Thematic | February 2025
Dixon Technologies
fy
Ports
Anchoring solutions | Navigating success
Alok Deora - Research analyst
(Alok.Deora@MotilalOswal.com)
6
Saurabh Dugar - Research analyst
(Saurabh.Dugar@MotilalOswal.com)
July 2020
MotilalOswal research is available on www.motilaloswal.com/Institutional-Equities, Bloomberg, Thomson Reuters, Factset and S&P Capital.
Investors are advised to refer through important disclosures made at the last page of the Research Report.
2
 Motilal Oswal Financial Services
Ports: Anchoring solutions | Navigating success
Logistics
01
Page 2: Summary
02
Page 5: Story in charts
03
Page 8: Overview of the ports
sector in India
Page 11: Infra development
the key to growth for the
ports sector
04
07
Page 12: Major ports vs. non-
major ports
05
08
Page 13: Overview of the major
ports in India
06
09
Page 15: Overview of the
non-major ports in India
Page 16: Capacity additions and
utilization of ports in India
Page 19: Key risks/challenges in
the Indian ports sector
Compaines
1
2
PG23
Adani Ports & SEZ
PG27
JSW Infrastructure
February 2025
2
 Motilal Oswal Financial Services
Thematics | February 2025
Ports
Anchoring solutions | Navigating success
Growth on a fast-track mode!
Major Ports Capacity (MMT)
Budget outlay for ports sector
India’s ports sector is a vital pillar of its trade and economic framework,
managing 95% of the country’s export volumes and 70% of its export values.
Spanning a coastline of ~7,500km and aided by 20,275km of national
waterways across 24 states, the sector benefits from its strategic location in
the Indian Ocean. This positioning aligns India with 80% of the global maritime
oil trade, underscoring its potential to become a leading maritime player.
The country’s port infrastructure includes 13 major ports and 205 non-major
ports, which together handled a cargo volume of 1,539MMT (major ports
handled 819MMT in FY24 and 699MMT over Apr’24-Jan’25), backed by an
overall capacity of 2,604MTPA.
The ports operate under diverse management models, such as public-private
partnerships in the landlord model, fully state-managed service ports, privately
owned service ports, and hybrid tool ports with shared responsibilities.
The Indian ports sector is poised for significant growth. Between FY23 and
FY28, the country’s ports are projected to add 500-550MTPA of capacity
annually, driven by increased handling of petroleum, oil, lubricants (POL), coal,
and containerized cargo. Cargo traffic is expected to grow at a steady annual
rate of 3-6%, stabilizing utilization levels at ~55% over the medium term.
Container traffic growth is anticipated to report an annual growth rate of 4-7%
over the next five years, bolstered by rising imports, declining freight costs,
and a normalization of global supply chains. Transshipment, which accounts
for roughly 25% of India’s container throughput, continues to be a crucial
segment, with ports like Chennai playing a significant role.
Adani Ports & SEZ (APSEZ; 15% volume CAGR over FY19-24) and JSW
Infrastructure (JSWINFRA; 25% volume CAGR over FY19-24) have outgrown
the industry’s CAGR of ~5% through aggressive capacity expansion, strategic
acquisitions, and integrated logistics solutions. While the industry growth rate
is expected to be 4-7% over the next five years, both APSEZ and JSWINFRA are
poised for sustained growth of 2-3x the industry, supported by continued
organic and inorganic expansions and integrated logistics solutions. Both of
these companies are likely to gain market share. Hence, we reiterate our BUY
rating on APSEZ and JSWINFRA. JSWINFRA is our top pick in the ports domain.
Major/non-major ports to play pivotal roles in the overall development of the sector
India’s port ecosystem comprises major and non-major ports, each playing distinct
roles. Major ports, managed by the central government, are primarily located near
industrial hubs and handle diverse cargo types based on regional demands. For
instance, Paradip and Mormugao handle substantial volumes of coal and iron ore,
while Kandla focuses on petroleum products. However, major ports face congestion
challenges due to shared access channels.
In contrast, non-major ports, governed by state governments or private operators
through public-private partnerships, manage nearly half of India’s cargo. These ports
benefit from greater flexibility, operational efficiency, and lower congestion. In
FY23, non-major ports reported a 7.6% increase in cargo traffic, outperforming the
4.7% growth recorded at major ports.
February 2025
3
 Motilal Oswal Financial Services
PORTS
Policy support and initiatives such as the Sagarmala project bode well for the sector
The Indian government has introduced several policies and initiatives to enhance
port capacity and operational efficiency. The Sagarmala Programme, launched in
2016, is a flagship initiative aimed at reducing logistics costs for export-import
(EXIM) and domestic cargo. The program seeks to increase port capacity to 3,300
MTPA by 2025, supported by investments totaling INR 6t across 800 projects. It is
expected to save INR 350-400b annually by optimizing logistics efficiency and
reducing transportation time.
Another transformative initiative, the Maritime Amrit Kaal Vision 2047, aims to
develop six mega ports with world-class infrastructure and boost India’s total port
handling capacity from 2,500 MTPA to 10,000 MTPA by 2047. This vision includes
achieving 100% cargo handling at public-private partnership (PPP) berths and
integrating advanced digital technologies into port operations.
Valuation and view: Outlook remains bright
India’s ports sector is crucial to its trade ambitions and economic growth. With
focused policy support, private investments, and infrastructure development under
initiatives such as Sagarmala and the Maritime Amrit Kaal Vision 2047, India is well-
positioned to emerge as a global maritime hub. However, addressing challenges
related to policy delays, connectivity gaps, and environmental concerns will be the
key to unlocking the sector's full potential.
India's extensive coastline and increased investments in inland waterways, coastal
shipping, and port privatization initiatives by the government are expected to
benefit companies like APSEZ and JSWINFRA, enabling them to handle a larger share
of volume at Indian ports.
APSEZ (BUY) – The largest private port operator in India:
APSEZ continues to gain
market share while generating strong cash flows and retaining its leverage
position, with a net debt-to-EBITDA ratio of 2x as of Sep’24. We expect APSEZ to
register 10% volume growth and a CAGR of 14%/15%/19% in revenue/EBITDA/
PAT over FY24-27. With consistent outperformance in cargo volumes,
we
reiterate our BUY rating with a TP of INR1,400 (based on 15x Sep’26 EV/EBITDA).
JSWINFRA (BUY) – Scouting for organic and inorganic expansions:
Considering
stable growth levers at its existing ports and terminals, a higher share of third-
party customers, sticky cargo volume from JSW Group companies, and an
expanding portfolio, we expect JSWINFRA to strengthen its market dominance,
leading to a 14% volume CAGR over FY24-27. This should drive a 22% CAGR in
revenue and a 21% CAGR in EBITDA.
We reiterate our BUY rating with a revised
TP of INR330 (premised on 22x Sep’26 EV/EBITDA). JSWINFRA is also our top
pick in the ports domain.
Key risks
Despite its growth potential, the sector faces several challenges. Policy
uncertainty, such as delays in the National Ports Policy, has hindered
investment. Infrastructure gaps, including inadequate last-mile connectivity and
insufficient dredging, have limited port efficiency and scalability. Environmental
and social concerns, such as land acquisition delays and ecological impacts, have
slowed project execution.
Additionally, global economic volatility and commodity price fluctuations pose
risks to port traffic, while privatization has raised concerns over revenue-sharing
disputes and potential monopolization by large private players.
February 2025
4
 Motilal Oswal Financial Services
PORTS
STORY IN CHARTS
Investment argument
Major/non-
major ports to
play pivotal
roles in the
overall
development
of the sector
A
Policy
support and
initiatives
such as the
Sagarmala
project bode
well for the
sector
B
Key Focus Areas
Enhancing connectivity
between ports and
hinterland via road, rail,
and inland waterways to
ensure smooth cargo
movement
Reducing the cost of
transporting domestic
cargo through
optimizing the model
mix
Reducing logistic costs
of bulk commodities by
locating future
industrial capacities
near the coast
Reduction of logistic
costs for EXIM and
domestic trade with
minimal infrastructure
investment
Optimizing time/costs
of EXIM container
movement
Improving export
competitiveness by
developing port-
proximate discrete
manufacturing clusters
Source: MOFSL
February 2025
5
 Motilal Oswal Financial Services
PORTS
STORY IN CHARTS
Major ports in India
Kolkatat
Paradip
Port Blair
Visakhapatnam
Kandla
Mumbai
Mogugao
Ennore
Chennai
V.O
Chindambaranar
Cochin
New
Mangalore
Lakshadweep
Source: IBEF, MOFSL
Cargo traffic at major and non-major ports in India
Cargo traffic at Non- major ports (MMT)
Cargo Traffic at Major Ports (MMT)
Share of cargo traffic at major and non-major ports in India
Major Ports
Non- major Ports
583
699
615
705
577
673
604
720
650
720
800
45%
47%
46%
46%
45%
47%
45%
783
819
950
55%
53%
54%
54%
55%
53%
55%
FY19 FY20 FY21 FY22 FY23 FY24
FY28E
FY19 FY20 FY21 FY22 FY23 FY24
FY28F
Business model of the domestic port sector
Landlord port
model
February 2025
Service port
model
Private service
port model
Tool port
model
6
 Motilal Oswal Financial Services
PORTS
Investment argument
Adani Ports & SEZ
A
Strong volume
growth
B
Market share
gains driven by
operational
efficiencies
C
India’s largest
third-party marine
service provider
with the most
extensive capital
dredging
capacity
D
Transforming
into an
integrated
logistics
solutions
company
Investment argument
JSW Infrastructure
1
Geographically
diversified port
locations
2
Volume growth to
remain robust
3
Scouting for
organic and
inorganic
expansions
4
To enhance
capacity to
400MMT by 2030
through capex
5
Strategic
importance to JSW
Group
VOLUME CAGR OF ADANI PORT & SEZ AND JSW INFRASTRUCTURE
Adani Ports & SEZ
JSW Infrastructure
volume CAGR
FY19-24
15%
volume CAGR
FY19-24
25%
February 2025
7
 Motilal Oswal Financial Services
PORTS
Overview of the ports sector in India
The port infrastructure plays a pivotal role in a country’s economic success. India,
with a coastline spanning ~7,500kms, relies on ports to handle nearly 95% of its
export volume and 70% of its export value. Essential commodities such as iron ore,
coal, crude petroleum, and other goods are imported via sea routes.
India also has 20,275kms of national waterways across 24 states. Positioned in the
Indian Ocean, which supports 80% of global maritime oil trade, India is well-placed
to leverage its growing maritime trade. As India targets a USD5t economy, ports will
be key to its growth.
Business model of the domestic port sector
There are four important port management and administrative models:
Landlord port model:
The landlord port model involves public-private
participation, with the port authority acting as a regulator and landlord while
private companies handle operations like cargo handling. It is common in
medium and large ports, offering significant opportunities for private players.
Indian ports increasingly follow the landlord port model, where private
operators are granted concessions to operate ports for periods, typically 30
years.
Service port model:
Under this model, the port authority, governed by the state
or central jurisdiction, owns the land and assets, performs regulatory functions,
and employs all cargo-handling labor.
Private service port model:
In this model, private companies own the land and
handle all regulatory and operational activities, with no direct government
involvement.
Tool port model:
This model splits responsibilities between the port authority
and private operators. The port authority owns, maintains, and operates
infrastructure and equipment, while private operators handle other operations
like stevedoring.
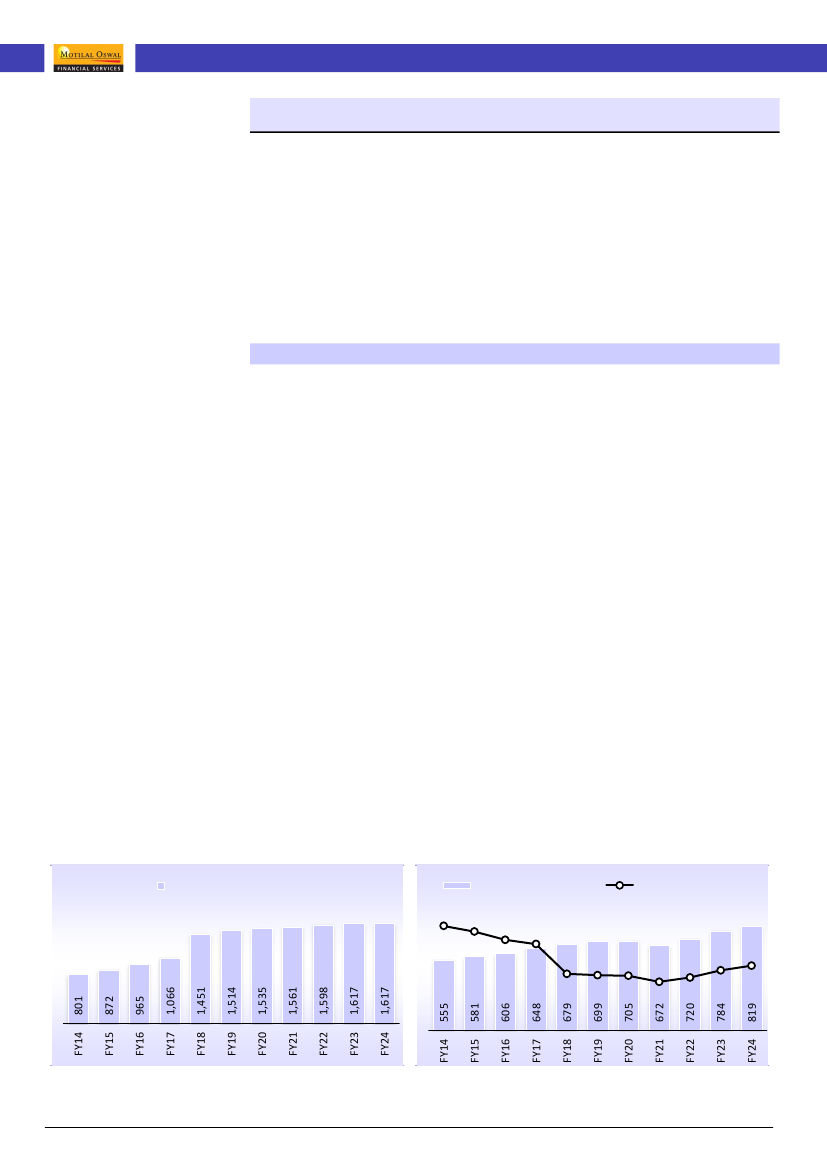
India has 13 major ports. Under the national perspective plan for Sagarmala, six new
mega ports will be developed in the country. As of FY24, India’s key ports have a
capacity of 1,617 MTPA. Total cargo handled at major ports in India was 819 MMT in
FY24 (699MMT of cargo handled over Apr’24-Jan’25).
Exhibit 1: Cargo capacity at major ports (MMT)
Major Port Capacity (MMT)
Exhibit 2: Cargo traffic at major ports
Major Port Cargo (MMT)
69% 67%
63% 61%
47% 46% 46%
43%
45% 48%
51%
Major Port Utilisation
Source: IPA, MOFSL
Source: IPA, MOFSL
February 2025
8
 Motilal Oswal Financial Services
PORTS
The Government of India
(GoI) has launched
several policy initiatives
to enhance the efficiency
of water and port
transportation, notably
the Maritime Amrit Kaal
2047 vision and the
Sagarmala project
Favorable policies assisting port operations
The government has allowed FDI of up to 100% under the automatic route for
projects related to the construction and maintenance of ports and harbors.
The cumulative FDI equity inflow in Indian ports was USD1.6b from Apr’00 to
Sep’23.
Private ports enjoy price flexibility as the government allows non-major ports to
determine their tariffs in consultation with the State Maritime Boards. At major
ports, tariffs are regulated by the Tariff Authority for Major Ports (TAMP).
Maritime Amrit Kaal Vision 2047
India aims to develop six mega-ports with a capacity of over 500 MTPA each by 2047
as part of its ambitious maritime expansion plans, significantly increasing its cargo
handling capacity as outlined in the Amrit Kaal Vision 2047. Presently, the nation’s
port handling capacity is over 2,500 MTPA, with 51% of cargo handled at PPP berths
of major ports. The focus is on increasing the port handling capacity to over 10,000
MTPA by 2047 and ensuring 100% of cargo is handled at PPP berths.
Development of Waterways: The Sagarmala Program
The “Sagarmala” initiative was rolled out in Apr’16 by the GoI to reduce logistics
costs for both domestic and export-import cargo with optimized infrastructure
investment. The Sagarmala Program aims at enhancing India’s port capacity to over
3,300 MTPA by 2025. According to the Ministry of Shipping, this would include 2,219
MTPA of capacity at major ports and 1,132 MTPA at non-major ports by 2024-25. As
part of this program, more than 574 projects worth INR6t have been identified for
implementation during CY15-35.
Sagarmala is aimed at reducing logistics costs for EXIM and domestic cargo, leading
to overall cost savings of INR350-400b. Some of this will be direct cost savings, while
others are savings from inventory-handling costs, resulting from time and reduced
variability in the transportation of goods, particularly containers.
Exhibit 3: The Sagarmala Project – status (as of Apr’24)
Particulars
Port Modernization
Port Connectivity
Port-led Industrialization
Coastal Community Development
Coastal Shipping and IWT
Total
Completed
Project
Number of
Cost
Projects
(INR b)
98
321
91
580
9
459
21
16
43
30
262
1,406
Under Implementation
Number of
Projects
62
57
3
32
63
217
Project Cost
(INR b)
757
680
93
62
47
1,639
Total
Project
Number of Project Cost Number of
Cost
Projects
Projects
(INR b)
(INR b)
74
1826
234
2904
131
804
279
2064
2
8
14
560
28
38
81
116
125
70
231
147
360
2,746
839
5,791
Under Development
Source: Ministry of Ports, Shipping and Waterways, MOFSL
February 2025
9
 Motilal Oswal Financial Services
PORTS
Key Focus Areas
Enhancing connectivity
between ports and
hinterland via road, rail,
and inland waterways to
ensure smooth cargo
movement
Reducing the cost of
transporting domestic
cargo through
optimizing the model
mix
Reducing logistic costs
of bulk commodities by
locating future
industrial capacities
near the coast
Reduction of logistic
costs for EXIM and
domestic trade with
minimal infrastructure
investment
Optimizing time/costs
of EXIM container
movement
Improving export
competitiveness by
developing port-
proximate discrete
manufacturing clusters
Source: MOFSL
February 2025
10
 Motilal Oswal Financial Services
PORTS
Infra development the key to growth for the ports sector
The GoI has been consistently increasing budgetary support for the Ministry of
Ports, Shipping, and Waterways to strengthen maritime infrastructure and enhance
India's logistics and trade efficiency. Key focus areas for these investments include:
1.
Development of port infrastructure:
Enhancing capacity and operational
efficiency of major and minor ports.
2.
Modernization of inland waterways:
Promoting inland water transport for cost-
effective and sustainable logistics.
3.
Maritime connectivity:
Integrating ports with rail and road networks to boost
seamless cargo movement.
4.
Support for the Sagarmala Program:
Aligning budget outlay with long-term
initiatives under the Sagarmala project to reduce logistics costs and promote
coastal economic zones.
Exhibit 4: Increasing budgetary allocation for the ports sector
Outlay for Ports under respective Union Budgets (INR b)
54.2
40.6
29.3
26.5
31.6
62.3
The GoI is boosting
budgetary support to
enhance maritime
infrastructure, focusing on
ports, waterways,
connectivity, and the
Sagarmala Program.
FY20
FY21
FY22
FY23
FY24
FY25
Source: Union Budget 2025, MOFSL
The increasing budgetary allocations underscore India's commitment to becoming a
global maritime hub and improving its ranking in the global logistics performance
index.
February 2025
11
 Motilal Oswal Financial Services
PORTS
Major ports vs. non-major ports
Major and minor ports are the two types of ports in India. Major ports are owned
and operated by the Central government, while minor ports are owned and
operated by respective state governments/State Maritime Boards.
India has 13 major ports (12
government-owned, one
private) and 205
minor/intermediate ports
India has 205 designated minor and intermediate ports that handle a significant
amount of cargo, in addition to 13 major (12 government-owned and one private)
seaports.
All the 13 major ports are functional. Of the 205 non-major ports, around 65 ports
are handling cargo, and the others are “Port Limits” where no cargo is handled.
These are used by fishing vessels and by small ferries to carry passengers across the
creeks, etc.
Non-major ports typically have lesser congestion levels vis-à-vis major ports, as for
major ports the access channel is shared by multiple berths. The cargo ramp-up
possibility at non-major ports is also higher as infrastructure can be created as per
business planning and strategic partnerships.
Exhibit 5: Cargo traffic at major and non-major ports in India
Cargo Traffic at Major Ports (MMT)
Cargo traffic at Non- major ports (MMT)
583
699
FY19
615
705
FY20
577
673
FY21
604
720
FY22
650
783
FY23
720
819
FY24
800
950
FY28E
Source: IBEF, MOFSL
Cargo traffic at major and
non-major ports is expected
to grow in the range of 3-
6% over FY24-28
Exhibit 6: Share of cargo traffic at major and non-major ports in India
Major Ports
Non- major Ports
45%
47%
46%
46%
45%
47%
45%
55%
FY19
53%
FY20
54%
FY21
54%
FY22
55%
FY23
53%
FY24
55%
FY28F
Source: IBEF, MOFSL
February 2025
12
 Motilal Oswal Financial Services
PORTS
Overview of the major ports in India
Major ports primarily generate revenue through port services, royalties, and
revenue shares from terminal operators.
Hinterland consumption patterns heavily influence cargo types handled at ports. For
example, ports near industrial hubs in Maharashtra, Tamil Nadu, and Karnataka
manage diverse cargo, while those near refineries, such as Kandla and Cochin,
handle Petroleum, Oil, and Liquid (POL) traffic. Ports near mining areas, such as
Paradip and Mormugao, experience significant coal and iron ore volumes.
Exhibit 7: Major ports in India
Kolkatat
Paradip
Port Blair
Visakhapatnam
Ennore
Kandla
Mumbai
Mogugao
New
Mangalore
Cochin
Lakshadweep
Chennai
V.O
Chindambaranar
Source: IBEF, MOFSL
February 2025
13
 Motilal Oswal Financial Services
PORTS
Exhibit 8: Details of the major Indian ports
Port
East Coast
Kolkata / Haldia
Paradip
Vizag
Chennai
Tuticorin
Ennore
Port Blair
West Coast
Cochin
New Mangalore
Mormugao
Mumbai
JNPA
Kandla
State
West Bengal
Orissa
Andhra Pradesh
Tamil Nadu
Tamil Nadu
Tamil Nadu
Andaman Island
Kerala
Karnataka
Goa
Maharashtra
Maharashtra
Gujarat
Year of
Incorporation
1970
1966
1933
1875
1974
2001
2010
1936
1974
1963
1873
1989
1952
Type
All weather - riverine port
All weather - artificial lagoon port
All weather - natural harbor
All weather - artificial harbor with wet docks
All weather - artificial deep sea harbor
All weather - artificial harbor
All weather - natural harbor
All weather - natural harbor
All weather - artificial lagoon port
All weather - open protected harbor
All weather - natural harbor
All weather - tidal port
All weather - natural harbor
Source: IPA, MOFSL
Exhibit 9: Cargo traffic at major Indian ports
Cargo Traffic at Major Ports (MMT)
819
950
699
705
673
720
783
FY19
FY20
FY21
FY22
FY23
FY24
FY28E
Source: IPA, IBEF, MOFSL
February 2025
14
 Motilal Oswal Financial Services
PORTS
Overview of the non-major ports in India
Non-major ports in India, managed by state governments, play a vital role in the
country's maritime trade, handling nearly half of the total cargo traffic. They
complement major ports by catering to regional industries and specialized cargo like
coal, petroleum, and agricultural products.
Non-major ports, managed
by states, handle nearly half
of India's cargo, supporting
regional industries with
PPP-driven efficiency
Most of the non-major ports operate under public-private partnership (PPP) models
or private ownership, offering greater flexibility and efficiency. Strategically located
near industrial hubs and mineral-rich regions, they support regional economic
development. However, challenges like smaller capacities, infrastructure gaps, and
varying state policies persist. The Sagarmala Programme aims to modernize these
ports, enhancing their contribution to India’s growing trade ecosystem.
Exhibit 10: Key non-major ports across states
State
Maharashtra
Gujarat
Andaman & Nicobar
Kerala
Tamil Nadu
Andhra Pradesh
Odisha
Karnataka
Goa
Pondicherry
Number of non-major ports
15
19
11
4
5
5
2
7
1
2
Source: IBEF, MOFSL
High entry barriers in the
sector pose a significant
advantage to existing
players
The key entry barriers in the port sector include high capital requirements, with
greenfield projects demanding significant investments (e.g., INR10-15b for a one-
million TEU terminal). Projects also have long gestation periods, often exceeding five
years, and require robust hinterland connectivity. Strict regulatory criteria and the
dominance of a few established players further limit new entrants, emphasizing the
need for technical expertise and operational efficiency.
These 205 non-major ports handle ~45-50% of the nation’s total cargo volume,
managing diverse commodities such as coal, petroleum, iron ore, and agricultural
products.
Exhibit 11: Cargo traffic at non-major Indian ports
Cargo traffic at Non- major ports (MMT)
615
650
720
800
583
577
604
FY19
FY20
FY21
FY22
FY23
FY24
FY28E
Source: IBEF, MOFSL
February 2025
15
 Motilal Oswal Financial Services
PORTS
Capacity additions and utilization of ports in India
In FY24, port utilization levels remained stable at around 50. Deferred port capacity
expansion and capital expenditure from FY21 due to COVID-19 are expected to
recover, with capacity additions projected at 2-4% annually over the next five years.
Port traffic is driven by
mineral, steel, cement,
power, and manufacturing
clusters, with key mineral
hubs in Odisha, Jharkhand,
Chhattisgarh, and
Karnataka, and major
industries strategically
located near resources or
ports
Indian ports will add 500-550MMT of capacity during this period, driven primarily by
the POL (including LNG and LPG) segment, followed by coal and containers.
Major ports, such as Visakhapatnam, Paradip, Kandla, Ennore, Mumbai, Tuticorin,
and JNPT, will contribute 65-70% of the new capacity, with the remainder coming
from non-major ports in Odisha, Karnataka, Andhra Pradesh, and Kerala. Utilization
is likely to stabilize around 54-58% as capacity expansion aligns with traffic growth.
Exhibit 12: Total capacity and utilization rate at Indian Ports
Total Ports Capacity (MMT)
58%
58%
57%
56%
55%
54%
54%
54%
Utilisation Capacity rate
FY18
FY19
FY20
FY21
FY22
FY23
FY24
FY28E
Source: IPA, IBEF, MOFSL
Key industrial clusters drive cargo traffic at Indian ports
Port traffic is primarily driven by mineral, steel, cement, power, and discrete
manufacturing clusters. Key mineral clusters are in Odisha, Jharkhand, Chhattisgarh,
and Karnataka, while major steel capacities are located near these mineral sources
or end-user markets.
Cement and power plants are positioned based on the availability of limestone and
coal. Some coal-import-based power plants are near ports, such as Mundra,
Krishnapatnam, and Jaigarh. Discrete manufacturing clusters are mainly situated in
Northern and Western India.
February 2025
16
 Motilal Oswal Financial Services
PORTS
Exhibit 13: Key mineral and manufacturing clusters in India
Source: JSWINFRA DRHP, MOFSL
Privatization of Indian ports
The Indian government has been actively promoting the privatization of ports to
enhance efficiency, attract private investment, and modernize infrastructure under
the
Maritime India Vision 2030.
By transitioning major ports to a landlord model,
the government aims to improve private sector participation in operations while
retaining ownership of land and strategic assets.
This policy shift is intended to improve cargo handling efficiency, reduce logistics
costs, and boost India's competitiveness in global trade. Privatization initiatives also
align with the larger goal of developing world-class infrastructure, fostering
economic growth, and increasing capacity to meet the growing demand for cargo
handling driven by rising exports and imports.
Exhibit 14: Privatization of ports in India
PORT
Paradip Port
Deendayal Port (Kandla)
JNPT(Mumbai)
Mormugao Port
Mumbai Port
Shyama Prasad Mookerjee Port Kolkata (Khidderpore)
Shyama Prasad Mookerjee Port Kolkata (Haldia)
Visakhapatnam Port
V. O. Chidambaram Port (formerly Tuticorin
New Mangalore Port
Total
Total no. of
projects
4
4
3
3
2
4
3
4
3
1
31
FY22
2
2
1
1
2
1
1
1
2
13
FY23
2
2
2
1
2
1
10
1
1
1
3
FY24
FY25E
2
2
1
5
Source: IBEF, Industry Reports, MOFSL
February 2025
17
 Motilal Oswal Financial Services
PORTS
A total of 31 privatization projects are planned, with 13 projects completed in FY22,
10 in FY23, and the remaining eight being split across FY25 and FY26. Paradip and
Visakhapatnam ports each have four projects planned, with significant progress
observed. This reflects India's continued efforts to enhance efficiency and
investment in its port infrastructure through privatization.
Regulatory framework of the ports sector in India
The
Major Port Authorities Act, 2021
replaced the
Major Ports Trust Act, 1963,
bringing significant reforms to the governance of major ports in India. Under the
new Act, the
Port Authority Board
holds several key powers. First, the composition
and list of board members must be submitted to the central government every five
years. The Board is also considered the successor to the previous Board of Trustees
of Major Ports.
Additionally, the Act mandates the formation of an
Adjudicatory Board
within the
Port Authority to resolve disputes between ports and PPP concessionaires, taking
over the functions of the former
Tariff Authority for Major Ports (TAMP).
The Port
Authority Board is also empowered to manage port assets and funds, develop
infrastructure such as new ports and jetties, and grant exemptions from charges on
goods or vessels.
Further, the repeal of
TAMP
allows port authorities to set tariffs based on market
conditions, improving the competitive positioning of major port terminals relative to
non-major ports, which already had this flexibility. In summary, the Act modernizes
port governance, enhances dispute resolution, and boosts the attractiveness of the
port sector by granting port authorities greater autonomy and enabling competitive
tariff-setting.
Exhibit 15: The institutional framework of Indian ports
The Indian government is
promoting port
privatization under
Maritime India Vision 2030,
shifting to a landlord model
to enhance efficiency,
attract investment, and
boost global trade
competitiveness
Source: JSWINFRA DRHP, MOFSL
February 2025
18
 Motilal Oswal Financial Services
PORTS
Key risks/challenges in the Indian ports sector
Key challenges for Indian
ports include policy
uncertainty, infrastructure
gaps, environmental
hurdles, and global trade
volatility, affecting
investment, connectivity,
and cargo throughput.
Policy and regulatory uncertainty:
Frequent changes in government policies
and regulations can create uncertainty for private port operators. Delay in
finalizing key policies, such as the National Ports Policy and regulatory
frameworks for tariff rationalization, hinders investment decisions.
Infrastructure gaps:
Poor last-mile connectivity to ports, including inadequate
road and rail infrastructure, hampers seamless cargo movement. Insufficient
dredging and maintenance result in shallow drafts at many ports, limiting their
ability to handle large vessels.
Environmental and social challenges:
Coastal projects face delays due to
environmental clearances and social opposition, particularly concerning land
acquisition and ecological impact. Rising sea levels and extreme weather events
pose long-term risks to port infrastructure.
Global economic volatility:
Fluctuations in global trade volumes due to
economic downturns, geopolitical tensions, or protectionist policies can impact
cargo throughput. Dependence on certain commodities (e.g., coal, crude oil)
makes ports vulnerable to changes in trade dynamics and shifting energy
policies.
Operational efficiency:
Major ports often lag in adopting modern technologies,
such as automation and digitalization, compared to global counterparts.
Bureaucratic inefficiencies and outdated labor practices in some ports reduce
competitiveness.
Concerns regarding port privatization:
While privatization has attracted
investments, disputes over revenue-sharing models and concession agreements
have created friction between the government and private operators. Concerns
about monopolization by large private players could affect fair competition.
Geopolitical risks:
Proximity to politically sensitive areas (e.g., the Indian Ocean)
exposes ports to risks from geopolitical instability. Increasing competition from
regional ports in Sri Lanka, Bangladesh, and the Middle East could adversely
affect India's share in transshipment cargo.
Market leaders, such as APSEZ and JSWINFRA, well-placed to outpace
industry growth
The all-India cargo throughput has posted a CAGR of 5% over FY14-24. APSEZ
and JSWINFRA are emerging as dominant players in the Indian port sector,
significantly outpacing the overall industry growth.
February 2025
19
 Motilal Oswal Financial Services
PORTS
Exhibit 16: All-India cargo throughput has recorded a CAGR of 5% over FY14-24
All India Cargo Throughput (MMT)
1,539
1,282
973
FY14
FY19
FY24
Source: Company, MOFSL
APSEZ has exhibited a CAGR of 14% in domestic cargo volumes between FY14
and FY24, substantially surpassing India’s cargo throughput CAGR of 5% during
the same period. This growth trajectory has elevated its market share in cargo
handling from 10% in FY14 to 27% as of Dec’24. Such growth is fueled by a
combination of aggressive capacity expansions—both organic and inorganic. The
company’s acquisitions of ports on India’s west and east coasts, coupled with
greenfield and brownfield developments, have cemented its position as a
market leader. Additionally, APSEZ’s focus on integrating logistics services—
spanning container train operations (CTO), warehousing, last-mile delivery, and
inland container depots (ICDs)—positions it as a holistic transport utility. This
strategy not only captures a greater share of customers’ logistics needs but also
fosters customer loyalty by making cargo handling more streamlined and
efficient.
Exhibit 18: Market share of APSEZ
Cargo handled by Adani Ports (MMT)
Adani's share in Overall Cargo (%)
20%
24% 24%
Exhibit 17: Cargo throughput at APSEZ (MMT)
Adani Ports (MMT)
408
208
113
27%
6%
8%
10%
12%
14% 14%
17%
15% 15% 16%
Source: Company, MOFSL
Source: Company, MOFSL
JSWINFRA has also demonstrated exceptional growth, achieving a CAGR of 25%
in cargo volumes from FY19 to FY24, well above India’s growth rate of 5%. This
surge has allowed JSWINFRA to command a 7% market share in the Indian port
sector. The company's focus on capacity enhancement is evident from its
ambitious roadmap to increase capacity to 400MMT by FY30 from 174MMT at
present. Further, JSWINFRA’s acquisition of a 70% stake in Navkar Corporation
highlights its commitment to providing end-to-end logistics solutions, leveraging
large land resources and last-mile connectivity. This diversified approach to
logistics complements its port operations, ensuring robust growth and sustained
competitiveness.
20
February 2025
 Motilal Oswal Financial Services
PORTS
Exhibit 19: Cargo throughput at JSWINFRA (MMT)
FY19
FY24
107
Exhibit 20: Market share of JSWINFRA
Cargo handled by JSWINFRA (MMT)
JSWINFRA's share in Overall Cargo (%)
6%
5%
4%
3%
34
FY20
46
FY21
62
FY22
93
FY23
107
FY24
7%
35
3%
3%
3%
3%
30
FY19
FY24
Source: Company, MOFSL
FY16
38
FY17
32
FY18
35
FY19
Source: Company, MOFSL
Exhibit 21: Valuation assessment
M-cap (INR b)
Rating
CMP
EPS FY27E
P/E FY27E
Target multiple (x)
Target
Upside (%)
APSEZ
2,400
BUY
1,112
70
15.9
15
1,400
26%
JSWINFRA
500
BUY
238
9.8
24.6
22
330
37%
Exhibit 22: Relative performance comparison
Revenue CAGR (FY24-27E)
EBITDA CAGR (FY24-27E)
PAT CAGR (FY24-27E)
Average RoE (FY24-27E)
Average RoCE (FY24-27E)
EV/EBITDA FY27E
APSEZ
14%
15%
19%
19%
13%
11
JSWINFRA
22%
21%
20%
17%
14%
14
February 2025
21
 Motilal Oswal Financial Services
Compaines
PORTS
1
PG23
Adani Ports & SEZ
Largest private port operator in India
2
PG27
JSW Infrastructure
Scouting for organic and inorganic expansions
February 2025
22
 Motilal Oswal Financial Services
Adani Ports & SEZ
BSE SENSEX
75,736
S&P CNX
22,913
February 2025
Company Update | Sector: Logistics
CMP: INR1,112
Largest private port operator in India
TP: INR1,400 (+26%)
Buy
Bloomberg
Equity Shares (m)
M.Cap.(INRb)/(USDb)
52-Week Range (INR)
1, 6, 12 Rel. Per (%)
12M Avg Val (INR M)
ADSEZ IN
2160
2401.4 / 27.7
1621 / 994
-1/-18/-18
5813
Financials & Valuations (INR b)
Y/E MARCH
Sales
EBITDA
Adj. PAT
EBITDA Margin (%)
Adj. EPS (INR)
EPS Gr. (%)
BV/Sh. (INR)
Ratios
Net D:E
RoE (%)
RoCE (%)
Payout (%)
Valuations
P/E (x)
P/BV (x)
EV/EBITDA(x)
EV/ton (USD)
Div. Yield (%)
FCF Yield (%)
FY25E
298.2
181.0
102.9
60.7
47.7
15.5
286.8
0.6
17.9
11.8
15.4
23.3
3.9
15.3
0.7
2.7
23.3
FY26E
341.9
209.7
126.3
61.3
58.5
22.7
336.5
0.5
18.8
12.8
12.6
19.0
3.3
13.1
0.7
3.4
19.0
FY27E
396.2
242.0
151.3
61.1
70.0
19.8
396.0
0.4
19.1
13.6
10.5
15.9
2.8
11.2
0.7
4.4
15.9
Jun-23
62.9
12.4
17.0
7.7
Shareholding pattern (%)
As On
Jun-24 Mar-24
Promoter
65.9
65.9
DII
12.5
11.8
FII
15.2
15.0
Others
6.4
7.3
FII Includes depository receipts
Stock’s performance (one-year)
APSEZ is the largest port developer and operator in India by volume, with an
annual capacity of ~633MMT in India. It commenced operations with the
Mundra Port in Gujarat under a 30-year concession agreement with the
Gujarat Maritime Board (GMB). Since then, the port company has rapidly
grown to become the largest in the country in terms of cargo handling
capacity, with 15 operational ports/terminals. The ports offer handling
services for all kinds of cargo, viz., dry bulk, liquid bulk, crude, and containers.
Further, through Adani Logistics (ALL), the company is present in the logistics
business, offering container trains, inland container depots (ICDs),
warehousing, etc., which it has been expanding to become an integrated
transport utility company.
Strong volume growth:
APSEZ ended FY24 with 24% volume growth in FY24
volumes, taking the total volumes to 420 MMT (YTDFY25 volumes
registered growth of 7% YoY at 372MMT). About 27% of the all-India cargo
volume was routed through APSEZ ports in FY24 and 9MFY25. For FY25, the
company is targeting cargo volumes of 460-470 MMT.
Market share gains driven by operational efficiencies:
APSEZ achieved 3x
higher growth than the industry, growing its market share to ~27% as of
Dec’24 from 10% in FY13. This growth was driven by the incorporation of
new cargo classes at Mundra and Dhamra ports and a pickup in coal &
coastal coal cargo at Gangavaram and Dhamra (aided by robust economic
growth). Additionally, the advantages of an integrated port-cum-logistics
service have significantly helped gain market share.
Transforming into an integrated logistics solutions company:
ALL has
expanded its services to cover container train operations, container
handling in logistic parks, and warehouses offering storage and trucking
solutions. With 12 multi-modal logistics parks, 132 trains, 3.1m sq. ft. of
warehousing space, and 1.2mmt of grain silos, ALL aims to establish a
nationwide presence by further developing logistic parks and warehouses.
India’s largest third-party marine service provider with the most extensive
capital dredging capacity:
APSEZ is the largest marine service provider in
the country and has recently acquired an 80% stake in Astro for USD185m.
Founded in 2009, Astro is a leading global offshore support vessel (OSV)
operator with a fleet of 26 vessels, providing services across the Middle
East, India, Far East Asia, and Africa.
Volume growth trajectory to continue; reiterate BUY:
APSEZ continues to
gain market share while generating strong cash flows and maintaining its
leverage position, with a net debt-to-EBITDA ratio of 2x as of Sep’24. We
expect APSEZ to register 10% volume growth and a CAGR of 14%/15%/19%
in revenue/EBITDA/PAT over FY24-27.
With consistent outperformance in
cargo volumes, we reiterate our BUY rating with a TP of INR1,400 (based
on 15x Sep’26 EV/EBITDA).
23
February
2025
 Motilal Oswal Financial Services
PORTS
Exhibit 23: APSEZ – volumes (MMT)
600
450
300
150
-
249
312
Mundra
Kattupalli
Others
Hazira
Krishnapatnam
420
Dhamra
Gangavaram
556
506
457
Exhibit 24: Revenue growth to remain strong
Revenue (INR b)
342
396
339
125
171
209
267
298
Source: Company, MOFSL
Source: Company, MOFSL
Exhibit 25: Margin to stabilize at ~60%
EBITDA (INR b)
EBITDA margins (%)
Exhibit 26: Strong operating performance to drive PAT
Adj. PAT (INR b)
126
151
64%
61%
62%
59%
61%
61%
61%
45
59
77
89
103
80
104
128
159
181
210
242
Source: Company, MOFSL
Source: Company, MOFSL
Exhibit 27: Ports revenue to report a 14% CAGR
Ports Revenue (INR b)
EBITDA (INR b)
360
230
Exhibit 28: Logistics revenue to report a 12% CAGR
Logistics Revenue (INR b)
29.5
104
69
116
150
77
98
187
121
242
152
270
173
311
200
17.4
9.6
2.3
9.6
2.3
12.1
3.2
4.9
20.8
22.8
25.0
5.4
5.9
6.7
8.1
Source: Company, MOFSL
Source: Company, MOFSL
February 2025
24
 Motilal Oswal Financial Services
PORTS
Financials and valuation
Consolidated Income Statement
Y/E March (INR b)
Net Sales
Change in Net Sales (%)
Total Expenses
EBITDA
Margin (%)
Depn. & Amortization
EBIT
Net Interest
Other income
PBT
EO expense
PBT after EO
Tax
Rate (%)
PAT before JV, MI
Share of loss from JV, MI
Reported PAT
Adjusted PAT
Change (%)
Margin (%)
FY21
125
5.7
46
80
63.6
21
59
21
20
57
-6
63
12
19.7
51
-1
50
45
-9.6
36.0
FY22
171
36.4
67
104
60.7
31
73
26
22
70
13
57
8
13.4
49
0
49
59
30.3
34.4
FY23
209
21.8
80
128
61.5
34
94
26
16
84
29
54
1
1.8
53
0
53
77
29.8
36.7
FY24
267
28.1
108
159
59.4
39
120
28
15
107
4
103
20
19.4
83
-2
81
89
16.5
33.4
FY25E
298
11.6
117
181
60.7
43
138
29
13
122
-4
126
20
16.0
106
-0.1
106
103
15.5
34.5
FY26E
FY27E
342
396
14.7
15.9
132
154
210
242
61.3
61.1
47
52
163
190
27
27
15
16
150
180
0
0
150
180
24
29
16.0
16.0
126
151
-0.1
0.0
126
151
126
151
22.7
19.8
36.9
38.2
Source: MOFSL, Company
Consolidated Balance Sheet
Y/E March (INR b)
Share Capital
Reserves
Net Worth
Minority Interest
Total Loans
Deferred Tax Liability
Capital Employed
Gross Block
Less: Accum. Deprn.
Net Fixed Assets
Capital WIP
Investments
Curr. Assets
Inventories
Account Receivables
Cash and Bank Balance
-Cash and cash equivalents
-Bank balance
Loans & advances
Other current assets
Curr. Liability & Prov.
Account Payables
Provisions
Other current liabilities
Net Curr. Assets
Appl. of Funds
FY21
4
302
306
15
344
3
668
552
111
441
37
22
244
10
24
47
42
5
21
143
76
10
1
65
168
668
FY22
4
416
420
4
455
17
895
700
142
558
40
32
353
4
22
107
87
20
19
201
88
12
1
75
265
895
FY23
4
452
456
13
498
10
977
782
148
634
68
101
324
5
32
42
9
33
20
225
150
18
17
114
175
977
FY24
4
525
529
16
463
23
1,031
848
179
669
109
56
335
4
37
76
16
61
3
215
139
22
13
105
196
1,031
FY25E
4
615
620
17
458
23
1,117
938
222
715
109
76
353
5
45
84
24
61
3
216
138
20
13
105
216
1,117
FY26E
FY27E
4
4
723
851
727
856
18
19
448
438
23
23
1,215
1,335
1,033
1,128
269
321
763
807
109
109
106
136
377
427
6
6
56
71
95
129
34
68
61
61
4
4
216
217
141
144
23
27
13
13
105
105
236
282
1,215
1,335
Source: MOFSL, Company
February 2025
25
 Motilal Oswal Financial Services
PORTS
Financials and valuation
Ratios
Basic (INR)
EPS
EPS Growth
Cash EPS
BV/Share
Payout (%)
Dividend yield (%)
Valuation (x)
P/E
Cash P/E
P/BV
EV/EBITDA
Dividend Yield (%)
Return Ratios (%)
RoE
RoCE (post-tax)
RoIC (post-tax)
Working Capital Ratios
Fixed Asset Turnover (x)
Asset Turnover (x)
Debtor (Days)
Creditors (Days)
Inventory (Days)
Leverage Ratio (x)
Current Ratio
Interest Cover Ratio
Net Debt/EBITDA
Net Debt/Equity
FY21
22.3
-9.6
32.6
150.7
22.5
0.5
49.9
34.0
7.4
33.5
0.5
16.1
10.3
9.5
0.3
0.2
69
29
29
3.2
3.7
3.7
1.0
FY22
27.9
25.4
42.6
198.8
17.9
0.5
39.8
26.1
5.6
25.6
0.5
16.2
10.4
9.9
0.3
0.2
47
25
8
4.0
3.7
3.3
0.8
FY23
35.4
26.9
51.3
211.0
14.1
0.5
31.4
21.7
5.3
21.5
0.5
17.5
10.9
12.5
0.3
0.2
57
32
8
2.2
4.2
3.6
1.0
FY24
41.3
16.5
59.3
245.1
14.5
0.6
26.9
18.7
4.5
17.2
0.5
18.1
11.1
12.4
0.3
0.3
50
30
6
2.4
4.8
2.4
0.7
FY25E
47.7
15.5
67.8
286.8
15.4
0.7
23.3
16.4
3.9
15.3
0.7
17.9
11.8
14.1
0.4
0.3
55
25
6
2.6
5.3
2.1
0.6
FY26E
58.5
22.7
80.2
336.5
12.6
0.7
19.0
13.9
3.3
13.1
0.7
18.8
12.8
15.6
0.4
0.3
60
25
6
2.7
6.5
1.7
0.5
FY27E
70.0
19.8
93.9
396.0
10.5
0.7
15.9
11.8
2.8
11.2
0.7
19.1
13.6
17.2
0.5
0.3
65
25
6
3.0
7.8
1.3
0.4
Cash Flow Statement (INR b)
OP/(Loss) before Tax
Depreciation
Direct Taxes Paid
(Inc)/Dec in WC
Other Items
CF from Operations
(Inc)/Dec in FA
Free Cash Flow
Acquisitions/Divestment
Change in Investments
Others
CF from Investments
Share issue
Inc/(Dec) in Debt
Interest
Dividend
Others
Cash from financing activity
Net change in cash & equi.
Opening cash balance
change in control of subs.
Closing cash balance
FY21
63
21
-9
4
-4
76
-19
56
-150
6
22
-141
0
55
-20
0
0
35
-31
72
1
42
FY22
57
31
-10
8
18
104
-36
68
-7
-28
18
-53
9
75
-26
-10
-54
-6
46
43
-2
87
FY23
55
34
-8
-9
47
119
-89
30
-144
23
15
-196
9
3
-24
-11
-6
-27
-104
87
27
9
FY24
101
39
-13
0
23
150
-74
76
-31
-5
41
-69
2
-41
-28
-11
0
-78
3
11
2
16
FY25E
127
43
-20
-11
15
154
-90
64
0
-20
13
-97
0
-5
-29
-16
0
-49
8
16
0
24
FY26E
FY27E
151
181
47
52
-24
-29
-10
-13
12
10
177
202
-95
-95
82
107
0
0
-30
-30
15
16
-110
-109
0
0
-10
-10
-27
-27
-19
-23
0
0
-56
-59
10
34
24
34
0
0
34
68
Source: MOFSL, Company
February 2025
26
 Motilal Oswal Financial Services
JSW Infrastructure
BSE SENSEX
75,736
S&P CNX
22,913
February 2025
Company Update | Sector: Logistics
Scouting for organic and inorganic expansions
JSWINFRA, incorporated in 2006, is a part of the JSW Group and is engaged in the
business of developing infrastructure and operations for ports across India. As of
Dec’24, JSWINFRA has a total operational capacity of around 174 MMTPA. It has
also entered into an agreement with the Port of Fujairah for the operation and
maintenance of the bulk handling system for cargo at two berths in the Fujairah
Port. In Oct’23, JSWINFRA completed its IPO of INR28b.
CMP: INR238
TP: INR330 (+37%)
Buy
Bloomberg
Equity Shares (m)
M.Cap.(INRb)/(USDb)
52-Week Range (INR)
1, 6, 12 Rel. Per (%)
12M Avg Val (INR M)
JSWINFRA IN
2100
500.4 / 5.8
361 / 211
-18/-17/-3
1050
Financials & Valuations (INR b)
Y/E MARCH
Sales
EBITDA
Adj. PAT
EBITDA Margin (%)
Adj. EPS (INR)
EPS Gr. (%)
BV/Sh. (INR)
Ratios
Net D:E
RoE (%)
RoCE (%)
Payout (%)
Valuations
P/E (x)
P/BV (x)
EV/EBITDA(x)
EV/ton (USD)
Div. Yield (%)
FCF Yield (%)
FY25E FY26E FY27E
45.3
55.0
67.8
23.0
28.2
35.0
14.0
16.2
20.5
50.7
51.4
51.5
6.7
7.7
9.8
15.3
15.5
26.5
43.2
49.0
56.3
-0.0
16.4
12.9
0.0
35.9
5.6
21.9
0.0
51.0
35.9
0.0
16.7
13.3
0.0
31.1
4.9
17.9
0.0
0.1
31.1
-0.0
18.5
15.0
0.0
24.6
4.3
14.4
0.0
64.9
24.6
Shareholding pattern (%)
As On
Promoter
DII
FII
Others
Dec-24
Sep-24
Dec-23
85.6
85.6
85.6
2.7
2.5
4.1
5.4
5.6
5.1
6.3
6.3
5.2
FII Includes depository receipts
Stock’s performance (one-year)
JSW Infrast
Nifty - Rebased
390
340
290
240
190
Geographically diversified port locations:
JSWINFRA has two minor
ports (Jaigarh and Dharamtar) on the western coast, while it has seven
operational terminals on major ports. Among seven port terminals, four
are located on the eastern coast and three on the western coast, leading
to a geographically diverse presence for JSWINFRA. The ports are located
in the vicinity of JSW Group companies.
Volume growth to remain robust:
Cargo volumes grew 15% YoY in FY24 to
106.5MMT from 93MMT in FY23 (three-year CAGR of 33% over FY21-24).
With capacity ramp-up at existing ports, along with a higher share of
volumes from third-party customers, we expect the growth momentum to
continue.
Scouting for organic and inorganic expansions:
JSWINFRA has been
actively scouting for growth opportunities (organic/inorganic) as the
management aims to maintain a ~15% CAGR in volume over the long
term. In FY24, JSWINFRA signed a concession agreement with the
Karnataka Maritime Board to develop a 30 MTPA greenfield port in Keni,
Karnataka. Additionally, it emerged as the winning bidder for a 7MTPA dry
bulk terminal in Tuticorin through a PPP model. Furthermore, JSWINFRA
signed a concession agreement with JNPA for two liquid berths with a
capacity of 4.5MTPA.
To enhance capacity to 400MMT by 2030 through capex:
In line with its
long-term growth outlook, the management has guided a capex of
INR300b over FY24-30E, which will increase overall capacity by 85MMT in
the next three years, and to 400MMT by 2030 (current capacity is
174MMT).
On track to deliver robust performance; reiterate BUY:
Considering
stable growth levers at its existing ports and terminals, a higher share of
third-party customers, sticky cargo volume from JSW Group companies,
and an expanding portfolio, we expect JSWINFRA to strengthen its
market dominance, leading to a 14% volume CAGR over FY24-27. This
should drive a 22% CAGR in revenue and a 21% CAGR in EBITDA.
We
reiterate our BUY rating with a revised TP of INR330 (premised on 22x
Sep’26 EV/EBITDA).
February
2025
27
 Motilal Oswal Financial Services
PORTS
Exhibit 29: Expect JSWINFRA to report 14% volume CAGR over FY24-27 (MMT)
Jaigarh Port
New Mangalore Coal
Ennore Bulk
Dharamtar Port
Paradip Iron Ore
Others
320
240
160
80
-
South West Port, Goa
Paradip Coal
Total
New Mangalore Container
Ennore Coal
34
46
62
93
107
118
135
156
Source: Company, MOFSL
Exhibit 30: Revenue growth to remain strong
Revenue (INR b)
68
55
32
38
45
Exhibit 31: Margin to improve with higher volumes
EBITDA (INR b)
EBITDA margins (%)
54%
51%
49%
51%
52%
51%
51%
52%
11
16
23
6
8
11
16
20
23
28
35
Source: Company, MOFSL
Source: Company, MOFSL
Exhibit 32: Strong operating performance to drive PAT
Adj. PAT (INR b)
20
12
14
16
Exhibit 33: Return ratios to remain stable
RoE (%)
27
16
9
20
14
16
17
19
13
15
RoCE (%)
10
2
3
4
9 8
10
12
8
13
Source: Company, MOFSL
Source: Company, MOFSL
February 2025
28
 Motilal Oswal Financial Services
PORTS
Financials and valuation
Consolidated Income Statement
Y/E March (INR m)
Net Sales
Change in Net Sales (%)
Total Expenses
EBITDA
Margin (%)
Depn. & Amortization
EBIT
Net Interest
Other income
PBT
EO expense
PBT after EO
Tax
Rate (%)
PAT before JV, MI
Share of loss from JV, MI
Reported PAT
Adjusted PAT
Change (%)
Margin (%)
FY21
16,036
40.3
7,871
8,164
50.9
2,707
5,458
2,522
747
3,683
-244
3,926
1,080
27.5
2,846
68
2,914
2,731
9.3
17.0
FY22
22,731
41.7
11,636
11,094
48.8
3,695
7,399
3,480
1,057
4,976
716
4,260
955
22.4
3,304
-25
3,279
3,817
39.7
16.8
FY23
31,947
40.5
15,746
16,202
50.7
3,912
12,290
2,819
1,781
11,252
3,142
8,110
615
7.6
7,495
-97
7,398
9,755
155.6
30.5
FY24
37,629
17.8
17,983
19,646
52.2
4,365
15,281
2,892
2,694
15,083
433
14,650
3,043
20.8
11,607
-48
11,559
11,884
21.8
31.6
FY25E
45,297
20.4
22,309
22,988
50.7
5,452
17,536
3,248
3,314
17,602
118
17,484
3,497
20.0
13,987
-48
13,939
14,022
18.0
31.0
FY26E
54,987
21.4
26,743
28,244
51.4
7,797
20,447
2,961
3,347
20,832
0
20,832
4,583
22.0
16,249
-48
16,201
16,201
15.5
29.5
FY27E
67,848
23.4
32,889
34,960
51.5
9,024
25,936
2,974
3,380
26,342
0
26,342
5,795
22.0
20,547
-48
20,499
20,499
26.5
30.2
Source: MOFSL, Company
FY26E
4,103
98,766
1,02,869
2,142
41,807
-1,916
1,44,902
1,04,231
26,352
77,879
1,089
2,445
78,279
1,482
6,026
39,169
5,500
33,668
81
31,521
14,789
7,532
132
7,125
63,489
1,44,902
FY27E
4,103
1,14,140
1,18,243
2,190
40,807
-1,916
1,59,324
1,24,231
35,376
88,855
1,089
2,445
83,487
1,643
7,435
42,790
9,122
33,668
85
31,532
16,551
9,294
132
7,125
66,936
1,59,324
Consolidated Balance Sheet
Y/E March (INR m)
Share Capital
Reserves
Net Worth
Minority Interest
Total Loans
Deferred Tax Liability
Capital Employed
Gross Block
Less: Accum. Deprn.
Net Fixed Assets
Capital WIP
Investments
Curr. Assets
Inventories
Account Receivables
Cash and Bank Balance
-Cash and cash equivalents
-Bank balance
Loans & advances
Other current assets
Curr. Liability & Prov.
Account Payables
Provisions
Other current liabilities
Net Curr. Assets
Appl. of Funds
FY21
599
28,312
28,912
1,973
34,807
-764
64,927
45,158
6,995
38,163
11,239
2,955
28,112
991
4,115
3,145
1,514
1,631
2,889
16,972
15,542
2,615
82
12,845
12,571
64,927
FY22
599
32,122
32,721
1,998
44,087
-969
77,837
47,405
8,693
38,712
701
2,830
48,563
854
6,013
10,382
5,288
5,094
2,478
28,834
12,969
2,748
89
10,132
35,594
77,837
FY23
3,596
36,350
39,946
942
42,437
-2,121
81,205
48,886
10,435
38,451
450
3,070
49,029
1,022
4,024
16,316
6,187
10,130
585
27,082
9,796
3,016
79
6,701
39,234
81,205
FY24
4,103
76,161
80,264
2,047
43,807
-1,916
1,24,201
64,231
13,103
51,128
1,089
2,445
80,359
1,117
6,768
40,902
7,234
33,668
74
31,497
10,819
3,562
132
7,125
69,540
1,24,201
FY25E
4,103
86,615
90,718
2,094
42,807
-1,916
1,33,704
79,231
18,554
60,677
1,089
2,445
82,335
1,345
5,585
43,819
10,150
33,668
77
31,509
12,841
5,585
132
7,125
69,493
1,33,703
Source: MOFSL, Company
February 2025
29
 Motilal Oswal Financial Services
PORTS
Financials and valuation
Ratios
Basic (INR)
EPS
EPS Growth
Cash EPS
BV/Share
Payout (%)
Dividend yield (%)
Valuation (x)
P/E
Cash P/E
P/BV
EV/EBITDA
Dividend Yield (%)
Return Ratios (%)
RoE
RoCE (post-tax)
RoIC (post-tax)
Working Capital Ratios
Fixed Asset Turnover (x)
Asset Turnover (x)
Debtor (Days)
Creditors (Days)
Inventory (Days)
Leverage Ratio (x)
Current Ratio
Interest Cover Ratio
Net Debt/EBITDA
Net Debt/Equity
FY21
45.6
9.3
90.7
482.4
0.0
0.0
5.3
2.6
0.5
5.3
0.0
10.0
7.7
9.0
0.4
0.2
94
60
23
1.8
2.5
3.9
1.1
FY22
63.7
39.7
125.3
546.0
0.0
0.0
3.8
1.9
0.4
4.1
0.0
12.4
9.1
10.3
0.5
0.3
97
44
14
3.7
2.4
3.0
1.0
FY23
5.4
-91.5
7.6
22.2
0.0
0.0
44.2
31.6
10.8
28.1
0.0
26.8
15.5
18.1
0.7
0.4
46
34
12
5.0
5.0
1.6
0.7
FY24
5.8
6.8
7.9
39.1
0.0
0.0
41.4
30.3
6.1
25.1
0.0
19.8
13.8
17.2
0.7
0.3
66
35
11
7.4
6.2
0.1
0.0
FY25E
6.7
15.3
9.3
43.2
0.0
0.0
35.9
25.9
5.6
21.9
0.0
16.4
12.9
16.9
0.7
0.3
45
45
11
6.4
6.4
0.0
0.0
FY26E
7.7
15.5
11.4
49.0
0.0
0.0
31.1
21.0
4.9
17.9
0.0
16.7
13.3
16.9
0.7
0.4
40
50
10
5.3
8.0
0.1
0.0
FY27E
9.8
26.5
14.1
56.3
0.0
0.0
24.6
17.1
4.3
14.4
0.0
18.5
15.0
18.8
0.8
0.4
40
50
9
5.0
9.9
-0.1
0.0
Cash Flow Statement (INR m)
OP/(Loss) before Tax
Depreciation
Direct Taxes Paid
(Inc)/Dec in WC
Other Items
CF from Operations
(Inc)/Dec in FA
Free Cash Flow
Acquisitions/Divestment
Change in Investments
Others
CF from Investments
Share issue
Inc/(Dec) in Debt
Interest
Dividend
Others
Cash from financing activity
Net change in cash & equi.
Opening cash balance
change in control of subs.
Closing cash balance
FY21
3,926
2,707
-252
1,630
2,098
10,108
-15,925
-5,817
0
820
-1,262
-16,368
0
8,676
-2,242
0
-231
6,202
-57
1,571
0
1,514
FY22
4,260
3,695
-1,222
1,077
3,953
11,762
-5,068
6,694
0
125
-3,070
-8,013
0
3,908
-3,621
0
-262
26
3,775
1,514
0
5,288
FY23
8,110
3,912
1,807
1,952
2,192
17,972
-2,690
15,282
0
-168
-3,350
-6,208
0
-5,054
2,727
0
-8,539
-10,866
899
5,288
0
6,187
FY24
14,650
4,365
-248
-1,141
406
18,032
-2,489
15,543
0
1,182
-40,739
-42,047
28,000
14
2,479
0
-5,454
25,039
1,024
6,210
0
7,234
FY25E
17,484
5,452
-3,497
2,963
-66
22,336
-15,000
7,336
0
0
3,314
-11,686
0
-1,000
-3,248
-3,485
0
-7,733
2,917
7,234
0
10,150
FY26E
FY27E
20,832
26,342
7,797
9,024
-4,583
-5,795
1,354
176
-385
-406
25,015
29,340
-25,000
-20,000
15
9,340
0
0
0
0
3,347
3,380
-21,653
-16,620
0
0
-1,000
-1,000
-2,961
-2,974
-4,050
-5,125
0
0
-8,012
-9,099
-4,650
3,622
10,150
5,500
0
0
5,500
9,122
Source: MOFSL, Company
Investment in securities market are subject to market risks. Read all the related documents carefully before investing
February 2025
30
 Motilal Oswal Financial Services
REPORT GALLERY
RECENT INITIATING COVERAGE REPORTS
PORTS
February 2025
31
 Motilal Oswal Financial Services
PORTS
NOTES
February 2025
32
 Motilal Oswal Financial Services
PORTS
Explanation of Investment Rating
Investment Rating
BUY
SELL
NEUTRAL
UNDER REVIEW
NOT RATED
Expected return (over 12-month)
>=15%
< - 10%
< - 10 % to 15%
Rating may undergo a change
We have forward looking estimates for the stock but we refrain from assigning recommendation
*In case the recommendation given by the Research Analyst is inconsistent with the investment rating legend for a continuous period of 30 days, the Research Analyst shall be within following 30 days take
appropriate measures to make the recommendation consistent with the investment rating legend.
Disclosures
The following Disclosures are being made in compliance with the SEBI Research Analyst Regulations 2014 (herein after referred to as the Regulations).
Motilal Oswal Financial Services Ltd. (MOFSL) is a SEBI Registered Research Analyst having registration no. INH000000412. MOFSL, the Research Entity (RE) as defined in the Regulations, is engaged in
the business of providing Stock broking services, Depository participant services & distribution of various financial products. MOFSL is a listed public company, the details in respect of which are available on
www.motilaloswal.com. MOFSL (erstwhile Motilal Oswal Securities Limited - MOSL) is registered with the Securities & Exchange Board of India (SEBI) and is a registered Trading Member with National
Stock Exchange of India Ltd. (NSE) and Bombay Stock Exchange Limited (BSE), Multi Commodity Exchange of India Limited (MCX) and National Commodity & Derivatives Exchange Limited (NCDEX) for
its stock broking activities & is Depository participant with Central Depository Services Limited (CDSL) National Securities Depository Limited (NSDL),NERL, COMRIS and CCRL and is member of
Association of Mutual Funds of India (AMFI) for distribution of financial products and Insurance Regulatory & Development Authority of India (IRDA) as Corporate Agent for insurance products.
Details of
associate entities of Motilal Oswal Financial Services Limited are available on the website at
http://onlinereports.motilaloswal.com/Dormant/documents/List%20of%20Associate%20companies.pdf
MOFSL and its associate company(ies), their directors and Research Analyst and their relatives may; (a) from time to time, have a long or short position in, act as principal in, and buy or sell the securities or
derivatives thereof of companies mentioned herein. (b) be engaged in any other transaction involving such securities and earn brokerage or other compensation or act as a market maker in the financial
instruments of the company(ies) discussed herein or act as an advisor or lender/borrower to such company(ies) or may have any other potential conflict of interests with respect to any recommendation and
other related information and opinions.; however the same shall have no bearing whatsoever on the specific recommendations made by the analyst(s), as the recommendations made by the analyst(s) are
completely independent of the views of the associates of MOFSL even though there might exist an inherent conflict of interest in some of the stocks mentioned in the research report.
MOFSL and / or its affiliates do and seek to do business including investment banking with companies covered in its research reports. As a result, the recipients of this report should be aware that MOFSL
may have a potential conflict of interest that may affect the objectivity of this report. Compensation of Research Analysts is not based on any specific merchant banking, investment banking or brokerage
service
transactions.
Details
of
pending
Enquiry
Proceedings
of
Motilal
Oswal
Financial
Services
Limited
are
available
on
the
website
at
https://galaxy.motilaloswal.com/ResearchAnalyst/PublishViewLitigation.aspx
A graph of daily closing prices of securities is available at
www.nseindia.com, www.bseindia.com.
Research Analyst views on Subject Company may vary based on Fundamental research and Technical
Research. Proprietary trading desk of MOFSL or its associates maintains arm’s length distance with Research Team as all the activities are segregated from MOFSL research activity and therefore it can
have an independent view with regards to Subject Company for which Research Team have expressed their views.
Regional Disclosures (outside India)
This report is not directed or intended for distribution to or use by any person or entity resident in a state, country or any jurisdiction, where such distribution, publication, availability or use would be contrary
to law, regulation or which would subject MOFSL & its group companies to registration or licensing requirements within such jurisdictions.
For Hong Kong:
This report is distributed in Hong Kong by Motilal Oswal capital Markets (Hong Kong) Private Limited, a licensed corporation (CE AYY-301) licensed and regulated by the Hong Kong Securities and Futures
Commission (SFC) pursuant to the Securities and Futures Ordinance (Chapter 571 of the Laws of Hong Kong) “SFO”. As per SEBI (Research Analyst Regulations) 2014 Motilal Oswal Securities (SEBI Reg.
No. INH000000412) has an agreement with Motilal Oswal capital Markets (Hong Kong) Private Limited for distribution of research report in Hong Kong. This report is intended for distribution only to
“Professional Investors” as defined in Part I of Schedule 1 to SFO. Any investment or investment activity to which this document relates is only available to professional investor and will be engaged only with
professional investors.” Nothing here is an offer or solicitation of these securities, products and services in any jurisdiction where their offer or sale is not qualified or exempt from registration. The Indian
Analyst(s) who compile this report is/are not located in Hong Kong & are not conducting Research Analysis in Hong Kong.
For U.S.
Motilal Oswal Financial Services Limited (MOFSL) is not a registered broker - dealer under the U.S. Securities Exchange Act of 1934, as amended (the"1934 act") and under applicable state laws in the
United States. In addition MOFSL is not a registered investment adviser under the U.S. Investment Advisers Act of 1940, as amended (the "Advisers Act" and together with the 1934 Act, the "Acts), and
under applicable state laws in the United States. Accordingly, in the absence of specific exemption under the Acts, any brokerage and investment services provided by MOFSL, including the products and
services described herein are not available to or intended for U.S. persons. This report is intended for distribution only to "Major Institutional Investors" as defined by Rule 15a-6(b)(4) of the Exchange Act
and interpretations thereof by SEC (henceforth referred to as "major institutional investors"). This document must not be acted on or relied on by persons who are not major institutional investors. Any
investment or investment activity to which this document relates is only available to major institutional investors and will be engaged in only with major institutional investors. In reliance on the exemption
from registration provided by Rule 15a-6 of the U.S. Securities Exchange Act of 1934, as amended (the "Exchange Act") and interpretations thereof by the U.S. Securities and Exchange Commission
("SEC") in order to conduct business with Institutional Investors based in the U.S., MOFSL has entered into a chaperoning agreement with a U.S. registered broker-dealer, Motilal Oswal Securities
International Private Limited. ("MOSIPL"). Any business interaction pursuant to this report will have to be executed within the provisions of this chaperoning agreement.
The Research Analysts contributing to the report may not be registered /qualified as research analyst with FINRA. Such research analyst may not be associated persons of the U.S. registered broker-dealer,
MOSIPL, and therefore, may not be subject to NASD rule 2711 and NYSE Rule 472 restrictions on communication with a subject company, public appearances and trading securities held by a research
analyst account.
For Singapore
In Singapore, this report is being distributed by Motilal Oswal Capital Markets (Singapore) Pte. Ltd. (“MOCMSPL”) (UEN 201129401Z), which is a holder of a capital markets services license and an exempt
financial adviser in Singapore.This report is distributed solely to persons who (a) qualify as “institutional investors” as defined in section 4A(1)(c) of the Securities and Futures Act of Singapore (“SFA”) or (b)
are considered "accredited investors" as defined in section 2(1) of the Financial Advisers Regulations of Singapore read with section 4A(1)(a) of the SFA. Accordingly, if a recipient is neither an “institutional
investor” nor an “accredited investor”, they must immediately discontinue any use of this Report and inform MOCMSPL .
In respect of any matter arising from or in connection with the research you could contact the following representatives of MOCMSPL. In case of grievances for any of the services rendered by MOCMSPL
write to grievances@motilaloswal.com.
Nainesh Rajani
Email: nainesh.rajani@motilaloswal.com
Contact: (+65) 8328 0276
.
Specific Disclosures
1 MOFSL, Research Analyst and/or his relatives does not have financial interest in the subject company, as they do not have equity holdings in the subject company.
2 MOFSL, Research Analyst and/or his relatives do not have actual/beneficial ownership of 1% or more securities in the subject company
3 MOFSL, Research Analyst and/or his relatives have not received compensation/other benefits from the subject company in the past 12 months
4 MOFSL, Research Analyst and/or his relatives do not have material conflict of interest in the subject company at the time of publication of research report
5 Research Analyst has not served as director/officer/employee in the subject company
6 MOFSL has not acted as a manager or co-manager of public offering of securities of the subject company in past 12 months
7 MOFSL has not received compensation for investment banking/ merchant banking/brokerage services from the subject company in the past 12 months
8 MOFSL has not received compensation for other than investment banking/merchant banking/brokerage services from the subject company in the past 12 months
9 MOFSL has not received any compensation or other benefits from third party in connection with the research report
10 MOFSL has not engaged in market making activity for the subject company
********************************************************************************************************************************
The associates of MOFSL may have:
- financial interest in the subject company
- actual/beneficial ownership of 1% or more securities in the subject company at the end of the month immediately preceding the date of publication of the Research Report or date of the public
appearance.
- received compensation/other benefits from the subject company in the past 12 months
- any other potential conflict of interests with respect to any recommendation and other related information and opinions.; however the same shall have no bearing whatsoever on the specific
recommendations made by the analyst(s), as the recommendations made by the analyst(s) are completely independent of the views of the associates of MOFSL even though there might exist an
inherent conflict of interest in some of the stocks mentioned in the research report.
- acted as a manager or co-manager of public offering of securities of the subject company in past 12 months
- be engaged in any other transaction involving such securities and earn brokerage or other compensation or act as a market maker in the financial instruments of the company(ies) discussed herein or act
as an advisor or lender/borrower to such company(ies)
- received compensation from the subject company in the past 12 months for investment banking / merchant banking / brokerage services or from other than said services.
- Served subject company as its clients during twelve months preceding the date of distribution of the research report.
February 2025
33
 Motilal Oswal Financial Services
PORTS
The associates of MOFSL has not received any compensation or other benefits from third party in connection with the research report
Above disclosures include beneficial holdings lying in demat account of MOFSL which are opened for proprietary investments only. While calculating beneficial holdings, It does not consider demat accounts
which are opened in name of MOFSL for other purposes (i.e holding client securities, collaterals, error trades etc.). MOFSL also earns DP income from clients which are not considered in above disclosures.
Analyst Certification
The views expressed in this research report accurately reflect the personal views of the analyst(s) about the subject securities or issues, and no part of the compensation of the research analyst(s) was, is,
or will be directly or indirectly related to the specific recommendations and views expressed by research analyst(s) in this report.
Terms & Conditions:
This report has been prepared by MOFSL and is meant for sole use by the recipient and not for circulation. The report and information contained herein is strictly confidential and may not be altered in any
way, transmitted to, copied or distributed, in part or in whole, to any other person or to the media or reproduced in any form, without prior written consent of MOFSL. The report is based on the facts, figures
and information that are considered true, correct, reliable and accurate. The intent of this report is not recommendatory in nature. The information is obtained from publicly available media or other sources
believed to be reliable. Such information has not been independently verified and no guaranty, representation of warranty, express or implied, is made as to its accuracy, completeness or correctness. All
such information and opinions are subject to change without notice. The report is prepared solely for informational purpose and does not constitute an offer document or solicitation of offer to buy or sell or
subscribe for securities or other financial instruments for the clients. Though disseminated to all the customers simultaneously, not all customers may receive this report at the same time. MOFSL will not
treat recipients as customers by virtue of their receiving this report.
Disclaimer:
The report and information contained herein is strictly confidential and meant solely for the selected recipient and may not be altered in any way, transmitted to, copied or distributed, in part or in whole, to
any other person or to the media or reproduced in any form, without prior written consent. This report and information herein is solely for informational purpose and may not be used or considered as an
offer document or solicitation of offer to buy or sell or subscribe for securities or other financial instruments. Nothing in this report constitutes investment, legal, accounting and tax advice or a representation
that any investment or strategy is suitable or appropriate to your specific circumstances. The securities discussed and opinions expressed in this report may not be suitable for all investors, who must make
their own investment decisions, based on their own investment objectives, financial positions and needs of specific recipient. This may not be taken in substitution for the exercise of independent judgment
by any recipient. Each recipient of this document should make such investigations as it deems necessary to arrive at an independent evaluation of an investment in the securities of companies referred to in
this document (including the merits and risks involved), and should consult its own advisors to determine the merits and risks of such an investment. The investment discussed or views expressed may not
be suitable for all investors. Certain transactions -including those involving futures, options, another derivative products as well as non-investment grade securities - involve substantial risk and are not
suitable for all investors. No representation or warranty, express or implied, is made as to the accuracy, completeness or fairness of the information and opinions contained in this document. The Disclosures
of Interest Statement incorporated in this document is provided solely to enhance the transparency and should not be treated as endorsement of the views expressed in the report. This information is subject
to change without any prior notice. The Company reserves the right to make modifications and alternations to this statement as may be required from time to time without any prior approval. MOFSL, its
associates, their directors and the employees may from time to time, effect or have effected an own account transaction in, or deal as principal or agent in or for the securities mentioned in this document.
They may perform or seek to perform investment banking or other services for, or solicit investment banking or other business from, any company referred to in this report. Each of these entities functions as
a separate, distinct and independent of each other. The recipient should take this into account before interpreting the document. This report has been prepared on the basis of information that is already
available in publicly accessible media or developed through analysis of MOFSL. The views expressed are those of the analyst, and the Company may or may not subscribe to all the views expressed
therein. This document is being supplied to you solely for your information and may not be reproduced, redistributed or passed on, directly or indirectly, to any other person or published, copied, in whole or
in part, for any purpose. This report is not directed or intended for distribution to, or use by, any person or entity who is a citizen or resident of or located in any locality, state, country or other jurisdiction,
where such distribution, publication, availability or use would be contrary to law, regulation or which would subject MOFSL to any registration or licensing requirement within such jurisdiction. The securities
described herein may or may not be eligible for sale in all jurisdictions or to certain category of investors. Persons in whose possession this document may come are required to inform themselves of and to
observe such restriction. Neither the Firm, not its directors, employees, agents or representatives shall be liable for any damages whether direct or indirect, incidental, special or consequential including lost
revenue or lost profits that may arise from or in connection with the use of the information.
The person accessing this information specifically agrees to exempt MOFSL or any of its affiliates or employees
from, any and all responsibility/liability arising from such misuse and agrees not to hold MOFSL or any of its affiliates or employees responsible for any such misuse and further agrees to hold MOFSL or any
of its affiliates or employees free and harmless from all losses, costs, damages,
expenses that may be suffered by the person accessing this information due to any errors and delays.
This report is meant for the clients of Motilal Oswal only.
Investment in securities market are subject to market risks. Read all the related documents carefully before investing.
Registration granted by SEBI and certification from NISM in no way guarantee performance of the intermediary or provide any assurance of returns to investors.
Registered Office Address: Motilal Oswal Tower, Rahimtullah Sayani Road, Opposite Parel ST Depot, Prabhadevi, Mumbai-400025; Tel No.: 022 - 71934200 / 71934263; www.motilaloswal.com.
Correspondence Address: Palm Spring Centre, 2nd Floor, Palm Court Complex, New Link Road, Malad (West), Mumbai- 400 064. Tel No: 022 71881000. Details of Compliance Officer: Neeraj Agarwal,
Email Id: na@motilaloswal.com, Contact No.:022-40548085.
Grievance Redressal Cell:
Registration details of group entities.: Motilal Oswal Financial Services Ltd. (MOFSL): INZ000158836 (BSE/NSE/MCX/NCDEX); CDSL and NSDL: IN-DP-16-2015; Research Analyst: INH000000412 . AMFI:
ARN .: 146822. IRDA Corporate Agent – CA0579. Motilal Oswal Financial Services Ltd. is a distributor of Mutual Funds, PMS, Fixed Deposit, Insurance, Bond, NCDs and IPO products.
Customer having any query/feedback/ clarification may write to query@motilaloswal.com. In case of grievances for any of the services rendered by Motilal Oswal Financial Services Limited (MOFSL) write to
grievances@motilaloswal.com, for DP to dpgrievances@motilaloswal.com.
Contact Person
Ms. Hemangi Date
Ms. Kumud Upadhyay
Mr. Ajay Menon
Contact No.
022 40548000 / 022 67490600
022 40548082
022 40548083
Email ID
query@motilaloswal.com
servicehead@motilaloswal.com
am@motilaloswal.com
February 2025
34