India Strategy | Review 3QFY25
India Strategy
BSE Sensex: 75,939
Refer to our Dec’24
Quarter Preview
Nifty-50: 22,929
Earnings review – A modest 3QFY25; Earnings downgrade ratio
worst since 1QFY21!
Valuations still expensive for SMIDs; prefer large-caps
A third consecutive quarter of low single-digit earnings growth:
This market
correction has coincided with a slowdown in earnings growth, as the Nifty-50 has
managed only 4% PAT growth in 9MFY25 (following a healthy 20%+ CAGR during
FY20-24). The 3QFY25 corporate earnings scorecard was modest, driven once
again by BFSI, with positive contributions from Technology, Telecom, Healthcare,
Capital Goods, and Real Estate.
BFSI drives with PSU Banks benefitting from lower credit costs:
The aggregate
earnings of the MOFSL Universe companies were in line with our estimates and
increased 6% YoY (vs. our est. of 7% YoY). Earnings for the Nifty-50 rose 5% YoY (vs.
our est. of +5%). The aggregate performance was hit by global commodities (i.e.,
Metals and O&G). Excluding the same, the MOFSL Universe and Nifty posted 10%
and 7% earnings growth vs. our expectations of +11% and +7%, respectively. The
earnings growth was driven by BFSI (+11% YoY) with PSU Banks (+24% YoY vs. our
est. of 13% growth) leading the charge. Technology (+9% YoY), Telecom (profit of
INR9b vs. a loss of INR35b), Healthcare (+25% YoY), Capital Goods (+20% YoY), and
Real Estate (+60% YoY) also contributed to the growth. Conversely, earnings
growth was hindered by global cyclicals, such as O&G (OMC’s profit declined 18%
YoY), which dipped 11% YoY, along with Cement (-55% YoY), Chemicals (-12% YoY),
and Consumer (-5% YoY).
A third successive quarter of single-digit growth for Nifty-50:
Nifty delivered a 5%
YoY PAT growth (vs. our est. of +5%).
Nifty reported a single-digit PAT growth for
the third successive quarter since the pandemic (Jun’20).
Five Nifty companies –
Bharti Airtel, SBI, ICICI Bank, Hindalco, and Reliance Industries – contributed 111%
of the incremental YoY accretion in earnings. Conversely, Coal India, ONGC, Tata
Motors, JSW Steel, and IndusInd Bank contributed adversely to the earnings.
Large-caps in line, mid-caps deliver a beat, while small-caps report a big miss:
Within our MOFSL coverage universe, large-caps (84 companies) posted an in-line
earnings growth of 5% YoY. Mid-caps (87 companies) stood out and delivered 26%
earnings growth (est. of 17%), led by Financials (PSU Banks and NBFCs),
Commodities (Metals and O&G), and Retail. Small-caps (121 companies)
experienced a broad-based miss as earnings dipped 24% YoY (est. of: -5%) with
56% of our coverage universe missing the estimates. Conversely, within our large-
cap and mid-cap universe, 29%/43% of the companies missed the estimates.
The beat-miss dynamics:
The beat-miss ratio for the MOFSL Universe was
unfavorable, with 44% of the companies missing our estimates, while 28%
reported a beat at the PAT level. For the MOFSL Universe, the earnings upgrade-
to-downgrade ratio has turned weaker for FY26E as 37 companies’ earnings
have been upgraded by >3%, while 137 companies’ earnings have been
downgraded by >3%. The earnings upgrade/downgrade ratio of 0.3x was the
worst since 1QFY21. Further, the EBITDA margin of the MOFSL Universe (ex-
Financials) expanded slightly by 40bp YoY to 17.4%, primarily aided by the
Healthcare, Telecom, and Infrastructure sectors but hurt by the Cement,
Consumer, Automobiles, and Chemicals sectors.
Expectations vs. delivery: 3QFY25
% of companies that have declared results
Above Expectations
In-line
Below Expectations
MOFSL
PAT
Nifty
28
28
44
20
58
22
Research Analyst: Gautam Duggad
(Gautam.Duggad@MotilalOswal.com) |
Deven Mistry
(Deven@MotilalOswal.com)
Research Analyst: Abhishek Saraf
(Abhishek.Saraf@MotilalOswal.com) |
Aanshul Agarawal
(Aanshul.Agarawal@Motilaloswal.com)
February 2025
Investors are advised to refer through important disclosures made at the last page of the Research Report.
1
Motilal Oswal research is available on www.motilaloswal.com/Institutional-Equities, Bloomberg, Thomson Reuters, Factset and S&P Capital.
 Motilal Oswal Financial Services
India Strategy | Review 3QFY25
PAT growth YoY in 3QFY25 (%)
10
7
6
4
MOFSL Ex BFSI
Ex
Ex
Univ.
Metals OMCs
& Oil
PAT growth YoY in 9MFY25 (%)
8.4
2.3
2.6
MOFSL
Univ.
Large
Cap
Mid Cap
-17.9
Small
Cap
Report card:
Of the 25 sectors under our coverage, 3/12/10 sectors reported
profits above/in line/below our estimates. Of the 292 companies under coverage,
81 exceeded our profit estimates, while 129 posted a miss, and 82 were in line.
The 9MFY25 snapshot:
The MOFSL Universe delivered a 2.3% YoY earnings
growth in 9MFY25. Excluding Metals, and O&G, it reported an 11.8% YoY
earnings growth.
We categorized the coverage stocks based on market
capitalization criteria into large-cap, mid-cap, and small-cap segments.
Notably, our large-cap universe saw a 2.6% YoY earnings growth in 9MFY25,
while mid-cap delivered an 8.4% YoY growth, and small-cap posted a decline of
17.9% YoY in 9MFY25. For 4QFY25, we estimate a modest earnings growth for
the MOFSL and Nifty Universe, at 4.5% and 4.0%, respectively.
FY26E earnings highlights:
The MOFSL Universe is likely to deliver sales/EBITDA/
PAT growth of 7%/15%/19% YoY in FY26. The Financials, Oil & Gas, and Metals
sectors are projected to be the key growth engines, with 13%, 24%, and 37%
YoY earnings growth, respectively. However, we foresee downside risks to our
earnings estimates for FY26E/27E.
MOFSL Universe experienced a cut of 1.8%/2.3% for FY26E/FY27:
Our MOFSL
Universe witnessed a cut of 1.8% for FY26, led by Metals, Private Banks,
Consumers, Cement, and Automobiles. Further, our small-cap and mid-cap
universes experienced a bigger cut at 5.9% and 3.4%, respectively. The large-cap
universe witnessed a cut of 1.2%.
Nifty EPS cut by 1.4%/1.8% for FY26E/FY27E:
The Nifty EPS estimate for FY26 was
cut by 1.4% to INR1,203, largely owing to ONGC, HDFC Bank, JSW Steel, Axis Bank,
and SBI. FY27E EPS was also reduced by 1.8% to INR1,373 (from INR1,398) due to
downgrades in SBI, HDFC Bank, ONGC, Tata Steel, and Reliance Industries.
The top earnings upgrades in FY26E:
Bharti Airtel (9.2%), Hindalco (4.2%), Tata
Motors (4.1%), Kotak Mahindra Bank (3.6%), and Maruti (3.5%).
The top earnings downgrades in FY26E:
JSW Steel (-9.5%), Tata Consumer (-6.5%),
Tata Steel (-5.9%), Trent (-5.5%), and Dr. Reddy’s Labs (-5%).
Key sectoral highlights
1)
Banks:
The banking sector reported another soft
quarter amid moderation in margins and sustained higher provisioning
expenses, mainly for the private banks. NIM continued to dip amid cost
pressure, while the competition for deposits continued to remain intensive for
banks, and the CASA mix continued to deteriorate. Public sector banks too
experienced some NIM compression, albeit very limited. 2)
Autos:
The 3Q
performance was weak with a 2% YoY dip in profit. Management commentary
on FY26 demand was uncertain, with signs of moderation across segments,
while the commentary appeared more optimistic about rural demand outpacing
urban demand. 3)
Consumer:
The sector continued to report weak
performance, with the profit of our consumer universe posting a decline of 5%
YoY. Challenging demand conditions coupled with margin pressures meant that
management commentaries did not offer much respite either. 4)
Oil & Gas:
Revenue came in line with our estimate (flat YoY). Adjusted PAT was 7% below
est. (down 11% YoY). Adjusted PAT, excluding OMCs, was in line (down 8% YoY).
5)
Technology:
The IT Services companies under our coverage presented a
mixed picture in a seasonally weak quarter, with a median revenue growth of
1.8% QoQ CC in 3QFY25 (vs. 2.0%/1.2%/0.7% in 2QFY25/1QFY25/4QFY24).
Guidance upgrades by major companies were disappointing. 6)
Healthcare:
The
sector stood out once again with a solid 25% earnings growth (est. 19% YoY).
Overall performance at the aggregate level was driven by: 1) a sustained
2
February 2025
 Motilal Oswal Financial Services
India Strategy | Review 3QFY25
Sector Review
Compendium
Highlights / Surprise /
Guidance… (Page 20 onwards)
Automobiles
Capital Goods
Cement
Chemicals
Consumer – FMCG | QSR
Consumer Durables
EMS
Financials – Banks
Financials – NBFC: Lending
Financials – NBFC: Non Lending
Healthcare
Infrastructure
Logistics
Metals
Oil & Gas
Real Estate
Retail
Technology
Telecom
Utilities
Exhibit 1: Our preferred ideas
contribution from niche products in the US generics segment, 2) a demand
tailwind in chronic therapies, and 3) elevated inventory levels of raw materials,
which helped keep their prices in check. The aggregate performance was partly
hit by reduced support from the acute therapies.
Our view:
The 3QFY25 earnings are in line with modest expectations; however,
forward earnings revisions are the weakest in recent times, with downgrades far
outpacing upgrades, especially in our non-Nifty 50 universe. Weakness in
consumption coupled with a drag from commodities has put severe pressure on
earnings even as BFSI, Healthcare, Capital Goods, and Technology have recorded
a healthy print.
After a healthy 55% earnings CAGR over FY19-24 by the MOFSL
Banking universe, the tailwind is now tapering off with FY25 earnings growing at
a healthy but relatively modest 14%, while FY25-27E CAGR is projected at 12%
(within which FY26E growth is estimated at a mere 9%).
The expectations for
FY26 corporate earnings (19% for the MOFSL Universe and 15% for the Nifty-50)
are still somewhat elevated, in our opinion, given the underlying macro-micro
backdrop and are thus ripe for further downgrades. The recent correction in
broader markets factors into some of the potential disappointments in earnings
ahead. That said, the valuations for mid and small-caps are still expensive vis-à-
vis their history as well as vs. Nifty-50. The Nifty is trading at a 12-month
forward P/E of 19.3x, below its long-period average (LPA) of 20.5x. Thus, we
continue to remain biased toward large caps with a 76% allocation in our model
portfolio. We are OW on Consumption, BFSI, IT, Industrials, Healthcare, and Real
Estate, while we are UW on Oil & Gas, Cement, Automobiles, and Metals.
Company
Preferred large cap stocks
Reliance Inds.
189.6 1,217 50.6 61.0 67.9
8.9
24.0 20.0 17.9 1.9
Bharti Airtel
120.4 1,717 36.9 44.9 62.0
51.1
46.5 38.3 27.7 9.8
ICICI Bank
102.3 1,258 66.3 71.7 82.0
10.9
19.0 17.5 15.3 3.2
State Bank
74.2 722 89.2 97.3 112.6
13.8
8.1 7.4 6.4 1.4
Hind. Unilever
62.7 2,318 44.1 49.3 54.1
6.2
52.6 47.0 42.8 10.6
Larsen & Toubro
51.3 3,238 106.2 135.4 156.5
19.7
30.5 23.9 20.7 4.6
Sun Pharma
47.1 1,705 49.2 59.5 66.6
19.8
34.7 28.7 25.6 5.6
Maruti Suzuki
45.9 12,669 462.3 512.4 573.4
10.4
27.4 24.7 22.1 4.2
Mahindra & Mahindra
40.6 2,941 99.3 124.6 145.1
18.5
29.6 23.6 20.3 5.7
Titan Company
32.9 3,212 42.8 53.4 63.8
16.6
75.0 60.2 50.3 23.7
Trent
20.9 5,117 45.0 61.4 78.2
44.9
113.7 83.4 65.4 30.0
LTIMindtree
18.8 5,509 158.8 187.0 217.7
9.9
34.7 29.5 25.3 7.2
Preferred midcap/smallcap stocks
Indian Hotels
11.6 710 11.8 15.3 18.1
31.3
59.9 46.5 39.2 9.0
Dixon Tech.
9.6 14,004 130.8 174.2 250.6
68.3
107.0 80.4 55.9 34.1
JSW Energy
8.8
437 13.7 17.2 18.2
28.1
31.9 25.3 24.0 3.4
BSE
8.0 5,121 88.5 137.9 167.7
55.5
57.9 37.1 30.5 18.9
Godrej Properties
6.8 1,967 51.3 64.4 64.8
54.8
38.3 30.6 30.4 3.1
Coforge
6.0 7,797 133.9 227.1 282.3
32.9
58.2 34.3 27.6 12.3
JSW Infra
5.5
229 6.7 7.7 9.8
15.4
34.2 29.6 23.4 5.3
Page Industries
5.3 41,064 613.6 709.4 841.0
17.9
66.9 57.9 48.8 26.1
IPCA Labs.
4.3 1,462 34.3 45.8 56.5
48.4
42.6 31.9 25.9 5.2
Metro Brands
3.6 1,137 13.7 17.1 21.8
16.0
83.3 66.4 52.2 14.1
Angel One
2.3 2,210 148.5 160.7 214.6
8.8
14.9 13.8 10.3 3.3
Note: LP = Loss to profit; Large Cap, Mid Cap and Small Cap Stocks listed above are as per SEBI Categorization
MCap CMP
EPS (INR)
EPS CAGR (%)
PE (x)
PB (x)
ROE (%)
(USDb) (INR) FY25E FY26E FY27E FY24-26 FY25E FY26E FY27E FY25E FY26E FY27E FY25E FY26E FY27E
1.8 1.6 8.3 9.3 9.5
7.6 6.9 23.5 24.2 28.2
2.8 2.4 18.3 17.0 16.8
1.2 1.0 18.8 17.2 16.8
10.5 10.3 20.2 22.4 24.2
4.0 3.5 15.9 17.8 17.9
4.7 4.1 17.2 17.9 17.1
3.8 3.4 14.8 15.3 15.2
4.8 4.1 21.0 22.2 21.7
18.6 14.8 35.5 34.6 32.7
21.7 16.0 32.9 32.3 30.1
6.3 5.5 22.0 22.7 23.2
7.6
24.0
3.0
16.4
2.8
10.5
4.7
22.5
4.6
11.9
2.9
6.4
16.9
2.7
14.1
2.6
8.8
4.1
19.3
4.0
10.0
2.4
16.2
37.7
11.0
32.7
10.4
22.2
16.4
39.0
13.0
18.5
28.6
17.7
35.1
12.5
44.2
9.8
32.8
16.7
38.8
15.4
19.9
22.2
17.7
35.5
12.0
46.3
9.0
34.5
18.5
39.5
16.5
21.4
25.4
February 2025
3
 Motilal Oswal Financial Services
India Strategy | Review 3QFY25
Performance in line: BFSI fuels modest earnings growth
The MOFSL Universe’s sales/EBITDA/PBT/PAT were +6%/+9%/+12%/+6% YoY
(vs. our est. of +7%/+9%/+11%/+7%). Excluding Metals and O&G, the MOFSL
Universe companies recorded sales/EBITDA/PBT/PAT growth of
10%/11%/16%/10% YoY (v/s est. of +11%/13%/15%/11%) in 3QFY25.
The modest earnings growth was driven once again by BFSI, with positive
contributions from Technology, Telecom, Healthcare, and Real Estate.
Conversely, earnings growth was hindered by global cyclicals, such as O&G
(OMC’s profit declined 18% YoY), which dipped 11% YoY, along with Cement (-
55% YoY), Chemicals (-12% YoY), and Consumer (-5% YoY).
The EBITDA margin of the MOFSL Universe (ex-Financials) expanded marginally by
40bp YoY to 17.4%, primarily aided by the Healthcare, Telecom, and Infrastructure
sectors but dragged down by the Cement, Consumer, Automobiles, and Chemicals
sectors.
The gross margin for two-thirds of the sectors contracted. Ten of the 15 major
sectors under MOFSL Coverage reported a contraction in gross margin YoY.
Exhibit 2: Sector-wise 3QFY25 performance of the MOFSL Universe companies (INRb)
Sector
(nos of companies)
Automobiles (25)
Capital Goods (11)
Cement (11)
Chemicals (12)
Consumer (20)
Consumer Durables (5)
EMS (7)
Financials (60)
Banks-Private (12)
Banks-PSU (6)
Insurance (6)
NBFC - Lending (22)
NBFC - Non Lending (14)
Healthcare (24)
Infrastructure (3)
Logistics (8)
Media (3)
Metals (10)
Oil & Gas (15)
Ex OMCs (12)
Real Estate (13)
Retail (21)
Staffing (4)
Technology (12)
Telecom (4)
Utilities (5)
Others (19)
MOFSL Universe (292)
MOFSL Ex Financials (232)
MOFSL Ex Metals & Oil (267)
MOFSL Ex OMCs (289)
Nifty (50)
Sensex (30)
LP: Loss to profit; PL: Profit to loss
Dec-24
3,195
946
561
159
878
175
150
3,032
922
887
715
437
71
879
42
167
45
2,844
7,785
3,609
154
669
125
1,967
696
694
688
25,851
22,819
15,222
21,675
14,952
10,494
Sales
Chg. %
YoY
7
17
2
6
6
16
87
10
9
4
14
16
40
11
-10
12
0
4
0
3
35
21
14
6
13
3
17
6.1
5.6
9.9
7.8
5.9
7.3
Var. over
Exp. %
-1
-2
0
-3
-1
1
1
-2
0
-2
-4
1
1
1
-1
2
-4
-1
-1
4
-8
-1
3
0
0
-9
0
-1.2
-1.1
-1.2
-0.4
0.8
0.2
Dec-24
406
106
70
27
202
17
8
1,700
694
579
36
352
39
211
13
64
10
552
952
720
44
77
4
448
374
249
126
5,661
3,961
4,156
5,429
3,655
2,865
EBITDA
Chg. % Var. over
YoY
Exp. %
-1
-5
17
-3
-31
-11
-1
-8
-1
-3
25
2
77
-1
13
-1
10
0
12
-4
9
2
15
1
54
1
22
4
4
11
14
5
0
-12
9
11
2
1
4
2
34
-7
15
-2
8
-2
7
2
30
5
8
-8
33
-13
9.2
-0.1
7.8
0.4
10.8
-1.7
9.8
-0.1
8.4
-0.2
9.2
-0.7
Dec-24
234
65
22
14
141
11
4
1,056
420
378
23
205
30
131
5
37
7
245
417
319
35
35
3
309
9
98
50
2,927
1,872
2,265
2,829
1,964
1,540
PAT
Chg. % Var. over
YoY
Exp. %
-2
-6
20
-4
-55
-17
-12
-15
-5
-6
23
-6
76
-18
11
2
2
-1
24
10
29
5
5
-3
32
-5
25
5
14
5
17
4
13
-4
3
11
-11
-7
-8
-4
60
2
15
-6
50
-3
9
0
LP
LP
3
-5
28
-21
6.0
-0.7
3.6
-2.3
10.1
-0.6
7.1
-0.2
4.7
-0.3
7.6
-0.2
February 2025
4
 Motilal Oswal Financial Services
India Strategy | Review 3QFY25
Exhibit 3: Sector-wise 3QFY25 performance of the MOFSL Mid-cap Universe companies (INR b)
Sector
(no of companies)
Automobiles (9)
Capital Goods (2)
Cement (4)
Chemicals (3)
Consumer (5)
Consumer Durables (2)
EMS (2)
Financials (17)
Banks-Private (4)
Banks-PSU (3)
Insurance (2)
NBFC - Lending (4)
NBFC - Non Lending (4)
Healthcare (11)
Infrastructure (1)
Logistics (2)
Metals (4)
Oil & Gas (5)
Real Estate (4)
Retail (4)
Technology (4)
Telecom (2)
Others (6)
MOFSL Mid-cap Univ. (87)
Ex Financials (70)
Ex Metals & Oil (78)
Sales
Dec-24 Chg. % YoY
335
41
156
73
88
56
111
644
146
248
133
89
29
396
20
34
475
1,359
50
139
126
169
292
4,564
3,920
2,730
6
15
-5
5
10
19
109
10
12
2
14
16
52
13
3
8
8
-3
20
22
19
4
14
7.0
6.5
12.1
Var. over
Exp. %
-2
-9
-1
-1
-1
7
0
0
-1
-1
-1
4
3
2
21
-4
-5
14
-19
1
1
-2
0
2.8
3.4
-0.6
EBITDA
Dec-24 Chg. % YoY
49
4
24
13
18
4
5
369
81
201
3
65
19
85
10
10
89
106
20
17
22
59
58
963
593
768
0
39
-32
-8
8
80
91
12
6
10
63
15
61
34
13
5
15
53
29
19
15
7
79
17.8
21.6
14.5
Var. over
Exp. %
-3
-16
-4
-4
-3
0
-3
3
-2
5
51
2
4
5
21
-9
20
15
-12
4
1
-1
6
4.6
5.4
1.7
PAT
Dec-24 Chg. % YoY
29
2
7
8
13
3
2
213
32
116
8
43
14
46
2
8
45
56
11
4
13
-64
25
424
211
322
7
22
-61
-16
7
147
68
14
-27
23
36
28
34
45
18
22
2
44
29
71
9
Loss
323
26.1
42.2
27.7
Var. over
Exp. %
-2
-24
-18
-5
-6
-10
-25
7
-7
13
0
11
-7
2
10
15
23
12
-24
10
-6
-6
16
7.4
7.7
4.9
Exhibit 4: Sector-wise 3QFY25 performance of the MOFSL Small-cap Universe companies (INR b)
Sector
(no of companies)
Automobiles (6)
Capital Goods (5)
Cement (4)
Chemicals (9)
Consumer (4)
Consumer Durables (1)
EMS (5)
Financials (28)
Banks-Private (4)
Insurance (1)
NBFC - Lending (13)
NBFC - Non Lending (10)
Healthcare (7)
Infrastructure (2)
Logistics (5)
Media (3)
Oil & Gas (5)
Real Estate (7)
Retail (14)
Staffing (4)
Technology (2)
Utilities (1)
Others (9)
MOFSL Small-cap Univ (121)
Dec-24
176
120
66
86
44
18
38
209
58
38
72
42
95
22
54
45
269
47
148
125
33
1
74
1,671
1,462
1,402
Ex Financials (93)
Ex Metals & Oil (116)
LP: Loss to profit; PL: Profit to loss
Sales
Chg. %
YoY
10
11
-8
7
10
9
44
11
8
15
3
32
8
-19
11
0
-10
73
15
14
7
14
9
6.9
6.2
10.8
Var. over
Exp. %
-1
-6
0
-5
1
2
2
-2
-2
0
-4
-1
3
-14
0
-4
0
-5
0
3
3
7
-3
-1.3
-1.1
-1.4
Dec-24
22
10
5
14
8
1
4
101
36
0
45
20
20
3
5
10
23
7
20
4
5
1
12
276
174
252
EBITDA
Chg. %
YoY
-15
14
-52
5
4
-2
62
8
21
PL
-8
48
13
-18
25
0
-10
106
3
8
-7
13
16
2.6
-0.1
3.8
Var. over
Exp. %
-5
-10
-22
-12
0
8
1
-9
-9
-13
-12
-3
12
-13
4
-12
18
-36
-9
-2
-4
9
-6
-6.2
-4.5
-7.9
Dec-24
9
5
-2
6
6
1
2
29
7
2
5
16
8
3
2
7
11
4
6
3
3
1
7
109
80
99
PAT
Chg. %
YoY
-28
14
PL
-5
1
-3
89
-50
-48
-26
-84
30
-1
10
34
13
-21
216
-10
50
-17
16
15
-23.6
-5.5
-23.8
Var. over
Exp. %
-17
-19
968
-26
-4
18
-7
-37
-38
-1
-72
-4
2
0
-4
-4
14
-32
-19
-3
-9
17
-5
-19.8
-11.0
-22.3
February 2025
5
 Motilal Oswal Financial Services
India Strategy | Review 3QFY25
Exhibit 5: PAT increased 6% YoY for the
MOFSL Universe
MOFSL Universe
50
45
Exhibit 6: PAT was up 4% YoY for the
MOFSL Universe, excluding Financials
MOFSL Ex Financials
46 52
32
Exhibit 7: PAT rose 10% YoY for the
MOFSL Universe, sans Metals & O&G
MOFSL Ex Metals & Oil
51
35
31
30
22
19
14 11
28
23
19
17 10
11
2
-1
5
-11
-22
14
3
-6
16
6
5
-5 -9
4
13
27
24
21
6
10
Exhibit 8: PAT growth for the Nifty
Universe stood at 5% YoY
Nifty Universe
26
21
10
11
24
18
19
12
4 4
35
Exhibit 9: PAT for the Nifty Universe,
sans Financials, was up 3% YoY
Nifty Ex Financials
Exhibit 10: PAT grew 7% YoY for the
Nifty Universe, sans Metals & O&G
Nifty Ex Metals & Oil
51
35 33
29
22
15
20
9
0
-2
26
30
21
7
0
24
31
23
17 16
12 11
5
3
0
10
18
7
Earnings upgrade-to-downgrade ratio unfavorable for FY26E
For the MOFSL Universe, the earnings upgrade-to-downgrade ratio has turned
weaker for FY26E as 37 companies’ earnings have been upgraded by >3%, while
137 companies’ earnings have been downgraded by >3%. The earnings
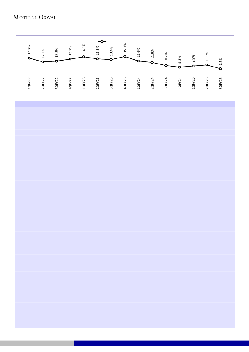
upgrade/downgrade ratio of 0.3x was the worst since 1QFY21.
The beat-miss ratio for the MOFSL Universe was unfavorable, with 44% of the
companies missing our estimates, while 28% reported a beat at the PAT level.
Of the 25 sectors under our coverage, 3/12/10 sectors reported profits above/in-
line/below our estimates.
Exhibit 11: The upgrade-to-downgrade ratio trend for the MOFSL Universe – the worst since 1QFY21
2.7
1.7
1.7
1.0
0.9
0.9
0.9
1.0
0.6
0.9
0.4
0.4
Earnings upgrade/downgrade ratio
0.7
0.3
0.6
0.7
0.8
0.6
0.8
0.7
0.3
February 2025
6
 Motilal Oswal Financial Services
India Strategy | Review 3QFY25
Exhibit 12: Surprise/miss ratio for the MOFSL Universe at
0.6x in 3QFY25
MOFSL Universe PAT (Surprise / Miss ratio)
3.4
2.4
2.3
Exhibit 13: Sectoral surprise/miss ratio at 0.3x, for the
MOFSL Universe, in 3QFY25
7.0
MOFSL Sector PAT (Surprise / Miss ratio)
5.0
0.90.8
1.21.1
1.5
1.0
1.8
1.5
1.1
0.9
1.3
1.4
1.0
0.9
1.2
0.7
0.9
2.3
1.0 0.8
1.2
2.8
1.7 1.3
1.2
0.5 0.5 0.9
0.9
1.2
0.4
0.6
0.3
Exhibit 14: Two and three-year profit CAGR for the MOFSL Universe
EBITDA (INR b)
CAGR (%)
PBT (INR b)
CAGR (%)
PAT (INR b)
CAGR (%)
Sector
3QFY22 3QFY23 3QFY25 2-year 3-year 3QFY22 3QFY23 3QFY25 2-year 3-year 3QFY22 3QFY23 3QFY25 2-year 3-year
Automobiles
195
270
406
23
28
90
176
313
33
52
58
140
234
29
59
Capital Goods
70
78
106
17
15
56
66
95
20
19
36
43
65
23
22
Cement
74
64
70
5
-2
49
34
28
-10
-17
33
24
22
-3
-12
Chemicals
28
35
27
-13
-2
23
29
18
-21
-8
18
22
14
-21
-9
Consumer
165
188
202
4
7
157
177
189
3
6
119
132
141
3
6
Consumer Durables 11
13
17
14
15
10
11
15
19
14
7
9
11
13
14
EMS
3
4
8
52
50
2
2
6
63
55
1
2
4
57
51
Financials
1,142 1,421 1,700
9
14
758 1,047 1,400
16
23
564
782 1,056
16
23
Banks-Private
442
552
694
12
16
343
448
553
11
17
258
338
420
12
18
Banks-PSU
433
568
579
1
10
218
352
511
20
33
150
252
378
22
36
Insurance
16
34
36
3
32
6
16
26
27
61
8
16
23
19
42
NBFC - Lending
233
246
352
20
15
171
208
270
14
16
132
160
205
13
16
NBFC - Non Lending 18
20
39
38
30
19
22
40
36
28
15
16
30
35
27
Healthcare
138
152
211
18
15
109
117
171
21
16
87
88
131
22
15
Infrastructure
12
12
13
5
4
5
6
7
9
8
3
4
5
11
19
Logistics
38
43
64
22
19
26
28
44
25
18
23
23
37
26
18
Media
13
11
10
-7
-8
10
9
8
-6
-6
8
6
7
7
-4
Metals
655
402
552
17
-6
498
231
377
28
-9
353
133
245
36
-11
Oil & Gas
730
747
952
13
9
561
458
625
17
4
418
337
417
11
0
Real Estate
24
31
44
20
23
18
24
37
23
28
21
20
35
34
19
Retail
53
55
77
18
13
38
36
47
14
LP
28
27
35
14
LP
Staffing
3
3
4
16
8
2
2
3
34
8
2
2
3
21
12
Technology
369
418
448
4
7
342
381
419
5
7
256
284
309
4
6
Telecom
233
249
374
23
17
-20
-37
83
LP
LP
-45
-59
9
Loss
Loss
Utilities
209
257
249
-2
6
104
127
130
1
8
84
91
98
4
5
Others
63
94
126
16
26
23
50
59
8
LP
19
42
50
10
LP
MOFSL Universe
4,227 4,545 5,661
12
10
2,860 2,974 4,074
17
13
2,092 2,150 2,927
17
12
Nifty Universe
2,716 3,076 3,655
9
10
1,930 2,184 2,744
12
12
1,411 1,571 1,964
12
12
February 2025
7
 Motilal Oswal Financial Services
India Strategy | Review 3QFY25
Exhibit 15: Sales for the MOFSL Universe up 6% YoY (est. 7%)
52
31 29
17
2
0 -4
-29
-4
25
42
29
18
13
5 5 6 7 7 5
Exhibit 16: EBITDA for the MOFSL Universe up 9% YoY (est. 9%)
50
40
23
14
21
12 12
7
1
8 10
28
29
14 11
6
12
3
9
1
-5
-13
Exhibit 17: PAT for the MOFSL Universe at +6% YoY (est. 7%)
124
102
46
23 19 14
-6
3
16
50 45
Exhibit 18: EBITDA margin, excluding Financials, expanded
slightly by 40bp YoY to 17.4%
5
20
35
28
11
2
-1
6
-23
-39
.
.
Exhibit 19: MOFSL Universe (ex-Nifty) posted a profit growth of 7% YoY
150
77
47
154
90
89
53
15
-3
15
-5
-47
-13
13
8
-1
-9
57
7
-24
-33
Exhibit 20: Sales growth for the MOFSL Universe, excluding
Nifty companies, stood at 6% YoY
57
35 33
18
4
-1
-3
-31
-4
29
51
31
17 13
2 2 7 8 7 7
Exhibit 21: EBITDA was up 11% YoY for the MOFSL Universe,
excluding Nifty companies
67
37
18
5
6
-6 -12 -1
7
60
32
40
46
24
10
2
6
20
11
-3
-11-14
February 2025
8
 Motilal Oswal Financial Services
India Strategy | Review 3QFY25
Margin contracts owing to a high base
Sales for the MOFSL Universe companies grew 6% YoY (in line). Excluding Metals
and O&G, sales growth was in line at 10% YoY (in line).
Sectoral sales growth: EMS (87%), NBFC - Non Lending (39%), Real Estate (35%),
Retail (21%), and Capital Goods (17%).
The EBITDA margin of the MOFSL Universe (ex-Financials) expanded marginally by
40bp YoY to 17.4%.
Gross margins for two-thirds of the sectors contracted. In 3QFY25, 10 of the 15
major sectors under MOFSL Coverage posted a contraction in gross margin YoY.
Change in
GM bps YoY
436
177
109
43
38
-2
-22
-35
-36
-145
-153
-231
-310
-382
-917
Exhibit 22: Gross margin contracted in several sectors due to a high base
3QFY22 4QFY22 1QFY23 2QFY23 3QFY23 4QFY23 1QFY24 2QFY24 3QFY24 4QFY24 1QFY25 2QFY25 3QFY25
Others
44.3
41.2
43.7
39.0
43.9
41.8
47.6
42.1
43.5
45.3
46.6
Healthcare
63.0
62.8
62.4
64.0
64.0
63.7
65.1
65.6
65.9
67.2
68.1
Oil & Gas
20.8
21.8
16.8
17.0
18.4
22.5
25.2
25.0
22.2
22.7
20.9
Logistics
18.6
18.5
51.5
49.9
48.4
50.8
52.7
51.7
52.0
52.2
51.8
Automobiles
29.6
29.2
31.5
31.9
33.2
33.8
34.3
33.9
35.1
35.9
36.1
Consumer Durables 16.0
14.8
18.8
18.5
19.5
18.4
25.4
27.2
26.6
25.4
25.1
Chemicals
53.2
53.8
53.3
51.0
54.8
54.3
54.6
53.3
54.1
54.2
52.6
Utilities
0.2
0.2
27.1
27.2
33.1
31.3
47.8
46.8
49.0
49.3
47.0
Technology
35.2
34.5
33.1
33.6
34.4
34.5
33.9
34.0
34.4
34.3
35.1
Consumer
48.4
48.3
47.3
48.3
49.6
50.8
51.3
52.1
52.5
53.2
52.3
Retail
32.9
32.6
32.9
32.5
31.6
31.3
30.4
30.0
30.6
30.6
30.3
Metals
55.9
54.1
56.2
47.9
51.1
54.1
52.8
49.9
55.5
53.7
52.7
Real Estate
50.6
40.7
44.0
52.2
48.7
43.0
47.9
51.5
53.3
48.8
51.6
Cement
61.0
59.7
59.7
56.3
56.1
55.0
62.6
57.4
60.4
57.7
57.8
Infrastructure
41.4
36.0
40.7
71.4
39.1
36.6
36.7
40.2
51.7
33.0
39.5
Source: 213 companies that form part of the MOFSL Universe, excluding Financials, Telecom, Media, and Staffing
42.0
68.1
22.4
52.7
34.9
25.7
53.0
50.6
33.7
51.2
29.5
51.5
48.6
63.9
42.2
47.9
67.7
23.3
52.4
35.5
26.6
53.9
48.7
34.1
51.0
29.0
53.2
50.2
56.6
42.5
Exhibit 23: Several sectors recovered YoY in terms of operating margins
Dec-23
Sep-24
Dec-24
Contributions of Oil & Gas in profit pool improve
The BFSI contribution to the overall MOFSL profit pool accounted for more than
one-third of the profits. The contribution declined to 36.1% and was the lowest
in the last three quarters.
The Oil & Gas contribution to the profit pool saw an improvement to 14.3% in
3QFY25 – this was at a three-quarter high.
The Consumer contribution to the profit pool slipped to a three-quarter low of
4.8% in 3QFY25.
February 2025
9
 Motilal Oswal Financial Services
India Strategy | Review 3QFY25
Exhibit 24: Financials’ contribution was down in 3Q; it
rd
accounted for more than 1/3 of the overall profit pool
Financials
Contribution to MOFSL universe profits (%)
36.4
32.7
32.2
33.9
34.6
36.1
36.9
PAT
(INR b)
39.4
36.1
Exhibit 25: The IT sector’s contribution to the overall profit
pool has been stable since the last few quarters
Technology
Contribution to MOFSL universe profits (%)
13.2
10.6
9.9
10.0
10.3
9.8
10.5
10.9
10.6
PAT
(INR b)
Exhibit 26: O&G’s PAT contribution to the overall profit pool
saw an uptick in 3QFY25
Oil & Gas
Contribution to MOFSL universe profits (%)
23.0
19.8
15.7
16.9
16.7
13.3
13.5
22.5
PAT
(INR b)
Exhibit 27: Metals’ PAT contribution to the MOFSL Universe
increased in 3QFY25
Metals
Contribution to MOFSL universe profits (%)
9.5
9.0
8.6
8.2
7.1
6.9
PAT
(INR b)
7.2
8.4
6.2
14.3
Exhibit 28: The auto sector’s contribution to the overall
profit pool declined for the third consecutive quarter
Automobiles
Contribution to MOFSL universe profits (%)
8.6
7.9
6.5
6.8
6.7
8.7
8.4
PAT
(INR b)
8.2
8.0
Exhibit 29: The consumer sector’s contribution dipped in
3QFY25 – to a three-quarter low
Consumer
Contribution to MOFSL universe profits (%)
6.1
5.5
5.0
5.2
5.4
4.8
5.5
5.2
4.8
PAT
(INR b)
PAT growth YoY in 9MFY25 (%)
The 9MFY25 snapshot: Small-cap profits dip
8.4
2.3
2.6
-17.9
Small
Cap
This market correction has coincided with a slowdown in earnings growth, as
the Nifty-50 has managed only a modest 4% PAT growth in 9MFY25 (following a
20%+ CAGR during FY20-24).
The MOFSL Universe delivered a 2.3% YoY earnings growth in 9MFY25.
Excluding Metals and O&G, it reported an 11.8% YoY earnings growth.
We categorized the coverage stocks based on market capitalization criteria
into large-cap, mid-cap, and small-cap segments.
Notably, our large-cap
MOFSL
Univ.
Large
Cap
Mid Cap
February 2025
10
 Motilal Oswal Financial Services
India Strategy | Review 3QFY25
universe saw a 2.6% YoY earnings growth in 9MFY25, and mid-cap delivered an
8.4% YoY growth, while small-cap posted a decline of 17.9% YoY in 9MFY25.
During 9MFY25, out of 25 sectors under our coverage, 18 sectors saw a YoY
growth in PAT, while seven saw a decline. EMS (+71%), Real Estate (+57%), NBFC
Non-Lending (+46%), Insurance (+24%), Consumer Durables (+24%), Healthcare
(+23%), PSU Banks (+23%), Staffing (+21%), and Capital Goods (+20%) were top
gainers. Conversely, Telecom (a loss of INR28b), Cement (-42%), Oil & Gas (-
33%), Chemicals (-12%), Media (-8%), and Consumer (-1%) were the laggards.
Exhibit 30: Sector-wise 9MFY25 performance (%) – Telecom, Cement, and Oil & Gas drag
9MFY25 PAT growth YoY (%)
71 57
46
24 24
23 23
21 20 16
9
8
8
8
8
8
7
5
2
-1
-8
-12
-17
-33
-42
Loss
Exhibit 31: Sector-wise contribution to 9MFY25 earnings growth (%) – Banks take the lion’s share
113
50
44
39
9MFY25 contribution to PAT growth (%)
37
28
28
22
18
16
16
12
8
7
4
3
2
1
0
-1
-3
-3
-10
-31
-301
Exhibit 32: Nifty-50 stocks – 9MFY25 earnings growth YoY (%)
9MFY25 PAT growth YoY (%)
February 2025
11
 Motilal Oswal Financial Services
India Strategy | Review 3QFY25
Performance highlights of the Nifty constituents in 3QFY25
The top five stocks account for ~111% of the incremental profit YoY
Sales/EBITDA/PBT/PAT growth for Nifty constituents was in line at +6%/+8%/
+12%/+5% YoY in 3QFY25. Excluding Metals and Oil & Gas, profits for Nifty
constituents were up 7% YoY (vs. est. of +7% YoY).
Among Nifty constituents, 20% exceeded our PAT estimates, while 22% missed
our estimates.
Bharti Airtel, Wipro, Ultratech Cement, Cipla, Dr. Reddy’s Labs, Bharat
Electronics, Hero MotoCorp, Tata Steel, SBI Life Insurance, and Apollo Hospitals
delivered higher-than-estimated earnings.
In contrast, ONGC, Tata Motors, ITC, L&T, M&M, HUL, Nestle, Trent, Tata
Consumer, and Grasim Industries missed our profit estimates.
Seven Nifty companies witnessed earnings upgrades of over 3% in their FY26
EPS estimates, while 17 companies witnessed downgrades of over 3%.
Exhibit 34: Nifty EBITDA up 8% YoY (est. 9%)
43
Exhibit 33: Nifty sales up 6% YoY (in line) in 3QFY25
48
38
28 27
24
29
18
13
6 5 6 7 7 4
27
17
0
-5
-26
-4
2
22
6
15
8
6
-2
-12
17 16 16
9
22 21
13
13
10 11
5 5
8
Exhibit 35: Nifty PAT up 5% YoY (est. 5%)
109
84
39
9
10
19
35 29
Exhibit 36: Nifty EBITDA margin (ex-Financials) expanded
30bp YoY to 20%
26 21 24
10 11
18
19 12
4 4
5
-23
-34
February 2025
12
 Motilal Oswal Financial Services
India Strategy | Review 3QFY25
Exhibit 37: BFSI, Metals, Oil & Gas, and Technology to drive FY26E earnings for the Nifty
Sector
Automobiles
BFSI
Capital Goods
Cement
Consumer
Healthcare
Logistics
Metals
Oil & Gas
Retail
Technology
Telecom
Utilities
Others
Nifty
FY22
75
1,433
108
130
319
143
59
926
1,107
24
919
35
307
8
5,592
FY23
287
2,026
134
115
386
164
77
540
1,089
37
977
82
323
27
6,264
PAT (INR b)
FY24
FY25E
621
676
2,541
2,837
170
195
134
113
437
415
204
236
89
103
599
588
1,550
1,263
45
54
1,009
1,106
113
212
364
364
35
39
7,912
8,203
FY26E
728
3,158
243
152
459
272
126
851
1,496
69
1,219
271
422
39
9,506
FY27E
791
3,689
284
188
504
295
151
994
1,608
85
1,339
375
453
39
10,796
FY22
-57
37
22
31
9
31
30
169
43
198
16
Loss
6
-29
37
FY23
281
41
24
-11
21
15
30
-42
-2
54
6
Loss
5
249
12
Growth YoY (%)
FY24 FY25E FY26E
117
9
8
25
12
11
27
15
25
16
-15
34
13
-5
11
24
16
15
16
15
23
11
-2
45
42
-18
18
24
19
28
3
10
10
LP
88
28
13
0
16
30
11
0
26
4
16
FY27E
9
17
17
24
10
8
20
17
7
22
10
38
7
0
14
Exhibit 38: Sectoral upgrades/downgrades for the MOFSL Universe
Sector
PAT (INR b) - preview
FY25E FY26E FY27E
1,088
355
260
93
686
65
29
5,038
2,026
1,700
104
1,052
156
624
26
176
30
1,412
2,047
1,732
180
147
13
1,374
54
517
287
14,503
1,245
428
327
114
764
81
41
5,895
2,361
1,943
129
1,275
188
703
32
212
36
1,642
2,216
1,889
195
187
16
1,521
184
553
384
16,776
PAT (INR b) - review
FY25E FY26E FY27E
968
274
167
67
585
50
18
4,421
1,782
1,593
86
833
126
518
19
140
23
995
1,657
1,393
114
104
10
1,220
9
431
154
11,943
1,070
341
237
91
662
61
27
5,002
1,978
1,712
107
1,054
151
613
27
174
28
1,359
2,053
1,701
184
139
13
1,359
40
510
257
14,246
1,195
406
306
113
738
74
40
5,823
2,321
1,936
132
1,255
180
695
32
210
32
1,592
2,176
1,840
203
175
16
1,502
166
545
345
16,385
Upgrade/downgrade (%)
FY25E FY26E FY27E
-1.6
-3.4
-6.5
-4.4
-2.7
-4.4
-7.9
0.3
0.0
2.1
-7.1
-1.4
-1.3
-0.2
1.4
-1.6
-3.1
0.8
-1.5
-1.4
-11.1
-4.7
-2.6
0.0
-20.9
-2.2
7.3
-0.6
-1.7
-4.0
-8.6
-3.0
-3.5
-6.8
-5.2
-0.7
-2.4
0.7
3.0
0.2
-2.9
-1.7
1.5
-1.3
-7.2
-3.8
0.3
-1.7
2.2
-5.7
-2.9
-1.1
-24.6
-1.5
-10.5
-1.8
-4.1
-4.9
-6.4
-0.8
-3.4
-8.5
-2.6
-1.2
-1.7
-0.4
2.3
-1.6
-4.0
-1.2
1.8
-1.0
-9.4
-3.1
-1.8
-2.6
4.1
-6.4
-2.8
-1.3
-9.9
-1.4
-10.2
-2.3
Growth YoY (%)
FY25E FY26E FY27E
7.0
19.2
-28.3
-2.5
-0.9
19.5
72.6
13.1
6.9
23.1
15.5
7.0
34.5
20.6
12.0
15.2
-6.8
14.2
-31.7
-12.3
17.1
11.5
41.7
9.3
LP
2.8
9.2
2.8
10.6
24.1
41.8
35.8
13.1
21.7
49.2
13.2
11.1
7.4
24.2
26.5
19.9
18.4
38.0
24.5
25.1
36.6
23.9
22.1
61.7
34.0
32.2
11.3
361.2
18.2
66.4
19.3
11.6
19.3
29.1
24.5
11.5
22.0
46.3
16.4
17.3
13.1
23.4
19.1
19.1
13.4
20.7
20.9
14.1
17.1
6.0
8.1
10.1
26.0
19.8
10.6
310.9
7.0
34.4
15.0
Automobiles
983
Capital Goods
284
Cement
179
Chemicals
70
Consumer
601
Consumer Durables
52
EMS
20
Financials
4,408
Banks-Private
1,781
Banks-PSU
1,561
Insurance
92
NBFC - Lending
845
NBFC - Non Lending
128
Healthcare
519
Infrastructure
19
Logistics
142
Media
23
Metals
987
Oil & Gas
1,682
Excl. OMCs
1,413
Real Estate
128
Retail
109
Staffing
10
Technology
1,220
Telecom
-11
Utilities
441
Others
144
MOFSL Universe
12,010
Note: PL: Profit to loss; LP: Loss to profit
February 2025
13
 Motilal Oswal Financial Services
India Strategy | Review 3QFY25
Exhibit 39: Nifty delivered 5% YoY profit growth in 3QFY25
Dec
2024
Sales
EBITDA
PBT
PAT
EBITDA Margin
Chg. Chg.
Chg. Chg.
Chg. Chg.
Chg. Chg.
Dec Chg.
Var. Dec
Var. Dec
Var. Dec
Var.
YoY QoQ
YoY QoQ
YoY QoQ
YoY QoQ
2024 YoY
(%) 2024
(%) 2024
(%) 2024
(%)
(%) (%)
(%) (%)
(%) (%)
(%) (%)
(%)
bp
1
-3
3
-2
1
16
12
1
-2
1
-2
-2
1
-4
-1
-2
-2
-1
2
-3
-8
6
0
1
1
1
4
4
-1
0
1
0
-11
-2
1
-1
246
19
72
76
8
17
76
18
8
47
36
45
78
19
12
236
169
41
20
63
9
48
45
15
100
52
438
120
170
69
8
105
78
26
250
37
24
11
25
29
24
58
21
34
34
12
14
36
27
23
10
16
15
11
14
9
9
15
14
8
10
13
8
20
3
3
3
15
18
6
6
1
-9
7
-2
-1
11
-13
-11
-1
-15
-20
-11
-22
-5
-48
8
9
13
29
30
-4
-7
19
68
3
31
4
-6
13
7
26
10
-20
1
3
5
-2
-1
10
1
-3
3
2
12
24
1
8
8
-2
0
-3
1
-3
-3
-1
-6
-6
4
45
43
-10
11
32
0
3
-18
-17
5
2
0
5
58
-1
1
33
-6
5
-4
6
-1
0
2
4
-8
-13
1
-1
12
-10
-4
9
2
4
3
-1
4
2
-1
1
5
2
-4
0
1
-4
93
6
30
53
5
18
62
13
6
45
36
40
58
16
13
226
157
28
18
53
4
32
46
16
97
44
286
66
167
61
8
84
58
28
218
35
121
74
80
60
47
50
35
46
38
25
22
25
18
20
10
80
15
13
15
12
21
5
14
12
12
10
11
11
5
4
2
3
7
5
12
0
5
-4
-2
-7
-13
-11
-22
-20
2
-24
-40
-62
-76
PL
12
15
38
5
93
-13
-4
21
93
-25
11
4
4
-20
7
33
4
-9
1
0
3
-4
2
9
8
-1
5
-1
14
10
4
8
9
-2
-3
-4
-1
-3
11
-9
-5
-8
-27
46
80
-4
36
33
4
7
-76
PL
4
1
16
11
483
-1
6
28
-4
-9
-15
14
4
-1
4
3
-6
3
3
-2
11
-11
3
0
2
8
3
-2
4
7
-2
1
3
-2
-10
-2
-1
-4
55
6
7
38
4
13
46
10
5
34
30
30
43
12
12
169
118
21
14
34
4
27
35
12
68
33
185
46
124
46
6
63
22
21
167
26
121
71
69
61
52
47
37
37
37
24
21
19
18
18
18
17
15
14
14
14
14
14
13
12
11
10
7
6
6
6
4
4
3
3
2
1
0
-4
-10
-10
-17
-17
-17
-18
-23
-24
-39
-66
-97
PL
5
7
41
4
64
-12
-2
21
94
-21
11
5
2
-23
7
34
6
-8
0
1
5
-1
-4
9
-4
0
5
-1
12
10
4
8
10
-9
7
-5
-1
-2
10
-3
-4
-9
-31
35
79
-26
64
29
5
21
-96
PL
2
1
11
10
282
0
8
28
-3
-4
-14
13
1
-7
5
2
5
4
3
-1
15
-11
-4
2
1
8
-1
-2
5
-4
-2
1
4
-1
-15
-3
1
-6
-3
11
-9
-11
-13
2
14
-16
-17
-4
-2
-5
0
PL
0
0
54.5
7.5
13.3
13.0
13.8
28.7
6.7
13.6
18.5
21.3
27.4
14.6
83.2
10.9
24.2
56.8
82.9
73.1
28.1
9.7
5.5
60.3
11.6
14.5
24.0
72.0
18.2
28.9
26.5
23.0
18.4
77.4
30.4
20.2
81.6
23.4
84.2
26.4
33.9
23.4
56.3
29.1
16.8
12.7
11.5
19.1
68.9
13.5
13.4
3.3
24.4
28.8
2.2
0.0
3.0
1.9
1.1
3.4
1.3
3.3
-0.3
2.3
1.6
1.6
3.0
-0.2
-1.9
5.7
4.1
-2.0
1.7
-0.8
-0.1
-0.2
-0.1
0.5
0.5
2.3
0.2
3.7
-0.6
-0.6
-0.9
4.5
2.9
0.1
-1.5
-0.2
-3.8
-1.7
-2.2
-1.1
6.9
-3.9
-2.6
-2.3
-2.4
-3.4
-7.5
-3.6
0.5
-4.8
0.6
0.3
Company
High PAT growth
Bharti Airtel
451
19
9
SBI Life Ins.
250
11
22
Tata Steel
536
-3
0
Hindalco
584
11
0
Apollo Hospitals
55
14
-1
Bharat Elect.
58
39
26
BPCL
1,131 -2
10
Tech Mah.
133
1
0
Trent
45
37
12
Wipro
223
1
0
Sun Pharma
131
7
-2
Med/Low PAT growth
M&M
305
20
11
Bajaj Finance
94
23
6
Titan Co.
177
25
22
Eicher Motors
50
19
17
SBI
414
4
0
ICICI Bank
204
9
2
Shriram Finance
56
14
2
Cipla
71
7
0
Larsen & Toubro
647
17
5
HDFC Life Ins.
168
10
1
Adani Ports
80
15
13
Maruti Suzuki
385
16
3
Hero Moto
102
5
-2
Infosys
418
8
2
Kotak Mah. Bank
72
10
3
Reliance Inds.
2,400
7
4
NTPC
414
5
3
TCS
640
6
0
HCL Tech.
299
5
4
Britannia
46
8
-2
Axis Bank
136
9
1
Bajaj Finserv
258
6
-7
Bajaj Auto
128
6
-2
HDFC Bank
307
8
2
HUL
158
2
-1
Negative PAT Growth
Power Grid Corp.
101
-5
-1
Dr Reddy’s Lab
82
14
3
ITC
188
4
-9
Nestle
48
4
-6
ONGC
337
-3
0
Coal India
358
-1
17
Ultratech Cem.
172
3
10
Tata Consumer
44
17
5
Tata Motors
1,136
3
12
Asian Paints
85
-6
7
IndusInd Bk
52
-1
-2
JSW Steel
414
-1
4
Adani Entep.
228
-9
1
Grasim Inds
81
27
7
Nifty Universe
14,952 6
4
Ex Metals & Oil
9,191
8
4
Note: PL: Profit to loss; LP: Loss to profit
-11
85
8
22
-2
64
-1
11
5
190
-3
104
1
29
1
6
-1
130
-1
16
-1
36
-2
56
0
31
-2
3
1 3,655
-1 2,644
-14
49
6
18
-7
65
-4
10
1
110
0
117
4
18
2
4
-12
77
1
15
0
19
10
13
0
6
-42
-2
0 2,744
-2 2,072
1
39
12
13
-7
48
-9
7
-13
82
7
85
7
15
-17
3
-3
55
-3
11
-3
14
12
8
0
1
PL
-2
2 1,964
1 1,512
February 2025
14
 Motilal Oswal Financial Services
India Strategy | Review 3QFY25
MOFSL coverage revision from our preview stance: Cuts in mid- and small-caps severe
MOFSL Universe experienced a cut of 1.8%/2.3% for FY26E/FY27:
Our MOFSL Universe witnessed a cut of 1.8%
for FY26, led by Metals, Private Banks, Consumers, Cement, and Automobiles. Further, our small-cap and mid-
cap universes experienced a bigger cut at 5.9% and 3.4%, respectively. The large-cap universe witnessed a cut of
1.2%.
PAT (INR b) @ Preview
FY25E
FY26E
FY27E
983
1,088
1,245
1,781
2,026
2,361
1,561
1,700
1,943
92
104
129
845
1,052
1,275
128
156
188
284
355
428
179
260
327
70
93
114
601
686
764
52
65
81
20
29
41
519
624
703
19
26
32
142
176
212
23
30
36
987
1,412
1,642
1,682
2,047
2,216
128
180
195
109
147
187
10
13
16
1,220
1,374
1,521
-11
54
184
441
517
553
144
287
384
12,010
14,503
16,776
9,912
11,673
13,292
1,555
2,048
2,503
543
782
981
PAT (INR b) @ Review
FY25E
FY26E
FY27E
968
1,070
1,195
1,782
1,978
2,321
1,593
1,712
1,936
86
107
132
833
1,054
1,255
126
151
180
274
341
406
167
237
306
67
91
113
585
662
738
50
61
74
18
27
40
518
613
695
19
27
32
140
174
210
23
28
32
995
1,359
1,592
1,657
2,053
2,176
114
184
203
104
139
175
10
13
16
1,220
1,359
1,502
9
40
166
431
510
545
154
257
345
11,943
14,246
16,385
9,838
11,531
13,022
1,610
1,979
2,437
496
736
926
% Revision
FY26E
-1.7
-2.4
0.7
3.0
0.2
-2.9
-4.0
-8.6
-3.0
-3.5
-6.8
-5.2
-1.7
1.5
-1.3
-7.2
-3.8
0.3
2.2
-5.7
-2.9
-1.1
-24.6
-1.5
-10.5
-1.8
-1.2
-3.4
-5.9
Exhibit 40: Earnings revisions of MOFSL Universe from our preview 3QFY25
Sector
Automobiles
Banks-Private
Banks-PSU
Insurance
NBFC - Lending
NBFC - Non Lending
Capital Goods
Cement
Chemicals
Consumer
Consumer Durables
EMS
Healthcare
Infrastructure
Logistics
Media
Metals
Oil & Gas
Real Estate
Retail
Staffing
Technology
Telecom
Utilities
Others
MOFSL Universe
Large Cap
Mid Cap
Small Cap
FY25E
-1.6
0.0
2.1
-7.1
-1.4
-1.3
-3.4
-6.5
-4.4
-2.7
-4.4
-7.9
-0.2
1.4
-1.6
-3.1
0.8
-1.5
-11.1
-4.7
-2.6
0.0
-179.1
-2.2
7.3
-0.6
-0.7
3.5
-8.6
FY27E
-4.1
-1.7
-0.4
2.3
-1.6
-4.0
-4.9
-6.4
-0.8
-3.4
-8.5
-2.6
-1.2
1.8
-1.0
-9.4
-3.1
-1.8
4.1
-6.4
-2.8
-1.3
-9.9
-1.4
-10.2
-2.3
-2.0
-2.6
-5.6
February 2025
15
 Motilal Oswal Financial Services
India Strategy | Review 3QFY25
Nifty EPS experiences a downward revision
Nifty EPS cut by 1.4%/1.8% for FY26E/FY27E:
The Nifty EPS estimate for FY26 was cut by 1.4% to INR1,203,
largely owing to ONGC, HDFC Bank, JSW Steel, Axis Bank, and SBI. FY27E EPS was also reduced by 1.8% to
INR1,373 (from INR1,398) due to downgrades in SBI, HDFC Bank, ONGC, Tata Steel, and Reliance Industries.
The top earnings upgrades in FY26E:
Bharti Airtel (9.2%), Hindalco (4.2%), Tata Motors (4.1%), Kotak Mahindra
Bank (3.6%), and Maruti (3.5%).
The top earnings downgrades in FY26E:
JSW Steel (-9.5%), Tata Consumer (-6.5%), Tata Steel (-5.9%), Trent (-
5.5%), and Dr. Reddy’s Labs (-5%).
Current EPS (INR)
FY25E
FY26E
FY27E
36.9
44.9
62.0
7.5
9.7
11.1
69.7
65.8
70.7
65.6
61.9
60.4
96.0
109.8
131.4
462.3
512.4
573.4
99.3
124.6
145.1
230.2
245.8
267.7
45.2
63.2
74.0
162.3
177.8
204.9
26.9
26.3
26.6
12.0
12.3
13.0
49.2
59.5
66.6
270.9
343.7
435.6
42.8
53.4
63.8
56.8
67.4
70.5
50.6
61.0
67.9
138.0
152.0
166.2
44.2
52.6
63.6
66.3
71.7
82.0
17.9
18.9
19.9
90.5
103.8
117.2
106.2
135.4
156.5
47.7
58.5
70.0
89.2
97.3
112.6
20.4
25.4
27.6
82.1
110.4
136.5
63.4
70.0
77.5
61.7
61.2
68.2
287.3
329.0
377.6
63.7
70.0
77.7
44.1
49.3
54.1
75.1
97.2
116.0
88.7
95.4
109.4
32.7
36.7
41.1
100.3
121.0
156.8
222.0
298.6
380.3
44.6
50.3
57.4
6.7
7.8
9.4
36.8
44.4
45.7
16.1
17.4
18.7
84.6
89.8
104.2
64.7
74.4
68.2
21.2
24.4
27.4
45.0
61.4
78.2
3.4
11.2
16.0
14.5
17.7
20.1
17.0
61.7
82.8
1,047
1,203
1,373
EPS Upgrade / Downgrade (%)
FY25E
FY26E
FY27E
6.2
9.2
8.4
-10.4
4.7
8.6
1.1
4.2
-4.4
0.0
4.1
-6.6
2.3
3.6
4.2
6.6
3.5
2.2
-1.9
3.3
2.8
1.1
2.3
2.9
-5.5
1.7
6.3
1.3
1.1
5.1
-4.6
1.0
-0.7
5.0
0.4
0.3
-0.3
0.4
-1.2
2.4
0.2
-1.0
0.5
0.0
0.2
0.1
0.0
0.0
2.3
-0.3
-2.1
-0.7
-0.7
-0.7
-1.7
-0.7
-0.6
1.1
-0.9
-0.4
-3.3
-1.1
-1.0
-0.9
-1.1
-1.0
-4.4
-1.3
-2.4
-2.9
-1.3
-1.0
0.2
-1.5
-2.8
-1.1
-1.5
-1.3
-2.8
-1.7
-4.0
-0.3
-2.2
-3.3
8.0
-2.3
3.2
-1.7
-2.4
-2.8
0.6
-2.6
-2.5
-1.7
-3.4
-3.6
-5.6
-3.4
-2.7
0.8
-3.5
-2.8
-3.2
-4.1
-4.7
3.1
-4.2
-4.7
3.3
-4.2
-2.7
-3.5
-4.3
-3.5
0.6
-4.5
-4.5
-4.9
-4.6
-3.7
-3.9
-4.6
-5.2
-1.0
-4.6
-3.9
0.6
-5.0
-0.9
-15.6
-5.1
-4.7
-4.2
-5.5
-13.6
-11.9
-5.9
-9.8
-1.6
-6.5
-3.8
-14.1
-9.5
-3.5
-0.3
-1.4
-1.8
EPS Growth (%)
FY26E
21.6
29.2
-5.7
-5.5
14.3
10.9
25.4
6.8
39.8
9.6
-2.0
2.3
21.0
26.9
24.7
18.6
20.5
10.1
19.0
8.2
5.7
14.8
27.4
22.7
9.1
24.5
34.4
10.4
-0.8
14.5
9.8
11.9
29.4
7.6
12.2
20.5
34.5
12.7
16.5
20.4
8.1
6.2
15.0
15.0
36.5
231.9
22.0
263.2
14.8
Exhibit 41: FY26E EPS revisions – Seven Nifty constituents saw upgrades of over 3%, while 17 witnessed downgrades of over 3%
Company
Bharti Airtel
HDFC Life Insur.
Hindalco
Tata Motors
Kotak Mahindra Bank
Maruti Suzuki
Mahindra & Mahindra
Hero MotoCorp
Tech Mahindra
Eicher Motors
BPCL
Wipro
Sun Pharma
Bajaj Finance
Titan Company
Coal India
Reliance Inds.
TCS
Shriram Finance
ICICI Bank
Power Grid Corp.
Britannia
Larsen & Toubro
Adani Ports
State Bank
NTPC
IndusInd Bank
Infosys
Cipla
Bajaj Auto
HCL Technologies
Hind. Unilever
Grasim Industries
HDFC Bank
Nestle
Apollo Hospitals
Ultratech Cement
Asian Paints
Bharat Electronics
ONGC
ITC
Axis Bank
Dr Reddy’ s Labs
SBI Life Insurance
Trent
Tata Steel
Tata Consumer
JSW Steel
Nifty (50)
FY25E
87.8
3.2
52.7
11.7
4.8
10.0
11.9
12.5
10.0
10.9
-57.6
18.0
18.7
15.9
9.0
-6.4
-1.6
9.3
15.5
13.6
6.8
2.0
12.4
15.5
18.7
-4.9
-28.9
0.1
17.5
4.0
10.0
0.8
-21.5
10.7
-20.2
60.8
-9.2
-23.0
21.7
-20.5
-2.0
4.8
2.0
12.0
54.0
24.3
1.2
-53.8
4.2
FY27E
38.2
14.6
7.6
-2.5
19.7
11.9
16.4
8.9
17.1
15.3
1.1
6.0
11.9
26.7
19.5
4.7
11.4
9.3
21.0
14.4
5.5
12.8
15.6
19.8
15.8
8.5
23.6
10.8
11.4
14.8
11.0
9.8
19.4
14.7
11.8
29.6
27.3
14.2
21.0
3.0
7.9
16.1
-8.3
12.5
27.4
43.6
13.3
34.1
14.1
February 2025
16
 Motilal Oswal Financial Services
India Strategy | Review 3QFY25
Exhibit 42: We estimate a 10% CAGR for the Nifty free-float PAT over FY24–26
Company
High PAT Growth (20%+)
Tata Steel
Bharti Airtel
Trent
Apollo Hospitals
JSW Steel
Tech Mahindra
Bajaj Finserv
Bajaj Finance
Hindalco
Sun Pharma
Larsen & Toubro
Medium PAT Growth (0-20%)
Bharat Electronics
Adani Ports
Mahindra & Mahindra
Shriram Finance
Titan Company
HDFC Life Insur.
State Bank
SBI Life Insurance
Tata Consumer
Ultratech Cement
ICICI Bank
Maruti Suzuki
Eicher Motors
HCL Technologies
Hero MotoCorp
Kotak Mahindra Bank
TCS
Infosys
Bajaj Auto
HDFC Bank
Reliance Inds.
NTPC
Dr Reddy’ s Labs
Wipro
Britannia
Cipla
Power Grid Corp.
Hind. Unilever
Axis Bank
Adani Enterprises
Coal India
ITC
Grasim Industries
Tata Motors
PAT de-growth (<0%)
ONGC
IndusInd Bank
Nestle
Asian Paints
BPCL
Nifty (PAT free float)
Sales
CAGR %
24-26
12
4
17
35
14
11
4
32
26
7
10
16
7
17
13
16
19
17
15
7
13
11
13
9
9
13
7
8
11
7
8
13
10
4
6
12
2
8
7
6
5
8
2
9
7
17
3
-8
-7
8
-5
2
-11
5
EBIDTA Margin (%)
FY25E
23
12
54
16
14
14
13
67
83
13
28
10
27
26
61
15
73
10
6
65
7
14
17
83
12
26
22
14
76
27
24
20
82
18
29
28
21
18
26
85
24
78
13
34
35
4
13
13
16
70
24
18
5
23
FY26E
24
15
57
16
14
18
16
61
80
12
29
11
28
25
61
14
74
10
6
65
7
14
19
84
12
25
22
14
76
28
24
20
84
20
32
28
21
18
25
84
24
80
13
35
36
7
13
16
19
71
24
19
6
25
FY27E
25
17
57
17
14
19
17
58
79
12
29
11
29
25
61
14
74
10
6
66
7
14
20
85
12
25
22
14
76
28
25
20
85
21
33
25
21
18
25
83
24
82
13
35
36
9
13
16
19
73
24
19
6
26
EBITDA
CAGR %
24-26
20
27
22
37
19
16
23
20
26
14
16
16
10
18
15
21
17
18
18
17
12
8
15
13
10
10
8
9
11
9
9
14
8
9
14
11
6
6
8
4
6
12
11
11
5
5
1
-6
0
4
-5
-5
-30
10
PAT (INR b)
FY24
849
34
113
10
9
90
36
81
144
101
100
130
6,024
40
89
106
72
35
16
671
19
14
71
409
132
40
157
41
182
462
243
77
608
696
208
53
110
21
42
156
103
249
35
374
205
63
225
1,039
583
90
40
56
271
4,458
FY25E
1,051
42
212
16
14
41
40
98
168
155
118
146
6,436
49
103
119
83
38
16
796
21
14
64
466
145
44
173
46
191
502
263
80
673
685
198
54
127
22
50
166
104
261
39
350
201
49
241
717
463
64
32
43
115
4,701
FY26E
1,467
139
271
22
17
151
56
122
213
146
143
186
7,199
57
126
149
99
48
21
868
24
18
88
504
161
49
190
49
218
553
290
92
724
825
247
62
129
25
49
176
116
277
39
415
217
64
228
840
558
86
35
48
112
5,398
FY27E
1,842
200
375
28
23
202
66
147
270
157
160
215
8,064
69
151
174
120
57
24
1,005
27
20
112
576
180
56
211
54
261
604
322
105
831
919
267
57
137
28
55
185
127
322
39
435
234
76
222
890
575
106
40
55
114
6,161
PAT
Contbn to
CAGR %
Delta %
24-26
31
39
103
7
55
10
45
1
39
1
29
4
24
1
23
3
21
4
20
3
20
3
20
4
9
74
19
1
19
2
19
3
17
2
17
1
16
0
14
12
13
0
13
0
12
1
11
6
10
2
10
1
10
2
10
1
9
2
9
6
9
3
9
1
9
7
9
8
9
2
8
1
8
1
8
0
8
0
6
1
6
1
6
2
6
0
5
3
3
1
1
0
1
0
-10
-12
-2
-2
-2
0
-5
0
-7
0
-36
-10
10
100
February 2025
17
 Motilal Oswal Financial Services
India Strategy | Review 3QFY25
FY26E earnings highlights: Global commodities, NBFC-Lending,
Private Banks, and Technology to drive the incremental earnings
The MOFSL Universe is likely to deliver sales/EBITDA/PAT growth of 7%/15%/19%
YoY in FY26E. Oil & Gas, Metals, NBFC-Lending, Private Banks, and Technology
sectors are projected to be the key growth engines, with 24%, 37%, 26%, 11%, and
11% YoY earnings growth, respectively. They are likely to contribute 57% of the
incremental earnings in FY26E.
Exhibit 43: Oil & Gas, Metals, NBFCs, Private Banks, and Technology to lead the incremental profits for FY26E (PAT, INR b)
197 138 118 103 103 95
395 364 220
78
77
70
70
66
35
34 32
25
24 21
11
9
7
6
3
Exhibit 44: Delta contribution to FY26E profit for the MOFSL Universe (%)
17
16
10
9
6
5
4
4
4
3
3
3
Delta Contribution (%)
3
3
2
1
1
1
1
1
0
0
0
0
0
February 2025
18
 Motilal Oswal Financial Services
India Strategy | Review 3QFY25
MOFSL Universe saw a 9% earnings downgrade for FY26E on a
TTM basis
Telecom, Media, Retail, and Cement experience downgrades
Over the last one year, earnings revisions for the MOFSL Universe saw a cut of
9%.
NBFC Non-lending, Metals, Real Estate, Healthcare, Infrastructure, and Capital
Goods saw upgrades of 21%, 17%, 7%, 4%, 2%, and 1%, while Telecom, Media,
Retail, and Cement witnessed significant earnings downgrades of 47%, 28%,
27%, and 24%, respectively.
Exhibit 45: Metals and Healthcare saw major earnings upgrades, while Telecom witnessed downgrades over the last one year
21
17
7
4
2
1
% revision in PAT
0
-2
-2
-6
-8
-9
-9
-9
-10
-11
-14
-18
-18
-24
-24
-27
-28
-47
Note: Comparable MOFSL Universe of 252 companies
Exhibit 46: Annual Sales/EBITDA/PAT estimates for the MOFSL Universe
Sector
FY25E
Automobiles
12,774
Capital Goods
3,835
Cement
2,307
Chemicals
665
Consumer
3,534
Consumer Durables
743
EMS
587
Financials
12,151
Banks-Private
3,670
Banks-PSU
3,566
Insurance
2,911
NBFC - Lending
1,721
NBFC - Non Lend.
283
Healthcare
3,488
Infrastructure
179
Logistics
642
Media
180
Metals
11,395
Oil & Gas
35,073
Excl. OMCs
19,156
Real Estate
626
Retail
2,390
Staffing
481
Technology
7,800
Telecom
2,692
Utilities
3,170
Others
2,595
MOFSL Universe
107,310
Sales
FY26E
13,905
4,367
2,691
754
3,869
848
775
13,684
4,055
3,869
3,384
2,046
330
3,899
215
752
200
12,982
33,721
18,967
752
2,808
547
8,430
3,069
3,476
3,026
114,769
FY27E
15,235
4,957
3,009
853
4,251
975
993
15,781
4,680
4,331
3,926
2,458
385
4,332
255
885
217
14,001
34,931
19,867
864
3,284
622
9,138
3,408
3,690
3,521
125,202
Growth YoY (%)
EBITDA
Growth YoY (%)
PAT
Growth YoY (%)
FY25E FY26E FY27E FY25E FY26E FY27E FY25E FY26E FY27E FY25E FY26E FY27E FY25E FY26E FY27E
6
9
10 1,702 1,860 2,070 5
9
11
968 1,070 1,195 7
11
12
17
14
14
440 522 601
17
18
15
274 341 406
19
24
19
2
17
12
310 436 540 -18 41
24
167 237 306 -28 42
29
7
13
13
121 154 185
2
27
20
67
91
113
-2
36
24
5
9
10
830 922 1,022 1
11
11
585 662 738
-1
13
12
16
14
15
72
88
107
18
22
21
50
61
74
20
22
22
84
32
28
34
47
64
66
39
36
18
27
40
73
49
46
11
13
15 6,946 7,823 9,137 14
13
17 4,421 5,002 5,823 13
13
16
11
11
15 2,769 3,092 3,627 10
12
17 1,782 1,978 2,321 7
11
17
5
9
12 2,484 2,711 3,078 14
9
14 1,593 1,712 1,936 23
7
13
13
16
16
133 165 203
7
24
23
86
107 132
15
24
23
17
19
20 1,404 1,668 2,007 17
19
20
833 1,054 1,255 7
26
19
39
17
17
155 186 222
52
20
19
126 151 180
34
20
19
11
12
11
842 960 1,063 20
14
11
518 613 695
21
18
13
-6
20
19
51
62
75
1
22
21
19
27
32
12
38
21
11
17
18
244 290 339
13
19
17
140 174 210
15
25
21
-4
11
9
37
45
50
-12 21
11
23
28
32
-7
25
14
2
14
8 2,132 2,635 2,963 13
24
12
995 1,359 1,592 14
37
17
-1
-4
4 3,748 4,293 4,570 -19 15
6 1,657 2,053 2,176 -32 24
6
1
-1
5 3,038 3,489 3,757 -4
15
8 1,393 1,701 1,840 -12 22
8
28
20
15
170 235 265
26
38
13
114 184 203
17
62
10
19
17
17
257 312 371
15
21
19
104 139 175
11
34
26
12
14
14
17
21
25
14
23
17
10
13
16
42
32
20
6
8
8 1,758 1,961 2,164 7
12
10 1,220 1,359 1,502 9
11
11
11
14
11 1,364 1,562 1,751 19
15
12
9
40
166
LP 361 311
7
10
6 1,148 1,314 1,421 9
14
8
431 510 545
3
18
7
14
17
16
439 558 693
19
27
24
154 257 345
9
66
34
5
7
9 22,663 26,101 29,473 5
15
13 11,943 14,246 16,385 3
19
15
Source: MOFSL
February 2025
19
 Motilal Oswal Financial Services
India Strategy | Review 3QFY25
SECTOR-WISE:
Highlights / Surprise / Guidance
AUTOS: Near-term outlook remains weak, both in domestic and exports
Weak auto growth outlook amid mixed segment performance:
The auto segment (excluding tractors) saw ~3%
YoY growth in domestic volumes during the quarter, with rural demand outpacing urban. The PV segment led
the growth at ~4.5% YoY, driven by ~11.5% YoY/2% YoY increase in SUV/van volumes, while passenger car
volumes declined 8% YoY. This growth was partly fueled by festive season discounts and new launches. While
demand remained stable, below-normal inventory is likely to drive a wholesale push in 4Q. The recent budgetary
support by the government in terms of the income tax cut for the middle-income class is expected to boost
demand for both 2Ws and PVs in FY26E. CV demand remained sluggish, with overall volumes up just 1% YoY—
MHCVs declined 1% YoY, while LCVs grew 3% YoY. Even within MHCVs, growth was largely driven by the bus
segment, while goods segment saw a 5% YoY decline. Given the government’s recent shift in focus from “capex”
to “consumption”, demand is likely to remain subdued at least in the near term. Tractors also saw a trend
reversal, with volumes up ~14% YoY growth, supported by strong rural demand, and this momentum is likely to
sustain in the coming quarters as well.
Export growth on low base; demand outlook remains uncertain:
2W and PV export volumes grew ~29% and
~19% YoY, respectively, albeit on a low base. While the quarter showed some improvement for most companies,
the overall demand outlook remains uncertain. 2W demand is seeing revival in emerging markets, whereas PV
demand remains weak in developed markets. PV demand remains weak in EU but appears relatively better in
North America. While some near-term recovery is visible in certain regions, a broad-based rebound remains
distant. This could prolong challenges for ancillary firms with a global presence. However, 2W OEMs like BJAUT
and TVSL provided positive commentary, citing a demand recovery in key markets such as Africa, LatAm, the
Middle East, and encouraging developments in parts of Asia.
For our coverage universe (excluding CIEINDIA), total revenue grew ~7% YoY, whereas EBITDA/PAT declined
1%/2% YoY. While revenue was in line with expectations, EBITDA and PAT were lower due to an adverse FX
impact, higher festive season discounts, and increased marketing expenses, particularly for OEMs. Consequently,
EBITDA margin contracted by 100bp YoY to 12.7% (est. 13.2%). For OEMs, revenue grew ~7%, while EBITDA/PAT
fell 1%/2% YoY. For ancillaries, revenue rose ~8% YoY, while EBITDA fell 2% YoY and PAT flattish YoY.
Revenue in line, profitability under pressure due to high operating costs and adverse FX:
For our coverage
universe (excluding CIEINDIA), total revenue grew ~7% YoY, whereas EBITDA/PAT declined 2%/3% YoY. While
revenue was in line with expectations, EBITDA and PAT were lower due to an adverse FX impact, higher festive
season discounts, and increased marketing expenses, particularly for OEMs. Consequently, EBITDA margin
contracted by 120bp YoY to 13% (est. 13.6%). For OEMs, revenue grew ~7%, while EBITDA/PAT fell 1%/2% YoY.
For ancillaries, revenue rose ~8% YoY, while EBITDA/PAT fell 8%/9% YoY.
Stable quarter ahead with margins likely to remain stable:
The 3QFY25 earnings calls suggest that while
tractors are likely to maintain their momentum, demand for 2Ws, PVs and CVs is likely to grow in low to mid-
single digits in 4Q. Most companies have indicated that input costs are likely to remain stable QoQ. Hence,
margin trends would largely depend on operating leverage benefits and discounting trends in Q4. Ancillaries,
particularly those with global exposure, are likely to continue to face challenges from uncertain demand in
certain export markets. Overall, profitability for domestic-focused companies is likely to remain steady, but the
same for export-focused companies is likely to be under pressure, like in 3Q.
Several EPS downgrades amid demand moderation:
With no strong recovery in demand across segments and
an uncertain export outlook, a majority of our coverage companies (~14 out of 25) saw earnings downgrades in
3QFY25. Among OEMs, FY26E EPS downgrades were observed in Hyundai (-9%) and Escorts (-10%). In the auto
ancillary space, several companies saw downward revisions, including ARENM (-7%), Exide (-13%), Samvardhana
Motherson (-15%), BOS (-8%), Endurance (-6%), BHFC (-17%), Sona Comstar (-5%), Apollo Tyres (-9%), Balkrishna
(-6%), MRF (-10%), Motherson Wiring (-6%), Tube Investments (-9%), and Craftsman (-20%).
Valuation and view:
After the recent stock price correction over the last quarter, we expect the sector to regain
investor interest. The PV segment, having undergone a base correction this fiscal, is poised for a gradual demand
recovery from FY26 onward. Given this outlook and relatively attractive valuations, we continue to favor PVs
February 2025
20
 Motilal Oswal Financial Services
India Strategy | Review 3QFY25
over 2Ws. MSIL remains our top pick in autos, followed by MM and Hyundai. Among ancillaries, we prefer ENDU,
HAPPYFORG and MOTHERSO.
Surprises:
AL
Misses:
ARENM, BHFC, EIM, ESCORTS, EXID, HYUNDAI, MSUMI, MRF, TTMT
Guidance highlights:
MSIL:
3Q marked the company’s best-ever performance, led by festive momentum and higher discounting. This
resulted in 3.5% retail growth for MSIL over 9M. The company expects to deliver similar retail growth in 4Q.
Rural (+15%) is performing better than urban (+2.5%) for MSIL. MSIL continues to witness strong growth across
many export regions, including Africa, LatAm, ME, and ASEAN.
MM:
Auto –
Its market share in the below-3.5T PikUp segment improved 230bp YoY to 51.9%. Management is
hopeful of a demand recovery in the PikUp segment in the coming quarters, despite the current slowdown.
Tractors –
Given strong rural sentiment led by favorable indicators, management expects the tractor industry to
grow by 15%+ in 4Q, resulting in 10% growth in FY25E. While management has refrained from providing
guidance for FY26, it expects the industry to post growth in FY26 as well.
Hyundai (HMI):
HMI expects stability in export markets in the coming quarters. Growth drivers: 1) Hyundai India
is an export hub for Latin America, the Middle East and Africa; 2) HMI intends to evaluate global export
opportunities for Creta EV; and 3) Exter left-hand drive should see huge opportunities in key markets.
Management expects the domestic PV industry to post low-single-digit growth in CY25 as well.
TTMT:
JLR -
Management has maintained its EBIT margin guidance for FY25 at 8.5%. This translates into a 10.2%
EBIT margin for 4Q (vs. 9.2% YoY) – which we think is a tough ask, especially in the current adverse macro in its
key markets.
CV -
It believes there are positive tailwinds for the sector, which include improving fleet operator
profitability, led by improving utilization levels and higher freight rates.
PV -
It expects the PV industry to post
2% YoY growth in FY25E, in line with the trend for 9M. TTMT PV business was able to improve market share by
70bp on a QoQ basis in retail terms in 3Q. Dealer inventory has now been reduced to less than 25 days.
AL:
While the company has good visibility for the next six months, management is hopeful that all segments
within the CV industry will post growth in FY26. Management has also indicated that it continues to make good
progress toward its medium-term targets, which include: 1) a 35% share in MHCV, 2) mid-teens EBITDA margin,
3) strong growth in non-CV businesses, 4) leadership in alternate fuels, and 5) value unlocking in subsidiaries.
BJAUT:
Domestic 2W -
Management expects the industry to post 6-8% growth in the near term. Given its focus
on 125cc+ segment, BJAUT targets to outperform industry growth.
Exports 2W -
It expects exports to grow 20%+
for the next couple of quarters. The fastest-growing markets for BJAUT are Latin America (+30% YoY) and
ASEAN. Even Africa has recovered, with Nigeria now clocking close to 30k units per month.
HMCL:
After the festive season, 2W demand saw a temporary slowdown but is expected to pick up in the
upcoming wedding season and March festivities. It expects this momentum to continue even in FY26, given
positive rural sentiment.
TVSL:
Expects growth momentum to continue in FY26. The 2W retail market grew ~9% YoY in FY25YTD, with
rural growth slightly higher at ~10%. Healthy reservoir levels, improved crop outlook, and higher infrastructure
investments are expected to support demand going forward.
Exports:
During 3Q, Africa showed improvement,
with expectations for further growth in 4Q. LATAM continued to perform well, with consistent MoM growth.
EIM:
Domestic -
Management has indicated that it will continue prioritizing growth and will start shortlisting
products that need marketing support to drive growth. It intends to push brand-building activities for models
like Hunter and Guerilla to drive demand.
Exports-
While sentiment in export markets remains weak,
management maintains a cautiously optimistic outlook for export growth in FY26.
BHFC:
CV -
The Indian CV market is expected to post slightly better growth QoQ in 4Q, while FY26 is likely to be
flat. Demand for US Class-8 CV is projected to grow 10% in FY26, largely back-ended. Uncertainty remains
regarding potential tariff changes.
Global demand:
Weakness in the EU and the US persists due to the industry
transition to EVs and economic uncertainty.
BIL:
The management has maintained its guidance of minor volume growth in FY25. The market scenario
remains challenging. While volumes during the quarter grew despite channel de-stocking, management clarified
that there are still no major market share gains.
February 2025
21
 Motilal Oswal Financial Services
India Strategy | Review 3QFY25
Exhibit 45: Key operating indicators
3Q
FY25
1,224
1,464
1,212
566
186
344
98
140
111
46
Volumes ('000 units)
3Q
2Q
YoY (%)
FY24
FY25
1,201
2.0
1,222
1,460
0.3
1,520
1,101 10.1 1,228
501
13.0
542
191
-2.4
192
292
17.8
301
99
-0.4
86
139
0.9
131
114
-2.4
97
47
-1.4
46
19.4
1.5
6.1
228
21
5,610
QoQ
(%)
0.2
-3.7
-1.3
4.6
-2.9
14.0
14.4
7.1
14.4
1.7
19.5
1.1
1.0
3Q
FY25
20.2
14.5
11.9
11.6
11.3
14.6
12.2
7.6
14.2
12.8
24.9
24.9
8.8
13.2
EBITDA Margins (%)
Adj PAT (INR M)
3Q
YoY
2Q QoQ
3Q
3Q
YoY
2Q
QoQ
FY24 (bp) FY25 (bp) FY25
FY24
(%)
FY25
(%)
20.1
10
20.2 -10 21,087 20,419 3.3 22,160 -4.8
14.0
50
14.5
0
12,028 10,734 12.1 12,035 -0.1
11.2
70
11.7
20
6,185 5,934
4.2 6,626 -6.7
11.7
-10
11.9 -30 35,250 31,300 12.6 39,068 -9.8
12.9 -160 12.8 -150 11,607 14,252 -18.6 13,755 -15.6
13.0
160
14.3
30 29,643 24,897 19.1 38,409 -22.8
11.1
110
10.7 150 17,260 16,560 4.2 13,140 31.4
6.5
110
6.2
140 2,860 4,060 -29.6 2,290 24.9
16.2 -200 11.7 240
375
592 -36.7 283
32.5
12.0
80
11.6 120 7,617 5,804 31.2 6,933 9.9
27.5 -260 26.3 -130 11,705 9,960 17.5 11,003 6.4
27.5 -260 26.3 -130 10,562 9,137 15.6 10,099 4.6
8.0
80
7.1
160 3,010 2,110 42.6 2,090 44.0
12.8
50
13.1
20 135,123 142,798 -5.4 149,990 -9.9
** PBT instead of PAT; JLR in GBP m; Source: MOFSL, Company
Bajaj Auto
Hero MotoCorp
TVS Motor
Maruti Suzuki
Hyundai
M&M
TTMT India CV**
TTMT India PV**
TTMT (JLR)
Ashok Leyland
Eicher(Consol)
Eicher - RE
Eicher - VECV
Aggregate **
272
228
21
21
5,663 5,336
Exhibit 46: Aggregate EBITDA margin for OEM expanded
10bp QoQ to 13.2%, led by a better mix and favorable Fx for
2Ws
Aggregate (excl JLR)
12.0
11.0
7.5
8.2
8.4
9.9
9.2
9.9
11.2
12.8 13.4
13.2
Exhibit 47: Gross margins for OEMs coverage universe
steady QoQ, amid stable RM costs
73.1
75.1
73.2
58.8
Agg RM cost (%, Ex JLR)
75.4 75.5 73.7
72.4
75.6
74.0
73.7
11.5
71.5
71.5
11.7
12.8
13.3 13.1
75.4
72.4
70.9 71.5
Revised EPS Estimates (INR)
Rev
BJAUT
287.3
HMCL
230.2
TVSL
52.5
EIM *
162.3
MSIL *
462.3
HYUNDAI*
65.3
MM
99.3
TTMT *
65.6
AL
9.9
ESCORTS
86.6
ARE&M
51.4
EXID
13.1
BOSCH
695
ENDU*
8,230.9
BHFC*
21.0
MOTHERSO *
5.2
SONACOMS*
9.7
CEAT*
119.5
APTY *
20.7
BIL
88.4
MRF
4,082.5
MSUMI
1.4
TIINDIA*
44.4
CRAFTSMA*
81.5
HAPPYFORG*
27.9
* Consolidated; Source: Company, MOFSL
FY25E
Old
292.3
227.6
53.5
160.2
461.1
67.3
101.3
65.6
9.3
102.0
54.6
13.9
722
8,465.0
28.0
5.1
9.8
131.0
21.5
85.0
4,423.8
1.4
46.0
120.1
28.7
Chg (%)
-1.7
1.1
-1.9
1.3
0.3
-2.9
-1.9
0.0
6.8
-15.1
-5.9
-5.3
-3.8
-2.8
-24.9
2.3
-1.8
-8.7
-3.8
4.0
-7.7
-5.7
-3.5
-32.1
-2.9
Rev
329.0
245.8
64.4
177.8
512.4
68.9
124.6
61.9
11.7
102.7
55.4
14.2
785
9,991.5
32.6
5.9
10.7
170.3
27.7
102.8
4,532.7
1.6
58.7
153.8
35.3
FY26E
Old
337.1
240.3
66.1
175.8
512.4
75.6
120.6
59.5
11.3
113.8
59.6
16.3
855.8
10,612.5
39.5
7.0
11.3
176.1
30.3
108.7
5,040.9
1.7
64.2
193.3
36.4
Chg (%)
-2.4
2.3
-2.6
1.1
0.0
-8.9
3.3
4.1
3.6
-9.7
-7.0
-13.1
-8.3
-5.9
-17.4
-14.9
-5.3
-3.3
-8.7
-5.5
-10.1
-5.9
-8.7
-20.4
-3.1
February 2025
22
 Motilal Oswal Financial Services
India Strategy | Review 3QFY25
CAPITAL GOODS: Execution broadly matches expectations
Healthy improvement in ordering for new-age segments:
Order inflow growth was healthier than expected,
particularly buoyed by the continued momentum in power T&D. Domestic ordering improved for LT, KEC, and
KPIL, while private capex-led ordering was weak for SIEM (excl. Energy), TMX and TRIV. The pipeline from
cement, steel, and petrochemicals is yet to fructify into firm orders, while select sectors such as power T&D,
renewable energy, data centers, real estate, and defense continued to witness healthy traction. The defense
sector pipeline is strong on various AoNs and DAC approvals, and companies expect order finalization in the
coming quarter.
Execution growth broadly meets expectations for key players:
Overall execution of our coverage universe (excl.
ABB) grew by 17% YoY (vs. our estimates of 19%) on the back of healthy opening order books. LT, SIEM, KPIL,
and TRIV saw largely in-line revenue growth. KEC saw slightly lower-than-expected execution owing to delays in
water payments. Positive surprise came from BHE and KKC, which saw healthy revenue growth, while KECI, TMX,
KOEL, and ZEN were noticeably weaker.
Flat margin performance:
With relatively benign commodity prices, margins remained largely flat for EPC
players, with FY26 poised to see a healthy recovery as legacy projects are largely completed. Product companies
(excl. ABB) saw a mixed quarter, with some companies reporting a miss on margins vs. our expectations owing
to lower volumes and weaker product mix. POWERIND, BHE, and TRIV reported healthy margin expansion, while
TMX and KOEL reported muted margins.
Exports continue to improve sequentially:
LT and TRIV reported a good uptick in international ordering. KKC
continued to witness a sequential improvement in export revenue, while on a YoY basis it grew on a low base.
Given the uncertainty around global trade wars, macroeconomic conditions and geopolitical factors, the export
trajectory needs to be monitored closely.
Top picks:
With the recent correction in stock prices, we remain positive on LT, BHE and KKC.
Surprises:
BHE, KKC
Misses:
KECI, TMX, KOEL, KPIL, ZEN
Guidance highlights:
Most managements were confident about a healthy tendering pipeline materializing into order finalization, which is
expected to pick up in 4QFY25, though the private sector ordering is still subdued.
LT:
Increased FY25 order inflow growth guidance to 15% and revenue growth guidance to over 15% while
maintaining core E&C margin guidance of 8.25%. The remainder of 4QFY25 has an order pipeline of ~INR5.5t.
BHE:
Retained FY25 revenue growth guidance of 15%, margin guidance of 23-25% and order inflow guidance of
INR250b.
KKC:
Maintained double-digit revenue growth guidance for FY25 and FY26 at 2x the GDP growth rate.
KOEL:
Maintained its aim of “2B2B” – to achieve USD2b in revenue in the next five years with margins in double
digits.
KECI:
Initial FY25 order inflow guidance at ~INR250b is on track to be surpassed, while revenue growth will be
slightly lower at 12-14%. Margin guidance of 7.5% was maintained.
KPIL:
FY25 revenue growth guidance was trimmed to 13-14% while reiterating PBT margin at 4.5-5% and NWC
below 100 days.
TRIV:
Domestic ordering is expected to pick up 4QFY25 onward, while export opportunities continue to be
strong.
February 2025
23
 Motilal Oswal Financial Services
India Strategy | Review 3QFY25
Exhibit 48: Aggregate order book seeing a steady build-up (INR b)
Order book (INR b)
Source: Company, MOFSL
Exhibit 49: Aggregate revenue growth (%)
Capital goods revenue growth (%)
Exhibit 50: Aggregate EBITDA growth (%)
Capital goods EBITDA growth (%)
Source: Company, MOFSL
Source: Company, MOFSL
Exhibit 51: Aggregate EBITDA margin (%)
Capital goods EBITDA margin (%)
Exhibit 52: Aggregate PAT growth (%)
Capital goods PAT growth (%)
225
40
80
3 3
25 22 17 36 35 27 25 19 19 15
9 22
-28
-77
Source: Company, MOFSL
Source: Company, MOFSL
CEMENT: Volume in line; EBITDA miss led by lower realization and higher opex/t vs. estimates
Volume grew ~8% YoY, while realization declined ~9%:
Cement demand grew across segments, including IHB,
infrastructure, and real-estate during 3QFY25. Aggregate sales volume of our coverage universe grew ~8% YoY
(in line), higher than the industry volume growth of ~5%, led by market share gains by leading players.
Conversely, cement realization declined ~9% YoY (up 1% QoQ) to INR5,258 (~1% below our estimate). ACEM
reported the highest volume growth of ~17% YoY, followed by UTCEM at ~11% and TRCL at 9%. In contrast, the
rest of the players under our coverage universe posted a volume growth in the range of 2-7% YoY, except SRCM
and DALBHARA, which posted a volume decline of ~1-2% YoY. Aggregate revenue (excl. GRASIM) declined 2%
YoY to INR427b. GRASIM’s standalone revenue rose ~27% YoY to INR81.2b in 3QFY25, backed by incremental
revenue from its new growth businesses (Birla Opus and Birla Pivot combined revenue stood at INR15.9b).
GRASIM’s VSF/chemical segments’ revenue rose 6%/12% YoY.
February 2025
24
 Motilal Oswal Financial Services
India Strategy | Review 3QFY25
Gross margin for our cement coverage dipped 2.8pp YoY to ~58%,
as the impact of weak realizations was partly
offset by lower variable costs (average variable cost/t declined ~3% YoY to INR2,228, +2% vs. estimates). Total
opex/t declined 3% YoY to INR4,486.
Aggregate EBITDA for coverage companies declined 30% YoY (including
GRASIM, which registered an EBITDA decline of 48%), and OPM dipped 5.7pp YoY to ~13% (1.3pp below our
estimate).
EBITDA of ACC/ACEM (adjusted for prior period incentive incomes) and GRASIM declined 48-49% YoY,
while that of BCORP/DALBHARA/JKLC declined 33-34%. EBITDA of JKCE/TRCL/SRCM declined 21-29% YoY, while
EBITDA of UTCEM declined 11% YoY. ICEM reported an operating loss of INR1.9b vs. EBITDA of INR490m in
3QFY24.
Avg. EBITDA/t declined 34% YoY to INR772 (vs. estimated INR842).
Aggregate PAT declined 54% YoY (excl. Grasim, PAT down ~48%):
Aggregate interest/depreciation expenses for
our coverage universe grew 19%/33% YoY, and other income increased 12% YoY.
Aggregate profit declined 48%
YoY to INR21.9b for cement companies (profit down 54% YoY to INR20.2b, including GRASIM as it posted loss
of INR1.7b vs. PAT of INR2.4b in 3QFY24).
Profits declined ~97% YoY for TRCL, ~69-78% for BCORP/DALBHARA/
SRCM, ~33-57% for ACC/ACEM/JKCE/JKLC and ~17% for UTCEM. ICEM/GRASIM reported net losses during the
quarter.
Several earnings downgrades due to weak margins:
We cut our aggregate EBITDA estimates by ~6% for
FY25/FY26 (each) and ~4% for FY27, but there were no rating downgrades. We saw EBITDA downgrades for
FY25/26 in ACC (18%/13%), ACEM (22%/18%), BCORP (~5% each), DALBHARA (7%/4%), TRCL (10%/8%) and
GRASIM (22%/11%). We maintained our EBITDA estimates for UTCEM, SRCM, JKCE and JKLC.
Top picks:
UTCEM is our preferred pick among largecaps and JKCE in the midcap space.
Surprises:
SRCM, JKCE and JKLC
Misses:
ACC, ACEM, BCORP, DALBHARA, and TRCL
Guidance highlights:
Most of the management teams guided for industry demand growth of ~4% YoY in FY25 and ~7-8% YoY in 4QFY25.
We believe demand growth will be driven by pent-up demand, pick-up in construction activities, infrastructure
projects, and stable strong demand from IHB and real estate segments. Further, rural demand is estimated to be
positive given the good monsoon. Improvement in cement demand also led to price increases in 3QFY25. Current
cement prices are up ~1-2% as compared to 3QFY25 average. North, west and central regions saw higher price
improvements.
UTCEM:
Guided for double-digit volume growth in FY26 vs. industry growth of ~6-7% YoY. Capacity utilization is
estimated at ~80-85% on expanded capacity in FY26. Its domestic grey cement capacity is expected to increase
to ~185mtpa by FY25 end (including ICEM and Kesoram). Consolidated net debt stood at INR161.6b, including
the cost of the open offer for ICEM. Net debt is expected to peak in FY26 and start reducing thereafter.
ACEM:
Higher consolidated volumes were driven by inorganic growth (Sanghi and Penna Cement). Both (Sanghi
and Penna Cement) are in the transition and ramp-up phase, and ACEM is implementing various cost-reduction
measures. It expects plant capacity utilization for both companies to increase 70%+ in FY26 vs. sub-40%
currently.
DALBHARA:
It indicated cement demand recovery was below expectations due to slippages in government
capex, unseasonal rains, and state elections. Cement prices rose in Dec’24 and have sustained so far. It expects
additional price hikes in 4QFY25. However, heightened competitive intensity may cap the potential for higher
growth. It focuses on cost reduction (targeting cost savings of INR150-200/t through internal measures by
FY27E).
JKCE:
It expects volume growth of ~7-8% in 4QFY25 and ~10% in FY26. In FY25, it will realize cost savings of
INR40-50/t and the rest of INR75/t will be realized over the next few quarters. JKCE announced the acquisition
of Saifco Cements, which has a grinding capacity of 0.42mtpa in Srinagar, and EBITDA/t of this plant is
INR1,500/t.
JKLC:
It anticipates ~8% volume growth in 4QFY25, aligning with industry growth estimates of ~6-8% in 4QFY25.
It indicated that it is working on brand rejuvenation to improve its price positioning and expects these measures
February 2025
25
 Motilal Oswal Financial Services
India Strategy | Review 3QFY25
will help to improve its cement prices by INR80-100/t. Capacity utilization at UCWL stood at ~57% on expanded
capacity in 3QFY25. It targets to ramp up capacity utilization at UCWL to ~65% in FY26.
BCORP:
It indicated that within regions, the North has outperformed, driven by better pricing and strong volume
growth. However, it faced challenges in Central India, its core market, where intense competition led to pricing
pressure. Mukutban plant’s capacity utilization stood at +60% and is expected to increase further. This plant’s
performance is improving QoQ and has started contributing positively to the company’s overall performance.
GRASIM:
The paint business under the Birla Opus brand continued to gain market share, led by the expansion of
the distribution network, strong brand visibility, and superior product quality. It has reiterated its target of
exiting FY25 with a high-single-digit market share for the paint business. Lyocell (specialty Fibre) capacity at
Harihar, Karnataka, will be increased by 110ktpa, with the first phase of 55ktpa expansion set to be completed in
the next two years at a capex of INR13.5b.
Exhibit 54: Blended realization was down 9% YoY in 3QFY25
Realization (INR/t)
Exhibit 53: Sales volume grew ~8% YoY in 3QFY25
Aggregate Vol (mt)
45
9
20
4
(3) 2
15 9 10 10 16 13
7 11 4
YoY change (%)
2
8
66 72 61 59 64 74 69 64 70 82 80 73 75 91 83 74 81
Source: Company, MOFSL
Source: Company, MOFSL
Exhibit 55: Aggregate EBITDA declined 28% YoY in 3QFY25
Aggregate EBITDA (INR b)
78
43 43 51
-6
-20 -18
-26
-46
-6 -1
10
YoY Change (%)
59
30
-5
-30 -28
Exhibit 56: Average EBITDA/t was down 34% YoY in 3QFY25
Average EBITDA (INR/t)
Source: Company, MOFSL; Note: *EBITDA excluding Grasim
Source: Company, MOFSL
CHEMICALS: EBITDA declines sequentially; margin pressure persists
Overall performance:
Revenue was in line with our estimates (ATLP beat our estimates while FINEORG, NFIL,
NOCIL, TTCH, and VO missed our estimates). EBITDA was below our estimates (AACL, CLEAN, NFIL, and SRF beat
our estimates while DN, FINEORG, GALSURF, NOCIL, PI, and TTCH missed our estimates). Adj. PAT was below our
expectation (AACL, CLEAN, NFIL, and SRF beat our estimates, while the rest were below our estimates; ATLP in
line). Aggregate revenue increased 6% YoY to INR159.2b, EBITDA declined 1% YoY to INR26.9b, and adj. PAT
declined 12% YoY to INR13.5b.
Aggregate gross margin for our coverage universe declined 20bp YoY in 3QFY25 (vs. a decline of 40bp YoY in
2QFY25). AACL, ATLP, NFIL, TTCH, and VO saw gross margin expansions YoY, while the rest of the companies saw
a contraction. Aggregate EBITDA margin contracted 130bp YoY (decline of 160bp YoY in 2QFY25). AACL, ATLP,
February 2025
26
 Motilal Oswal Financial Services
India Strategy | Review 3QFY25
NFIL, and VO reflected an expansion in their EBITDAM YoY, while the remaining companies in our coverage
universe experienced a YoY contraction.
Ratings and earnings revisions:
There has been one rating change for our coverage universe after the 3QFY25
earnings, with SRF upgraded to BUY (from Neutral) with a TP of INR3,540 on an SoTP basis, given the strong
business outlook despite past underperformance. We have revised down our estimates for FINEORG, GALSURF,
PI, TTCH, NFIL, NOCIL, and VO after the 3QFY25 earnings. AACL, ATLP, and SRF saw an upward revision in
estimates following the 3QFY25 earnings season.
Top picks:
SRF:
The Chemicals business (CAGR 29% FY25-27E) is recovering, driving margin expansion, while
Packaging (CAGR 14%) and Technical Textiles (CAGR 8%) are expected to show steady growth with improving
profitability.
ATLP:
With rising demand in 9MFY25, ATLP is driving growth through efficiency projects, capacity
expansions, and market share gains, including a 50ktpa liquid epoxy resins plant (INR8b potential), a stabilized
caustic soda unit (300tpd), and improved Anaven offtake.
VO:
VOPL’s new products (MEHQ, Guaiacol, Anisole, 4-
MAP, Iso Amylene) are likely to start in 4QFY25, driving growth, while VO, now India’s only double-integrated AO
maker post the VAPL merger, is expected to grow on the back of robust ATBS demand.
Surprises:
AACL, CLEAN, SRF
Misses:
DN, FINEORG, GALSURF, NOCIL, PI, TTCH
Guidance highlights:
CLEAN:
Around 3-4ktpa of sales volumes in HALS are expected in FY26, with a selling price of USD5.5-6/kg. For
BHT, the peak revenue guidance is INR600-800m, with all approvals expected in the next six months, followed by
an additional 1.5 years to ramp up to 70-80% utilization. The company is undertaking the production of
Barbituric Acid, an intermediate used in the production of pigment yellow. The pilot plant has been approved by
Sudarshan Chemicals and is expected to be commercialized within the next three months. With acetone prices
coming down, margin expansion is anticipated starting from 4QFY25.
DN:
Industry demand is improving, with international recovery leading and domestic demand expected to
normalize by 4QFY25. Agrochemical de-stocking is easing, polymer demand is strengthening with new projects,
and margin expansion is likely as feedstock costs decline. Agrochemical volumes are rising internationally, with
domestic demand expected to follow by quarter-end. Key projects, including Acetophenone and nitric acid, will
be commissioned in 1HFY26, while increased domestic Phenol supply may reduce imports.
GALSURF:
Softness in terms of performance is likely to continue in 4Q as well. Rural and urban spending will pick
up from 1QFY26. Structural story remains intact according to the management. Capex will be focused on
equipping the company for the future. Fatty alcohol prices are likely to remain stable in 4Q but may reach
~USD1,500/mt next year. Supply chain issues have eased compared to 1HFY25 and may ease further going
forward. Management has retained volume growth guidance of 6-8% for the next 2-3 years, along with
EBITDA/kg guidance.
NFIL:
Additional R32 capacity at a capex of INR840m is progressing as scheduled, with the commissioning
expected by Feb’25. AHF capex for INR4.5b is on schedule and expected to be commissioned by early FY26. The
Dahej Fluorospecialty product (Project Nektar) has a capex of INR5.4b, with revenue of ~INR5.2b spread over
two years (reaching closer to this peak by FY27). Around 40-50% of the revenue is expected to come in FY26.
NFIL has already secured the Fermion order book for CY25. Management expects to exit FY25 with an EBITDAM
of ~25% but has not provided guidance on the future margin trajectory.
PI:
The company maintains its guidance of single-digit revenue growth for FY25 and is cautiously progressing
toward achieving it. The pharma revenue guidance for FY25 remains unchanged from the previous quarter,
projected at ~INR2.5-INR2.75b. Management anticipates revenue growth to accelerate further in 4QFY25, driven
by the current order visibility.
SRF:
The management anticipates robust demand from agro in 4QFY25 with a significant performance
improvement over 3QFY25. Going forward, SRF anticipates to clock a revenue growth of ~20% in FY26. The
February 2025
27
 Motilal Oswal Financial Services
India Strategy | Review 3QFY25
company expects positive traction from FY26 onwards in PTFE. For FY25 the company plans to incur a capex of
~INR15b, while future projects will have a capex in the range of ~INR15b-20b.
TTCH:
India, Asia, and the US are expected to continue their growth momentum, with the western parts of
Europe likely to be flat or experience a slight decline. Pricing in the domestic market has remained steady in
India, and the management expects the same in 4QFY25. Management expects volumes in 4QFY25 to be much
better compared to 3QFY25.
Aggregate Revenue (INR b)
153.1
170.0
172.8
163.6
168.2
158.2
155.4
150.0
156.7
163.4
168.2
159.2
Exhibit 57: Revenue for our coverage universe
122.6
130.4
140.4
Exhibit 58: Gross margin for our coverage universe
Aggregate Gross margin (%)
Exhibit 59: EBITDAM for our coverage universe
Aggregate EBITDAM (%)
Exhibit 60: EBIT margin for our coverage universe
Aggregate EBIT margin (%)
February 2025
28
 Motilal Oswal Financial Services
India Strategy | Review 3QFY25
Exhibit 61: PAT margin for our coverage universe
Aggregate adj. PAT margin (%)
CONSUMER – FMCG: Largely in-line revenue print; deceleration in margins
Moderate demand trend continues:
Our coverage universe reported 6.8% YoY revenue growth (vs. est. 6.5%).
Excluding ITC, our consumer sector grew 6.1% YoY (est. 6.4%) as demand remained subdued. Volume growth for
most companies was limited to low- to mid-single digits (see Exhibit-1). Urban growth continued to moderate,
while rural demand sustained recovery. It was also reflected in Nielsen’s data—rural volume growth at 9.9% vs.
5% in urban. High palm oil prices impacted volume performance (grammage reduction), particularly for personal
wash. Higher LUP mix (even witnessed in urban) further impacted underlying volume growth. Winter portfolio
was also muted due to delay in season, impacted healthcare, HI, personal care categories. Paint companies were
affected by delayed monsoon and early festive season, which further impacted the industry growth trends.
Liquor companies saw strong growth, driven by new Andhra Pradesh liquor policy, healthy P&A demand, and
higher number of weddings in 2HFY25. Innerwear demand saw an initial festive boost but failed to sustain
growth momentum. Traditional channels remained sluggish, whereas emerging channels continued to drive
growth and improve the sales mix. Overall, in our coverage, seven companies posted double-digit revenue
growth, while both paint companies (Asian & Indigo) saw revenue decline. Overall, 19 out of 20 companies
reported revenue in line with estimates.
Gross margin pressure impacted EBITDA:
Rising commodity costs, particularly in the agri basket, combined with
insufficient price hikes, led to gross margin pressure across most categories and companies. With tighter
operating costs (particularly ad spending), companies could restrict margin pressure at the EBITDA level.
Companies have initiated price hikes to counter RM inflation, and full benefits of those hikes will be visible in 4Q.
Our coverage universe reported flat YoY EBITDA growth in 3QFY25 (vs. est. +2.5%). Excluding ITC, EBITDA
declined marginally by 0.3% (est. +1.4%).
PBT and PAT below expectations:
For 10 of the 20 coverage companies, PBT was either ahead of or in line with
our estimates, with a better-than-expected performance by PG and UNSP. Conversely, there were notable
misses by CLGT, GCPL, INDIGOPN, NESTLE, TATACONSUMER, UBBL and VBL. Aggregate PBT declined by 2.6% YoY
(est. +2.7%). Aggregate PAT declined 5.3% (est. +1.1%).
Outperformer (3Q):
UNSP, PAGE and PG
Under performer (3Q):
APNT, CLGT, GCPL, BRIT and VBL
Near-term outlook:
While the slowdown persists across consumer segments, demand trends are expected to
improve gradually, supported by income tax benefits, interest rate cuts, and gradual improvement in the macro
environment. We anticipate a steady recovery in volume growth in urban and rural areas. Companies are
focusing on traditional strategies to drive growth such as expanding distribution, launching new products, and
offering consumer incentives. Companies have implemented price hikes in 3Q and looking to take further
increases in 4Q to offset raw material inflation. Price hikes and expected volume pickup should improve the
revenue acceleration in ensuing quarters. Our top picks are HUL, GCPL, Dabur, and PAGE.
Guidance highlights:
Consumption trends remain weak. Rural demand is doing better than urban demand. Most
companies have started to take calibrated price hikes across categories to pass on RM inflation.
APNT:
The management expects revenue weakness to persist for at least two more quarters. The company is
targeting to achieve single-digit volume growth in the near term. APNT is more worried about industry
challenges than competition.
February 2025
29
 Motilal Oswal Financial Services
India Strategy | Review 3QFY25
BRIT:
The company is implementing strategic price hikes (2% in 3Q, further 2.5% in 4Q and 1.5% in 1QFY26) and
cost efficiency (~2.5% in FY26) to offset cost inflation. It has guided that EBITDA margin will be in the range of
17-18%. No major capital expenditure is planned, with only INR1.5-2b allocated for FY26.
DABUR:
Dabur had taken 3% price hike to offset inflation, but it was neutralized by trade schemes and
promotions. The company anticipates sequential improvement in demand and mid-single digit value growth in
4QFY25, driven by both pricing and volume growth. For FY26, the company aims to maintain margins, with a
potential for marginal improvement through cost initiatives and pricing actions.
HMN:
The impact of the 1.5-2.5% price increase is expected to reflect in 4Q, contributing positively to margins.
The company aims for high single-digit revenue growth and double-digit EBITDA growth in FY25. The effective
tax rate stood at 8-9% in FY25 due to MAT credit, with the company anticipating a rate of 10% in FY26.
HUVR:
HUVR has implemented price hikes to mitigate the impact of raw material price inflation. It will continue
to raise prices by low-single digits if commodity prices remain at the current level. EBITDA to be maintained at
the lower end of 23-24%.
GCPL:
The
company has taken mid-single-digit price hikes in 3Q, with further increases expected in 4QFY25 to
offset palm oil inflation. Margins are expected to improve sequentially, with normalization expected in 1HFY26.
MRCO:
The company expects double-digit revenue growth (unlike other FMCG peers) in the medium term, and
has maintained its operating margin guidance at ~20% for FY25.
PIDI:
EBITDA margin is expected to be 20-24% in the medium term. It targets growth at 1-2x GDP in its core
categories and 2-4x GDP in its high-growth categories.
VBL:
VBL currently operates in 4 million outlets across India, out of a total of 12 million outlets. The company
aims to expand its presence by 10% annually. India business is expected to maintain margins at ~21% over the
long term. Management expects to incur a capex of INR31b for CY25. As of 31st Dec’24, about INR16.5b has
already been incurred through capital work in progress (CWIP) and capital advances.
Exhibit 62: Quarterly volume growth
Volume growth (%)
Asian Paints
Britannia
Colgate
Dabur
Emami
Godrej Consumer
HUL
ITC
Jyothy Labs
Marico
Page Industries
UBBL
United Spirits
1QFY23
37.0
-2.0
-2.5
5.0
9.6
-6.0
6.0
26.0
3.0
-5.0
150.0
121.0
17.9
2QFY23
10.0
5.0
-2.5
1.0
-1.0
-5.0
4.0
20.0
1.4
3.0
1.0
23.0
8.3
3QFY23
0.0
3.0
-4.5
-3.0
-3.9
3.0
5.0
15.0
2.1
4.0
-11.0
4.0
-25.0
4QFY23
16.0
3.0
0.5
1.0
2.0
13.0
4.0
11.5
3.3
5.0
-15.0
3.1
-27.3
1QFY24
10.0
0.0
3.0
3.0
3.0
10.0
3.0
8.0
9.0
3.0
-11.5
-12.4
5.8
2QFY24
6.0
0.0
-1.0
3.0
2.0
4.0
2.0
5.0
9.0
3.0
-8.8
7.0
1.0
3QFY24
12.0
5.5
-1.0
4.0
-1.0
5.0
2.0
-2.0
11.0
2.0
4.6
8.0
-1.8
4QFY24
10.0
6.0
1.0
3.0
6.4
9.0
2.0
2
10.0
3.0
6.1
10.9
3.7
1QFY25 2QFY25 3QFY25
7.0
-0.5
1.6
8.0
8.0
6.0
7.0
8.0
4.0
5.2
-7.0
1.2
8.7
1.7
4.0
8.0
7.0
0.0
4.0
3.0
0.0
3.0
3.5
6.0
10.8
3.0
8.0
4.0
5.0
6.0
2.6
6.7
4.7
5.0
5.0
8.0
3.5
-4.4
10.2
Source: Company, MOFSL
February 2025
30
 Motilal Oswal Financial Services
India Strategy | Review 3QFY25
Exhibit 63: Revenue/EBITDA/PAT growth for 3QFY25
Company Name
Asian Paints
Britannia
Colgate
Dabur
Emami
Godrej Consumer
HUL
Indigo Paints
ITC
Jyothy
LT Foods
Marico
Nestle
P&G Hygiene
Page Industries
Pidilite
Tata consumer
United Breweries
United Spirits
Varun Beverages
Revenue
85,494
45,926
14,618
33,553
10,495
37,684
1,58,180
3,426
1,87,902
7,045
22,748
27,940
47,797
12,476
13,131
33,689
44,436
19,984
34,320
36,888
3QFY25
YoY %
-6%
8%
5%
3%
5%
3%
2%
-3%
4%
4%
17%
15%
4%
10%
7%
8%
17%
10 %
15%
38%
EBITDA
16,367
8,449
4,544
6,819
3,387
7,559
36,950
572
63,619
1,158
2,498
5,330
11,193
3,709
3,025
7,984
5,647
1,411
5,880
5,800
3QFY25
YoY %
-20%
3%
-3%
2%
8%
-16%
1%
-8%
-2%
-2%
5%
4%
-1%
20%
32%
7%
-1%
-3 %
20%
39%
3QFY25
YoY %
11,284
-23%
5,823
4%
3,228
-2 %
5,306
2%
3,006
6%
5,025
-14%
25,561
1%
360
-3%
48,098
-10%
874
-34%
1,433
-5%
3,990
4%
7,014
-10%
2,686
17%
2,047
34%
5,575
9%
2,835
-18%
640
-24%
4,203
21%
1,858
41%
Source: Company, MOFSL
PAT
YoY (bp)
-89
-248
-19
67
-466
-19
-224
-108
-131
-210
-112
240
-234
4
-344
-90
-2
QoQ (bp)
161
36
208
415
-72
-46
125
-244
10
-52
13
414
-215
-824
370
283
-7
Exhibit 64: Gross and EBITDA margin expansion in 3QFY25
Companies
Staples
Britannia
Colgate
Dabur
Emami
Godrej Consumer
HUL
ITC
Jyothy
LT Foods
Marico
Nestle
P&G Hygiene
Tata consumer
Varun Beverages
Paints
Asian Paints
Indigo Paints
Pidilite
Liquor
United Breweries
United Spirits
Gross Margin
38.7%
69.9%
48.1%
70.3%
54.1%
51.3%
57.6%
49.8%
30.8%
49.5%
56.4%
64.8%
41.1%
56.1%
42.4%
46.6%
54.3%
43.1%
44.7%
YoY (bp)
-515
-226
-55
153
-175
-64
-330
1
-13
-178
-221
459
-273
-56
-116
-156
145
-86
131
QoQ (bp)
-280
137
-128
-40
-145
-28
172
-42
-156
-129
-24
191
-253
54
167
292
-3
-72
-47
EBITDA Margin
18.4%
31.1%
20.3%
32.3%
20.1%
23.4%
33.9%
16.4%
11.0%
19.1%
23.4%
29.7%
12.7%
15.7%
19.1%
16.7%
23.7%
7.1%
17.1%
-92
-366
69
-70
Source: Company, MOFSL
CONSUMER – QSR: Growth on a favorable base; store expansion continues
Gradual improvement in demand:
QSR companies experienced a slight improvement in demand trends during
3Q, particularly toward the end of the quarter. With a favorable base, same-store sales growth (SSSG) showed
an uptick. The revenue gap between dine-in and delivery has narrowed due to increased dine-in footfall.
However, weak underlying growth continued to impact operating margins, putting pressure on restaurant and
EBITDA margins for most brands. Enhancements in menu offerings and promotional activations have increased
footfalls. While delivery channels remain strong, dine-in is showing gradual improvement. Our coverage universe
posted revenue growth of 12% YoY (organic growth) in 3QFY25 vs. 6% in 2QFY25 and 4% in 3QFY24. Jubilant
delivered robust LFL growth of 13%, Westlife saw 3% SSSG and Sapphire PH posted 5% SSSG. Devyani KFC/
February 2025
31
 Motilal Oswal Financial Services
India Strategy | Review 3QFY25
Devyani PH/Sapphire KFC/RBA/BBQ registered same-store sales decline of 4%/1%/3%/1%/2%. The healthy pace
of store addition continued during the quarter.
Pressure on profitability:
With underlying growth remaining weak, companies witnessed an adverse impact on
their unit economics. Both restaurant margin and EBITDA margin saw YoY contraction.
Outperformer (3Q):
Jubilant Foodworks
Underperformer (3Q):
Devyani, Westlife
Guidance highlights:
JUBI:
JUBI aims for a ~100bp improvement in gross margin over the next three quarters, backed by cost
optimization initiatives and lowering discounting. The company maintains a payback period of 2-2.5 years for its
new stores as well.
Devyani:
Pizza Hut margin continued to see contraction, but management expects margin improvement in the
coming quarters, led by marketing cost optimization. KFC ROM can reach 19-20% with ADS of INR100k over the
next few quarters. Devyani is adopting some strategic measures to achieve the same.
Westlife:
A 50bp price increase was implemented at the portfolio level in Nov’24. GP improved sequentially
despite RM inflation led by efficient supply chain and cost initiatives. The company expects its gross margin to
revive to 70%+ levels in the near term. Management has guided for an 18-20% EBITDA margin by FY27.
Sapphire:
KFC’s restaurant margins are expected to remain ~18% in the near term. The company plans to open
70-80 new KFC stores per year. For Pizza Hut, management remains cautious about store expansion and plans to
add 20-25 stores per year.
RBA:
The company aims to achieve a gross profit margin of ~69% by FY27. This improvement is expected to be
driven by initiatives such as optimized sourcing, menu mix adjustments, and pricing strategies. RBA’s immediate
focus in Indonesia is to reach cash breakeven at a country level.
Barbeque:
The company has implemented a 2% price hike in the current period, aligning with its strategy of
maintaining a 2-3% price increase over the long term to offset inflationary pressures. In FY26, the company plans
to open 22-25 new restaurants in India, 5-6 new restaurants in international markets, and 6-7 new premium CDR
outlets, taking the total restaurant count to 270. The company expects a total cash requirement of INR1.4b for
FY25, including INR0.2b for maintenance expenses and INR1.2b for new store openings. If operating cash flows
are insufficient, the company may consider raising debt to meet capex requirements.
Exhibit 65: Quarterly trends
Particulars
Revenue Growth (%)
Barbeque Nation
Devyani (Consol)
-KFC
-Pizza hut
Jubilant (Standalone)
Sapphire
-KFC
-Pizza hut
Restaurant Brands (Consol)
Restaurant Brands (Standalone)
Westlife
SSSG
Barbeque Nation
Devyani - KFC
Devyani - PH
Jubilant (LFL)
Sapphire - KFC
Sapphire - PH
Restaurant Brands
Westlife
1QFY23 2QFY23 3QFY23 4QFY23 1QFY24 2QFY24 3QFY24 4QFY24 1QFY25 2QFY25 3QFY25
209%
100%
109%
71%
41%
80%
98%
85%
64%
125%
108%
182%
64%
32%
28%
65%
47%
66%
97%
41%
45%
47%
36%
17%
36%
36%
60%
47%
50%
49%
23%
13%
3%
8%
15%
23%
27%
40%
14%
27%
27%
18%
10%
17%
26%
20%
21%
32%
28%
-1%
3%
-6%
0%
3%
-4%
9%
20%
12%
28%
26%
16%
8%
13%
24%
18%
29%
36%
22%
-3%
2%
-3%
-1%
2%
-4%
8%
14%
3%
20%
22%
11%
6%
20%
21%
12%
25%
25%
14%
-8%
-1%
-5%
-1%
0%
-9%
4%
7%
-3%
10%
15%
2%
5%
14%
19%
-6%
19%
23%
7%
-11%
-4%
-10%
-1%
0%
-20%
4%
1%
1%
7%
14%
-2%
3%
12%
16%
-4%
15%
20%
-2%
-5%
-5%
-13%
-3%
-2%
-19%
3%
-9%
6%
39%
11%
-4%
6%
13%
16%
-3%
16%
20%
1%
1%
-7%
-14%
0%
-3%
-15%
2%
-5%
-6%
44%
7%
-1%
10%
10%
11%
3%
6%
16%
0%
-7%
-7%
-9%
3%
-6%
-7%
3%
-7%
1%
49%
7%
0%
9%
8%
9%
3%
1%
9%
1%
-3%
-7%
-6%
3%
-8%
-3%
-3%
-7%
-1%
54%
9%
6%
19%
14%
12%
10%
6%
11%
9%
-2%
-4%
-1%
13%
-3%
5%
-1%
3%
February 2025
32
 Motilal Oswal Financial Services
India Strategy | Review 3QFY25
Particulars
Gross profit margin (%)
Barbeque Nation
Devyani (Consol)
-KFC
-Pizza hut
Jubilant (Standalone)
Sapphire
-KFC
-Pizza hut
Restaurant Brands (Consol)
Restaurant Brands (Standalone)
Westlife
EBITDA Pre-Ind AS margins (%)
Barbeque Nation
Devyani (Consol)
Jubilant
Sapphire
Restaurant Brands (Consol)
Restaurant Brands (India)
Westlife
ADS ('000')
Barbeque Nation
Devyani
-KFC
-Pizza hut
Jubilant (Standalone)
Sapphire
-KFC
-Pizza hut
Restaurant Brands (India)
Westlife
Store (India)
Barbeque Nation
Devyani India
-KFC
-Pizza hut
Jubilant
Sapphire
-KFC
-Pizza hut
Restaurant Brands
Westlife
PBT Margins
Barbeque Nation
Devyani (Consol)
Jubilant (Standalone)
Sapphire
Restaurant Brands (Consol)
Restaurant Brands (Standalone)
Westlife
1QFY23 2QFY23 3QFY23 4QFY23 1QFY24 2QFY24 3QFY24 4QFY24 1QFY25 2QFY25 3QFY25
66.8%
71.1%
69.0%
76.2%
76.7%
67.9%
67.3%
75.3%
64.3%
66.4%
68.0%
13.7%
16.1%
17.4%
13.2%
-2.2%
1.1%
13.0%
179
127
44
85
144
61
120
181
195
961
391
436
1,676
516
281
235
328
331
6.6%
10.9%
13.2%
6.5%
-10.4%
-6.7%
5.9%
66.1%
70.2%
67.9%
74.5%
76.2%
66.4%
65.6%
74.7%
64.6%
66.4%
69.3%
10.0%
15.1%
17.2%
11.1%
-2.9%
3.2%
13.4%
168
121
45
84
134
64
127
189
205
1,047
423
466
1,753
550
301
249
334
337
2.2%
9.4%
12.6%
4.8%
-10.5%
-3.6%
7.4%
66.7%
69.3%
67.6%
73.6%
75.5%
67.1%
66.5%
74.4%
63.6%
66.4%
70.2%
10.3%
14.8%
14.7%
12.4%
-2.4%
4.2%
14.3%
172
116
43
84
136
58
120
199
212
1,120
461
483
1,814
599
325
274
379
341
2.0%
9.3%
9.1%
5.6%
-10.6%
-3.0%
7.9%
65.8%
69.6%
68.6%
73.2%
75.3%
67.9%
66.8%
74.3%
64.1%
66.4%
71.9%
3.8%
12.1%
12.3%
10.0%
-3.6%
1.5%
12.0%
144
106
39
78
127
50
108
173
216
1,184
490
506
1,863
627
341
286
391
357
-4.5%
5.5%
7.4%
2.2%
-15.6%
-6.7%
5.1%
64.0%
70.8%
69.7%
74.9%
76.0%
68.5%
68.1%
75.1%
64.0%
66.5%
70.6%
5.5%
13.2%
13.4%
11.8%
-0.3%
2.4%
12.9%
170
117
40
79
138
52
120
189
212
1,230
510
521
1,891
660
358
302
396
361
-1.7%
7.1%
7.7%
5.1%
-8.8%
-5.2%
6.6%
65.9%
70.8%
69.0%
75.7%
76.4%
68.7%
67.9%
76.1%
64.2%
66.8%
70.1%
4.5%
11.5%
13.3%
10.6%
1.5%
5.4%
11.9%
158
109
39
78
125
48
126
185
212
1,298
540
535
1,949
692
381
311
404
370
-5.0%
4.0%
7.2%
3.3%
-7.3%
-2.1%
4.9%
67.9%
70.6%
69.4%
75.8%
76.7%
68.9%
68.4%
75.7%
64.4%
67.1%
70.3%
11.0%
9.3%
12.9%
10.8%
2.8%
6.8%
11.4%
175
104
37
78
125
45
119
176
210
1,387
590
565
2,007
725
406
319
441
380
2.3%
1.1%
6.0%
2.1%
-6.2%
-1.4%
3.9%
68.9%
69.2%
69.9%
77.3%
76.6%
68.9%
68.3%
75.5%
64.2%
67.7%
70.2%
8.0%
9.2%
10.9%
8.6%
-0.5%
2.4%
8.7%
153
93
32
75
114
41
105
157
217
1,429
596
567
2,096
748
429
319
455
397
-0.3%
0.4%
3.8%
0.1%
-12.4%
-7.1%
0.4%
68.1%
69.2%
69.5%
76.8%
76.1%
68.6%
68.2%
76.1%
64.5%
67.6%
70.6%
6.9%
11.6%
11.6%
9.8%
1.3%
3.6%
8.1%
155
104
36
79
122
48
119
170
219
1,473
617
570
2,148
762
442
320
456
403
-1.8%
3.1%
4.7%
1.6%
-7.5%
-5.5%
0.7%
68.1%
69.3%
69.0%
76.7%
76.1%
68.8%
68.3%
76.5%
64.9%
67.5%
69.7%
5.4%
9.4%
11.7%
8.5%
0.6%
5.0%
7.7%
153
96
35
78
111
47
118
168
222
1,557
645
593
2,199
784
461
323
464
408
-3.3%
-0.1%
4.8%
0.8%
-10.3%
-3.4%
0.1%
68.2%
68.7%
68.6%
76.2%
75.1%
68.6%
68.2%
75.6%
65.6%
67.8%
70.1%
10.3%
10.1%
12.4%
10.7%
2.1%
6.2%
9.1%
162
96
35
84
115
48
114
173
226
1,658
689
644
2,266
835
496
339
510
421
1.4%
0.4%
4.9%
2.2%
-8.6%
-3.8%
1.0%
CONSUMER DURABLES: Cables and wires drive growth; UCP margins disappoint
Revenue growth largely in line with our estimates:
Revenue for our consumer durables coverage universe
increased 16% YoY to INR175b in 3QFY25 (+1% vs. our estimates). As expected, cable demand remained strong,
while wire demand was impacted by high channel inventory at the beginning of the quarter and a decline in
copper prices. The C&W segment’s aggregate revenue grew ~14% YoY (down 3% QoQ) to INR100b (-2% vs. our
estimates) in 3QFY25. The UCP segment’s aggregate revenue (coverage companies) grew 18% YoY to INR25b
(+3% vs. our estimate) in 3QFY25. In other ECD segment, demand growth was strong across categories in Oct’25,
led by the festive season. After Diwali to mid-Dec’25, weak consumer spending led to softness in demand.
February 2025
33
 Motilal Oswal Financial Services
India Strategy | Review 3QFY25
Revenue growth for Polycab/KEII/VOLT/HAVL/RRKABEL stood at 20%/20%/18%/11%/9% YoY. Demand in C&W
segment is anticipated to remain strong, led by infrastructure, industrial demand and strong real estate growth.
Early summer trends and an expected increase in consumer spending drive a positive demand outlook for
cooling products.
C&W margin gains, UCP margins under pressure:
Margins in C&W improved sequentially as the wire business has
normalized and the contribution from international business has increased. Margins in UCP segment were under
pressure due to higher spending toward advertisement, branding and promotions. Aggregate EBITDA for our
coverage universe grew ~25% YoY to INR17.0b (+2% vs. our estimates) and EBITDA margin improved 70bp YoY to
9.7% (in line). VOLT’s EBITDA surged 6.7x YoY to INR2.0b, albeit on a low base (generating profits in EMPS
segment vs. huge losses in 2HFY24). Its UCP margin dipped 2.4pp YoY to 5.9%. EBITDA of POLYCAB/KEII surged
~26%/12% YoY, while it declined for HAVL and RRKABEL by 1-2% YoY.
EPS downgrades due to cut in margin estimates:
We cut our EPS estimates for HAVL (5-8% for FY25-27),
POLYCAB (3-5% for FY25-27), KEII (6-7% for FY25-27), VOLT (8-14% for FY25-27) and RRKABEL (~12% for
FY26/FY27, each).
Top picks:
We remain positive on POLYCAB and VOLT
Surprises:
POLYCAB, RRKABEL
Misses:
HAVL and VOLT
POLYCAB:
It indicated that the C&W industry is estimated to grow at 1.5x-2.0x the real GDP growth (10-13%
CAGR). Within Project Spring, the company targets to grow at 1.5x the industry (translating into ~15-20% CAGR).
Additionally, it targets a sustainable EBITDA margin of 11%-13% in the long term. It has guided for a cumulative
capex of INR60-80b over the next five years.
KEII:
It remains optimistic about the demand outlook in the domestic and export markets. KEII expects revenue
growth of 19-20% YoY in FY26 and EBITDA margin of ~11%. It aims to clock a revenue CAGR of 20%+ over FY26-
30 to reach INR250b by FY30. EBITDA margin should improve to 12.5% by FY28 (vs. ~10% in FY25E).
RRKABEL:
It indicated that volume growth in 9MFY25 was ~6%, led by ~21% YoY growth for cables; however,
wire volumes declined ~3% YoY. With normalization in RM prices, it expects ~15% YoY volume growth in 4QFY25
with a segment EBIT margin of ~8% (vs. 7% in 3QFY25). The target is to improve this segment margin by 100-
120bp every year and achieve a margin of ~10% in FY28 (the earlier target was to achieve this in FY27).
HAVL:
It indicated the company has gained market share in all consumer-facing categories. It expects margins to
improve in the Switchgear, ECD, and Lloyd segments in the coming quarters. Further, after destocking in wires
due to lower copper prices, restocking is anticipated in 4QFY25. Management targets EBIT margin (excl. Lloyd) of
12-13% in FY26. In the Lighting segment, volume growth was 13-14% YoY, but price erosion adversely impacted
growth. Currently, price erosion is bottoming out, and growth should start improving.
VOLT:
It indicated that the pressure on UCP's margins is due to its focus on gaining market share, which involved
significant spending on advertising, promotions, and in-store demonstrations. It aims to retain the UCP
segment’s margin in the high-single digits in 4QFY25. With the upcoming summer season, management remains
optimistic about strong demand across product categories, aided by positive consumer sentiment.
Guidance highlights:
February 2025
34
 Motilal Oswal Financial Services
India Strategy | Review 3QFY25
Exhibit 66: Aggregate* UCP revenue and growth
UCP revenue (INR b)
123
68
36
30
31
3
24
8
17 19
18
16 17
YoY Growth (%)
Exhibit 67: Aggregate* UCP EBIT and margin
UCP EBIT (INR b)
10
13
9
6
4
6
3
0
0.6
6
2
UCP EBIT Margin (%)
7
4
7
30
50
28
18
1
3
4
3
15 22 15 13 16 28 32 15 18 33 38 17 21 43 57 22 25
-0.1
Source: Company, MOFSL; Note: *In UCP revenue and EBIT we consider VOLT and HAVL
Exhibit 68: Aggregate* C&W revenue and growth
Cables and wires Revenue (INR b)
32
22
14
17
11
YoY Growth (%)
21
14
Exhibit 69: Aggregate* C&W EBIT and margin
Cables and Wires EBIT (INR b)
12
12
12
13
11
10
10
11
10
13
10
10
11
11
EBIT Margin (%)
81
85
88
102
89
103
100
Source: Company, MOFSL; Note: *In Cables and Wires revenue and EBIT we considered Polycab, KEII, HAVL and RRKABEL
EMS: Robust revenue growth and margin stability fuel performance
Continued strong revenue growth across EMS players:
The EMS sector reported another robust quarter with
aggregate surging 87% YoY to INR149.5b. This superlative growth was driven by the execution of a strong order book
at hand. Dixon led the pack with revenue surging 2.2x YoY, followed by Amber (65%), and Cyient DLM (38%). While
Avalon too witnessed a strong recovery with revenue up 31% YoY. DATAPATT continued to be the only outlier with
revenue declining ~16% YoY due to deferment of completed orders by the client. Going ahead, we expect the strong
revenue momentum to continue, led by healthy demand traction and execution of the large order in hand
(~INR161.8b as of Dec’24; excluding Dixon and Amber, i.e., ~1.7x of TTM revenue of these companies). We expect
aggregate revenue growth of ~72% for our coverage universe in 4QFY25 and a CAGR of 46% over FY24-FY27.
The order book (ex-Dixon, Amber) continues to remain healthy, with new clients to drive the order book going
forward:
The sector continued to witness healthy order inflows (INR39b) in 3QFY25. The intensity of the inflows
witnessed strong traction with order inflows growing ~33% YoY. Most companies expect order inflows to
accelerate going forward, fueled by inflows from newly added clients and robust market conditions led by favorable
regulatory policy. Among our coverage universe, Kaynes saw the highest order book growth of ~60% YoY, followed
by Avalon/Syrma at ~+25%/18% YoY.
Operating efficiency gains driven by favorable business mix, barring Cyient DLM and Dixon:
EBITDA margin for
our coverage universe dipped 30bp YoY; the contraction was fully attributable to Cyient DLM (EBITDA margin
contracted 100bp) and Dixon (EBITDA margin contracted 9bp YoY). Excluding Dixon and Cyient DLM, the coverage
universe witnessed a margin expansion of ~120bp YoY, with all the companies witnessing margin expansion.
Avalon witnessed the highest EBITDA margin expansion of ~460bp YoY, due to an increase in domestic
manufacturing (88% vs. 77% in 3QFY24) and favorable operating leverage. It was followed by Syrma (EBITDA
margin up 360bp YoY), which benefitted from a favorable business mix during the quarter (lower share of low-
February 2025
35
 Motilal Oswal Financial Services
India Strategy | Review 3QFY25
margin consumer business at 31% in 3QFY25 vs. 36% in 3QFY24). Going forward, we expect the margins for our
coverage universe to remain broadly stable.
The quarter experienced one earnings upgrade:
We have upgraded our earnings estimates for Avalon by 9%/6% for
FY25/FY26 while largely retaining our FY27 estimates as we expect the long-term revenue trajectory to be strong,
backed by the addition of new customers in the US and Indian markets and order inflows from high-growth/
high-margin industries.
Further, we broadly maintain our FY25/FY26/FY27 EPS estimates for Syrma SGS led by margin expansions fueled
by the higher contribution from the exports, ODM, and high-margin verticals.
Apart from these, we cut our estimates for Kaynes (down 11%/8%/10% for FY25/FY26/FY27) to factor in a
guidance cut for FY25, and Cyient DLM (down 14%/25%/26% for FY25/FY26/FY27) due to the uncertainty about
large order flows.
We cut our FY25/FY26E EPS by 7%/5%, while largely maintaining our FY27E EPS for Data Patterns to factor in the
new programs sanctioned by DRDO along with management’s focus on expanding the addressable market.
Further, we tweak our earnings estimates for Dixon (down 8%/4% for FY25/FY26 and up 7% for FY27 to factor in
higher mobile segment revenue and lower consumer electronics revenue), and downgrade the same for Amber
(down 9%/3%/2% for FY25/FY26/FY27 to bake in slower growth in the railways segment).
Surprises:
AVALON and SYRMA SGS
Misses:
KAYNES, CYIENT DLM, DATA PATTERN, and DIXON
Guidance highlights:
Kaynes
reduced its revenue guidance to INR28-29b from the earlier guidance of over INR30b for FY25, while its
EBITDA margin guidance remains intact at ~15%. For FY26, management expects INR45b of revenue (ex-
inorganic revenue) with further improvement in margins led by better gross margin and operating leverage.
Avalon
raised its FY25 revenue growth guidance to 22-24% (from 16-20%) and expects EBITDA margins to
sustain over 12%. The gross margin is likely to be in the range of 33-35% going forward.
Syrma SGS
aims to achieve an EBITDA of approximately INR3b in FY25, with a 7% margin. For FY26, it targets a
revenue growth rate of 30-35%, along with a focus on margin expansion. Going forward, the company plans to
bring its export mix to ~25-30%
Cyient DLM:
The company maintains its guidance of a ~30% revenue CAGR over the next three to five years;
however, FY26 consol. revenue growth would be in the mid-teens due to the lack of BEL orders. EBITDA margin
may remain flat in FY25, with margin expansion expected after 1HFY26.
DATAPATT
maintains its guidance of ~20-25% revenue growth in FY25, with EBITDA margins of ~35-40%. The
company also reaffirms its near-term growth outlook, targeting a 20-25% CAGR.
Amber Enterprises
maintains its guidance of doubling the revenue in the next three years, backed by strong
order book visibility and an increase in wallet share. It revised its EMS division growth guidance for FY25 to +55%
YoY (vs. +45% YoY earlier) propelled by both PCBA and bare board verticals. The company expects revenue from
the railways segment to be muted in FY25, though its new products in the railway segment are expected to have
a margin profile of 15-18%.
Dixon Technologies
expects total mobile phone volumes to ramp up and reach around 30m units in FY25, with
exports of 0.5-0.6m units of mobile phones likely in Feb and Mar’25. It is expanding capacity in the telecom
segment due to increased volumes and expects to double the segment’s revenue in FY26. Further, the company
expects revenue from laptops to be in the range of INR25-30b in FY26.
February 2025
36
 Motilal Oswal Financial Services
India Strategy | Review 3QFY25
Exhibit 70: Key operating indicators
Revenue (INR m)
3Q
3Q
YoY
2Q
QoQ
FY25 FY24 (%)
FY25
(%)
6,612 5,093 30
5,721
16
2,809 2,143 31
2,750
2
4,442 3,210 38
3,895
14
8,692 7,067 23
8,327
4
1,170 1,395 -16
910
29
104,537 48,183 117 115,341 -9
21,333 12,948 65 16,847 27
149,595 80,038
87
153,791
-3
23,725 18,908
25
21,603
10
3Q
FY25
14.2
12.3
8.1
9.1
46.2
3.7
7.4
5.7
12.6
EBITDA margins (%)
3Q
YoY
2Q
FY24 (bp) FY25
13.7
50
14.4
7.7
460 11.0
9.2
-100
8.1
5.5
360
8.5
43.0 310 37.7
3.8
-10
3.7
6.1
140
6.8
6.0
-30
5.1
11.4 120 11.5
QoQ
3Q
(bp) FY25
-10
665
140
240
0
168
60
509
850
447
0
1,712
70
359
50 4,099
100 2,029
Adj PAT (INR m)
3Q
YoY
2Q
QoQ
FY24 (%) FY25 (%)
452
47
602
10
66
265
175
37
184
-9
155
9
155
228
362
41
510
-12
303
47
964
78 2,144 -20
-5
NA
192
86
2,327 76 3,933
4
1,367 48 1,597 27
Source: MOFSL, Company
Kaynes
Avalon
Cyient DLM
Syrma SGS
Data Patterns
Dixon
Amber
Agg.
Agg. (ex. Dixon, Amber)
Exhibit 71: Aggregate EBITDA margin
Aggregate EBITDA Margins
7.2%
6.3%
7.9%
5.7%
Exhibit 72: A favorable product mix positively impacted the
aggregate gross margin
Aggregate Gross Margins
18.0%
16.2%
16.2%
5.1%
15.6%
15.4%
16.0%
18.2%
13.9%
14.1%
6.0%
5.5%
5.7%
7.2%
Source: MOFSL, Company
Source: MOFSL, Company
FY26E
Old
182.0
113.0
92.5
15.9
21.7
14.7
51.0
FY27E
Old
235.0
172.3
150.6
25.2
30.2
22.1
65.0
Exhibit 73:
Our revised EPS estimates (INR)
Dixon
Amber
Kaynes
Avalon
Cyient DLM
Syrma SGS
Data Patterns
Rev
130.8
70.8
47.4
9.5
9.6
9.6
36.1
FY25E
Old
143.0
78.0
53.5
8.8
11.3
9.5
38.9
Chg (%)
-9
-9
-11
9
-14
1
-7
Rev
174.2
109.5
85.4
16.8
16.3
15.3
48.6
Chg (%)
-4
-3
-8
6
-25
4
-5
Rev
250.6
168.7
136.1
25.2
22.4
21.4
62.2
Chg (%)
7
-2
-10
0
-26
-3
-4
FINANCIALS – BANKS: Earnings remain muted; NIM and credit cost challenges continue; unsecured
delinquencies remain elevated
The banking sector reported another soft quarter amid moderation in margins and sustained higher provisioning
expenses, mainly for the private banks. NIM continued to decline amid cost pressure, while the competition for
deposits continued to remain intensive for banks, and the CASA mix continued to deteriorate. Public sector
banks too experienced some NIM compression, albeit very limited. Opex continued to grow in a narrow range as
banks had seen a reduction in employee-related expenses, while other income too declined, mainly due to the
absence of the treasury gain in 3QFY25. Business momentum stood weak for most of the banks, while the CD
ratio continued to remain elevated for banks. Growth in corporate stood sluggish, while growth in unsecured
saw a sharp moderation amid stress in MFI, PL, and CC. We have cut our earnings and growth estimates for most
banks amid a moderation in credit growth and elevated provisions. Most banks have indicated a bottoming of
stress in 4QFY25 and gradual recovery from 2HFY26 onwards. We remain watchful of the asset quality in the
unsecured segment. We estimate credit growth at 12% for the sector for FY26E.
NII growth stood at 9% YoY for private banks and 3.6% YoY for PSBs. In our coverage universe, KMB, PNB,
Federal, and DCB reported healthy NII growth sequentially, whereas Bandhan, IIB, and RBL reported a sequential
February 2025
37
 Motilal Oswal Financial Services
India Strategy | Review 3QFY25
decline in NII. Further, we believe that NII growth should grow at a moderate pace given slow business
momentum and cost pressure piling up. As a result, we believe that NII growth should be 100-200bp lower than
the credit growth over the upcoming FY26E. The NIM trajectory is likely to witness pressure in 1HFY26, while a
mild moderation can be seen in 2HFY26 as the reduction in repo rates should benefit the COF. In 3QFY25, NIM
continued to contract with some banks continuing to see a double-digit dip (e.g., Bandhan and RBL). Among
PSBs too, BoB, Canara, and SBI saw a double-digit contraction in NIMs.
Fresh slippages stood elevated for most of the banks amid sustained stress in microfinance. Most of the lenders
have slowed their growth in unsecured loans and adopted a cautious approach. SMA for the PSBs was elevated;
however, most of the banks have guided that it was due to one account, which has been out of SMA and is a
regular paying account at present. Credit costs for select private players stood elevated, while PSBs continued to
remain at a comfortable range. Private Banks with exposure to the MFI should continue to experience elevated
credit costs as most of the bulky recoveries are now behind. PCR for the banks remained healthy, while the
restructured book continued a declining trend.
Private Sector Banks – Business momentum weak; margin pressure continues:
Advances growth stood at 2.8%
QoQ for our banking universe coverage, of which HDFCB grew 0.9% QoQ, while Federal Bank reported a flat
advances growth. For a few banks, such as RBL Bank, Federal Bank, and IndusInd, deposits declined in 3Q. As a
result, the overall deposit growth for our banking universe stood at 2% QoQ. DCB and IDFC First Bank posted
healthy business growth. CASA ratio continued to moderate for most of the banks, and our banking coverage’s
CASA now stands at 37.2%. NIM continued to see moderation as yields declined due to slower growth in MFI for
most banks. Slippages stood elevated amid stress in unsecured segments, while others were under control.
Public Sector Banks – NIM trends mixed; asset quality continues to improve:
NII for the PSBs stood largely
flattish at +0.4% QoQ, as NIMs dipped for SBI, BoB, and Canara; while NII posted a mild increase for Union Bank
and PNB and was up 8bp QoQ for Indian Bank. Slippages remained under control for most banks, reflecting no
imminent signs of stress for the banks. Hence, the GNPA ratio improved 6-51bp QoQ. Overall, PCR continued to
be at healthy levels of ~74-90%. SMA for the PSBs was elevated; however, most of the banks have guided that it
was due to one account, which has been out of SMA and is a regular paying account at present. However, the
restructured book witnessed a sequential decline.
Small Finance Banks – Business growth steady; asset quality deteriorates:
AUBANK reported healthy business
growth as advances grew 49% YoY (merged basis, 5% QoQ), led by healthy traction in retail and commercial.
Deposit growth was modest at 2.3% QoQ, whereas the CASA ratio moderated to 31%. Asset quality saw a
deterioration with GNPA increasing 33bp QoQ, while credit costs also stood elevated amid continued stress in
unsecured (MFI and Credit Cards). EQUITASB reported healthy advances growth of 21% YoY/4.2% QoQ, while
the bank reduced its MFI book and also remained cautious about the growth in MFI. Deposit growth was modest
at 2.2% QoQ. While NIMs declined sharply by 18bp QoQ to 7.36%. Slippages were elevated, while the bank
continued to make provisions to sustain the sub-1% NNPA levels.
Our view:
While we have already reduced our growth estimates post-1HFY25 earnings, further earnings cuts in
3QFY25 were led by a miss on margins, slower business momentum, and elevated credit costs for the MFI-heavy
banks. We estimate a credit growth of 12% YoY for FY26. We maintain a cautious view on margins and the
delinquency cycle of the unsecured loans, while we expect credit costs to remain elevated for private banks.
After a sharp earnings cut during our 3QFY25 preview, we have further cut our earnings for private banks by
3%/2% for FY26/27E. We thus expect private bank’s aggregate earnings to report 13.9% CAGR for FY25-27E. For
PSBs, we have raised our estimates marginally by 0.8% for FY26E. We estimate aggregate earnings growth for
PSBs to grow at a moderate pace of 8% over FY25-27E. While the balance sheet remains healthy, healthy PCR
and contingent buffers with many large private banks along with reasonable valuations keep us positive on the
sector.
Our preferred picks
are ICICIBC, HDFCB, SBIN, and AUBANK.
Surprises: KMB, AUSFB, PNB, and UNBK
Misses: BANDHAN, CBK, BOB, and IDFCFB
February 2025
38
 Motilal Oswal Financial Services
India Strategy | Review 3QFY25
Guidance highlights
HDFCB
continues to focus on healthy traction in deposit growth to bring the CD ratio down at an accelerated
pace; the bank expects to achieve an LDR of 85-90% within the next 1-1.5 years. The bank is motivated to
decrease its LDR thus forgoing credit growth while ensuring profitability.
KMB
is making efforts to build its deposit franchise while retaining healthy deposit growth along with
maintaining lower costs. NIM exhibited resilience despite the absence of growth from a high-yielding asset mix,
while as the RBI’s embargo uplifts and the share of unsecured increases, the bank can see an improvement in
the yields. With the embargo getting lifted, the bank aims to achieve a ROA of over 2%.
ICICIBC
continues to have a strategic focus on growing PBT through a 360-degree customer approach. The bank
continues to optimize its opex by streamlining its internal process with an ongoing journey of leveraging the cost
base much better, which has led to lower opex consistently. A steady mix of high-yielding portfolios and broad-
based growth across product lines are enabling profitable growth while maintaining healthy business diversification.
AXSB's
business growth has been a laggard to peers. Loan growth – HL, VF, and corporate have been lagging
behind the system average growth, and the bank is expecting a pick-up in the loan growth on the retail side. The
bank expects to continue operating within a similar range of CD ratio. While the credit costs have normalized,
the bank considers the current cycle as reflecting normalized credit costs.
SBIN
delivered a healthy 13.8% credit growth and guides for 14-16% growth, backed by broad-based sector
growth. Deposits growth guidance is at 10%+ YoY, with the bank’s aim to enhance its CA share and further
strengthen its SA deposits base. SMA-2 accounts increased in 3Q, but only one major account was affected as of
Dec’24. This account has since been regularized, reducing the risk of further stress. The bank maintains guidance
of ~50bp credit costs through the cycle.
IIB
has slowed its loan growth to 12%. It is cautiously optimistic about loan growth and will accelerate growth as the
credit environment improves. NIMs are affected and lower at 3.93% amid slower growth in the high-yielding
business. The MFI and Card businesses may continue to report stress in the near term, keeping credit costs elevated.
BOB’s
advances growth stood healthy at 12%, with the bank maintaining its advances growth guidance at 12-
13%. While the bank maintains its deposits growth guidance at 9-11% YoY. The bank has slightly lowered its
NIMs guidance at 3.1% (+/- 5bp), despite the expected rate cuts. PCR was broadly stable at 76% as slippages
were under control. BOB expects the annualized credit cost to remain below 0.75%.
Exhibit 74: Earnings decline was led by NIM moderation and a rise in credit costs for select private banks; benign credit costs
led to steady earnings for PSBs
INR b
AUBANK
AXSB
BANDHAN
BoB
CBK
DCBB
FB
HDFCB
ICICIBC
IDFCFB
IIB
INBK
KMB
PNB
RBK
SBIN
UNBK
EQUITASFB
3QFY25
20.2
136.1
28.3
114.2
91.5
5.4
24.3
306.5
203.7
49.0
52.3
64.1
72.0
110.3
15.9
414.5
92.4
8.2
NII
YoY (%)
52.7
8.6
12.1
2.8
(2.9)
14.5
14.5
7.7
9.1
14.4
(1.3)
10.3
9.8
7.2
2.5
4.1
0.8
4.2
QoQ (%)
2.4
0.9
(4.0)
(1.8)
(1.8)
6.6
2.7
1.8
1.6
2.4
(2.2)
3.6
2.5
4.9
(1.9)
(0.4)
2.1
2.0
3QFY25
12.0
105.3
20.2
76.6
78.4
2.7
15.7
250.0
168.9
17.6
36.0
47.5
51.8
66.2
10.0
235.5
74.9
3.3
PPOP
YoY (%)
83.4
15.2
22.1
9.3
15.2
28.2
9.2
5.7
14.7
12.6
(10.9)
15.9
13.5
4.6
30.2
15.8
2.9
(7.6)
QoQ (%)
6.5
(1.7)
9.0
(19.1)
2.4
6.3
0.3
1.2
1.0
(10.3)
0.0
0.4
1.6
(3.4)
9.5
(19.6)
(7.7)
(4.8)
3QFY25
5.3
63.0
4.3
48.4
41.0
1.5
9.6
167.4
117.9
3.4
14.0
28.5
33.0
45.1
0.3
168.9
46.0
0.7
PAT
YoY (%)
40.8
3.8
(41.8)
5.6
12.3
19.6
(5.1)
2.2
14.8
(52.6)
(39.1)
34.6
10.0
102.8
(86.0)
17.3
28.2
(67.2)
QoQ (%)
(7.5)
(8.9)
(54.5)
(7.6)
2.2
(2.6)
(9.6)
(0.5)
0.4
69.1
5.3
5.4
(1.2)
4.8
(85.3)
(7.9)
(2.5)
415.0
Total Banking Coverage 1808.8
6.3
0.9
1272.7
11.0
(5.7)
798.4
10.9
(3.4)
Source: MOFSL, Company
February 2025
39
 Motilal Oswal Financial Services
India Strategy | Review 3QFY25
Exhibit 75: NIMs continue to moderate with some banks reporting a double-digit
compression
NIM (%)
AUBANK
AXSB
BANDHAN
BoB
CBK
DCBB
FB
HDFCB
ICICIBC
IDFCFB
IIB
INBK
KMB
PNB
RBK
SBIN
UNBK
2QFY25
6.05
3.99
7.40
3.10
2.86
3.27
3.12
3.46
4.27
6.18
4.08
3.49
4.91
2.92
5.04
3.14
2.90
3QFY25
5.90
3.93
6.90
2.94
2.71
3.30
3.11
3.43
4.25
6.04
3.93
3.57
4.93
2.93
4.90
3.01
2.91
YoY (bp)
40
(8)
(30)
(16)
(32)
(18)
(8)
3
(18)
(38)
(36)
8
(29)
(22)
(62)
(21)
(17)
QoQ (bp)
(15)
(6)
(50)
(16)
(15)
3
(1)
(3)
(2)
(14)
(15)
8
2
1
(14)
(13)
1
Source: MOFSL, Company
Exhibit 76: Overall business momentum weakens for our banking coverage universe
INR b
AUBANK*
AXSB
BANDHAN
BoB
CBK
DCBB
FB
HDFCB
ICICIBC
IDFCFB
IIB
INBK
KMB
PNB
RBK
SBIN
UNBK
Total Banking Coverage
3QFY25
996
10,146
1,274
11,513
10,237
478
2,304
25,182
13,144
2,231
3,669
5,421
4,138
10,700
904
40,046
9,202
1,51,584
Loans
YoY (%)
49.2
8.8
15.6
12.4
11.2
22.7
15.7
3.0
13.9
20.3
12.2
10.7
15.1
16.8
13.1
13.8
6.7
11.2
QoQ (%)
5.0
1.5
1.1
2.7
4.0
7.5
0.0
0.9
2.9
3.7
2.7
1.7
3.6
4.9
2.9
3.8
2.6
2.8
Deposits
CASA ratio (%)
3QFY25
YoY (%)
QoQ (%)
3QFY25
YoY (%)
QoQ (%)
1,123
40.1
2.3
25.6
(261)
(131)
10,959
9.1
0.8
39.0
(300)
(200)
1,410
20.1
(1.1)
31.7
(439)
(145)
13,925
11.8
2.1
39.7
(101)
(16)
13,695
8.4
1.6
30.0
(165)
(127)
567
20.3
3.9
25.1
(103)
(51)
2,664
11.2
(1.0)
30.2
(47)
9
25,638
15.8
2.5
34.0
(370)
(130)
15,203
14.1
1.5
40.5
86
(15)
2,369
29.8
5.9
47.7
90
(114)
4,094
11.0
(0.7)
34.9
(360)
(99)
7,023
7.4
1.3
38.3
(135)
(54)
4,735
15.9
2.6
42.3
(540)
(130)
15,297
15.6
4.9
38.1
(435)
(119)
1,068
15.1
(1.1)
32.8
(98)
(75)
52,294
9.8
2.2
39.2
(198)
(83)
12,166
3.8
(2.0)
33.4
(97)
71
1,84,227
11.6
2.0
37.2
* AU Bank Nos on merged with FIncare, Source: MOFSL, Company
February 2025
40
 Motilal Oswal Financial Services
India Strategy | Review 3QFY25
Exhibit 77: Asset quality deteriorates for select banks
Asset quality
(%)
AUBANK
AXSB
BANDHAN
BoB
CBK
DCBB
FB
HDFCB
ICICIBC
IDFCFB
IIB
INBK
KMB
PNB
RBK
SBIN
UNBK
GNPA
1.98
1.44
4.68
2.50
3.73
3.29
2.09
1.36
1.97
1.92
2.11
3.48
1.49
4.48
2.88
2.13
4.36
2QFY25 (%)
NNPA
0.75
0.34
1.29
0.60
0.99
1.17
0.57
0.41
0.42
0.48
0.64
0.27
0.43
0.46
0.79
0.53
0.98
PCR
62.8
76.6
73.5
76.3
74.1
65.2
72.9
71.2
79.0
75.3
70.1
92.5
71.4
90.2
73.0
75.7
78.4
GNPA
2.31
1.46
4.68
2.43
3.34
3.11
1.95
1.42
1.96
1.94
2.25
3.26
1.50
4.09
2.92
2.07
3.85
3QFY25 (%)
NNPA
0.91
0.35
1.28
0.59
0.89
1.18
0.49
0.46
0.42
0.52
0.68
0.21
0.41
0.41
0.53
0.53
0.82
PCR
61.2
76.2
73.5
76.0
74.1
62.9
75.2
67.8
78.7
73.6
70.2
93.8
73.2
90.2
82.2
74.7
79.3
GNPA
33
2
-
(7)
(39)
(18)
(14)
6
(1)
2
14
(22)
1
(39)
4
(6)
(51)
QoQ change (bp)
NNPA
16
1
(1)
(1)
(10)
1
(8)
5
-
4
4
(6)
(2)
(5)
(26)
-
(16)
PCR
(161)
(46)
5
(28)
1
(224)
223
(207)
(29)
(168)
8
136
175
5
919
(100)
92
Exhibit 78: Snapshot of the restructured book across banks (%)
Restructured book
Absolute Dec’22 Mar’23
Jun’23
Sep’23 Dec’23 Mar’24 Jun’24
AXSB
12.7
0.30
0.22
0.21
0.20
0.18
0.16
0.14
BANDHAN NA
NA
NA
NA
NA
NA
NA
NA
DCBB
8.6
4.94
4.51
3.97
3.40
3.00
2.62
2.34
HDFCB
NA
0.42
0.31
NA
0.22
NA
NA
NA
ICICIBC
21.1
0.50
0.40
NA
0.32
0.29
0.26
0.22
IIB
6.6
1.25
0.84
0.66
0.54
0.48
0.40
0.34
KMB
2.3
0.25
0.22
0.19
0.15
0.13
0.10
0.08
FB
15.6
1.81
1.62
1.40
1.30
1.10
0.97
0.83
RBK
2.9
1.67
1.21
1.05
0.89
0.63
0.51
0.44
AUBANK
3.0
1.40
1.20
1.00
0.80
0.70
0.60
0.40
BOB
NA
1.87
1.5
1.31
NA
1.0
NA
NA
SBIN
137.1
0.85
0.8
0.69
0.62
0.54
0.47
0.38
INBK
66.8
3.37
2.51
2.19
2.12
1.93
1.67
1.51
PNB
NA
1.54
1.32
NA
NA
NA
NA
NA
UNBK
102.5
2.38
2.20
2.00
1.71
1.57
1.48
1.30
CBK
NA
1.75
NA
NA
NA
NA
NA
NA
INR b
Sep’24 Dec’24
0.13
0.12
NA
NA
2.07
1.81
NA
NA
0.20
0.16
0.29
0.18
0.06
0.05
0.71
0.68
0.38
0.32
0.40
0.30
NA
NA
0.38
0.34
1.34
1.23
NA
NA
1.21
1.08
NA
NA
February 2025
41
 Motilal Oswal Financial Services
India Strategy | Review 3QFY25
Exhibit 79: We cut our earnings estimates for private banks by 2-3% for FY26-27; earnings estimate of PSBs witnessed a
decline of ~1.5% for FY26E and FY27E
PAT (INR b)
Private Banks
AXSB
BANDHAN
DCBB
HDFCB
ICICIBC
IDFCFB
IIB
KMB
FB
RBK
AUBANK
EQUITASB
Total Private Banks
YoY growth
PSU Banks
BOB
CBK
INBK
PNB
SBIN
UNBK
Total PSU Bank
YoY growth
Total for Banks
YoY growth
Other Financials
SBICARD
PAYTM
FY25E
263.7
36.6
5.8
667.9
460.7
21.3
65.8
141.1
41.0
7.7
21.1
3.0
1,735.7
7.0%
186.7
161.7
103.3
156.3
710.8
158.3
1,477.1
19.7%
3,212.8
12.5%
21.1
-28.4
Old estimates
FY26E
290.7
38.5
7.4
750.6
508.7
35.7
87.4
156.0
48.1
13.6
27.7
7.3
1,971.6
13.6%
197.6
170.5
112.0
174.1
763.3
164.3
1,581.8
7.1%
3,553.4
10.6%
29.8
-2.2
FY27E
334.8
44.6
9.4
855.0
578.6
49.3
110.6
184.8
59.2
21.6
36.0
11.1
2,295.1
16.4%
218.2
191.0
122.9
196.4
869.4
179.7
1,777.6
12.4%
4,072.7
14.6%
37.2
8.9
Revised estimates
FY25E
FY26E
FY27E
261.0
32.8
6.0
668.1
465.8
15.8
63.9
142.9
40.6
7.2
21.0
3.0
1,728.1
6.5%
191.9
160.4
106.7
167.1
712.0
171.0
1,509.2
22.3%
3,237.3
13.3%
19.6
-1.5
277.2
35.2
7.5
711.8
503.9
32.2
85.9
159.7
46.4
12.4
27.9
7.3
1,907.3
10.4%
195.1
170.6
113.1
190.5
750.5
174.1
1,593.9
5.6%
3,501.2
8.2%
28.7
-2.2
321.8
41.4
9.6
821.4
576.3
49.1
106.2
190.2
57.6
19.5
36.2
11.1
2,240.3
17.5%
218.4
187.4
124.3
214.4
840.1
186.0
1,770.6
11.1%
4,010.9
14.6%
37.8
8.9
FY25E
-1.0%
-10.3%
3.1%
0.0%
1.1%
-25.6%
-2.8%
1.3%
-1.0%
-7.4%
-0.6%
0.0%
-0.4%
Change (%)
FY26E
-4.6%
-8.5%
1.5%
-5.2%
-0.9%
-9.9%
-1.7%
2.4%
-3.5%
-8.6%
0.5%
0.0%
-3.3%
FY27E
-3.9%
-7.1%
1.3%
-3.9%
-0.4%
-0.5%
-4.0%
2.9%
-2.6%
-10.1%
0.4%
0.0%
-2.4%
2.8%
-0.8%
3.4%
6.9%
0.2%
8.0%
2.2%
0.8%
-1.3%
0.0%
1.0%
9.4%
-1.7%
5.9%
0.8%
-1.5%
0.1%
-1.9%
1.2%
9.2%
-3.4%
3.5%
-0.4%
-1.5%
-6.7%
NA
-3.9%
1.6%
FINANCIALS – NBFC: Weak macros led to asset quality stress and demand moderation across segments
NBFCs (incl. HFCs) under our coverage reported AUM growth of ~16% YoY/4% QoQ in 3QFY25. Vehicle financiers
(VFs) clocked AUM growth of 22% YoY, but we expect growth to moderate by end-FY25 and further in FY26.
Large HFCs (PNBHF and LICHF) grew 7% YoY; affordable and small-ticket HFCs saw ~14% YoY growth; NBFC-MFIs’
AUM was flat YoY (down 6% QoQ); and gold loan NBFCs grew ~31% YoY (despite weak QoQ AUM growth in
MGFL). NII/PPoP/PAT grew 15%/15%/5% YoY for our coverage companies (excl. PIEL). Excluding MFI, NII/PPoP/
PAT grew 16%/17%/15% YoY.
NIM for HFCs (including affordable HFCs) showed divergent trends because of company-specific nuances. Large
HFCs, such as PNBHF and LICHF, reported stable NIM QoQ. For Aavas and Repco, NIM expanded ~10bp QoQ and
~40bp QoQ, respectively, since both companies took PLR hikes in the quarter. HomeFirst reported ~25bp QoQ
compression in NIMs due to higher liquidity on the balance sheet, a rise in the cost of borrowings and a minor
compression in yields.
The RBI’s recent ~25bp rate cut will benefit VFs, given that a decent proportion of their borrowings are on
floating rates, while their vehicle finance loan book is fixed rate in nature. PV demand gained momentum during
the quarter, whereas CV demand remained subdued. The used vehicle financing segment also faced some
headwinds primarily due to the limited supply of used vehicles. Asset quality saw a marginal deterioration across
vehicle sub-segments, driven by weak macros and spillover effects of rainfall in 3Q. However, VFs expect a
recovery in asset quality in the seasonally strong 4Q.
Except for power financiers and select HFCs, a vast majority of NBFCs, including MFIs, reported a deterioration in
asset quality, attributable to customer overleveraging, floods/extended monsoons, sluggishness in customer
February 2025
42
 Motilal Oswal Financial Services
India Strategy | Review 3QFY25
cashflows, and weak macros. Unlike earlier, this time around, the asset quality deterioration was observed
across both secured (such as micro-LAP and vehicle) and unsecured product segments.
NBFC-MFIs faced further asset quality deterioration during the quarter; however, early green-shoots of recovery
emerged in Dec'24 and Jan'25, with improvement in collection efficiencies and reduction in new flows/slippages.
Most NBFC-MFIs now expect normalization in asset quality and profitability within the next 2-3 quarters. PNBHF,
LICHF, PFC, REC, Repco and ABFL reported a QoQ improvement in asset quality, while credit costs were
significantly high for NBFC-MFIs, which posted a sequential decline in loan growth and a sharp deterioration in
asset quality. Notably, CREDAG/Fusion reported a sequential rise in GS3 of ~155bp/~320bp, resulting in high
credit costs in 3QFY25.
HFCs/AHFCs – Regional headwinds impact disbursements; NIM could see transitory compression in a declining
rate cycle:
Disbursements and loan growth for HFCs were impacted by the Karnataka E-Khata and Hyderabad
(Project Hydra) issues, resulting in delays in property registrations and operational challenges. AAVAS was the
only player to report a healthy sequential growth in disbursements, while PNBHF and HomeFirst reported
broadly flat sequential disbursements. In contrast, LICHF, CANF, and Repco reported a sequential decline,
impacted by the aforementioned factors. Affordable HFCs (excluding HomeFirst and CANF) saw a sequential
improvement in margins, driven by higher yields. Margins for larger HFCs like PNBHF and LICHF remained stable
QoQ. HomeFirst reported ~25bp compression in NIMs. In an interest rate cut cycle, large HFCs could see a
transitory NIM contraction, driven by pressure on yields from higher competitive intensity. During the quarter,
asset quality saw a slight deterioration in the mortgage sector, particularly in the micro-LAP segment, due to
weak macroeconomic conditions. However, mortgage financiers expect improvement in asset quality in the
seasonally strong 4Q.
Vehicle financiers – PVs tracking better than CVs; asset quality slightly weakens amid macro weakness and
relatively low utilization levels:
The demand in CV segment remained subdued during the quarter, impacted by
weak government spending and capex. The used vehicle segment also faced sluggish demand, primarily due to
limited supply. However, overall disbursements saw a marginal improvement, driven by positive momentum in
the PV and tractor segments. Asset quality exhibited a slight deterioration, primarily in the HCV segment, due to
low utilization levels and broader macroeconomic weakness. Disbursements grew 14% YoY and ~11% QoQ for
three VFs in our coverage universe. While SHFL and CIFC have a diversified AUM mix, we have classified them
under VFs for this exercise. SHFL exhibited a sequential NIM compression due to higher liquidity on its balance
sheet. In contrast, MMFSL and CIFC saw a slight NIM improvement, supported by better yields in 3Q.
Diversified financiers – Focused on strengthening secured segments; unsecured stress likely to peak in two
quarters:
Diversified lenders reported a decent performance and showed confidence in beginning to grow their
unsecured loan book (after almost 4-5 quarters of calibration in unsecured loans). Within personal loans and
unsecured loans, diversified lenders are targeting salaried individuals and prime-segment borrowers with strong
CIBIL scores, which shows a more risk-conscious lending approach. LTFH performed significantly better than the
overall industry and its NBFC-MFI peers. BAF, in our view, would look to pivot toward growth in its unsecured
segments, given that it is now past the hump of asset quality stress in its B2C segments.
Gold financiers – Robust gold loan growth supported by rising gold prices and non-availability of unsecured
loans:
Gold loan growth over the last two quarters has been accompanied by decent gold tonnage growth,
higher gold prices and non-availability of unsecured loans. MUTH/MGFL reported ~34%/18% YoY growth in gold
loans. Asirvad MFI (subsidiary of MGFL) and Belstar (subsidiary of MUTH) acknowledged the stress in the MFI
segment, which resulted in higher credit costs in their respective MFI businesses. Going forward, we need to
closely monitor the trajectory of gold prices and the regulatory changes, including LTV monitoring (during the
tenor of the loan) and repledging of gold/rollover of loans at the time of maturity.
Microfinance (MFI) – Loan book declines amid asset quality challenges; early signs of recovery visible in
Dec’24 and Jan’25:
Asset
quality continued to deteriorate across the MFI sector, with all NBFC-MFIs, SFBs and
even larger banks acknowledging the problem of customer overleveraging, which has resulted in higher
delinquencies and lower collection efficiencies. The Karnataka government recently enacted an ordinance aimed
43
February 2025
 Motilal Oswal Financial Services
India Strategy | Review 3QFY25
at curbing unregistered lenders from exploiting borrowers. While this ordinance is not applicable to NBFCs and
other lending institutions registered with the RBI, we could see continued disruptions for one-two months in
Karnataka. Upcoming implementation of MFIN guardrails in Apr’25 will temper loan growth and put some
pressure on asset quality in the short term. However, the implementation of these guardrails will strengthen the
industry in the long run. Credit costs for NBFC-MFIs remained elevated because of a sustained deterioration in
asset quality. However, MFIs witnessed some early green shoots with collection efficiency improving in Dec’24
and Jan’25. That said, it would take another 2-3 quarters before the situation stabilizes, with recovery now
anticipated by 2QFY26.
Power financiers – Weak disbursement/loan growth due to delays in signing PPAs and slowdown in economic
activity; asset quality improved from resolutions of stressed exposures:
PFC/REC reported a decent quarter,
but disbursements/loan growth were weak due to a slowdown in economic activity, with PFC/REC reporting loan
growth of ~10%/14% YoY. NIM rose ~20bp QoQ for PFC due to a favorable product mix and slightly better yields.
For REC, NIM was broadly stable. Asset quality continued to improve, driven by resolution of stressed assets like
Lanco Amarkantak and Nagai Power. Given expected resolution of stressed assets like KSK Mahanadi, Sinnar
Thermal, Hiranmayee Energy and few others, credit costs will remain benign in 4QFY25 as well.
Our view:
The stress in unsecured retail segment appears to have peaked. While the existing stress on the
balance sheet will have to be provided for/written-off, we will start seeing NBFCs pivoting from moderation
(over the last four/five quarters) to growth after two quarters. The interest rate cut cycle, in addition to being
margin-accretive for certain products, will also give strength to demand and consequent loan growth. Further,
the regulatory environment, going ahead, could be less overwhelming than it has been in the recent past. The
microfinance sector will continue to go through a difficult patch for the next 2-3 quarters before the situation
normalizes, and we now expect a recovery by 2QFY26. Additional income in the hands of individuals thanks to
the income tax reduction in the Union Budget will not all flow into consumption or savings. Higher disposable
income will also spur some discretionary lifestyle purchases and the higher net income will also improve the
eligibility of individuals for loans. Our preferred ideas are
SHFL, MMFS, and REC and HomeFirst.
Positive Surprises:
MUTH, MMFS, BAF
Misses:
CREDAG, Spandana, Poonawalla, IIFL Finance, Fusion, MGFL
Rating Change:
NA
Guidance highlights:
a) MMFS guided for mid- to high-teen loan growth in FY26; b) MUTH continued to guide for ~25%
YoY gold AUM growth for FY25 and conservative gold loan growth of ~15% for FY26; c) BAF guided for ~25% AUM
growth in FY26 and credit costs of <2% with PAT growth of ~22%-23%; d) PNBHF guided for retail recoveries to
continue for the next 4-5 quarters; and e) NBFC-MFIs saw some early green shoots with improving collection
efficiencies during the quarter; expect things to normalize within next 2-3 quarters.
Exhibit 80: PBT (excl. PIEL) grew 7% YoY for our NBFC coverage universe*
PBT - YoY growth (%)
75
62
40
19
21
28
39
22
22
15
7
-1
Q4 2022
Q1 2023
Q2 2023
Q3 2023
Q4 2023
Q1 2024
Q2 2024
Q3 2024
Q4 2024
Q1 2025
Q2 2025
Q3 2025
Source: MOFSL, Company, *MOFSL universe excl. PIEL and Indostar
February 2025
44
 Motilal Oswal Financial Services
India Strategy | Review 3QFY25
Exhibit 81: LICHF loan growth has lagged the industry, while
PNBHF retail loan growth has been gaining momentum
9MFY24
FY24
Q1 2025
1HFY25
9MFY25
11
5
4
6
12
Exhibit 82: Loan growth moderated for Repco and Canfin,
while it was largely stable for Aavas
9MFY24
23 22 22
FY24
Q1 2025
1HFY25
9MFY25
20 20
13
11 9 10
9
6
4
7
8
4
8 9 8 8 7
LICHF
PNBHF
Source: MOFSL, Company;
Note: YoY AUM growth for large HFCs
AAVAS
CANF
Repco
Source: MOFSL, Company;
Note: YoY AUM growth for affordable housing financiers
Exhibit 83: AUM growth for VFs moderated slightly because
of weak macros
9MFY24
FY24
Q1 2025
1HFY25
40
25 24
23 20
9MFY25
37 35
33
30
Exhibit 84: Gold loan growth picking up pace, aided by
higher gold prices, tonnage growth and customer additions
9MFY24
FY24
37
31
23
25
20
12
15
9
17 18
Q1 2025
1HFY25
9MFY25
21 21 21 20 19
19
SHFL
MMFS
CIFC
MUTH
MGFL
Source: MOFSL, Company
Note: YoY AUM growth for gold financiers
Source: MOFSL, Company
Note: YoY AUM growth for vehicle financiers
Exhibit 85: PAT (excl. PIEL) grew 5% YoY for our NBFC coverage universe*
INR m
AAVAS
ABCAP (NBFC)
ABCAP (HFC)
BAF
CANF
CIFC
Fivestar
HomeFirst
IIFL Finance
LTHF
LICHF
MMFSL
MASFIN
MGFL
Muthoot
PIEL
PNBHF
PFL
REPCO
SHFL
CREDAG
FUSION
SPANDANA
PFC
REC
Total (excl. PIEL)
3QFY25
2,533
17,339
2,900
93,826
3,447
28,869
5,399
1,631
12,352
25,283
20,001
19,113
1,487
15,909
27,214
8,248
6,905
6,141
1,978
55,896
4,749
2,245
2,739
46,942
51,331
4,56,228
NII
YoY (%) QoQ (%)
15
5
5
1
39
6
23
6
5
1
33
6
28
5
21
4
-22
-8
16
-1
-5
1
13
6
47
12
10
-3
43
8
1
6
16
4
25
10
11
5
14
2
8
-2
-34
-44
-13
-21
13
6
20
3
15
3
PPOP
PAT
NIM
3QFY25 YoY (%) QoQ (%) 3QFY25 YoY (%) QoQ (%) 3QFY25 YoY (bp) QoQ (bp)
1,945
23.3
-0.2
1,464
25.5
-1.0
6.7
-0.2
0.1
11,929
6.8
1.1
6,000
4.9
-4.6
5.9
-0.9
-0.2
1,208
25.6
4.3
1,098
9.6
5.8
4.1
-0.6
-0.2
78,057
27.1
6.8
43,082
18.4
7.3
9.7
-0.5
0.0
2,913
1.7
1.2
2,121
6.0
0.3
3.7
-0.2
-0.0
21,276
40.4
10.7
10,865
24.0
12.8
6.8
0.1
0.0
3,884
29.4
2.2
2,739
26.3
2.2
19.5
-0.0
0.1
1,396
27.2
10.7
974
23.5
5.6
5.6
-0.6
-0.1
5,925
-38.2
-30.5
408
-91.7
-125.9
3.4
-0.7
-0.4
14,781
10.5
-7.0
6,257
-2.1
-10.2
10.8
-0.1
-0.4
17,495
-7.2
0.4
14,320
23.1
7.8
2.7
-0.3
-0.0
12,217
15.0
2.1
8,995
62.7
143.4
6.7
-0.4
0.1
1,383
25.4
7.7
781
25.1
2.0
7.2
0.5
0.1
9,307
-0.6
-9.9
2,785
-51.6
-51.3
14.4
-0.9
-0.3
20,593
47.7
7.5
13,631
32.7
8.9
11.9
0.7
0.1
3,380
-53.8
6.7
386
-101.6
-76.3
7.1
0.7
0.5
5,795
16.0
3.6
4,833
42.8
2.9
3.7
0.2
0.0
3,731
6.5
33.6
187
-92.9
-
9.3
-1.2
0.2
1,443
5.4
5.6
1,066
7.2
-5.3
5.5
0.2
0
40,850
10.7
2.5
20,804
14.4
0.5
9.0
-0.4
-0.2
6,229
3.5
-7.3
-995
-128.2
-153.5
12.5
-0.6
-1.0
648
-75.1
-77.2
-7,193
-668.9
-
8.9
-2.6
-2.6
784
-67.4
-65.6
-4,402
-445.5
-
13.1
-0.8
-0.9
51,538
16.8
-3.3
41,549
23.0
-4.9
3.8
-0.0
0.2
50,206
20.4
2.6
40,291
23.2
0.6
3.7
0.1
-0.0
3,65,533
15.1
0.6
2,11,657
5.4
1.8
Source: MOFSL, Company, *MOFSL universe excl. Indostar
February 2025
45
 Motilal Oswal Financial Services
India Strategy | Review 3QFY25
Exhibit 86: Advances/AUM growth
INR b
AAVAS
ABCAP (NBFC)
ABCAP (HFC)
BAF
CANF
CIFC
Fivestar
HomeFirst
IIFL Finance
LTHF
LICHF
MMFSL
MASFIN
MGFL
Muthoot
PIEL
PNBHF
PFL
REPCO
SHFL
CREDAG
FUSION
SPANDANA
PFC
REC
Total
3QFY25
192
1,194
267
3,980
372
1,746
112
119
714
951
2,991
1,151
117
442
975
784
768
310
142
2,545
248
106
89
5,038
5,656
31,011
Advances/AUM
YoY (%)
19.6
21.1
61.5
28.0
9.1
30.5
25.2
32.6
-7.8
16.3
6.4
18.6
20.7
9.5
37.0
10.6
12.1
41.2
7.4
18.8
6.1
-0.9
-14.1
10.2
13.7
16.0
QoQ (%)
4.6
4.1
15.0
6.5
1.5
6.0
2.3
6.4
6.6
2.3
1.5
2.4
6.0
-3.3
8.1
4.9
2.8
9.1
1.4
4.7
-1.3
-8.4
-15.2
2.1
3.6
3.7
Source: MOFSL, Company
Exhibit 87: Asset quality snapshot
Asset quality
(%)
AAVAS
ABCAP (NBFC)
ABCAP (HFC)
BAF
CANF
CIFC
HomeFirst
IIFL Finance
LTFH
LICHF
MMFSL
MASFIN
MGFL
Muthoot
PIEL
PNBHF
PFL
REPCO
SFL
CREDAG
FUSION
SPANDANA
PFC
REC
As on 2QFY25 (%)
GNPA
NNPA
1.1
0.8
2.5
1.4
1.3
NA
1.06
0.5
0.9
0.5
2.8
1.6
1.7
1.3
2.4
1.1
3.2
1.0
3.1
1.6
3.8
1.6
2.4
1.6
2.4
2.1
4.3
NA
2.8
1.4
1.2
0.8
2.1
0.3
4.0
1.6
5.3
2.6
2.4
0.8
9.4
2.5
4.9
1.1
2.7
0.7
2.5
0.9
PCR
28.7
46.0
NA
57.1
46.0
44.5
26.7
55.5
70.6
49.3
59.5
39.1
NA
NA
53.5
32.7
84.5
60.7
51.7
69.5
76.2
79.7
73.6
65.1
As on 3QFY25 (%)
GNPA
NNPA
1.1
0.8
2.3
1.2
1.0
NA
1.12
0.5
0.9
0.5
2.9
1.7
1.7
1.3
2.4
1.0
3.2
1.0
2.8
1.5
3.9
2.0
2.4
1.6
2.5
2.3
4.2
NA
2.6
1.4
1.2
0.8
1.9
0.8
3.9
1.5
5.4
2.7
4.0
1.3
12.6
1.8
4.8
1.1
2.7
0.7
2.0
0.7
PCR
29.8
45.6
NA
57.2
45.2
44.1
25.5
58.8
70.6
47.5
50.1
37.9
NA
NA
49.3
33.3
56.8
61.8
51.6
68.7
87.8
79.8
73.4
61.9
QoQ change (bp)
GNPA NNPA
PCR
6
3
115
-23
-12
-40
-31
-
-
7
3
8
4
3
-76
8
6
-40
2
4
-126
2
-7
330
4
1
-1
-31
-11
-185
7
41
-938
5
5
-120
10
20
-
-8
-
-
-18
2
-418
-5
-4
54
-25
48
-2767
-10
-8
108
6
4
-6
155
54
-77
318
-69
1163
-2
0
9
-3
-1
-23
-58
-14
-325
Source: MOFSL, Company
February 2025
46
 Motilal Oswal Financial Services
India Strategy | Review 3QFY25
FINANCIALS – CAPITAL MARKETS AND INSURANCE: Weak momentum for capital market players;
elevated claims impact profitability of general insurers; subdued VNB margins for life insurers
Slowdown in capital market activity:
Activity in the capital market space was mixed across segments during
3QFY25. F&O/cash volumes, which followed a decent trend in Oct’24/Nov’24, saw a decline of 35%/7% YoY in
Dec’24. The slowdown was also reflected in demat account additions at 9.9m in 3QFY25 vs 13.1m in 2QFY25.
The implementation of F&O regulations led to a 20% YoY/14% QoQ decline in the number of orders for
ANGELONE. ANGELONE now expects an 18-20% hit on income due to the implementation of F&O regulations,
compared to a 13-14% hit guided earlier.
Minimal impact of regulations for exchanges:
Stable options premium ADTO during the quarter, an
improvement in the premium-to-notional turnover ratio despite regulatory impacts, and market share gains
benefitted BSE’s top-line and profitability. Star MF continued to report healthy performance, with a 67% YoY
jump in volumes and revenue surging 2x. A surge in commodity volumes during 3QFY25 (102% YoY growth in
total ADT), driven by rising participation, new product launches, and an increase in turnover/client, led to strong
revenue growth for MCX. Options ADT surged 116% YoY to INR2.1t, largely propelled by 394%/89% YoY growth
in bullion/energy contracts. Futures ADT rose 32% YoY to INR289b, fueled by 28%/26%/91% YoY growth in
bullion/energy contracts/base metals.
Robust flow trajectory in asset management:
QAAUM of the MF Industry reached INR68.6t at the end of
Dec’24, +39% YoY, with the share of equity QAAUM growing to 57% from 53% as of Dec’24. Industry SIP flows
continued to gain traction, with INR771b flows in 3QFY25 vs. INR714b in 2QFY25. All AMCs maintained an
upward growth outlook for SIP flows (INR265b), despite weak market sentiments. The yield trajectory for the
industry has been improving (flattish to marginal decline), owing to: 1) corrective actions for commissions, 2)
increased TER in a few debt schemes, and 3) a decline in AUM due to MTM, leading to an increase in TER. Other
income for all players was impacted due to adverse equity market movements. The consistent growth
momentum in the industry resulted in a 40% YoY growth in CAMS’ PAT, supported by strong growth in the MF
business and an improving mix of equity AUM in the total MF AUM (55.3% vs 49.8% in 3QFY24). 360ONE
continued to witness strong ARR flows, offsetting the sequential decline in ARR yields.
Surrender charges hit lower than expected; VNB margins impacted by product mix:
Private life insurance
players reported decent premium growth. The impact of surrender charges on the margins of private life
insurers was minimal, as guided by managements. However, the shift in product mix towards ULIPs led to a
contraction in VNB margins during the quarter. HDFCLIFE/SBILIFE/ IPRU reported APE growth of 12%/13%/28%
YoY. VNB margins for HDFCLIFE/ SBILIFE/ IPRU contracted 140bp/46bp/170bp YoY.
Weak growth in premiums, partly due to regulations:
The general insurance industry’s growth rate is currently
on a slow trajectory, due to 1) weak infrastructure investments, 2) slow credit growth, 3) weak trends in motor
sales growth, and 4) change in accounting norms for the long-term business. STARHEAL has repriced 65% of its
retail health portfolio to offset the impact of medical inflation. It has already adopted the 1/365 method for URR
and, hence, expects no significant impact of the 1/n regulation. ICICIGI’s retail health segment saw strong
growth due to new product launches, while its group health segment posted weak growth due to lower
attachment of credit-linked products and rising competitive intensity. The motor segment’s loss ratios improved
considerably due to reserve releases. ICICIGI/STARHEAL registered a YoY NEP growth of 17%/15%, while their
PAT grew 68%/dipped 26% YoY.
Valuation and view:
Capital market activities slowed down due to weak market sentiments and regulatory changes.
We believe that the impact of F&O regulations will be transient in nature and affect the profitability of players like
ANGELONE in the short term. Following the resetting of the base in 4QFY25, we expect a gradual recovery in activity.
While ANGELONE would be a big beneficiary of the recovery, BSE is expected to sustain its outperformance going
forward. Given the market correction, AUM growth for AMCs, CAMS, and KFin will be restricted. However, the rising
share of non-MF businesses and stable yields should help cushion the impact. Wealth managers will be impacted by
MTM, but inflows are expected to remain strong. Life insurance companies should see an improvement in VNB
margins as the product mix shifts towards retail protection and annuities. Slower auto sales growth and weak capex
are likely to impact growth prospects for general insurance players. Our top picks in capital markets are BSE,
ANGELONE, and HDFC AMC. In insurance, our preference continues to be HDFCLIFE and SBILIFE.
February 2025
47
 Motilal Oswal Financial Services
India Strategy | Review 3QFY25
Surprises:
HDFCAMC, ABSL AMC, 360 ONE WAM
Misses:
IPRU, CDSL, NAM, MCX
Guidance highlights:
360ONE:
The acquisition of B&K Securities (4.2% dilution) adds research capabilities and provides an entry into
IB. With cost alignment, the acquisition is expected to be EPS accretive. Revenue mix outlook: TBR at 20-25%, NII
at 20%, and core ARR income at 60%. AUM growth guidance is 20-25%, with 10-12% from net flows. The ET
Money acquisition has secured regulatory approval, with a target of 25-30% revenue growth and 30-40% PAT
growth.
ANGELONE:
Management expects ~18-20% impact on broking revenue from F&O regulations, with mitigation
possible through pricing actions and other levers. Additionally, the increase in lot size regulation is expected to
drive higher activity in the cash segment, thus positively impacting revenues. Customer addition growth is
expected to remain intact. The company has been actively progressing in diversified streams.
CAMS:
Non-MF revenue share declined to 12.3%, as growth in the MF segment outpaced that of non-MF
revenues. The company aims to raise non-MF contribution to 20% in 2-3 years, with strong growth expected in
the CAMPay/CAMSKRA/AIF segments. It expects a >3.5% decline in yields in FY26, (a periodic industry
adjustment every 6-7 years), with no major EBITDA margin impact. The expenses are expected to largely remain
stable, with employee/opex at 32-33%/8-8.5% of revenue.
BSE:
Growth will be driven by improved premium turnover quality, lower settlement fees from reduced
contracts, increased participation in long-term contracts, and colocation rack implementation. The impact of
regulations led to a 95% decline in Bankex notional volumes, while Sensex volumes saw a minimal decline.
Premium turnover remained stable, with higher turnover on non-expiry days.
NUVAMA:
Continued focus on annuity and ARR assets in the private business, along with MPIS in the wealth
business, resulted in robust flows and an increase in clients. Investment in technology, RM additions, and
geographic expansions continue to remain key focus areas across businesses.
HDFC AMC:
It aims to establish a presence across all SEBI-approved segments, catering to both institutional and
individual investors. Management plans to strengthen its market share by revamping its existing product suite
rather than launching new products. The company is optimistic about new asset class regulations, viewing them
as an opportunity for greater flexibility and risk-reward optimization. Expense growth is expected to be in the
range of 12-15% YoY.
NIPPON AMC:
NAM has rationalized the Large and Multi-Cap schemes (~50% of AUM Book) to mitigate the
impact of the telescopic structure on yields. Further rationalizations will be evaluated to manage yield decline.
On the product side, the focus will be on launching more passive funds. Internationally, NAM is collaborating
with subsidiaries and planning additional launches to drive revenue and profit growth.
ICICIGI:
The impact of 1/n regulation has been passed on to distributors. The company will continue to evaluate
price hikes in the health segment while maintaining a comfortable retail indemnity loss ratio of 65-70%. It
follows a calibrated approach in the employer-employee segment due to pricing pressure. Competitive intensity
in the motor segment has slowed growth. A motor TP price hike is expected, subject to MORTH and IRDAI
approval.
STARHEAL:
The company already follows the 1/365 method for URR, thus no significant impact is expected. The
claims ratio remains high due to increased claims and medical inflation; however, the repricing of 65% of the
retail health portfolio may offer relief over the next few quarters. The newly launched ‘Super Star’ is the top-
selling product on digital platforms, web aggregators, and digital partners.
HDFCLIFE:
Management expects a 20-30bp margin impact from surrender charge regulation, well below the
100bp guidance. 4Q growth and margins are expected to remain stable with seasonality and an unchanged
product mix. ULIP traction may decline with weak market sentiment for 9-12 months, but the company
maintains a balanced diversification strategy.
SBILIFE:
No changes have been made to the commission structure due to the minimal impact of the new
surrender guidelines, as the product mix is skewed towards ULIP. The company plans to add 40 (40 added in the
last 12 months) additional agents in tier 3 and 4 locations, further increasing the number of agents. It has guided
for individual APE/ total APE/absolute VNB/VNB margins at 15-17%/10-11%/higher single digit/27-29%.
February 2025
48
 Motilal Oswal Financial Services
India Strategy | Review 3QFY25
LIC:
Management expects VNB margin to expand, driven by: 1) a shift to non-par products, 2) commission
payout changes, 3) premium rate revisions for lower-margin products, and 4) a higher minimum ticket size for
low-persistency products. APE growth will be supported by an increase in both ticket size and policy count. The
focus on non-par growth has driven its share in individual APE to 27.3% (vs. 14% in 9MFY24).
3QFY25
9,346
5,879
4,451
3,754
8,895
7,736
3,014
6,050
7,229
2,370
2,850
3,697
2,900
2,781
Revenue
YoY (%)
39
39
30
29
29
110
57
38
30
30
36
QoQ (%)
3
3
5
1
-9
4
6
3
-2
-2
0
3QFY25
7,639
3,857
2,743
1,906
4,141
4,358
1,931
2,856
3,335
1,070
659
EBITDA
YoY (%)
49
49
41
68
14
140
NA
37
45
34
32
QoQ (%)
9
3
10
4
-31
12
8
-1
-4
3
-4
3QFY25
6,414
2,953
2,245
1,736
2,816
2,187
1,600
2,749
2,527
773
482
1,241
902
1,298
3QFY25
7,244
2,151
3QFY25
4,149
3,249
5,508
698
1,10,565
PAT
YoY (%)
31
4
7
-15
8
111
NA
42
43
33
35
40
35
21
PAT
YoY (%)
68
-26
PAT
YoY (%)
14
43
71
-54
17
QoQ (%)
11
-18
-7
-34
-34
-37
4
11
-2
1
-6
3
1
-20
QoQ (%)
4
93
QoQ (%)
-4
29
4
-50
45
INR m
AMCs
HDFC
NAM
ABSL
UTI
Broking/Exchanges
ANGELONE
BSE
MCX
Wealth Management
360 ONE WAM
Nuvama
Anand Rathi
Prudent Corporate
RTA
CAMS
KFIN Technologies
CDSL
General Insurance
ICICIGI
STARHEAL
Life Insurance
HDFCLIFE
IPRU
SBILIFE
MAXFIN
LIC
28
1
33
3
30
-14
Gross Premium
3QFY25
YoY (%)
QoQ (%)
64,745
1
-7
37,961
5
-13
APE
3QFY25
YoY (%)
QoQ (%)
35,690
12
-7
24,380
28
-3
69,400
13
29
21,080
17
-3
99,500
-24
-40
1,728
34
2
1,306
33
3
1,606
22
-20
Underwriting Profit/(Loss)
3QFY25
YoY (%)
QoQ (%)
-1,523
NA
NA
-490
-143
NA
VNB
3QFY25
YoY (%)
QoQ (%)
9,300
9
-1
5,170
19
-12
18,700
11
29
4,890
0
-4
19,260
-27
-35
HEALTHCARE: In line 3Q; sustained EBITDA growth despite seasonal headwinds/decline in US sales
Our coverage companies (excluding hospitals) reported in line sales/EBITDA/PAT in 3QFY25. On an aggregate basis
for the pharma segment, despite moderate growth of 2.7% in the US, sales/EBITDA/PAT grew 10.5%/21.3%/24.6%
YoY. EBITDA margins expanded 460bp YoY for 3QFY25. While FY24 was strong with Sales/EBITDA/PAT growth of
17%/26%/30%, 9MFY25 saw further momentum with revenue/EBITDA/PAT growth of 10%/20%/23% on a YoY
basis.
Overall performance at the aggregate level was driven by: a) a sustained contribution from niche products in the
US generics segment, b) demand tailwind in chronic therapies, and c) elevated inventory levels of raw materials,
which helped keep their prices in check. The aggregate performance was partly affected by reduced support from
acute therapies.
In the overall listed hospital space, Revenue/EBITDA growth has been on a robust uptrend, recording 22%/24%
YoY, driven by an increase in volume growth (up 14% YoY) and supported by an ARPOB growth of 7% YoY.
Occupancy inched up 100bp YoY to 61% for 3QFY25. During the quarter, there was an addition of ~4,800 operating
beds in the listed hospital space on a YoY basis. Notably, ~1,690 beds were added on a QoQ basis. From the
3QFY25 performance perspective, APHS/MAX/MEDANTA were above our estimates. Medanta revenue growth was
largely driven by volume, while ARPOBs remained largely stable.
On the operational level, 13 companies reported better-than-expected EBITDA performance.
PIRAMAL/LAURUS/GLAND/ALKEM beat our earnings estimates by 48%/24%/19%/15% for the quarter. ERIS and
ZYDUS missed our EBITDA estimates by 8%/7% for 3QFY25.
February 2025
49
 Motilal Oswal Financial Services
India Strategy | Review 3QFY25
Out of 24 companies, 12 reported a better-than-expected performance. LAURUS/IPCA/CIPLA beat our earnings
estimates by 47%/25.1%/15% for the quarter. 5 out of 20 companies delivered a miss on estimates. Despite strong
operational growth, PIRAMAL missed our estimates by 65.8% for the quarter, owing to the high tax burden.
Further, MANKIND missed our estimates by 24.1% owing to the high interest burden.
US sales
witnessed moderate growth of of 2.7% YoY (in cc terms) to USD2.2b, on an aggregate basis, for
companies under our coverage. Temporary lower off-take of niche products, lack of approvals (43 approvals in
3QFY25 vs 49 in FY24), increased USFDA observations, and steady price erosion in the base business led to a YoY
moderation in US generics sales for the quarter.
Among our coverage companies, despite a lower off-take of g-Revlimid, ZYDUSLIF delivered the highest YoY
growth of 29% in US sales, led by Mirabegron sales, volume expansion in the base business, and new launches.
LUPIN’s US segment delivered 14% YoY growth, aided by the strong momentum in respiratory products,
including Tiotropium/Albuterol, and new product launches like Mirabegron/Doxycycline. SUNP reported a 0.6%
YoY decline in growth in US sales, owing to lower g-Revlimid sales. ALKEM contracted 7.3% YoY during the
quarter. ARBP witnessed a 3.5% decline in US sales, driven by lower business from g-Revlimid, reduced
production at the Eugia site, and lower transient product sales. Further, TRP declined 3% YoY due to slow
approval and the ramp-up of the Dahej facility and Indrad plant, which was offset by new launches.
On an overall basis, our coverage companies received approvals for 58 ANDAs (43 final approvals and 15
tentative approvals) in 3QFY25.
On an aggregate basis,
Domestic Formulation (DF)
exhibited YoY growth of 16.5% in 3QFY25, driven by strong
growth in Chronic therapies, which was offset by lower off-take in acute therapy. Among therapies,
Urology/Cardiac/Derma/Ophthal /Anti Diabetic delivered 14.2%/12.1%/11%/9.9%/8.9% YoY growth,
outperforming IPM (7.4% YoY growth). However, Anti-infectives/Respiratory/Gynae underperformed IPM by
530bp/300bp/440bp. Among our coverage companies, LUPIN/DRRD/IPCA delivered 14.8%/14.1%/13.4% YoY for
3QFY25. ERIS delivered 49.6% YoY growth, partly due to acquisitions.
Among our coverage companies that have reported earnings so far, eight have seen marginal earnings upgrades,
while 10 have seen earnings downgrades, with five experiencing massive downgrades. Moderate upgrades in
FY25/FY26/FY27 earnings were seen for MEDANTA (2.6%/4%/2.5%), LAURUS (4.7%/2.3%/2.7%), and MAXH
(2.6%/4.8%/2.8%). Conversely, PIRAMAL (62%/52.7%/43.5%) and BIOCON (83.2%/13%/3.5%) witnessed
maximum downgrades, while GRANULES (8.2%/6.3%/6.2%), MANKIND (12.3%/8.5%/5.8%), and APOLLO
(3.1%/4.2%/4.7%) witnessed marginal downgrades in earnings estimates.
Top picks:
Sun Pharma, Max Healthcare, Medanta, IPCA Lab
Surprises:
LAURUS, IPCA, CIPLA, GLAND, ALKEM, MEDANTA
Misses:
PIRAMAL, BIOS
Guidance highlights
SUNP
has reduced its guidance for R&D spending to sub-7% from 7-8% earlier. The trial related to Leqselvi is
expected to start in Apr’25. SUNP remains focused on new introductions, which will be one of the growth drivers
for the DF market.
DRRD
expects to file abatacept biosimilar in Dec’25 for US markets. It expects steady growth momentum in the
Russian market. DRRD indicated that Canada, India, and Brazil will be the initial focus markets for Semaglutide
over the next 12-18 months. It expects SGA expenses to be 28% of sales in FY25.
DIVI’s
Phase 2 of Kakinada will be commissioned in the next six months. The company has shifted to the new tax
regime, resulting in a lower tax rate of 19% in 3QFY25. DIVI indicated that logistics costs are softening, given the
ease of geopolitical pressures and gradual return to the shorter route of the global supply chain.
CIPLA
aims to end FY25 with higher-than-guided EBITDA margin of 24.5%- 25.5%. It has filed g-Advair from its US
facility and expects a launch in 1HFY26, subject to the USFDA inspection and approval. The company expects to
launch g-Abraxane in 2HFY26, indicating some delays. CIPLA expects Symbicort approval in 18 months.
BIOS
maintains growth outlook for 2HFY25 and FY26 at the group level. It expects to sustain EBITDA margin at
22-23% over the next 18-24 months at the BBL level. It plans to launch bUstekinumab in the US/EU market in
Feb’25.
February 2025
50
 Motilal Oswal Financial Services
India Strategy | Review 3QFY25
LPC
expects EBITDA margin to be 23-23.5% for FY25. It expects a double-digit YoY growth in the US business vs.
the earlier guidance of a single-digit YoY growth for FY25. R&D spending will be INR18b for FY25, implying R&D
expense to be higher for 4QFY25.
ZYDUSLIF
aims to maintain momentum in g-Revlimid sales in FY26. It expects high single-digit growth in the US
business over the next 12-15 months. ZYDUSLIF is set to commercialize CUTX-101 after the USFDA approval.
APHS
has secured all the necessary regulatory approvals for insurance products through Apollo 24/7, and the
business will be reflected from 4QFY25 onwards. Pune, Kolkata, and Delhi are set to begin in 1HFY26, followed
by Gurgaon and Hyderabad in 2H. Kolkata/Delhi are expected to achieve EBITDA break-even in 12M.
LAURUS
has reiterated its 20% EBITDA margin guidance for FY25. It expects 4QFY25 to witness a further scale-up
in business compared to 3Q. The tech transfer for the KRKA JV is on track, with fully expanded formulation lines
set to come online by Dec’25.
GLAND
intends to add one more line to produce 100m dosages per annum, with the capex largely completed.
Some capacity will be commercialized in FY26 for the ROW/Canadian markets, while the majority will start by
end-FY27. Gland remains confident that the Cenexi business will be EBITDA positive in FY26.
TRP
will commence the dispatches of insulin CMO sales in Jan’25. 4QFY25 will witness additional business due to
the spillover from the earlier quarter. It aims to maintain a 32.5% EBITDA margin in 4QFY25. The company
expects high single-digit YoY growth in its Germany revenue in FY25, led by incremental tender wins.
IPCA
has guided a standalone EBITDA margin of 23-24% and a consolidated EBITDA margin of 19.0-19.5% for
FY25. IPCA has seven to eight products in the pipeline for the US market. Unichem – 3/4 product launches can
be expected on an annual basis for the next 4-5 years.
MAXHEALTH
expects the Dwarka hospital to achieve break-even within six months of launch in Dec’24. MAXH
plans to commission its 500-bed ‘built-to-suit’ Thane hospital by CY28. By 3QFY26, 300 beds at the Sector 56
Gurgaon hospital are likely to be completed.
MEDANTA
will lease a 110-bed newly-built hospital in Ranchi. It aims to invest about INR500m in medical
equipment at this site and commence operations from 1QFY26. The Noida Hospital will commence in the next
1Q/2QFY26.
Exhibit 89: DF sales grew 16.5% YoY in 3QFY25
DF sales growth YoY (%)
11.6
10.9 10.1
2.7
-2.7
14.0
6.8 6.7
16.5
Exhibit 88: US sales up 2.7% YoY in 3QFY25 (CC terms)
Growth YoY (%)
26.5
13.1
9.7
8.1 9.5 6.6
8.1
12.1 10.1
5.2
(3.4)
0.6 (0.2)
13.2
10.5
14.1
11.3
Ex-APHS/MAXHEALT/MEDANTA
Source: MOFSL, Company
Ex-APHS/MAXHEALT/MEDANTA
Source: MOFSL, Company
February 2025
51
 Motilal Oswal Financial Services
India Strategy | Review 3QFY25
Exhibit 90: 43 final ANDAs approved on an aggregate basis for our coverage universe in
3QFY25
7
6
6
4
3
2
1
0
0
0
2
2
1
0
0
0
0
2
2
2
2
2
2
1 1 1 1
0 0 0 0 0
4
4
Approval
Tentative Approval
Source: MOFSL, Company
Exhibit 91: Aggregate EBITDA up 21.3% YoY to INR195b in 3QFY25 for the pharma universe
Aggregate EBITDA (INRb)
250
Aggregate EBITDA Growth (%)
37.0
20.9
16.7
45.0
31.4
35.0
200
22.2
150
100
1.8
127
3.3
117
4QFY22
114
(12.6)
1QFY23
3.9
136
2QFY23
8.7
10.8
17.3
21.3
25.0
15.0
5.0
50
138
3QFY23
129
4QFY23
156
1QFY24
164
2QFY24
161
3QFY24
170
4QFY24
190
1QFY25
193
2QFY25
195
3QFY25
(5 .0)
0
(1 5.0)
3QFY22
Ex-APHS/MAXHEALT/MEDANTA/SOLARA
Source: MOFSL, Company
Exhibit 92: Aggregate PAT up 24.6% YoY in 3QFY25 for pharma companies under our coverage
Aggregate PAT (INRb)
140
Aggregate PAT Growth (%)
49.6
31.9
20.5
21.6
29.3
24.6
60.0
50.0
120
40.0
100
80
60
1.2
81
5.2
73
70
(16.1)
86
(9.2)
(0.9)
81
(0.1)
73
92
104
98
109
119
15.0
30.0
20.0
10.0
40
-
20
120
122
(1 0.0)
0
(2 0.0)
3QFY22
4QFY22
1QFY23
2QFY23
3QFY23
4QFY23
1QFY24
2QFY24
3QFY24
4QFY24
1QFY25
2QFY25
3QFY25
Ex-APHS/MAXHEALT/MEDANTA/SOLARA
Source: MOFSL, Company
Exhibit 93: USFDA inspection history of our coverage companies for the quarter
Company
Alembic
Granules
Biocon
Zydus Lifesciences
Cipla
Lupin
Inspection Date
Nov-24
Oct-24
Jun-24
Nov-24
Sep-24
Oct-24
Nov-24
Oct-24
Oct-24
Inspection Facility
OSD F4- Jarod
Injectable and oral solid F-2 -Panelav
FD - Gagillapur
Unit V Facility
Drug Substance Facility- Bengaluru
Transdermal manufacturing facility
Virgonagar- Bengaluru
Goa
Biotech Facility- Pune
Outcome
Observations
Form 483
5
No Form 483
0
EIR
OAI
EIR
NAI
EIR
VAI
EIR
VAI
Form 483
8
EIR
VAI
Form 483
5
Source: MOFSL, Company
February 2025
52
 Motilal Oswal Financial Services
India Strategy | Review 3QFY25
Exhibit 94:
Performance of top therapies in Dec’24 - (INR b)
Company
IPM
Cardiac
Anti-Infectives
Gastro Intestinal
Anti Diabetic
Respiratory
Pain / Analgesics
Vitamins/Minerals/Nutrients
Derma
Neuro / Cns
Gynaec.
Antineoplast/Immunomodulator
Ophthal / Otologicals
Urology
Hormones
One
MAT Market
YoY growth (%) in the last eight quarters
Growth
month
Dec'24 share
(%)
value
(%)
Mar'23 Jun'23 Sep'23 Dec'23 Mar'24 Jun'24 Sep'24 Dec'24 Dec'24
2,293 100.0
7.6
3.5
9.2
7.1
8.1
5.7
9.0
8.2
7.4
6.5
294
12.8
11.9
7.0
10.4
9.3
8.4
10.9
12.5
12.1
12.1
10.3
251
10.9
3.4
6.0
10.4
0.1
7.8
-3.1
6.5
8.0
2.2
4.4
246
10.7
8.7
-1.9
5.5
8.6
9.4
5.5
11.5
9.9
7.6
5.7
204
8.9
8.2
0.5
6.6
4.8
5.7
7.1
7.6
9.1
8.9
7.4
182
7.9
1.5
30.2
11.6
0.0
5.5
-2.8
1.7
2.8
4.4
7.7
183
8.0
7.5
-1.6
11.0
7.3
8.3
5.9
8.4
7.7
7.7
5.5
179
7.8
7.9
-4.5
6.5
7.4
8.6
6.6
8.8
8.0
7.9
6.5
160
7.0
9.7
-3.0
8.5
5.6
3.5
8.1
9.8
9.7
11.0
7.5
138
6.0
8.3
2.9
9.3
8.2
8.8
8.0
8.4
9.3
7.7
5.7
112
4.9
4.3
-1.6
5.5
8.3
6.8
5.2
6.2
2.8
3.0
0.0
60
2.6
15.9
11.0
21.7
25.6
24.3
21.6
21.1
11.8
10.5
9.1
44
1.9
3.5
2.2
10.0
20.0
0.9
4.0
5.2
-3.8
9.9
8.7
51
2.2
13.8
5.4
14.8
14.4
12.4
14.0
13.8
13.2
14.2
10.4
35
1.5
5.4
10.2
11.7
8.0
6.1
3.2
8.7
5.3
4.5
4.3
Source: IQVIA, MOFSL
Infrastructure: Sluggish awarding activity during 9MFY25; delays in appointed dates hurt execution
Execution deteriorates YoY in 3Q amid delays in appointed dates and sluggishness in awarding activity:
Infrastructure companies within our coverage universe (excluding IRB) reported 19% YoY revenue de-growth in 3Q
FY25, primarily because of delays in land acquisition and subsequent delays in Appointed Date (AD) for several
projects and sluggishness in project awarding by NHAI. KNR/GRIL’s revenue declined 22%/17% YoY during 3QFY25.
GRIL faced a slowdown in execution primarily due to fewer projects under execution. NHAI awarding was
sluggish over 9MFY25, and both KNR and GRIL are exploring non-road infrastructure opportunities such as power
transmission projects, water projects, and solar EPC projects to diversify their order book. The management teams
of KNR and GRIL have guided a decline in FY25. Execution is likely to improve from FY26E onwards across our
coverage companies.
Awarding activity remains subdued in YTDFY25; pipeline robust:
Awarding activity by NHAI has been subdued
with ~1,600km of projects awarded in YTDFY25 vs. a target of ~5,000km of awarding in FY25. While there is a
huge tender pipeline, order inflows could kick in materially only in FY26. Management of GRIL has guided an
order inflow target of INR170b in FY25, while that of KNRC has guided an order inflow of INR60-80b in the next
3-4 months. Despite sluggishness in awarding activity by NHAI, both companies will be focused on diversification
of the order book towards non-roads segments.
Elevated input costs keep margins under check:
Companies within our coverage reported a 20bp YoY improvement
in EBITDA margin. Though steel and aluminum prices have corrected ~30% from their highs in Apr’22, the prices
continue to remain at elevated levels. Cement prices have dipped ~10% from their highs in Oct’23.
Focus on asset monetization:
NHAI had set a monetization target of ~INR540b at the beginning of FY25 and has
established an asset monetization cell for the same. NHAI sets up an asset monetization cell for the same. The
cell will advise on planning, conduct market analysis, and identify high-revenue assets. In line with the National
Monetization Plan (NMP), NHAI’s total asset monetization program has surpassed INR1t, which includes
INR499b through TOT, INR259b through Infrastructure Investment Trust (InvIT), and INR420b through
securitization.
Top picks:
Awarding activities by NHAI and execution have been muted and are expected to improve only in FY26.
Companies with decent order backlogs, a solid financial position, and involvement in multiple segments are well-
positioned to benefit in the near to medium term. Our preferred choice in the space is KNR.
Guidance
GRIL:
The company has bid for projects worth ~INR140b and expects awarding of INR21b in roads by Feb’25.
FY25 order inflow is revised downwards to INR170b from INR200b earlier, with FY26 guidance at INR200b,
February 2025
53
 Motilal Oswal Financial Services
India Strategy | Review 3QFY25
including 25-30% from transmission and ~40% from roads. It forecasts a ~10-12% decline in revenue in FY25 but
a 9-12% growth in FY26 driven by the EPC projects.
KNR:
Management expects a 10-15% revenue decline in FY25 due to a lower order book and payment delays but
anticipates recovery to INR35-40b in FY26 and further growth in FY27. It targets INR80-100b in new orders and
monetization of four HAM assets by Dec’25. KNRC plans to expand into mine development and BOT toll projects
with Adani and Cube Highways while bidding across highways, irrigation, and urban infrastructure projects in
South India.
Exhibit 95: Revenue dipped ~19% YoY for our coverage
universe
Infra aggregate sales (INR b)
31.7
33.3
25.2
27.1
33.3
27.2
19.8
22.1
Exhibit 96: Gross margin remained flat on a YoY basis
Infra aggregate gross margin (%)
27.1
31.2
26.5
27.6
26.3
25.9
26.2
28.0
26.5
27.3
Exhibit 97: EBITDA expanded on YoY and QoQ basis
Infra aggregate EBITDA margin (%)
15.9
15.8
15.8
14.3
13.8
15.1
Exhibit 98: APAT margin improved on a YoY basis
Infra aggregate APAT margin (%)
13.3
14.0
9.2
10.1
10.1
10.7
8.9
8.7
14.1
12.9
10.4
11.7
Note: Data in charts above is for our coverage universe excluding IRB
Logistics: Volumes remain muted amid a slowdown in consumption; private port operators witness a
soft growth in tonnage
Logistics activity remains muted; cargo volumes at ports remain subdued due to geopolitical challenges:
Logistics activity remained subdued due to challenges like a slowdown in consumption, market fluctuations, and
rising labor costs. Express logistics saw volume decline owing to muted demand and competitive pressure.
Logistics companies (excluding APSEZ and JSWINFRA) achieved ~8% YoY revenue growth. Volume growth
improved in Jan’25, and organized freight operators expect the volume momentum to improve in the remaining
months of FY25. Multimodal logistics operators outperformed pure freight and express logistics. APSEZ and
JSWINFRA reported 4% and 5% YoY growth in cargo volumes, respectively. In 9MFY25, APSEZ managed ~27% of
the country’s total cargo and ~45% of container cargo. With volume ramp-up at recently acquired
ports/terminals, volumes are expected to be strong ahead for APSEZ and JSWINFRA.
Margins remain flattish on a YoY basis due to muted volume growth and high operating expenses:
Gross
margin for our coverage universe, barring APSEZ and JSWINFRA, stood at 29.4% in 3QFY25 (up 10bp YoY but
down 80bp QoQ). Flat margins on a YoY basis could be attributed to muted volumes during the quarter while
operating expenses such as fuel prices and toll charges remained high. EBITDA margin for our coverage universe,
February 2025
54
 Motilal Oswal Financial Services
India Strategy | Review 3QFY25
excluding APSEZ and JSWINFRA, contracted 10bp YoY and 90bp QoQ to 13.2%. APSEZ’s margin stood at 60.3%
(down 20bp YoY and 150bp QoQ), while JSWINFRA’s margin was ~50% (down 150bp YoY and 240bp QoQ).
Organized players with a pan-India network and technological advantage to gain higher market share:
The
introduction of GST and e-way bills, and reduced e-invoicing turnover limits have driven businesses to partner
with organized logistics providers. Express companies are expanding their infrastructure and digitalizing
operations. This positions them to capture higher volumes. The government's port privatization efforts offer
opportunities, with APSEZ and JSWINFRA well-placed to benefit due to their strong balance sheets.
Top picks:
JSWINFRA is our preferred choice in this space.
Guidance
APSEZ:
In FY25, APSEZ expects cargo volumes of 460-480mmt, revenue of INR290-310b, EBITDA of INR188-190b,
and a net debt-to-EBITDA ratio of 2.2-2.5x. It plans a capex of INR115b, primarily for ports, logistics, and
renewables, including 1,000MW of solar and wind power with imported panels from China.
JSWINFRA:
Port capacity is set to reach 400 MTPA by FY30, with the current capacity rising to 174 MTPA.
Management targets INR80b revenue, INR20b EBITDA, and INR90b capex for JSW Ports Logistics Ltd. EBITDA
margins stand at 50-53% for port cargo and over 85% for the UAE oil tank terminal, boosting overall profitability.
VRLL:
Management expects 12-13% revenue growth in 4QFY25, driven by better realizations, with 1% volume
growth. In FY26, revenue is projected to grow 12-13%, with volume growth normalizing to 8-10%. EBITDA
margins should remain around 18%, aided by bulk fuel savings. Capex will normalize to INR1.5-1.6b in FY26 after
higher spending on hub acquisitions in FY25.
TRPC:
It expects 10-15% revenue and PAT growth in FY25, driven by the supply chain segment. The company
plans INR2.5b in capex for FY25, including INR800m for advance payments for new ships. Capex for FY26/FY27 is
expected to be around INR2.5b.
BDE:
CY24 capex was INR622m, far below the INR13b budget due to market conditions. Margins are expected to
remain stable or improve. Surface express is expected to grow in double digits, while air express is anticipated to
grow at ~5%.
CCRI:
EXIM volumes saw double-digit growth in Jan’25, a trend expected to continue through Mar’25. CCRI has
commissioned five MMLPs under DFC to drive future growth. With robust EXIM and domestic demand, CCRI
aims to handle 5M TEUs in FY26.
MAHLOG:
The B2B express business is expected to achieve EBITDA breakeven in the next two quarters. MLL
aims for INR100b revenue and 18% RoE by FY26, driven by 3PL growth and network expansion. Enterprise
mobility growth is anticipated to benefit from new airports in Noida and Navi Mumbai.
TCIE:
Weak volume growth, particularly from MSME customers, and higher costs led to a weak performance in 3Q.
TCIE has outlined a capex plan of INR5b over FY23-FY27, with INR3.1b allocated for 4QFY26 and FY27. The
multimodal express segment is expected to contribute 20-22% of total revenue over the next 2-3 years.
Exhibit 99: Sales improved ~8% YoY for our Coverage
Universe
Logistics aggregate YoY sales growth (%)
30.8
14.4
32.7
Exhibit 100: Gross margin remained flattish on a YoY basis
MOSL universe Logistics Gross margin (%)
33.2
10.0 8.4
6.0
-0.3
9.6 9.2 9.0 8.3
6.7
31.2
29.5
30.1
30.5
29.3
30.9
30.5
29.5
28.9
30.2
29.4
10.1 8.8
February 2025
55
 Motilal Oswal Financial Services
India Strategy | Review 3QFY25
Exhibit 101: EBITDA margin remained flattish on a YoY basis primarily due to muted volume growth
16.3
MOSL universe Logistics EBITDA margin (%)
15.9
15.6
14.9
13.9
13.6
12.7
13.9
14.1
13.3
13.0
12.0
13.2
Note: Data in charts above is for our coverage universe excluding APSEZ & JSWINFRA
Source: Company, MOFSL
METALS: Weak NSR drags operating performance; muted input costs cushion margin contraction
Volumes improve QoQ across the board
Ferrous:
The companies within our coverage universe reported sales volume growth of 11% YoY and 6% QoQ. This
growth was primarily driven by the resuming of construction activity and softening imports, coupled with a low base
effect. Various management teams guided healthy volumes in 4QFY25 on account of the busy construction period.
Non-Ferrous:
HNDL’s domestic aluminum volume grew 2% YoY (+3% QoQ), while copper volume remained flat YoY
(+3% QoQ). Novelis (HNDL’s overseas aluminum business) saw a marginal volume dip of 1% YoY and 4% QoQ, caused
by moderate demand. Vedanta posted 3% YoY and 1% QoQ volume growth for the aluminum business, while the
domestic zinc business (HZ) saw a volume decline of 1% YoY (+2% QoQ) on account of the planned maintenance
shutdown. NACL reported alumina sales growth of 9% YoY and 32% QoQ due to demand-supply mismatch, while
metal sales dipped 7% YoY and 12% QoQ.
Mining:
COAL’s sales (dispatches) inched up 1% YoY and 16% QoQ to 194mt, driven by the resumption of mining
activity, while NMDC’s sales rose +5% YoY and 20% QoQ to 11.9mt.
Ferrous ASP declines QoQ; non-ferrous has benefitted from favorable pricing:
Aggregate revenue for the
ferrous companies under coverage grew 3% YoY and was flat QoQ as healthy volume growth was offset by weak
NSR. Apart from JSPL, the industry average realization declined by ~10% YoY and ~3% QoQ (JSPL ASP +2% QoQ
led by a higher long product mix). The weakness in ferrous pricing, especially flats was due to the higher imports.
Aggregate revenue for non-ferrous companies increased 12% YoY and 3% QoQ led by favorable pricing during
the quarter. HNDL reported revenue growth of +11% YoY and flat QoQ, whereas the HZ/VEDL revenue grew by
+18/10% YoY and +4% QoQ for both in 3QFY25.
Ferrous EBITDA/t has been hit by weak ASP QoQ; non-ferrous delivers strong growth:
a) Ferrous:
Aggregate
EBITDA for our coverage company declined 5% YoY due to weak ASP, while it grew 17% QoQ aided by healthy
volume growth. EBITDA/t for JSTL stood at INR8,314/t (down 30% YoY and 6% QoQ); similarly, JSPL reported an
EBITDA/t of INR11,494/t (down 27% YoY and 3% QoQ). Tata Steel’s EBITDA/t came in strong at INR9,268/t (+15%
YoY and 26% QoQ) led by a one-off other expense reversal of INR14b. Further, the EU’s operating loss reduction
from USD77/t to USD42/t benefited the company.
b) Non-ferrous:
EBITDA for non-ferrous companies surged
~37% YoY and 9% QoQ due to strong pricing and muted costs during the quarter. The biggest improvement was
visible in NACL, which benefited from higher alumina sales and favorable pricing.
Weak operating profit drags PAT for ferrous companies:
Aggregate APAT for ferrous companies declined 49%
YoY but jumped 64% QoQ in 3QFY25, fueled by better volumes. In contrast, non-ferrous companies’ aggregate
APAT increased 69% YoY and 8% QoQ during the quarter.
Capacity enhancement:
a) Ferrous:
TATA is doubling its domestic crude steel capacity to 40mt from 21mt. The 2BF at
Kalinganagar was commissioned, and other associate facilities will be commissioned in the coming years. Similarly, JSP
is doubling its finished steel capacity to 13.75mt (with a capex INR310b) from 7.25mt by FY26. JSTL’s 5MTPA
Vijayanagar integrated facility (Sinter and BF) was commissioned, and SMS has been under commissioning. JSTL's other
expansions, such as Dolvi phase-III and debottlenecking, are likely to take the capacity to 42mtpa by Sep’27E. SAIL plans
to increase its capacity from 20mtpa of crude steel to 35mtpa by the end of FY31 in a phased manner.
February 2025
56
 Motilal Oswal Financial Services
India Strategy | Review 3QFY25
b) Non-ferrous:
Novelis’s (HNDL) Bay Minette facility is expected to be completed in 2HCY26 and would take 18-24
months to fully ramp up. VEDL’s Lanjigarh Train-1 is ramping up steadily, and the ongoing Train-2 expansion of
1.5mtpa is expected to be completed in Q4FY25. NACL’s 1mtpa 5th stream alumina refinery expansion is underway
and is expected by Dec’25, also planned for a new aluminum smelter capacity of 0.5mtpa by FY30.
Top picks:
COAL and JSTL
Surprises:
SAIL and NACL
Guidance highlights:
TATA:
Management expects NSR for domestic operations to be flat QoQ in 4QFY25, while the Netherlands/UK
NSR to decline GBP60/t QoQ in 4QFY25 due to the renewal of annual contracts. Coal costs on a consumption basis
will fall by USD10/t QoQ for India operations and in the Netherlands costs are anticipated to be USD20/t QoQ
lower in 4QFY25. Considering the current pricing/demand environment, management expects the UK business to
break even soon.
JSTL:
Management foresees the coking coal costs to be USD10-15/t lower QoQ for 4QFY25 and indicated that
iron ore prices might soften. JSTL has guided for consolidated capex of ~INR160b in FY25. The commissioning of
three new mines is on track; one mine will be commissioned in 4QFY25 and the other two mines in 1QFY26.
JSP:
Coking coal cost is expected to be USD10/t lower in 4QFY25, and earnings are likely to be better in 4QFY25
driven by better volumes and realization. Management indicated that NSR will remain flat QoQ and iron ore
costs will moderate INR100-200/t in 4QFY25. Of the total ~INR310b capex announced for Angul, JSPL has spent
~INR236b so far, and the remaining INR74b will be spent in FY26. Management has proposed an additional
capex of INR160b for efficiency to be spent over FY26-28.
SAIL:
For 4QFY25, management expects coking coal costs to decline further by INR1,000/t QoQ. Management
guided to achieve a sales volume of 17.5mt for FY25. SAIL plans to expand capacity by 15mtpa with a total outlay
of INR1.1-1.15t by FY31, with phase-wise approvals. In Phase I, three plants (IISCO-Greenfield, Bokaro, and
Durgapur) have received Stage-1 approvals, and SAIL will be adding ~7.5mtpa with a capex outlay of INR550-
560b.
NMDC:
Management has guided for a volume of 16mt in 4QFY25, achieving its volume guidance of 50mt for
FY25. Going forward, management expects a volume of 53mt in FY26 and 60mt in FY27, with an incremental
loading of ~6-7mt from two new lines (line-4 in Bacheli and line-13 in Kirandul). Management indicated that
NMDC was able to hold up iron ore prices in a steel price downturn and aims to maintain the prices amid severe
headwinds. Management targets to complete the 2mtpa pellet plant (which could be upgraded to 6mtpa) by
CY25-end.
HNDL:
Hindalco’s coal cost remained stable, with 50% sourced through linkage and 50% from e-auctions.
Management guided that the new captive coal mines (Chakla + Meenakshi coal mine) will reduce the company's
coal costs by 30% for FY28. HNDL hedged ~35% of its aluminum at USD2,600/t for 4QFY25 and secured 12%
hedging at USD2,700/t for FY26. Global beverage cans’ demand remains strong. Strong demand in beverage
packaging shipments offsetting muted specialty and Europe and China automotive.
VEDL/HZ:
Earlier, the Gamsberg mine faced production constraints due to geotechnical issues and under-
stripping, which have now been largely resolved. Management expects alumina costs to be close to USD320-
325/t for the coming year. Management targets to exit Zinc COP at USD1,000/t by FY26-end and below
USD1,000/t by FY27-end. Konkola Copper Mines (KCM) is ramping up steadily, with the current run rate of 160-
175 KT copper per year, expected to reach 200 KT per year in FY26.
February 2025
57
 Motilal Oswal Financial Services
India Strategy | Review 3QFY25
Exhibit 102: Domestic spot steel spreads (USD/t) contracted
and currently below the LTA
Domestic HRC -RM Spreads
750
500
250
10-year Avg Spread
Exhibit 103: Coking coal (USD/t) moderated significantly
from the peak and now range-bound at USD200-210/t
800
600
400
200
0
0
Source: MOFSL, Steelmint
Exhibit 104: HRC (INR/t) has fallen to INR46,500/t on
account of elevated imports
97,000
Exhibit 105: Rebar (INR/t) prices resilient at 53,000/t level
with increasing construction activities post-monsoon.
80,000
65,000
79,000
61,000
43,000
25,000
50,000
35,000
20,000
Source: MOFSL, Steelmint
Source: MOFSL, Steelmint
Exhibit 106: Aluminum prices at ~USD2,600/t
4,000
3,000
2,000
1,000
Exhibit 107: Zinc prices slipped from USD3,100/t levels
5,000
4,000
3,000
2,000
1,000
Source: MOFSL, Bloomberg
Source: MOFSL, Bloomberg
Exhibit 108: Copper prices back to USD9,000/t levels
12,500
10,500
8,500
6,500
4,500
Exhibit 109: Lead prices softened below USD2,000/t
3,100
2,700
2,300
1,900
1,500
Source: MOFSL, Bloomberg
Source: MOFSL, Bloomberg
February 2025
58
 Motilal Oswal Financial Services
India Strategy | Review 3QFY25
Exhibit 110: EBITDA/t for steel companies under our coverage (consolidated)
EBITDA/t
JSW Steel
Tata Steel
SAIL
JSPL
1QFY24
12,340
7,186
4,250
14,283
2QFY24
12,438
6,037
4,429
11,372
3QFY24
11,967
8,031
5,638
15,705
4QFY24
9,100
8,271
3,879
12,162
1QFY25
9,003
9,059
5,536
13,585
2QFY25
3QFY25
8,869
8,314
7,343
9,268
3,111
4,582
11,893
11,494
Source: MOFSL, Company
OIL & GAS: OMCs – refining recovers, marketing remains robust; APM de-allocation dents CGD margins
Overall performance:
Revenue came in line with our estimate (flat YoY). Excluding OMCs, revenue was again in
line (flat YoY). EBITDA was also in line (flat YoY), with BPCL, GAIL, IOCL, and AEGISLOG missing our estimates.
Conversely, CSTRL, HPCL, IGL, and MRPL beat our estimates. Excluding OMCs, EBITDA was also in line (flat YoY).
Adjusted PAT was 7% below est. (down 11% YoY). Adjusted PAT, excluding OMCs, was in line (down 8% YoY).
RIL:
Its 3QFY25 standalone EBITDA was up 13% QoQ (4% YoY), driven by a slight improvement in volumes, higher
gasoil and ATF cracks, higher domestic product placement, and maximization of ethane feedstock cracking.
Consolidated EBITDA was also 4% above our estimate, driven by a recovery in Retail (EBITDA grew 9% YoY; 8%
beat) and O2C (+16% QoQ; 10% beat).
Upstream:
ONGC/OINL’s
3QFY25 EBITDA was in line with our estimate, as crude oil/gas sales came in line. Both
crude oil and natural gas production trends were flat QoQ/YoY.
OMCs – LPG under-recovery drags performance:
While
HPCL’s
EBITDA beat our estimate by 30%, primarily led by a
higher-than-estimated GRM,
IOCL’s
EBITDA missed our estimate by 11%, due to a lower-than-expected reported
GRM and high inventory losses.
BPCL’s
performance was largely in line with our expectations, as weaker-than-
expected refining performance was offset by robust marketing margins. In addition, their earnings continue to take
a significant hit due to the LPG under-recovery, amounting to INR31b/INR55b/INR31b for HPCL/IOCL/BPCL.
CGDs:
MAHGL/GUJGA’s
EBITDA came in line with our estimate on account of steady margins and strong volume
growth.
IGL’s
EBITDA beat our estimate by 12% due to higher margins and strong volume growth. EBITDA/scm
margins contracted to INR8.3/INR4.3/INR4.4 for MAHGL/IGL/GUJGA on account of APM twin de-allocation.
Volumes for MAHGL/IGL/GUJGA increased 12%/7%/3% YoY to 4.1/9.1/9.5mmscmd.
Gas utilities:
GAIL’s
EBITDA was 25% below our estimate, primarily due to weak gas marketing segment performance.
Petchem's EBITDA fell 27% YoY.
PLNG’s
EBITDA marginally missed our estimate by 5%; however, its total volumes
declined to 228Tbtu (est. of 249.5Tbtu, -2% YoY).
GUJS’
3QFY25 EBITDA was in line with our estimate, as lower-than-
estimated volumes were offset by higher-than-estimated tariffs.
Ratings and earnings revisions:
IGL upgraded to Neutral:
Since the downgrade in Feb’23, IGL has delivered a
negative return of 12% over the past two years. After the APM reallocation, the net reduction in APM allocation
now stands at ~0.9mmscmd, of which IGL is expected to receive 0.5mmscmd New Well (NW) gas from Feb’25. We
also believe that IGL’s current valuations are inexpensive. Hence, with volume and margin expectations at a weak
level, we upgrade the stock to neutral.
OMCs
– We raise our FY26 adjusted PAT estimates for HPCL/IOCL by
18%/16%, as we adjust opex for the current run rate.
Top picks:
GAIL
– During FY24-27, we estimate a 15% PAT CAGR driven by: 1) an increase in natural gas
transmission volumes to 154mmscmd in FY27 (120mmscmd in FY24); 2) a substantial improvement in the
petchem segment’s profitability over 2HFY25-FY27, as the new petchem capacity will be operational; and 3)
healthy trading segment profitability with guided EBIT of at least INR45b.
HPCL
– It remains our preferred pick
among the three OMCs. We see the following as key catalysts for the stock: 1) the demerger and potential listing
of the lubricant business, 2) the commissioning of its bottom upgrade unit, and 3) the commencement of the
Rajasthan refinery in 4QFY25-end.
OINL’s
production growth guidance remained robust, with drilling activity and
development wells in old areas contributing to this growth. OINL is also implementing new technologies to
increase production besides pursuing the Indradhanush Gas Grid connectivity. Capacity expansion for NRL (from
3mmt to 9mmt) is also expected to be completed by Dec’25, which will drive further growth.
Surprise:
CSTRL, GUJGA, HPCL, IGL, and MRPL
February 2025
59
 Motilal Oswal Financial Services
India Strategy | Review 3QFY25
Misses:
AEGISLOG, BPCL, GAIL, GUJS, IOCL, OINL, and ONGC
Guidance highlights:
GAIL:
Management expects transmission volumes to grow ~10mmscmd in FY26 and remains hopeful of tariff hike
approval for the transmission business in 1QFY26. LPG production could drop 75tmt due to APM de-allocation in
4QFY25.
Upstream:
ONGC
aims to increase production at ~3.4% CAGR, reaching 42.44/ 44.51/45.61mmtoe in
FY25/FY26/FY27. In FY26, crude oil/gas production shall be 21.96/22.63mmtoe. This volume growth will be driven
by offshore projects: KG-DWN-98/2, Cluster –II. MHN redevelopment is expected to be commissioned in 4QFY25
itself, and the Daman Upside project is likely to be commissioned in Feb’26. Production from DSF II shall also
come up in Apr’27.
OINL’s
production volume guidance: FY25/FY26/FY27 oil production is likely to be 3.48mmt/
3.65mmt/4.0mmt. FY25/FY26/FY27 gas production is anticipated to be 3.3bcm/4.0bcm /5.0bcm. NRL's
petrochemical project is expected to achieve completion by Dec’28.
OMCs:
HPCL’s
management expects the mid-cycle SG GRM to be ~USD5-6/bbl, and its GRM would be at some
premium to SG GRM + USD2-3/bbl post-RUF unit commissioning at Visakh. Around INR130-140b p.a. capex shall
be incurred going forward (INR40b/ INR60b/ INR40b on Refining/Marketing/Equity contribution in JVs).
BPCL’s
petchem product slate post-Bina refinery expansion- PE/PP/PTA shall be 1.2mmt/0.45mmt/1.35mmt. The total
capex for the Andhra Pradesh coastal refinery project might be ~INR950b if approved. Further, management
stated that an annual capex of INR200b is expected in FY26. Capex shall increase from FY27 and amount to
~INR250b-260b going forward.
CGDs:
IGL
has secured ~1.65mmscmd contracts at competitive rates for sourcing R-LNG gas. Management
expects to end FY25 with volumes reaching 9.5mmscmd. Further, it expects volumes to grow 1mmscmd p.a.,
reaching 10.5mmscmd/11.5mmscmd in FY26/FY27.
MAHGL’s
management expects ~12.5%-13% YoY growth in
volumes in FY25. Further, it has guided for 10% YoY volume growth for FY26, with CNG being the key growth
driver. EBITDA margins are expected to range between INR9 and INR11 per scm moving forward.
GUJGA:
Amid
the recent APM de-allocation and elevated spot LNG prices, management has marginally downgraded its margin
guidance back to INR4.5-INR5.5 per scm. Management also guided a capex of INR8.5b/INR10b for FY25/FY26.
Exhibit 111: Implied gross marketing margin (INR/lit)
Implied marketing margin (INR/lit)
IOCL
BPCL
HPCL
February 2025
60
 Motilal Oswal Financial Services
India Strategy | Review 3QFY25
Exhibit 112: Reported refining margin (USD/bbl)
IOCL
32.0
23.0
14.0
5.0
-4.0
2.0
3.8
USD/bbl
6.0
8.0
21.2
8.2
8.2
4.0
9.5
5.5
HPCL
BPCL
SG GRM
7.1
6.2
6.3
7.3
3.5
Exhibit 113: Sales volume of CGDs (mmscmd)
Volumes mmscmd
9.8
4.1
2.7
1.1
5.5
6.3
2.1
2.8
6.8
2.9
GUJGA
IGL
MAHGL
9.7
8.7
3.8
11.0
8.8
8.6 9.0
3.9
4.0
11.4
12.1
10.0
11.4
11.4
9.9
9.8
7.6
7.2
3.1
7.7
3.3
7.7
3.2
7.9
3.4
8.1
3.5
7.3
8.1
3.4
8.9
8.3
3.4
9.2
8.2
3.4
9.3
8.3
3.6
9.2
8.5
3.7
9.5
9.1
4.1
5.3
2.4
Exhibit 114: EBITDA/scm trend for CGDs (INR)
EBITDA/scm
GUJGA
IGL
MAHGL
8.7
8.0
7.9
8.6
6.7
8.0
7.2
7.1
8.6
8.6
7.2
6.6
7.4 6.5
4.3
3.4
8.0
5.7
6.2
REAL ESTATE: Premium and Luxury mix to derive sales; launch delays drag estimates
Pre-sales increased 15% YoY:
In 3QFY25, our coverage universe reported bookings of INR353b, a 15% increase
YoY, due to seasonality as well as exceptional performance by a few key listed players contributing majorly to
pre-sales (DLFU, LODHA, OBER, BRGD, SRIN, and SIGNATUR), even when sales from other listed players were
considerably lower. These key players contributed ~70% of total reported bookings of our coverage universe and
DLF alone contributed to ~35%, mainly due to its ultra-luxury launch ‘The Dahlias’, which made ~INR120b. Even
though the overall booking area of listed players in our coverage universe was down ~17%, pre-sales were up
15% YoY, reflecting higher sales from the Premium and Luxury segment with higher ticket sizes. This indicates
that the demand for Premium and Luxury was strong.
Oberoi and Signature performed the best in terms of YoY growth, posting 144% and 119%, respectively, whereas
DLF performed best in terms of value, i.e. INR121b out of total reported bookings from our coverage universe of
INR353b.
Realization also improved 38% YoY due to higher sales from the Luxury and Premium segment.
February 2025
61
 Motilal Oswal Financial Services
India Strategy | Review 3QFY25
Double-digit growth aspiration intact:
Our coverage universe posted a 43% CAGR in cumulative bookings over
FY21-24 and they aspire for 20-30% growth in FY25 despite a high base. Of this target, 9MFY25 has already
achieved ~67% of projected FY25 pre-sales. In 9MFY25, business development remained equally strong, led by
GPL, LODHA, and MLIFE, which added new projects worth GDV of INR235b, INR194b, and INR141b, respectively.
Consequently, companies have identified a vast launch pipeline for Q4FY25 and FY26, which can support their
future growth aspirations.
Launches dominated by few players:
Unlike 9MFY24, launches were low in 9MFY25 due to a delay in approvals
impacted by the state and national elections. Launches were up 13% and 38% for DLF and Godrej Properties,
while other listed players in our coverage universe experienced either a flat or declining trend. Prestige Estate
showcased a 60% decline in 9MFY25 launches over the previous period due to a lack of approvals. However, it
has ~INR300b of planned launches for Q4FY25, which will help achieve its FY25 pre-sales guidance. We expect
our coverage universe to launch ~130msf of projects in FY25.
Collections:
Total collections for 3QFY25 increased 28% YoY to INR208b. However, collection efficiency
(collections-to-sales) was down to 59% from 82% in 2QFY25, mainly due to a lack of completions caused by
elections, vs. TTM average of 64%. With progress in construction, we expect efficiency to further move north
going forward, resulting in higher collections.
P&L performance – mixed bag:
Aggregate revenue for the coverage universe increased 34% YoY to INR152b (8%
below our estimate). The individual performance was a mixed bag as Godrej / Macrotech / Brigade / Sobha /
Mahindra reported healthy revenue growth, while other players in our coverage were affected by lower project
deliveries. Cumulative EBITDA stood at INR43b, up 33% YoY, with an EBITDA margin of 28% (flat vs 3QFY24).
View:
The operational performance of our coverage universe was below our expectations due to the impact of
delayed launches in pre-sales. We retain our FY25 pre-sales estimates (except for the upward revision for DLF
and OBER and reduction for Prestige and Sobha) for all the companies, but we will critically monitor launches as
many companies have expressed concerns regarding approval delays. We prefer BRGD, and SIGNATUR as our
top picks.
Positive Surprises:
DLF
Negative Surprises:
Sobha
Company commentary:
LODHA:
LODHA has ended its growth phase in Bengaluru with the success of two projects and plans to increase
its market share to 15% in a decade’s time as it did in other markets. It also executed a recent data center deal
at INR210m/acre (10m/acre more than guidance), which clearly showcases Palava as the data center hub for
LODHA. Additionally, the management is now evaluating a new city that can be a potential market and will
decide on it by FY25 end.
OBER:
The Jardin OGC launch at Pokhran Road, Thane, drove 70% of the sales, for which it witnessed strong
bookings of INR13.2b. Occupancy in the commercial portfolio increased to 77%, whereas ARR rose 24% YoY for
Hospitality. Retail malls saw a 12% YoY increase in revenue. Additionally, OBER plans to launch a new tower in
Borivali and Goregaon in 4QFY25 or FY26. It will launch its Gurugram, Adarsh Nagar, Worli, and Tardeo projects in
FY26.
DLFU:
DLFU launched its Ultra Luxury project named ‘The Dahlias’ with a total revenue potential of INR350b and
+70% gross margins. ~98% of sales in 3QFY25 were from this project, enabling the company to surpass FY25 pre-
sales guidance. DLF is confident of launching its Mumbai project in 4QFY25. Privana phase-3 and Goa will be
launched in FY26. Total projects with GDV INR704b are planned beyond FY25.
GPL:
GPL achieved a record-breaking pre-sales of INR288b in CY24, securing the top position amongst its peers.
The management remains confident about the sustainability of demand for a couple of years and highlighted
that it is in the early- to mid-stage of the cycle. GPL remains on track to meet or exceed its guidance for all key
parameters. The remaining inventory, set to be launched in Q4, is currently at INR64b. Upcoming launches are
expected in Hyderabad, Noida, Gurgaon, MMR, Pune, and Indore.
PEPL:
Lack of launches in residential led to poor pre-sales. However, realization improved 40% YoY. Launches for
The Prestige City Indrapuram NCR, Southern Star & Sunset Park Bangalore, Pallava Gardens Chennai, Prestige
Spring Heights Hyderabad, Beach Gardens Goa, and some small projects in Bangalore and Hyderabad have been
February 2025
62
 Motilal Oswal Financial Services
India Strategy | Review 3QFY25
delayed to 4Q. Nautilus is also expected to be launched in 4QFY25. Overall PEPL guided for launches of GDV
INR300b in 4Q. An additional GDV of INR500b is in the planning stage.
BRGD:
Bel reported 60% YoY growth in pre-sales, which was in line with our estimate. With launches of 1.9msf
projects in Bengaluru, Hyderabad, and Mysore, BRGD recorded its highest-ever quarterly realization of
INR11,364/sft, up 26% YoY. The company’s 12msf of the launch pipeline creates growth visibility in the near
term.
MLIFE:
The management aims to launch over INR30-35b worth of inventories across 6-7 projects by Q4 /
Q1FY25. Key projects include Kandivali Phase 2, Malad redevelopment, Navi, Zen Phase II, Crown Phase 2,
Bhandup, Borivali redevelopment, and the plotted project in Jaipur.
SOBHA:
Approval delays prompted the management to reduce its pre-sales guidance to INR66b in FY25 (earlier
INR85b). The management targets 28% embedded PBT margins at a project level and 15-18% excluding
overheads and interest. Overall margins were down in 3Q due to losses incurred from contractual business. The
inventory of 8.9msf across ongoing projects (including completed) provides healthy visibility. Additionally,
SOBHA has 22.41msf under forthcoming projects at different stages of approval. SOBHA now intends to foray
into Mumbai and Noida but will remain calibrated in the approach.
SIGNATUR:
For 9MFY25, the company reported pre-sales of INR86.7b, achieving 87% of FY25 pre-sales guidance.
Additionally, the company has launched projects worth GDV of INR135b against the full-year guidance of
INR160b. Collections stood at INR32b in 9MFY25, achieving 52% of the collection guidance, and management is
confident to achieve the target for FY25. SIGNATUR intends to launch a project of IN350b GDV (21.6msf) over
FY26-27E and plans to keep replenishing the inventory.
KPDL:
Management has reiterated its business development guidance of INR80b and expects a 25% CAGR in
pre-sales over FY25-27. KPDL has pushed its launches of Laxmi Ratan Versova, Jal Mangal Deep Goregaon,
Vishwakarma Nagar, and Jal Nidhi projects with overall GDV of INR20b from the Mumbai portfolio to FY26 due
to a delay in approvals. KPDL expects to recognize INR18b in revenue in FY25 and will report blended EBITDA
margin of 12.5%.
SRIN:
Sunteck Realty reported pre-sales of INR6.35b in 3QFY25, up 40% YoY. Traction in uber-luxury projects
nearly tripled, with bookings of INR4.2b, or 66% of overall pre-sales. SRIN achieved 65% of the total pre-sales
guidance for FY25 (INR25b). Aided by the strong launch pipeline, management guided a pre-sales growth of 25-
30% for FY26. SRIN added the Nepean Sea project-2 with a total GDV of INR24b, which translated into a total
GDV of INR54b for the said project. Cumulative GDV as of 9MFY25 stood at INR402b, with the acquisition of a
recent project.
PHNX:
Total consumption stood at ~INR40b, up 21% YoY, driven by a healthy ramp-up in Palladium, Millennium,
and Mall of Asia at Ahmedabad, Pune, and Bengaluru, respectively. LfL growth was 10% in 3Q (excluding new
malls) and 7% overall in 9M, guided by jewelry, hypermarkets, and fashion. The company expanded Phoenix
Palladium Mumbai by 0.25msf and PMC Bangalore by 0.6msf. With new acquisitions in 2Q in Coimbatore &
Chandigarh Mohali totaling 22.1 acres, PHNX is set to double its portfolio by FY30.
Exhibit 115: Pre-sales for the coverage universe increased
15% YoY…
Pre-sales (INR b)
187%
353
92%
52%
58%
15%
87%
231
30%
-5%
Growth YoY %
Exhibit 116: …while volumes declined 17% YoY
Sales volumes (msf)
149%
Growth YoY %
19.0 19.7
42% 34%
47% 44%
2% 2%
17% 6%
16%
-13%-17%
61%
28%
29%
44%
4%
15%
153 171 147 153 159 247 168 243 307 321 315
16.1 19.1 14.1 14.9 16.4 22.3 15.0 21.9 23.7 25.8 24.2
February 2025
63
 Motilal Oswal Financial Services
India Strategy | Review 3QFY25
Exhibit 117: Collections improved 28% YoY
Collections (INRb)
64%
181
115
136
34%
7%
0% 0%
113 123
161 136 156 163
181 191 208
123
18% 21%
Growth YoY %
Exhibit 118: Expect coverage stocks to deliver 28% YoY
growth in bookings
Bookings (INRb)
20%
61%
22% 148% -4%
39%
42% 4% 29% 32% 9%
22%
28%
FY24
FY25E
27%
33%
13%
33%
Exhibit 119: Estimate changes for our coverage universe
INR b
DLF
Godrej Properties
Macrotech
Oberoi Realty
Prestige Estates
Brigade
Sobha
Mahindra Lifespaces
Sunteck
Kolte Patil
Signature Global
FY25E
68
35
138
56
104
50
42
4
11
20
37
Old
INR b
DLF
Godrej Properties
Macrotech
Oberoi Realty
Prestige Estates
Brigade
Sobha
Mahindra Lifespaces
Sunteck
Kolte Patil
Signature Global
FY25E
14
2
37
33
28
16
6
-2
2
3
3
Old
INR b
DLF
Godrej Properties
Macrotech
Oberoi Realty
Prestige Estates
Brigade
Sobha
Mahindra Lifespaces
Sunteck
Kolte Patil
Signature Global
FY25E
26
14
22
24
8
8
3
1
2
1
3
FY26E
45
9
33
30
8
9
7
1
5
3
8
FY25E
15
14
22
24
8
8
1
1
2
1
3
FY26E
28
2
52
40
31
18
11
-1
6
6
10
FY25E
16
2
37
33
28
16
3
-2
2
3
3
Old
FY26E
75
36
181
69
114
50
50
5
21
30
52
FY25E
68
35
138
56
104
50
42
4
11
20
37
Revenue
New
FY26E
75
36
181
69
114
50
50
5
21
29
52
EBITDA
New
FY26E
26
2
52
40
31
18
8
-1
6
6
10
PAT
New
FY26E
43
18
33
30
8
9
5
1
5
3
8
Change
FY25E
0%
0%
0%
0%
0%
0%
0%
0%
0%
0%
0%
Change
FY25E
14%
0%
0%
0%
0%
0%
-49%
0%
0%
0%
0%
Change
FY25E
-42%
0%
0%
0%
0%
0%
-62%
0%
0%
0%
0%
FY26E
-3%
101%
0%
0%
0%
0%
-27%
0%
0%
-6%
0%
FY26E
-7%
0%
0%
0%
0%
0%
-26%
0%
0%
-5%
0%
FY26E
0%
0%
0%
0%
0%
0%
0%
0%
0%
-4%
0%
February 2025
64
 Motilal Oswal Financial Services
India Strategy | Review 3QFY25
Pre-sales
INR b
DLF
Godrej Properties
Macrotech
Oberoi Realty
Prestige Estates
Brigade
Sobha
Mahindra Lifespaces
Sunteck
Kolte Patil
Signature Global
Old
FY25E
181
270
178
73
260
85
85
30
25
35
101
FY26E
232
321
213
98
305
105
110
36
31
43
130
FY25E
238
270
178
100
201
85
69
30
25
31
101
New
FY26E
240
321
213
98
262
105
104
36
31
41
130
FY25E
31%
0%
0%
37%
-23%
0%
-19%
0%
0%
-12%
0%
Change
FY26E
4%
0%
0%
0%
-14%
0%
-5%
0%
0%
-3%
0%
INR b
DLF
Godrej Properties
Macrotech
Oberoi Realty
Prestige Estates
Brigade
Sobha
Mahindra Lifespaces
Sunteck
Kolte Patil
Signature Global
FY25E
102
218
125
60
152
56
66
22
17
25
62
Old
FY26E
137
263
144
76
218
78
76
31
24
34
94
Collections
New
FY25E
FY26E
101
165
218
263
125
144
60
76
130
165
56
78
58
70
22
31
17
24
23
33
62
94
Change
FY25E
-1%
0%
0%
0%
-15%
0%
-13%
0%
0%
-5%
0%
FY26E
21%
0%
0%
0%
-24%
0%
-9%
0%
0%
-5%
0%
RETAIL: No festive cheers as demand remains subdued
Apparel and grocery retail: No festive cheer; value retailers continued to outperform premium retailers
Demand trends saw some improvement during the festive period, but overall 3Q demand trends were weaker than
expectations as demand tapered off after the festive period. The aggregate revenue for the six apparel stocks in our
coverage grew 14% YoY (vs. 17% YoY in 2Q) to INR136b (~1% miss), driven largely by: 1) continued robust growth for
Trent (+37% YoY), and 2) continued growth momentum for V-mart (+16% YoY). Including DMart, the aggregate revenue
was up ~16% YoY (similar to ~16% YoY growth in 2Q) to INR290b (in line). Value retailers continued to outperform
premium retailers, with value retailers (V-Mart, Trent, DMart) reporting high single-digit to double-digit SSSGs and
premium retailers (ABFRL, SHOP, Vedant, and Raymond) reporting weaker growth trends. Store productivity/LFL growth
witnessed some improvement in 3Q at the aggregate level, as retailers focused more on improving store productivity
and closing unprofitable stores. Aggregate gross profit for grocery and apparel retailers was up 13% YoY (vs. 17% YoY in
2Q) to INR87b (2% miss) as gross margin contracted 70bp YoY (40bp miss), led by Trent (-124bp), Raymond (-290bp) and
DMart (-15bp). The aggregate EBITDA was up 12% YoY (vs. 14% YoY in 2Q) to INR35b (~3% miss) as aggregate margin
contracted 40bp YoY (25bp miss). Weaker margins for DMart (-55bp), Trent (-34bp), Vedant (-365bp), and Raymond (-
620bp) offset better performances by ABFRL (+150bp) and VMart (+325bp).
Footwear: Demand subdued; RM inflation and non-BIS inventory liquidation offset by strong cost control
The aggregate revenue for the four footwear stocks under our coverage grew ~3% YoY (vs. 4% YoY in 2Q) to INR28b (4%
miss), largely led by 9-11% YoY growth for Metro and Campus. Relaxo continued to underperform with a 6% YoY
revenue decline. Aggregate gross profit was up by a modest ~2% YoY (~7% miss), as gross margin contracted ~35bp YoY
(~135bp miss) on account of raw material inflation and non-BIS inventory liquidation. Bata and Relaxo witnessed ~10bp
YoY gross margin expansion, which was offset by sharper GM contraction for Metro and Campus. The aggregate EBITDA
grew ~12% YoY (6% miss), largely led by better performances by Metro and Campus (on a low base). Aggregate EBITDA
margin expanded ~180bp YoY (30bp miss), led by strong cost control.
February 2025
65
 Motilal Oswal Financial Services
India Strategy | Review 3QFY25
Retailers increase focus on boosting store productivity over store additions
The aggregate revenue for the 11 stocks in our retail coverage (apparel, grocery, and footwear) stood at INR318b,
growing 15% YoY (vs. 14% YoY in 2Q, 1% miss). The revenue growth during Q3 for our retail coverage was driven by
improvement in store productivity (+7% YoY vs 3.5% YoY in 2Q), as retailers rationalized unprofitable stores.
Net
store additions in 3QFY25 for the MOFSL retail sector stood at 171, bringing the total count to 12,486 stores (+4%
YoY), with additions mainly driven by Zudio (Trent), Raymond, and Metro.
Most retailers continued to focus on
improving store productivity and closing unprofitable stores. Retailers such as Metro and Vedant Fashions indicated
that they would go slow on store expansions, given the elevated store rentals and weaker demand environment.
Earnings downgrades continued in 3Q:
Given a weaker-than-expected festive quarter, we have cut our FY25-26E
EBITDA by 5-8% and PAT by 10-11% since the 2Q results. The earnings downgrades were broad-based across
footwear, apparel, and grocery retailers, with V-Mart and Campus the only outliers with marginal estimate
upgrades.
Top picks:
TRENT, DMart, and Metro Brands
Positive surprises:
ABFRL and VMart
Negative surprises:
Raymond Lifestyle, Vedant Fashions, Relaxo
Guidance highlights:
ABFRL:
Management’s focus was on consolidating unprofitable stores in FY25. However, it expects to roll out
300+ stores in the next 12 months across the ABLBL portfolio, with plans to accelerate value fashion play (to be
part of the demerged ABFRL) after the recent fund raise.
Shoppers Stop:
Management reiterated its guidance of ~5% LFL growth in 2HFY25 (delivered 4% LFL in 3Q),
driven by the wedding season. The company expects to sustain ~5% LFL over the medium term. It plans to open
32 stores in Q4 across all formats (6 Department/26 INTUNE). Further, the company aims to add gross 12-15
department stores (closure of 2- 3) and ~80-90 INTUNE stores in FY26.
Vedant Fashion:
Store expansion plans have been impacted by inflation in rentals. VFL aims to open the right
stores at the right prices as these are long-term commitments. However, over the longer term, management
expects stable store additions in line with its earlier guidance.
VMART:
Management expects to end the year with 50+ net store additions and some closures in 4Q. A one-time
correction on stores was implemented last year, and going forward, management expects only 1-2% closures
annually. It also highlighted that moving forward, it expects to implement price corrections on certain products,
with a greater focus on volume growth over margin expansion. Further, it indicated that margins are unlikely to
improve to pre-COVID levels due to higher competition from organized value retailers.
BATA:
Gross store additions during 3Q remained in line, while there was an aggressive focus on closing
unprofitable stores. Management indicated that store closures will continue for the next couple of quarters.
However, BATA intends to add 30-40 stores per quarter, including through franchises.
Campus Activewear:
Management reiterated its aspiration to improve EBITDA margins to 17-19% over the
medium term. Non-BIS inventory liquidation affected GM by 20-40bp in 3Q, which should further reduce to ~10-
20bp in 4Q. Non-BIS inventory still accounts for 10% of overall inventory. However, management expects to
clear majority of the non-BIS inventory by Mar’25.
Metro Brands:
Management expects to clock ~15-18% revenue CAGR over the long term, with gross margins in
the ~55% plus range and EBITDA in the ~30% plus range. Management indicated that its target of 100 store
additions for FY25 will likely be missed. However, it reiterated its guidance of opening ~225 stores over FY25-26,
with ~140-145 store additions expected in FY26 (ex-FILA).
Raymond Lifestyle:
Management expects margins to gradually recover to ~15% on a sustainable basis once the
headwinds and store expansions stabilize. The key margin driver will be an improvement in Branded Textiles
margin to 21-22%. Further, the company expects ~12-13% margins in the long run in the branded apparel
segment and double-digit margins in Garmenting.
February 2025
66
 Motilal Oswal Financial Services
India Strategy | Review 3QFY25
Exhibit 120: Aggregate revenue for retailers under our
coverage grew 15% YoY
Aggregate revenue (INR b)
26.0
24.7
28.7
25.8
16.2
14.4
14.7
Exhibit 121: Trent continued to outperform in 3QFY25
37%
17%
3%
9%
15%
2%
11% 9%
YoY growth (%)
8%
2%
-6%
Source: Company, MOFSL
Source: Company, MOFSL
Exhibit 122: Aggregate gross profit was up 11% YoY (vs. 16%
YoY in 2Q) as margins contracted 80bp YoY
Aggregate Gross Profit (INR b)
33.2
32.3
31.2
32.3
GM (%)
Exhibit 123: Gross margin contraction was driven by weaker
GMs for Trent, Raymond, and DMart
171bp
92bp
25bp 13bp
-44bp
-125bp
-291bp
10bp 31bp
32.3
32.4
31.7
-14bp
-124bp
Source: Company, MOFSL
Source: Company, MOFSL
Exhibit 124: Aggregate EBITDA grew ~12% YoY (vs. 12% YoY
in 2Q) as EBITDA margin contracted ~30bp YoY
Aggregate EBITDA
13.3
12.1
11.3
11.3
EBITDAM (%)
13.0
11.5
11.1
Exhibit 125: Aggregate PAT rose ~14% YoY (~8% YoY excl.
Trent)
Aggregate PAT (INR b)
109.4%
YoY growth (%)
19.4%
-16.2% -11.7%
10.2%
7.0%
13.9%
Source: Company, MOFSL
Source: Company, MOFSL
February 2025
67
 Motilal Oswal Financial Services
India Strategy | Review 3QFY25
Exhibit 126: Store additions moderated on rationalization of unprofitable stores by apparel retailers
Total Stores
2QFY24
3QFY24
ABFRL
4,056
4,753
DMART
336
341
SHOP
281
290
TRENT
661
715
VMART
437
454
Raymond Lifestyle
1453
1512
Vedant Fashion
669
673
Metro
817
840
Campus
240
250
Bata
1,781
1,835
Relaxo
394
399
Total coverage stores 11,125
12,062
QoQ net store adds
49
937
Note: Excluding Reliance Retail stores
4QFY24
4,664
365
306
811
444
1518
676
839
268
1,862
405
12,158
96
1QFY25
4,607
371
320
823
448
1539
662
854
275
1,916
399
12,214
56
2QFY25
4,538
377
341
831
467
1592
650
873
280
1,955
403
12,315
101
3QFY25
YoY
4,492
-5.5
387
13.5
345
19.0
907
26.9
488
7.5
1653
9.3
666
-1.0
895
6.5
290
16.0
1,953
6.4
410
2.8
12,486
3.5
171
Source: Company, MOFSL
QoQ
-1.0
2.7
1.2
9.1
4.5
3.8
2.5
2.5
0.7
-0.1
1.7
1.4
Retail - Jewelry: Robust revenue growth; moderation in margins
Jewelry companies continued to deliver robust sales growth, driven by
robust festive demand, wedding
purchases and higher gold prices.
Titan (Jewelry standalone), Kalyan, Senco and P N Gadgil delivered revenue
growth of 27%, 40%, 27% and 24%, respectively. SSSG of Titan, Kalyan and Senco was 22%, 24%, and 16%,
respectively. There was an improvement in the studded mix across the companies, except for Senco. The
reduction in customs duty resulted in an inventory loss of INR2.5b for Titan, INR548m for Kalyan, and ~INR276m
for Senco, which hurt the reported profitability of companies. Demand was robust in Jan’25, though there was
softness in the last 7-10 days due to a sharp rise in gold prices. Our top picks are Titan, and PN Gadgil.
Outperformer (3Q) – PN Gadgil Jewellers, Kalyan Jewellers
Underperformer (3Q): Senco Gold
Guidance highlights:
TTAN:
The company expects EBIT margin of 11% to 11.5% for FY25. Gold lease rates are rising due to US tariff-
related changes, leading banks to increase lease costs. The company is monitoring this closely. GC margin
dilution in studded jewelry was due to a shift in the gold-to-diamond ratio within diamond jewelry amid rising
gold prices and stable diamond prices. TTAN plans to offset this through better material sourcing and cost
efficiencies
Kalyan Jewelers
– In FY26, Kalyan plans to launch 170 showrooms across Kalyan and Candere formats - 75 Kalyan
showrooms (all FOCO) in non-south India, 15 Kalyan showrooms (all FOCO) across south India and international
markets and 80 Candere showrooms in India.
Senco:
The company maintains its revenue growth guidance of 18-20% and remains on track to open 18-20 new
stores in FY25, having already launched 12 stores YTD. An additional 8-10 stores are planned in 4Q, including 5-7
franchised outlets.
P N Gadgil:
In FY26, the company plans to add 25 stores, including a mix of COCO, FOCO, and Lifestyle by PNG
formats. The expansion plan includes 8 COCO stores, 7 FOCO stores, and 10 ‘LiteStyle by PNG’ stores (split
equally between COCO and FOCO), along with two stores in the US.
TECHNOLOGY: Anticipating a steady demand recovery in selected pockets
Aggregate performance:
The IT Services companies under our coverage presented a mixed picture in a
seasonally weak quarter, with a median revenue growth of 1.8% QoQ CC in 3QFY25 (vs. 2.0%/1.2%/0.7% in
2QFY25/1QFY25/4QFY24). Guidance upgrades by major companies were disappointing, i.e., INFO guidance
implies a QoQ decline of ~1.0% in 4Q and HCLT guidance implies ~0.6% 4Q CC QoQ growth for ITB&S. We believe
that after 3Q results, revenue expectations for FY26/FY27 have been pared back across the Street. However, the
commentary in some pockets turned incrementally positive. We believe the tech spending recovery, which was
previously driven primarily by BFSI over the past six months, is now expanding into other verticals such as Hi-
Tech and Retail. This quarter, deal win trends indicate a gradual rebound in shorter-term deals, signaling a
return of discretionary spending by clients and setting the stage for an improved revenue conversion. The
68
February 2025
 Motilal Oswal Financial Services
India Strategy | Review 3QFY25
softness in some verticals and geographies continued in 3QFY25, with Communications and Manufacturing
reporting muted growth. We believe the cycle is gradually turning (might not be a J-curve recovery) as clients are
beginning to reinvest their savings from cost-reduction programs to reduce technological debt.
Tier-2 pack outpaced tier-1:
Tier-1 companies saw a median revenue growth of 1.5% QoQ CC, while tier-2
companies reported a growth of 2.8% QoQ CC, driven by strong performance by Coforge (8.4% CC QoQ growth)
and Persistent (4.6% QoQ CC). WPRO (0.1% QoQ CC), MPHL (0.1% QoQ CC) and ZENT (0.7% QoQ CC) reported
muted growth. HCLT (+3.8% QoQ CC in seasonally strong quarter) and Coforge (+8.4% QoQ CC vs. 4.9% est.)
outperformed their peers with strong executions in 3Q. On the margin front, tier-1 and tier-2 companies both
reported ~20bp QoQ expansion. The margin expansion for Tier-1 was majorly attributed to productivity
efficiencies, seasonality in P&P margins (HCLT), deferred wage hikes (INFO), and improved utilization and
offshoring. For Tier-2, the margin expansion came from stronger margin performance in 2H for LTTS, better-
than-expected Cigniti’ s margins (COFORGE), and growth leverage.
Steady TCV performance:
A
majority of Tier-1 companies reported stable TCV performance, except for LTIM/TCS
(up 29.2%/18.6% QoQ). Tier-2 companies also reported robust growth in TCV, with MPHL posting a growth of
69.6% QoQ and five large deals. TCS reported a deal TCV of USD10.2b, up 18.6% QoQ and 25.9% YoY. LTIM’s
order inflows stood at USD1.68b, up ~30% sequentially. TECHM reported robust net new TCV of USD745m, up
23% QoQ/95% YoY. Within Tier-2, MPHL’s TTM TCV was USD351m, up 70% QoQ and 46% YoY. COFORGE’s order
intake was USD501m – the second consecutive quarter of USD500m+ order intake. It signed four large deals
during the quarter. The 12-month executable order book stood at USD1.3b, up 40% YoY. The 3Q book-to-bill was
decent at ~1.0x for Tier-1 firms and ~1.3x for Tier-2 players.
Headcount movement:
Hiring activity was muted in 3Q; the net headcount declined by ~250 for Tier-1, while
Tier-2 saw a net addition of ~600. The attrition rate remained range-bound at lower levels for a majority of
companies, while utilization also remained stable QoQ, except for PSYS and LTIM.
For
PSYS, utilization stood at
87% (up 260bp QoQ) and we believe this margin lever is now maxed out.
Top picks:
We prefer LTIM and HCLT among large-caps and COFORGE and PSYS in the mid-cap space. Our
positive outlook on LTIMindtree is based on its best-in-class offerings in data and ERP modernization, with a
recovery in US banks' discretionary spending expected to further support its growth. We believe HCLT’s
diversified portfolio is well-positioned. Often perceived as defensive, its strengths in data, product engineering,
and modernization should enable it to benefit from the recovering demand environment. We believe Coforge’s
healthy executable order book and a rebound in BFS client spending bode well for its organic business. Cigniti
could prove to be an effective long-term asset. Persistent Systems, with its strong product engineering
background, remains the fastest-growing IT services company in our coverage and is well-positioned to benefit
from the long-term GenAI investments.
Significant beat:
INFO (revenue growth and margin), LTIM (margin), TECHM (revenue growth and margin),
Coforge (revenue growth), Persistent (revenue growth and margin)
Significant miss:
TCS (revenue growth), LTTS (revenue growth)
Significant surprise:
Cyient (downgraded revenue and margin guidance)
Rating changes and major EPS upgrades/downgrades:
TECHM’s FY26/FY27 EPS estimates were upgraded by
1.7%/6.3%. CYL’s DET business FY25/FY26/FY27 EPS estimates were cut by 9%/12%/16%. For COFORGE/ZENT,
their FY25 EPS estimates were upgraded by 5.4% each. We downgraded CYL to Sell while maintaining unchanged
ratings for other stocks in our coverage universe.
Guidance highlights
TCS:
TCS is seeing improvement in discretionary spending. Client conversations are showing early signs of revival
in discretionary spending. The company notices that deal cycles have shortened by a few weeks in 3Q compared
to the last quarter, indicating improved decision-making cycles by clients. The company expects to compensate
for BSNL revenue in multiple geographies in CY25. Growth will be driven by core markets and regional markets
outside India. The manufacturing sector is expected to bottom out in 4Q. Life sciences and healthcare sectors,
which are waiting for policy clarifications, should start performing better as near-term headwinds subside. The
margin aspiration of 26-28% in the near term remains intact. In 4Q, margin expansion is expected to exceed 3Q
levels.
February 2025
69
 Motilal Oswal Financial Services
India Strategy | Review 3QFY25
INFO:
For Infosys, clients continue to prioritize cost take-out over discretionary spending. The company has
observed strong momentum in BFSI, with Europe joining the growth trajectory alongside the US. It is also seeing
good traction in the US retail sector. The revenue growth guidance has been upgraded to 4.5-5.0% from the
earlier range of 3.75-4.5%. Furloughs are expected in 4Q. Factors such as third-party pass-through and fewer
working days in 4Q have been considered in the guidance. Wage hikes will be implemented in two phases,
starting in Jan’25 and followed by the second phase in Apr’25. Wage growth in India is expected to be 6-8%,
while overseas growth will be in the low single digits.
WPRO:
Wipro observed that many clients are currently in the budgeting phase, with ongoing discussions to
finalize agreements. Client hunting and account mining remain strategic priorities for WPRO. Discretionary
spending in the Americas is evident in BFSI, though it is not widespread at this point. 4Q guidance was in the
range of -1% to 1% in CC. Growth in the last two quarters has been above the midpoint of guidance. For 4QFY25,
margins are expected to remain in a narrow band (+/- 17.5%), with no significant headwinds anticipated.
HCLT:
HCLT anticipates increased technology spending in CY25, driven by transformation and efficiency-related
initiatives. Discretionary spending is expected to improve overall. For FY25, the revenue growth guidance has
been upgraded to 4.5%- 5.0% YoY cc (including ~50bp contribution from the HPE CTG acquisition, with organic
growth at 4.0%-4.5%) from the earlier range of 3.5%-5.0%. EBIT margin guidance is unchanged at 18% to 19%.
TECHM:
TECHM is focused on enhancing its capabilities and optimizing its revenue mix to achieve better pricing
outcomes. The outlook for discretionary spending in manufacturing is conservative, reflecting softness in the
sector. Wage hikes planned for 4QFY25 could impact margins by 100-150bp. Levers for margin improvement are
better pricing, improved performance in fixed price contracts, reduced seasonality in the Comviva business, and
lean automation in fixed-price contracts to enhance cost efficiency.
LTIM:
Growth momentum continued in 3Q, building on trends from the last few quarters, and is expected to
continue in 4Q. The company recorded YoY growth across all verticals, with notable traction in BFSI. FY26 is
projected to be better than FY25. Clients are in the process of finalizing their budgets for CY25. There are specific
short-cycle deals, such as regulatory deals in BFS, alongside some discretionary spending in this vertical. Margins
are expected to improve in FY26, assuming double-digit revenue growth, which remains the biggest lever for
margin expansion. The absorption of wage hikes may take 2-3 more quarters in the current environment.
Exhibit 128:
Tier-2 continued to post mid-teen growth for the
second consecutive quarter
Tier II Revenue Growth (USD, YoY %)
17.8%
14.3%
Exhibit 127: For Tier-1 companies growth slowed down in
seasonally weak quarter
Tier I Revenue Growth (USD, YoY %)
10.9%
8.9%
6.8%
4.4%
2.5%
0.8% 0.4%
12.6%
10.1%
12.3%
7.8% 6.7% 6.7% 7.6%
6.1%
4.3%
1.9%
3.3%
Exhibit 129: Tier-1 and Tier-2 continue to show marginal improvements in EBIT margins
Tier I EBIT Margin (%)
20.4
14.6
20.1
15.4
19.9
14.8
14.7
20.1
14.9
Tier II EBIT Margin (%)
20.1
15.0
19.9
14.2
20.1
13.8
20.3
14.0
19.2
Source: Company, MOFSL
February 2025
70
 Motilal Oswal Financial Services
India Strategy | Review 3QFY25
Exhibit 130:
Median utilization (%) declined 90bp in 3Q due to
furloughs impact
IT Sector - Median Utilization (incl. trainees %)
82.9%
83.9%
84.6%
83.5%
Exhibit 131: Median attrition (%) inched up by 30bp in 3Q
IT Sector - Mediam Attrition (%)
21.7%
81.5%
81.8%
81.9% 81.6%
79.7%
19.8%
17.3%
14.6%
12.9% 12.5% 12.7% 12.9% 13.2%
Figures excl. LTTS. from 1QFY23; MPHL (Offshore); Source:
Company, MOFSL
Figures exclude MPHL; Source: Company, MOFSL
TELECOM: Growth sustained led by residual flow-through of tariff hikes; Bharti continued to outperform
Growth momentum sustained in 3Q, driven by the residual flow-through of tariff hikes and normalization of
subscriber trends. The combined wireless revenue for three private telcos grew 4% QoQ (15% YoY, inline). Blended
wireless ARPU for the three private telcos was up 5% QoQ (+15% YoY), while subscriber trends showed improvement
with ~1m net adds (vs. 21m decline in 2Q). EBITDA for private telcos was up ~6% QoQ (+21% YoY, in line), driven by
healthy ~80% incremental margins. Among private telcos, Bharti was again the biggest gainer in 3QFY25, with a
~80bp QoQ gain (~225bp YoY) in Revenue Market Share (RMS) and ~45bp QoQ (+105bp YoY) Subscriber Market
Share (SMS) gains. RJio lost a further ~50bp QoQ (-70bp YoY) RMS, while its SMS was up by a modest ~10bp QoQ (up
50bp YoY) in 3Q. Vi continued to lose market share, with RMS down ~30bp QoQ (-160bp YoY) and SMS down ~50bp
QoQ (-155bp YoY). We believe the bulk of the tariff hike benefits are now reflected, with additional ARPU growth
likely to be driven by subscriber mix improvements. Vi commenced its network expansion in 3Q and expects to
invest ~INR500-550b over the medium term. With the completion of accelerated 5G rollouts, we expect wireless
capex to moderate further for Bharti and RJio, with the focus now shifting to driving greater adoption of home
broadband through accelerated fiber rollouts and the scale-up of FWA offerings.
Residual tariff hike flow-through continues to drive growth; Bharti once again the biggest gainer
Driven by the residual flow-through of tariff hikes, the blended wireless ARPU of private telcos was up ~5% (after a
~8% QoQ uptick in 2Q). Bharti led once again with ~5% QoQ growth, followed by ~4-4.5% QoQ increase for RJio and
Vi. The subscriber migration to BSNL, following tariff hikes, appears to be reversing now. The combined reported
subscriber base for private telcos grew by a modest ~1m (vs. ~21m net decline in 2Q), with Bharti reporting robust
~5m net adds, followed by ~1.3m for RJio. Vi continued to lose subscribers in 3Q. However, management indicated
signs of improvement in Dec’24 and Jan’25, with VLR net adds in 11 circles. Following the ~8% QoQ increase in 2Q,
the combined wireless revenue of private telcos rose ~4% QoQ, with Bharti once again leading with ~6% growth,
followed by 3% for RJio and 2% for Vi. Bharti gained an additional ~80bp QoQ in revenue market share, with
incremental RMS of 62% in 3Q (vs. ~53% incremental RMS in 2Q and overall RMS of ~41.4%) among private telcos.
Robust incremental margin drives 6% sequential growth in combined EBITDA for three private telcos
Driven by tariff hike flow-through, the incremental margin for private telcos improved to ~80% (from 70% QoQ). As a
result, combined EBITDA grew ~6% QoQ (~21% YoY), with Bharti once again leading with ~9% growth, followed by
4% growth for Vi and 3% for RJio. Driven by astonishing 90% incremental margins, Bharti’s wireless EBITDA margin
expanded by further ~180bp QoQ. Vi followed with ~75bp QoQ EBITDA margin expansion driven by lower costs,
while EBITDA margin declined QoQ by ~25bp for RJio (for the first time since 1QFY23). We note that Bharti’s
reported India wireless EBITDA is now largely similar to RJio’s standalone EBITDA, which also includes the
contribution from the home broadband business.
February 2025
71
 Motilal Oswal Financial Services
India Strategy | Review 3QFY25
Vi commences its investment phase; leverage ratio dipped sharply for Bharti
Vi’s capex increased sharply to INR32b (vs. INR14b QoQ) as it rolled out ~4k MBB towers (its highest since the
merger). Further, management has guided for a capex of INR100b in FY25(vs. INR53b in 9M) and ~INR500-550b
over the medium term.
Bharti’s India capex (excl. Indus) declined ~12% YoY, largely on the completion of accelerated 5G rollouts.
Management reiterated its guidance of FY25 capex (INR199b in 9M) to be lower than FY24 (INR330b), with a
further unwind anticipated in FY26.
Driven by robust FCF generation, Bharti’s consolidated net debt (excl. leases) declined by INR74b QoQ (INR110b
excluding the Indus Towers’ consolidation impact) to INR1.34t, with India net debt (excl leases) to EBITDAaL
improving to 1.3x (vs. 2.1x YoY).
On the other hand, Vi’s net debt (excl. leases) increased by INR55b QoQ to INR2.17t. However, its banking debt
declined further to a modest ~INR23b (vs. INR77b YoY).
FCF generation picked-up sharply for Indus Towers:
3Q reported financials were ahead of our estimate, driven by
the higher-than-expected prior-period bad debt provision reversal (INR30b vs. our estimate of INR12.5b).
Operationally, core performance was in line, with Indus’ recurring EBITDA rising 4% QoQ as tower/tenancy additions
picked up on account of higher share in Bharti’s rollouts and the commencement of Vi’s rollouts. Indus’ 9M FCF
stood at INR60b (of which INR27.5b was used for buyback in 1H). Given the large collection of Vi’s past dues in
Jan’25, we expect Indus’ FCF to sustain at elevated levels in 4Q, which should enable the company to declare an
INR20+/share dividend for FY25.
TCOM’s subdued performance continued:
TCOM’s data revenue grew 1% QoQ (+6% YoY), with core connectivity
revenue declining ~1% QoQ (+3% YoY), while the digital portfolio revenue grew ~4% QoQ (+10% YoY). Adjusted
consolidated EBITDA margin expanded ~150bp QoQ (-65bp YoY) to 20%, driven by seasonality benefits in Kaleyra
and the deconsolidation of TCPSL and NetFoundry. Reported financials were also boosted by INR0.3b in prior-period
revenue recognition and rupee depreciation; adjusting the same, growth in the core business remained subdued.
Top picks:
BHARTI, RIL
Positive surprises:
Bharti Airtel, Airtel Africa
Negative surprises:
Reliance Jio, Tata Communication
Guidance highlights:
RJio:
After ~13m wireless subscriber declines in 2Q, subscriber net adds picked up towards the exit month
(Dec’24). According to the management, the full impact of the tariff hike is still to play out for RJio. 70%+ of
incremental JioAirFiber additions are coming from beyond the top 1,000 cities/towns, and the overall pace of
home connects for RJio continues to accelerate, with a total installed base of ~17m (~2m adds in 3QFY25).
Bharti:
The management reiterated its guidance for the FY25 India capex (INR199b in 9M) to be lower than FY24
(INR330b). India’s capex is likely to further unwind in FY26, with capex as a percentage of revenue trending
lower and soon aligning with global telcos. Bharti added 674k users in Home Broadband through a combination
of FTTH/FWA. Further, management indicated that the broadband business is seeing increased momentum
MoM, with Jan’25 ending better than Dec’24. Management believes that the Indian fixed broadband market size
can potentially double from ~45m to 80-90m homes over the medium term.
Vi:
Management indicated that the benefits of tariff hikes are largely reflected in 3Q (~12% customer ARPU
growth since 1Q). It expects another round of tariff hike soon (possibly in the next 3-6 months). Further, there
are some green shoots from network rollouts, with VLR net adds in 11 circles in Dec’24 and Jan’25.
TCOM:
Management indicated that funnel additions remained robust, especially in the international business,
with the large deals funnel growing 50% YoY. However, the pace of order-booking was slower in 3Q (as
compared to 1HFY25) as the large deal conversion cycle remains elongated.
Indus:
Tower and tenancy additions improved due to a pickup in rollouts by Bharti and Vi. The order book
remains healthy for the next 3-4 quarters and management expects to maintain a dominant share in Vi’s
network rollouts.
February 2025
72
 Motilal Oswal Financial Services
India Strategy | Review 3QFY25
Exhibit 132: Subscriber trends improved for the industry in
3Q
Bharti (India)
Vi
RJio
Exhibit 133: Bharti continued to outperform peers on ARPU
growth
Bharti (India)
Vi
RJio
FY23
FY24
FY25
FY23
FY24
FY25
Exhibit 134: Wireless KPI comparison
1Q
EOP Wireless SUBS (m)
Bharti (India)
Idea
RJio
Avg. Wireless Subs (m)
Bharti (India)
Idea
RJio
ARPU (INR/month)
Bharti (India)
Vi
RJio
MOU/Sub (min)
Bharti (India)
Idea
RJio
Wireless traffic (B min)
Bharti (India)
Idea
RJio
Data usage/Sub (Gb)
Bharti (India)
Idea
RJio
Data traffic (B Gb)
Bharti (India)
Idea
RJio
321
255
441
321
262
433
146
104
138
FY22
2Q
3Q
323
253
430
322
254
435
153
109
144
323
247
421
323
250
425
163
115
152
4Q
326
244
410
324
246
416
178
124
168
1Q
327
240
420
327
242
415
183
128
176
FY23
2Q
3Q
328
234
428
328
237
424
190
131
177
332
229
433
330
232
430
193
135
178
4Q
335
226
439
334
227
436
193
135
179
1Q
339
221
449
337
224
444
200
139
181
FY24
2Q
3Q
342
220
460
340
221
454
203
142
182
346
215
471
344
218
465
208
145
182
4Q
352
213
482
349
214
476
209
146
182
FY25
2Q
1Q
355
210
490
353
211
486
211
146
182
352
205
479
353
208
484
233
156
195
3Q
357
200
482
354
202
480
YoY QoQ
(%) (%)
3.2 1.4
-7.2 -2.5
2.4 0.7
3.0 0.3
-6.9 -2.5
3.3 -0.8
245 18.0 5.3
163 12.4 4.5
203 11.9 4.2
2.2
1.1
3.6
1,044 1,053 1,061 1,083 1,104 1,082 1,094 1,122 1,138 1,123 1,127 1,158 1,128 1,135 1,160 3.0
642 629 620 614 620 601 611 623 626 613 615 626 607 586 593 -3.5
815 835 901 962 1001 968 984 1004 1002 979 981 1008 974 977 1013 3.2
1,002 1,020 1,030 1,051 1,079 1,063 1,082 1,124 1,149 1,148 1,161 1,210 1,195 1,200 1,233 6.2 2.8
504 480 465 452 450 428 424 425 420 406 401 402 385 365 360 -10.2 -1.4
1060 1090 1150 1200 1246 1230 1270 1313 1335 1334 1370 1440 1420 1420 1460 6.6 2.8
18.5 18.6 18.3
13.0 13.2 12.5
15.6 17.6 18.4
10.3 10.7 10.8
5.5 5.5 5.2
20.3 23.0 23.5
18.8
12.6
19.7
11.3
5.2
24.6
19.5
13.0
20.8
12.0
5.4
25.9
20.3
13.7
22.2
12.9
5.7
28.2
20.3 20.3
13.9 13.9
22.4 23.1
13.2 13.6
5.8 5.8
29.0 30.3
21.6
14.4
24.9
15.3
6.0
33.2
22.2 22.5
14.6 14.2
26.6 27.3
16.1 16.8
6.1 6.0
36.3 38.1
23.1
14.3
28.6
17.8
6.0
40.9
24.3
14.5
30.3
19.2
6.1
44.1
24.5
14.4
31.0
25.1 11.6 2.5
14.2 -0.4 -1.2
32.3 18.2 4.2
19.8 20.7 23.2 4.5
6.0
5.9 -2.4 -2.2
45.0 46.5 22.0 3.3
Source: MOFSL, Company
February 2025
73
 Motilal Oswal Financial Services
India Strategy | Review 3QFY25
Exhibit 135: Financials
1Q
Revenue (INR b)
Bharti (India wireless)
Bharti (consolidated)
Idea
RJio
EBITDA (INR b)
Bharti (India wireless)
Bharti (consolidated)
Idea
RJio
EBITDA Margin (%)
Bharti (India wireless)
Bharti (consolidated)
Idea
RJio
Reported PAT (INR b)
Bharti (consolidated)
Idea
RJio
EPS (INR)
Bharti
Idea
143
269
92
180
70
130
37
86
49.2
48.3
40.5
47.9
FY22
2Q
3Q
152
283
94
187
75
138
39
90
49.2
48.8
41.1
48.0
161
299
97
193
79
147
38
95
49.4
49.2
39.3
49.2
4Q
175
315
102
209
89
160
46
105
50.6
50.9
45.4
50.3
1Q
181
328
104
219
93
165
43
110
51.1
50.4
41.6
50.1
FY23
2Q
3Q
189
345
106
225
99
176
41
115
52.3
51.0
38.6
51.0
194
358
106
230
104
185
42
120
53.8
51.5
39.4
52.2
4Q
195
360
105
234
105
187
42
122
53.8
51.9
40.0
52.2
1Q
204
374
107
240
112
196
42
126
54.8
52.3
39.0
52.3
FY24
2Q
3Q
210
370
107
248
115
195
43
130
54.9
52.7
40.0
52.3
216
379
107
254
119
198
44
133
55.1
52.3
40.8
52.3
4Q
221
376
106
260
122
194
43
136
55.1
51.5
40.9
52.4
FY25
1Q
2Q
225
385
105
265
125
197
42
139
55.6
51.2
40.0
52.6
248
415
109
283
142
218
45
150
57.1
52.7
41.6
53.1
3Q
263
451
111
293
155
246
47
155
58.8
54.5
42.4
52.8
YoY
(%)
21.4
19.1
4.2
15.5
29.6
24.1
8.3
16.6
374bps
222bps
163bps
48bps
QoQ
(%)
5.8
8.8
1.7
3.4
9.1
12.6
3.6
2.9
179bps
183bps
77bps
-25bps
311.4
-7.9
3.9
311.3
-7.8
2.8 11.3 8.3 20.1 16.1 21.5 15.9 30.1 16.1 13.4 24.4 20.7 41.6 35.9 147.8 505.2
(75.0) (71.5) (72.2) (65.5) (73.0) (76.0) (79.9) (64.0) (78.4) (87.4) (77.4) (76.7) (64.3) (71.8) (66.1) -14.6
35.0 35.3 36.2 41.7 43.4 45.2 46.4 47.2 48.6 50.6 52.1 53.4 54.5 62.3 64.8 24.4
0.5 2.1 1.5 3.6 2.9 3.8 2.8 5.3
2.8 2.4 4.3 3.6 7.2 6.2 25.5 497.7
(2.5) (2.5) (2.5) (2.0) (2.3) (2.4) (2.5) (1.3) (1.6) (1.8) (1.4) (1.6) (1.0) (1.0) (1.0) -34.0
Source: MOFSL, Company
UTILITIES: 3QFY25 – a mixed bag; TPWR and IEX beat our PAT estimates
Overall performance:
For our coverage universe, revenue was 8% below our estimates (mainly due to a 20%/
28% miss for JSWE/TPWR), EBITDA was 6% below (mainly due to a 28%/14% miss for JSWE/TPWR), while adj.
PAT (APAT) was only 3% below our estimates (due to an 18%/16% beat for TPWR/IEX).
Overall, a mixed 3Q with TPWR and IEX surpassing our PAT estimates:
IEX’s
standalone revenue and PAT both
surpassed our estimate, primarily due to a 15.9% YoY rise in electricity volumes and other income. IEX saw
strong volume growth in Q3, with overall volumes up 17% year-over-year, including a 15.9% rise in electricity
and a 31% surge in renewables.
NTPC’s
standalone revenue and EBITDA came in line with our estimate. PAT was
marginally below due to higher-than-expected tax rates, previous year adjustments, and changes in regulatory
account balances. Gross generation was up 2% YoY in 3QFY25, while plant availability across both coal and gas
plants improved on a YoY basis.
TPWR’s
EBITDA came in 4% below our estimate but was up 38% on a YoY basis
driven by robust growth in the standalone business amid strong PLFs and regulatory upside in Mundra and rising
contribution from the renewables business amid progressive commissioning of renewable generation capacity
and earnings contribution from the cell and module business. Profitability at the PAT level was driven by other
income, which came in higher than our estimates.
JSWE
substantially missed our EBITDA estimates due to lower
short-term merchant spreads and higher opex, while APAT was adversely impacted by higher finance costs and
lower other income. The commissioning of the 377MW wind capacity during the lean season led to higher
capitalization, finance costs, and depreciation.
PWGR’s
reported SA PAT was in line, aided by higher other
income (partly attributable to the gain on the monetization of the remaining stake in some InvIT assets), while
on a consolidated basis, its reported PAT was flat YoY.
Ratings and earnings revisions:
TPWR –
While the 3QFY25 APAT was above our expectations, overall, we
trimmed our FY26-27 EPS by 7%/7%, mainly due to a slower-than-expected pace of commissioning in the RE
generation business.
PWGR –
Following the 3QFY25 results, we moderate our DPS estimates to INR9.0/INR10.0/
INR13.5 for FY25/FY26/FY27.
JSWE –
Considering the weak financial performance, we cut our FY25 APAT by ~5%.
However, we believe the core story remains intact, and the company is on track to nearly double its capacity to
~14GW by Jun’25 (assuming the KSK Mahanadi and O2 Power acquisitions are consummated).
Top picks:
JSWE and PWGR
remain our preferred picks.
Surprises:
TPWR and IEX.
February 2025
74
 Motilal Oswal Financial Services
India Strategy | Review 3QFY25
Misses:
JSWE,
PWGR and NTPC.
Guidance highlights:
JSWE:
Management maintained its guidance of achieving 10GW in operational capacity by FY25 end and
highlighted that the company has 7.8GW of projects under construction with PPAs, while an additional 3.9GW
capacity is awaiting PPA agreements. Management also highlighted that the company has incurred a capex of
INR62b during 9MFY25 while the FY25 capex target was revised to INR100b from the earlier estimate of INR150b
due to the inorganic growth route. JSWE remains hopeful of consummating both the KSK Mahanadi and O2
Power acquisitions by 2QFY26. The company is on track to achieve 14GW of operational capacity by Jun’25, well
ahead of its 2030 target of becoming a 20GW generation company. JSWE has appealed CERC’s decision to reject
the tariff adoption for its BESS project and remains optimistic.
PWGR:
Management raised its FY25 capex guidance to INR230b (from INR200b), capex and capitalization for
FY26 were guided at INR280-300b, while the same for FY27 was guided at INR350b. Management guided that
the dividend payout may see some moderation given mounting capex. It was highlighted that currently
~INR520b worth of projects are under bidding. Assuming a project win rate of ~50%, about INR250-270b worth
of projects are likely to be won by PWGR, in addition to the current work in hand (at INR1.43t). This would take
the total value of projects to INR1.7t.
NTPC:
Management guided the conventional capacity (thermal + hydro) commissioning targets at
3GW/2.2GW/1.9GW in FY25/FY26/FY27 and is actively considering the awarding of 7.2GW of thermal capacity
by FY27 (all of this would be under JVs). The expansion would primarily be brownfield in nature, with no recent
developments in greenfield thermal projects. NGEL aims to achieve an RE capacity target of 60GW by FY32 with
plans to commission 3,088 MW of RE capacity in FY25, 5GW in FY26, and 8GW in FY27. Resources for FY25 and
FY26 RE capacity commissioning, including land, are in place. NTPC also established Anushakti Vidyut Megham
Limited, a JV with NPCIL, to develop nuclear projects and transferred the 2,800 MW Mahi Banswara Atomic
Power Project to the JV.
TPWR:
Management has highlighted that INR120b was spent in 9MFY25, with an additional INR100b planned for
4QFY25, bringing the total to ~INR220b for FY25. The company has a target of commissioning 600 MW in
4QFY25 with plans to add 2-2.5GW annually in FY26 and FY27, comprising solar and wind capacity, and is
targeting a 70% clean energy mix by FY30 (currently at 43%). The 2GW Solar Cell Line, commissioned in Nov’24,
is operating at 90% capacity. An additional 2GW Cell Line, commissioned in Jan’25, is undergoing stabilization
and is expected to be fully operational by Feb’25. The company is actively exploring new bidding opportunities
for DISCOM privatization across India, including UP DISCOMs, under a potential public-private partnership
model. TPWR is also evaluating opportunities in the nuclear space.
IEX:
Management highlighted that gas prices are projected to decline to USD8-9/MMBTU by 2026-27, enhancing
affordability and consumption, and emerging models, such as battery storage arbitrage and Virtual Power
Purchase Agreements (VPPAs), are expected to drive market evolution. Pending approvals for the 11-month
contract and the Green RTM market are expected to enhance trading opportunities. Plans are underway to
establish India’s first coal exchange by 2025 under a regulatory framework.
Exhibit 136: Key snapshot
Particulars
Total generation growth (%)
Conv. Generation growth (%)
RE generation growth (%)
All India Peak Demand (GW)
Capacity addition (GW)
Net Coal
Solar
Wind
Total capacity addition
FY18
5.4
4.1
24.9
161
6.0
9.4
1.8
17.2
FY19
5.2
3.6
24.4
176
3.6
6.5
1.6
12.1
FY20
0.7
0.0
7.8
183
4.1
6.4
2.1
14.0
FY21
-0.6
-1.6
7.7
189
4.2
5.5
1.6
12.0
FY22
8.1
7.1
16.2
201
1.4
13.9
1.1
17.3
FY23
9.0
7.7
19.1
212
1.2
12.8
2.3
16.6
FY24
7.2
6.7
10.9
240
5.7
15.0
3.3
25.9
1QFY25
10.9
11.5
7.0
250
2QFY25
1.3
0.3
7.3
230
3QFY25
3.4
2.3
11.4
224
0.0
0.1
1.4
3.7
5.3
7.1
0.8
0.7
0.8
4.2
6.5
9.4
Source: NPP, CEA, MOFSL
February 2025
75
 Motilal Oswal Financial Services
India Strategy | Review 3QFY25
Exhibit 137: India’s power generation
India's Power generation (BU)
9.4 5.3
-9.2
10.2
3.1 6.7 2.2 -1.6
12.2
-10.4
-1.2
-19.6
3.9
11.1
-7.1
Addition in Power generation (BU)
12.5
5.6
12.5
1.3
-5.1 -2.6
-5.8
-4.2
-19.3
9.1
Source: NPP, CEA, MOFSL
Exhibit 138: India’s power generation capacity (GW)
India's Power generation capacity (GW)
Source: NPP, MOFSL
Exhibit 139: India’s peak demand
Peak Demand (GW)
Source: CEA, MOFSL
Exhibit 140: India’s power demand growth
8%
9%
Total Generation including RE (BU)
9%
9%
8%
7%
6% 6% 5% 5%
5%
4%
1%
Exhibit 141: Peak demand growth
Peak Demand (GW)
153
148
160
164
177
184
190
203
216
243
5%
119
122
130
136
135
-1%
Source: NPP, CEA, MOFSL
Source: CEA, MOFSL
February 2025
76
 Motilal Oswal Financial Services
India Strategy | Review 3QFY25
ANNEXURE:
MOFSL UNIVERSE (ACTUAL V/S EXPECTATIONS)
Sales (INR b)
EBITDA (INR b)
Gr (%)
Var. over
Gr (%)
Var. over
Dec-24 YoY QoQ
Exp. (%) Dec-24 YoY QoQ Exp. (%) Dec-24
3,195.5 7.2
5.7
-1.3
405.9 -0.9 4.9
-4.8
233.8
31.6
9.8
0.9
-0.2
4.2
-4.4 -5.6
-8.3
2.3
69.3
5.0
7.6
2.3
9.5
-21.6 7.9
-4.3
3.4
94.8
2.2
8.1
4.7
12.1
8.8 19.1
14.8
7.6
128.1
5.7
-2.4
-1.7
25.8
6.2 -2.7
-0.1
21.1
25.7
11.0
4.3
2.0
6.4
8.9
3.3
1.8
4.4
21.0
-7.4
-6.7
-13.1
6.1
-5.5 -2.5
-9.0
3.5
44.7
6.2
1.6
-1.7
5.8
0.7
3.9
-3.9
4.9
33.0
11.4 -0.1
-1.4
3.4
-18.3 -5.9
-3.0
1.0
15.8
39.5 29.8
-7.2
2.0
-9.6 3.2
1.8
0.2
49.7
19.0 16.7
-1.3
12.0
10.2 10.4
-8.2
11.7
28.6
11.6 -1.8
-2.5
3.7
24.6 -2.5
-4.3
1.8
29.4
8.5
29.6
-5.7
3.4
3.5 44.0
-10.3
2.9
38.5
0.2
-9.8
-10.5
4.5
2.0 -7.2
-9.3
2.4
3.5
3.6
-1.9
-1.3
1.0
6.6 -3.7
-3.2
0.6
102.1
5.0
-2.4
0.8
14.8
8.4 -2.6
3.8
12.0
166.5 -1.3
-3.5
0.3
18.8 -13.7 -15.0
-8.1
11.6
305.4 20.3 10.8
-2.2
44.7
35.6 13.1
0.5
29.6
384.9 15.6
3.5
0.0
44.7
14.4 1.2
2.0
35.3
23.0
8.8
-1.1
-4.9
2.4
-9.3 -4.8
-12.1
1.4
68.8
13.8
1.8
0.7
8.0
-22.9 -17.6
-15.9
3.1
276.7
7.9
-0.5
-4.3
26.9
16.0 9.7
1.5
8.8
8.7
11.8 -6.2
0.6
2.3
3.1 -8.1
0.2
1.6
1,135.8 2.7
12.0
-1.2
130.3 -15.0 11.0
-11.6
54.7
19.1
0.6
-7.5
-7.2
2.4
1.5 -1.2
0.1
1.6
91.0
10.3 -1.4
-0.1
10.8
17.0 0.2
2.7
6.2
946.4 16.8
4.6
-2.2
106.3 16.6 0.4
-3.3
64.9
57.6
39.1 25.6
15.9
16.5
57.5 19.1
33.2
13.2
30.9
21.8 23.8
14.8
6.0
11.5 24.7
14.5
5.1
16.2
27.2
4.3
-5.0
1.7
145.5 52.1
6.4
0.9
48.3
16.4 16.7
-2.3
4.0
16.8 15.3
-4.3
1.6
53.5
6.8
4.6
-7.6
3.7
21.6 16.9
-3.5
1.3
11.6
2.5
-2.6
-11.4
1.2
-12.0 -29.1
-24.5
0.7
646.7 17.3
5.1
-2.5
62.5
8.6 -1.7
-9.7
33.6
50.2
4.0 -22.3
-8.6
7.2
21.4 -22.8
0.8
6.1
25.1
7.9
-4.0
-11.2
1.9
0.8 -32.0
-28.6
1.1
5.0
16.6
0.5
0.3
1.1
30.6 -1.9
3.7
0.9
1.4
44.3 -41.4
-38.7
0.4
-17.0 -53.7
-57.3
0.4
560.5
2.2
10.2
0.0
70.1 -31.1 28.0
-10.6
22.5
52.6
6.9
14.1
6.4
4.7
-47.7 10.1
-20.3
2.3
85.0
4.6
15.2
2.8
8.9
-48.9 -9.0
-35.2
4.1
22.6
-2.4 15.6
3.4
2.5
-34.5 39.9
-6.6
0.3
31.8 -11.7 3.0
-5.9
5.1
-34.4 17.7
-11.0
0.6
81.2
26.9
6.5
-2.2
2.7
-48.2 -16.8
-41.8
-1.7
9.0
-16.5 -11.2
-6.7
-1.9
PL
Loss
Loss
-2.6
29.3
-0.2 14.5
2.1
4.9
-21.3 73.3
7.0
1.9
15.0 -12.1 21.3
1.2
2.0
-33.2 126.0
6.5
0.6
19.8
-6.2
-3.0
-2.4
2.8
-29.3 -10.5
-13.6
0.0
42.4 -13.6 13.6
-8.1
9.5
-23.3 59.8
4.8
2.3
171.9
2.7
10.0
0.9
28.9 -11.3 43.0
3.6
14.7
159.2
6.2
-5.3
-3.0
26.9
-1.4 -12.2
-8.0
13.5
3.7
15.3 -10.5
-1.4
0.7
19.5 -3.1
35.0
0.4
14.2
24.5
1.7
7.1
2.2
47.7 -7.7
0.9
1.2
PAT (INR b)
Gr (%)
YoY
QoQ
-1.8
3.6
-9.1
-4.5
-32.9
13.0
31.2
9.9
3.3
-4.8
42.6
25.8
-4.8
-1.2
4.8
-0.7
-46.5 -20.3
-67.0 -60.9
17.5
6.4
21.1
-9.2
7.7
-4.0
2.0
-17.7
11.4
-3.2
12.1
-0.1
-18.6 -15.6
19.1
-22.8
12.6
-4.0
-16.6
-8.0
-39.6 -32.7
62.2
17.7
17.1
1.2
-23.0
63.6
2.1
-4.2
4.2
-6.7
20.3
-0.3
47.3
20.6
12.7
14.1
272.1 63.5
9.3
18.9
33.7
51.7
-20.9 -41.4
14.0
-1.1
21.5
-26.1
-19.0 -42.6
35.0
1.8
21.9
-40.8
-54.7
2.1
-57.3
-3.6
-49.7 -10.7
-71.4
LP
-78.1
7.3
PL
PL
Loss
Loss
-33.3 426.8
-56.8
LP
-96.6 -87.6
-68.8 146.3
-17.3
79.2
-11.7 -23.6
30.9
-7.8
62.5
-16.1
Var. over
Exp. (%)
-6.0
-10.1
-16.1
20.7
-2.6
14.7
-11.8
-9.1
-19.5
-59.4
4.6
-12.1
-7.4
-13.0
-5.5
7.9
-6.1
-7.3
1.3
-16.4
-25.6
10.4
11.8
-16.5
-5.9
-4.8
-3.9
27.7
9.5
-3.7
-19.6
-13.7
-35.7
-11.5
2.9
-34.0
3.8
-39.3
-17.0
-28.2
-28.1
-29.8
-60.1
PL
Loss
20.8
18.3
-90.3
-2.9
13.8
-15.1
46.9
-0.6
Company
Automobiles
Amara Raja Energy
Apollo Tyres
Ashok Leyland
Bajaj Auto
Balkrishna Inds
Bharat Forge
Bosch
CEAT
Craftsman Auto
Eicher Motors
Endurance Tech.
Escorts Kubota
Exide Inds.
Happy Forgings
Hero Motocorp
Hyundai Motor
Mahindra & Mahindra
Maruti Suzuki
Motherson Wiring
MRF
Samvardhana Motherson
Sona BLW Precis.
Tata Motors
Tube Investments
TVS Motor
Capital Goods
Bharat Electronics
Cummins India
Hitachi Energy
Kalpataru Proj.
KEC International
Kirloskar Oil
Larsen & Toubro
Siemens
Thermax
Triveni Turbine
Zen Technologies
Cement
ACC
Ambuja Cements
Birla Corporation
Dalmia Bharat
Grasim Industries
India Cements
J K Cements
JK Lakshmi Cem.
Ramco Cements
Shree Cement
Ultratech Cement
Chemicals-Specialty
Alkyl Amines
Atul
February 2025
77
 Motilal Oswal Financial Services
India Strategy | Review 3QFY25
Company
Clean Science
Deepak Nitrite
Fine Organic
Galaxy Surfactants
Navin Fluorine
NOCIL
P I Industries
SRF
Tata Chemicals
Vinati Organics
Consumer
Asian Paints
Britannia
Colgate
Dabur
Emami
Godrej Consumer
Hind. Unilever
Indigo Paints
ITC
Jyothy Labs
L T Foods
Marico
Nestle
P&G Hygiene
Page Industries
Pidilite Inds.
Tata Consumer
United Breweries
United Spirits
Varun Beverages
Consumer Durables
Havells India
KEI Industries
Polycab India
R R Kabel
Voltas
EMS
Amber Enterp.
Avalon Tech
Cyient DLM
Data Pattern
Dixon Tech.
Kaynes Tech
Syrma SGS Tech.
Financials
Banks-Private
AU Small Finance
Axis Bank
Bandhan Bank
DCB Bank
Equitas Small Fin.
Federal Bank
HDFC Bank
ICICI Bank
Sales (INR b)
EBITDA (INR b)
PAT (INR b)
Gr (%)
Var. over
Gr (%)
Var. over
Gr (%)
Dec-24 YoY QoQ
Exp. (%) Dec-24 YoY QoQ Exp. (%) Dec-24 YoY
QoQ
2.4
23.7
1.1
2.0
1.0
13.7 9.8
14.1
0.7
4.8
11.7
19.0
-5.3
-6.3
2.5
1.7
-44.7 -43.4
-28.3
1.0
-51.4 -49.5
5.2
22.5 -12.4
-18.8
1.0
12.8 -27.1
-34.2
0.9
27.8
-21.3
10.4
10.8 -2.0
-4.6
1.1
-6.2 -17.3
-14.8
0.6
-9.5
-23.7
6.1
21.2 16.9
-7.1
1.5
94.7 37.2
6.2
0.8
131.2 42.1
3.2
-6.6 -12.3
-9.8
0.2
-50.1 -35.9
-32.2
0.2
-37.8 -55.4
19.0
0.2 -14.4
-2.6
5.1
-7.5 -18.5
-6.3
3.7
-16.9 -26.7
34.9
14.4
2.0
-1.4
6.5
12.0 16.6
7.8
3.1
12.4
36.3
35.9
-3.8 -10.2
-6.3
4.3
-19.9 -29.8
-24.2
0.0
PL
PL
5.2
16.4 -5.7
-6.5
1.4
24.5 6.5
-0.1
1.0
24.1
-10.0
877.7
5.7
-1.4
-0.8
201.9 -0.9 -2.0
-3.3
140.8
-5.3
-2.2
85.5
-6.1
6.5
-1.1
16.4 -20.4 32.0
0.9
11.3
-23.5
29.1
45.9
7.9
-1.6
0.8
8.4
2.9
7.9
4.8
5.8
4.3
9.5
14.6
4.7
-9.7
-2.1
4.5
-3.0 -8.6
-7.1
3.2
-2.2
-9.2
33.6
3.1
10.8
0.4
6.8
2.1 23.4
0.9
5.3
1.6
22.5
10.5
5.3
17.8
-0.3
3.4
7.6 35.2
0.9
3.0
6.3
28.8
37.7
3.0
2.8
0.4
7.6
-16.4 -0.8
-3.7
5.0
-14.3
1.4
158.2
1.6
-0.7
-1.5
37.0
0.8 -2.6
-3.7
25.6
1.0
-1.8
3.4
-3.2 14.4
-7.8
0.6
-8.1 37.8
-3.9
0.4
-3.3
59.0
187.9
4.3
-9.4
-2.2
63.6
-2.2 -5.9
-6.7
48.1
-9.9
-3.7
7.0
4.0
-4.0
-1.4
1.2
-2.4 -16.4
-7.8
0.9
-3.9
-16.8
22.7
17.2
7.9
3.1
2.5
4.7
9.0
2.7
1.4
-5.2
-3.5
27.9
15.4
4.9
0.0
5.3
3.9
2.1
-8.1
4.0
4.2
-3.4
47.8
3.9
-6.4
-1.4
11.2
-0.8 -5.8
-4.2
7.0
-10.2
-8.9
12.5
10.1
9.9
1.0
3.7
19.8 27.7
8.1
2.7
17.3
26.8
13.1
6.9
5.4
-2.6
3.0
31.7 7.5
13.7
2.0
34.3
4.8
33.7
7.6
4.1
-0.3
8.0
7.5
3.8
-4.0
5.6
9.2
3.0
44.4
16.8
5.4
0.7
5.6
-1.3 -9.8
2.4
2.8
-18.4 -26.3
20.0
9.6
-5.5
-2.1
1.4
-3.0 -37.8
-23.7
0.6
-24.5 -51.6
34.3
14.8 20.7
1.9
5.9
19.7 16.0
2.6
4.2
20.7
25.5
36.9
38.3 -23.2
2.4
5.8
38.7 -49.6
-1.2
1.9
41.0
-70.0
174.7 15.9
4.3
1.4
17.0
24.9 14.9
2.4
11.0
23.4
5.3
48.9
10.8
7.7
-0.9
4.3
-1.4 13.7
-6.5
2.8
-3.5
3.8
24.7
19.8
8.2
3.2
2.4
12.3 9.2
-3.4
1.6
9.4
6.5
52.3
20.4 -5.0
-1.7
7.2
26.4 14.0
9.3
4.6
10.8
4.0
17.8
9.1
-1.5
1.9
1.1
-1.8 28.9
7.8
0.7
-3.4
38.4
31.1
18.3 18.6
9.6
2.0
594.5 21.7
4.4
1.3
LP
-1.4
149.6 86.9 -2.7
0.8
8.5
77.4 7.3
-1.3
4.1
76.2
4.2
21.3
64.8 26.6
15.9
1.6
102.2 39.6
21.8
0.4
LP
86.4
2.8
31.1
2.1
0.8
0.3
109.2 14.9
7.6
0.2
264.7 37.2
4.4
38.4 14.1
-1.2
0.4
22.8 14.2
-16.6
0.2
-8.7
8.9
1.2
-16.1 28.6
-39.2
0.5
-10.0 57.5
-33.7
0.4
-12.4
47.5
104.5 117.0 -9.4
1.6
3.9
111.8 -8.4
2.6
1.7
77.5
-20.2
6.6
29.8 15.6
-16.2
0.9
34.6 14.5
-21.4
0.7
47.1
10.4
8.7
23.0
4.4
-13.4
0.8
103.8 11.4
12.3
0.5
228.2 40.6
3,032.1 9.9
3.0
-1.5
1,700.0 12.6 -4.0
-1.3
1,055.8 10.6
-2.4
921.9
9.0
1.3
-0.3
693.6 10.5 0.7
0.1
420.4
1.5
-2.9
20.2
52.7
2.4
-0.1
12.0
83.4 6.5
8.5
5.3
40.8
-7.5
136.1
8.6
0.9
-0.4
105.3 15.2 -1.7
2.3
63.0
3.8
-8.9
28.3
12.1 -4.0
-5.6
20.2
22.1 9.0
-15.7
4.3
-41.8 -54.5
5.4
14.5
6.6
1.7
2.7
28.2 6.3
15.2
1.5
19.6
-2.6
8.2
4.2
2.0
-1.3
3.3
-7.6 -4.8
-6.5
0.7
-67.2 415.0
24.3
14.5
2.7
-0.4
15.7
9.2
0.3
1.2
9.6
-5.1
-9.6
306.5
7.7
1.8
1.0
250.0
5.7
1.2
1.0
167.4
2.2
-0.5
203.7
9.1
1.6
-1.6
168.9 14.7 1.0
1.0
117.9
14.8
0.4
Var. over
Exp. (%)
8.9
-32.4
-28.6
-19.0
12.2
-22.7
-8.4
15.7
PL
-7.4
-6.4
-3.5
4.2
-8.2
1.1
-1.3
-8.8
-5.5
-1.6
-9.2
-8.3
-6.9
-7.8
-11.3
4.8
12.3
-5.5
-15.6
-43.0
8.3
-10.2
-5.5
-12.7
-5.7
-0.7
17.6
-13.8
-18.0
1.2
18.7
-36.5
-32.4
-24.2
-25.5
38.7
2.3
-0.8
8.1
-1.3
-46.4
9.4
-17.3
-7.2
0.5
3.2
February 2025
78
 Motilal Oswal Financial Services
India Strategy | Review 3QFY25
Company
IDFC First Bank
IndusInd Bank
Kotak Mahindra Bank
RBL Bank
Banks-PSU
Bank of Baroda
Canara Bank
Indian Bank
Punjab National Bank
State Bank
Union Bank
Insurance
HDFC Life Insur.
ICICI Lombard
ICICI Pru Life
Max Financial
SBI Life Insurance
Star Health
NBFC - Lending
AAVAS Financiers
Bajaj Finance
Can Fin Homes
Chola. Inv & Fin.
CreditAccess
Five-Star Business
Fusion Finance
Home First Fin.
IIFL Finance
L&T Finance
LIC Housing Fin
M & M Financial
Manappuram Finance
MAS Financial
Muthoot Finance
PFC
PNB Housing
Poonawalla Fincorp
REC
Repco Home Fin
Shriram Finance
Spandana Sphoorty
NBFC - Non Lending
360 ONE WAM
Aditya Birla AMC
Anand Rathi Wealth
Angel One
BSE
Cams Services
CDSL
HDFC AMC
KFin Technologies
MCX
Nippon Life AMC
Nuvama Wealth
Prudent Corp.
Sales (INR b)
EBITDA (INR b)
Gr (%)
Var. over
Gr (%)
Var. over
Dec-24 YoY QoQ
Exp. (%) Dec-24 YoY QoQ Exp. (%) Dec-24
49.0
14.4
2.4
-1.1
17.6
12.6 -10.3
-13.2
3.4
52.3
-1.3
-2.2
-1.0
36.0 -10.9 0.0
-0.1
14.0
72.0
9.8
2.5
0.9
51.8
13.5 1.6
-1.0
33.0
15.9
2.5
-1.9
2.0
10.0
30.2 9.5
0.3
0.3
887.0
3.6
0.4
-1.7
579.1 11.7 -12.4
-4.3
378.0
114.2
2.8
-1.8
-5.1
76.6
9.3 -19.1
-2.6
48.4
91.5
-2.9
-1.8
-4.8
78.4
15.2 2.4
4.5
41.0
64.1
10.3
3.6
1.1
47.5
15.9 0.4
4.6
28.5
110.3
7.2
4.9
2.4
66.2
4.6 -3.4
0.6
45.1
414.5
4.1
-0.4
-2.0
235.5 15.8 -19.6
-12.9
168.9
92.4
0.8
2.1
0.6
74.9
2.9 -7.7
7.0
46.0
715.0 13.7
9.1
-4.3
36.0
9.5 15.2
2.4
23.0
167.7 10.1
1.2
-8.3
9.3
8.6 -0.9
-3.8
4.1
50.5
17.2
0.4
3.5
-1.5
Loss Loss
Loss
7.2
126.6 23.1
4.8
-5.2
5.2
18.6 -11.8
-13.5
3.2
82.2
12.7
6.3
-2.9
4.9
0.0 -4.5
0.6
0.7
250.0 11.3 22.5
-3.5
18.7
11.3 29.0
4.5
5.5
38.0
15.4
2.6
0.2
-0.5
PL
Loss
Loss
2.2
437.3 15.6
3.2
0.6
352.4 15.3 0.6
0.5
204.5
2.5
14.8
4.8
-0.7
1.9
23.3 -0.2
2.7
1.5
93.8
22.6
6.2
0.6
78.1
27.1 6.8
2.0
43.1
3.4
4.8
1.5
-0.3
2.9
1.7
1.2
-0.9
2.1
28.9
33.0
6.4
-0.8
21.3
40.4 10.7
4.0
10.9
8.6
7.5
-7.5
-6.4
6.2
3.5 -7.3
-5.6
-1.0
5.4
28.3
4.6
0.8
3.9
29.4 2.2
-0.6
2.7
2.2
-33.7 -43.7
-39.4
0.6
-75.1 -77.2
-74.5
-7.2
1.6
21.4
4.2
2.9
1.4
27.2 10.7
7.2
1.0
12.4 -21.6 -7.8
-7.4
5.9
-38.2 -30.5
-27.8
0.4
22.4
14.6
2.7
6.0
14.8
10.5 -7.0
2.2
6.3
20.0
-4.6
1.3
0.2
17.5
-7.2 0.4
0.3
14.3
19.1
12.5
5.6
1.7
12.2
15.0 2.1
-1.4
9.0
15.9
9.5
-2.7
-2.3
9.3
-0.6 -9.9
-9.3
2.8
2.1
31.0
7.3
1.6
1.4
25.4 7.7
1.7
0.8
27.2
42.8
8.1
5.9
20.6
47.7 7.5
5.9
13.6
46.9
12.9
6.5
3.1
51.5
16.8 -3.3
8.7
41.5
6.9
16.5
4.3
1.4
5.8
16.0 3.6
0.0
4.8
6.1
25.1
9.8
2.9
3.7
6.5 33.6
1.8
0.2
51.3
19.6
3.3
3.4
50.2
20.4 2.6
0.3
40.3
1.8
9.0
7.7
5.4
1.4
5.4
5.6
4.1
1.1
55.9
13.8
2.3
-1.2
40.8
10.7 2.5
-0.9
20.8
2.7
-13.4 -21.4
-4.5
0.8
-67.4 -65.6
-45.3
-4.4
71.0
39.5
0.1
0.6
38.9
54.4 -1.8
0.5
29.9
6.0
37.7
2.8
6.6
2.9
37.4 -1.3
5.6
2.7
4.5
30.4
4.9
4.6
2.7
41.2 9.5
10.3
2.2
2.4
29.9 -2.2
-6.0
1.1
34.1 2.9
-2.1
0.8
8.9
29.4 -9.0
5.4
3.9
10.4 -32.3
-9.6
2.8
7.7
109.5 3.7
1.9
4.4
140.4 12.0
3.7
2.2
3.7
27.6
1.3
-0.7
1.7
33.6 1.5
-0.9
1.2
2.8
29.7 -13.7
-9.9
1.6
22.2 -19.6
-14.8
1.3
9.3
39.2
5.3
2.6
7.6
49.4 8.6
5.8
6.4
2.9
32.6
3.4
-1.5
1.3
33.4 3.2
-3.4
0.9
3.0
57.4
5.5
-5.2
1.9
LP
7.6
-5.1
1.6
5.9
38.9
2.9
0.4
3.9
48.8 3.0
-0.1
3.0
7.2
29.5 -2.3
-2.5
3.3
44.7 -4.1
2.1
2.5
2.9
35.8 -0.4
-2.5
0.7
31.8 -4.1
-5.8
0.5
PAT (INR b)
Gr (%)
YoY
QoQ
-52.6
69.1
-39.1
5.3
10.0
-1.2
-86.0 -85.3
23.6
-3.9
5.6
-7.6
12.3
2.2
34.6
5.4
102.8
4.8
17.3
-7.9
28.2
-2.5
28.8
6.5
13.7
-4.2
67.9
4.4
42.8
29.1
-53.8 -49.9
71.2
4.0
-25.7
93.3
5.4
2.1
25.5
-1.0
18.3
7.3
6.0
0.3
24.0
12.8
PL
PL
26.3
2.2
PL
Loss
23.5
5.6
-91.7
LP
-2.3
-10.2
23.1
7.8
62.7 143.4
-51.6 -51.3
25.1
2.0
32.7
8.9
23.0
-4.9
42.8
9.2
-92.9
LP
23.2
0.6
7.2
-5.3
14.4
0.5
PL
Loss
31.7
-11.2
41.7
11.2
7.2
-7.4
33.2
1.4
8.2
-33.5
111.2 -36.8
40.2
2.7
20.8
-19.9
31.0
11.2
34.9
1.0
LP
4.2
4.0
-18.0
43.4
-1.9
35.0
-6.4
Var. over
Exp. (%)
-32.2
-2.3
-2.2
-53.4
9.5
9.9
2.2
10.5
23.6
4.0
26.5
4.5
-4.3
14.2
27.5
-55.6
9.7
-1.2
-2.5
2.6
4.8
-4.2
1.6
PL
0.6
Loss
1.4
-79.7
5.9
11.6
30.6
-44.2
-1.7
2.1
4.9
0.5
-87.7
-2.1
-2.4
-1.2
Loss
-5.3
17.4
4.2
-3.0
-11.3
-40.8
-1.1
-19.6
5.7
-5.8
-7.4
-9.3
4.0
-8.0
February 2025
79
 Motilal Oswal Financial Services
India Strategy | Review 3QFY25
Company
UTI AMC
Healthcare
Ajanta Pharma
Alembic Pharma
Alkem Lab
Apollo Hospitals
Aurobindo Pharma
Biocon
Cipla
Divis Labs
Dr Reddy’ s Labs
ERIS Lifescience
Gland Pharma
Glenmark Pharma
Global Health
Granules India
GSK Pharma
Ipca Labs.
Laurus Labs
Lupin
Mankind Pharma
Max Healthcare
Piramal Pharma
Sun Pharma
Torrent Pharma
Zydus Lifesciences
Infrastructure
G R Infraproject
IRB Infra
KNR Constructions
Logistics
Adani Ports
Blue Dart Express
Concor
JSW Infra
Mahindra Logistics
TCI Express
Transport Corp.
VRL Logistics
Media
PVR Inox
Sun TV
Zee Entertainment
Metals
Coal India
Hindalco
Hindustan Zinc
JSPL
JSW Steel
Nalco
NMDC
SAIL
Tata Steel
Vedanta
Oil & Gas
Sales (INR b)
EBITDA (INR b)
Gr (%)
Var. over
Gr (%)
Var. over
Dec-24 YoY QoQ
Exp. (%) Dec-24 YoY QoQ Exp. (%) Dec-24
3.8
29.4
0.6
-0.6
1.9
67.5 4.2
4.4
1.7
878.8 11.3
0.9
1.2
211.5 21.5 1.3
4.1
131.5
11.5
3.7
-3.4
3.2
3.2
-0.3 -4.7
5.0
2.2
16.9
3.8
2.7
0.0
2.6
-2.4 8.8
-2.7
1.4
33.7
1.5
-1.2
2.1
7.6
7.3
0.9
14.8
6.3
55.3
13.9 -1.1
1.4
7.6
24.1 -6.6
0.5
3.7
79.8
8.5
2.3
4.8
16.3
1.7
3.9
-0.1
8.8
38.2
6.0
6.4
2.8
7.9
36.2 14.5
8.4
0.4
70.7
7.1
0.3
1.5
19.9
13.8 5.5
11.9
13.6
23.2
25.0 -0.8
-0.7
7.4
51.9 3.8
5.7
5.8
82.3
14.1
2.7
7.9
21.7
7.1 -1.4
6.3
13.2
7.3
49.6 -1.9
-5.9
2.5
42.6 -5.4
-8.3
0.8
13.8 -10.4 -1.5
-1.5
3.6
-3.8 21.2
19.1
2.0
33.9
35.1 -1.3
-1.8
6.0
LP
-0.3
-3.4
3.5
9.4
12.8 -1.4
7.3
2.4
8.9
2.9
12.0
1.5
11.4
-1.5 17.7
8.9
2.3
-8.1 13.3
-2.0
1.2
9.5
17.9 -6.1
11.8
2.8
29.7 -12.0
14.1
2.2
22.5
9.4
-4.7
-2.1
4.6
39.9 4.7
13.5
2.5
14.2
18.4 15.6
6.1
2.9
57.2 59.9
23.6
0.9
56.9
9.5
2.7
-0.9
13.8
34.7 11.3
10.4
8.6
32.3
23.9
5.0
-3.8
8.9
47.5 5.2
-2.8
4.3
22.7
34.9
7.1
7.1
6.2
32.7 8.8
12.0
4.0
22.0
12.5 -1.7
6.4
3.4
25.8 -1.1
48.1
0.0
130.6
7.4
-1.6
-2.4
35.7
14.2 -5.5
-0.7
30.0
28.1
2.8
-2.8
-4.2
9.1
5.2 -2.7
-4.9
5.0
52.7
17.0
0.6
-1.6
13.0
20.2 -8.2
-7.0
9.5
42.3
-9.5 18.6
-0.5
12.9
3.9 26.6
10.5
4.8
15.0 -16.9 33.0
-11.2
1.9
-15.7 64.2
-9.0
1.7
20.3
2.9
27.7
20.5
9.8
13.2 28.4
21.0
2.2
7.1
-21.8 -17.3
-20.0
1.2
-20.4 -15.0
-19.6
0.9
167.2 12.3
7.5
2.0
63.8
13.9 7.4
5.4
37.1
79.6
15.1 12.7
6.2
48.0
14.7 9.9
9.3
26.7
15.1
9.3
4.4
0.1
1.5
8.9 20.0
2.8
0.8
22.0
-0.1
-3.6
-10.4
4.6
-10.4 -20.3
-19.8
3.4
11.8
25.7 18.0
11.0
5.9
22.1 12.6
1.9
4.4
15.9
14.1
4.8
1.2
0.7
41.1 11.0
-6.5
-0.1
3.0
-4.9
-4.8
-10.0
0.3
-36.6 -21.4
-27.4
0.2
11.5
14.5
2.3
0.8
1.2
18.6 1.2
-3.1
1.0
8.3
12.0
3.2
0.9
1.7
76.3 25.1
25.6
0.6
44.9
0.3
-0.7
-4.1
9.9
0.2 -4.8
-11.5
6.6
17.2
11.1
5.9
3.0
2.4
16.9 26.6
4.6
0.7
7.9
-10.4 -11.8
-15.9
4.3
-24.7 -18.3
-26.7
3.5
19.8
-3.3
-1.1
-4.5
3.2
52.2 -0.8
6.3
2.4
2,844.0 4.2
4.7
-0.9
552.4
9.3 19.2
10.8
245.4
357.8 -1.0 16.6
-2.5
104.0 -12.8 45.4
0.2
85.1
583.9 10.6
0.3
-1.9
75.8
29.3 -3.8
-1.1
37.6
86.1
17.8
4.4
5.0
45.0
27.8 9.1
11.0
26.8
117.5
0.4
4.8
-12.5
21.8 -23.2 -0.7
-18.2
9.5
413.8 -1.3
4.3
-1.8
55.8 -22.3 2.6
10.1
7.8
46.6
39.3 16.5
15.5
23.3 201.1 50.3
63.3
15.7
65.7
21.4 33.5
-0.9
23.7
18.2 71.2
6.0
19.0
244.9
4.9
6.3
-4.7
20.3
-5.3 59.1
87.9
1.1
536.5 -3.0
-0.5
2.6
71.5
24.6 29.6
58.1
7.4
391.2 10.1
3.9
1.9
111.0 30.2 13.0
3.4
35.5
7,784.8 0.1
6.5
-1.2
952.2
2.4 22.7
1.2
417.3
PAT (INR b)
Gr (%)
YoY
QoQ
-14.6 -34.0
24.9
2.2
3.3
-6.8
-23.5
-2.8
-2.6
-9.1
51.8
-1.7
-2.8
7.3
LP
20.3
14.0
4.7
68.5
18.4
-4.3
-3.0
-18.6
-8.7
0.4
25.2
LP
-0.3
18.4
6.8
-6.4
21.0
5.7
-10.9
122.5
7.7
298.9 365.2
42.6
11.3
-5.2
-34.2
16.5
7.4
-89.5 -83.7
21.3
2.4
31.9
11.0
26.3
8.0
13.9
32.2
13.0
45.2
18.4 122.2
5.6
-38.8
16.5
11.0
13.6
8.6
-3.0
30.2
2.7
-13.3
43.2
67.7
Loss
Loss
-40.4 -23.7
27.1
-5.2
333.9 65.8
12.8
6.6
65.5 204.5
-20.6 -12.8
129.5 23.1
3.2
24.3
-17.0
35.2
61.5
-11.8
32.1
11.1
-50.7
10.4
-65.8
20.9
232.8 49.7
13.2
58.6
-69.1
LP
68.8
64.1
76.2
20.2
-10.7
12.7
Var. over
Exp. (%)
7.7
4.6
6.7
-14.4
13.3
7.9
-2.9
-38.5
15.0
12.9
10.7
-17.0
13.4
-6.2
13.0
-4.0
15.6
25.1
47.0
13.2
-24.1
7.2
-65.8
1.3
0.1
4.7
4.6
-0.8
10.2
2.4
3.8
1.6
3.7
-2.4
34.5
PL
-28.4
-2.6
41.9
-4.1
34.8
-22.7
29.9
10.7
1.8
-0.1
16.1
-14.4
-4.9
66.3
5.4
LP
281.5
16.2
-6.7
February 2025
80
 Motilal Oswal Financial Services
India Strategy | Review 3QFY25
Company
Oil Ex OMCs
Aegis Logistics
BPCL
Castrol India
GAIL
Gujarat Gas
Gujarat State Petronet
HPCL
Indraprastha Gas
IOC
Mahanagar Gas
MRPL
Oil India
ONGC
Petronet LNG
Reliance Inds.
Real Estate
Anant Raj
Brigade Enterpr.
DLF
Godrej Properties
Kolte Patil Dev.
Macrotech Developers
Mahindra Lifespace
Oberoi Realty
Phoenix Mills
Prestige Estates
SignatureGlobal
Sobha
Sunteck Realty
Retail
Aditya Birla Fashion
Avenue Supermarts
Barbeque Nation
Bata India
Campus Activewear
Devyani Intl.
Jubilant Foodworks
Kalyan Jewellers
Metro Brands
P N Gadgil Jewellers
Raymond Lifestyle
Relaxo Footwear
Restaurant Brands
Sapphire Foods
Senco Gold
Shoppers Stop
Titan Company
Trent
Vedant Fashions
V-Mart Retail
Westlife Foodworld
Staffing
Quess Corp
SIS
Dec-24
3,609.4
17.1
1,131.4
13.5
349.4
41.5
2.4
1,105.1
37.6
1,939.0
17.6
218.7
52.4
337.2
122.3
2,399.9
153.5
5.3
14.6
15.3
9.7
3.5
40.8
1.7
14.1
9.8
16.5
8.3
12.2
1.6
669.2
43.0
159.7
3.3
9.2
5.1
12.9
16.1
72.9
7.0
24.4
17.5
6.7
5.0
7.6
21.0
13.1
177.4
45.3
5.1
10.3
6.5
125.0
55.2
33.6
Sales (INR b)
EBITDA (INR b)
PAT (INR b)
Gr (%)
Var. over
Gr (%)
Var. over
Gr (%)
Var. over
YoY QoQ
Exp. (%) Dec-24 YoY QoQ Exp. (%) Dec-24 YoY
QoQ
Exp. (%)
2.5
1.9
3.5
720.3
4.4
8.9
1.8
318.6
-8.2
-8.9
-4.4
-8.9
-2.5
-14.7
2.3
10.0 4.0
-19.8
1.2
-4.5
-1.4
-15.4
-2.0 10.1
11.6
75.8
20.7 68.0
-6.1
46.5
36.9
93.9
-3.2
7.1
5.1
-2.6
3.8
14.2 31.4
24.6
2.7
12.2
30.8
18.1
2.0
6.2
7.1
28.4 -25.8 -24.2
-25.3
14.3
-49.8 -46.6
-43.4
5.7
9.8
0.9
3.8
-5.0 -26.0
0.3
2.2
0.6
-27.8
19.8
-48.2 -0.7
-5.7
1.9
-49.3 -0.2
-0.8
1.4
-48.3 -65.2
-8.3
-0.7 10.6
18.7
64.5 203.3 133.0
30.3
30.2
471.4 378.9
29.0
5.9
1.7
6.7
3.6
-34.9 -32.1
12.1
2.9
-27.1 -33.7
41.0
-2.6 11.5
-20.6
91.7 -41.2 118.6
-10.8
21.9
-72.8
LP
-48.6
12.0
2.7
-1.2
3.1
-29.9 -21.1
-2.9
2.3
-28.9 -20.3
3.4
-11.3 -12.4
1.3
11.9
0.7
LP
41.9
3.0
-21.4
LP
59.1
-9.9
-5.1
-1.8
21.3
1.3 -2.3
-3.0
12.2
-22.9 -33.4
-13.0
-3.1
-0.5
5.1
189.7 10.5 4.0
1.4
82.4
-16.7 -31.2
-12.9
-17.1 -6.1
-8.7
12.5 -26.9 3.9
-5.5
8.7
-27.2
2.3
-3.2
6.6
3.6
4.0
437.9
7.7 12.1
4.0
185.4
7.4
11.9
4.6
35.2
9.7
-8.1
44.1
33.9 19.9
-7.1
35.0
60.3
24.3
1.7
36.3
4.2
49.8
1.3
48.3 18.4
-49.8
1.1
53.7
4.6
-30.8
24.7 36.5
9.2
4.1
57.9 41.7
-3.6
2.4
221.5 98.6
6.8
0.5 -22.6
-10.5
4.0
-21.7 -20.3
12.8
10.6
61.5
36.5
31.8
193.2 -11.4
16.2
0.3
LP -13.7
-63.4
1.6
152.2 -52.6
-43.2
361.4 13.4
-38.6
0.3
LP 58.0
-64.8
0.3
LP
159.8
-24.6
39.3 55.5
5.4
13.1
47.9 85.3
27.2
9.4
64.9 122.2
57.8
104.0 2098.2
60.9
-0.3
Loss Loss
Loss
-0.2
PL
Loss
PL
33.9
6.9
-3.7
8.6
68.1 5.2
-0.3
6.2
71.7
4.9
-1.9
-1.1
6.2
-6.4
5.5
0.2
6.8
-10.3
2.6
-5.2
21.4
-5.8
-7.9 -28.2
-41.2
5.9
7.0 -6.5
-21.7
0.2
-84.8 -90.8
-91.2
193.7 10.5
-25.9
0.1
LP
LP
-86.0
0.3
1195.7 612.9
-63.7
78.7 31.1
4.1
0.7
-9.3 -12.8
-61.9
0.2
43.8
-16.9
-76.3
281.1 -4.3
-46.1
0.5
LP 29.4
-25.2
0.4
LP
22.8
-8.4
21.0 17.1
-1.0
76.7
14.9 29.1
-2.1
34.7
14.8
45.5
-6.4
3.3
18.1
-0.1
6.3
14.8 75.7
11.2
-0.4
Loss
Loss
Loss
17.7 10.6
0.0
12.2
8.7 11.3
-4.8
7.2
4.7
9.7
-9.9
-0.6
7.6
-3.9
0.6
-7.2 35.0
-5.9
0.1
4.5
LP
-8.2
1.7
9.8
-4.1
2.0
9.4 14.3
-4.5
0.7
15.4
28.7
-11.5
9.1
54.5
-0.8
0.8
46.1 115.3
-11.1
0.5
86.7 225.0
-14.5
53.5
5.9
1.6
2.2
49.9 10.3
2.7
0.0
PL
Loss
PL
18.9
9.8
3.4
3.1
10.6 10.0
-3.0
0.6
-2.2
14.5
-19.1
39.5 20.1
0.8
4.9
33.5 24.6
0.5
2.6
43.8
42.7
-1.7
10.6 20.1
-1.0
2.3
13.1 45.4
0.3
1.2
21.6
67.3
-0.3
23.5 21.7
4.3
1.2
33.3 70.3
2.4
0.9
49.4
62.6
12.0
1.6
2.7
-2.4
1.8
-36.6 -16.3
-26.0
0.6
-60.3 -36.5
-36.8
-6.4
-1.8
-10.5
0.8
-4.3 -4.9
-16.5
0.3
-14.4 -10.1
-27.2
11.2
0.7
1.8
0.8
11.5 12.8
6.6
-0.2
Loss
Loss
Loss
13.7
8.7
0.8
1.4
14.9 24.8
8.4
0.1
29.5 145.7
-28.4
27.3 40.1
1.8
1.1
-40.6 31.6
-49.5
0.5
-50.4
57.1
-58.4
8.7
22.8
1.4
2.4
11.4 63.4
1.3
0.5
37.2
LP
19.6
25.2 22.1
-3.6
19.3
23.1 26.3
3.9
12.5
18.3
33.8
2.4
36.9 12.4
-2.2
8.4
34.4 30.7
-3.9
4.7
36.6
10.8
-13.9
7.8
90.8
-2.3
2.4
0.1 98.5
-11.0
1.6
0.2
136.1
-12.0
15.5 55.3
0.0
1.7
43.2 343.7
12.0
0.7
153.7
LP
78.5
8.9
5.8
-0.4
0.9
-4.8 16.3
-3.4
0.1
-59.1 1786.4
-43.9
13.6
4.8
2.6
4.4
7.9
4.2
-2.2
2.6
50.4
23.6
-3.1
14.0
6.6
6.5
2.0
9.0
0.9
-0.5
1.0
22.5
11.4
0.0
9.4
2.9
-0.9
1.6
3.6
8.3
-2.3
1.0
176.5 48.4
-1.7
February 2025
81
 Motilal Oswal Financial Services
India Strategy | Review 3QFY25
Company
Team Lease Serv.
Updater Services
Technology
Coforge
Cyient
HCL Technologies
Infosys
L&T Technology
LTIMindtree
Mphasis
Persistent Systems
TCS
Tech Mahindra
Wipro
Zensar Tech
Telecom
Bharti Airtel
Indus Towers
Tata Comm
Vodafone Idea
Utilities
Indian Energy Exch.
JSW Energy
NTPC
Power Grid Corp.
Tata Power
Others
APL Apollo Tubes
Cello World
Coromandel International
Dreamfolks Services
EPL
Godrej Agrovet
Gravita India
Indiamart Inter.
Indian Hotels
Info Edge
Interglobe Aviation
Kajaria Ceramics
Lemon Tree Hotel
MTAR Tech
One 97 Comm.
SBI Cards
Swiggy
UPL
Zomato
Sales (INR b)
EBITDA (INR b)
Gr (%)
Var. over
Gr (%)
Var. over
Dec-24 YoY QoQ
Exp. (%) Dec-24 YoY QoQ Exp. (%) Dec-24
29.2
19.5
4.4
2.2
0.3
-3.2 4.3
-14.0
0.3
6.9
9.3
2.2
-6.9
0.5
32.9 5.7
1.5
0.3
1,967.4 5.9
1.2
0.1
447.5
6.9
2.9
1.6
309.1
33.2
42.8
8.4
2.0
5.2
29.4 7.2
-6.6
2.3
19.3
5.8
4.2
3.7
2.9
-12.1 -3.3
-7.5
1.3
298.9
5.1
3.6
-0.2
68.7
2.6
7.8
1.4
45.9
417.6
7.6
1.9
0.8
100.4
9.8
2.9
3.0
68.1
26.5
9.5
3.1
-1.1
4.9
1.4
6.2
-2.4
3.2
96.6
7.1
2.4
0.7
15.9
0.5 -6.2
3.8
10.9
35.6
6.7
0.7
0.1
6.8
12.9 4.6
8.9
4.3
30.6
22.6
5.7
1.2
5.4
21.7 11.9
4.5
3.7
639.7
5.6
-0.4
-0.8
169.7
3.4
1.1
-0.8
124.4
132.9
1.4
-0.2
0.7
18.1
33.5 3.4
5.5
9.8
223.2
0.5
0.1
0.7
47.4
12.5 4.0
6.5
33.5
13.3
10.1
1.3
0.7
2.1
-0.3 2.9
1.4
1.6
695.6 13.3
6.2
0.1
374.2 29.6 15.8
4.9
8.7
451.3 19.1
8.8
1.4
246.0 24.1 12.6
0.1
55.1
75.5
4.8
1.1
-2.3
69.6
94.1 43.1
34.3
17.4
57.7
2.4
2.3
-3.0
11.5
1.6 10.5
-3.8
2.2
111.2
4.2
1.7
-1.5
47.1
8.3
3.6
-0.5
-66.1
694.3
3.0
-0.3
-9.4
248.6
8.2
3.5
-7.5
97.8
1.3
13.9 -5.7
6.8
1.1
13.0 -6.2
9.1
1.0
24.4
-4.1 -24.7
-37.7
9.1
-17.7 -45.8
-45.1
1.7
413.5
4.8
2.5
4.1
119.6 20.3 23.6
2.1
46.2
101.2 -5.2
-1.4
-11.5
85.2
-9.3 -3.0
-13.9
38.6
153.9
5.1
-2.0
-28.1
33.5
38.7 -10.5
-4.3
10.3
687.9 16.8 11.7
0.2
126.2 33.2 57.4
-12.8
50.4
54.3
30.0 13.8
-6.5
3.5
23.6 150.3
3.9
2.2
5.6
5.7
13.6
-2.2
1.3
-3.6 7.3
-11.1
0.9
69.4
26.9 -6.7
7.7
7.2
101.7 -26.0
8.7
5.1
3.4
11.5
7.3
1.0
0.2
-16.1 -0.6
-11.5
0.2
10.1
4.0
-6.6
-4.9
2.0
9.9 -8.6
-9.2
0.9
24.5
4.5
0.0
-6.0
2.2
38.3 -1.5
-13.4
1.1
10.0
31.5
7.4
4.3
1.0
14.0 0.7
-5.1
0.8
3.5
16.0
1.9
-1.3
1.4
62.1 2.7
29.0
1.2
25.3
29.0 38.7
1.0
9.6
31.3 91.8
-3.4
5.8
6.7
12.8
2.4
-1.8
2.9
20.4 5.6
4.3
2.0
221.1 13.7 30.3
0.8
59.2
8.7 148.5
-15.5
24.4
11.6
1.0
-1.3
-5.0
1.5
-16.8 -6.4
-14.2
0.8
3.6
23.0 24.9
0.7
1.8
31.8 40.9
3.7
0.6
1.7
47.4 -8.3
3.1
0.3
39.4 -9.7
-7.3
0.2
18.3 -35.9 10.1
1.5
-2.2
Loss Loss
Loss
-2.1
15.7
13.2
4.6
0.2
18.3
13.0 4.2
0.8
3.8
39.9
31.0 10.9
3.0
-7.3
Loss Loss
PL
-8.0
109.1 10.3 -1.7
-0.5
21.6 419.7 37.3
8.6
9.9
54.1
64.4 12.6
-1.1
1.6
217.6 -28.3
-37.3
0.6
PAT (INR b)
Gr (%)
Var. over
YoY
QoQ
Exp. (%)
3.2
14.1
-26.3
13.5
11.2
12.9
8.8
2.9
-0.1
-2.6
0.3
-22.4
-30.1 -28.1
-24.9
5.5
8.4
1.4
11.5
4.6
-0.5
-5.8
-0.9
-9.3
-7.1
-13.2
-0.7
14.5
1.1
-1.3
30.3
14.7
5.1
5.7
4.1
-2.2
36.8
-21.4
-4.4
24.5
4.5
13.5
-1.2
2.5
11.6
LP
LP
LP
121.3 41.0
11.4
13.0
22.7
17.5
-3.5
127.2
-23.8
Loss
Loss
Loss
2.9
0.4
-4.7
15.5
-2.8
16.5
-27.4 -80.3
-69.4
6.0
9.9
-3.5
-0.4
10.2
-2.6
8.2
-4.3
17.6
27.9 2022.9
-21.3
31.1 303.2
6.3
1.8
5.8
-8.0
121.6 -22.9
13.4
-15.5
5.6
-10.7
8.6
7.5
1.4
21.4
16.4
-20.9
29.3
8.2
3.5
48.5
-10.5
34.5
28.8
79.7
-2.4
-6.3
133.1
-20.2
-18.6
LP
-33.9
-25.4
-7.7
-24.6
76.5 110.8
-5.8
52.8
-15.0
-17.2
Loss
Loss
Loss
-30.2
-5.2
-11.1
Loss
Loss
Loss
LP
LP
22.0
-57.2 -66.5
-77.9
Investment in securities market are subject to market risks. Read all the related documents carefully before investing
February 2025
82
 Motilal Oswal Financial Services
REPORT GALLERY
India Strategy | Review 3QFY25
RECENT STRATEGY/THEMATIC REPORTS
February 2025
83
 Motilal Oswal Financial Services
India Strategy | Review 3QFY25
RECENT INITIATING COVERAGE REPORTS
February 2025
84
 Motilal Oswal Financial Services
India Strategy | Review 3QFY25
Explanation of Investment Rating
Investment Rating
BUY
SELL
NEUTRAL
UNDER REVIEW
NOT RATED
Expected return (over 12-month)
>=15%
< - 10%
< - 10 % to 15%
Rating may undergo a change
We have forward looking estimates for the stock but we refrain from assigning recommendation
*In case the recommendation given by the Research Analyst is inconsistent with the investment rating legend for a continuous period of 30 days, the Research Analyst shall be within following
30 days take appropriate measures to make the recommendation consistent with the investment rating legend.
Disclosures
The following Disclosures are being made in compliance with the SEBI Research Analyst Regulations 2014 (herein after referred to as the Regulations).
Motilal Oswal Financial Services Ltd. (MOFSL) is a SEBI Registered Research Analyst having registration no. INH000000412. MOFSL, the Research Entity (RE) as defined in the Regulations,
is engaged in the business of providing Stock broking services, Depository participant services & distribution of various financial products. MOFSL is a listed public company, the details in
respect of which are available on
www.motilaloswal.com.
MOFSL (erstwhile Motilal Oswal Securities Limited - MOSL) is registered with the Securities & Exchange Board of India (SEBI) and is
a registered Trading Member with National Stock Exchange of India Ltd. (NSE) and Bombay Stock Exchange Limited (BSE), Multi Commodity Exchange of India Limited (MCX) and National
Commodity & Derivatives Exchange Limited (NCDEX) for its stock broking activities & is Depository participant with Central Depository Services Limited (CDSL) National Securities Depository
Limited (NSDL),NERL, COMRIS and CCRL and is member of Association of Mutual Funds of India (AMFI) for distribution of financial products and Insurance Regulatory & Development
Authority of India (IRDA) as Corporate Agent for insurance products.
Details of associate entities of Motilal Oswal Financial Services Limited are available on the website at
http://onlinereports.motilaloswal.com/Dormant/documents/List%20of%20Associate%20companies.pdf
MOFSL and its associate company(ies), their directors and Research Analyst and their relatives may; (a) from time to time, have a long or short position in, act as principal in, and buy or sell
the securities or derivatives thereof of companies mentioned herein. (b) be engaged in any other transaction involving such securities and earn brokerage or other compensation or act as a
market maker in the financial instruments of the company(ies) discussed herein or act as an advisor or lender/borrower to such company(ies) or may have any other potential conflict of
interests with respect to any recommendation and other related information and opinions.; however the same shall have no bearing whatsoever on the specific recommendations made by the
analyst(s), as the recommendations made by the analyst(s) are completely independent of the views of the associates of MOFSL even though there might exist an inherent conflict of interest in
some of the stocks mentioned in the research report.
MOFSL and / or its affiliates do and seek to do business including investment banking with companies covered in its research reports. As a result, the recipients of this report should be aware
that MOFSL may have a potential conflict of interest that may affect the objectivity of this report. Compensation of Research Analysts is not based on any specific merchant banking, investment
banking or brokerage service transactions. Details of pending Enquiry Proceedings of Motilal Oswal Financial Services Limited are available on the website at
https://galaxy.motilaloswal.com/ResearchAnalyst/PublishViewLitigation.aspx
A graph of daily closing prices of securities is available at
www.nseindia.com, www.bseindia.com.
Research Analyst views on Subject Company may vary based on Fundamental research and
Technical Research. Proprietary trading desk of MOFSL or
its associates maintains arm’s length distance with Research Team as all the activities are segregated from MOFSL research activity
and therefore it can have an independent view with regards to Subject Company for which Research Team have expressed their views.
Regional Disclosures (outside India)
This report is not directed or intended for distribution to or use by any person or entity resident in a state, country or any jurisdiction, where such distribution, publication, availability or use
would be contrary to law, regulation or which would subject MOFSL & its group companies to registration or licensing requirements within such jurisdictions.
For Hong Kong:
This report is distributed in Hong Kong by Motilal Oswal capital Markets (Hong Kong) Private Limited, a licensed corporation (CE AYY-301) licensed and regulated by the Hong Kong Securities
and Futures Commission (SFC) pursuant to the Securities and Futures
Ordinance (Chapter 571 of the Laws of Hong Kong) “SFO”. As per SEBI (Research Analyst Regulations) 2014 Motilal
Oswal Securities (SEBI Reg. No. INH000000412) has an agreement with Motilal Oswal capital Markets (Hong Kong) Private Limited for distribution of research report in Hong Kong. This report
is intended for distribution only to “Professional Investors” as defined in Part I of Schedule 1 to SFO. Any investment or investment
activity to which this document relates is only available to
professional investor
and will be engaged only with professional investors.” Nothing here is an offer or solicitation of these securities, products
and services in any jurisdiction where their offer
or sale is not qualified or exempt from registration. The Indian Analyst(s) who compile this report is/are not located in Hong Kong & are not conducting Research Analysis in Hong Kong.
For U.S.
Motilal Oswal Financial Services Limited (MOFSL) is not a registered broker - dealer under the U.S. Securities Exchange Act of 1934, as amended (the"1934 act") and under applicable state
laws in the United States. In addition MOFSL is not a registered investment adviser under the U.S. Investment Advisers Act of 1940, as amended (the "Advisers Act" and together with the 1934
Act, the "Acts), and under applicable state laws in the United States. Accordingly, in the absence of specific exemption under the Acts, any brokerage and investment services provided by
MOFSL, including the products and services described herein are not available to or intended for U.S. persons. This report is intended for distribution only to "Major Institutional Investors" as
defined by Rule 15a-6(b)(4) of the Exchange Act and interpretations thereof by SEC (henceforth referred to as "major institutional investors"). This document must not be acted on or relied on
by persons who are not major institutional investors. Any investment or investment activity to which this document relates is only available to major institutional investors and will be engaged in
only with major institutional investors. In reliance on the exemption from registration provided by Rule 15a-6 of the U.S. Securities Exchange Act of 1934, as amended (the "Exchange Act") and
interpretations thereof by the U.S. Securities and Exchange Commission ("SEC") in order to conduct business with Institutional Investors based in the U.S., MOFSL has entered into a
chaperoning agreement with a U.S. registered broker-dealer, Motilal Oswal Securities International Private Limited. ("MOSIPL"). Any business interaction pursuant to this report will have to be
executed within the provisions of this chaperoning agreement.
The Research Analysts contributing to the report may not be registered /qualified as research analyst with FINRA. Such research analyst may not be associated persons of the U.S. registered
broker-dealer, MOSIPL, and therefore, may not be subject to NASD rule 2711 and NYSE Rule 472 restrictions on communication with a subject company, public appearances and trading
securities held by a research analyst account.
For Singapore
In Singapore, this report is being distributed by Motilal Oswal Capital Markets (Singapore) Pte. Ltd.
(“MOCMSPL”) (UEN 201129401Z), which is a holder of a capital markets services
license
and an exempt financial adviser in Singapore.This
report is distributed solely to persons who (a) qualify as “institutional investors” as defined in section 4A(1)(c) of the
Securities and Futures
Act of Singapore (“SFA”) or (b) are considered "accredited investors" as defined in section 2(1) of the Financial
Advisers Regulations of Singapore read with section 4A(1)(a) of the SFA.
Accordingly, if a recipient is neither an “institutional investor” nor an “accredited investor”, they must immediately discontinue
any use of this Report and inform MOCMSPL .
In respect of any matter arising from or in connection with the research you could contact the following representatives of MOCMSPL. In case of grievances for any of the services rendered by
MOCMSPL write to
grievances@motilaloswal.com.
Nainesh
Rajani
Email:
nainesh.rajani@motilaloswal.com
Contact: (+65) 8328 0276
.
Specific Disclosures
1. Research Analyst and/or his/her relatives do not have a financial interest in the subject company(ies), as they do not have equity holdings in the subject company(ies).
MOFSL has financial interest in the subject company(ies) at the end of the week immediately preceding the date of publication of the Research Report: Yes.
Nature of Financial interest is holding equity shares or derivatives of the subject company
2. Research Analyst and/or his/her relatives do not have actual/beneficial ownership of 1% or more securities in the subject company(ies) at the end of the month immediately
preceding the date of publication of Research Report.
MOFSL has actual/beneficial ownership of 1% or more securities of the subject company(ies) at the end of the month immediately preceding the date of publication of Research
Report:No
3. Research Analyst and/or his/her relatives have not received compensation/other benefits from the subject company(ies) in the past 12 months.
MOFSL may have received compensation from the subject company(ies) in the past 12 months.
4. Research Analyst and/or his/her relatives do not have material conflict of interest in the subject company at the time of publication of research report.
MOFSL does not have material conflict of interest in the subject company at the time of publication of research report.
5. Research Analyst has not served as an officer, director or employee of subject company(ies).
6. MOFSL has not acted as a manager or co-manager of public offering of securities of the subject company in past 12 months.
7. MOFSL has not received compensation for investment banking /merchant banking/brokerage services from the subject company(ies) in the past 12 months.
February 2025
85
 Motilal Oswal Financial Services
India Strategy | Review 3QFY25
8.
MOFSL may have received any compensation for products or services other than investment banking or merchant banking or brokerage services from the subject company(ies)
in the past 12 months.
9. MOFSL may have received compensation or other benefits from the subject company(ies) or third party in connection with the research report.
10. MOFSL has not engaged in market making activity for the subject company.
********************************************************************************************************************************
The associates of MOFSL may have:
-
financial interest in the subject company
-
actual/beneficial ownership of 1% or more securities in the subject company at the end of the month immediately preceding the date of publication of the Research Report or date of the
public appearance.
-
received compensation/other benefits from the subject company in the past 12 months
-
any other potential conflict of interests with respect to any recommendation and other related information and opinions.; however the same shall have no bearing whatsoever on the
specific recommendations made by the analyst(s), as the recommendations made by the analyst(s) are completely independent of the views of the associates of MOFSL even though
there might exist an inherent conflict of interest in some of the stocks mentioned in the research report.
-
acted as a manager or co-manager of public offering of securities of the subject company in past 12 months
-
be engaged in any other transaction involving such securities and earn brokerage or other compensation or act as a market maker in the financial instruments of the company(ies)
discussed herein or act as an advisor or lender/borrower to such company(ies)
-
received compensation from the subject company in the past 12 months for investment banking / merchant banking / brokerage services or from other than said services.
-
Served subject company as its clients during twelve months preceding the date of distribution of the research report.
The associates of MOFSL has not received any compensation or other benefits from third party in connection with the research report
Above disclosures include beneficial holdings lying in demat account of MOFSL which are opened for proprietary investments only. While calculating beneficial holdings, It does not consider
demat accounts which are opened in name of MOFSL for other purposes (i.e holding client securities, collaterals, error trades etc.). MOFSL also earns DP income from clients which are not
considered in above disclosures.
Analyst Certification
The views expressed in this research report accurately reflect the personal views of the analyst(s) about the subject securities or issues, and no part of the compensation of the research
analyst(s) was, is, or will be directly or indirectly related to the specific recommendations and views expressed by research analyst(s) in this report.
Terms & Conditions:
This report has been prepared by MOFSL and is meant for sole use by the recipient and not for circulation. The report and information contained herein is strictly confidential and may not be
altered in any way, transmitted to, copied or distributed, in part or in whole, to any other person or to the media or reproduced in any form, without prior written consent of MOFSL. The report is
based on the facts, figures and information that are considered true, correct, reliable and accurate. The intent of this report is not recommendatory in nature. The information is obtained from
publicly available media or other sources believed to be reliable. Such information has not been independently verified and no guaranty, representation of warranty, express or implied, is made
as to its accuracy, completeness or correctness. All such information and opinions are subject to change without notice. The report is prepared solely for informational purpose and does not
constitute an offer document or solicitation of offer to buy or sell or subscribe for securities or other financial instruments for the clients. Though disseminated to all the customers
simultaneously, not all customers may receive this report at the same time. MOFSL will not treat recipients as customers by virtue of their receiving this report.
Disclaimer:
The report and information contained herein is strictly confidential and meant solely for the selected recipient and may not be altered in any way, transmitted to, copied or distributed, in part or
in whole, to any other person or to the media or reproduced in any form, without prior written consent. This report and information herein is solely for informational purpose and may not be
used or considered as an offer document or solicitation of offer to buy or sell or subscribe for securities or other financial instruments. Nothing in this report constitutes investment, legal,
accounting and tax advice or a representation that any investment or strategy is suitable or appropriate to your specific circumstances. The securities discussed and opinions expressed in this
report may not be suitable for all investors, who must make their own investment decisions, based on their own investment objectives, financial positions and needs of specific recipient. This
may not be taken in substitution for the exercise of independent judgment by any recipient. Each recipient of this document should make such investigations as it deems necessary to arrive at
an independent evaluation of an investment in the securities of companies referred to in this document (including the merits and risks involved), and should consult its own advisors to
determine the merits and risks of such an investment. The investment discussed or views expressed may not be suitable for all investors. Certain transactions -including those involving futures,
options, another derivative products as well as non-investment grade securities - involve substantial risk and are not suitable for all investors. No representation or warranty, express or implied,
is made as to the accuracy, completeness or fairness of the information and opinions contained in this document. The Disclosures of Interest Statement incorporated in this document is
provided solely to enhance the transparency and should not be treated as endorsement of the views expressed in the report. This information is subject to change without any prior notice. The
Company reserves the right to make modifications and alternations to this statement as may be required from time to time without any prior approval. MOFSL, its associates, their directors and
the employees may from time to time, effect or have effected an own account transaction in, or deal as principal or agent in or for the securities mentioned in this document. They may perform
or seek to perform investment banking or other services for, or solicit investment banking or other business from, any company referred to in this report. Each of these entities functions as a
separate, distinct and independent of each other. The recipient should take this into account before interpreting the documen t. This report has been prepared on the basis of information that is
already available in publicly accessible media or developed through analysis of MOFSL. The views expressed are those of the analyst, and the Company may or may not subscribe to all the
views expressed therein. This document is being supplied to you solely for your information and may not be reproduced, redistributed or passed on, directly or indirectly, to any other person or
published, copied, in whole or in part, for any purpose. This report is not directed or intended for distribution to, or use by, any person or entity who is a citizen or resident of or located in any
locality, state, country or other jurisdiction, where such distribution, publication, availability or use would be contrary to law, regulation or which would subject MOFSL to any registration or
licensing requirement within such jurisdiction. The securities described herein may or may not be eligible for sale in all jurisdictions or to certain category of investors. Persons in whose
possession this document may come are required to inform themselves of and to observe such restriction. Neither the Firm, not its directors, employees, agents or representatives shall be
liable for any damages whether direct or indirect, incidental, special or consequential including lost revenue or lost profits that may arise from or in connection with the use of the information.
The person accessing this information specifically agrees to exempt MOFSL or any of its affiliates or employees from, any and all responsibility/liability arising from such misuse and agrees not
to hold MOFSL or any of its affiliates or employees responsible for any such misuse and further agrees to hold MOFSL or any of its affiliates or employees free and harmless from all losses,
costs, damages,
expenses that may be suffered by the person accessing this information due to any errors and delays.
This report is meant for the clients of Motilal Oswal only.
Investment in securities market are subject to market risks. Read all the related documents carefully before investing.
Registration granted by SEBI and certification from NISM in no way guarantee performance of the intermediary or provide any assurance of returns to investors.
Registered Office Address: Motilal Oswal Tower, Rahimtullah Sayani Road, Opposite Parel ST Depot, Prabhadevi, Mumbai-400025; Tel No.: 022 - 71934200 / 71934263;
www.motilaloswal.com. Correspondence Address: Palm Spring Centre, 2nd Floor, Palm Court Complex, New Link Road, Malad (West), Mumbai- 400 064. Tel No: 022 71881000. Details of
Compliance Officer: Neeraj Agarwal, Email Id: na@motilaloswal.com, Contact No.:022-40548085.
Grievance Redressal Cell:
Contact Person
Contact No.
Email ID
Ms. Hemangi Date
022 40548000 / 022 67490600
query@motilaloswal.com
Ms. Kumud Upadhyay
022 40548082
servicehead@motilaloswal.com
Mr. Ajay Menon
022 40548083
am@motilaloswal.com
Registration details of group entities.: Motilal Oswal Financial Services Ltd. (MOFSL): INZ000158836 (BSE/NSE/MCX/NCDEX); CDSL and NSDL: IN-DP-16-2015; Research Analyst:
INH000000412 . AMFI: ARN .: 146822. IRDA Corporate Agent
CA0579. Motilal Oswal Financial Services Ltd. is a distributor of Mutual Funds, PMS, Fixed Deposit, Insurance, Bond, NCDs
and IPO products.
Customer having any query/feedback/ clarification may write to query@motilaloswal.com. In case of grievances for any of the services rendered by Motilal Oswal Financial Services Limited
(MOFSL) write to grievances@motilaloswal.com, for DP to dpgrievances@motilaloswal.com.
February 2025
86