5-year high. Such major stock market
collapses occur mainly due to sudden and usually unforeseeable events such as the dotcom bust
of 2000-01, the global financial crisis of 2008-09, India’s demonetization announcement in
November 2016, and the more recent Covid-led lockdown in 2020.
These market-related bruises are the best opportunity to load up on Blue Chips. More often than
not, the stock price fall is disproportionately higher than the impact on their fundamentals and
financials. Further, given inherent strengths, Blue Chips are likely to quickly regain their financials,
leading to a sharp recovery in stock prices.
Exhibit 4
Bruised Blue Chips’ return CAGR from Covid lows is much higher than in other periods
No. of 2015-24 Bruised Blue Chips
Fall from 2010-14 high
Return CAGR from low to Mar-2024
Total
28
-71%
52%
Low Price in
Year 2020
Others
18
10
-70%
-73%
58%
41%
3.2 Company-related bruising
Company-related causes of bruising can be further categorized into 2 –
1. External to the company and
2. Internal to the company.
3.2.1 External causes of bruising
The most common external causes of bruising include –
Economic recession / Sector slowdown
Adverse change in competitive landscape
Adverse change in government regulation
Value outflow and
Global events.
3.2.1.1 Economic Recession / Sector slowdown
Economic recession is marked by fall in consumption expenditure and/or fall in private and
government investment. This leads to a demand slowdown in several sectors, causing Blue Chips
in such sectors to get bruised.
December 2024
10
 Motilal Oswal Financial Services
29th Annual Wealth Creation Study (2019-2024)
Exhibit 5
Economic Recession / Sector slowdown causes Blue Chips to get bruised
Siemens PAT (INR bn)
8.5
Siemens Bruising
(Prices in INR)
743
7.4
6.3
5.1
6.0
4.3
-75%
1.8
186
2008 2009 2010 2011 2012 2013 2014
2004-08 high
2009-14 low
3.2.1.2 Adverse change in competitive landscape
A sector’s competitive landscape changes adversely when new players enter the arena, especially
those with deep pockets. This impacts financial performance of incumbents, driving down profits
and profitability, in turn, causing even Blue Chips to get bruised.
Exhibit 6
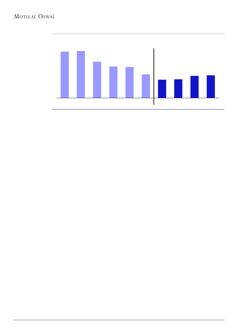
Reliance Jio’s entry into telecom caused Bharti Airtel to get bruised
Bharti Airtel PAT (INR bn)
28
46
61
38
Bharti Airtel Bruising
(Prices in INR)
509
11
4
-51%
250
-322
2014 2015 2016 2017 2018 2019 2020
2018 high
2019 low
3.2.1.3 Adverse change in government regulation
Change in government regulation can adversely affect financial performance and prospects of
some Blue Chips, causing them to get bruised.
Example:
Indian oil marketing companies are vulnerable to government whims on pricing of
petrol and diesel. At times, when crude prices rise, they are unable to pass on the same to
consumers, causing their profits to fall and the stock to get bruised.
December 2024
11
 Motilal Oswal Financial Services
29th Annual Wealth Creation Study (2019-2024)
Exhibit 7
IOC’s vulnerability to government pricing whims causes it to get bruised
IOCL PAT (INR bn)
111
78
60
44
38
107
IOCL Bruising
(Prices in INR)
167
-81%
31
2010
2011
2012
2013
2014
2015
2006-10 high
2011-15 low
3.2.1.4 Value outflow
In his book Value Migration, author Adrian J Slywotzky says, “Value migrates from outmoded
business designs to new ones that are better able to satisfy customers' most important
priorities.” Value here stands for profits and market cap.
Value Migration results in a gradual yet major shift in how the current and future Profit Pool in
an industry gets shared. It creates a sizable and sustained business opportunity for its
beneficiaries (where there is value inflow), and adversity for the affected (where there is value
outflow). Such value outflow causes Blue Chips to get bruised.
Example:
In India’s banking sector, much of the value has migrated from state-owned banks to
private banks, thanks to the latter’s superior value proposition. In other words, many state-
owned banks are facing value outflow and getting bruised.
Exhibit 8
Punjab National Bank is a victim of value outflow, causing it to get bruised
PNB PAT (INR bn)
50
50
PNB Bruising
(Prices in INR)
279
36
34
12
-79%
-37
-96
-121
2012 2013 2014 2015 2016 2017 2018 2019
59
2008-12 high
2013-19 low
3.2.1.5 Global events
Global events like wars, geopolitical instability, trade wars, pandemics, etc, can negatively impact
international businesses, particularly for Blue Chips that rely on global markets and supply chains.
Example:
During the Covid pandemic, tourism came to a standstill worldwide, causing large hotel
chains to get bruised.
December 2024
12
 Motilal Oswal Financial Services
29th Annual Wealth Creation Study (2019-2024)
Exhibit 9
Covid caused Indian Hotels (IHCL) to get bruised
IHCL PAT (INR bn)
2.9
1.0
3.5
IHCL Bruising
(Prices in INR)
156
-62%
-2.5
60
-7.2
2018
2019
2020
2021
2022
2014-18 high
2019-22 low
3.2.2 Internal causes of bruising
The most common internal causes of bruising include –
Capital misallocation, mainly in the form of unsuccessful mega mergers & acquisitions
Weak or outdated management strategy
Poor corporate governance
Debt pile-up and
Deterioration in financial performance.
3.2.2.1 Capital misallocation
While a company’s capital misallocation may take many forms, the most bruising one comes in
the form of unsuccessful mega mergers & acquisitions (M&As), especially if they are global. Due
to reasons such as culture clash, such M&As don’t get fully integrated, and end up as a major
drain of financial and managerial resources of the acquiring company.
Sooner rather than later, such capital misallocation starts affecting profits and profitability,
causing the Blue Chips to get bruised in the process.
Example:
Tata Steel made a USD 12 billion acquisition of Corus, UK in fiscal 2008. In the 10
subsequent years, it reported a financial loss in 5 years, causing it to be bruised.
Exhibit 10
Corus acquisition causes Tata Steel to get bruised
Tata Steel PAT (INR bn)
123.5
49.5
134.3
89.8
53.9
Tata Steel Bruising
(Prices in INR)
92
35.9
-80%
19
-20.1
-70.6
-3.8
-39.3 -42.4
2004-08 high
2009-18 low*
* Excluding 2009 low led by global financial crisis
December 2024
13
 Motilal Oswal Financial Services
29th Annual Wealth Creation Study (2019-2024)
3.2.2.2 Weak or outdated business strategy
At times – e.g. after a succession – the management tends to rest on its laurels, causing business
strategy to get weak or outdated. In such a situation, externally, competition tends to get
stronger, and internally, cost pressures tend to mount. Both factors combined adversely impact
profits and profitability, causing the Blue Chip to gradually get bruised.
Example:
Despite being a Blue Chip in 2-wheelers, between 2018 and 2022, Hero MotoCorp
seemed to have rested on its laurels. Profit drifted down from INR 37 bn to INR 23 bn, and the
stock got bruised.
Exhibit 11
Hero MotoCorp drifted from 2018 to 2022 and got bruised
Hero MotoCorp PAT (INR bn)
37.2
34.4
36.4
Hero MotoCorp Bruising
(Prices in INR)
4,200
29.2
23.2
-63%
1,545
2014-18 high
2019-22 low*
* Excluding 2020 low led by Covid
3.2.2.3 Poor corporate governance
Needless to say, this is a recipe for disaster. The “Blue Chip” in question will most likely lose its
Blue Chip status, ending up as insolvent and a takeover candidate. Again, needless to say, the
stock will not only get bruised but battered.
Example:
A Blue Chip till 2012, CG Power (part of erstwhile Crompton Greaves of the Gautam
Thapar group) got embroiled in a financial scam. It became a penny stock before finally being
taken over by the Murugappa Group (also see full Case Study, page 28).
Exhibit 12
A Blue Chip till 2012, CG Power becomes a penny stock on poor corporate governance
CG Power PAT (INR bn)
-0.6
CG Power Bruising
(Prices in INR)
119
-96%
-4.3
-6.2
2018
-3.7
-4.2
5
2016
2017
2019
2020
2011-15 high
2016-20 low
3.2.2.4 Debt pile-up
Debt pile-up is a common factor across many Bruised Blue Chips. The mega acquisitions and
aggressive capacity build-ups are all mostly backed by debt. When the acquisitions and capacities
December 2024
14
 Motilal Oswal Financial Services
29th Annual Wealth Creation Study (2019-2024)
fail to meet expectations, the debt pile-up leads to rising interest cost, dragging down profits, and
bruising the stock.
Exhibit 13
Debt pile-up is a common factor across many Bruised Blue Chips
INR bn
Jindal Steel
Suzlon
CG Power
Year end
Mar-16
Mar-15
Mar-19
Debt
Peak 5 yrs ago
464
135
178
127
33
22
Interest cost
Stock price as on
Peak 5 yrs ago Peak debt 5 yrs ago
33
4
60
697
21
14
25
67
4
1
43
55
Fall in
stock price
-91%
-63%
-22%
3.2.2.5 Deterioration in financial performance
One or more of the above factors will end up in deterioration of the Blue Chip’s financial
performance, culminating in the stock getting bruised.
4. What causes Bruised Blue Chips to heal
Rectification of the things that went wrong
In principle, Bruised Blue Chips heal when the things that went wrong in the first place get
rectified. Like the Bruising, the common triggers for healing can also be categorized as follows –
1. Stock market-related
2. Company related –
i. External to the company
ii. Internal to the company.
4.1 Stock market-related healing trigger
When the stock market recovers from its sharp falls, so do prices of Blue Chips, delivering healthy
returns in the process, as shown earlier in Exhibit 4 (page 10).
4.2 Company-related healing triggers
Company-related healing triggers can be further categorized into 2 –
1. External to the company and
2. Internal to the company.
4.2.1 External healing triggers
The most common external healing triggers include –
Economic recovery / Sector tailwind
Improvement in competitive landscape
Favorable change in government regulation.
4.2.1.1 Economic recovery / Sector tailwind
This is the opposite of 3.2.1.1. A recovering economy or favorable economic conditions such as
lower interest rates, higher consumer spending and rising investment, can benefit companies
across the board. Even Bruised Blue Chips can see a rebound when the broader market improves.
Further, some sectors go through cyclical downturns (e.g. commodities, capital goods). If a Blue
Chip is in a cyclical sector, an upturn in that specific sector can heal the Bruised Blue Chip.
December 2024
15
 Motilal Oswal Financial Services
29th Annual Wealth Creation Study (2019-2024)
Exhibit 14
Suzlon is a huge beneficiary of a tailwind in the wind energy sector
Suzlon Adj PAT (INR bn)
7.2
1.3
-0.9
-8.7
-15.7
-25.7
Suzlon Stock Price (INR)
50
40
-6.9
30
20
10
0
4.2.1.2 Improvement in competitive landscape
This is the opposite of 3.2.1.2. As stated there, a new, powerful entrant into the marketplace can
adversely affect the competitive landscape causing incumbent Blue Chips to lose market share,
hurting revenue and profits. However, in time, the new entrant settles down as an incumbent
itself, and the competitive landscape gets stabilized.
At other times, a strong incumbent may also get weakened, improving the competitive landscape
for the remaining players.
Exhibit 15
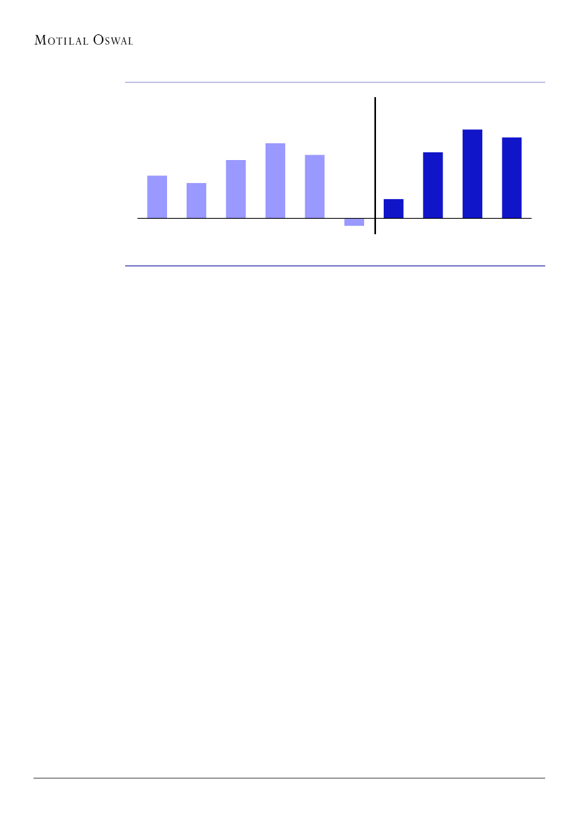
Bharti’s competitive landscape improved with Jio turning incumbent and Vodafone going weak
Bharti PAT (INR bn)
43
83
Bharti Stock Price (INR)
75
-151
-322
1,400
1,200
1,000
800
600
400
200
0
4.2.1.3 Favorable change in government regulation
This is the exact opposite of 3.2.1.3. Favorable change in government regulation can boost the
prospects of sectors and Blue Chips therein.
Example:
In India, the RERA (Real Estate Regulatory Authority) was formed in 2017. This has
significantly enhanced credibility of the real estate sector, benefiting the larger players vis-à-vis
smaller ones. DLF is one such beneficiary.
December 2024
16
 Motilal Oswal Financial Services
29th Annual Wealth Creation Study (2019-2024)
Exhibit 16
DLF is a beneficiary of a favorable government regulation
DLF PAT (INR bn)
20
11
27
DLF Stock Price (INR)
1,000
800
600
400
15
-6
200
0
4.2.2 Internal healing triggers
The most common internal healing triggers include –
Corporate restructuring
Change in management team and strategy
New product launches
Cost control & Operational efficiency
Debt reduction/restructuring and/or equity infusion
Recovery in financial performance.
4.2.2.1 Corporate restructuring
This is rectification of 3.2.2.1 Capital misallocation. At times, Blue Chips get into a structural and
financial mess with mega acquisitions and unrelated diversifications. The need of the hour is a
major corporate restructuring. However, typically, the incumbent management team which
made all those strategic decisions is unlikely to be able to undo them.
So, most corporate restructuring cases are accompanied by a fresh management team which
dispassionately assesses the situation and takes corrective action, causing the Bruised Blue Chip
to heal.
Example:
Mahindra & Mahindra has undertaken a sweeping corporate restructuring – from
divesting overseas subsidiaries to exiting many unrelated and unprofitable businesses (also see
detailed Case Study on page 24).
Exhibit 17
M&M’s restructuring has had the healing effect
M&M PAT (INR bn)
103
75
53
66
113
M&M Stock Price (INR)
2,000
1,500
1,000
18
1
500
0
December 2024
17
 Motilal Oswal Financial Services
29th Annual Wealth Creation Study (2019-2024)
4.2.2.2 Change in management team and strategy
This is rectification of 3.2.2.2 Weak or outdated business strategy. Like in the previous point, this
merits a change in management team to take a fresh view of the situation and heal the Bruised
Blue Chip.
Example:
A new management team at ICICI Bank has reinvigorated its business strategy, healing
the bruise.
Exhibit 18
ICICI Bank’s new management team has healed the bruise
ICICI Bank PAT (INR bn)
340
251
184
122 102 102
77
96
443
ICICI Bank Stock Price (INR)
1200
1000
800
600
400
200
0
43
4.2.2.3 New product launches
Successful new product launches can change the financial trajectory of a Bruised Blue Chip,
causing it to heal.
Example:
Indian Hotels has transitioned from a “branded house” to a “house of brands”. New
brands include Qmin and Amã Stays & Trails while existing brands like Ginger, TajSATS and The
Chambers have been revitalized and repositioned to meet market demands. This helped it to
quickly recover from the Covid setback.
Exhibit 19
Indian Hotels’ product initiatives helped it heal faster from the Covid bruise
IHCL PAT (INR bn)
10
13
IHCL Stock Price (INR)
700
600
500
400
300
200
100
0
4
-2
-7
4.2.2.4 Cost control & Operational efficiency
This is usually a low-hanging fruit. Financially troubled Blue Chips many times resort to specific
cost control and operational efficiency frameworks like Kaizen and Six Sigma. If successfully
executed, this restores the profitability of the Bruised Blue Chip, causing it to heal.
December 2024
18
 Motilal Oswal Financial Services
29th Annual Wealth Creation Study (2019-2024)
Example:
Cummins India runs multiple cost control programs which leverage the Six Sigma
approach – Accelerated Cost Efficiency (ACE), Accelerated Move towards Zero Defects (AMaZE),
and Accelerated Supply Chain Excellence and Transformation (ASCENT). This boosted its EBITDA
margins and PAT, helping it heal from the Covid-led bruise.
Exhibit 20
Cummins India’s cost control programs have helped it heal faster from the Covid bruise
PAT (INR bn)
EBITDA Margin
600
Stock Price (INR)
500
400
19.6%
13.3%
11.0%
17.2
7.1
Mar-20
6.4
Mar-21
9.3
14.4%
15.9%
300
200
100
0
Mar-22
Mar-23
Mar-24
12.3
4.2.2.5 Debt reduction/restructuring and/or equity infusion
This is rectification of 3.2.2.4 Debt pile-up. A key healing factor is repayment or restructuring of
debt. Also, in many cases, Bruised Blue Chips need conversion of debt into equity or fresh equity
infusion itself. This eases interest burden, reviving profits and boosting the stock price.
Exhibit 21
Debt reduction is a key healing factor
INR bn
Jindal Steel
Suzlon
CG Power
Debt
Peak
Latest
464
173
178
3
33
0
Interest cost
Peak
Latest
33
13
21
2
4
0
Stock price as on
Peak debt Current
60
897
25
64
43
754
Rise in
stock price
1395%
154%
1665%
4.2.2.6 Recovery in financial performance
This is rectification of 3.2.2.4 Deterioration in financial performance. One or more of the above
factors will revive the financial performance of the Bruised Blue Chip. Soon, the stock market will
take notice of the same, causing it to heal.
Having understood each of the above Bruising and Healing factors with isolated examples, we
have provided a few comprehensive case studies of Bruised Blue Chips and their subsequent
healing (see Annexure, page 24 onwards).
5. Process of investing in Bruised Blue Chips
Create a watchlist, await healing triggers, buy at attractive valuations
The key to profit from Bruised Blue Chips is to buy them close to the lows, post the bruise. This
necessitates the following steps –
1. Create a watchlist of Bruised Blue Chips
2. Clearly understand the reasons for the bruising
3. Await healing triggers
December 2024
19
 Motilal Oswal Financial Services
29th Annual Wealth Creation Study (2019-2024)
4. Buy only if the company’s future prospects are bright, and valuation is attractive, typically
Price/Book around 2x.
5.1 Create a watchlist of Bruised Blue Chips
At any given point in time, there will be Blue Chips which are bruised i.e. significantly down from
their recent highs. We need to create a watchlist of such Bruised Blue Chips for investigation and
further action at the appropriate time.
5.2 Clearly understand the reasons for the bruising
As discussed earlier, there are a wide variety of reasons for Blue Chips to get bruised. We need
to clearly understand the reasons for the bruising. This is because, as also discussed earlier,
Bruised Blue Chips heal only when what went wrong gets rectified.
5.3 Await healing triggers
Having understood the reasons for the bruising, we next need to await healing triggers. The most
important ones to look for are sector tailwind (external) and change of management (internal).
5.4 Buy only if the company’s prospects are bright and valuation is attractive
Bruising alone cannot be the sole reason for buying into a Blue Chip. Its prospects of profit and
profitability need to be bright. Else, the Bruised Blue Chip will end up as a value trap.
When it comes to valuation, over the last seven 10-year periods, at the low price, the average
Price/Book of Bruised Blue Chips is 1.5x (Exhibit 22). Hence, on average, Bruised Blue Chips should
be bought only if valuation is attractive i.e. Price/Book around 2x at best.
Exhibit 22
Bruised Blue Chips trade at attractive valuations on their low dates
Average Price/Book of Bruised Blue Chips at their Low dates
2.0
1.8
1.5
1.2
1.3
1.0
1.4
2018
2019
2020
2021
10-year ending
2022
2023
2024
December 2024
20
 Motilal Oswal Financial Services
29th Annual Wealth Creation Study (2019-2024)
5.5 A short note on Technical Analysis
The key to deriving maximum returns from Bruised Blue Chips is to buy them close to the
turnaround. Though not our forte, a basic understanding of Technical Analysis may help to better
time the buying of Bruised Blue Chips. Some popular buy patterns are –
Double-bottom
Reverse head and shoulders
Rounding bottom and
Flat base.
Strong fundamentals coupled with a favorable price chart should help investors to buy close to
the point of maximum pessimism, and maximize returns from that level.
Exhibit 23
Double Bottom pattern
Exhibit 24
Reverse Head & Shoulders pattern
December 2024
21
 Motilal Oswal Financial Services
29th Annual Wealth Creation Study (2019-2024)
Exhibit 25
Rounding bottom pattern
Exhibit 26
Flat Base pattern
December 2024
22
 Motilal Oswal Financial Services
29th Annual Wealth Creation Study (2019-2024)
6. Current Bruised Blue Chips watchlist
Elevated market gives limited options
Bruised Blue Chips are more visible during market downturns. Current Indian markets are in an
extremely elevated state, giving limited options of Bruised Blue Chips. We present below a basic
watchlist of 2024 Blue Chips which are lower by 30% or more from their 5-year highs.
Exhibit 27
Bruised Blue Chips watchlist
Company
Adani Total Gas
Adani Green
Adani Enterprises
Gujarat Gas
SBI Cards
Tata Elxsi
Avenue Supermarts
IRCTC
Berger Paints
Asian Paints
IOCL
2020-24
High Price
3,998
3,048
4,190
787
1,165
10,760
5,900
1,279
727
3,590
197
Current Price
(28-Nov-24)
803
1,088
2,437
472
714
6,755
3,712
814
489
2,459
138
Drawdown
-80%
-64%
-42%
-40%
-39%
-37%
-37%
-36%
-33%
-32%
-30%
7. Conclusions
Bruised Blue Chips bought at close to lows offer handsome returns
Blue Chips are aspirational investments, but mostly richly valued
Bruised Blue Chips bought at close to lows offer handsome returns
Probability of permanent loss of capital is low for Bruised Blue Chips
The main elements of the process to invest in Bruised Blue Chips are:
(1) Create a watchlist
(2) Await buying triggers, mainly sector tailwind and change of management and
(3) Buy at attractive valuations, typically Price/Book less than 2x.
December 2024
23
 Motilal Oswal Financial Services
29th Annual Wealth Creation Study (2019-2024)
Annexure: Case Studies of some Bruised Blue Chips
M&M, CG Power, Suzlon, Jindal Steel, Bharti Airtel
Mahindra & Mahindra
Brief about the company
Mahindra & Mahindra (M&M), a flagship company of the Mahindra Group, is a leading Indian
multinational conglomerate, holding a dominant position in India's UV (Utility Vehicles) and
tractor markets.
The company's automotive division manufactures SUVs (Sports Utility Vehicles), commercial
vehicles, and electric vehicles (EVs), with popular models like the Scorpio, Bolero, XUV series,
and Thar contributing significantly to its success. M&M has also made strides in
electrification, introducing EV models under the Mahindra Electric brand.
In the farm equipment sector, M&M is a market leader in India and a significant global player,
producing a wide range of tractors and agricultural machinery under the Mahindra Tractors
brand.
M&M’s diverse portfolio also spans two-wheelers, IT, finance, real estate, and hospitality.
What went wrong (over 3-5 years ending FY20)
EXTERNAL TO THE COMPANY
Macroeconomic and regulatory challenges
The rural economy faced multiple setbacks, including weak monsoons in certain years, low
crop prices, and uneven implementation of government schemes, which directly impacted
tractor and entry-level vehicle sales.
Liquidity constraints in non-banking financial companies (NBFCs), which were major
financiers for rural customers, further dampened demand. This compounded the challenges
for M&M's automotive and tractor segments.
The transition to BS6 emission norms in FY20 required significant R&D investments and led
to higher vehicle prices, affecting affordability and demand across segments.
Slowdown in core businesses
Automotive Segment:
M&M's dominance in the UV (utility vehicle) segment weakened due
to intense competition from new and existing players. Launches from competitors Maruti
Suzuki (Vitara Brezza), Hyundai (Creta), and Kia (Seltos) were well-received, and
outperformed M&M's offerings in design, features, and value proposition. This led to erosion
in market share from 37% in FY15 to 19% in FY20.
Tractor Segment:
While M&M remained a market leader in tractors, demand fluctuations
due to weak monsoons in some years, slower rural income growth, and economic challenges
in the agricultural sector impacted overall tractor sales. The company also faced pricing
pressures and increased competition from regional players. The tractor industry retails
witnessed a flattish FY15-20; however M&M still managed to outperform the industry.
December 2024
24
 Motilal Oswal Financial Services
29th Annual Wealth Creation Study (2019-2024)
Competition from existing and new players weakened M&M’s dominance in the UV market
M&M UV market share (%)
37.3
37.8
29.1
25.4
25.0
Post-restructuring
19.0
14.7
15.0
17.8
18.2
FY15
FY16
FY17
FY18
FY19
FY20
FY21
FY22
FY23
FY24
INTERNAL TO THE COMPANY
Weak product portfolio and execution
M&M's SUV portfolio struggled to keep pace with evolving market expectations. Despite
being a strong player in the larger SUV segment, M&M was slow to effectively assess and
respond to the rapid growth of the compact SUV market. M&M’s attempts to compete in this
space with models like the TUV300 and KUV100 were not as successful, primarily due to their
design shortcomings and limited feature sets.
M&M's attempts to diversify into electric vehicles (EVs) through models like the e2o also
underperformed due to low adoption rates, high costs, and inadequate infrastructure
support.
Suboptimal Capital Allocation
M&M's global investments, including the acquisition of SsangYong, the launch of GenZe (an
electric scooter venture), and investments in other foreign subsidiaries failed to generate the
expected returns.
SsangYong, in particular, proved to be a financial burden with recurring losses, liquidity
issues, and poor market performance in South Korea and other regions. This strained M&M’s
consolidated financials and diverted management focus from core domestic operations.
The company also invested in businesses like aerospace (Mahindra Aerospace) and two-
wheelers (Mahindra Two Wheelers), which failed to scale up and were eventually scaled
down or exited.
This began to get reflected in its return ratios – for instance, Consolidated RoE actually went
negative in FY20.
High Operating Costs
Rising raw material prices put pressure on margins, especially as M&M struggled to pass on
cost increases due to competitive pressures in the market. EBITDA margin between FY10-14
averaged at 14.4%, which declined to 13.7% over FY15-20.
Increased R&D spending to develop BS6-compliant engines, electrification technologies, and
other regulatory requirements also strained the company's profitability. Despite these
investments, the return on capital employed (ROCE) remained low due to underwhelming
product success.
December 2024
25
 Motilal Oswal Financial Services
29th Annual Wealth Creation Study (2019-2024)
M&M’s suboptimal capital allocation and subsequent rectification
M&M Consol RoE
18.6%
14.4%
10.6%
8.7%
15.7%
Post-restructuring
22.0%
16.4%
20.0%
4.7%
-1.9%
FY15
FY16
FY17
FY18
FY19
FY20
FY21
FY22
FY23
FY24
These factors, individually and collectively, weakened M&M’s growth trajectory and
profitability. Poor execution, market share loss in core segments, inefficient capital
deployment, and external challenges forced the company to re-evaluate its strategies,
streamline operations, and focus on core businesses in the years following FY20.
Dependence on Diesel
M&M had historically built its dominance in SUVs and tractors on diesel powertrains.
However, regulatory changes such as BS6 emission norms, restrictions on diesel vehicle sales
in certain regions (e.g., Delhi-NCR), and rising customer preference for petrol engines eroded
its competitiveness.
The company was slow to transition to alternate powertrains like petrol, leaving a gap in its
offerings, especially in urban markets where diesel demand declined more sharply.
What went right (FY20-24)
INTERNAL TO THE COMPANY
Strategic shift in leadership approach
M&M underwent significant management changes in recent years, marking a strategic shift
in its leadership approach and business focus. In FY20, Anand Mahindra transitioned to the
role of Non-Executive Chairman. Dr Pawan Goenka retired as Managing Director and CEO in
FY21, handing over the reins to Dr Anish Shah as the new Managing Director and CEO. These
changes brought a renewed emphasis on profitability, capital efficiency, and strategic clarity.
The new leadership prioritized optimizing the business portfolio by exiting or restructuring
underperforming international ventures like SsangYong and other loss-making subsidiaries.
This capital allocation strategy helped M&M focus on its core strengths, such as SUVs,
tractors, and EVs, driving improved financial performance.
The management also accelerated product innovation and electrification efforts, aligning the
company with market trends and regulatory shifts. The fresh leadership perspective
reinvigorated M&M’s focus on customer-centricity, operational efficiency, and shareholder
value, leading to a more streamlined and profitable organization.
December 2024
26
 Motilal Oswal Financial Services
29th Annual Wealth Creation Study (2019-2024)
Initiated strategic turnaround to improve profitability
The company began by evaluating all its subsidiaries, particularly loss-making ones, and
categorized them into three buckets: (1) Those capable of achieving 18% RoE within 3-5
years. (2) Those with significant strategic contributions to the group, and (3) Those with no
clear path to profitability.
For the third category, M&M planned to divest such businesses either fully or partially,
though identifying suitable partners for such divestments could take time. The initial focus
was on international subsidiaries, as rationalizing these could deliver significant impact.
The 18% RoE target was communicated to all the group companies, with clarity that the new
management would be focused on value creation. Also, evaluation parameters for the senior
management were then seen inclusion of RoE/RoCE targets (constitutes 15-20% weight),
over and above topline & bottomline targets.
Revitalized portfolio
Between FY21-FY24, M&M’s new model launches played a pivotal role in driving market
share gains, particularly in the SUV segment. The introduction of the Thar (2020) marked a
major success, combining off-road capability with modern features, making it a hit among
younger buyers and adventure enthusiasts. The XUV700, launched in 2021, further boosted
M&M’s presence in the mid-size SUV segment, offering advanced features like ADAS,
premium styling, and competitive pricing, setting new benchmarks in the category.
Additionally, refreshed versions of the Scorpio, including the Scorpio-N, continued to attract
a loyal customer base while expanding its reach to urban markets. In the compact SUV space,
the XUV300 strengthened its position with safety-first features and an electric variant to cater
to evolving customer needs.
These launches, backed by strong customer demand, not only enhanced M&M’s product
portfolio but also enabled it to capture significant market share, positioning the company as
a leader in the growing SUV market. As a result, its market share in SUV increased from ~15%
in FY21 to 18% in FY24.
Appointment of new R&D and design heads
During FY21-FY24, M&M made strategic leadership appointments in its R&D and design
teams, significantly bolstering its innovation and product development capabilities.
R Velusamy, a seasoned automotive expert, was appointed as the head of R&D, bringing a
strong focus on developing cutting-edge technologies, including electrification and advanced
powertrains.
His leadership played a critical role in creating BS6-compliant engines, ADAS technologies,
and EV platforms, which became key differentiators for M&M's product line-up.
Similarly, M&M appointed Pratap Bose, a renowned automotive designer, as the Executive
Vice President and Chief Design Officer in 2021. Bose's expertise in creating modern and
aspirational vehicle designs revitalized M&M’s styling philosophy.
His influence was evident in the design success of models like the XUV700, Scorpio-N, and
Thar, which gained immense popularity for their bold, contemporary aesthetics along with
the new brand logo.
These appointments underscored M&M’s commitment to innovation, enhancing its
competitive edge in a dynamic market.
December 2024
27
 Motilal Oswal Financial Services
29th Annual Wealth Creation Study (2019-2024)
Impact
(A) On Financials
Revenue CAGR over FY20-24 was 22%.
EBITDA CAGR was 20% led by operational efficiencies, despite significant increase in
commodity prices.
PAT CAGR was 31% over the same period.
Lower business from loss-making subsidiaries coupled with a prudent capital allocation policy
expanded RoE/RoCE from 10%/9% in FY20 to 22%/20% by FY24.
(B) On stock price
M&M’s share price declined by over 50% between FY14 and FY20 led by the operational
inefficiencies in the business, weak capital allocation plans and some impact of COVID.
Since then, the stock is almost 12x its Covid low.
Turnaround in M&M’s financials heals the bruise
M&M PAT (INR bn)
103
75
53
66
113
M&M Bruising & Healing (INR)
2,900
1079%
527
18
1
-53%
246
2020 low
Curr. Price
(28-Nov-2024)
2014 high
CG Power & Industrial Solutions
Brief about the company
CG Power and Industrial Solutions is a prominent player in the electrical engineering sector.
Established in 1937, the company has grown to become a key provider of a wide range of
products and services in the power and industrial equipment domain.
CG Power was acquired by the Murugappa Group in 2020, after the previous promoters were
embroiled in controversies and allegation of misappropriation of company funds.
The company operates in two businesses – (1) Industrial Systems (67% of total revenue) and
(2) Power Systems (32% of total revenue).
The company has 17 manufacturing facilities across India in 9 different locations and one
facility in Sweden, which caters to key markets such as Nordic countries, Germany,
Netherlands, Middle East and Africa.
What went wrong (pre-FY20)
Erstwhile management siphoned off company funds
In 2019, the company announced on the stock exchanges that its then-promoter, Avantha
Holdings (led by Mr Gautam Thapar) connived with past and then-present key management
December 2024
28
 Motilal Oswal Financial Services
29th Annual Wealth Creation Study (2019-2024)
personnel, non-executive directors and certain employees of CG Power to engage in
fraudulent transactions resulting in the company being defrauded of a considerable sum of
money and understatement of liabilities. The risk and audit committee pegged the extent of
understatement at INR 10.5 bn at the company level and INR 16 bn at the group level, as of
FY18.
The company was illegally made party to unauthorized transactions, such as sale of leased
and owned property in Nashik and Kanjurmarg, raising of debt which was then siphoned off,
making advance payments to vendors which were related parties of international subsidiaries
and other such irregularities. As a result, the new management decided to disclose all
malpractices and restate the company’s financials to account for the fraudulent practices.
Global acquisitions became a drag
With a view to expand its geographical footprint, capitalize on global opportunities and
become a “full service provider”, the company made a flurry of acquisitions in Belgium,
Hungary, Ireland, US, UK, Brazil, Sweden, etc. Most of the acquisitions did well till FY11, owing
to global tailwinds in the power T&D space. However, things went downhill in the aftermath
of the global financial crisis, which caused a sharp demand slowdown particularly in
developed markets.
Additionally, the integration of the new entities did not pan out on expected lines. While the
company did take corrective measures, they did not have the desired effect and the entities
continued to incur losses. Ultimately, CG Power took a call to sell/wind up these businesses
and become a domestic-oriented company. Accordingly, its various entities in Canada, UK,
Brazil, Indonesia, Belgium, Hungary, Ireland, etc were disposed of. However, it still retained
its Swedish operations.
Mounting debt on the balance sheet
In order to fund the sustained losses in its international subsidiaries, the company took on
additional debt, which doubled from INR 16 bn in FY18 to INR 33 bn in FY19. This resulted in
widening losses at the consolidated level, as the interest cost jumped from INR 800m in FY16
to INR 3.8 bn in FY19. The company’s inability to dispose of the loss-making entities in time
further compounded matters.
CG Power’s debt peaked to INR 33 bn in FY19, currently brought down to zero
Total debt (INR bn)
21.9
18.5
10.4
4.7
12.9
12.1
33.0
23.8
16.2
FY11
FY12
FY13
FY14
FY15
FY16
FY17
FY18
FY19
December 2024
29
 Motilal Oswal Financial Services
29th Annual Wealth Creation Study (2019-2024)
Loss of market share
The company was a prominent player in the domestic market, as it was the market leader in
domestic EHV transformers and many product categories in the Industrial products division.
However, the erstwhile promoter’s fraudulent activities caused a cash crunch, which had the
cascading effect of a working capital squeeze and market share losses. Accordingly, it ceded
its market leadership as it could not keep up with competition and pay its channel partners
on time.
When went right (FY20 onwards)
Takeover by Tube Investments
As the details and scale of the fraud emerged, stakeholder confidence in the company took
a hit. The Murugappa Group decided to come to the rescue of CG Power, through Tube
Investments of India (TI) in August 2020, with a clear roadmap to clean up the books,
streamline operations, divest the lossmaking entities and strengthen the core business of the
company. Murugappa Group has a successful track record of acquiring sick entities and
turning them around.
Accordingly, TI infused INR 8 bn to acquire a majority stake in CG Power and replaced the
erstwhile promoters. It also facilitated a payout of INR 10 bn to its lenders in order to fully
settle its liabilities. As a result, the lenders took a haircut of INR 11 bn and the company was
classified as a standard asset from its status of a non-performing asset.
The process to rationalize costs and streamline operations was set in motion, along with the
divestment of most international subsidiaries. This resulted in a sharp reduction in the
employee headcount, which stood at 2,794 at the end of FY21 v/s 9,433 as of FY15.
Product and geography realignment
In FY16, CG Power decided to demerge its consumer products business, Crompton Greaves
Consumer Electricals Ltd (CGCEL) as management was of the opinion that its B2C nature did
not fit in the overall scheme of things, as the key competencies were B2B in the form of power
transformers and industrial systems. Management believed that separating the two
businesses would result in better value unlocking. As a result, the new entity was listed
separately and ceased to be a subsidiary of CG Power. However, post the expiry of the non-
compete clause with CGCEL, CG Power re-launched its FMEG product range in CY19.
Currently, while this business is housed under the Industrial Products segment, it is still a
minor part of the overall business which continues to be B2B-heavy.
Notwithstanding the controversial chain of events that unfolded, the company has constantly
developed new products in both the Power Systems and Industrial Systems portfolios in
keeping with its focus to strengthen its B2B presence. Accordingly, it has launched various
types of transformers and switchgears on the Power Systems side and Motors, Drives,
Automation, Railways products on the Industrial Systems side over the past 4-5 years.
As highlighted above, the international subsidiaries continued to post losses with no sign of
improvement on the horizon. The decision to exit the international subsidiaries was taken
during the previous management’s tenure, and the process culminated after the company
changed hands. CG Power is now a largely domestic-oriented company, while still retaining
a presence in Sweden where it has a facility to manufacture equipment for control and
protection of industrial processes. It serves as a hub for its key regions, viz. Nordic countries,
December 2024
30
 Motilal Oswal Financial Services
29th Annual Wealth Creation Study (2019-2024)
Germany, Netherlands, Middle East and Africa. This recalibration aided the company to focus
on its core competencies, free up management bandwidth, de-risk it from the vagaries of
global macroeconomic conditions and geopolitical events.
Market share gains
At its peak, CG Power used to compete with global majors such as Siemens and ABB and
emerged as the market leader in the motors market and domestic EHV transformer market.
With the aforementioned misappropriation of funds, the company lost its market share as
working capital build-up impacted the channel partners. However, with the new promoters
at the helm, the company managed to regain the lost market share which has led to
impressive performance on the revenue front.
Foray into semiconductors
In order to diversify its operations and move up the value chain, CG Power entered into a JV
with Renesas Electronics America Inc. and Stars Microelectronics (Thailand). In November
2023, CG Power filed an application with the Government of India to seek approval to set up
an Outsourced Semiconductor Assembly and Test (OSAT) facility in Sanand, Gujarat. The
proposed facility will cater to industries such as automotive, consumer, industrial, 5G, etc
with a capacity to ramp up product to 15 mn units/day. The company has estimated a
cumulative investment of INR 76 bn over 5 years, which will be funded by a combination of
government subsidy, JV partners’ equity and debt. CG Power will hold 92.34% of the equity
in the JV.
Impact
(A) On Financials
Revenue clocked in a 39% CAGR over FY21-24 post the TI takeover.
EBITDA CAGR was 113% over FY21-24 despite a decline in gross margins. The growth was
driven by cost rationalization and operational efficiencies, as the company managed to exit
unprofitable businesses and bring down the bloated employee headcount. Accordingly,
margin saw a jump from 3.9% in FY21 to 14% in FY24.
The company swung back into profit of INR 8.7 bn v/s a loss of INR 3.9 bn in FY21.
As highlighted above, the company attained debt free status in FY23 v/s FY19 debt levels of
INR 33 bn owing to a restructuring of the entire business.
All this culminated in RoCE turning positive 29.7% in FY24 v/s a negative 4.7% in FY20.
(B) On Stock Price
CG Power’s share price declined by over 96% between FY15 end to FY20 primarily on the back
of corporate governance issues and associated losses.
However, the stock price has witnessed steep upside from FY20 to-date as the new
management successfully turned around the company.
December 2024
31
 Motilal Oswal Financial Services
29th Annual Wealth Creation Study (2019-2024)
Turnaround in CG Power’s financials heals the bruise
CG
Power
PAT (INR bn)
6.3 8.0
8.7
CG Power Bruising & Healing
(INR)
754
14980%
-4.6 -4.9
-11.7
-5.0
-3.9
119
2011 high
-96%
5
-21.6
2020 low
Curr. Price
(28-Nov-2024)
Suzlon Energy
Brief about the company
The Suzlon Group, a global leader in renewable energy, has installed 21 GW of wind energy
capacity across 17 countries. It holds a 32% market share of all India installed wind energy
capacity in the country. Suzlon operates with a vertically integrated structure, boasting in-
house R&D centers and world-class manufacturing facilities in India.
As of FY24, Suzlon operates 14 manufacturing locations across India. As of Sep-2024, Suzlon
has successfully installed 15 GW of wind energy capacity, comprising more than 13,000 wind
turbines.
With over 27 years of experience and 2.5 million cumulative service hours, they ensure
optimal performance of their diverse portfolio, from 225 kW to 3,000 kW plants, supported
by over 3,500 dedicated service professionals.
Suzlon has collaborated with over 1,900 customers, including large corporates, and PSUs like
ONGC and GAIL. The company promotes wind energy adoption through partnerships with
industry bodies and municipal corporations, driving integration across sectors.
SE Forge, a subsidiary of Suzlon, is one of the largest manufacturers of engineering
components, supplying fully finished castings and forgings to some of the world's leading
OEMs across various industries, including Wind Turbines, Power Generation, Oil & Gas,
Transportation, Construction, Aerospace, and Heavy Machinery.
What went wrong
By the early 2000s, Suzlon had established itself as a dominant force in the global wind energy
market, celebrated for its advanced wind turbine generator technology. The company's
impressive growth trajectory culminated in a highly oversubscribed IPO in 2005. But the 2008
global financial crisis had a devastating impact on Suzlon. The subsequent credit crunch hindered
the company's ability to fund its growth initiatives and maintain its momentum.
Debt crisis
In an effort to expand its global footprint, Suzlon embarked on a series of acquisitions, including
Hanson Transmissions in 2006 for EUR 431 mn and RE Power Systems for EUR 1.4 bn. These deals,
while ambitious, significantly increased the company's debt burden. As a result, Suzlon's debt
December 2024
32
 Motilal Oswal Financial Services
29th Annual Wealth Creation Study (2019-2024)
soared from a mere INR 4 bn in FY05 to nearly INR 180 bn in FY15. This heavy debt load made it
increasingly difficult for the company to service its interest payments, despite generating
revenue.
Suzlon’s debt peaked to INR 178 bn in FY15, currently brought down to near-zero
Debt (INR bn)
149
127
99
122
140
152
171
178
52
4
FY05
5
FY06
FY07
FY08
FY09
FY10
FY11
FY12
FY13
FY14
FY15
Operational Challenges:
Suzlon faced a major quality control issue when Edison International reported blade failures
at multiple sites. This manufacturing defect tarnished the company's reputation and resulted
in a substantial financial burden. Suzlon was forced to implement a comprehensive retrofit
program, costing over USD 100 mn, to replace the defective blades and mitigate customer
dissatisfaction.
The sudden removal of accelerated depreciation and generation-based incentives in 2012
dealt a major blow to India's wind power industry. The absence of these crucial benefits
eroded the investment appeal of the sector, leading to a sharp decline in wind turbine orders.
As a consequence, annual capacity additions fell from 3,000 MW to a mere 1,500 MW. This
adverse impact was particularly severe for Suzlon, as the company' went from INR 4 bn profit
in FY05 to INR 92 bn loss in FY15.
Suzlon went from INR 4 bn profit in FY05 to INR 92 bn loss in FY15
Suzlon PAT (INR b)
4
8
9
10
2
-10
-5
-35
-13
-47
-92
FY05
FY06
FY07
FY08
FY09
FY10
FY11
FY12
FY13
FY14
FY15
December 2024
33
 Motilal Oswal Financial Services
29th Annual Wealth Creation Study (2019-2024)
Global economic slowdown
A liquidity crunch in the global financial system meant that orders for wind turbines from
international clients disappeared. The global economic slowdown, particularly in key markets like
Europe and the US, reduced demand for wind energy solutions. This decline in demand affected
Suzlon's revenue and profitability.
Corporate Governance concerns
Allegations of significant lapses in corporate governance and financial irregularities severely
eroded investor confidence and tarnished the company's reputation. This led to a dramatic
decline in the stock price, which plummeted from INR 387 in 2007 to a mere INR 9 in 2013.
What turned right
EXTERNAL TO THE COMPANY
Improving outlook for wind energy
India’s wind energy sector is riding a tailwind, driven by strong policy support, ambitious
targets, and increasing installation momentum. As of October 2024, India’s cumulative
installed wind capacity stands at 48 GW, representing 10.45% of the country’s total installed
capacity of 428 GW at the end of 2023. This places India as the fourth-largest global player in
wind energy, with all capacity derived from onshore projects. In comparison, global leaders
like China and the United States boast wind capacities of 440 GW and 150 GW, respectively,
demonstrating the scale of opportunity for India to expand its wind energy footprint.
In 2023, India added 2.8 GW of onshore wind capacity, a 56% increase over the 1.8 GW
installed in 2022. The country’s wind market is expected to grow further, with onshore
installations projected to reach 4.8 GW annually by 2025, supported by government
approvals of Viability Gap Funding (VGF) for offshore wind energy projects along Gujarat and
Tamil Nadu coasts, and the Inter-State Transmission System (ISTS) waiver extended until
December 2032.
India’s wind energy sector is riding a tailwind
Evolution of wind power capacity in India (GW)
36
38
39
40
43
46
48
32
21
23
34
27
FY14
FY15
FY16
FY17
FY18
FY19
FY20
FY21
FY22
FY23
FY24
Oct-24
December 2024
34
 Motilal Oswal Financial Services
29th Annual Wealth Creation Study (2019-2024)
Globally, the wind sector achieved a milestone of 1 TW installed capacity in 2023, with
ambitions to double this capacity within seven years. India’s renewable energy ambitions
align with this trajectory, targeting 500 GW of non-fossil fuel capacity by 2030, including 140
GW from wind energy. The government’s Make in India initiative under the
Aatmanirbhar
Bharat
program further supports domestic manufacturing capabilities, enabling local value
addition and reduced import dependency.
The approval of Standard Bidding Guidelines for tariff-based procurement of wind and hybrid
projects, coupled with India’s vast wind resource potential, provides a conducive
environment for investments. Strategic policy initiatives are instrumental in positioning India
to meet its wind energy targets of 100 GW by 2030 and contribute to the nation’s broader
goals of achieving net-zero emissions by 2070. These developments underscore a bright and
improving outlook for India’s wind energy sector.
INTERNAL TO THE COMPANY
While Suzlon has faced significant challenges, it's important to acknowledge the positive steps it
has taken to recover and strengthen its position.
Debt Restructuring
On 27th Jun 2020, Suzlon allotted 445,301 fully paid-up compulsorily convertible preference
shares, each with a face value of INR 1,00,000, totalling INR 44.5b, as part of the resolution plan's
implementation. Prior to this, on 5 Jun 2020, the borrowers entered into a Forbearance and
Restructuring Agreement to facilitate the resolution process. On 30 Jun 2020, Suzlon successfully
executed the resolution plan to restructure its debt, as formulated under the RBI guidelines.
Selling of the crown jewel
As part of the debt restructuring agreement, lenders required Suzlon to monetize its assets. This
led to the sale of Senvion to US private equity firm Centerbridge in April 2015, generating EUR 1
bn. These funds were utilized to substantially reduce Suzlon's debt, halving it to INR 70 bn. With
minimal debt repayment obligations in the near future, Suzlon's interest costs have decreased
significantly.
Impact
(A) On Financials
Suzlon became the only Indian company with 20 GW of global wind installations in the
beginning of fiscal year 2024. As of Oct-2024, the Suzlon Group has secured a strong order
book of 5 GW and is actively working to execute a robust pipeline of orders across multiple
customer segments, including the Commercial and Industrial (C&I) sector.
Suzlon's total income exhibited significant volatility over the analyzed period, peaking in FY17
at INR 127 bn, followed by a sharp decline in FY18 and FY19. From FY20 onwards, the revenue
stabilized within the range of INR 30 bn to INR 66 bn, reaching INR 65 bn in FY24, reflecting
consistent growth post-FY21.
EBITDA displayed a downward trajectory from FY16 to FY19, with a notable loss of INR 87.5
mn in FY19 and further deterioration to INR 8.5 bn in FY20. The turnaround commenced in
December 2024
35
 Motilal Oswal Financial Services
29th Annual Wealth Creation Study (2019-2024)
FY21 as EBITDA turned positive, climbing to INR 10 bn in FY24. This recovery underscores
operational efficiency improvements and better cost management.
Margins declined sharply from 30.8% in FY16 to a negative 28.9% in FY20, highlighting
profitability challenges. Post-FY20, margins improved steadily, achieving 15.8% in FY24.
(B) On Stock Price
Suzlon’s stock fell 96% in a span of just 5 years ending 2020.
Since then, the stock is up 42x on the back of a turnaround in its financials.
Turnaround in Suzlon’s financials heals the bruise
EBITDA (INR bn)
EBITDA Margin
Suzlon Bruising & Healing (INR)
64
16.0%
5.3
-8.6
13.5%
8.9
13.9%
15.8%
10.3
8.3
34
-96%
4138%
1.51
-28.9%
2015 high
FY20
FY21
FY22
FY23
FY24
2020 low
Curr. Price
(28-Nov-2024)
Jindal Steel & Power
Brief about the company
Jindal Steel and Power Limited (JSPL) is one of India’s leading steel company, known for its
integrated operations spanning across steel production and mining. The company was
established in 1952. In 2021, JSPL divested its power business to focus on its core steel
operations.
JSPL's business portfolio includes producing steel products such as rails, plates, and coils, as
well as manufacturing value-added products for construction and engineering applications.
Globally, JSPL has a significant presence, with manufacturing units in India and other
countries but its primary focus remains on supporting India's growth. This international
footprint with a focus on backward integration, enhances supply chain resilience for JSPL and
positions it as a competitive global steel player.
In recent years, JSPL has focused on reducing debt, optimizing resources, and expanding its
production capacity, contributing to its strong performance in domestic and international
markets.
What went wrong (FY13 to FY20)
EXTERNAL TO THE COMPANY
Regulatory Issues
The Government of India allocated coal blocks (1993 to 2010) to public/private sector through a
process which lacked transparency. It was alleged that coal blocks were allocated without a
December 2024
36
 Motilal Oswal Financial Services
29th Annual Wealth Creation Study (2019-2024)
competitive bidding process and the Supreme Court in 2014 ruled that the allocation was illegal
and all these allocations were cancelled (incl. those allocated to JSPL and its affiliates). JSPL lost
several critical coal blocks, from which captive coal was to be supplied for its steel and power
capacity (especially Angul unit).
INTERNAL TO THE COMPANY
Piled-up Debt Burden
JSPL had a capacity of 3mtpa in FY12 and installed an additional capacity of 6mtpa in end of FY15.
This aggressive capex of INR 280-300 bn, for setting up large-scale plants and acquiring assets
overseas, led to a significant debt burden. At the peak the net debt hit INR 464 bn during FY16.
Jindal Steel’s net debt peaked to INR 464 bn in FY16
Net Debt (INR bn)
444
354
244
135
85
169
464
FY10
FY11
FY12
FY13
FY14
FY15
FY16
Industry slowdown dragged margins
A slump in global commodity prices from 2014 to 2016, reduced profit margins and impacted
revenues for the steel industry. Additionally, the loss of captive coal blocks forced JSPL to shift to
imported/auctioned coal. This resulting into rise in cost of production and disruption in
operations, causing liquidity crunch. Investments in overseas assets (acquisition of coal mines in
Australia & Mozambique) did not yield expected returns due to operational inefficiencies and
weak market conditions.
Cash flow remained under pressure
With mounting debt and subdued earnings (EBITDA margin down to 19% in FY16 v/s 30% in FY14)
the company started facing liquidity challenges, making difficult to service its debt obligations.
Underperformance of Power business
Overcapacity and low tariffs in India’s power sector led to lower utilization of JSPL's power assets,
further straining the group's financials. The power division's inability to deliver consistent returns
made it a drag on the consolidated performance.
Rising overseas debt servicing costs
JSPL's overseas debt stood at USD 1.8bn at the peak of the financial distress during FY15-16. This
debt was spread across the subsidiaries in locations like Mauritius and Australia. The heavy
December 2024
37
 Motilal Oswal Financial Services
29th Annual Wealth Creation Study (2019-2024)
overseas borrowings added significant strain due to unfavorable currency movements and
operational inefficiencies in international projects.
What turned right (FY20 to date)
EXTERNAL TO THE COMPANY
Surge in steel prices
Pandemic led supply disruption resulted in unprecedented rally in steel prices for both global and
domestic market. In March 2021, the domestic flat/long steel prices were +40% and +30% higher
since April 2020, this was the highest level seen since 2008 financial crisis.
Robust domestic demand
Government push for Infrastructure was a significant driver for the robust domestic demand. The
budget allocations for roads, railways, and affordable housing saw massive hikes. The
government's focus on expanding infrastructure, including rural roads, highways, and public
transport, directly contributed to higher steel demand. Also, the government initiatives like Make
in India,
Atmanirbhar Bharat,
and significant investments in infrastructure projects fueled
demand from key sectors like construction, automotive, and capital goods. The government also
increased its support for renewable energy and mining, which further drove steel consumption.
Low global supply
Pandemic led operation restriction in China/other countries resulted in supply shortages globally.
On the contrary, in India the government allowed steel mills to run as essential services, resulted
India to be a net exporter of finished steel and carter the demand from both domestic and
international markets. This favorable environment aided JSPL in booking orders and start
exporting to China and Chinese customers.
Supporting policy from government
Government of India’s steps towards National Steel Policy, MMDR Bill, and privatization were in
the right direction and will augur well for the country’s steel sector. With this, JSPL was able to
secure Utkal B1/B2 Coal Blocks in Odisha and Taregaon Coal Block in Chhattisgarh.
INTERNAL TO THE COMPANY
Strategic asset monetization
In 2021, JSPL sold its remaining 51% stake in Jindal Shadeed I&S (JSIS) in Oman to Vulcan Steel
for USD1b, this was the critical step in reducing its high debt burden. JSPL also sold 96.42% stake
in its power subsidiary (Jindal Power) to Worldone Pvt Ltd (promoter group) at INR30.15b in FY21.
The divestment was aligned with its strategy of debt reduction and to focus on core steel
operations.
Debt restructuring & capital infusion
In 2015-16, JSPL entered into discussions with banks and financial institutions to restructure its
debt. This included renegotiating repayment terms to extend the loan tenure, easing the
immediate cash flow burden. The company aimed to shift from short-term loans to long-term
December 2024
38
 Motilal Oswal Financial Services
29th Annual Wealth Creation Study (2019-2024)
financing to provide more financial stability. Board had approved the plan to convert the debt
from power subsidiary to equity. During the restructuring phase, JSPL raised capital through
rights issues and other financing avenues, providing fresh funds to support operations and pay
down existing liabilities.
Aggressive debt repayment
JSPL reduced its net debt from INR465b at its peak to under INR67b in FY23 through sales of non-
core asset, improved operational cash flows, and cost optimization.
Jindal Steel cut debt aggressively including through sale of non-core assets
Net Debt (INR bn)
444
354
464
461
438
411
359
244
135
85
169
221
94
107
67
FY10 FY11 FY12 FY13 FY14 FY15 FY16 FY17 FY18 FY19 FY20 FY21 FY22 FY23 FY24
Focus on capacity optimization
JSPL primary focus was to ramp-up the newly added Angul capacity in Odisha. These
improvements aided JSPL with incremental volume and reduce fixed operational costs.
Jindal Steel’s production ramp-up helped reduce fixed operational costs
Steel Sales volume (mn tons)
7.3
5.4
2.9
2.9
3.4
3.4
3.8
7.6
7.7
7.7
6.0
FY14
FY15
FY16
FY17
FY18
FY19
FY20
FY21
FY22
FY23
FY24
Shift in product-mix and export strategy
JSPL shifted its focus from bulk product to high-margin steel products catering to sectors like
infrastructure, railways, and defence, ensuring better profitability. During the pandemic,
company strategically focus on higher export to China and Chinese customers (SEA, Europe &
MEA region) to fulfil the global supply deficits with Indian steel.
December 2024
39
 Motilal Oswal Financial Services
29th Annual Wealth Creation Study (2019-2024)
Impact
(A) On Financials
Period from FY14-16
From FY14-16, JSPL revenue remain muted led by regulatory issues related to coal block
cancellations and weak steel prices.
EBITDA margin slid to 19% in FY16 (30% in FY14) from 53% in FY10 was caused by regulatory
issue led high raw material costs and weak steel prices.
The significant debt burden led the finance cost to increase from INR3.6b in FY12 to INR15b
in FY14 and INR33b in FY16.
Given the weak operating performance and higher finance cost outgo, JSPL net profit
declined to INR19b (-45% YoY) in FY14 and to a net loss of INR19b in FY16.
RoCE during the period declined from 12% in FY13 to 1% in FY16.
Period from FY17-20
From FY17-20 company focused on improving utilization of the existing facilities and
streamline its product-mix. These measures coupled with better steel prices supported JSPL
to report higher double-digit revenue growth (FY17 +14%, FY18 +31% and FY19 +42%).
With a focus on higher value-added steel products and optimizing production costs with
better steel prices, the EBITDA margin improve to +21% and remained steady throughout the
period. EBITDA grew from INR46.6b in FY17 to INR84b in FY19.
With the improving operating profit, the company started to lower down its net losses from
INR22.8b in FY17 to IN3.6b in FY20. RoCE during the period improved from 1% in FY17 to 5%
in FY20.
Period from FY21 onwards
JSPL clocked INR 500+ bn from FY22 onwards in-line with its turnaround strategy. The growth
was primarily fueled by robust domestic demand with favorable pricing scenarios attributed
to infrastructure push by GOI.
EBITDA margin improved to 38% in FY21, but steadily moderated to 20% by FY24 led by input
cost inflation caused by global uncertainties. JSPL reported EBITDA of +INR150b during FY21-
22 aligned with its turnaround strategy and +INR100b during FY23-24.
JSPL started deleveraging from FY21 onwards with the sale of its non-core assets. JSPL posted
net profit of INR52b in FY21 to INR60b in FY24 with the strong operating profit and declining
interest cost outflow.
RoCE during the period rise from 17% in FY21 to 22% in FY22, while hovers between 12% in
FY23-24.
December 2024
40
 Motilal Oswal Financial Services
29th Annual Wealth Creation Study (2019-2024)
The financial story of Jindal Steel’s bruising and healing
PAT (INR bn)
36
38
40
43
68
40
59
29
19
-4
-15
-24
-25
-31
FY10 FY11 FY12 FY13 FY14 FY15 FY16 FY17 FY18 FY19 FY20 FY21 FY22 FY23 FY24
-16
(B) On stock price
During FY13-16, the stock prices corrected from the peak of INR 690/share in Sep-2010 to
INR 60/share in Mar-2016 due to coal block regulatory issue and debt burden.
The stock price continued to remain volatile from FY17-20 as the company struggled due to
overcapacity in the steel industry and high debt.
From FY21 onwards, the stock began to recover supported by robust infrastructure spending
and higher steel prices, and sale of non-core asset led deleveraging.
Currently, the stock is hovering around its all-time high of INR 1,097.
The stock price story of Jindal Steel’s bruising and healing
Jindal Steel Bruising & Healing (INR)
897
778
-94%
1769%
48
2010 high
2016 low
Curr. Price
(28-Nov-2024)
Bharti Airtel
Brief about the company
Bharti Airtel (Airtel) is a leading global communications solutions provider with operations in
17 countries across Asia and Africa. Headquartered in New Delhi, India, the company ranks
among the top 3 mobile service providers globally in terms of subscribers and its networks
cover over two billion people.
Airtel is India’s largest integrated communications solutions provider and second largest
mobile operator in Africa. The company's retail product offerings include 2G, 3G, 4G and 5G
December 2024
41
 Motilal Oswal Financial Services
29th Annual Wealth Creation Study (2019-2024)
wireless services, high speed home broadband, DTH, music and video streaming services,
mobile commerce, fixed line services. For Enterprise customers, Airtel offers solutions such
as secure connectivity, cloud, datacenter services, cyber security, IoT, Ad Tech and Cloud
based communications etc.
What went wrong (FY16-21)
RJio’s disruptive entry
The entry of Reliance Jio (RJio) disrupted the telecom space and changed the rules of the game.
Free services in promotional period:
RJio initially offered free services for almost one year.
This helped RJio gain 100m+ subscribers in the promotional period and led to subscriber
churn for the incumbent telcos.
Free voice calling:
Indian telecom sector moved away from voice (~70% of telcos’ revenue
before RJio launch) to effectively free voice calls.
Change in tariff construct:
In addition to free voice calls, RJio provided superior data offerings
at discounted prices (1-1.5GB/day at less than INR 10/GB vs 1GB/month at INR 250/GB
earlier). This forced the incumbent telcos to invest in boosting their own network capacity,
while significantly impacting revenue and margins.
4G only launch:
RJio launched its services on 4G, while other telcos had to incur high
spectrum and network costs to maintain 2G, 3G and 4G networks simultaneously. Given,
expensive spectrum acquisitions over 2012-16, telcos’ balance sheet had become levered.
Zero IUC:
Telcos offered lifetime incoming free plans as Inter-Usage Connect charges (IUC)
used to be a key source of revenue from incoming calls on their network. However, IUC was
initially reduced from 14p/min to 6p/min and ultimately brought down to zero.
Jiophone launch:
RJio launched 4G feature phone to attract incumbents’ voice only 2G
subscriber base by providing data and popular apps (YouTube, WhatsApp etc.) at effectively
no cost to consumer (Rs1,500 upfront, but could be reimbursed on returning the phone).
Industry consolidation
Given the shrinking revenue streams (free voice, SMS, roaming, sharp decline in data cost per
GB), industry revenue declined by over 45% in Sep-2018 from its peak in Jun-2016 (pre RJio
launch).
Further, with the exponential rise in usage (voice minutes, data usage per customer) and
rising interest costs and amortization on high cost spectrum acquisitions over 2012-16,
profitability took a severe hit for larger telcos, while making smaller telcos unviable. As a
result, industry consolidated from ~12+ operators at the time of RJio’s launch to 3 private
operators and 2 public sector operators.
Consolidation in India’s telecom sector
Telecom operator
Vodafone India, Idea Cellular
Reliance Communications
Aircel
Telenor, Tata Teleservices
Shyam Sistema
Videocon
Status
Merged to form Vodafone Idea
Closed most operations
Filed for bankruptcy
Sold spectrum and merged with Bharti Airtel
Merged with Reliance Communications
Sold spectrum to Bharti Airtel and shut operations
December 2024
42
 Motilal Oswal Financial Services
29th Annual Wealth Creation Study (2019-2024)
RJio’s disruptive entry also impacted Bharti Airtel with its wireless revenue declining by ~25%
and wireless EBITDA declining by sharper ~57% over FY16-19. With severe strain on
profitability in the India wireless business, Bharti turned into a loss making company over
FY19-21.
What turned right (FY22-to date)
Bharti was not only able to withstand the RJio storm, but also emerge stronger, driven by several
key strategic calls. We highlight some of these below:
EXTERNAL TO THE COMPANY
Industry-wide tariff hikes
With the consolidation of Indian telecom sector to 3 private operators, industry started taking
tariff hikes to improve returns on investments. Since FY19, there have been 3 rounds of
smartphone tariff hikes and Bharti, with its focus on premiumization, has been the biggest
beneficiary.
Change in GoI’s stance towards telcos
Given the crucial role played by telcos in keeping the nation connected during COVID-19 and
severe stress in the industry, Government of India (GoI) changed its stance towards telcos from
“revenue maximization” to ensuring “adequate returns” to fund network investments. GoI
introduced several reform measures such as moratorium on GoI dues, rationalization of spectrum
usage charges (SUC), etc, which benefitted the industry at large.
INTERNAL TO THE COMPANY
Increased network investments to cater to exponential data surge
As highlighted above, with severely strained profitability, most telcos chose not to invest on
network coverage/capacity ramp-up, post RJio launch. While, on the other hand, Bharti Airtel
launched Project Leap in FY16 and announced INR600b investments to bolster network over the
next three years. Bharti’s Mobile Broadband (MBB) tower base was up 4x over FY15-21, which
enabled Bharti not just to retain its premium subscribers, but also benefit from the exit of smaller
operators.
Bolstered spectrum/subscriber footprint through smart acquisitions
Bharti took a strategic call to acquire spectrum from exiting telcos (Videocon, Aircel, Tikona) and
acquired subscribers as well as spectrum from telcos such as Telenor and Tata Teleservices, to
boost its spectrum footprint at relatively lower cost. Further, Airtel shut down its 3G network and
re-farmed the existing 3G spectrum to 4G to boost its 4G coverage and capacity.
War on waste initiative
Further, with profitability severely dented, Bharti implemented a company-wide “War on Waste”
initiative, with a focus on eliminating costs and becoming a leaner organization. Bharti simplified
its tariff plans to uniform nationwide plans (from circle specific plans earlier), reduced SG&A
spends over FY16-21 and optimized capex through various initiatives such as tower/fiber sharing,
inter-circle roaming arrangements.
December 2024
43
 Motilal Oswal Financial Services
29th Annual Wealth Creation Study (2019-2024)
Timely capital raise and asset monetization
Bharti tapped both debt and equity capital markets along with asset monetization to raise nearly
USD20b (or ~INR1.5t) over FY16-22, to fund elevated network investments and also keep the
group’s leverage in check.
Focus on premiumization
Bharti shifted its focus from overall subscriber market share to gaining its fair share of premium
subscribers. Bharti brought in minimum recharge plans (at INR 35/cycle initially) and raised it over
time to INR200/cycle to premiumize its subscriber mix. Further, Bharti initiated tiered tariff
structure with a focus on subscriber mix premiumization from Non Data -> Data, Prepaid ->
Postpaid and Postpaid -> Converged homes through Airtel Black. This strategy led to significant
improvement in Bharti’s data subs mix and also led to industry leading ARPU.
Impact
(A) On Financials
Bharti’s superior execution and premiumization strategy has led to highest ever revenue and
subscriber market shares.
With the tariff repair in the Indian wireless segment, rapid uptake in the Home broadband,
robust growth in Enterprise and Africa businesses, Bharti Airtel recorded 13%/25%
consolidated revenue and EBITDA CAGR over FY19-24.
Bharti’s FY24 EBITDA was almost equal to the company’s revenue in FY19. Given significant
operating and financial leverage, from losses in FY19-21, Bharti’s RoCE improved to ~10%.
Further, despite significant investments on spectrum and 5G rollouts, Bharti’s annualized FCF
(post interest and leases) improved to about INR 400b. With improvement in FCF, Bharti
started to repay high cost spectrum debt, which lead to significant reduction in leverage ratio.
(A) On Stock Price
The improvement in Bharti’s operating and financial performance, has also been handsomely
rewarded by the stock markets. Its stock price CAGR from its 2009 low to-date is 40%.
Turnaround in Bharti’s financials heals the bruise
Bharti Adjusted PAT (INR bn)
113
90
60
39
Bharti Bruising & Healing (INR)
1,560
524%
38
19
26
509
-25
-36 -29
-51%
250
Curr. Price
(28-Nov-2024)
2018 high
2019 low
December 2024
44
 Motilal Oswal Financial Services
29th Annual Wealth Creation Study (2019-2024)
SPACE FOR NOTES
December 2024
45
 Motilal Oswal Financial Services
29th Annual Wealth Creation Study (2019-2024)
2019-24 Wealth
Creation Study:
Detailed findings
December 2024
46
 Motilal Oswal Financial Services
29th Annual Wealth Creation Study (2019-2024)
#1
Trend in Wealth Creation
2019-24 Wealth Created at all-time high of INR 138 trillion
During 2019-24, the top 100 Wealth Creators of India Inc created all-time high wealth of
INR 138 trillion.
Pace of Wealth Creation at 26% CAGR is the second highest in the last 10 study periods, also
significantly higher than the BSE Sensex return of 14%.
Exhibit 1
2019-24 Wealth Created at an all-time high of INR 138 trillion
Wealth Creation trend
(INR trillion)
138.0
92.2
70.8
29.4 34.2 28.4
38.9
44.9 49.0
70.5
14.3 16.3
25.4
9.7
26.5 22.1
16.2 18.4
26.1
Exhibit 2
2019-24 pace of Wealth Creation is 26% CAGR vis-à-vis Sensex’s 14% CAGR
(39%)
49%
(30%)
(26%)
40%
36%
Wealth Created CAGR (%)
(Figures in brackets are Sensex CAGR)
(18%)
(15%)
33%
(22%)
(14%)
(10%)
(14%)
28%
(11%) (12%) (12%)
(12%)
26%
(6%)
25%
(5%)
(12%)
26%
24%
(4%)
22% 23% 22%
(12%)
21%
19%
19%
18%
(1%)
17%
17%
12%
Key Takeaway
Forget markets, think stocks
For the past 10 successive study periods, market benchmark indices have delivered muted
returns ranging from 5% to 15%. Still, the top Wealth Creators have maintained their track
record of 10-15% outperformance over the benchmark. This reinforces our pet take on market
strategy, “Forget markets, think stocks.”
December 2024
47
 Motilal Oswal Financial Services
29th Annual Wealth Creation Study (2019-2024)
#2
The Biggest Wealth Creators
Reliance emerges as the biggest Wealth Creator for the 6
th
time in a row
For the sixth time in succession,
Reliance Industries
has emerged the biggest Wealth Creator
over 2019-24.
This takes Reliance’s overall No.1 tally to 11 in the last 17 five-year study periods.
TCS
and
Infosys
continuously remain among the top 10 Wealth Creators.
Exhibit 3
Top 10 Biggest Wealth Creators (2019-24)
Rank Company
1
Reliance Inds
2
TCS
3
Bharti Airtel
4
ICICI Bank
5
State Bank of India
6
Infosys
7
Larsen & Toubro
8
Adani Enterprises
9
Tata Motors
10
HCL Technologies
Total of Top 10
Total of Top 100
Wealth Created
INR bn % share
11,178
8,312
5,449
5,109
4,176
3,893
3,530
3,408
3,164
3,150
51,369
1,38,034
8.1
6.0
3.9
3.7
3.0
2.8
2.6
2.5
2.3
2.3
37
100
CAGR (%)
Price PAT
20
16
33
23
20
17
23
85
42
26
21
25
12
8
L to P
60
100
11
8
34
L to P
9
25
23
P/E (x)
2024 2019
29
30
58
17
10
24
40
103
11
27
24
26
22
24
-
60
136
21
22
20
-
15
27
23
RoE (%)
2024 2019
9
52
15
17
17
34
15
9
38
23
17
17
10
35
-1
4
1
24
14
5
-2
24
10
11
Exhibit 4
Share of Top 10 in Total Wealth Created is the lowest in the last 20 years
Share of Top 10 in Total Wealth Created
59
63
56
48
41
42
53
50
51
45
49
41
47
51
43
41
39
42
53
54
37
Key Takeaway
Wealth Creation during 2019-24 is widespread
During 2019-24, share of Top 10 in Total Wealth Created is 37%, the lowest in the last 20 years.
This clearly suggests that Wealth Creation during 2019-24 is widespread. Further evidence of
this is the strong performance by mid and small cap indices and stocks. During 2019-24, Nifty
Midcap 100 CAGR is a robust 21% and Nifty Small Cap 100 CAGR is a high 18%.
December 2024
48
 Motilal Oswal Financial Services
29th Annual Wealth Creation Study (2019-2024)
#3
The Fastest Wealth Creators
Adani Green has emerged the Fastest Wealth Creator
Adani Green
has emerged the Fastest Wealth Creator with 2019-24 Price CAGR of 118%.
Two more Adani group companies have made it to the list of top 10 Fastest Wealth Creators
-
Adani Enterprises
and
Adani Power.
INR 1 million invested in 2019 in these top 10 companies would be worth INR 17.5 million in
2024, a return CAGR of 77% vi/s 14% for Nifty 50.
Exhibit 5
Top 10 Fastest Wealth Creators (2019-24)
Rank Company
1
2
3
4
5
6
7
8
9
10
Adani Green
Adani Enterprises
Jindal Stainless
Dixon Technologies
Linde India
Persistent Systems
CG Power
Adani Power
Trent
Varun Beverages
Price Appn. Price
(x)
CAGR %
49
22
17
16
13
13
13
11
11
11
118
85
77
74
68
67
66
62
62
61
PAT
CAGR %
L to P
34
79
42
76
27
L to P
L to P
56
47
Mkt Cap (INR bn)
2024
2019
2,905
3,641
572
448
547
615
825
2,058
1,404
1,817
58
162
19
27
42
51
27
186
120
158
P/E (x)
2024 2019
226
103
22
121
127
57
59
10
154
86
-
20
14
42
163
16
-
-
121
52
Exhibit 6
History of Fastest Wealth Creators
5-yr Price 5-yr Price
Year Company
Multiple (x) CAGR %
1996 Dr Reddy's Labs
30
97
1997 Cipla
7
48
1998 Satyam Computers
23
87
1999 Satyam Computers
75
137
2000 SSI
223
195
2001 Infosys
66
131
2002 Wipro
69
133
2003 e-Serve
50
119
2004 Matrix Labs
75
137
2005 Matrix Labs
136
167
2006 Matrix Labs
182
183
2007 B F Utilities
665
267
2008 Unitech
837
284
2009 Unitech
54
122
2010 Unitech
28
95
Year
2011
2012
2013
2014
2015
2016
2017
2018
2019
2020
2021
2022
2023
2024
Company
Sanwaria Agro
TTK Prestige
TTK Prestige
Eicher Motors
Ajanta Pharma
Ajanta Pharma
Ajanta Pharma
Indiabulls Ventures
Indiabulls Ventures
Tasty Bite Eatables
Adani Transmission
Adani Transmission
Lloyds Metals
Adani Green
5-yr Price 5-yr Price
Multiple (x) CAGR %
50
119
24
89
28
95
27
94
50
119
53
121
29
96
30
97
18
78
15
72
26
93
37
106
19
79
49
118
Key Takeaway
Mid and small cap stocks clearly overheated
Nine of the top 10 Fastest Wealth Creators have seen massive P/E re-rating. Further, 5 of the
top 10 had P/E in excess of 100x. Though partly justified by robust earnings growth, this is still
a case of too much money chasing too few stocks. The current P/E of Nifty Midcap 100 is 44x
whereas that of the Nifty Small Cap 100 is 36x. This clearly merits caution.
December 2024
49
 Motilal Oswal Financial Services
29th Annual Wealth Creation Study (2019-2024)
#4
The Most Consistent Wealth Creators
Linde India is the Most Consistent Wealth Creator
We define Consistent Wealth Creators based on the number of years the stock has out-
performed in each of the last 5 years. Where the number of years is the same, the stock price
CAGR decides the rank.
Based on this, over 2019-24,
Linde India
has emerged as the Most Consistent Wealth Creator.
It has outperformed the Nifty Total Return Index in all the last 5 years, and has the highest
price CAGR of 68%.
Consistent Wealth Creation is a challenge – only 6 out of 100 have outperformed in each of
the 5 years.
Exhibit 7
Top 10 Most Consistent Wealth Creators (2019-24)
No. of years of 2019-24 Total
2019-24
RoE (%)
Rank Company
outperformance Ret. CAGR (%)
PAT CAGR (%) 2024 2019
1
Linde India
5
68
76
12
2
2
Varun Beverages
5
61
47
31
15
3
Hind. Aeronautics
5
58
27
26
19
4
Bharat Electronics
5
46
16
24
20
5
Thermax
5
34
10
13
12
6
NMDC
5
26
5
23
18
7
Adani Green
4
118
L to P
13
-24
8
Adani Enterprises
4
85
34
9
5
9
Jindal Stainless
4
77
79
18
6
10
Persistent Systems
4
67
27
22
14
P/E (x)
2024
2019
127
163
86
52
29
10
37
12
85
31
10
7
226
-
103
20
22
14
57
16
Exhibit 8
Consistent Wealth Creation is a challenge – only 6 out of 100 have outperformed in each of the last 5 years
No. of years of outperformance
47
30
16
6
1
5
4
3
2
1
Key Takeaway
Investors’ nirvana – Speed with Consistency
One key characteristic of mid- and small cap stocks is high volatility of returns. Such stocks may
outperform over 5 years, but in the interim, they may cause investors quite a few anxious
moments. This is where consistency comes in. Investors’ nirvana is in identifying stocks which
not only outperform point-to-point but in the interim as well.
December 2024
50
 Motilal Oswal Financial Services
29th Annual Wealth Creation Study (2019-2024)
#5
All-round Wealth Creators
Adani Enterprises is the Best All-round Wealth Creator for the third time in a row
We define All-round Wealth Creators based on the summation of ranks, under each of the 3
categories – Biggest, Fastest and Consistent. Where the scores are tied, the stock price CAGR
decides the All-round rank.
Based on the above criteria,
Adani Enterprises
has emerged as the Best All-round Wealth
Creator.
Two other Adani group companies –
Adani Green
and
Adani Power
– also feature in the top
10 All-round Wealth Creators.
Exhibit 9
Top 10 All-round Wealth Creators (2019-24)
All-round
Rank
Rank
Company
Biggest
Fastest
1
Adani Enterprises
8
2
2
Adani Green
12
1
3
Hind. Aeronautics
17
12
4
Varun Beverages
25
10
5
Adani Power
21
8
6
Bharat Electronics
32
18
7
Trent
33
9
8
Tata Motors
9
19
9
CG Power
53
7
10
Siemens
28
27
Consistent
8
7
3
2
12
4
13
41
11
19
Total of
Ranks
18
20
32
37
41
54
55
69
71
74
2019-24
Price CAGR (%)
85
118
58
61
62
46
62
42
66
37
Exhibit 10
Speed and Consistency decide All-round Wealth Creation
No. of Top 10 All-round Wealth Creators in Top 10 of other categories
6
5
2
Biggest
Fastest
Consistent
Key Takeaway
Speed and Consistency decide All-round Wealth Creation
Six out of top 10 All-round Wealth Creators are also among the top 10 Fastest Wealth Creators.
Five out of top 10 All-round Wealth Creators are also among the top 10 Consistent Wealth
Creators. Thus, Speed and Consistency are the key determinants of All-round Wealth Creation
rather than Size.
December 2024
51
 Motilal Oswal Financial Services
29th Annual Wealth Creation Study (2019-2024)
#6
Wealth Creators Index (Wealthex) v/s BSE Sensex
Wealthex outperformance led by superior earnings growth
We compare Wealthex (top 100 Wealth Creators Market Cap index) with the BSE Sensex on 3
parameters - (1) market performance, (2) earnings growth and (3) valuation.
Market performance:
Over 2019-24, Wealth Creating companies have delivered return CAGR
of 25% v/s 14% for the BSE Sensex. March 2024 over March 2019, Wealthex is up 206%
whereas the Sensex is up 90% i.e. 116% outperformance over 5 years.
Earnings growth:
Wealthex clocked FY18-23 earnings CAGR of 25% v/s 16% for BSE Sensex.
Valuation:
Valuation for both Wealthex and Sensex has broadly remained the same over 5
years. Thus, Wealthex outperformance is driven by its superior earnings growth.
Exhibit 11
Wealthex v/s Sensex: Outperformance led by superior earnings growth
Mar-19
BSE Sensex
YoY (%)
Wealthex - based to Sensex
YoY (%)
Sensex EPS (INR)
YoY (%)
Wealthex EPS (INR)
YoY (%)
Sensex PE (x)
Wealthex PE (x)
38,673
38,673
1,501
1,477
26
26
Mar-20
29,468
-24
31,743
-18
1,507
0
1,347
-9
20
24
Mar-21
49,509
68
60,125
89
1,708
13
2,048
52
29
29
Mar-22 Mar 23
58,569
18
81,996
36
2,312
35
3,359
64
25
24
58,992
1
76,943
-6
2,634
14
3,690
10
22
21
Mar-24
73,651
25
1,18,194
54
3,161
20
4,461
21
23
26
5 Year
CAGR (%)
14
25
16
25
Exhibit 12
Wealthex invariably outperforms benchmark indices handsomely
Wealthex v/s Sensex
400
Wealthex - Rebased
Sensex - Rebased
306
300
200
100
190
0
Key Takeaway
Sensex a weak earnings machine
For the past several years, Sensex earnings growth has been muted. In the markets, especially
over the long term, G = R i.e. Growth in earnings = Return on the stock. Given this, a portfolio
of stocks with even a slightly superior earnings profile vis-à-vis the Sensex should consistently
outperform it.
December 2024
52
 Motilal Oswal Financial Services
29th Annual Wealth Creation Study (2019-2024)
#7
Wealth Creation: Sector analysis
Financials back as the largest Wealth Creating sector
Financials
has emerged as the largest Wealth Creating sector.
However, the sector has lost significant share of Wealth Created – 16% v/s 34% 5 years ago.
The new kids on the block are
Utilities, Capital Goods, Pharma/Healthcare
and
Telecom.
Financials, Technology
and
Consumer & Retail
continue their Russian roulette for the top
spot.
Exhibit 13
Financials is the top Wealth Creating sector
Sector
(No of companies)
Financials (15)
Technology (9)
Utilities (10)
Capital Goods (10)
Consumer & Retail (10)
Oil & Gas (2)
Auto (6)
Metals / Mining (9)
Pharma / Healthcare (10)
Telecom (2)
Cement (3)
Chemicals & Fertilizers (4)
Realty (2)
Others (8)
Total
WC Share of WC %
(INR bn) 2024
2019
21,958
18,514
13,343
12,406
11,961
11,698
8,731
8,439
8,022
5,869
3,545
2,265
2,205
9,077
1,38,034
15.9
13.4
9.7
9.0
8.7
8.5
6.3
6.1
5.8
4.3
2.6
1.6
1.6
6.6
100
33.5
12.0
1.0
1.8
18.6
16.4
6.8
2.3
0.2
2.3
5.1
100
CAGR 19-24 (%)
Price
PAT
24
17
35
33
28
19
30
20
24
39
22
45
38
39
25
56
10
19
17
22
12
35
9
21
L to P
16
27
18
40
23
P/E (x)
2024
2019
15
29
22
49
87
27
19
14
36
58
35
62
86
51
26
46
22
12
26
67
20
24
9
31
28
31
40
53
23
RoE (%)
2024
2019
17
32
17
17
25
9
28
16
17
16
9
16
7
20
17
4
29
11
11
20
10
9
15
11
-1
7
15
4
8
11
Exhibit 14
Financials, Technology and Consumer & Retail continue their Russian roulette
Wealth Created (INR bn)
15,899
11,905
7,103
17,365
25,154
21,958
14,161
8,172
7,586
9,346
6,364
Tech- Consumer Consumer Financials Financials Financials Consumer Financials
nology
& Retail & Retail
& Retail
Tech-
nology
Tech-
nology
Financials
2014
2015
2016
2017
2018
2019
2020
2021
2022
2023
2024
Key Takeaway
Utilities – the surprise pack
Typically considered as a laggard sector, Utilities has posted a strong performance to emerge
the third largest Wealth Creating sector. The performance has been boosted by: (1) Three Adani
Group companies – Adani Green, Adani Power, Adani Energy Solution, and (2) The PSU pack
including NTPC, NHPC, SJVN and Power Grid.
December 2024
53
 Motilal Oswal Financial Services
29th Annual Wealth Creation Study (2019-2024)
#8
Wealth Creation: Ownership – Private v/s PSU
PSUs on the comeback trail
PSUs’ (public sector undertakings) Wealth Creation performance during 2019-24 is a
significant improvement over the last 3 studies: 20 PSUs account for 17% of Wealth Created.
The key factors driving PSU Wealth Creation are:
– Profit of 9 Financial companies rising 19x over 5 years; and
– Profit of Coal India rising 4x over 5 years.
Two sectors – Financials and Utilities – account for 70% of Wealth Created by PSUs.
Exhibit 15
PSUs: Significant improvement compared to the recent previous studies
Trend of PSU Weath Creation
49
51
No. of PSUs
36
35
25
25
27
16
% of Total Wealth Created
30
27
20
24
11
9
10
11
9
9
6
7
6
20
17
30
28
26
22
18
20
9
5
2
5
2
7
4
7
3
2
1
1
0
Exhibit 16
Exhibit 17
Key figures
2019-2024
PSU
Private
20
80
17
83
12
11
29
20
25
25
15
26
12
33
9
12
18
16
PSU banks’ growth drives Wealth Creation
Capital
Goods
17%
Utilities
23%
Metals /
Mining
11%
Oil & Gas
2%
No. of Wealth Creators in Top 100
Share of Wealth Created (%)
5-year Sales CAGR (%)
5-year PAT CAGR (%)
5-year Price CAGR (%)
P/E - 2019 (x)
P/E - 2024 (x)
RoE - 2019 (%)
RoE - 2024 (%)
Banking &
Finance
47%
Key Takeaway
Privatization – the pressing need of the hour
The improvement in PSU performance notwithstanding, the oft-quoted words still hold true –
“The government has no business to be in business.” Following the Air India model, the
government is better off privatizing as many PSUs as it can. This has a dual positive – (1) The
divested companies are likely to become more efficient, and (2) The resources raised from such
privatization can be used for socio-economic development.
December 2024
54
 Motilal Oswal Financial Services
29th Annual Wealth Creation Study (2019-2024)
#9
Wealth Creation: Market Cap Rank Analysis
We call large, mid and small cap stocks as
Mega, Mid
and
Mini,
respectively, defined as under:
Mega –
Top 100 stocks by market cap rank for any given year
Mid
Next 150 stocks by market cap rank
Mini –
All stocks below the top 250 ranks.
Market cap ranks of companies change constantly. Over time, companies also cross over from
one category to another. For the period 2019-24, the market cap ranks crossover matrix stands
as under –
Exhibit 18
2019-24: Market cap rank crossovers: Number of companies and average returns
Rank Crossovers - Mar-2019 to Mar-2024
Nifty 50 Return CAGR during the period is 14%
Mega
118%
(1)
40%
(23)
17%
(70)
TO
Mid
52%
(27)
21%
(70)
5%
(26)
Mini
22%
(2,824)
2%
(57)
-22%
(3)
Mini
Total stocks
2,852
Mid
FROM
150
Mega
99
How to read the table
In 2019, there were 2,852 Mini companies (i.e. ranked beyond 250). Of these, only 1 moved
to the Mega category by 2024, clocking 5-year return CAGR of 118%. 27 Minis moved to Mid
category by 2024, delivering a return CAGR of 52% in the process. Next, 2,824 Mini companies
stayed as Mini and delivered return CAGR of 22%.
Of the 150 Mid companies in 2019, 23 moved to Mega by 2024, delivering an average 40%
return CAGR in the process. 70 Mid companies stayed as Mid (21% return CAGR) and 57
slipped to the Mini category (2% return CAGR).
Finally, of the 99 Mega companies in 2019 (excluding Piramal Enterprises which underwent
a demerger), 70 stayed as Mega (17% return CAGR), 26 slipped to Mid (5% return CAGR), and
3 slipped to the Mini category (-22% return CAGR).
Note: During the 2019-24 period, benchmark Nifty 50 return is 14%.
December 2024
55
 Motilal Oswal Financial Services
29th Annual Wealth Creation Study (2019-2024)
We specifically analyze the 3 positive crossovers – Mini-to-Mega, Mini-to-Mid and Mid-to-Mega.
8.1 Mini-to-Mega: 1 company, 118% CAGR
During 2019-24, only Adani Green, moved from Mini to Mega.
Needless to add, it is the Fastest Wealth Creator in this Study with Price CAGR of 118%.
Exhibit 19
Mini-to-Mega (2019-24): 1 company which features among the top 10 Fastest Wealth Creators
Company
Adani Green
Market Cap Rank
Mar-24
Mar-19
24
304
WC Rank *
Biggest Fastest
12
1
Price
PAT
CAGR %
CAGR %
118
L to P
P/E
2024 2019
226
-
* 2019-24 Wealth Creation Rank
8.2 Mini-to-Mid: 27 companies, 52% average Price CAGR
During 2019-24, 27 companies crossed over from Mini to Mid category, generating an
average return CAGR of 52%.
Of these 27 Mini-to-Mid stocks, 9 feature in our list of top 100 Wealth Creators, delivering
average return CAGR of 60% v/s 14% for the Nifty 50.
Exhibit 20
Mini-to-Mid (2019-24): 9 of 27 companies feature among top 100 Wealth Creators
Company
Jindal Stainless
Dixon Technologies
Linde India
CG Power
Persistent Systems
Tube Investments
Tata Elxsi
Suzlon Energy
Bank of Maha.
Market Cap Rank
2024
2019
140
522
171
461
144
351
104
460
131
321
117
271
160
300
145
410
172
391
WC Rank *
Biggest Fastest
95
3
91
4
77
5
53
7
70
6
63
11
84
13
80
17
88
28
Price
CAGR %
76
74
67
66
66
58
52
48
35
PAT
CAGR %
79
42
76
L to P
27
38
22
L to P
L to P
P/E
2024 2019
22
14
121
42
127
163
59
-
57
16
60
30
61
21
76
-
11
-
* 2019-24 Wealth Creation Rank
8.3 Mid-to-Mega: 23 companies, 40% average Price CAGR
During 2019-24, 23 companies crossed over from Mid to Mega.
As many as 21 made it to this year’s list of 100 Biggest Wealth Creators (next page), delivering
average return CAGR of 43% over 2019-24 v/s 14% for Nifty 50.
December 2024
56
 Motilal Oswal Financial Services
29th Annual Wealth Creation Study (2019-2024)
Exhibit 21
Mid-to-Mega (2019-24): 21 of 23 companies feature among top 100 Wealth Creators
Company
Adani Enterprises
Adani Power
Trent
Varun Beverages
Hind. Aeronautics
JSW Energy
Adani Total Gas
Bharat Electronics
Tata Consumer
ABB
Tata Power
Apollo Hospitals
Jindal Steel
Adani Energy
TVS Motor
IOB
Cholaman.Inv.&Fin.
Indian Hotels Co
NHPC
BHEL
Canara Bank
Market Cap Rank
2024
2019
16
166
39
144
51
196
44
167
37
118
97
199
79
177
49
119
76
189
56
103
62
133
89
160
98
154
71
116
78
121
72
186
82
120
100
148
91
111
99
109
75
125
WC Rank *
Biggest Fastest
8
2
21
8
33
9
25
10
17
12
54
15
44
16
32
18
49
21
36
23
35
22
55
26
59
29
45
30
51
31
43
37
57
40
65
41
56
42
66
54
47
97
Price
CAGR %
85
62
61
61
56
49
48
45
40
40
40
39
36
36
35
33
32
32
29
27
15
PAT
CAGR %
34
L to P
56
47
27
19
23
16
27
20
L to P
30
L to P
13
18
L to P
23
35
9
-23
91
P/E
2024
103
10
154
86
29
52
153
37
77
108
37
104
15
110
63
43
28
68
25
311
7
2019
20
-
121
52
10
17
59
12
31
56
-
72
-
43
32
-
19
66
11
26
36
* 2019-24 Wealth Creation Rank
Key Takeaway
Mid-to-Mega is a potent investment strategy
Every year, our analysis of market cap crossovers lead to the same findings –
Companies leap-frogging from Mini to Mega is very rare.
A fair number of companies move from Mini to Mid and deliver supernormal returns.
However, they need to be identified from a large base of about 500 companies.
The most potent and focused hunting ground for high-performing stocks is the Mid
category i.e. 150 stocks with market cap rank 101 to 250.
Over the next five years, 12-25 of these stocks (healthy 8-16% strike rate) will cross over to
the Mega category and deliver handsome returns in the process.
December 2024
57
 Motilal Oswal Financial Services
29th Annual Wealth Creation Study (2019-2024)
#10
Wealth Creation: Valuation parameters analysis
The era of turnarounds; Payback ratio true to form
Over 2019-24, the highest return across P/E and Price/Book was clocked by turnarounds
i.e. stocks who had a loss in 2019 and/or whose net worth was negative.
Some key names include
Tata Motors, Suzlon, CG Power, Adani Power, Adani Green,
etc.
Study after study, Payback ratio < 1x delivers super returns.
Exhibit 22
Payback ratio less than 1x remains a sure shot formula for multi-baggers
Range
No. of
WC
% Share
CAGR (%)
RoE (%)
in 2019
Cos.
(INR b)
of WC
Price
PAT
2024
2019
P/E
<10
10-15
15-20
20-25
25-30
>30
Loss-making
Total
Price / Book
<1
1-2
2-3
3-4
4-5
>5
Negative NW
Total
Price / Sales
<1
1-2
2-3
3-4
4-5
>5
Total
Payback ratio
<1
1-2
2-3
>3
Total
13
7
10
11
3
42
14
100
14,672
8,810
10,602
33,813
1,664
48,602
19,871
1,38,034
11
6
8
24
1
35
14
100
20
32
27
19
28
26
46
25
9
16
15
11
9
41
L to P
23
16
18
15
15
9
16
25
17
17
16
13
15
6
6
-9
11
18
15
13
13
5
33
3
100
16,008
27,217
29,330
19,197
4,963
39,978
1,342
1,38,034
12
20
21
14
4
29
1
100
33
30
23
26
28
21
38
25
37
27
22
13
22
15
L to P
23
15
15
13
18
15
32
32
17
5
7
10
16
13
29
-
11
24
25
15
12
8
16
100
25,956
43,181
19,231
18,283
8,242
23,140
1,38,034
19
31
14
13
6
17
100
36
24
26
25
32
19
25
38
22
14
26
22
13
23
16
15
17
20
13
26
17
5
10
15
12
8
26
11
22
26
19
33
100
25,462
36,153
32,147
44,271
1,38,034
18
26
23
32
100
37
26
22
22
25
48
23
14
15
23
19
16
13
21
17
5
10
13
17
11
December 2024
(Payback is a proprietary ratio of Motilal Oswal, defined as current market cap divided by estimated profits over the
next five years. For 2019, we calculate this ratio based on market cap as on 31-Mar-2019 divided by the actual profits
reported over the next five years).
58
 Motilal Oswal Financial Services
29th Annual Wealth Creation Study (2019-2024)
PEG < 1x remains a solid formula for superior returns
For the purposes of this section, PEG (P/E to Growth ratio) is obtained by dividing trailing
12-month P/E by future 5-year earnings CAGR.
We have used perfect foresight of 5 years’ earnings to calculate PEG. Thus, if a stock’s P/E in
2019 was 20x, and its 2019-24 PAT CAGR is 25%, its 2019 PEG works out to 0.8x (20 ÷ 25).
Clearly, lower the PEG, higher the likely return.
Stocks with PEG less than 1x tend to significantly outperform the market.
As tabled below, the story was no different for the 2019-24 Wealth Creators. PEG < 1x is a
solid formula for superior returns.
Exhibit 23
PEG less than 1x is a solid formula for high returns
PEG Range
No. of
WC
% Share
CAGR (%)
in 2019 (x)
Cos.
(INR b)
of WC
Price
PAT
<1
19
19,229
14
35
23
RoE (%)
2024
2019s
19
15
14
26
14
20
17
10
22
21
0
11
1-2
2-3
>3
Others
Total
35
13
15
18
100
60,939
20,779
13,695
23,390
1,38,034
44
15
10
17
100
22
20
23
40
25
21
10
9
L to P
23
Note:
PEG here is calculated as P/E of March 2019 divided by 2019-24 PAT CAGR
“Others” are cases where PAT CAGR cannot be calculated e.g. turnarounds
December 2024
59
 Motilal Oswal Financial Services
29th Annual Wealth Creation Study (2019-2024)
#11
Wealth Destruction: Companies & Sectors
Financials the largest Wealth Destroyer despite being the largest Wealth Creator
The total Wealth Destroyed during 2019-24 is just INR 4.3 trillion, 3% of the total Wealth
Created by top 100 companies. This is the lowest in the last 14 study periods.
Five of the top 10 Wealth Destroying companies are from the Financials sector.
Interestingly, Financials is the top Wealth Destroying sector, and the largest Wealth Creating
sector at the same time.
Exhibit 24
Wealth Destroyed at 3% of Wealth Created is the lowest in the last 14 study periods
Wealth destroyed (INR bn)
% of Wealth Created by top 100 Wealth Creators
93
130
56
43
18
15
2
33
14
43
15
11
18
15
16
25
3
1
1
0
Exhibit 25
Exhibit 26
5 of top 10 Wealth Destroyers are from the Financials
sector
Company
Wealth Destroyed
INR bn % Share
Price
CAGR (%)
Financials among the top Wealth Creators
as well as Wealth Destroyers
Sector
Wealth
Destroyed
(INR bn)
%
Share
Bandhan Bank
Vodafone Idea
Yes Bank
Zee Entertainment
Sammaan Capital
Dhani Services
RBL Bank
Rajesh Exports
GFL
UPL
Total of Above
Total Wealth Destroyed
560
351
288
284
267
189
187
118
114
103
2,462
4,267
13
8
7
7
6
4
4
3
3
2
58
100
-19
-6
-39
-21
-26
-35
-19
-17
-17
-6
Financials
Media
Telecom
Consumer & Retail
Constn. / Real Estate
Capital Goods
Chemicals & Fertilizers
Pharma / Healthcare
Hotels
Others
TOTAL
1,912
434
367
275
188
161
145
102
53
631
4,267
45
10
9
6
4
4
3
2
1
15
100
December 2024
60
 Motilal Oswal Financial Services
29th Annual Wealth Creation Study (2019-2024)
Appendices
December 2024
61
 Motilal Oswal Financial Services
29th Annual Wealth Creation Study (2019-2024)
Appendix 1: The 100 Biggest Wealth Creators (2019-2024)
Rank
1
2
3
4
5
6
7
8
9
10
11
12
13
14
15
16
17
18
19
20
21
22
23
24
25
26
27
28
29
30
31
32
33
34
35
36
37
38
39
40
41
42
43
44
45
46
47
48
49
50
Company
Reliance Inds
TCS
Bharti Airtel
ICICI Bank
State Bank of India
Infosys
Larsen & Toubro
Adani Enterprises
Tata Motors
HCL Technologies
Sun Pharma
Adani Green
Bajaj Finance
Titan Company
NTPC
Adani Ports
Hind. Aeronautics
Avenue Supermarts
Power Grid Corp
Bajaj Auto
Adani Power
DLF
Coal India
UltraTech Cement
Varun Beverages
M&M
Nestle India
Siemens
Bajaj Finserv
Tata Steel
JSW Steel
Bharat Electronics
Trent
Power Finance Corp
Tata Power
ABB
REC
Vedanta
Grasim Inds
Bank of Baroda
SBI Life Insurance
Pidilite Inds
IOB
Adani Total Gas
Adani Energy
Ambuja Cements
Canara Bank
Hindalco Inds
Tata Consumer
Interglobe Aviation
Wealth Created
INR b
Share (%)
11,178
8.1
8,312
6.0
5,449
3.9
5,109
3.7
4,176
3.0
3,893
2.8
3,530
2.6
3,408
2.5
3,164
2.3
3,150
2.3
2,850
2.1
2,808
2.0
2,615
1.9
2,400
1.7
2,247
1.6
2,092
1.5
2,063
1.5
1,987
1.4
1,983
1.4
1,951
1.4
1,840
1.3
1,810
1.3
1,798
1.3
1,711
1.2
1,662
1.2
1,620
1.2
1,592
1.2
1,528
1.1
1,505
1.1
1,464
1.1
1,412
1.0
1,297
0.9
1,278
0.9
1,126
0.8
1,112
0.8
1,079
0.8
1,038
0.8
1,031
0.7
983
0.7
939
0.7
929
0.7
928
0.7
879
0.6
877
0.6
866
0.6
851
0.6
833
0.6
830
0.6
815
0.6
814
0.6
Wealth Created
INR b
Share (%)
CAGR (2019-24, %)
Total Ret.
PAT
20
12
16
8
33
L to P
23
60
20
100
17
11
23
8
85
34
42
L to P
26
9
28
22
118
L to P
19
29
28
20
22
7
29
17
58
27
25
23
24
8
27
11
62
L to P
35
17
17
16
20
24
61
47
24
17
20
20
37
17
19
20
27
-5
24
2
46
16
62
56
35
15
40
L to P
40
20
35
20
20
-14
22
14
17
77
21
6
20
14
33
L to P
48
23
36
13
22
8
16
91
23
14
41
27
20
L to P
CAGR (2019-24, %)
Total Ret.
PAT
Mkt Cap (INR bn)
2024
2019
20,140
8,640
14,051
7,506
7,273
1,331
7,695
2,571
6,717
2,863
6,221
3,243
5,188
1,941
3,641
162
3,635
547
4,188
1,476
3,888
1,150
2,905
58
4,482
1,748
3,378
1,010
3,258
1,339
2,898
783
2,225
237
2,947
917
2,577
1,036
2,553
844
2,058
186
2,224
395
2,673
1,459
2,813
1,098
1,817
158
2,389
835
2,529
1,060
1,914
402
2,622
1,120
1,946
592
2,033
708
1,473
227
1,404
120
1,288
325
1,259
200
1,348
280
1,187
302
1,010
683
1,530
564
1,366
341
1,500
580
1,533
631
1,134
132
1,018
142
1,144
240
1,346
467
1,054
220
1,259
461
1,044
128
1,368
549
Mkt Cap (INR bn)
2024
2019
ROE (%)
2024
2019
9
10
52
35
15
-1
17
4
17
1
34
24
15
14
9
5
38
-2
23
24
16
9
13
-24
19
20
37
23
13
14
17
17
26
19
13
16
19
18
27
20
48
-12
7
4
45
66
12
7
31
15
17
13
117
44
15
11
14
14
8
14
11
22
24
20
22
6
20
21
11
0
21
13
20
17
11
11
7
5
16
2
11
17
21
23
11
-28
19
22
8
7
8
10
18
2
10
9
8
6
359
-3
ROE (%)
2024
2019
P/E (x)
2024
2019
29
22
30
24
58
-
17
60
10
136
24
21
40
22
103
20
11
-
27
15
39
31
226
-
31
44
97
72
16
9
33
19
29
10
117
103
16
10
33
18
10
-
83
32
7
8
40
46
86
52
21
16
64
66
99
45
32
35
26
6
24
9
37
12
154
121
7
3
37
-
108
56
8
5
31
10
26
19
7
31
90
46
86
67
43
-
153
59
110
43
41
20
7
36
12
9
77
31
19
-
P/E (x)
2024
2019
Rank Company
December 2024
62
 Motilal Oswal Financial Services
29th Annual Wealth Creation Study (2019-2024)
Appendix 1: The 100 Biggest Wealth Creators (2019-2024) … continued
Rank
51
52
53
54
55
56
57
58
59
60
61
62
63
64
65
66
67
68
69
70
71
72
73
74
75
76
77
78
79
80
81
82
83
84
85
86
87
88
89
90
91
92
93
94
95
96
97
98
99
100
Company
TVS Motor
Cipla
CG Power & Ind
JSW Energy
Apollo Hospitals
NHPC
Cholaman. Inv. & Fin.
Solar Industries
Jindal Steel
Zydus Lifesciences
LTIMindtree
Cummins India
Tube Investments
SRF
Indian Hotels Co
BHEL
Bajaj Holdings
Dr Reddy's Labs
Torrent Pharma
Persistent Systems
Torrent Power
Oracle Financial
UCO Bank
Hero Motocorp
HDFC AMC
Oil India
Linde India
Divi’s Labs
Info Edge (India)
Suzlon Energy
GMR Airports Inf
Colgate-Palmolive
Abbott India
Tata Elxsi
L&T Technology
P I Industries
United Spirits
Bank of Maharashtra
SJVN
Tata Comm
Dixon Technologies
Lupin
Supreme Inds
NMDC
Jindal Stainless
Alkem Lab
Astral
Godrej Properties
SAIL
Thermax
Wealth Created
INR b
Share (%)
808
0.6
808
0.6
793
0.6
765
0.6
739
0.5
739
0.5
721
0.5
701
0.5
694
0.5
689
0.5
666
0.5
658
0.5
649
0.5
624
0.5
623
0.5
604
0.4
592
0.4
590
0.4
586
0.4
577
0.4
563
0.4
555
0.4
547
0.4
538
0.4
522
0.4
520
0.4
509
0.4
494
0.4
489
0.4
464
0.3
457
0.3
450
0.3
450
0.3
439
0.3
433
0.3
431
0.3
429
0.3
428
0.3
420
0.3
420
0.3
419
0.3
413
0.3
410
0.3
409
0.3
406
0.3
403
0.3
396
0.3
395
0.3
394
0.3
389
0.3
Wealth Created
INR b
Share (%)
CAGR (2019-24, %)
Total Ret.
PAT
36
18
24
24
66
L to P
49
19
39
30
32
9
32
23
52
28
37
L to P
24
17
25
25
33
18
58
38
40
16
32
35
27
-23
21
19
18
24
23
22
67
27
41
15
24
10
23
L to P
15
2
21
16
29
15
68
76
16
3
25
45
48
L to P
33
Loss
18
12
31
22
53
22
29
11
31
33
16
15
37
L to P
40
-10
28
L to P
74
42
17
21
31
21
26
5
77
79
24
20
31
22
23
25
23
6
34
10
CAGR (2019-24, %)
Total Ret.
PAT
Mkt Cap (INR bn)
2024
2019
1,022
225
1,207
426
825
27
870
119
913
170
900
249
972
226
795
97
867
174
1,012
355
1,462
292
834
207
722
72
758
138
842
184
861
261
923
380
1,027
461
880
330
615
51
651
124
760
291
624
102
943
510
801
326
651
201
547
42
912
452
724
225
546
33
493
120
737
342
573
155
484
60
580
163
587
142
825
402
441
36
477
95
573
175
448
27
737
334
537
141
591
319
572
19
591
209
535
139
639
187
554
222
500
116
Mkt Cap (INR bn)
2024
2019
ROE (%)
2024
2019
24
22
16
9
46
-17
8
6
13
7
9
8
17
19
28
21
13
-1
19
17
23
31
25
17
23
16
12
16
13
6
1
3
13
11
20
13
23
13
22
14
15
10
28
28
7
-29
21
26
27
30
16
14
12
2
12
19
2
3
18
18
31
334
71
52
32
22
32
31
24
31
19
18
19
22
22
-106
6
13
60
45
22
17
13
5
20
19
23
18
18
6
18
14
17
15
7
9
6
7
13
12
ROE (%)
2024
2019
P/E (x)
2024
2019
63
32
29
30
59
-
52
17
104
72
25
11
28
19
87
37
15
-
26
20
32
19
50
28
60
30
57
22
68
66
311
26
13
12
19
25
56
55
57
16
37
14
34
21
37
-
25
15
41
35
8
5
127
163
57
33
136
275
76
-
-
-
55
45
48
35
61
21
45
21
35
35
60
59
11
-
58
7
53
-
121
42
39
46
52
35
10
7
22
14
31
27
100
71
98
87
15
8
85
31
P/E (x)
2024
2019
Rank Company
Note:
Total Return CAGR considers price of March 2024 + Cumulative Dividends over 5 years (2020 to 2024)
L to P stands for Loss to Profit
December 2024
63
 Motilal Oswal Financial Services
29th Annual Wealth Creation Study (2019-2024)
Appendix 2: The 100 Biggest Wealth Creators sorted by speed (2019-2024)
Rank
1
2
3
4
5
6
7
8
9
10
11
12
13
14
15
16
17
18
19
20
21
22
23
24
25
26
27
28
29
30
31
32
33
34
35
36
37
38
39
40
41
42
43
44
45
46
47
48
49
50
Rank
Company
2019-24 Total Ret.
CAGR (%) Times (x)
Adani Green
118
49.2
Adani Enterprises
85
21.7
Jindal Stainless
77
17.3
Dixon Technologies
74
15.9
Linde India
68
13.2
Persistent Systems
67
12.8
CG Power & Ind
66
12.7
Adani Power
62
11.1
Trent
62
11.0
Varun Beverages
61
10.9
Tube Investments
58
9.8
Hind. Aeronautics
58
9.7
Tata Elxsi
53
8.3
Solar Industries
52
8.2
JSW Energy
49
7.4
Adani Total Gas
48
7.2
Suzlon Energy
48
7.2
Bharat Electronics
46
6.7
Tata Motors
42
5.7
Torrent Power
41
5.6
Tata Consumer
41
5.5
Tata Power
40
5.5
ABB
40
5.4
SJVN
40
5.4
SRF
40
5.4
Apollo Hospitals
39
5.2
Siemens
37
4.8
Bank of Maharashtra
37
4.8
Jindal Steel
37
4.8
Adani Energy
36
4.7
TVS Motor
36
4.6
DLF
35
4.5
Power Finance Corp
35
4.5
REC
35
4.4
Thermax
34
4.4
Cummins India
33
4.2
IOB
33
4.2
Bharti Airtel
33
4.2
GMR Airports Inf
33
4.1
Cholaman. Inv.&Fin.
32
4.0
Indian Hotels Co
32
4.0
NHPC
32
4.0
Abbott India
31
3.9
Supreme Inds
31
3.9
Astral
31
3.8
P I Industries
31
3.8
Adani Ports
29
3.6
L&T Technology
29
3.6
Oil India
29
3.6
Sun Pharma
28
3.5
Company
2019-24 Total Ret.
CAGR (%) Times (x)
CAGR 19-24 (%)
PAT
Sales
L to P
35
34
19
79
23
42
43
76
5
27
24
L to P
0
L to P
16
56
36
47
22
38
24
27
9
22
17
28
20
19
5
23
21
L to P
5
16
11
L to P
8
15
16
27
16
L to P
16
20
9
-10
0
16
13
30
15
17
9
L to P
14
L to P
1
13
18
18
14
17
-5
15
11
20
13
10
9
18
10
L to P
6
L to P
13
Loss
3
23
22
35
8
9
1
22
10
21
13
22
18
33
22
17
20
11
14
15
19
22
11
CAGR 19-24 (%)
PAT
Sales
Wealth Created
INR b Share (%)
2,808
2.0
3,408
2.5
406
0.3
419
0.3
509
0.4
577
0.4
793
0.6
1,840
1.3
1,278
0.9
1,662
1.2
649
0.5
2,063
1.5
439
0.3
701
0.5
765
0.6
877
0.6
464
0.3
1,297
0.9
3,164
2.3
563
0.4
815
0.6
1,112
0.8
1,079
0.8
420
0.3
624
0.5
739
0.5
1,528
1.1
428
0.3
694
0.5
866
0.6
808
0.6
1,810
1.3
1,126
0.8
1,038
0.8
389
0.3
658
0.5
879
0.6
5,449
3.9
457
0.3
721
0.5
623
0.5
739
0.5
450
0.3
410
0.3
396
0.3
431
0.3
2,092
1.5
433
0.3
520
0.4
2,850
2.1
Wealth Created
INR bn Share (%)
RoE (%)
2024 2019
13
-24
9
5
18
6
22
17
12
2
22
14
46
-17
48
-12
22
6
31
15
23
16
26
19
32
31
28
21
8
6
19
22
18
18
24
20
38
-2
15
10
8
6
11
0
21
13
6
13
12
16
13
7
15
11
22
-106
13
-1
8
7
24
22
7
4
20
21
20
17
13
12
25
17
11
-28
15
-1
31
334
17
19
13
6
9
8
32
22
20
19
17
15
19
18
17
17
24
31
16
14
16
9
RoE (%)
2024 2019
P/E (x)
2024
2019
226
-
103
20
22
14
121
42
127
163
57
16
59
-
10
-
154
121
86
52
60
30
29
10
61
21
87
37
52
17
153
59
76
-
37
12
11
-
37
14
77
31
37
-
108
56
58
7
57
22
104
72
99
45
11
-
15
-
110
43
63
32
83
32
7
3
8
5
85
31
50
28
43
-
58
-
-
-
28
19
68
66
25
11
48
35
52
35
100
71
35
35
33
19
45
21
8
5
39
31
P/E (x)
2024
2019
December 2024
64
 Motilal Oswal Financial Services
29th Annual Wealth Creation Study (2019-2024)
Appendix 2: The 100 Biggest Wealth Creators sorted by speed (2019-2024) … continued
Rank Company
51
52
53
54
55
56
57
58
59
60
61
62
63
64
65
66
67
68
69
70
71
72
73
74
75
76
77
78
79
80
81
82
83
84
85
86
87
88
89
90
91
92
93
94
95
96
97
98
99
100
Rank
Tata Comm
Titan Company
Bajaj Auto
BHEL
Tata Steel
NMDC
HCL Technologies
Avenue Supermarts
LTIMindtree
Info Edge (India)
JSW Steel
Zydus Lifesciences
M&M
Alkem Lab
Power Grid Corp
Oracle Financial
Cipla
Larsen & Toubro
Godrej Properties
ICICI Bank
UCO Bank
Hindalco Inds
SAIL
Torrent Pharma
Ambuja Cements
Grasim Inds
NTPC
SBI Life Insurance
HDFC AMC
Bajaj Holdings
Vedanta
Nestle India
UltraTech Cement
Interglobe Aviation
Pidilite Inds
Reliance Inds
State Bank of India
Bajaj Finance
Bajaj Finserv
Colgate-Palmolive
Dr Reddy's Labs
Coal India
Infosys
Lupin
Bank of Baroda
TCS
Canara Bank
Divi’s Labs
United Spirits
Hero Motocorp
Company
2019-24 Total Ret.
CAGR (%) Times (x)
28
3.4
28
3.4
27
3.3
27
3.3
27
3.3
26
3.2
26
3.1
25
3.1
25
3.1
25
3.1
24
3.0
24
3.0
24
2.9
24
2.9
24
2.9
24
2.9
24
2.9
23
2.8
23
2.8
23
2.8
23
2.8
23
2.8
23
2.8
23
2.8
22
2.7
22
2.7
22
2.7
21
2.6
21
2.6
21
2.6
20
2.5
20
2.5
20
2.5
20
2.5
20
2.5
20
2.5
20
2.5
19
2.4
19
2.3
18
2.3
18
2.3
17
2.2
17
2.2
17
2.2
17
2.2
16
2.1
16
2.1
16
2.1
16
2.1
15
2.1
2019-24 Total Ret.
CAGR (%) Times (x)
CAGR (19-24, %)
PAT
Sales
L to P
5
20
21
11
8
-23
-5
-5
8
5
12
9
13
23
20
25
30
45
17
2
16
17
8
17
6
20
11
8
6
10
5
24
10
8
10
25
2
60
17
L to P
9
14
11
6
9
22
7
8
5
14
11
7
12
6
24
16
9
19
32
-14
9
20
17
24
11
L to P
19
14
12
12
10
100
12
29
24
20
21
12
5
24
13
16
7
11
13
21
6
77
17
8
10
91
18
3
10
15
4
2
2
CAGR (19-24, %)
PAT
Sales
Wealth Created
INR bn Share (%)
420
0.3
2,400
1.7
1,951
1.4
604
0.4
1,464
1.1
409
0.3
3,150
2.3
1,987
1.4
666
0.5
489
0.4
1,412
1.0
689
0.5
1,620
1.2
403
0.3
1,983
1.4
555
0.4
808
0.6
3,530
2.6
395
0.3
5,109
3.7
547
0.4
830
0.6
394
0.3
586
0.4
851
0.6
983
0.7
2,247
1.6
929
0.7
522
0.4
592
0.4
1,031
0.7
1,592
1.2
1,711
1.2
814
0.6
928
0.7
11,178
8.1
4,176
3.0
2,615
1.9
1,505
1.1
450
0.3
590
0.4
1,798
1.3
3,893
2.8
413
0.3
939
0.7
8,312
6.0
833
0.6
494
0.4
429
0.3
538
0.4
Wealth Created
INR b Share (%)
RoE (%)
2024 2019
60
45
37
23
27
20
1
3
8
14
23
18
23
24
13
16
23
31
2
3
11
22
19
17
17
13
18
14
19
18
28
28
16
9
15
14
7
9
17
4
7
-29
10
9
6
7
23
13
8
10
7
5
13
14
11
17
27
30
13
11
11
11
117
44
12
7
359
-3
21
23
9
10
17
1
19
20
14
14
71
52
20
13
45
66
34
24
13
5
16
2
52
35
18
2
12
19
19
22
21
26
RoE (%)
2024 2019
P/E (x)
2024
2019
53
-
97
72
33
18
311
26
26
6
10
7
27
15
117
103
32
19
136
275
24
9
26
20
21
16
31
27
16
10
34
21
29
30
40
22
98
87
17
60
37
-
12
9
15
8
56
55
41
20
26
19
16
9
90
46
41
35
13
12
31
10
64
66
40
46
19
-
86
67
29
22
10
136
31
44
32
35
55
45
19
25
7
8
24
21
39
46
7
31
30
24
7
36
57
33
60
59
25
15
P/E (x)
2024
2019
Note:
Total Return CAGR considers price of March 2024 + Cumulative Dividends over 5 years (2020 to 2024)
L to P stands for Loss to Profit
December 2024
65
 Motilal Oswal Financial Services
29th Annual Wealth Creation Study (2019-2024)
Appendix 3: The 100 Biggest Wealth Creators sorted by Consistency (2019-2024)
Rank
1
2
3
4
5
6
7
8
9
10
11
12
13
14
15
16
17
18
19
20
21
22
23
24
25
26
27
28
29
30
31
32
33
34
35
36
37
38
39
40
41
42
43
44
45
46
47
48
49
50
Company Name
Linde India
Varun Beverages
Hind. Aeronautics
Bharat Electronics
Thermax
NMDC
Adani Green
Adani Enterprises
Jindal Stainless
Persistent Systems
CG Power & Ind
Adani Power
Trent
Tube Investments
Solar Industries
Tata Consumer
ABB
Apollo Hospitals
Siemens
Jindal Steel
Cummins India
GMR Airports Inf
Cholaman. Inv. & Fin.
NHPC
Supreme Inds
Astral
P I Industries
L&T Technology
HCL Technologies
Power Grid Corp
Cipla
Larsen & Toubro
ICICI Bank
Bajaj Holdings
Reliance Inds
State Bank of India
Dixon Technologies
Tata Elxsi
JSW Energy
Suzlon Energy
Tata Motors
Torrent Power
Tata Power
SJVN
SRF
Bank of Maharashtra
Adani Energy
TVS Motor
DLF
Power Finance Corp
No. of years of
outperformance
5
5
5
5
5
5
4
4
4
4
4
4
4
4
4
4
4
4
4
4
4
4
4
4
4
4
4
4
4
4
4
4
4
4
4
4
3
3
3
3
3
3
3
3
3
3
3
3
3
3
No. of years of
outperformance
2019-24
TR CAGR (%)
68
61
58
46
34
26
118
85
77
67
66
62
62
58
52
41
40
39
37
37
33
33
32
32
31
31
31
29
26
24
24
23
23
21
20
20
74
53
49
48
42
41
40
40
40
37
36
36
35
35
2019-24
TR CAGR (%)
2019-24
Market Cap (INR bn)
PAT CAGR (%)
2024
2019
76
547
42
47
1,817
158
27
2,225
237
16
1,473
227
10
500
116
5
591
319
L to P
2,905
58
34
3,641
162
79
572
19
27
615
51
L to P
825
27
L to P
2,058
186
56
1,404
120
38
722
72
28
795
97
27
1,044
128
20
1,348
280
30
913
170
17
1,914
402
L to P
867
174
18
834
207
Loss
493
120
23
972
226
9
900
249
21
537
141
22
535
139
33
587
142
11
580
163
9
4,188
1,476
8
2,577
1,036
24
1,207
426
8
5,188
1,941
60
7,695
2,571
19
923
380
12
20,140
8,640
100
6,717
2,863
42
448
27
22
484
60
19
870
119
L to P
546
33
L to P
3,635
547
15
651
124
L to P
1,259
200
-10
477
95
16
758
138
L to P
441
36
13
1,144
240
18
1,022
225
17
2,224
395
15
1,288
325
2019-24
Market Cap (INR bn)
PAT CAGR (%)
2024
2019
RoE (%)
2024 2019
12
2
31
15
26
19
24
20
13
12
23
18
13
-24
9
5
18
6
22
14
46
-17
48
-12
22
6
23
16
28
21
8
6
21
13
13
7
15
11
13
-1
25
17
31
334
17
19
9
8
20
19
17
15
19
18
24
31
23
24
19
18
16
9
15
14
17
4
13
11
9
10
17
1
22
17
32
31
8
6
18
18
38
-2
15
10
11
0
6
13
12
16
22
-106
8
7
24
22
7
4
20
21
RoE (%)
2024 2019
P/E (x)
2024 2019
127
163
86
52
29
10
37
12
85
31
10
7
226
-
103
20
22
14
57
16
59
-
10
-
154
121
60
30
87
37
77
31
108
56
104
72
99
45
15
-
50
28
-
-
28
19
25
11
52
35
100
71
35
35
45
21
27
15
16
10
29
30
40
22
17
60
13
12
29
22
10
136
121
42
61
21
52
17
76
-
11
-
37
14
37
-
58
7
57
22
11
-
110
43
63
32
83
32
7
3
P/E (x)
2024 2019
Rank Company Name
December 2024
66
 Motilal Oswal Financial Services
29th Annual Wealth Creation Study (2019-2024)
Appendix 3: The 100 Biggest Wealth Creators sorted by Consistency (2019-2024) … continued
Rank
51
52
53
54
55
56
57
58
59
60
61
62
63
64
65
66
67
68
69
70
71
72
73
74
75
76
77
78
79
80
81
82
83
84
85
86
87
88
89
90
91
92
93
94
95
96
97
98
99
100
Company Name
IOB
Bharti Airtel
Indian Hotels Co
Oil India
Sun Pharma
Tata Comm
Titan Company
Bajaj Auto
BHEL
Tata Steel
Avenue Supermarts
LTIMindtree
Info Edge (India)
Zydus Lifesciences
M&M
Alkem Lab
Hindalco Inds
SAIL
Torrent Pharma
Ambuja Cements
NTPC
SBI Life Insurance
Nestle India
UltraTech Cement
Dr Reddy's Labs
Coal India
Infosys
Lupin
Bank of Baroda
Canara Bank
Divi’s Labs
United Spirits
Hero Motocorp
Adani Total Gas
REC
Abbott India
Adani Ports
JSW Steel
Godrej Properties
UCO Bank
Grasim Inds
HDFC AMC
Vedanta
Interglobe Aviation
Pidilite Inds
Bajaj Finance
Bajaj Finserv
Colgate-Palmolive
TCS
Oracle Financial
No. of years of
outperformance
3
3
3
3
3
3
3
3
3
3
3
3
3
3
3
3
3
3
3
3
3
3
3
3
3
3
3
3
3
3
3
3
3
2
2
2
2
2
2
2
2
2
2
2
2
2
2
2
2
1
No. of years of
outperformance
2019-24
TR CAGR (%)
33
33
32
29
28
28
28
27
27
27
25
25
25
24
24
24
23
23
23
22
22
21
20
20
18
17
17
17
17
16
16
16
15
48
35
31
29
24
23
23
22
21
20
20
20
19
19
18
16
24
2019-24
TR CAGR (%)
2019-24
Market Cap (INR bn)
PAT CAGR (%)
2024
2019
L to P
1,134
132
L to P
7,273
1,331
35
842
184
15
651
201
22
3,888
1,150
L to P
573
175
20
3,378
1,010
11
2,553
844
-23
861
261
-5
1,946
592
23
2,947
917
25
1,462
292
45
724
225
17
1,012
355
17
2,389
835
20
591
209
14
1,259
461
6
554
222
22
880
330
8
1,346
467
7
3,258
1,339
6
1,500
580
20
2,529
1,060
24
2,813
1,098
24
1,027
461
16
2,673
1,459
11
6,221
3,243
21
737
334
77
1,366
341
91
1,054
220
3
912
452
15
825
402
2
943
510
23
1,018
142
20
1,187
302
22
573
155
17
2,898
783
2
2,033
708
25
639
187
L to P
624
102
14
1,530
564
16
801
326
-14
1,010
683
L to P
1,368
549
14
1,533
631
29
4,482
1,748
20
2,622
1,120
12
737
342
8
14,051
7,506
10
760
291
2019-24
Market Cap (INR bn)
PAT CAGR (%)
2024
2019
RoE (%)
2024 2019
11
-28
15
-1
13
6
16
14
16
9
60
45
37
23
27
20
1
3
8
14
13
16
23
31
2
3
19
17
17
13
18
14
10
9
6
7
23
13
8
10
13
14
11
17
117
44
12
7
20
13
45
66
34
24
13
5
16
2
18
2
12
19
19
22
21
26
19
22
20
17
32
22
17
17
11
22
7
9
7
-29
7
5
27
30
11
11
359
-3
21
23
19
20
14
14
71
52
52
35
28
28
RoE (%)
2024 2019
P/E (x)
2024 2019
43
-
58
-
68
66
8
5
39
31
53
-
97
72
33
18
311
26
26
6
117
103
32
19
136
275
26
20
21
16
31
27
12
9
15
8
56
55
41
20
16
9
90
46
64
66
40
46
19
25
7
8
24
21
39
46
7
31
7
36
57
33
60
59
25
15
153
59
8
5
48
35
33
19
24
9
98
87
37
-
26
19
41
35
31
10
19
-
86
67
31
44
32
35
55
45
30
24
34
21
P/E (x)
2024 2019
Rank Company Name
Note:
Total Return CAGR considers price of March 2024 + Cumulative Dividends over 5 years (2020 to 2024)
L to P stands for Loss to Profit
December 2024
67
 Motilal Oswal Financial Services
29th Annual Wealth Creation Study (2019-2024)
Appendix 4: The 100 All-round Wealth Creators (2019-2024)
All-round
Rank
1
2
3
4
5
6
7
8
9
10
11
12
13
14
15
16
17
18
19
20
21
22
23
24
25
26
27
28
29
30
31
32
33
34
35
36
37
38
39
40
41
42
43
44
45
46
47
48
49
50
Company
Adani Enterprises
Adani Green
Hind. Aeronautics
Varun Beverages
Adani Power
Bharat Electronics
Trent
Tata Motors
CG Power & Ind
Siemens
ABB
Linde India
Persistent Systems
Tata Consumer
Solar Industries
Tube Investments
Bharti Airtel
HCL Technologies
Apollo Hospitals
Tata Power
DLF
Jindal Stainless
Larsen & Toubro
ICICI Bank
JSW Energy
Jindal Steel
Power Grid Corp
Sun Pharma
Power Finance Corp
Cummins India
Cholaman. Inv. & Fin.
Adani Energy
NHPC
Reliance Inds
Titan Company
State Bank of India
TVS Motor
IOB
Bajaj Auto
Dixon Technologies
Torrent Power
SRF
Tata Elxsi
Suzlon Energy
Avenue Supermarts
Thermax
GMR Airports Inf
Adani Total Gas
Tata Steel
Adani Ports
Biggest
8
12
17
25
21
32
33
9
53
28
36
77
70
49
58
63
3
10
55
35
22
95
7
4
54
59
19
11
34
62
57
45
56
1
14
5
51
43
20
91
71
64
84
80
18
100
81
44
30
16
Rank
Fastest
2
1
12
10
8
18
9
19
7
27
23
5
6
21
14
11
38
57
26
22
32
3
68
70
15
29
65
50
33
36
40
30
42
86
52
87
31
37
53
4
20
25
13
17
58
35
39
16
55
47
Rank
Fastest
Consistent
8
7
3
2
12
4
13
41
11
19
17
1
10
16
15
14
52
29
18
43
49
9
32
33
39
20
30
55
50
21
23
47
24
35
57
36
48
51
58
37
42
45
38
40
61
5
22
84
60
87
Total of
Ranks
18
20
32
37
41
54
55
69
71
74
76
83
86
86
87
88
93
96
99
100
103
107
107
107
108
108
114
116
117
119
120
122
122
122
123
128
130
131
131
132
133
134
135
137
137
140
142
144
145
150
Total of
Ranks
2019-24
Total Ret. CAGR (%)
85
118
58
61
62
46
62
42
66
37
40
68
67
41
52
58
33
26
39
40
35
77
23
23
49
37
24
28
35
33
32
36
32
20
28
20
36
33
27
74
41
40
53
48
25
34
33
48
27
29
2019-24
Total Ret. CAGR (%)
68
All-round
Rank
Company
December 2024
Biggest
Consistent
 Motilal Oswal Financial Services
29th Annual Wealth Creation Study (2019-2024)
Appendix 4: The 100 All-round Wealth Creators (2019-2024) … continued
All-round
Rank
51
52
53
54
55
56
57
58
59
60
61
62
63
64
65
66
67
68
69
70
71
72
73
74
75
76
77
78
79
80
81
82
83
84
85
86
87
88
89
90
91
92
93
94
95
96
97
98
99
100
Company
Cipla
M&M
REC
NMDC
SJVN
Indian Hotels Co
P I Industries
L&T Technology
Bank of Maharashtra
Supreme Inds
NTPC
Astral
Infosys
Oil India
BHEL
JSW Steel
Bajaj Holdings
UltraTech Cement
LTIMindtree
Nestle India
Zydus Lifesciences
Hindalco Inds
Ambuja Cements
SBI Life Insurance
Coal India
Tata Comm
Bajaj Finance
TCS
Info Edge (India)
Grasim Inds
Abbott India
Torrent Pharma
Vedanta
Bank of Baroda
Bajaj Finserv
Pidilite Inds
Canara Bank
Alkem Lab
Interglobe Aviation
UCO Bank
Dr Reddy's Labs
Oracle Financial
SAIL
HDFC AMC
Godrej Properties
Divi’s Labs
Hero Motocorp
Lupin
United Spirits
Colgate-Palmolive
Biggest
52
26
37
94
89
65
86
85
88
93
15
97
6
76
66
31
67
24
61
27
60
48
46
41
23
90
13
2
79
39
83
69
38
40
29
42
47
96
50
73
68
72
99
75
98
78
74
92
87
82
Rank
Fastest
67
63
34
56
24
41
46
48
28
44
77
45
93
49
54
61
80
83
59
82
62
72
75
78
92
51
88
96
60
76
43
74
81
95
89
85
97
64
84
71
91
66
73
79
69
98
100
94
99
90
Rank
Fastest
Consistent
31
65
85
6
44
53
27
28
46
25
71
26
77
54
59
88
34
74
62
73
64
67
70
72
76
56
96
99
63
91
86
69
93
79
97
95
80
66
94
90
75
100
68
92
89
81
83
78
82
98
Total of
Ranks
150
154
156
156
157
159
159
161
162
162
163
168
176
179
179
180
181
181
182
182
186
187
191
191
191
197
197
197
202
206
212
212
212
214
215
222
224
226
228
234
234
238
240
246
256
257
257
264
268
270
Total of
Ranks
2019-24
Total Ret. CAGR (%)
24
24
35
26
40
32
31
29
37
31
22
31
17
29
27
24
21
20
25
20
24
23
22
21
17
28
19
16
25
22
31
23
20
17
19
20
16
24
20
23
18
24
23
21
23
16
15
17
16
18
2019-24
Total Ret. CAGR (%)
69
All-round
Rank
Company
December 2024
Biggest
Consistent
 Motilal Oswal Financial Services
29th Annual Wealth Creation Study (2019-2024)
Appendix 5: The 100 Wealth Creators (2019-24) – Alphabetical order
Company
ABB
Abbott India
Adani Energy
Adani Enterprises
Adani Green
Adani Ports
Adani Power
Adani Total Gas
Alkem Lab
Ambuja Cements
Apollo Hospitals
Astral
Avenue Supermarts
BHEL
Bajaj Auto
Bajaj Finance
Bajaj Finserv
Bajaj Holdings
Bank of Baroda
Bank of Maharashtra
Bharat Electronics
Bharti Airtel
Canara Bank
CG Power & Ind
Cholaman. Inv. & Fin.
Cipla
Coal India
Colgate-Palmolive
Cummins India
Divi’s Labs
Dixon Technologies
DLF
Dr Reddy's Labs
GMR Airports Inf
Godrej Properties
Grasim Inds
HCL Technologies
HDFC AMC
Hero Motocorp
Hind. Aeronautics
Hindalco Inds
IOB
ICICI Bank
Indian Hotels Co
Info Edge (India)
Infosys
Interglobe Aviation
Jindal Stainless
Jindal Steel
JSW Energy
Biggest
36
83
45
8
12
16
21
44
96
46
55
97
18
66
20
13
29
67
40
88
32
3
47
53
57
52
23
82
62
78
91
22
68
81
98
39
10
75
74
17
48
43
4
65
79
6
50
95
59
54
Wealth Creation Rank
Fastest
Consistent
23
17
43
86
30
47
2
8
1
7
47
87
8
12
16
84
64
66
75
70
26
18
45
26
58
61
54
59
53
58
88
96
89
97
80
34
95
79
28
46
18
4
38
52
97
80
7
11
40
23
67
31
92
76
90
98
36
21
98
81
4
37
32
49
91
75
39
22
69
89
76
91
57
29
79
92
100
83
12
3
72
67
37
51
70
33
41
53
60
63
93
77
84
94
3
9
29
20
15
39
Wealth Creation Rank
Fastest
Consistent
All-round
11
81
32
1
2
50
5
48
88
73
19
62
45
65
39
77
85
67
84
59
6
17
87
9
31
51
75
100
30
96
40
21
91
47
95
80
18
94
97
3
72
38
24
56
79
63
89
22
26
25
Wealth Created
INR bn
1,079
450
866
3,408
2,808
2,092
1,840
877
403
851
739
396
1,987
604
1,951
2,615
1,505
592
939
428
1,297
5,449
833
793
721
808
1,798
450
658
494
419
1,810
590
457
395
983
3,150
522
538
2,063
830
879
5,109
623
489
3,893
814
406
694
765
Wealth Created
INR bn
Total Return
CAGR (%)
40
31
36
85
118
29
62
48
24
22
39
31
25
27
27
19
19
21
17
37
46
33
16
66
32
24
17
18
33
16
74
35
18
33
23
22
26
21
15
58
23
33
23
32
25
17
20
77
37
49
Total Return
CAGR (%)
Total Return
Times (x)
5.4
3.9
4.7
21.7
49.2
3.6
11.1
7.2
2.9
2.7
5.2
3.8
3.1
3.3
3.3
2.4
2.3
2.6
2.2
4.8
6.7
4.2
2.1
12.7
4.0
2.9
2.2
2.3
4.2
2.1
15.9
4.5
2.3
4.1
2.8
2.7
3.1
2.6
2.1
9.7
2.8
4.2
2.8
4.0
3.1
2.2
2.5
17.3
4.8
7.4
Total Return
Times (x)
70
Company
December 2024
Biggest
All-round
 Motilal Oswal Financial Services
29th Annual Wealth Creation Study (2019-2024)
Appendix 5: The 100 Wealth Creators (2019-24) – Alphabetical order … continued
Company
JSW Steel
L&T Technology
Larsen & Toubro
Linde India
LTIMindtree
Lupin
M&M
Nestle India
NHPC
NMDC
NTPC
Oil India
Oracle Financial
P I Industries
Persistent Systems
Pidilite Inds
Power Finance Corp
Power Grid Corp
REC
Reliance Inds
SAIL
SBI Life Insurance
Siemens
SJVN
Solar Industries
SRF
State Bank of India
Sun Pharma
Supreme Inds
Suzlon Energy
Tata Comm
Tata Consumer
Tata Elxsi
Tata Motors
Tata Power
Tata Steel
TCS
Thermax
Titan Company
Torrent Pharma
Torrent Power
Trent
Tube Investments
TVS Motor
UCO Bank
UltraTech Cement
United Spirits
Varun Beverages
Vedanta
Zydus Lifesciences
Biggest
31
85
7
77
61
92
26
27
56
94
15
76
72
86
70
42
34
19
37
1
99
41
28
89
58
64
5
11
93
80
90
49
84
9
35
30
2
100
14
69
71
33
63
51
73
24
87
25
38
60
Wealth Creation Rank
Fastest
Consistent
61
88
48
28
68
32
5
1
59
62
94
78
63
65
82
73
42
24
56
6
77
71
49
54
66
100
46
27
6
10
85
95
33
50
65
30
34
85
86
35
73
68
78
72
27
19
24
44
14
15
25
45
87
36
50
55
44
25
17
40
51
56
21
16
13
38
19
41
22
43
55
60
96
99
35
5
52
57
74
69
20
42
9
13
11
14
31
48
71
90
83
74
99
82
10
2
81
93
62
64
Wealth Creation Rank
Fastest
Consistent
All-round
66
58
23
12
69
98
52
70
33
54
61
64
92
57
13
86
29
27
53
34
93
74
10
55
15
42
36
28
60
44
76
14
43
8
20
49
78
46
35
82
41
7
16
37
90
68
99
4
83
71
Wealth Created Total Return
INR bn
CAGR (%)
1,412
24
433
29
3,530
23
509
68
666
25
413
17
1,620
24
1,592
20
739
32
409
26
2,247
22
520
29
555
24
431
31
577
67
928
20
1,126
35
1,983
24
1,038
35
11,178
20
394
23
929
21
1,528
37
420
40
701
52
624
40
4,176
20
2,850
28
410
31
464
48
420
28
815
41
439
53
3,164
42
1,112
40
1,464
27
8,312
16
389
34
2,400
28
586
23
563
41
1,278
62
649
58
808
36
547
23
1,711
20
429
16
1,662
61
1,031
20
689
24
Wealth Created
INR bn
Total Ret.
CAGR (%)
Total Return
Times (x)
3.0
3.6
2.8
13.2
3.1
2.2
2.9
2.5
4.0
3.2
2.7
3.6
2.9
3.8
12.8
2.5
4.5
2.9
4.4
2.5
2.8
2.6
4.8
5.4
8.2
5.4
2.5
3.5
3.9
7.2
3.4
5.5
8.3
5.7
5.5
3.3
2.1
4.4
3.4
2.8
5.6
11.0
9.8
4.6
2.8
2.5
2.1
10.9
2.5
3.0
Total Ret.
Times (x)
Company
Biggest
All-round
Note:
Total Return CAGR considers price of March 2024 + Cumulative Dividends over 5 years (2020 to 2024)
December 2024
71
 Motilal Oswal Financial Services
29th Annual Wealth Creation Study (2019-2024)
Appendix 6: Top 20 Fastest Wealth Creators (2019-24) by Market Cap Category
Large Cap (Mkt cap rank 1 to 100)
Company
Tata Motors
Siemens
DLF
Power Finance Corp
REC
Bharti Airtel
Adani Ports
Sun Pharma
Titan Company
Bajaj Auto
Tata Steel
NMDC
HCL Technologies
Avenue Supermarts
LTIMindtree
JSW Steel
Zydus Lifesciences
M&M
Power Grid Corp
Oracle Financial
2019-24
Total Return CAGR (%)
42
37
35
35
35
33
29
28
28
27
27
26
26
25
25
24
24
24
24
24
Mid Cap (Mkt cap rank 101 to 250)
Company
Adani Enterprises
Adani Power
Trent
Varun Beverages
Hind. Aeronautics
Solar Industries
JSW Energy
Adani Total Gas
Bharat Electronics
Torrent Power
Tata Consumer
Tata Power
ABB
SJVN
SRF
Apollo Hospitals
Jindal Steel
Adani Energy
Prestige Estates
TVS Motor
2019-24
Total Return CAGR (%)
85
62
62
61
58
52
49
48
46
41
41
40
40
40
40
39
37
36
36
36
Small Cap (Mkt cap rank 251 to 500)
Company
Adani Green
FACT
Dixon Technologies
Linde India
Persistent Systems
CG Power & Ind
BSE
Apar Inds
APL Apollo Tubes
Tube Investments
J B Chemicals
Tata Elxsi
Suven Life Sciences
KEI Industries
Deepak Nitrite
Birlasoft
Tata Inv. Corp
K P R Mill
CDSL
Suzlon Energy
2019-24
Total Return CAGR (%)
118
77
74
68
67
66
66
60
60
58
57
53
52
52
51
51
50
49
49
48
Micro Cap (Mkt cap rank 501 to 1000)
Company
Bombay Super
Tata Tele. Maha.
Tanla Platforms
HBL Power System
Jindal Stainless
JBM Auto
Elecon Engg
Godawari Power
Titagarh Rail
Zen Technologies
ION Exchange
Action Construction
Gravita India
Sanghvi Movers
BLS International
AGI Greenpac
One Point One
3i Infotech
Valor Estate
Neuland Labs
2019-24
Total Return CAGR (%)
94
89
87
78
77
76
72
68
67
67
67
66
65
65
62
61
61
59
59
56
Investment in securities market are subject to market risks. Read all the related documents carefully before investing.
December 2024
72
 Motilal Oswal Financial Services
29th Annual Wealth Creation Study (2019-2024)
SPACE FOR NOTES
December 2024
73
 Motilal Oswal Financial Services
29th Annual Wealth Creation Study (2019-2024)
SPACE FOR NOTES
December 2024
74
 Motilal Oswal Financial Services
29th Annual Wealth Creation Study (2019-2024)
SPACE FOR NOTES
December 2024
75
 Motilal Oswal Financial Services
Explanation of Investment Rating
Investment Rating
BUY
SELL
NEUTRAL
UNDER REVIEW
NOT RATED
Expected return (over 12-month)
>=15%
< - 10%
> - 10 % to 15%
Rating may undergo a change
We have forward looking estimates for the stock but we refrain from assigning recommendation
*In case the recommendation given by the Research Analyst is inconsistent with the investment rating legend for a continuous period of 30 days, the Research Analyst shall within following 30 days take
appropriate measures to make the recommendation consistent with the investment rating legend.
Disclosures:
The following Disclosures are being made in compliance with the SEBI Research Analyst Regulations 2014 (herein after referred to as the Regulations).
Motilal Oswal Financial Services Ltd. (MOFSL) is a SEBI Registered Research Analyst having registration no. INH000000412. MOFSL, the Research Entity (RE) as defined in the Regulations, is engaged in
the business of providing Stock broking services, Depository participant services & distribution of various financial products. MOFSL is a listed public company, the details in respect of which are available on
www.motilaloswal.com.
MOFSL (erstwhile Motilal Oswal Securities Limited - MOSL) is registered with the Securities & Exchange Board of India (SEBI) and is a registered Trading Member with National Stock
Exchange of India Ltd. (NSE) and Bombay Stock Exchange Limited (BSE), Multi Commodity Exchange of India Limited (MCX) and National Commodity & Derivatives Exchange Limited (NCDEX) for its stock
broking activities & is Depository participant with Central Depository Services Limited (CDSL) National Securities Depository Limited (NSDL),NERL, COMRIS and CCRL and is member of Association of
Mutual Funds of India (AMFI) for distribution of financial products and Insurance Regulatory & Development Authority of India (IRDA) as Corporate Agent for insurance products. Details of associate entities of
Motilal Oswal Financial Services Ltd. are available on the website at
http://onlinereports.motilaloswal.com/Dormant/documents/Associate%20Details.pdf
Details of pending Enquiry Proceedings of Motilal Oswal Financial Services Limited are available on the website at
https://galaxy.motilaloswal.com/ResearchAnalyst/PublishViewLitigation.aspx
MOFSL, it’s associates, Research Analyst or their relatives may have any financial interest in the subject company. MOFSL and/or its associates and/or Research Analyst or their relatives may have actual
beneficial ownership of 1% or more securities in the subject company at the end of the month immediately preceding the date of publication of the Research Report or date of the public appearance.
MOFSL
and its associate company(ies), their directors and Research Analyst and their relatives may have any other potential conflict of interests at the time of publication of the research report or at the time of public
appearance, however the same shall have no bearing whatsoever on the specific recommendations made by the analyst(s), as the recommendations made by the analyst(s) are completely independent of the
views of the associates of MOFSL even though there might exist an inherent conflict of interest in some of the stocks mentioned in the research report.
In the past 12 months, MOFSL or any of its associates may have:
a)
received any compensation/other benefits from the subject company of this report
b)
managed or co-managed public offering of securities from subject company of this research report,
c)
received compensation for investment banking or merchant banking or brokerage services from subject company of this research report,
d)
received compensation for products or services other than investment banking or merchant banking or brokerage services from the subject company of this research report.
MOFSL and it’s associates have not received any compensation or other benefits from the subject company or third party in connection with the research report.
Subject Company may have been a client of MOFSL or its associates during twelve months preceding the date of distribution of the research report.
Research Analyst may have served as director/officer/employee in the subject company.
MOFSL and research analyst may engage in market making activity for the subject company.
MOFSL and its associate company(ies), and Research Analyst and their relatives from time to time may have:
a) a long or short position in, act as principal in, and buy or sell the securities or derivatives thereof of companies mentioned herein.
(b) be engaged in any other transaction involving such securities and earn brokerage or other compensation or act as a market maker in the financial instruments of the company(ies) discussed herein or act
as an advisor or lender/borrower to such company(ies) or may have any other potential conflict of interests with respect to any recommendation and other related information and opinions.; however the same
shall have no bearing whatsoever on the specific recommendations made by the analyst(s), as the recommendations made by the analyst(s) are completely independent of the views of the associates of
MOFSL even though there might exist an inherent conflict of interest in some of the stocks mentioned in the research report.
Above disclosures include beneficial holdings lying in demat account of MOFSL which are opened for proprietary investments only. While calculating beneficial holdings, It does not consider demat accounts
which are opened in name of MOFSL for other purposes (i.e holding client securities, collaterals, error trades etc.). MOFSL also earns DP income from clients which are not considered in above disclosures.
To enhance transparency, MOFSL has incorporated a Disclosure of Interest Statement in this document. This should, however, not be treated as endorsement of the views expressed in the report. MOFSL
and / or its affiliates do and seek to do business including investment banking with companies covered in its research reports. As a result, the recipients of this report should be aware that MOFSL may have a
potential conflict of interest that may affect the objectivity of this report.
Terms & Conditions:
This report has been prepared by MOFSL and is meant for sole use by the recipient and not for circulation. The report and information contained herein is strictly confidential and may not be altered in any
way, transmitted to, copied or distributed, in part or in whole, to any other person or to the media or reproduced in any form, without prior written consent of MOFSL. The report is based on the facts, figures
and information that are considered true, correct, reliable and accurate. The intent of this report is not recommendatory in nature. The information is obtained from publicly available media or other sources
believed to be reliable. Such information has not been independently verified and no guaranty, representation of warranty, express or implied, is made as to its accuracy, completeness or correctness. All such
information and opinions are subject to change without notice. The report is prepared solely for informational purpose and does not constitute an offer document or solicitation of offer to buy or sell or
subscribe for securities or other financial instruments for the clients. Though disseminated to all the customers simultaneously, not all customers may receive this report at the same time. MOFSL will not treat
recipients as customers by virtue of their receiving this report.
Analyst Certification
The views expressed in this research report accurately reflect the personal views of the analyst(s) about the subject securities or issues, and no part of the compensation of the research analyst(s) was, is, or
will be directly or indirectly related to the specific recommendations and views expressed by research analyst(s) in this report.
Disclosure of Interest Statement
Companies where there is interest
Analyst ownership of the stock
No
A graph of daily closing prices of securities is available at
www.nseindia.com, www.bseindia.com.
Research Analyst views on Subject Company may vary based on Fundamental research and Technical
Research. Proprietary trading desk of MOFSL or its associates maintains arm’s length distance with Research Team as all the activities are segregated from MOFSL research activity and therefore it can have
an independent view with regards to subject company for which Research Team have expressed their views.
Regional Disclosures (outside India)
This report is not directed or intended for distribution to or use by any person or entity resident in a state, country or any jurisdiction, where such distribution, publication, availability or use would be contrary to
law, regulation or which would subject MOFSL & its group companies to registration or licensing requirements within such jurisdictions.
For Hong Kong:
This report is distributed in Hong Kong by Motilal Oswal capital Markets (Hong Kong) Private Limited, a licensed corporation (CE AYY-301) licensed and regulated by the Hong Kong Securities and Futures
Commission (SFC) pursuant to the Securities and Futures Ordinance (Chapter 571 of the Laws of Hong Kong) “SFO”. As per SEBI (Research Analyst Regulations) 2014 Motilal Oswal Financial Services
Limited (SEBI Reg No. INH000000412) has an agreement with Motilal Oswal capital Markets (Hong Kong) Private Limited for distribution of research report in Hong Kong. This report is intended for
distribution only to “Professional Investors” as defined in Part I of Schedule 1 to SFO. Any investment or investment activity to which this document relates is only available to professional investor and will be
engaged only with professional investors.” Nothing here is an offer or solicitation of these securities, products and services in any jurisdiction where their offer or sale is not qualified or exempt from
registration. The Indian Analyst(s) who compile this report is/are not located in Hong Kong & are not conducting Research Analysis in Hong Kong.
For U.S.
MOTILAL Oswal Financial Services Limited (MOFSL) is not a registered broker - dealer under the U.S. Securities Exchange Act of 1934, as amended (the"1934 act") and under applicable state laws in the
United States. In addition MOFSL is not a registered investment adviser under the U.S. Investment Advisers Act of 1940, as amended (the "Advisers Act" and together with the 1934 Act, the "Acts), and under
 Motilal Oswal Financial Services
applicable state laws in the United States. Accordingly, in the absence of specific exemption under the Acts, any brokerage and investment services provided by MOFSL, including the products and services
described herein are not available to or intended for U.S. persons. This report is intended for distribution only to "Major Institutional Investors" as defined by Rule 15a-6(b)(4) of the Exchange Act and
interpretations thereof by SEC (henceforth referred to as "major institutional investors"). This document must not be acted on or relied on by persons who are not major institutional investors. Any investment
or investment activity to which this document relates is only available to major institutional investors and will be engaged in only with major institutional investors. In reliance on the exemption from registration
provided by Rule 15a-6 of the U.S. Securities Exchange Act of 1934, as amended (the "Exchange Act") and interpretations thereof by the U.S. Securities and Exchange Commission ("SEC") in order to
conduct business with Institutional Investors based in the U.S., MOFSL has entered into a chaperoning agreement with a U.S. registered broker-dealer, Motilal Oswal Securities International Private Limited.
("MOSIPL"). Any business interaction pursuant to this report will have to be executed within the provisions of this chaperoning agreement.
The Research Analysts contributing to the report may not be registered /qualified as research analyst with FINRA. Such research analyst may not be associated persons of the U.S. registered broker-dealer,
MOSIPL, and therefore, may not be subject to NASD rule 2711 and NYSE Rule 472 restrictions on communication with a subject company, public appearances and trading securities held by a research
analyst account.
For Singapore
In Singapore, this report is being distributed by Motilal Oswal Capital Markets (Singapore) Pte. Ltd. (“MOCMSPL”) (UEN 201129401Z), which is a holder of a capital markets services license and an exempt
financial adviser in Singapore.This report is distributed solely to persons who (a) qualify as “institutional investors” as defined in section 4A(1)(c) of the Securities and Futures Act of Singapore (“SFA”) or (b)
are considered "accredited investors" as defined in section 2(1) of the Financial Advisers Regulations of Singapore read with section 4A(1)(a) of the SFA. Accordingly, if a recipient is neither an “institutional
investor” nor an “accredited investor”, they must immediately discontinue any use of this Report and inform MOCMSPL .
In respect of any matter arising from or in connection with the research you could contact the following representatives of MOCMSPL. In case of grievances for any of the services rendered by MOCMSPL
write to
grievances@motilaloswal.com.
Nainesh Rajani
Email:
nainesh.rajani@motilaloswal.com
Contact: (+65) 8328 0276
Disclaimer:
The report and information contained herein is strictly confidential and meant solely for the selected recipient and may not be altered in any way, transmitted to, copied or distributed, in part or in whole, to any
other person or to the media or reproduced in any form, without prior written consent. This report and information herein is solely for informational purpose and may not be used or considered as an offer
document or solicitation of offer to buy or sell or subscribe for securities or other financial instruments. Nothing in this report constitutes investment, legal, accounting and tax advice or a representation that
any investment or strategy is suitable or appropriate to your specific circumstances. The securities discussed and opinions expressed in this report may not be suitable for all investors, who must make their
own investment decisions, based on their own investment objectives, financial positions and needs of specific recipient. This may not be taken in substitution for the exercise of independent judgment by any
recipient. Each recipient of this document should make such investigations as it deems necessary to arrive at an independent evaluation of an investment in the securities of companies referred to in this
document (including the merits and risks involved), and should consult its own advisors to determine the merits and risks of such an investment. The investment discussed or views expressed may not be
suitable for all investors. Certain transactions -including those involving futures, options, another derivative products as well as non-investment grade securities - involve substantial risk and are not suitable for
all investors. No representation or warranty, express or implied, is made as to the accuracy, completeness or fairness of the information and opinions contained in this document. The Disclosures of Interest
Statement incorporated in this document is provided solely to enhance the transparency and should not be treated as endorsement of the views expressed in the report. This information is subject to change
without any prior notice. The Company reserves the right to make modifications and alternations to this statement as may be required from time to time without any prior approval. MOFSL, its associates, their
directors and the employees may from time to time, effect or have effected an own account transaction in, or deal as principal or agent in or for the securities mentioned in this document. They may perform or
seek to perform investment banking or other services for, or solicit investment banking or other business from, any company referred to in this report. Each of these entities functions as a separate, distinct
and independent of each other. The recipient should take this into account before interpreting the document. This report has been prepared on the basis of information that is already available in publicly
accessible media or developed through analysis of MOFSL. The views expressed are those of the analyst, and the Company may or may not subscribe to all the views expressed therein. This document is
being supplied to you solely for your information and may not be reproduced, redistributed or passed on, directly or indirectly, to any other person or published, copied, in whole or in part, for any purpose. This
report is not directed or intended for distribution to, or use by, any person or entity who is a citizen or resident of or located in any locality, state, country or other jurisdiction, where such distribution,
publication, availability or use would be contrary to law, regulation or which would subject MOFSL to any registration or licensing requirement within such jurisdiction. The securities described herein may or
may not be eligible for sale in all jurisdictions or to certain category of investors. Persons in whose possession this document may come are required to inform themselves of and to observe such restriction.
Neither the Firm, not its directors, employees, agents or representatives shall be liable for any damages whether direct or indirect, incidental, special or consequential including lost revenue or lost profits that
may arise from or in connection with the use of the information.
The person accessing this information specifically agrees to exempt MOFSL or any of its affiliates or employees from, any and all
responsibility/liability arising from such misuse and agrees not to hold MOFSL or any of its affiliates or employees responsible for any such misuse and further agrees to hold MOFSL or any of its affiliates or
employees free and harmless from all losses, costs, damages,
expenses that may be suffered by the person accessing this information due to any errors and delays.
This report is meant for the clients of Motilal Oswal only.
Investment in securities market are subject to market risks. Read all the related documents carefully before investing.
Registration granted by SEBI and certification from NISM in no way guarantee performance of the intermediary or provide any assurance of returns to investors.
Registered Office Address: Motilal Oswal Tower, Rahimtullah Sayani Road, Opposite Parel ST Depot, Prabhadevi, Mumbai-400025; Tel No.: 022 - 71934200 / 71934263; www.motilaloswal.com.
Correspondence Address: Palm Spring Centre, 2nd Floor, Palm Court Complex, New Link Road, Malad (West), Mumbai- 400 064. Tel No: 022 71881000. Details of Compliance Officer: Neeraj Agarwal, Email
Id: na@motilaloswal.com, Contact No.:022-40548085.
Grievance Redressal Cell:
Contact Person
Ms. Hemangi Date
Ms. Kumud Upadhyay
Mr. Ajay Menon
Contact No.
022 40548000 / 022 67490600
022 40548082
022 40548083
Email ID
query@motilaloswal.com
servicehead@motilaloswal.com
am@motilaloswal.com
Registration details of group entities.: Motilal Oswal Financial Services Ltd. (MOFSL): INZ000158836 (BSE/NSE/MCX/NCDEX); CDSL and NSDL: IN-DP-16-2015; Research Analyst: INH000000412 . AMFI:
ARN .: 146822. IRDA Corporate Agent – CA0579. Motilal Oswal Financial Services Ltd. is a distributor of Mutual Funds, PMS, Fixed Deposit, Insurance, Bond, NCDs and IPO products.
Customer having any query/feedback/ clarification may write to query@motilaloswal.com. In case of grievances for any of the services rendered by Motilal Oswal Financial Services Limited (MOFSL) write to
grievances@motilaloswal.com, for DP to dpgrievances@motilaloswal.com.
 Motilal Oswal Financial Services
Motilal Oswal Wealth Creation Study Gallery