Thematic | June
name
Company
2025
Plastic Pipes
TAM expansion –
companies adding
more products
(within same
product segment
or within similar
channels)
Increase in
construction
activities,
residential
launches
Replacement
demand for plastic
pipes
Increase in capex
spend on Infra –
NAL se JAL,
AMRUT, Etc.
Capturing new opportunities!
Research Analyst: Meet Jain
(Meet.Jain@MotilalOswal.com) |
Sumant Kumar
(Sumant.Kumar@MotilalOswal.com)
Research Analyst: Nirvik Saini
(Nirvik.Saini@MotilalOswal.com) |
Yash Darak
(Yash.Darak@MotilalOswal.com)
10 December 2010
Motilal Oswal research is available on www.motilaloswal.com/Institutional-Equities, Bloomberg, Thomson Reuters, Factset and S&P Capital.
Investors are advised to refer through important disclosures made at the last page of the Research Report.
1
 Motilal Oswal Financial Services
Content:
Capturing new opportunities!
01
Page #4
Summary: Capturing new
opportunities!
Page #6
02
Story in charts
03
Page #11
Growth drivers
04
Page #12
Change is the only constant!
A
Page #20
Page #23
B
Key demand drivers for each
type of pipes
Page #24
05
Risks
Why we like the Pipes
industry
Companies
Pg25
Pg51
Pg82
Pg108
SUPREME
INDUSTRIES
ASTRAL
PRINCE PIPES
AND FITTINGS
Driving piping
prosperity through
innovation and
expansion
APOLLO PIPES
Beyond Big –
Flowing towards
growth!
Scaling new
heights!
Yet another play
on the theme!
 Motilal Oswal Financial Services
Pipes – Thematic: Capturing new opportunities!
Plastic Pipes
Capturing new opportunities!
Initiate coverage on SI/ASTRA/PRINCPIP with a BUY rating
Total TAM (including adjacent
categories) at 3.6x of pipes industry
TAM with an expected CAGR of 12%
(INRb)
Plastic Packaging Films market
Moulded Plastic Furniture
Adhesives & Sealant
Paints
Water Tank
Sanitary and Bathware
Indian Plastic Pipes Industry
Total TAM
2724
1929
168
167
140
620
100
194
541
FY24
195
270
181
887
140
245
805
FY27E
Core industry growth to accelerate at ~14% CAGR:
The Indian plastic pipes industry has
evolved significantly, registering a ~10% CAGR over the last decade to reach ~INR541b in
FY24. This growth is anticipated to accelerate to ~14% CAGR over FY24-27, reaching
~INR805b by FY27, driven by strong demand from housing, irrigation, water supply, and
sanitation.
Additionally,
robust replacement demand will be a key growth driver.
Seizing emerging opportunities and expanding TAM:
Leading players within the sector
have diversified beyond pipes into adjacent high-growth categories such as water
tanks (TAM INR100b in FY24), bathware (INR194b), and industrial components,
leveraging innovation and market expansion. Each of these categories is set to register
a healthy CAGR averaging ~12% over the next few years.
Replacement demand a saving grace amid the construction slowdown:
CPVC/PVC pipes
have steadily replaced GI pipes, sustaining demand despite a 38% decline in residential
real estate launches (CY12-20). Industry revenue grew 1.8x from FY20 to FY24, outpacing
real estate launch growth of 1.75x. Pipes contribute just ~2-3% of total building costs, but
once installed, they are critical and expensive to replace.
Organized players to gain further share:
Organized players currently hold ~70% of
industry demand, up from 50% in FY10. A few key players dominate ~40% of the
market: SI (~11%), Ashirvad (9%), FNXP (8%), ASTRA (7%), and PRINCPIP (5%). The
extended Anti-Dumping Duty (ADD) on CPVC (until Jun’29) and potential ADD on PVC
resins will accelerate the shift towards organized players. Sector consolidation is
expected to gain momentum, benefiting organized firms with strong balance sheets.
Public sector projects amplify pipeline demand:
The Indian government has initiated
several projects and schemes that benefit the plastic pipes sector, particularly in areas like
water supply, sanitation, agriculture, and infrastructure development, such as Jal Jeevan
Mission (JJM), where the government has achieved ~81% rural household (HH) tap water
connection, and the remaining 19% (~37m HHs) is likely by CY28. Other key government
initiatives driving demand include AMRUT, PMAY, Namami Gange, and Bharatmala.
Irrigation demand – a sustainable growth driver for PVC companies:
Irrigation
accounts for ~40% of overall pipe demand (mainly PVC), but only 52% of India’s
cultivated land is irrigated, presenting a major growth opportunity. Key government
schemes towards irrigation, such as PMKSY, have experienced a 25% jump in budget
allocation over 2025-26 to INR83b.
New-age applications to drive PVC demand:
The growing adoption of HDPE, MDPE,
and PEX pipes in city gas distribution supports the government’s goal of 70% gas
coverage by 2030, offering 25-30% cost savings over metal pipes. Meanwhile, Oriented
PVC (OPVC) pipes are replacing Ductile Iron (DI) pipes in water supply and sewage
projects, driven by government initiatives like AMRUT, Smart Cities, and sustainability
programs, enhancing infrastructure and energy efficiency. All the key players are in
the process of setting up OPVC capacities to cater to the demand.
Our initiating coverage universe:
We initiate coverage on: 1) Supreme Industries (SI),
2) Astral (ASTRA), and 3) Prince Pipes and Fittings (PRINCPIP) with a BUY rating. These
companies are some of the key players operating in the Indian plastic pipes space. We
believe that these companies are well-positioned to gain further market share and
deliver a healthy earnings trajectory.
Key risks: 1)
fluctuation in polymer prices, 2) stagnation in real estate demand, 3)
threat from competition, and 4) dilution of brand name.
June 2025
3
 Motilal Oswal Financial Services
Pipes – Thematic: Capturing new opportunities!
PVC price trend
PVC price (USD/MT)
2000
1500
1000
500
0
630
810 700
1850
Growing demand with TAM expansion
Leading players have diversified beyond pipes into adjacent high-growth categories
like water tanks, bathware, and industrial components, expanding their Total
Addressable Market (TAM). ASTRA (TAM: INR1,595b), SI (INR975b), PRINCPIP (INR
835b), FNXP (INR541b), and APOLP (INR835b) have ventured into new product
segments to enhance cross-selling opportunities and expand the market beyond
pipes. With adjacent categories such as bathware and water tanks projected to
report 8%/12% CAGR, diversification will be the key to sustained industry expansion
and improving profitability.
Sectoral tailwinds to support growth
The Indian plastic pipes industry clocked a ~10% CAGR over FY14-24, reaching
INR541b, driven by plumbing and irrigation, which accounted for 84% of total
applications. CPVC, HDPE, UPVC, and PPR pipes reported strong growth, with PVC
maintaining the largest market share. The industry is set to accelerate at 14% CAGR
to reach INR805b by FY27, supported by real estate expansion, irrigation needs, and
long-term government initiatives such as JJM, Housing for All, and Smart City
Mission. Organized players dominate 70% of the market, with major firms such as SI
(11%), Ashirvad (9%), FNXP (8%), ASTRA (7%), and PRINCPIP (5%). The extension of
ADD on CPVC imports and the anticipated ADD on PVC resins will further drive
market consolidation, benefiting organized players.
Aggregate Revenue trend
Agg. Revenue (INRb)
368
241
131
Replacement demand and infrastructure push driving pipe industry growth
Despite a 38% decline in residential launches during CY12-20, PVC and CPVC pipe
sales have remained strong (growing 46% in FY20 over FY12), driven by replacement
demand from aging GI pipes. With pipes accounting for only ~2-3% of total building
costs, their high durability and cost-effectiveness have accelerated adoption. During
real estate revivals, pipe companies have consistently outperformed, with sales
growing 1.8x in FY24 over FY20. Additionally, public infrastructure projects such as
JJM (INR670b allocation), irrigation schemes (PMKSY), and smart city developments
continue to fuel demand. Around 52% of India’s cultivated land lacks irrigation,
presenting a major growth opportunity for PVC pipes. With a strong replacement
cycle and rising government investments, the pipe industry remains well-positioned
for sustained growth.
Aggregate EDITDA margin trend (%)
New-age pipes fueling growth across key sectors
The rapid adoption of new-age plastic pipes is transforming CGD, water supply, and
infrastructure in India. With the government targeting 70% CGD coverage by 2030
and aiming to increase the gas mix from 6.7% to 15%, HDPE, MDPE, and PEX pipes
are gaining traction due to their cost efficiency, flexibility, and corrosion resistance.
Beyond CGD, advanced polymer-based pipes are reshaping plumbing, irrigation, and
industrial applications. CPVC pipes are driving hot and cold water distribution, OPVC
pipes are replacing Ductile Iron (DI) pipes in sewage and water projects, while HDPE
pipes are playing a crucial role in micro-irrigation and smart city development. These
innovations are expanding market potential and driving long-term industry growth.
15.2
15.0
12.9
Scaling new heights!
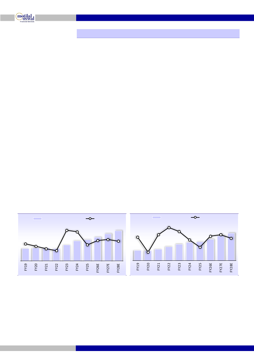
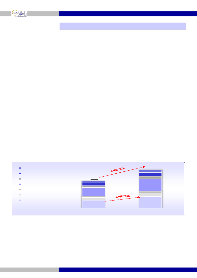
Our Pipes coverage universe includes SI, ASTRA, and PRINCPIP, which hold very
unique positions individually. However, on an aggregate basis too, the combined
June 2025
4
 Motilal Oswal Financial Services
Pipes – Thematic: Capturing new opportunities!
revenue growth of these three companies (~14%) outpaced the industry growth of
~11% over FY19-24. The combined revenue in FY25 was INR188b (up 2% YoY) and is
poised to register a 14% CAGR over FY25-28E, aided by strong industry tailwinds and
TAM expansion. The combined EBITDA margin has been volatile over the last five
years, with 14% in FY19 improving to ~15.1% in FY24 and declining to ~13.5% in
FY25. We anticipate the margin to improve to ~16% level by FY28, aided by raw
material price stabilization and an improvement in the demand scenario.
Consequently, this will lead to an EBITDA CAGR of ~20% to reach INR44.4b over
FY25-28 from INR25.4b in FY25. The combined net profit margin was ~8% in FY25,
and it is projected to improve to 11% by FY28. The combined net profit is likely to
post ~25% CAGR over FY25-28 to reach ~INR29.7b by FY28 vs. INR15.3b in FY25.
INITIATING
COVERAGE
Initiating coverage on SI, ASTRA, and PRINCPIP with a BUY rating
SI, ASTRA, and PRINCPIP are some of the key players operating in the Indian plastic
piping space. We believe these companies are well-positioned to gain further market
share and deliver healthy earnings.
We initiate coverage on SI, ASTRA, and PRINCPIP.
SI:
The company is a key player in India's plastic industry, leveraging decades of
expertise to build a robust product portfolio across pipes & fittings, bathware,
industrial goods, consumer products, and advanced packaging solutions.
Operating 25 state-of-the-art plants with a robust 1,091,000 MTPA capacity. Its
revenue/EBITDA/ Adj. PAT is estimated to report a robust CAGR of
14%/20%/23% over FY25-FY28, driven by healthy volume growth (at 13% CAGR)
and improving margin profile.
We initiate coverage on the stock with a BUY
rating and a TP of INR5,400 (premised on 45x FY27E P/E, which reflects a 22%
premium over the stock’s five-year average one-year forward P/E).
ASTRA:
The company has solidified its position as a pioneer in India's plastic
pipe industry, revolutionizing the sector with CPVC pipes in 1998 and expanding
into five key segments—Pipes, Water Tanks, Adhesives & Sealants, Bathware,
and Paints. With the highest TAM of INR1,595b in the industry, ASTRA’s strategic
acquisitions, capacity expansions, and strong exports drive sustained double-
digit growth. Its revenue/EBITDA/Adj. PAT is estimated to clock a CAGR of 16%/
17%/23% over FY25-FY28, driven by volume growth (12% CAGR).
We initiate
coverage on the stock with a BUY rating and a TP of INR1,800 (premised on
45x FY27E P/E, which implies a 33% discount over the stock’s five-year average
one-year forward P/E).
PRINCPIP:
It is among India’s top five plastic piping providers and operates seven
plants (398K MTPA by FY25) with 7,200+ SKUs and a 1,500+ distributor network.
With ~25% of revenue from CPVC and ~70% from real estate, PRINCPIP is set to
benefit from India's growing real estate sector. Further, strategic expansion in East
India, premium product launches, and government infrastructure projects further
drive growth. Its revenue/EBITDA/Adj. PAT would report a robust CAGR of
15%/38%/73% over FY25-FY28E due to a low base, driven by 12% volume CAGR.
PRINCPIP is currently trading at 22x FY27 EPS, which is an attractive valuation
given the growth trajectory.
We initiate coverage on the stock with a BUY rating
and a TP of INR500 (premised on 32x FY27E P/E).
TP of INR5,400
Upside of 22%
TP of INR1,800
Upside of 20%
TP of INR500
Upside of 46%
June 2025
5
 Motilal Oswal Financial Services
Pipes – Thematic: Capturing new opportunities!
STORY IN CHARTS
Pipes: Key pointers
Core industry
growth to accelerate
at ~14% CAGR
Seizing emerging
opportunities and
expanding TAM
Public sector projects
amplify pipeline
demand
New-age
applications to drive
PVC demand
Replacement
demand a saving
grace amid the
construction
slowdown
Organized
players to gain
further share
Irrigation demand –
a sustainable
growth driver for
PVC companies
Total TAM (including adjacent categories) at 3.6x of the Pipes TAM with a likely CAGR of 12% (INRb)
Plastic Packaging Films market
Moulded Plastic Furniture
Adhesives & Sealant
Paints
Water Tank
Sanitary and Bathware
Indian Plastic Pipes Industry
Total TAM
1,929
168
167
140
620
100
194
541
FY24
2,724
195
270
181
887
140
245
805
FY27E
Note: We have highlighted major categories of key players for TAM calculation
Source: Industry, MOFSL
June 2025
6
 Motilal Oswal Financial Services
Pipes – Thematic: Capturing new opportunities!
Increasing share of organized players
Ogranized
Unogranized
33%
30%
Market share mix of the core industry
Supreme
11%
Ashirvad
9%
Finolex
8%
Unorganized
30%
50%
40%
35%
50%
60%
65%
68%
70%
Other
Organized
30%
Astral
7%
Prince
5%
FY10
FY15
FY20
FY21
FY23
Source: Industry, MOFSL
Source: Industry, MOFSL
Irrigation, water supply systems, and plumbing account for the maximum use of pipes
Irrigation
10-15%
10-15%
35-40%
45-50%
WSS & Plumbing
<5%
10-15%
35-40%
Sewerage
Others
4%
12%
39%
35-40%
FY14
45%
FY20
FY23
Source: Industry data, Company, MOFSL
Pipes and fittings volume trajectory of coverage companies (‘000 MT)
FY16
FY17
FY18
FY19
FY20
FY21
FY22
FY23
FY24
FY25
FY26E
FY27E
FY28E
SI
Note: SI data for FY25 is actual
ASTRA
PRINCE
Source: Industry, Company
June 2025
7
 Motilal Oswal Financial Services
Pipes – Thematic: Capturing new opportunities!
New residential property launches pipeline trend pan India
Unit Launches ('000)
637
570
564
585
562
480
238
275
455
406
350
411
444
367
490
658
588
2008
2009
2010
2011
2012
2013
2014
2015
2016
2017
2018
2019
2020
2021
2022
2023
2024
Source: Industry, Company
Aggregate sales of key pipes companies showed resilience during the tough real estate period and strength during its upcycle
Agg. Sales (INRb)
202.6
99.5
FY13
117.0
123.7
114.1
131.6
113.9
131.4
131.2
155.8
223.8
236.5
87.2
FY12
FY14
FY15
FY16
FY17
FY18
FY19
FY20
FY21
FY22
FY23
FY24
Note:
Aggregate Sales is the sum Consol. Revenue of ASTRA, SIL, PRINCPIP, APOLP, and FNXP
Source: Industry, Company
Increasing budget allocation for PMKSY
Budget Allocations (INRb)
Growth YoY %
43%
23%
1%
-34%
-4%
-43%
66
2018
81
2019
82
2020
79
2021
113
2022
64
2023
61
2024
66
2025
83
2026
-5%
9%
29%
25%
78
2016
51
2017
Source: Industry, Company
SI’s EBITDA/kg to improve over FY25–27E
EBITDA Margins %
31.1
32.4
21.3
20.8
16.9
22.7
23.6
EBITDA/KG (INR/Kg)
17.0
15.2
18.5
14.5
20.7
17%
FY17
16%
FY18
14%
FY19
15%
FY20
20%
FY21
16%
FY22
13%
FY23
15%
FY24
14%
FY25
15%
FY26E
16%
FY27E
16%
FY28E
Source: Company, MOFSL
June 2025
8
 Motilal Oswal Financial Services
Pipes – Thematic: Capturing new opportunities!
ASTRA to maintain industry-leading EBITDA/kg
EBITDA Margins %
40.6
24.1
23.8
25.6
28.8
43.4
36.1
34.5
34.9
35.3
36.2
37.4
EBITDA/KG (INR/Kg)
14%
15%
15%
17%
20%
17%
16%
16%
16%
17%
17%
17%
FY17
FY18
FY19
FY20
FY21
FY22
FY23
FY24
FY25
FY26E FY27E FY28E
Source: Company, MOFSL
Strong recovery in PRINCPIP’s EBITDA/Kg over FY25-27E
EBITDA Margins %
29.9
26.2
16.7
14.7
17.2
15.9
17.8
14.0
9.1
16.0
16.9
EBITDA/KG (INR/Kg)
14.3
12%
FY17
12%
FY18
12%
FY19
14%
FY20
17%
FY21
16%
FY22
9%
FY23
12%
FY24
6%
FY25
10%
11%
11%
FY26E FY27E FY28E
Source: Company, MOFSL
Valuation comparison – Peers at a glance
Peers
ASTRA
SI
PRINCPIP
APOLP*
FNXP*
TP Upside
EPS
MCap
Rating
(INRb) FY25 FY26E FY27E
(INR) (INR) (%)
1,501 1,800
4,412 5,400
343
431
217
500
NA
NA
20
22
46
NA
NA
Buy
Buy
Buy
NR
NR
405
561
38
19
134
26.1
75.6
3.9
7.7
12.9
32.3
95.8
10.6
7.5
9.5
40.2
120.0
15.7
17.8
11.2
CMP
P/E (x)
FY25 FY26E FY27E
58
58
87
56
17
47
46
32
58
23
37
37
22
24
19
EV/EBITDA (x)
FY25 FY26E FY27E
36
28
18
17
19
31
30
10
14
18
26
24
8
11
16
15
18
3
5
14
RoE (%)
FY25 FY26E FY27E
17
20
7
4
9
18
22
10
5
10
*Bloomberg estimates; Source: MOFSL
June 2025
9
 Motilal Oswal Financial Services
Pipes – Thematic: Capturing new opportunities!
Business structure
Market Capitalization (INR b)
Revenue CAGR over FY20-25 (%)
Volume CAGR over FY20-25 (%)
EBIT/Kg in FY25
PAT CAGR over FY20-25 (%)
Pipes Manufacturing Capacity
(FY25)
No. of Manufacturing units
RoCE (%)
five-year Average RoE (%)
Promoter Holdings
Net debt: Equity ratio
Exports revenue share (FY24) %
Other business segment
Other business Revenue % in
FY25
Astral
405
18
11
27
14
381,967 MTPA
(Piping, Tank and
Bathware)
26
15.6
19.8
54.1
-0.1
1.4
Supreme Industries
561
14
12
14
16
872,532 MTPA
(Plastic Piping System
Business)
30
15.8
25.0
48.85
-0.3
2
Prince Pipes
38
9
6
3
-17
397,559 MTPA
8
2.9
13.7
60.94
0.1
0.2
Bathware
Finolex Industries
135
10
8
7
8
470,000 MTPA (Pipes
& Fittings)
4
7.6
14.7
52.47
-0.8
0
PVC Resins
Apollo Pipes
20
24
17
5
3
225,500 MTPA
8
5.6
9.1
46.8
-0.1
0.7
Adhesives - Solvent
Cement, Home
solutions - Kitchen
Sinks, Bath Fittings
NA
Adhesives & Paints, Consumer Products,
Construction
Packaging Products,
chemicals, Bathware Industrial Products
28
32.7
NA
29
Santej (Gujarat)
Dholka (Gujarat)
Jamnagar (Gujarat)
Hosur (Tamil Nadu)
Ghiloth (Rajasthan)
Sangli (Maharashtra)
Location of manufacturing facility
Aurangabad
(Maharashtra)
Sitarganj
(Uttarakhand)
Bhubaneshwar
(Odisha)
Guwahati (Assam)
Key Products
Athal (Dadra and
Nagar Haveli),
Punjab, Rajasthan,
Dadri (Uttar
Haridwar
Gujarat, Madhya
Ratnagiri
Pradesh),
(Uttarakhand),
Pradesh, Silvasa,
(Maharashtra), Urse Sikandrabad (Uttar
Chennai (Tamil
Telangana, Tamil
(Maharashtra),
Pradesh),
Nadu), Kolhapur
Nadu, Maharashtra,
Masar (Gujarat) &
Ahmedabad
(Maharashtra), Jaipur
Odisha, Puducherry,
Bhadalwadi
(Gujarat), Tumkur
(Rajasthan),
West Bengal, Assam,
(Maharashtra)
(Karnataka), Raipur
Sangareddy
Uttar Pradesh
(Chhattisgarh)
(Telangana),
Begusarai (Bihar)
Distribution Network
SKUs
CPVC, UPVC, PPR, &
PVC-U Pipes, CPVC Pipes Fittings, Plastic
PVC/CPVC pipes and
HDPE Pipes,
CPVC, UPVC, PPR, & Pipes, SWR Pipes,
Taps/Showers,
fittings, Water Tanks,
Composite Cylinders,
HDPE Pipes
Casing Pipes, PVC
Solvents, Water
paints and adhesives
& lifestyle products
resin
Tanks, PPR-C Range
5,600+ active channel
3,610+ distributors &
partner
1,500+ channel
1,000+ Channel
900+ Dealer Network
251,000+ Dealers
1,657 Channel
partners
Partners
Partners in Piping
14,234+ in piping
NA
629+ in bathroom
7200+
2500+
2,600+
fittings
Source: Company, MOFSL
June 2025
10
 Motilal Oswal Financial Services
Pipes – Thematic: Capturing new opportunities!
GROWTH DRIVERS
TAM expansion –
companies adding more
products (within same
product segment or
within similar channels)
Replacement
demand for plastic
pipes
Increase in
construction activities,
residential launches
Increase in capex
on infra – Nal se jal,
AMRUT, etc.
OPVC PIPES
GAS PIPELINE
WHY IT’S A RIGHT TIME FOR PIPES?
Over the past year, stock prices have corrected
substantially (SI: -25%, ASTRA: -37%, and PRINCPIP: -
49%), primarily owing to a decline in PVC resin prices
(leading to inventory loss) and a subdued demand
environment. This is expected to normalize from FY26.
Thus, we believe pipe companies may offer a good
upside from current levels considering strong industry
tailwinds and valuation comfort.
KEY RISK
Fluctuation in polymer prices, Stagnating real estate
demand, Increasing competitive intensity
June 2025
11
 Motilal Oswal Financial Services
Pipes – Thematic: Capturing new opportunities!
Change is the only constant!
Organized players to gain further share
Seizing emerging opportunities and expanding TAM
Historically, the plastic pipe industry has registered ~10% CAGR over the last decade
to reach ~INR541b in FY24. The industry is likely to accelerate its growth and clock
~14% CAGR over FY24-27 (reaching ~INR805b by FY27), aided by strong demand
tailwinds from end-user industries
such as irrigation, water supply, sanitation, and
housing. Further,
strong replacement demand
will be a key growth driver.
Over the last decade, Indian plastic pipe companies have not only solidified their
position (~10% industry CAGR over the last decade) in the traditional sectors
(pipes) but have also
strategically diversified
into existing and adjacent
categories, propelling their growth and innovation.
This remarkable transformation has been driven by a keen understanding of
market dynamics and consumer needs, resulting in an expanded portfolio that
now includes advanced materials like
CPVC, HDPE, PPR, and OPVC pipes,
along
with a range of value-added adjacent product categories (similar channel) such
as water tanks, bathroom fittings, bathware (sanitaryware and faucetware), and
industrial components.
Each of these categories is set to register a healthy CAGR over the next few years.
For instance, the Bathware and Water Tank segments are likely to clock an 8% and
12% CAGR over FY24-27 to reach a TAM of INR245b and INR140b, respectively.
In a bid to 1) diversify their product offerings, 2) increase the number of cross-
selling opportunities, and 3) reduce product concentration, several large
organized domestic players have diversified into new product segments both
within and outside the plastic pipes industry.
Exhibit 1: Total TAM (including adjacent categories) at 3.6x of the Pipes TAM with a likely CAGR of 12% (INRb)
Plastic Packaging Films market
Moulded Plastic Furniture
Adhesives & Sealant
Paints
Water Tank
Sanitary and Bathware
Indian Plastic Pipes Industry
Total TAM
1,929
168
167
140
620
100
194
541
FY24
2,724
195
270
181
887
140
245
805
FY27E
Note: We have highlighted major categories of key players for TAM calculation
Source: Industry, MOFSL
Diversification intensity and pace vary across key players in this industry
ASTRA
has diversified from CPVC pipes into adhesives, sealants, infrastructure
pipes, water tanks, bathwares, adhesives, and a recent entry into paints. The
revenue share of pipes has declined from 76% in FY18 to 72% in FY25. The overall
TAM of ASTRA is INR1,595b as of FY24, which is expected to clock ~12% CAGR
over FY24-27 to reach INR2,259b. Considering adjacent categories,
ASTRA has
the highest TAM among other players.
June 2025
12
 Motilal Oswal Financial Services
Pipes – Thematic: Capturing new opportunities!
Pipes companies
strategically diversifying
into existing and
adjacent categories,
propelling their growth
and innovation
SI
expanded from PVC to CPVC, HDPE, PEX, OPVC, and composite piping systems
in the pipes segment while also diversifying into adjacent segments such as
industrial, consumer, and packaging products. The TAM of SI is INR975b
(excluding TAM of the industrial segment) as of FY24, which is expected to clock
13% CAGR over FY24-27 to reach INR1,411b. SI manufactures a diverse range of
products across each category (mostly related to plastics) with strong expertise
in plastic polymer products.
PRINCPIP
diversified from UPVC to CPVC, PPR, HDPE, underground drainage,
water storage solutions, and bathware. Within the Plastic Pipes segment,
PRINCPIP’s product segments are subdivided into four categories: PVC, CPVC,
Polypropylene (PPR), and Doubled-Walled Corrugated (DWC), with the majority
revenue share dominated by PVC (~70% of sales) and CPVC (~25% of sales). Like
Astral, PRINCPIP has also ventured into the water storage tanks business and
aims to strengthen its entire product portfolio and increase the number of cross-
selling opportunities. The overall TAM of PRINCPIP is INR835b as of FY24, which
is likely to clock 12.5% CAGR over FY24-27 to reach INR1,190b.
Finolex Industries (FNXP)
transitioned from agricultural PVC pipes to CPVC, SWR,
drip irrigation, and industrial pipes. The TAM of FNXP is INR541b as of FY24,
which is expected to clock 14% CAGR over FY24-27 to reach INR805b.
Apollo Pipes (APOLP)
commenced its operations as a PVC-focused company
before strategically expanding into a diverse range of piping solutions, including
HDPE, CPVC, PPR, and, more recently, OPVC. In pursuit of broader market
opportunities, the company further diversified into complementary categories
such as water tanks, bathware, and solvent solutions, thereby enhancing its
TAM. Broadly, its TAM is similar to PRINCPIP.
Core industry growth to accelerate at ~14% CAGR
Over FY14–24, the plastic pipes industry in India increased at a 10–12% CAGR to
INR541b, led by higher demand from the plumbing and irrigation sectors. These
two end-user industries accounted for 84% of the overall pipe application.
Demand growth in plumbing was led by higher replacement demand for GI pipes.
During FY14–19, CPVC/HDPE/UPVC/PPR pipes grew at ~21%/13%/12%/7% CAGR.
PVC accounts for the majority of the market, followed by CPVC and high-density
polyethylene (HDPE), which has been seen gaining its share gradually.
The core industry growth is expected to accelerate by 14% to INR805b over
FY24–27. In addition to the industry demand drivers witnessed in the past few
years, additional levers such as an upcycle in the real estate sector, growing use
for irrigation purposes, long-term government schemes (JJM, Housing for All,
Nal Se Jal, Smart City Mission, river linking), and several others are expected to
drive demand for pipes.
The industry offers compelling future opportunities, driven by increasing
government investments in infrastructure projects, rising residential/commercial
construction activities, and expansion in the industrial sector. Moreover,
government schemes such as ‘Pradhan Mantri Krishi Sinchayee Yojana’ would
necessitate
better irrigation systems
(and, consequently, the use of pipes) in
agricultural farms and fields. Aging pipes would also be widely refurbished going
forward, which has been a key demand driver for the industry in the past as well.
Over FY14–24, India’s
plastic pipe industry
grew steadily; healthy
demand outlook
continues via real
estate, irrigation, and
government
infrastructure push.
June 2025
13
 Motilal Oswal Financial Services
Pipes – Thematic: Capturing new opportunities!
Exhibit 2: Plastic Pipes market to reach ~INR805b by FY27
Indian Plastic Pipes Industry TAM (INRb)
805
541
FY24
FY27E
Source: Industry, MOFSL
Exhibit 3: CPVC pipes market grows faster than other pipe
segments
Market
size (INRb)
PVC
CPVC
HDPE
PPR
24
43
95
Exhibit 4: PVC forms a larger portion of the pipes market (%)
PVC
3
8
8
CPVC
5
8
12
HDPE
PPR
5
15
15
26
12
-
136
FY13
12
15
41
250
81
328
75
65
FY20
FY23
Source: Prince RHP, MOFSL
FY13
FY20
FY23
Source: Prince RHP, Company, MOFSL
Exhibit 5: Irrigation, Water Supply Systems, and Plumbing account for max. use of pipes
Irrigation
10-15%
10-15%
35-40%
WSS & Plumbing
<5%
10-15%
35-40%
Sewerage
Others
4%
12%
39%
35-40%
FY14
45-50%
45%
FY20
FY23
Source: Industry data, Company, MOFSL
The plastic pipes industry, with a cumulative size of INR541b, is
dominated by
organized players,
which cater to ~70% of the industry demand. The organized
players have been capturing a higher share of the overall pie over the years,
which was 50% in FY10.
Further, a few key players control a substantial share (~40%) of the overall
market, led by increasing innovation, deeper penetration, wider SKUs, and strong
brand equity. SI has the highest share in the industry with ~11%, followed by
Ashirvad (9%), FNXP (8%), ASTRA (7%), and PRINCPIP (5%).
June 2025
14
 Motilal Oswal Financial Services
Pipes – Thematic: Capturing new opportunities!
Extended ADD on CPVC to accelerate the shift towards organized players:
The
Union Ministry of Commerce and Industry announced an ADD of 50-60% on
imported CPVC resins/compounds from China and South Korea for five years
(Feb’20-24), which
is further extended for another five years until Jun’29.
The
extension of ADD on imports from China and South Korea is a positive for
organized players as they do not import from these countries. On the other hand,
small players will continue to face difficulty in sustaining their business on
account of this duty extension.
Potential ADD on PVC resins:
The industry is awaiting a potential ADD
announcement on PVC resins, which could be a landmark move by the
government to protect the domestic PVC and pipes industry that witnessed
significant PVC price erosion due to heavy imports.
Further, with the advent of the
demonetization, GST, and Covid-led liquidity
crisis,
unorganized players were already losing market share to organized
players; the extension of ADD is likely to continue fueling this shift. As a result,
the pace of consolidation in the sector is likely to be expedited, which would
prove beneficial for organized players with strong balance sheets, in our opinion.
Exhibit 6: Increasing share of organized players
Ogranized
Unogranized
33%
30%
Exhibit 7: Market share mix of the core industry
Unorganized
30%
Supreme
11%
Ashirvad
9%
Finolex
8%
50%
40%
35%
50%
60%
65%
68%
70%
Other
Organized
30%
Astral
7%
Prince
5%
FY10
FY15
FY20
FY21
FY23
Source: Industry, MOFSL
Source: Industry, MOFSL
Replacement demand a saving grace amid construction slowdown
Over the past few years, GI pipes have increasingly been replaced with CPVC/PVC
pipes – the key reason for the growth in these products. This is evident from the
fact that real estate residential launches declined sharply over CY12–20 (down
38%), but CPVC/PVC pipe sales grew during this period.
Despite the slowdown witnessed in real estate launches, the Pipes sector’s
performance has been resilient (aggregate revenue growth of 46% in FY20 over
FY12), led by strong replacement demand from old GI pipes, which usually
require replacement only after 20 years.
PVC/CPVC pipes are experiencing higher acceptance over GI pipes as they are
cost-effective, easy to install, more durable, compatible with hot and cold water
(CPVC pipes), and have low bacterial growth.
The shift is being driven by the
low-cost contribution of pipes to total building
costs,
but once they go behind the wall, they have a high criticality and high
replacement costs. In comparison to other building materials such as tiles, paints,
wires, and cement, pipes are less expensive, costing about INR20–25/sqft (~2-3%
of the bill of materials).
June 2025
15
 Motilal Oswal Financial Services
Pipes – Thematic: Capturing new opportunities!
Therefore,
during the revival in the real estate industry, the pipe companies
have recorded a strong performance,
with aggregate sales (ASTRA, SIL,
PRINCPIP, and FNXP) surging 1.8x in FY24 over FY20 vs. real estate unit launch
growth of 1.75x during the same period.
Exhibit 8: New residential property launches pipeline trend pan India
Unit Launches ('000)
637
570
564
585
562
480
238
2008
275
2009
2010
2011
2012
2013
2014
2015
2016
455
406
350
2017
2018
2019
411
444
367
2020
2021
2022
2023
2024
490
658
588
Source: Industry, Company
Exhibit 9: Aggregate sales of key pipe companies showed resilience during the tough real estate period and strength during its
upcycle
Agg. Sales (INRb)
202.6
223.8
236.5
87.2
FY12
99.5
117.0
123.7
114.1
131.6
113.9
131.4
131.2
155.8
FY13
FY14
FY15
FY16
FY17
FY18
FY19
FY20
FY21
FY22
FY23
FY24
Note:
Aggregate Sales is the sum of Consol. Revenue of ASTRA, SIL, PRINCPIP, APOLP, and FNXP
Source: Industry, Company
The cumulative bookings for the top 14 listed real estate companies clocked a
42% CAGR over FY21-24, and despite the high base, the companies continued to
aspire for high teen growth in FY24-FY27.
The listed universe is set to witness further pick-up in launches over FY25-27 with
cumulative launches of 414msf. This indicates that there are still strong demand
tailwinds in the real estate sector, which will drive pipe sales over the medium
term.
The housing sector will continue to be a long-term sustainable growth driver
for the pipes sector with a strong order launch pipeline and healthy
replacement demand.
Public sector projects amplify pipeline demand
The Indian government has initiated several projects and schemes that benefit
the plastic pipes sector, particularly in areas like water supply, sanitation,
agriculture, and infrastructure development. Here are some key projects and
schemes: Jal Jeevan Mission (JJM), Swachh Bharat Mission (SBM), Atal Mission
for Rejuvenation and Urban Transformation (AMRUT), Smart Cities Mission,
Pradhan Mantri Krishi Sinchai Yojana (PMKSY), Namami Gange Programme,
Bharatmala Pariyojna, PMAY, National Mission for Clean Ganga, and Rurban
Mission.
16
June 2025
 Motilal Oswal Financial Services
Pipes – Thematic: Capturing new opportunities!
Exhibit 10: Key schemes and their recent budget allocation (2025-26)
Central Sponsored Schemes Purpose
Jal Jeevan Mission (JJM)
Swachh Bharat Mission
(SBM)
Atal Mission for
Rejuvenation and Urban
Transformation (AMRUT)
Smart Cities Mission
Pradhan Mantri Krishi
Sinchai Yojana (PMKSY)
Namami Gange
Programme/ National
Mission for Clean Ganga
(NMCG)
Housing for All (Pradhan
Mantri Awas Yojana -
PMAY)
Aims to provide tap water connections to
every rural household by 2028.
Focuses on eliminating open defecation
and improving sanitation.
Targets urban infrastructure
development, including water supply and
sewerage systems.
Aims to develop 100 smart cities with
modern infrastructure, including efficient
water supply and sanitation systems.
Focuses on improving irrigation facilities
to enhance agricultural productivity.
Aims to clean and rejuvenate the Ganga
River.
Aims to achieve housing for all by
Mar’29, providing 49.5m pucca houses to
rural poor and ensuring a pucca house
for every urban household.
Benefit to the Pipes industry
Significant demand for plastic pipes for
water supply infrastructure.
Increased demand for plastic pipes for
sanitation infrastructure.
Usage of plastic pipes in urban
infrastructure projects.
INR100b
Increased need for plastic pipes in smart
city projects.
Demand for plastic pipes for micro-
irrigation and other irrigation systems.
Use of plastic pipes in sewage treatment
and effluent management projects. Also,
use of pipes for construction of sewage
treatment plants and drainage systems.
Utilization of plastic pipes in plumbing and
sanitation systems in housing projects.
INR83b
Budget
Allocation
INR670b
INR122b
INR34b
INR781b
Source: Industry, Company
Jal Jeevan Mission's
final phase boosts
near-term pipe
demand visibility.
Jal Jeevan Mission – not just another scheme!
The Jal Jeevan Mission has been initiated to provide safe and adequate drinking
water through individual household (HH) tap connections to all households in
rural India by the end of CY24 (80% levels reached). The initiative would also
implement source sustainability measures as mandatory elements – such as
recharge and reuse through greywater management, water conservation, and
rainwater harvesting. Additionally, the government has allocated ~INR670b
towards the Jal Jeevan Mission in the Union Budget 2025-26.
There are 194m rural households in the country, 81% of which (or 156m) had tap
water connections as of date. The number of households with a functional tap
water connection stood at just 32m (16.7%) in Aug’19 — before the scheme was
launched by the Prime Minister. Thus, household tap connections in India have
surged 4.8x over the past five years (since Aug’19).
The scheme is at its last leg, with only 19% of the HHs left for the connection. We
expect this to be completed in the next two years, thereby providing good near-
term demand visibility for the pipe industry.
We expect the pace of addition witnessed in FY24/25 to sustain for the last leg,
aided by the increasing requirement of water supply due to erratic monsoons in
recent years, leading to low water reservoir levels and drought-like conditions
across some regions. Further, the latest Union Budget has enhanced the total Jal
Jeevan Mission outlay to INR670b, extending the mission until CY28.
June 2025
17
 Motilal Oswal Financial Services
Pipes – Thematic: Capturing new opportunities!
Exhibit 11: Household tap connections surge 4.8x from Aug’19
Functional Household tap connection (m houses) (cumulative)
113
97 104 108
81 87 91
69 74
53 57 62
32 41
144
124 132 137
148
151
153 155 156
Exhibit 12: Cumulative spending by States/UT to date
Cumulative Spend (INRb)
4,109.2
1,855.1
99.5
FY20
208.7
FY21
608.8
FY22
1,156.2
FY23
FY24
FY25
Source: Government of India, Company
Exhibit 13: States/UT where HH tap water connection is pending (as of Jun’25)
Households with Tap
Water Supply
West Bengal
1,75,56,732
98,03,298
Rajasthan
1,07,77,074
60,98,346
Madhya Pradesh
1,11,88,550
78,10,321
Kerala
70,79,554
38,64,482
Jharkhand
62,55,717
34,41,706
Uttar Pradesh
2,67,23,623
2,40,02,809
Andhra Pradesh
95,53,169
70,58,838
Odisha
88,69,536
68,07,999
Karnataka
1,01,32,148
86,20,711
Maharashtra
1,46,80,627
1,31,86,574
Tamil Nadu
1,25,28,183
1,11,39,694
Assam
72,25,394
58,96,894
Chhattisgarh
50,03,522
40,53,965
Bihar
1,67,55,041
1,60,35,717
Jammu & Kashmir
19,23,514
15,61,911
Meghalaya
6,50,914
5,38,702
Tripura
7,50,844
6,45,519
Manipur
4,51,619
3,59,459
Uttarakhand
14,50,635
14,14,461
Nagaland
3,63,781
3,40,282
Sikkim
1,32,827
1,21,752
Ladakh
40,671
39,370
Lakshadweep
13,370
12,222
Total
19,36,45,943
15,64,36,225
*Includes state/UT where 100% tap water supply has been reached
State/UT
Total Households
%
56
57
70
55
55
90
74
77
85
90
89
82
81
96
81
83
86
80
98
94
92
97
91
81
Pending HHs with
%
Tap water supply
77,53,434
44
46,78,728
43
33,78,229
30
32,15,072
45
28,14,011
45
27,20,814
10
24,94,331
26
20,61,537
23
15,11,437
15
14,94,053
10
13,88,489
11
13,28,500
18
9,49,557
19
7,19,324
4
3,61,603
19
1,12,212
17
1,05,325
14
92,160
20
36,174
2
23,499
6
11,075
8
1,301
3
1,148
9
3,72,09,718
19
Source: Government of India, Company
For the pending HHs, ~51% of the demand is expected to come from four major
states: West Bengal (21%), Rajasthan (32%), Madhya Pradesh (9%), and Kerala
(9%).
June 2025
18
 Motilal Oswal Financial Services
Pipes – Thematic: Capturing new opportunities!
Apart from the above-mentioned key initiative, which has resulted in increased
on-ground improvement in pipe demand, other key programs by the government
have also aided in strong plastic pipe demand.
Irrigation demand – a sustainable growth driver for PVC companies
Of the total agricultural land,
only ~52%
of India's cultivated land has access to
irrigation. However, this marks a significant increase, driven by various
government initiatives such as the Pradhan Mantri Krishi Sinchai Yojana (PMKSY).
The PMKSY aims to enhance water use efficiency and expand irrigation coverage
across the country, ensuring that more agricultural lands benefit from assured
irrigation. The government has
increased the budget allocation under this
scheme by ~25% in 2025-26 to INR83b.
The
irrigation sector accounts for over 40% of overall pipe demand
(largely
PVC). We continue to see the demand from irrigation to drive sustainable growth
in the PVC companies, fueled by a higher focus on irrigating the agricultural land
parcel to generate better yield.
Exhibit 14: Increasing budget allocation for PMKSY
Budget Allocations (INRb)
29%
-34%
43%
23%
1%
-4%
-43%
66
2018
81
2019
82
2020
79
2021
113
2022
64
2023
61
2024
66
2025
83
2026
-5%
9%
25%
Growth YoY %
78
2016
51
2017
Source: Government of India, Company
Increasing application of plastic pipes in CGD
The Indian government has been
actively promoting the expansion of the city
gas distribution (CGD) network, aiming to cover over 70% of India's population
by 2030
with an ambition to take the gas mix in overall energy consumption to
15% vs. ~6.7% currently.
The Indian industry has increasingly started to use plastic pipes, particularly
High/Medium-Density Polyethylene (HDPE/MDPE) and Cross-Linked Polyethylene
(PEX) pipes, for gas distribution pipelines. These materials offer several
advantages over traditional metal pipes, such as
corrosion resistance, flexibility,
and ease of installation (cost savings of ~25-30%).
The shift towards plastic pipes is part of broader efforts to modernize
infrastructure, reduce maintenance costs, and improve the safety and efficiency
of gas distribution networks in India. Plastic pipes are particularly popular in
(CGD) networks for delivering natural gas to residential and commercial users.
While plastic pipes are widely used for low-pressure gas distribution, metal pipes
are still typically used for high-pressure and long-distance transmission due to
their superior strength and pressure-handling capabilities.
The adoption of
plastic pipes in India is expected to grow as the country's gas distribution
network expands and technological advancements continue.
Plastic pipe adoption
rising in CGD due to
cost, safety, and
expansion
June 2025
19
 Motilal Oswal Financial Services
Pipes – Thematic: Capturing new opportunities!
Key demand drivers for each type of pipes
High-Density Polyethylene (HDPE) pipes
Irrigation and Agriculture:
Growth in micro-irrigation: The Indian government has been promoting micro-
irrigation systems, including drip and sprinkler systems, which use HDPE pipes. The
PMKSY has notably boosted demand for HDPE pipes in the agricultural sector.
Rural water supply schemes: The Jal Jeevan Mission, aiming to provide piped
water to rural households by 2028, has driven demand for HDPE pipes due to
their durability and corrosion-resistance nature.
Urban Infrastructure:
Water and Gas Distribution: With the expansion of urban areas and smart city
projects, HDPE pipes are increasingly used in water supply networks and gas
distribution due to their flexibility and resistance to chemicals.
PVC pipes
Plumbing and Water Distribution:
Widespread use in residential and commercial buildings: PVC pipes are preferred
for plumbing applications due to their cost-effectiveness, lightweight nature, and
corrosion resistance quality. The increasing construction activities in India,
especially in affordable housing projects, are driving PVC pipe demand.
Government Infrastructure Projects: Various government initiatives, such as
Housing for All, Swachh Bharat Abhiyan, and AMRUT (Atal Mission for
Rejuvenation and Urban Transformation), have significantly improved the
demand for PVC pipes in sanitation and water supply segments.
Agriculture:
Irrigation systems: PVC pipes are widely used in irrigation systems for their
durability and resistance to weather conditions. The focus on improving
agricultural productivity through better irrigation infrastructure supports the
demand for PVC pipes.
CPVC Pipes
Hot and Cold Water Distribution:
Growing Preference in Plumbing: CPVC pipes are increasingly used in residential
and commercial plumbing for hot and cold water distribution due to their ability
to withstand higher temperatures compared to PVC. The real estate sector's
growth and increased awareness of using durable materials are key drivers.
Replacement Demand: There is a growing trend of replacing traditional metal
pipes with CPVC in old buildings due to their better longevity and resistance to
corrosion.
Industrial Use:
Chemical Processing and Fire Sprinkler Systems: CPVC pipes are used in industrial
applications due to their chemical resistance, contributing to their growing
demand in chemical processing plants and fire sprinkler systems.
June 2025
20
 Motilal Oswal Financial Services
Pipes – Thematic: Capturing new opportunities!
OPVC Pipes
Water Supply and Sewerage:
Public Water Supply Projects: OPVC pipes are gaining traction in water supply
projects due to their higher strength and lower material usage compared to
conventional PVC and DI pipes. Government projects aimed at improving water
supply and sewage systems are key demand drivers.
Infrastructure Development: The development of infrastructure in rural and
urban areas, especially under schemes like AMRUT and the Smart Cities Mission,
is boosting the demand for OPVC pipes.
Energy Efficiency:
Environmental Benefits: OPVC pipes are considered more environmentally
friendly due to their lower energy consumption during manufacturing and lighter
weight, which reduces transportation energy costs. This aligns with the growing
focus on sustainable development in India.
Exhibit 15: Opportunity for pipes across sectors
Source: APOLP
Subdued FY25 performance for the industry; recovery in sight
The plastic pipes industry in FY25 faced multiple headwinds in the form of
subdued infrastructure investments, liquidity constraints, and PVC price
volatility. Agricultural and mid-tier real estate demand also remained tepid.
While premium housing and government-led water initiatives provided partial
relief, mitigating a more pronounced volume contraction.
In FY25, aggregate (SI, ASTRA, PRINCPIP, APOLP, and FNXP) revenue grew 2%
YoY, while volume expanded 6% YoY. However, EBITDA declined 10% YoY, with
margins contracting 170bp due to raw material price fluctuations (PVC down 14%
in FY25), inventory losses, intensified discounting, and cautious inventory
positioning by distributors, thereby affecting realizations.
Industry players recalibrated supply chain dynamics in FY25, leveraging
digitalized inventory management and optimizing distribution efficiencies. The
June 2025
21
 Motilal Oswal Financial Services
Pipes – Thematic: Capturing new opportunities!
push toward premiumization accelerated, with advanced offerings such as silent
pipes, high-durability fittings, and bathware expansion serving as strategic levers
to counter margin headwinds.
In May’25, Reliance raised PVC prices by INR1.5/kg to ~INR70/kg. While a sharp
rise is unlikely, prices are expected to remain stable in the range of INR75–80/kg.
Channel inventory, usually 3–4 weeks, had dropped below 2 weeks in FY25 due
to cautious stocking. With improved sentiment, normal stocking is expected to
resume in FY26.
The industry anticipates a demand resurgence across infrastructure, agriculture,
and urban housing, underpinned by policy tailwinds such as the Jal Jeevan
Mission extension and prospective anti-dumping duties (PVC).
Stabilized PVC pricing (although at lower levels) with anticipation of price hikes
(potential ADD across the entire PVC product basket), the likely implementation
of BIS norms for PVC in FY26, regional capacity expansions, and a shift toward
value-accretive product categories could drive margin restoration and
sustainable growth.
Exhibit 16: Aggregate quarterly revenue trend
Revenue (INRb)
4%
-6%
8%
9%
1%
Growth YoY (%)
8%
2%
Exhibit 17: Aggregate quarterly volume trend
Volume ('000 MT)
Growth YoY (%)
35%
1%
10%
20%
5%
-2%
28%
13%
4%
4%
3%
62.6
56.4
54.6
56.8
68.5
60.7
53.4
57.9
69.1
311
316
279
318
399
355
289
330
409
Source: Company, MOFSL
Source: Company, MOFSL
Exhibit 18: Aggregate EBITDA and margin trends
EBITDA (INRb)
19%
13%
Exhibit 19: Aggregate quarterly realization trend
Blended Realization
-6%
14%
EBITDA Margin(%)
15%
11%
11%
Growth YoY (%)
-4%
-7%
-2%
-3%
15%
14%
16%
-5%
-14%
-14%
-22%
11.8
7.5
8.0
8.0
11.1
9.0
6.1
6.4
9.7
161.1 143.5 152.3 140.9 139.1 138.1 141.5 137.5 134.7
Source: Company, MOFSL
Source: Company, MOFSL
June 2025
22
 Motilal Oswal Financial Services
Pipes – Thematic: Capturing new opportunities!
Why we like the Pipes industry
It has a large addressable market of INR541b (12–14% growth), and unorganized
players form 35% of the market; these factors provide a long runway for growth.
The industry can grow on the back of an improving replacement demand.
It is gaining market share from unorganized players.
Lower capex intensity is leading to higher FCF generation.
It has established strong brands.
It is leveraging the brand to enter into adjacencies to expand the addressable
market; ASTRA has entered into the paints, adhesives, and water tank segments,
and PRINCPIP has forayed into the water tank segment. This would ensure
growth for the players over the long term.
Companies are decentralizing their manufacturing facilities, which is aiding timely
product availability and reducing logistic costs.
Downside limited and valuations appealing considering long-
term growth prospects!
Over the past year, stock prices have corrected substantially (SI: -25%, ASTRA: -
38%, and PRINCPIP: -49%), primarily owing to a decline in PVC resin prices (leading
to inventory loss) and a subdued demand environment. This is expected to
normalize from FY26. Thus, we believe pipe companies may offer a good upside
from current levels considering strong industry tailwinds and valuation comfort.
June 2025
23
 Motilal Oswal Financial Services
Pipes – Thematic: Capturing new opportunities!
Risks
Fluctuation in polymer prices
PVC resin and CPVC compound account for a significant percentage of the raw
material costs across its verticals. Raw material costs constitute 60–70% of revenue.
These are derived from crude oil prices, which fluctuate often and may frequently
impact margins. This has materialized in FY25 with a significant dip in PVC prices
(14% in FY25) due to weak domestic demand and higher imports, thereby impacting
the profitability of pipe companies.
Exhibit 20: Falling PVC prices
PVC price (USD/MT)
2,000
1,500
1,000
500
0
630
810
700
1,850
Source: Bloomberg, MOFSL
Stagnation in real estate demand
Demand for plastic piping systems, a major contributor to revenue, is largely driven
by growing residential and commercial construction activity; any slowdown in
activity would lead to revenue decline. Any withdrawal of government support for
its various initiatives, such as housing for all, smart cities, and so forth, would
adversely impact construction activity.
Threat from competition
The pipe industry has low entry barriers; unorganized players may sell a localized
brand at a lower cost. If a domestic or global competitor comes up with a substitute
product/technology that is more cost-effective and easier to install vs. PVC/CPVC,
this may hurt the plastic pipes business. For example, HDPE pipes are technologically
better than PVC pipes but 25-30% costlier. In the event of technological
advancement, if HDPE pipes turn cost-effective, they may substitute PVC pipes and
thus impact existing players adversely.
Dilution of Brand name
The pipe industry has significantly low entry barriers and hence faces high
fragmentation. One of the USPs of organized players is the brand name they have
built over the years. Any dilution in the brand could accelerate the transfer of
market share to the competition.
June 2025
24
 Motilal Oswal Financial Services
Pipes
Pipes – Thematic: Capturing new opportunities!
– Thematic: Capturing new opportunities!
Pg26
Pg52
SUPREME INDUSTRIES
ASTRAL
Beyond Big – Flowing
towards growth!
Scaling new heights!
Pg83
Pg109
PRINCE PIPES AND
FITTINGS
APOLLO PIPES
Driving piping prosperity
through innovation and
expansion
Yet another play on the
theme!
June 2025
25
 Motilal Oswal Financial Services
Initiating Coverage | Sector: Midcaps
Supreme Industries
BSE Sensex
82,055
S&P CNX
25,044
Pipes – Thematic: Capturing new opportunities!
CMP: INR4,412
TP: INR5,400 (+22%)
Buy
Beyond Big – Flowing towards growth!
Stock Info
Bloomberg
Equity Shares (m)
M.Cap.(INRb)/(USDb)
52-Week Range (INR)
1, 6, 12 Rel. Per (%)
12M Avg Val (INR M)
Free float (%)
SI IN
127
568.2 / 6.6
6320 / 3020
14/-12/-31
1016
51.2
Financial Snapshot (INR b)
Y/E Mar
2025 2026E
Sales
104.5 119.0
EBITDA
14.3 17.7
Adj. PAT
9.6 12.2
EBITDA (%)
13.7 14.9
EPS (INR)
75.6 95.8
EPS Gr. (%)
(10.2) 26.6
BV/Sh. (INR)
445.5 507.3
Ratios
Net D/E
-0.3
-0.3
RoE (%)
17.8 20.1
RoCE (%)
15.8 18.0
Payout (%)
45.0 35.5
Valuations
P/E (x)
58.3 46.1
EV/EBITDA (x)
38.5 31.1
Div Yield (%)
0.8
0.8
FCF Yield (%)
0.2
0.4
2027E
137.1
21.7
15.2
15.8
120.0
25.3
593.3
-0.4
21.8
19.7
28.3
36.8
24.9
0.8
2.1
Supreme Industries (SI) stands as a pioneer in India’s plastic industry, offering an
extensive product portfolio spanning pipes & fittings, bathware, industrial and
consumer goods, and packaging solutions. Backed by decades of expertise, SI has
evolved into a diversified plastics powerhouse since its transformation under the
Taparia Family in the 1960s. It has a total capacity of ~1.1MTPA in FY25, with a pan-India
presence and 30 plants being located across India.
The growth potential in the pipes segment stems from SI’s market-leading position
backed by its higher number of SKUs (14,500 total) and capacity expansion
(~1.1MTPA in FY25).
SI’s plastic pipes segment (67% mix in FY25) remains its growth engine, backed by
innovation, strategic acquisitions, and capacity expansions. With a stronghold in
CPVC and OPVC pipes and new ventures like gas piping, SI is poised to capitalize on
emerging industry opportunities.
SI is also strategically diversifying beyond its core piping business, leveraging its
expertise to scale high-potential segments. With premium consumer products,
cutting-edge composite cylinders, and advanced packaging solutions, SI is well-
positioned to drive sustained growth across multiple industries.
SI’s strong financial performance, marked by healthy revenue growth (14% CAGR
over FY20-25), strong cashflow generation, and sustained market leadership,
underscores its resilience. With stabilizing raw material prices and improving
demand, SI is well-positioned for accelerated growth.
We estimate a 14%/20%/23% revenue/EBITDA/Adj. PAT CAGR over FY25–28E,
driven by a 15% revenue CAGR in the Pipes business, 13% in the Packaging business,
7% in the Industrial Products business, and 11% CAGR in the Consumer Products
business. We value the stock at 45x FY27E EPS (which reflecting ~23% premium over
the stock’s five-year average one-year forward P/E), to arrive at our TP of INR5,400.
We initiate coverage on the stock with a BUY rating.
Shareholding pattern (%)
As On
Mar-25 Dec-24 Mar-24
Promoter
48.9
48.9
48.9
DII
13.3
12.0
11.4
FII
22.9
24.7
24.7
Others
15.0
14.5
15.1
Stock Performance (1-year)
The most diversified plastic product company in India
With the plastic pipes segment contributing ~67% of revenue in FY25,
followed by packaging (14%), industrial (13%), and consumer products (4%),
SI
continues to expand its market leadership.
Its unmatched SKU depth in piping (14,500 as of Mar’25) reflects a strategic
focus on innovation and new product introductions. SI’s aggressive expansion in
SKUs (3,815/612 additions in FY24/FY25) reinforces its dominance in the sector.
As SI gears up to launch a new wave of products, it is poised to strengthen
its domestic footprint and accelerate export growth.
To support this, SI is aggressively expanding its manufacturing footprint. The
pipe capacity surged to ~872KTPA in Mar’25 from 402KTPA in FY18. Further, SI
is
on track to reach ~1mMTPA by FY26.
The company has self-financed its FY25 capex (~INR8.9b), the majority spent
towards the piping segment. Also it has a robust capex plan of ~INR11b
for
FY26
which will also be funded through internal accruals
With a
pan-India manufacturing presence,
SI is well-positioned to
efficiently
serve customers while leveraging strong sectoral tailwinds.
Management
expects a
10-12% volume growth in the plastic pipes segment for FY26
(including Wavin volumes and a better-than-industry growth of 7-8%),
reinforcing SI’s leadership in India's evolving plastics industry.
26
June 2025
 Motilal Oswal Financial Services
Pipes – Thematic: Capturing new opportunities!
Flowing towards growth: Pipes lead the way
The plastic pipe forms the major business segment of the company with a
volume/revenue/EBIT mix of 79%/67%/67% in FY25. The segment has clocked a
healthy revenue/EBIT CAGR of 15%/10% over FY20-25. (FY25 saw margin
compression across the industry, including SI, due to a fall in PVC prices and a
weak demand scenario). Revenue/EBIT CAGR during FY19-24 was 17%/24%.
With plastic pipes contributing 67% of SI’s revenue, the company remains a
dominant force, leveraging new product launches, capacity expansions, and
cutting-edge technology. Further, the recent
acquisition of Wavin Industries
Limited (Wavin)
adds 73,000MTPA capacity
and provides exclusive technology
rights (for seven years), strengthening SI’s market presence (in North and South
India) and leadership in India’s piping solutions sector.
CPVC pipes,
a high-growth segment, are being rapidly scaled across five locations,
while FlameGuard CPVC fire sprinkler systems are gaining adoption in Vande
Bharat trains and key states such as Maharashtra, Karnataka, and Gujarat.
SI’s entry into
OPVC pipes
via Parvati Agro Plast’s acquisition strengthens its
Western India footprint, with capacity set to expand to seven lines by FY28
(currently three lines with 9,000MT capacity).
Further, the
gas piping segment
is a new growth avenue, with production starting
at Gadegaon and Kharagpur to tap into India's expanding gas pipeline network.
Incubating other segments with incremental opportunity
With five decades of expertise in plastics, SI has expanded into plastic furniture,
specialized packaging, and industrial products, leveraging innovation and market
leadership to build strong, scalable businesses beyond its core piping segment.
Within the
consumer products division,
the company is engaged in manufacturing
plastic molded furniture, where it is launching premium models and expanding its
retail presence to enhance margins.
SI is also among the
few Indian manufacturers of Type-IV LPG composite
cylinders,
supplying to
IOCL and global markets.
It doubled its capacity to
1m
units
in FY24 to cater to rising domestic and export demand. In India, there is
~40m incremental demand
(both replacement and new) for
cylinders every year.
SI is also entering into
Type-IV composite CNG cylinders,
targeting India's
growing CNG vehicle market, for which it has received PESO approval. A pilot
plant with a 3,600-unit capacity is operational (with an
annual revenue
potential of about INR600m),
with plans to scale production.
SI is also one of the leading players in
performance films, protective packaging,
and cross-laminated films,
focusing on innovation, export expansion, product
branding, and customized solutions to strengthen its presence in high-demand
industries like food, dairy, and e-commerce.
Robust financials support growth capex
SI has demonstrated
remarkable financial strength
(~14% revenue CAGR over
FY20-25)
and consistent growth,
fueled by its
market leadership in plastic
piping
and strategic expansions across key segments. Despite short-term
volatility, the company remains well-positioned for
healthy volume growth,
margin expansion, and superior cash generation,
reinforcing its
debt-free
status and robust return ratios.
June 2025
27
 Motilal Oswal Financial Services
Pipes – Thematic: Capturing new opportunities!
SI has generated a cumulative CFO/FCFF of INR50.2b/INR24.3b over FY20-25
with an average CFO/EBITDA ratio of 74% over the same period. This has helped
SI to remain a debt-free company despite consistent capacity expansions.
In FY25, SI’s revenue grew only by 3% YoY, while EBITDA declined by ~7% due to
PVC price volatility and subdued demand due to elections and an extended
monsoon affecting the agricultural pipe segment.
However, we expect this to improve in FY26. The company is targeting 10-12%
volume growth in piping in FY26.
With stabilizing raw material prices and improving demand, we project a 13%/
14%/20%/23% CAGR for volume/revenue/EBITDA/Adj. PAT over FY25-28E,
driven by value-added SKUs and operational efficiencies.
Initiating coverage with a BUY rating
Higher government spending in the agriculture and infrastructure sectors,
numerous initiatives to improve water piping across the country, SI’s steady
addition of plants, a growing distribution network, and gains from unorganized
players are anticipated to improve its market share from the current levels.
We believe SI’s EBITDA margin is expected to expand over FY25–28, backed by
improving EBIT/kg in the pipes segment (to INR21/kg in FY28 from ~INR13.8/kg
in FY25). This would be further accelerated by an increase in high-margin, value-
added product sales and new product launches.
We estimate a 14%/20%/23% revenue/EBITDA/Adj. PAT CAGR over FY25–28.
We value the stock on a P/E basis, assigning 45x FY27 EPS (which reflecting a
23% premium over the stock’s five-year average one-year forward P/E).
Initiate coverage with a BUY rating and a TP of INR5,400.
June 2025
28
 Motilal Oswal Financial Services
Pipes – Thematic: Capturing new opportunities!
STORY IN CHARTS
Expect revenue CAGR of 14% over FY25–28...
Revenue (INRb)
22.3
18.4
10.1
3.1
(1.8)
55.1
63.6
77.7
92.0 101.3 104.5 119.0 137.1 153.3
412
409
…on the back of 13% CAGR in volumes
Total Volumes ('000MT)
28.6
26.3
12.3
3.4
(0.6)
(3.7)
394
507
640
675
758
865
962
5.4
14.1
11.3
Growth (%)
13.9
15.2
Growth (%)
15.3
11.8
Pipes biz. EBIT/kg to normalize over FY25–28E
EBIT/kg (INR)
20.0
13.4
9.9
15.5
11.3
13.0
10.5
15.1
13.3 14.5
EBIT margin %
Plastic Pipes dominates sales mix for SI
Plastic Piping Product
Packaging Product
Industrial Product
Consumer Product
5
16
13
5
14
15
66
4
14
13
68
4
15
13
67
7
19
16
57
7
17
12
6
16
12
64
63
65
11.2 15.3 27.9 28.6 18.1 18.0 13.8 18.0 20.0 21.0
EBITDA margin to contract due to a dip in EBIT/kg
EBITDA (INRb)
20.2
15.1
16.0
13.0
15.3
13.7
14.9
15.8
Margin (%)
Expect 23% PAT CAGR over FY25–28
Adj. PAT (INRb)
109.3
16.3
15.8
(1.0)
(10.6)
(10.2)
10.7
9.6
12.2
15.2
17.8
23.6
26.6
25.3
Growth (%)
16.6
8.3
12.8
12.4
12.0
15.5
14.3
17.7
21.7
24.9
4.7
9.8
9.7
8.7
Source: Company, MOFSL
Source: Company, MOFSL
June 2025
29
 Motilal Oswal Financial Services
Pipes – Thematic: Capturing new opportunities!
RoE and RoCE trends
RoE (%)
36.0
27.6
19.9 21.2
18.2 18.1
29.1
21.9
17.4
21.0 22.5
20.5
15.8
17.8
20.1 21.8 21.7
18.0 19.7 19.6
Expect ~INR30b FCF generation over FY25–28
RoCE (%)
FCF (INRm)
14,422
11,599
9,775
4,686
1,896
3,026
42
1,133
2,441
8,662
Source: Company, MOFSL
Source: Company, MOFSL
Plastic piping revenue and margin trends
Plastic Piping segment (INRb)
EBITDA %
Industrial segment’s revenue and margin trends
Industrial segment (INRb)
EBITDA %
14.1
16.0 16.6
22.3
16.1
12.8
17.6
13.2
15.0
12.8
16.9
15.4 16.5
11.1
12.7
12.0
12.4 12.4 12.8
9.8
31.7 34.4 41.0 50.5 60.4 69.3 70.4 81.1 95.1 107.8
9
7
8
10
13
13
13
14
15
16
Source: Company, MOFSL
Source: Company, MOFSL
Packaging segment’s revenue and margin trends
Packaging segment (INRb)
17.6%
12.1% 10.9%
EBITDA %
17.7% 18.7%
19.9%
Consumer products revenue and margin trends
Consumer Products (INRb)
EBITDA %
22.1% 22.3% 22.6% 23.2% 23.2%
15.7% 14.8% 16.0%
16.1%
17.5%
19.1%
21.2%
17.6%
19.6%
10.4
9.6
10.4 12.1 13.2 14.1 15.9 18.3 20.7 22.8
4.0
3.8
3.5
4.1
4.4
4.4
4.4
5.0
5.6
6.1
Source: Company, MOFSL
Source: Company, MOFSL
June 2025
30
 Motilal Oswal Financial Services
Pipes – Thematic: Capturing new opportunities!
The most diversified plastic product company in India
SI has the widest portfolio of plastic products, ranging from pipes & fittings, bath
and sanitaryware, industrials, and consumer to packaging products. The
company’s diversified product range is underpinned by its
expertise in the
plastic industry.
SI became a focused plastics and plastic processing company in the mid-1960s
when it was taken over by the current promoters, i.e., the Taparia Family. Started
with the manufacturing of houseware and industrial products in 1974, SI is a
well-diversified plastics company at present.
The major contribution for SI comes from the plastic pipes segment (~67% in
FY25), followed by packaging (~15%), industrial products (13%), and consumer
products (~4%).
Exhibit 21: SI’s business verticals, product range, and end-use
Business
Verticals
Segment Overview and
Product Portfolio
Target Customer
Segment
EBIT
BusinessRevenue
Margin
Mix % CAGR
% (Avg
(FY25) FY20-25
L5)
uPVC Pipes, Injection Moulded PVC fittings and
handmade fittings, Polypropylene Random Co-polymer
Plastic
pipe system, HDPE Pipe Systems, CPVC Pipes Systems, Inspection
Piping System
Chambers, manholes, Bath fittings, and Sanitaryware Roto-
molded Tanks and Fittings and Solvents, Industrial Piping System,
DWC Pipe System, PEX PE pipe System, and Fire Sprinkler System
Consumer
Products
Industrial
Products
Packaging
Products
* Potable Water Supply
* Irrigation
* Sewage & Drainage
* Plumbing & Sanitation
* Industrial Pipe System
* Fire Sprinkler System
* House Hold
Offer a wide range of plastic molded furniture that caters to every
* Office establishments
need. Manufacturing over 8 million pieces of furniture every year
* Institutions
SI is an approved supplier to major automotive and consumer
* Auto Sector
durable OEMs and tier 1s. Its Industrial Products division is its
* Electronic Household
oldest division under the current management and has been
Appliances
thriving since 1966. Product portfolio:
* Water Purification - filters
* Industrial Components
* Soft Drink Companies
* Material Handling Products (Crates, Pallets, Bins & Dustbins)
* Agriculture & Fisheries
* Composite LPG Cylinders
* Retail / Household
* Consumer Appliances
* Food Industry
* Sports Goods
* Insulation
* Specialty Films
* Construction
* Protective Packaging products
* Automobiles
* Cross Laminated film products
* Agriculture
* Cross Line Bonded Film Products
* Floriculture
* Horticulture
* Grain Storage
* Tarpaulin
* Pond lining
67
15
14.1
4
3
15.8
13
14
8.6
15
11
10.5
Source: Company, MOFSL
SI has one of the highest numbers of SKUs in the piping segment (14,500 as of
Mar’25), and its
key strategy
is focused on constantly
increasing the number of
SKUs and introducing new and innovative products to the market.
In the plastic pipe segment, the company has added ~3,815/612 products in
FY24/FY25, taking the total SKU count to 13,888/14,500 as of Mar’24/Mar’25.
The company is working on several new products, as mentioned in the table
below, which will further strengthen its foothold in the domestic market and
help in growing in the export market.
June 2025
31
 Motilal Oswal Financial Services
Pipes – Thematic: Capturing new opportunities!
Exhibit 22: New/recently launched product range in the plastic piping segment of SI
Product/Project
Braided and Plain Hoses
PEX Pipe Systems
Plastic-Based Fittings
Electrofusion Olefins Fittings &
Compression Molded Fittings
PPR Pipe System
Cable Shield Conduit System
Gas Piping System
PP Silent Pipe System
Details
Manufacturing started at Guwahati, Gadegaon, Erode, and Cuttack plants.
Products received positive market feedback.
Introduced the e-lite brand of PEX pipe systems (PEX/AL/PEX) with Swiss technology; capable of
withstanding high temperatures and pressures.
Plans to launch PERT pipe systems with superior properties.
The planned launch of plastic fittings that withstand high temperatures, catering to high-rise
buildings and premium villas, which currently rely on imports.
Successfully launched 226 products; planning to add 51 more during the year.
Entered industrial piping systems, opening new business opportunities.
Expanding the range of PPR pipe systems for industrial applications, including 3 Layer PPR Pipes,
at Gadegaon plant.
Launched at Gadegaon, Cuttack, Kanpur, and Erode factories, with fittings made at Kharagpur.
Initially servicing select markets before nationwide launch.
Production started at the Gadegaon plant in April’24; planned launch from Kharagpur.
Includes DVGW-approved Electrofusion fittings.
Launch of PP Silent pipe system from Gadegaon plant in 2HFY25.
The system, with improved sound damping, caters to high-rise buildings and has export
potential. Licensed from Poloplast GmbH, Austria.
Started manufacturing specialized valves (e.g., Butterfly Valves, Swing Check Valves).
Designed for reliability and global standards.
Received positive market feedback; plans to expand the range for industrial usage this year.
Acquired Parvati Agro Plast at Sangli, Maharashtra.
OPVC Pipes system offers high durability for high-pressure water distribution as a cost-effective
alternative to Ductile Iron Pipes.
Capacity expansion is planned at Sangli, Cuttack, and Gadegaon.
Plans to add five new systems: PP Low Noise system, Polyethylene Gas Piping System, PERT
Piping System, PE single wall corrugated Pipes, and Rain Water Harvesting System during the
current year.
SI added a variety of chrome-plated showers to the Indian market in FY25. The Sanitary portfolio
is also being enhanced by bringing innovative products. Along with this, the new preferred faucet
tap range made of Polytetra Methylene Terephthalate (PTMT) has also been launched in FY25.
Source: Company, MOFSL
Variety of Specialized Valves
OPVC Pipes
Other New Pipes Products
Bath Fittings and Sanitaryware
To support SKU
expansion, SI is
aggressively expanding
its manufacturing
footprint.
Growing SKUs need increased capacities
The company is actively expanding its manufacturing capabilities to continue
adding new SKUs. The total piping capacity increased to ~872.5KTPA in FY25 from
402KTPA in FY18 (at a 12% CAGR). SI targets to reach ~1mMTPA
capacity by the
end of FY26.
SI has incurred a capex of ~INR6.7b in FY25 entirely funded from internal
accruals, of which the majority was incurred towards the piping segment in FY25.
For instance, a new plant dedicated to industrial and ball valves in Malanpur has
started production in 2QFY25 with a capacity of 1.5m units per month, and two
new units near Vijayawada (Andhra Pradesh) and Patna (Bihar), manufacturing
PVC pipes, CPVC pipes, HDPE pipes, water tanks, and other plastic products, are
anticipated to commence production by the end of 1HFY26.
Apart from the above expansions, SI has also planned to add one more unit in
the Western region for manufacturing all types of foams except EPE, for which
land negotiations are going on. Being closer to the port would give a boost to
exports as well.
The company is likely to incur a capex of ~INR10-11b in FY26,
which includes the
acquisition of Wavin India's Building and Infrastructure business. It will also be
towards the new PVC profile and window plant in Kanpur Dehat, a PP silent
piping SWR facility at Gadegaon, and capacity expansions for OPVC pipes, CPVC
pipes, and injection-molded fittings across multiple locations. The capex also
covers the introduction of new products, SKUs, and balancing equipment across
various product divisions.
32
June 2025
 Motilal Oswal Financial Services
Pipes – Thematic: Capturing new opportunities!
Exhibit 23: Example of SI’s capacity expansion based on location and products
Location/ Project
Location
Erode, Tamil Nadu
Kharagpur
Project/Product
DWC
HDPE
Water Tank
CPVC
Windows and Doors
The company has also launched a suitable DWC Pipe for Cable Ducting application to cater to market
requirements for this application. The company started the manufacturing of DWC Pipes in the current
year at the Kanpur plant for the Northern market and the Erode plant for the Southern market.
The company now has eight plants producing HDPE Pipes in the West, East, South, and North Zones to
cater to these markets in a cost-efficient manner. SI started manufacturing HDPE pipes at Kanpur in the
current year.
SI is producing Tanks at eight different locations, which will enable it to service customers more
economically. The Company is planning to expand the capacities at existing locations as well as at newer
locations near Patna and Vijayawada.
The Company has planned to increase the capacity of CPVC Pipes at five locations, of which three are
existing units (namely Gadegaon, Jadcherla, and Kharagpur) and two are new (namely Kanpur and
Guwahati) for effective servicing in respective markets.
SI is putting up a Windows-manufacturing unit at ~34 acres’ additional site at Kanpur Dehat. The initial
capacity will be 5,000 tons p.a. SI will be making varieties of PVC profiles for a large range of windows.
The initial window-making capacities will be installed at the same site along with another site at its
existing Kharagpur plant. SI expects to start selling standard off-the-shelf and customized windows from
these two sites in the 1HFY26. The total capex with working capital will be around INR1.8b.
Source: Company, MOFSL
Details
The new plant at Perundurai working at full capacity, serving Tamil Nadu, Kerala, and South Karnataka
markets. SI further increased capacity for PVC Pipes, HDPE Pipes, and Water Tanks and also started
manufacturing DWC Pipes to service the South Region market.
The Kharagpur plant is fully operational with increased capacities. The company has purchased 30
additional acres for expansion. Further expansion for PVC Pipes, CPVC Pipes, DWC Pipes, Molded Fittings,
and Water Tanks is also planned.
Exhibit 24: Plastic piping capacity trend
Plastic Piping (KTPA)
63.8
Utilization (%)
62.2
51.9
67.8
60.9
66.8
68.3
57.8
402
FY18
419
FY19
441
FY20
509
FY21
528
FY22
603
FY23
739
FY24
873
FY25
Source: Company, MOFSL
Exhibit 25: Capacity trend (KTPA)
Plastic Piping
Consumer Products
Industrial Products
Others
Packaging Products
Total
1,092
954
28
101
29
807
91
93
29
92
90
85
603
739
873
568
29
65
69
402
FY18
608
34
83
69
419
FY19
636
30
91
75
441
FY20
698
31
86
71
509
FY21
726
31
89
78
528
FY22
FY23
FY24
FY25
Source: Company, MOFSL
June 2025
33
 Motilal Oswal Financial Services
Pipes – Thematic: Capturing new opportunities!
Strategic agreements for technology and diversified capacities
SI has recently announced the acquisition of Wavin Industries (Wavin India), a
building and infrastructure business of Orbia Advance Corporation S.A.B. de CV,
through either a slump sale or share acquisition, valued at USD30m (INR2.6b)
plus net working capital, with completion expected by 30
th
Jun’25.
This strategic move will expand SI’s piping division capacity by 73,000MTPA,
strengthening its market presence in North and South India.
The current
installed capacities of Wavin India comprise PVC Pipes & Fittings 39,884MT,
CPVC Pipes & Fittings 16,608MT, HDPE Pipes 13,764MT, PPR Pipes 1,815MT,
Other Products 981MT
Further,
the
agreement grants
SI exclusive access to Wavin B.V.’s (Netherlands)
technologies for seven years across India and SAARC.
Wavin India, a key player in PVC, CPVC, HDPE, and PPR piping for building &
infrastructure, reported a turnover of INR10b in FY24 (i.e., ~10% of SI’s FY24
revenue).
The transaction is subject to FEMA approvals and aligns with SI’s strategic
growth initiatives, reinforcing its leadership in the plastics piping sector while
enhancing technological and market capabilities.
1,815 981
2% 1%
13,764
19%
PVC Pipes & Fittings
CPVC Pipes & Fittings
39,884
55%
16,608
23%
HDPE Pipes
PPR Pipes
Other Products
Exhibit 26: Well-diversified capacity (MTPA)
Source: Company, MOFSL
SI has a pan-India geographical spread of manufacturing facilities, providing
excellent support in servicing the customers efficiently and economically.
This capacity expansion will also drive volume growth for the company in the
near future, backed by a strong sectoral demand tailwind.
Management
anticipates 10-12% volume growth in the plastic pipes segment in FY26.
June 2025
34
 Motilal Oswal Financial Services
Pipes – Thematic: Capturing new opportunities!
Flowing towards growth: Pipes lead the way
The plastic pipe forms the major business segment of the company with a
volume/revenue/EBIT mix of 79%/67%/67% in FY25. The segment has clocked a
healthy revenue/EBIT CAGR of 15%/10% over FY20-25. (FY25 saw margin
compression across the industry, including SI, due to a fall in PVC prices and a
weak demand scenario). Revenue/EBIT CAGR during FY19-24 was 17%/24%.
With a strong and sustainable demand tailwind for plastic pipes across end-user
segments in India – as discussed in our industry part – SI, being a market leader,
is focused on continuing its dominance by constantly adding new products/SKUs
and enhancing capacities in this category.
Exhibit 27: Pipes remain the largest revenue contributor…
Plastic Piping Product
Packaging Product
7
19
16
57
7
17
12
6
16
12
5
16
13
65
Industrial Product
Consumer Product
5
14
15
4
14
13
4
15
13
Exhibit 28: …clocking 17% revenue CAGR over FY19-24
Plastic Piping segment (INRb)
EBITDA %
22.3%
16.1%
12.8%
17.6%
13.2%
15.0%
12.8%
63
64
66
68
67
32
34
41
50
60
69
70
Source: Company, MOFSL
Source: Company, MOFSL
Exhibit 29: Consistent increase in the number of SKUs in the plastic piping segment
13,888
10,073
14,500
6,113
6,500
6,729
7,230
7,730
8,085
8,314
8,770
9,108
Source: Company, MOFSL
The company has been at the forefront of adopting new technologies and
fulfilling market requirements, thereby giving them a competitive edge.
CPVC – a value-added pipes category
With the increasing usage of CPVC pipes, SI has increased its capacity over the
years. The company now manufactures CPVC pipes at four of its manufacturing
locations and CPVC fittings at two of its locations spread across India, servicing
the market more efficiently and economically.
SI is in the process of increasing CPVC pipe capacity at five locations, including
existing units in Gadegaon, Jadcherla, and Kharagpur, and new units in Kanpur
and Guwahati.
June 2025
35
 Motilal Oswal Financial Services
Pipes – Thematic: Capturing new opportunities!
In terms of innovation in this segment, SI’s FlameGuard CPVC pipe system is
considered a safe material for use in fire sprinklers in several parts of the
country. The company’s CPVC fire sprinkler systems are already being used in
Maharashtra, Karnataka, and Gujarat. Further, this product is also installed in all
modern coaches of the "Vande Bharat Express" trains. Additionally, the
installation of this system has also started in other high-speed trains.
OPVC a replacement
play on DI pipes in
India. SI to build seven
line of 3,000MT per line
by FY28
OPVC – a growing pipes category
Another instance of product innovation and expansion is entry into the growing
OPVC pipes segment in India, which is considered to be an alternative to Ductile
Iron (DI) pipes.
SI acquired the manufacturing unit/business of Parvati Agro Plast, located at
Sangli, Maharashtra, in Oct’23. The unit is spread over an area of about 13.48
acres of land with installed capacities of 36,000MT p.a., comprising PVC pipes –
15,000MT p.a., HDPE pipes – 18,000MT p.a., and OPVC pipes – 3,000MT p.a.
The acquisition was done with two major objectives, i.e., to add a new product
category of OPVC pipes and to effectively service Western Maharashtra and
North Karnataka.
Through this acquisition, SI added the OPVC manufacturing technology to its
basket. The company has planned substantial capacity expansion for OPVC pipes
at Sangli and Cuttack as well as at Gadegaon, for which required equipment has
been ordered (a total of nine lines, of which three have been installed). However,
due to the restricted availability issue of machines, the schedule is unpredictable
as of now.
Currently, total OPVC capacity has increased to three lines, reaching 9,000
MTPA, with plans to further expand to seven lines by FY28.
The company is anticipating selling ~6,000-7,000MT of OPVC pipes from next
year. Most of the sales are expected to be carried out through the contractor-
based model.
Gas piping system – a new opportunity to capture
SI is also foraying into the gas piping system from its Gadegaon plant, near
Jalgaon, for which the necessary machines have been installed with a
total
capacity of ~36,000MT annually,
and BIS certification has been received. The
company also plans to launch gas piping from the Kharagpur plant.
The same production capacity that manufactures pipes for water can also be
utilized for gas piping. However, gas pipes require a specialized grade of raw
materials that offer superior strength, durability, and resistance to high pressure
and extreme temperatures. Additionally, the production of gas pipes demands a
highly stringent quality control process, incorporating advanced testing systems
to ensure safety, reliability, and compliance with industry standards.
The Indian government has plans to multiply the supply of gas through a pipe
system in the country. SI expects to launch the same along with the required
DVGW-approved Electrofusion fittings, which have a lead period of six to eight
months. The
company has started marketing this product;
however, there have
been no orders for gas pipes until now, but orders are expected in FY26, with a
ramp-up starting in the same quarter.
With constant innovations, the VAP mix of the piping division has reached 39%
in FY25, up from 37% in FY19. It is further expected to increase with the launch
of more innovative and margin-accretive products highlighted above.
Gas piping’s
manufacturing process is
same but the raw
materials required are
different
June 2025
36
 Motilal Oswal Financial Services
Pipes – Thematic: Capturing new opportunities!
Exhibit 30: Plastic pipes – margin trend
Plastic Piping (INRm)
20.0
13.4
9.9
15.5
11.3
13.0
10.5
Margin (%)
Exhibit 31: VAP mix of the piping segment
44%
42%
39%
37%
41%*
38%
39*
3,128
FY19
4,605
FY20
8,213
FY21
7,839
FY22
6,793
FY23
9,003
FY24
7,353
FY25
FY19
FY20
FY21
FY22
FY23
FY24
FY25
Source: Company, MOFSL
*dropped due to high growth in HDPE Pipes i.e. non-VAP category
Source: Company, MOFSL
The company’s pipes segment is expected to witness healthy volume growth
going forward, backed by strong industry tailwinds, continuous capacity
expansions, and the addition of innovative and margin-accretive products.
Management has been indicating a 10-12% volume growth in FY26 with a
sustainable growth of ~10-15% going forward.
The slowdown in FY25 was fueled by volatility in PVC resin prices, low
government spending on infrastructure in the first half (election-led slowdown),
and an extended monsoon affecting agricultural pipe demand.
Exhibit 32: Pipes volume accelerated from FY23 backed by strong industry tailwinds
Plastic Piping (KTPA)
176
FY13
188
FY14
204
FY15
163
FY16
235
FY17
256
FY18
280
FY19
301
FY20
294
FY21
274
FY22
375
FY23
501
FY24
531
FY25
Source: Company, MOFSL
The pipes segment will continue to be the major part of SI’s business, driving
growth going forward.
June 2025
37
 Motilal Oswal Financial Services
Pipes – Thematic: Capturing new opportunities!
Incubating other segments with incremental opportunity
The company, under its current promoters, has over five decades of experience
in the plastic industry that has driven SI’s foray into other plastic products.
Apart from strengthening its foothold in the pipes segment, SI is also a key player
in other segments such as plastic furniture (consumer segment), specialized
packaging products, and industrial products (material handling and composite
cylinder).
Premiumizing consumer products to drive profitability
In the
consumer products division,
the company is engaged in the manufacturing
of plastic molded furniture, which it entered in the early nineties. Since then, SI
has carved its presence in the Indian furniture market and commands ~10-15%
market share.
The company is focused on premiumizing its portfolio to improve margins and
stand out as a premium brand amid a competitive market. In FY24, SI introduced
20 new models, such as the Premium Chair Model Tulip, the Almirah range with a
see-through glass/mirror version, and Kindergarten school furniture. Further, the
company has launched 12 new models of chairs and cabinets in FY25.
SI has been adding showrooms to increase its brand visibility across India. The
company now has ~337 retail showrooms (29 added in 9MFY25). Apart from this,
is continuously adding to its current 14,569 retail counters.
SI has started the business with modern trade retailers such as Metro & Spencer
during the year, which will help them increase its overall sales as well as
strengthen its brand image.
Exhibit 33: Consumer Revenue grew marginally…
Consumer Products (INRm)
13.5
14.4
9.8
(0.8)
(7.6)
0.6
Growth (%)
Exhibit 34: …and EBIT margins slightly contracted in FY25
Consumer Products (INRm)
16.8
14.0
15.0
13.3
15.3
Margin (%)
17.1
16.3
(4.1)
3,994
FY19
3,832
FY20
3,542
FY21
4,051
FY22
4,446
FY23
4,410
FY24
4,436
FY25
560
FY19
576
FY20
597
FY21
541
FY22
678
FY23
753
FY24
723
FY25
Source: Company, MOFSL
Source: Company, MOFSL
Composite Cylinder – a big opportunity
Composite cylinders, owing to their
cylinder explosion aversion characteristics,
are gaining more traction in the market both domestically and globally.
SI is among the only two manufacturers of Type-IV LPG composite cylinders in
India to manufacture this product. SI’s brand KAVACH has been approved and
certified by multiple national and international standards organizations. Some of
these are:
TPED (Transportable Pressure Equipment Directive) – for the safe
transportation of pressure equipment across Europe;
KEBS (Kenya Bureau of Standards) – for products to be used in Kenya;
June 2025
38
 Motilal Oswal Financial Services
Pipes – Thematic: Capturing new opportunities!
TÜV Certification – ensures product safety and compliance with European
standards;
KGS (Korea Gas Safety Corporation) – for compliance with safety standards
in Korea;
ESMA (Emirates Authority for Standardization and Metrology) – for
compliance with the UAE’s regulatory standards.
The company is also a certified supplier to the Indian Oil Corporation of India
(IOCL) and has been supplying them with the cylinders.
There is increasing traction for composite cylinders, with BPCL floating a tender
for 0.4m units and IOCL also preparing to issue a tender for 1m cases.
Additionally, all OMCs are collaborating to standardize the 14.2 kg cylinder size.
SI operates a state-of-the-art facility in Halol, Gujarat, dedicated to the
production of composite LPG cylinders. The plant's annual production capacity
has been expanded to ~1m cylinders.
In India, there is ~40m incremental demand (both replacement and new) for
cylinders every year. To cater to the growing composite cylinder market, SI has
doubled its capacity to 1m units in FY25.
SI expects increased ordering from
IOCL and existing export customers while also aggressively scouting for new
customers through promoting awareness of its advantages and usability.
Exhibit 35: Composite cylinders – product offerings
Source: Company, MOFSL
In addition to LPG cylinders, SI has ventured into manufacturing Type-IV
composite CNG cylinders. In Oct’24, the company received approval from the
Petroleum and Explosive Safety Organization (PESO) to produce and market 265-
liter capacity Type-IV composite CNG cylinders. SI is the second manufacturer in
India to get this approval.
The rising demand for CNG tanks is driven by the shift toward cost-effective and
eco-friendly CNG vehicles.
Composite CNG cylinders for cascades are preferred
over steel ones due to their lighter weight.
A pilot plant with an
annual capacity of 3,600 cylinders
has been established
with an
annual revenue potential of about INR600m.
SI has plans to scale up
production to meet market demand.
Innovation and branding to fuel growth in the Packaging segment
Supreme Industries is positioned for continued growth across its packaging
divisions through product innovation, market expansion, and customer-focused
strategies.
Performance Film Packaging:
It is experiencing healthy volume growth, driven by
rising demand for high-barrier EVOH/Nylon films, especially in the food industry.
These advanced materials enhance shelf life and recyclability, aligning with global
June 2025
39
 Motilal Oswal Financial Services
Pipes – Thematic: Capturing new opportunities!
sustainability trends. The oil and dairy sectors contributed to a 4% volume
increase, showcasing the company’s ability to cater to high-demand industries.
Trademark registration of seven products strengthened brand recognition,
while exports to South America, Canada, and the Middle East remained steady.
Export opportunities remain the focus area, and the division can penetrate some
new countries.
Protective Packaging:
The Protective Packaging segment recorded significant
gains with an 11% value increase and 15% volume growth in FY24. The Protec
business led the charge with a 17% volume increase, while the fabrication
business boasted a 33% rise in value. Strategic moves, such as the addition of 48
new distributors and 735 retailers, expanded market reach, with e-commerce
channels contributing INR10m in revenue, showcasing the company’s agility in
tapping into new sales avenues. The division has enhanced its capacity utilization
and is focused on developing customized solutions.
Cross Lamination:
The Cross Laminated Film segment is performing well, driven
by strong demand for tarpaulins and expansion into new export markets,
targeting 20% volume growth and improved profitability. Fabricated product
sales rose to 835MT in FY24, and exports grew 8.75%, expanding into 35
countries and highlighting the segment's growing international footprint. The
Cross Laminated Film business is witnessing improved performance in FY25 with
better capacity utilization and successful trials for the newly developed Cross
Plastic Film.
SI’s focus on expanding product lines, strengthening brand presence, and
entering new markets sets the stage for robust growth in its packaging
segments. The company’s agility in adapting to customer needs and
sustainability trends ensures it remains at the forefront of the industry.
Exhibit 36: Packaging witnessed healthy growth…
Packaging Products (INRm)
16.9
7.9
2.0
(7.9)
10,418
FY19
9,593
FY20
10,351
FY21
12,101
FY22
13,191
FY23
14,057
FY24
15,923
FY25
1,278
FY19
1,015
FY20
1,246
FY21
1,009
FY22
915
FY23
1,877
FY24
1,846
FY25
9.0
Growth (%)
13.3
6.6
Exhibit 37: …while EBIT margins contracted in FY25
Packaging Products
Margin (%)
13.4
11.6
8.3
6.9
12.3
10.6
12.0
Source: Company, MOFSL
Source: Company, MOFSL
June 2025
40
 Motilal Oswal Financial Services
Pipes – Thematic: Capturing new opportunities!
Robust financials support growth capex
Healthy revenue growth with margin expansion
SI registered a healthy CAGR of ~14% over FY20-25, largely propelled by its key
segment, plastic piping (67% revenue mix in FY25), which clocked a CAGR of 15%
during the same period. This growth has been driven by rising capacities, the
addition of new products (SKU expansion), and a healthy demand tailwind in the
sector. While other segments such as Industrials/Packaging/Consumer registered
modest growth of 14%/11%/3% over FY20-25.
EBITDA clocked 11% CAGR over FY20-25, lower than revenue CAGR, due to
margin contraction in FY25 (EBITDA clocked 15% CAGR over FY19-24). The plastic
piping segment witnessed the largest EBIT margin contraction of 290bp over
FY20-25 due to a drop in PVC prices in FY25 (while margins expanded 310bp over
FY19-24). Industrials witnessed a margin expansion of 350bp during FY20-25,
followed by consumer (130bp) and packaging (100bp).
In FY25, SI’s revenue grew by only ~3% YoY (volume/pricing: ~+5%/-2%) while
EBITDA declined by 7%. This was largely led by volatile raw material (PVC) prices
and a subdued demand environment (owing to the elections and extended
monsoons, thereby affecting agricultural pipe demand).
Going forward, we expect the near-term environment to improve, led by a
pickup in demand and stabilization of raw material prices. In addition, the
management has indicated a healthy FY26 with the aim of achieving 10-12%
volume growth in the piping segment.
We have modeled a 13%/14%/20%/23% CAGR for volume/revenue/EBITDA/Adj.
PAT over FY25-28E. Margins are anticipated to improve, fueled by the addition of
value-added SKUs across segments and operational efficiencies from the recently
commissioned capacities.
Exhibit 38: Volume to post healthy CAGR…
Total Volumes ('000MT)
28.6 26.3
Exhibit 39: …driving revenue growth
Growth (%)
12.9
(1.8)
Revenue (INRb)
22.3
18.4
15.3
10.1
3.1
Growth (%)
13.9 15.2
7.2
3.4
(0.6)
409
5.4
(3.7)
394
507
640
675
12.3 14.1 11.3
11.8
398
412
758
865
962
56.1 55.1 63.6 77.7 92.0 101.3 104.5 119.0 137.1 153.3
Source: Company, MOFSL
Source: Company, MOFSL
June 2025
41
 Motilal Oswal Financial Services
Pipes – Thematic: Capturing new opportunities!
Exhibit 40: Margins to gradually improve
EBITDA (INRb)
Margin (%)
20.2
Exhibit 41: Adj. PAT to register 23% CAGR over FY25-28E
Adj. PAT (INRb)
109.3
Growth (%)
14.0
15.1
16.0
15.3 13.7 14.9 15.8 16.3
13.0
15.8
(6.5)
(1.0)
4.7
9.8
9.7
(10.6)
8.7
10.7
23.6
(10.2)
9.6
12.2 15.2 17.8
26.6 25.3
16.6
7.8
8.3
12.8 12.4 12.0 15.5 14.3 17.7 21.7 24.9
4.0
Source: Company, MOFSL
Source: Company, MOFSL
Improved working capital
SI has witnessed a gradual improvement in its working capital days over the last
five years to 31 days in FY24 vs. 38/43 days in FY19/FY20. A major improvement
has been in receivable days (down to 18 days in FY24 from 25/21 in FY19/FY20)
and inventory days (at 49 vs. 49/59 in FY19/FY20). Payable days remained around
similar levels of 53-56 days.
FY25 appears to witness higher working capital days (expected at ~34 days),
primarily due to lower payables days, while receivable and payable days remain
flat YoY.
However, with the improving demand scenario, we expect the working capital
days to marginally improve to 32 days from 34 in FY25, led by the normalization
of payable days.
Exhibit 42: Improving working capital
Receivable Days
Inventory Days
39
55
20
36
31
49
18
Payable Days
34
47
19
31
31
47
18
34
Net Working capital
32
47
18
33
32
47
18
33
43
29
59
21
36
44
22
37
44
59
22
37
37
FY20
FY21
FY22
FY23
FY24
FY25
FY26E
FY27E
FY28E
Source: Company, MOFSL
Strong cash flow and return ratios
With healthy revenue growth, stable margins, and improved working capital, SI
has been able to generate strong cash flows over the last five years. The
company generated cumulative CFO/FCFF of INR50.2b/INR24.3b over FY20-25
with an average CFO/EBITDA ratio of 74% over the same period. This has helped
SI to remain a debt-free company despite consistent capacity expansions.
Return ratios have also remained healthy, with the last five-year average RoE/
RoCE at ~25%/21%. We expect the company to generate similar returns going
forward.
June 2025
42
 Motilal Oswal Financial Services
Pipes – Thematic: Capturing new opportunities!
This indicates a strong cash conversion, healthy earnings quality, and efficient
operations. It also indicates financial stability with sufficient cash for growth
and obligations.
Exhibit 43: Strong cash flow generation
CFO (INRm)
97
71
65
38
5.6 1.9
FY19
5.4 3.0
FY20
12.5 9.8
FY21
4.7 0.0
FY22
8.9 4.7
FY23
14.1 8.7
FY24
10.0 1.1
FY25
74
FCFF (INRm)
CFO/EBITDA %
91
70
Source: Company, MOFSL
Exhibit 44: Healthy return ratios
36.0
27.6
19.9
18.2
21.2
29.1
21.9
18.1
17.4
21.0
22.5
17.8
20.5
15.8
20.1
18.0
21.8
19.7
21.7
RoE (%)
RoCE (%)
19.6
FY19
FY20
FY21
FY22
FY23
FY24
FY25
FY26E
FY27E
FY28E
Source: Company, MOFSL
June 2025
43
 Motilal Oswal Financial Services
Pipes – Thematic: Capturing new opportunities!
Valuation and view
Initiate coverage with a BUY rating
The enhanced government spending in the agriculture and infrastructure sectors, as
well as several initiatives to improve water piping across the country, bodes well for
the piping industry. SI’s steady addition of plants, a growing distribution network, and
gains from unorganized players are likely to improve market share from current levels.
Further, adjacent new categories such as composite cylinders, gas piping systems, and
OPVC pipes offer huge growth potential for SI. These segments are expected to have a
meaningful contribution in the medium to long term.
We believe SI’s EBITDA margin will expand over FY25–28, aided by improving EBIT/kg
in the Pipes segment (to INR21/kg in FY28 from ~INR13.8/kg in FY25). This would be
further accelerated by an increase in high-margin and value-added product sales and
new product launches.
We estimate a 14%/20%/23% revenue/EBITDA/Adj. PAT CAGR over FY25–28. We
value the stock on a price-to-earnings basis, assigning 45x FY27 EPS (which reflects a
23% premium over the stock’s five-year average one-year forward P/E). Initiate
coverage with a BUY rating and a TP of INR5,400.
Exhibit 46: One-year forward PB (x)
Max (x)
-1SD
14.0
46.6
11.0
8.5
8.0
23.5
18.5
5.0
2.0
4.1
7.0
5.4
PB (x)
Min (x)
12.2
8.6
Avg (x)
+1SD
Max (x)
-1SD
Exhibit 45: One-year forward P/E (x)
70.0
55.0
40.0
25.0
10.0
PE (x)
Min (x)
55.2
39.6
31.6
Avg (x)
+1SD
Source: Company, MOFSL
Source: Company, MOFSL
Valuation comparison – Peers at a glance
Peers
ASTRA
SI
PRINCPIP
APOLP*
FNXP*
TP Upside
EPS
MCap
Rating
(INRb) FY25 FY26E FY27E
(INR) (INR) (%)
1,501 1,800
4,412 5,400
343
431
217
500
NA
NA
20
22
46
NA
NA
Buy
Buy
Buy
NR
NR
405
561
38
19
134
26.1
75.6
3.9
7.7
12.9
32.3
95.8
10.6
7.5
9.5
40.2
120.0
15.7
17.8
11.2
CMP
P/E (x)
FY25 FY26E FY27E
58
58
87
56
17
47
46
32
58
23
37
37
22
24
19
EV/EBITDA (x)
FY25 FY26E FY27E
36
28
18
17
19
31
30
10
14
18
26
24
8
11
16
15
18
3
5
14
RoE (%)
FY25 FY26E FY27E
17
20
7
4
9
18
22
10
5
10
*Bloomberg estimates; Source: MOFSL
June 2025
44
 Motilal Oswal Financial Services
Pipes – Thematic: Capturing new opportunities!
Key risks
SI relies heavily on polymer-based
raw materials,
primarily PVC, HDPE, and PP.
Fluctuations
in crude oil prices and global supply chain disruptions can adversely
impact input costs and profitability.
A
slowdown
in the real estate, agriculture, and infrastructure sectors – key
demand
drivers for plastic pipes – can impact SI's volume growth adversely.
External factors such as elections, extended monsoons, or policy changes can
lead to temporary demand weakness.
The plastic pipes industry is
highly competitive,
with organized and unorganized
players vying for market share. Intense competition can lead to pricing pressure,
affecting margins and profitability.
SI operates with a significant working capital cycle. Any inefficiency in inventory
management, especially during volatile raw material price movements, could
impact cash flows and profitability.
New segments risk: The company is expanding into composite cylinders, CNG
tanks, and premium furniture. Any delays, regulatory hurdles, or challenges in
scaling up these new segments could impact its diversification strategy.
June 2025
45
 Motilal Oswal Financial Services
Pipes – Thematic: Capturing new opportunities!
SWOT analysis
Diversified portfolio
reduces dependence
on any particular end
user industry
Holds strong market
share, benefiting
from economies of
scale and strong
brand trust.
Pan-India
manufacturing
network of 30 plants
across India.
Focuses on plastic
side expansion over
channel growth limits
cross-selling
opportunities for
other products.
Dependence on PVC
resin imports
Intense competition
across product
categories
Substitution of
galvanized iron pipes by
plastic pipes, especially
for portable water
Higher govt. spending
to encourage housing,
irrigation, and farming
The transition from LPG
cylinders to composite
cylinders presents a
significant growth
opportunity.
Volatility in cost of raw
materials, derived from
crude oil by-products
Delayed demand
recovery could lead to
lower capacity
utilization at their
newly expanded plants,
impacting cost
efficiency and margins.
June 2025
46
 Motilal Oswal Financial Services
Pipes – Thematic: Capturing new opportunities!
Bull and Bear cases
Bull case
In our bull case scenario, we assume a revenue CAGR of 16% over FY25-28, led a
healthy recovery in demand across segments and an increase in raw material
pricing leading to improved realizations.
We expect the margin to expand ~420bp from the FY25 levels to reach ~17.9%
over FY28, led by better realization, improving product mix, and favorable
operating leverage.
The company’s EPS would register a robust CAGR of 29% over FY25-28E, driven
by operating leverage and strong cash flow generation.
We value the stock on a price-to-earnings basis, assigning 50x FY27 EPS arriving
at a TP of INR6,550.
Bear case
In our bear case scenario, we assume a revenue CAGR of 10% over FY25-28,
considering a slow recovery in demand and a flat pricing scenario with major
growth to be volume-led.
We expect the margin to expand by ~110bp from the FY25 levels to reach 14.9%
over FY28 led by an improved product mix offset by a lack of realization gains.
The company’s EPS would register a CAGR of 15% over FY25-28E.
We value the stock on a price-to-earnings basis, assigning 40x FY27 EPS arriving
at a TP of INR3,950.
Exhibit 47: Bull and Bear case scenarios (INR m)
Particulars
Bear case
P/E: 40x
INR3950
Base case
P/E: 45x
INR5400
Bull case
P/E: 50x
INR6550
Revenue
EBITDA
EPS
Revenue
EBITDA
EPS
Revenue
EBITDA
EPS
FY25
1,04,463
14,317
76
1,04,463
14,317
76
1,04,463
14,317
76
FY26E
1,14,391
15,310
81
1,18,982
17,688
96
1,22,307
19,061
104
FY27E
1,27,194
18,244
98
1,37,101
21,681
120
1,42,118
23,423
131
FY28E
CAGR
(FY25-28E, %)
1,39,921
10
20,841
13
114
15
1,53,314
14
24,919
20
140
23
1,61,283
16
28,826
26
164
29
Source: MOFSL, Company
June 2025
47
 Motilal Oswal Financial Services
Pipes – Thematic: Capturing new opportunities!
Management team
Mr. B. L. Taparia
Chairman
He holds a Bachelor of commerce degree.
Under his leadership, Supreme Industries
expanded significantly, becoming a major
player in the plastic products sector.
Mr. M. P. Taparia
Managing Director
He directly oversees the Plastic Piping
System, Cross Laminated Films, and
Furniture divisions. His responsibilities
include business strategy, finance,
taxation, foreign exchange, raw material
procurement, investor relations,
marketing, and personnel. He also
manages government liaison, capital
allocation, industry interaction, brand
building, and risk management.
Additionally, he is the Chairman of
Supreme Petrochem Limited.
Mr. S. J. Taparia
Executive Director
He oversees the Industrial Component
Division, Plastic Piping Division (jointly
with the Managing Director), Material
Handling Products, and Composite
Products. His responsibilities include
business strategy, operations, plant
automation, product development,
machinery, marketing, design, quality
management, and personnel.
Mr. V. K. Taparia
Executive director
He is responsible for overseeing
production, marketing, procurement,
working capital management, and
business development. He manages the
expansion and administration of
performance packaging products,
including multilayer films and protective
packaging. Additionally, he leads the IT
team in upgrading the company's
computerization, ERP implementation,
and other related areas.
Mr. P.C. Somani
CFO
He is a Chartered Accountant with a
B.Com degree. He joined the company in
July’14 as a CFO. He has been
instrumental in driving the financial
stability and growth of the company,
helping it maintain its leadership in the
plastics industry.
Mr. S.K. Patnaik
COO
He holds Master of Business
Administration degree from IIM Calcutta
and studied economics from Utkal
University. He joined the company in
June’18, before that he was working with
Hamilton housewares as a general
manager. He has 25 years plus of
experience in multi facets of sales &
marketing
June 2025
48
 Motilal Oswal Financial Services
Pipes – Thematic: Capturing new opportunities!
ESG initiatives
Environmental initiatives
The company is engaging with stakeholders, including customers, suppliers, and
investors, to demonstrate commitment to climate action and sustainability.
SI is transitioning into the use of clean fuels, i.e. LPG/ PNG, and is going to install
rainwater harvesting infrastructure for feasible Supreme sites.
The company is monitoring and reporting on climate performance, including
setting targets and tracking progress toward emissions reductions and other
climate-related goals.
CSR initiatives
The company has been invested in doing social welfare in areas such as
promoting healthcare, education, rural development, disaster relief, donating to
police welfare funds, socioeconomic development, providing financial assistance
to plumbers, and other areas of public service.
Governance
As of Mar’25, the Board comprised 10 Directors including six Independent
Directors and one Woman Director.
The Board comprised seasoned professionals with expertise in various fields,
contributing diverse experiences.
The Board’s performance is assessed annually based on their responsibilities,
and a strong compliance mechanism is in place to adhere to applicable rules and
regulations.
June 2025
49
 Motilal Oswal Financial Services
Pipes – Thematic: Capturing new opportunities!
Financials and valuations
Consolidated - Income Statement
Y/E March
Total Income from Operations
Change (%)
Raw Materials
Employees Cost
Power and Fuel Cost
Other Expenses
Total Expenditure
% of Sales
EBITDA
Margin (%)
Depreciation
EBIT
Int. and Finance Charges
Other Income
PBT bef. EO Exp.
EO Items
PBT after EO Exp.
Total Tax
Tax Rate (%)
Share of Profit/loss of Associate
Reported PAT
Adjusted PAT
Change (%)
Margin (%)
FY19
56,120
12.9
38,199
2,546
2,055
5,475
48,274
86.0
7,846
14.0
1,835
6,010
260
78
5,828
672
6,500
2,158
33.2
144
4,486
4,037
-6.5
7.2
FY20
55,115
-1.8
35,783
2,790
2,161
6,036
46,770
84.9
8,346
15.1
2,057
6,289
202
14
6,101
0
6,101
1,739
28.5
312
4,674
4,674
15.8
8.5
FY21
63,552
15.3
40,427
3,104
1,986
5,194
50,710
79.8
12,842
20.2
2,128
10,714
221
169
10,662
0
10,662
2,341
22.0
1,460
9,781
9,781
109.3
15.4
FY22
77,728
22.3
53,532
3,453
2,134
6,188
65,307
84.0
12,421
16.0
2,295
10,126
52
200
10,274
0
10,274
2,633
25.6
2,044
9,684
9,684
-1.0
12.5
(INRm)
FY23
FY24
FY25
FY26E
FY27E
FY28E
92,016 1,01,343 1,04,463 1,18,982 1,37,101 1,53,314
18.4
10.1
3.1
13.9
15.2
11.8
65,992 68,584 71,465 78,669 87,982 95,943
3,748
4,422
4,873
5,583
6,499
7,377
2,667
3,288
3,425
3,924
4,523
5,083
7,613
9,576 10,384 13,117 16,416 19,992
80,019 85,869 90,146 1,01,293 1,15,420 1,28,395
87.0
84.7
86.3
85.1
84.2
83.7
11,997 15,473 14,317 17,688 21,681 24,919
13.0
15.3
13.7
14.9
15.8
16.3
2,634
2,984
3,586
4,081
4,522
4,765
9,363 12,490 10,730 13,607 17,159 20,154
80
161
119
125
130
130
298
657
578
952
1,234
1,380
9,580 12,985 11,190 14,434 18,263 21,404
0
0
0
0
0
0
9,580 12,985 11,190 14,434 18,263 21,404
2,460
3,357
2,782
3,633
4,597
5,387
25.7
25.8
24.9
25.2
25.2
25.2
1,533
1,069
1,201
1,367
1,576
1,762
8,653 10,697
9,609 12,169 15,242 17,779
8,653 10,697
9,609 12,169 15,242 17,779
-10.6
23.6
-10.2
26.6
25.3
16.6
9.4
10.6
9.2
10.2
11.1
11.6
Consolidated - Balance Sheet
Y/E March
Equity Share Capital
Total Reserves
Net Worth
Total Loans
Deferred Tax Liabilities
Capital Employed
Gross Block
Less: Accum. Deprn.
Net Fixed Assets
Capital WIP
Total Investments
Curr. Assets, Loans&Adv.
Inventory
Account Receivables
Cash and Bank Balance
Loans and Advances
Curr. Liability & Prov.
Account Payables
Other Current Liabilities
Provisions
Net Current Assets
Appl. of Funds
FY19
254
21,286
21,540
1,621
1,204
24,364
29,857
14,647
15,210
900
2,223
13,959
7,504
3,874
373
2,208
7,929
5,574
2,115
240
6,030
24,364
FY20
254
22,358
22,612
4,113
1,326
28,050
32,196
16,704
15,492
929
2,073
17,692
8,906
3,128
2,314
3,344
8,135
5,475
2,347
313
9,557
28,050
FY21
254
31,438
31,692
10
919
32,621
35,303
18,832
16,471
510
3,366
22,476
7,608
3,899
7,684
3,285
10,202
6,462
3,442
298
12,274
32,621
FY22
254
38,190
38,444
0
904
39,348
38,013
21,127
16,886
1,558
4,759
26,757
12,602
4,668
5,264
4,223
10,611
7,940
2,351
320
16,146
39,348
FY23
254
43,767
44,021
0
908
44,929
43,580
23,761
19,819
837
5,774
30,513
13,856
4,924
7,461
4,272
12,013
9,038
2,627
349
18,500
44,929
FY24
254
50,834
51,088
0
960
52,048
49,072
26,745
22,327
1,437
6,381
35,369
13,586
5,114
11,873
4,796
13,509
10,156
2,892
461
21,860
52,048
FY25
254
56,350
56,604
0
875
57,479
55,800
30,331
25,469
4,072
7,196
34,898
13,337
5,401
9,525
6,636
14,199
8,934
4,776
489
20,699
57,479
FY26E
254
64,199
64,453
0
875
65,328
67,858
34,412
33,446
3,014
7,196
38,304
15,321
6,005
9,840
7,139
16,675
11,083
4,997
595
21,629
65,328
FY27E
254
75,121
75,375
0
875
76,250
73,469
38,934
34,535
1,403
7,196
51,912
17,654
6,919
19,799
7,541
18,839
12,395
5,758
686
33,073
76,250
(INRm)
FY28E
254
88,580
88,834
0
875
89,709
77,792
43,699
34,093
1,081
7,196
68,364
19,742
7,737
32,912
7,972
21,067
13,861
6,439
767
47,297
89,709
June 2025
50
 Motilal Oswal Financial Services
Pipes – Thematic: Capturing new opportunities!
Financials and valuations
Ratios
Y/E March
Basic (INR)
EPS
Cash EPS
BV/Share
DPS
Payout (%)
Valuation (x)
P/E
Cash P/E
P/BV
EV/Sales
EV/EBITDA
Dividend Yield (%)
FCF per share
Return Ratios (%)
RoE
RoCE
RoIC
Working Capital Ratios
Fixed Asset Turnover (x)
Asset Turnover (x)
Inventory (Days)
Debtor (Days)
Creditor (Days)
Leverage Ratio (x)
Current Ratio
Interest Cover Ratio
Net Debt/Equity
FY19
31.8
46.2
169.5
13.0
44.4
138.8
95.4
26.0
10.0
71.6
0.3
14.9
19.9
18.2
19.9
1.9
2.3
49
25
36
1.8
23.1
0.0
FY20
36.8
53.0
178.0
14.0
45.9
119.9
83.3
24.8
10.2
67.4
0.3
23.8
21.2
18.1
20.6
1.7
2.0
59
21
36
2.2
31.1
0.0
FY21
77.0
93.7
249.4
22.0
28.5
57.3
47.1
17.7
8.7
43.1
0.5
76.9
36.0
29.1
38.2
1.8
1.9
44
22
37
2.2
48.6
-0.3
FY22
76.2
94.3
302.6
24.0
31.5
57.9
46.8
14.6
7.1
44.7
0.5
0.3
27.6
21.9
30.8
2.0
2.0
59
22
37
2.5
196.6
-0.3
FY23
68.1
88.8
346.5
26.0
38.2
64.8
49.7
12.7
6.0
46.1
0.6
36.9
21.0
17.4
23.7
2.1
2.0
55
20
36
2.5
116.7
-0.3
FY24
84.2
107.7
402.1
30.0
35.6
52.4
41.0
11.0
5.4
35.5
0.7
68.2
22.5
20.5
29.3
2.1
1.9
49
18
37
2.6
77.5
-0.4
FY25
75.6
103.9
445.5
34.0
45.0
58.3
42.5
9.9
5.3
38.5
0.8
8.9
17.8
15.8
23.4
1.9
1.8
47
19
31
2.5
90.2
-0.3
FY26E
95.8
127.9
507.3
34.0
35.5
46.1
34.5
8.7
4.6
31.1
0.8
19.2
20.1
18.0
24.8
1.8
1.8
47
18
34
2.3
108.9
-0.3
FY27E
120.0
155.6
593.3
34.0
28.3
36.8
28.4
7.4
3.9
24.9
0.8
91.3
21.8
19.7
27.6
1.9
1.8
47
18
33
2.8
132.0
-0.4
FY28E
139.9
177.4
699.2
34.0
24.3
31.5
24.9
6.3
3.4
21.2
0.8
113.5
21.7
19.6
31.3
2.0
1.7
47
18
33
3.2
155.0
-0.5
Consolidated - Cash Flow Statement
Y/E March
OP/(Loss) before Tax
Depreciation
Interest & Finance Charges
Direct Taxes Paid
(Inc)/Dec in WC
CF from Operations
Others
CF from Operating incl EO
(Inc)/Dec in FA
Free Cash Flow
(Pur)/Sale of Investments
Others
CF from Investments
Inc/(Dec) in Debt
Interest Paid
Dividend Paid
Others
CF from Fin. Activity
Inc/Dec of Cash
Opening Balance
Closing Balance
FY19
6,500
1,835
182
-2,158
-803
5,557
0
5,557
-3,661
1,896
-287
1,552
-2,396
-857
-260
-1,994
-41
-3,151
10
363
373
FY20
6,101
2,057
188
-1,739
-1,213
5,393
0
5,393
-2,368
3,026
151
258
-1,959
2,492
-202
-2,147
-1,637
-1,493
1,941
373
2,314
FY21
10,662
2,128
52
-2,341
1,962
12,463
0
12,463
-2,689
9,775
-1,293
2,102
-1,880
-4,103
-221
-2,790
1,901
-5,213
5,370
2,314
7,684
FY22
12,318
2,295
51
-2,868
-4,941
6,855
-2,153
4,703
-4,661
42
139
571
-3,951
-11
-10
-2,922
-161
-3,103
-2,351
7,615
5,264
FY23
11,113
2,634
80
-2,375
-777
10,676
-1,772
8,904
-4,218
4,686
188
589
-3,442
0
-15
-3,049
-202
-3,266
2,197
5,264
7,461
FY24
14,054
2,984
161
-3,232
1,796
15,763
-1,634
14,129
-5,467
8,662
298
-731
-5,900
0
-39
-3,557
-221
-3,817
4,412
7,461
11,873
FY25
12,390
3,586
119
-3,023
-992
12,081
-2,043
10,037
-8,904
1,133
398
521
-7,985
0
-57
-4,065
-279
-4,400
-2,348
11,873
9,525
FY26E
14,434
4,081
-827
-3,633
-614
13,441
0
13,441
-11,000
2,441
0
952
-10,048
0
-125
-4,320
1,367
-3,077
315
9,525
9,840
FY27E
18,263
4,522
-1,104
-4,597
-1,485
15,599
0
15,599
-4,000
11,599
0
1,234
-2,766
0
-130
-4,320
1,576
-2,874
9,959
9,840
19,799
(INRm)
FY28E
21,404
4,765
-1,250
-5,387
-1,110
18,422
0
18,422
-4,000
14,422
0
1,380
-2,620
0
-130
-4,320
1,762
-2,688
13,114
19,799
32,912
June 2025
51
 Motilal Oswal Financial Services
Initiating Coverage | Sector: Midcaps
Pipes – Thematic: Capturing new opportunities!
Astral
Buy
BSE Sensex
82,756
S&P CNX
25,245
CMP: 1,501
TP:INR1,800 (+20%)
Scaling new heights!
Stock Info
Bloomberg
Equity Shares (m)
M.Cap.(INRb)/(USDb)
52-Week Range (INR)
1, 6, 12 Rel. Per (%)
12M Avg Val (INR M)
Free float (%)
ASTRA IN
269
404.4 / 4.7
2454 / 1232
2/-18/-43
1032
45.9
Astral (ASTRA) has emerged as one of India's top plastic pipe manufacturers,
revolutionizing the industry with the introduction of CPVC pipes in 1998. Expanding
beyond its core business, ASTRA now operates in five key segments—pipes, water
tanks, adhesives & sealants, bathware, and paints—positioning itself as a diversified
market leader.
Financial Snapshot (INR b)
FY25 FY26E FY27E
Y/E Mar
58.3
66.5
77.7
Sales
9.5
11.1
13.1
EBITDA
5.2
6.5
8.1
Adj. PAT
16.2
16.7
16.9
EBITDA (%)
26.1
32.3
40.2
EPS (INR)
-4.1
24.0
24.5
EPS Gr. (%)
180
207
243
BV/Sh. (INR)
Ratios
-0.1
-0.2
-0.3
Net D/E
15.4
16.7
17.9
RoE (%)
15.6
16.7
17.8
RoCE (%)
14.4
15.5
12.4
Payout (%)
Valuations
57.6
46.4
37.3
P/E (x)
31.4
26.3
21.7
EV/EBITDA (x)
0.2
0.3
0.3
Div Yield (%)
0.3
1.9
2.5
FCF Yield (%)
Shareholding pattern (%)
As On
Mar-25 Dec-24 Mar-24
Promoter
54.1
54.1
54.1
DII
14.8
13.9
12.9
FII
20.2
21.1
21.2
Others
11.0
10.9
11.8
Stock Performance (1-year)
ASTRA has continuously expanded its product portfolio across pipes, adhesives,
paints, water tanks, and fire safety, with a total addressable market (TAM) of
INR1,595b in FY24 (expected CAGR of 12% over FY24-27). Strategic acquisitions,
capacity expansions, and strong exports drive sustainable double-digit growth for
the company.
ASTRA has delivered the highest EBITDA CAGR among peers (16%) over FY20-FY25,
led by backward integration, a higher mix of non-agri products, and operational
efficiencies. Despite market volatility, ASTRA maintained 16.2% EBITDA margins in
FY25, while peers faced significant margin erosion.
ASTRA has established itself as an industry innovator, consistently introducing first-
of-its-kind products such as CPVC pipes, lead-free uPVC, anti-viral water tanks, and
UL-certified fire protection systems. Its commitment to innovation is reinforced by
its aggressive branding strategy, with 4% of sales dedicated to advertising – the
highest in the industry. ASTRA has built a high-impact consumer brand, driving a
strong market recall and sustained leadership across its product segments.
We expect ASTRA to deliver a CAGR of 16%/17%/23% in revenue/EBITDA/adj. PAT
over FY25-28, driven by a revenue CAGR of 15%/17% in pipe/adhesive businesses.
We are encouraged by the long-term structural opportunity in the sector and
ASTRA’s capability to participate in it. We initiate coverage with a BUY rating and an
SOTP-based TP of INR1,800 (premised on 45x FY27E P/E, which implies a 33%
discount over the stock’s five-year average one-year forward P/E).
Expanding growth avenues with a diversified channel strategy
Initially a CPVC pipe manufacturer, ASTRA has successfully diversified into
PVC, DWC, and OPVC pipes, adhesives, water tanks, bathware, and paints,
positioning itself as a diversified player with an expected TAM of INR2,259b
by FY27E, growing at a 12% CAGR over FY24-27.
Its pipe manufacturing capacity has also expanded at a 14% CAGR over the
past decade, reaching 382K MT in FY25, with further expansion in Hyderabad
and Kanpur. This widespread capacity enhancement underscores ASTRA's
dedication to meeting growing market demand and strengthening its
operational footprint across key regions.
The company has leveraged strategic acquisitions, such as Resinova and Seal
IT, to strengthen its adhesive business, which now contributes 28% of total
revenue. ASTRA's foray into paints, through the acquisition of Gem Paints,
taps into an INR620b industry, growing at 8-10% CAGR. Its bathware business,
launched in FY22, grew 51% YoY in FY25, achieving a breakeven.
With a strong focus on exports, ASTRA plans to scale up its overseas revenue
from INR760m in FY24 to INR3b in three years through its Dubai office.
ASTRA’s aggressive expansion, product diversification, and strategic
acquisitions position it as a multi-segment leader in India’s building materials
market. With a growing TAM, strong distribution, and a balanced revenue
mix, the company is well-placed for sustainable double-digit growth.
June 2025
52
 Motilal Oswal Financial Services
Pipes – Thematic: Capturing new opportunities!
Outperforming the competition: ASTRA’s edge in efficiency
ASTRA has fortified its industry leadership through backward integration,
premium product offerings, and a strategic B2C shift.
In-house CPVC compound production has reduced procurement costs by 1.5-
2%, enhancing supply stability and margins. By sourcing CPVC resin from
multiple vendors such as Sakesui, ASTRA ensures flexibility and cost efficiency.
In FY25, the company achieved the highest gross margin of 40% and maintained
a 16% EBITDA CAGR over FY20-25, outperforming industry peers.
ASTRA's pipe business (72% of FY25 revenue) derives ~50% of the pipe revenue
from B2C sales, enhancing profitability. The company leads the CPVC pipes
segment with a ~30% market share, benefiting from CPVC’s 75-80% organized
market dominance vs. 65% for PVC.
CPVC demand remains stable, driven primarily by housing demand, insulating
ASTRA from crude price volatility, unlike PVC. The company also has the highest
realization as compared to peers in the plumbing sector at INR185/kg in FY25,
with a minimal impact from polymer price fluctuations.
ASTRA's focus on high-margin, non-agricultural products (~90% of revenue) and
value-added offerings such as CPVC products, OPVC pipes, aluminum PEX pipes,
and fire sprinkler systems supports sustainable profitability.
Despite industry challenges, its pass-through pricing strategy helped ASTRA
maintain EBITDA margins at 16.2% in FY25, while the industry faced a 170bp
decline (including ASTRA). It posted the highest EBIT/kg of INR27 in FY25.
ASTRA’s strategic focus on backward integration, B2C expansion, and high-
margin products has strengthened its market leadership, ensuring cost
efficiency, margin stability, and stable profitability despite industry
headwinds.
Pioneering innovation and strategic branding
ASTRA sustains industry leadership through innovation and pioneering high-
quality plumbing and water management solutions. Its diverse product portfolio
includes CPVC, OPVC, and fire safety systems, with groundbreaking offerings
such as DrainPro, Recyfix, Insu Pro, and Fire Pro, among others.
The company has acquired advanced OPVC machinery at half the cost of
competitors, backed by its in-house innovation, ensuring faster plant setup.
As per our interaction with industry players and dealers/experts, product
offerings of organized players do not much differ in terms of quality, and hence,
entry barriers are minimal. Thus,
product innovation is critical.
In branding, ASTRA collaborates with IPL teams (CSK, MI, GT, PBKS, LSG) and
features in films (Dunki, Jawan). It leads in industry A&P spending at ~4% of
sales in FY25 (+1% YoY), enhancing visibility. The "New Bharat" initiative targets
rural markets, while endorsements from Allu Arjun and Varun Dhawan
strengthen consumer engagements in adhesives and sealants.
ASTRA's comprehensive marketing efforts have positioned it as a leader in
branding within the industry, helping it stand out from competitors and
strengthening its presence across diverse market segments.
June 2025
53
 Motilal Oswal Financial Services
Pipes – Thematic: Capturing new opportunities!
Strong financial track record
ASTRA delivered an 18% revenue CAGR during FY20-25, driven by 11% volume
growth and 7% higher realizations. Despite a decline in the industry, ASTRA grew
its volume by 3% YoY to 227k MT in FY25.
Looking ahead, volume is expected to clock a 12% CAGR over FY25-28E,
reaching 319k MT in FY28E,
supported by demand recovery and deeper non-
agri penetration. With a strong brand, diversified portfolio, and market
positioning, we expect ASTRA to maintain the growth momentum (16% CAGR
over FY25-28E).
ASTRA’s strong CPVC mix ensures stable, higher-margin earnings, mitigating PVC
price volatility. The company maintains ~16% long-term EBITDA margin,
achieving 16.2% in FY25.
Strategic expansion into adhesives and paints is set to enhance profitability,
with India adhesives maintaining a ~16% margin and Seal IT UK turning EBITDA
positive, targeting 5-10% margins by 2QFY26. The paint division is expected to
reach double-digit EBITDA margins in 1QFY26.
With PVC price recovery and improved overseas profitability, ASTRA’s EBITDA
margins are expected to expand to ~16.6% by FY28E.
ASTRA’s strong operational efficiency, disciplined working capital management,
and strategic growth investments augur well for sustainable profitability and
cash flow resilience. With optimized net working capital days (37 days), robust
cash generation (CFO/EBITDA at 67% in FY25), and an expected decline in capex
intensity from FY26 onward, ASTRA is well-equipped to drive long-term value
creation while maintaining financial stability and market leadership.
Valuation and view: Initiate coverage with BUY
A well-diversified network and its growing focus on other value-added products
(in the pipe and evolving segments such as adhesives and paints) should
diversify ASTRA’s revenue stream and margin profile over the long run.
ASTRA has the highest TAM (INR1,595b in FY24) among its peers, offering a long
runway for growth. With manufacturing capacity expanding at 12% CAGR over a
decade and a 10% CAGR (over FY20-25) in the distributor network, its focus on
product innovation and channel expansion reinforces market leadership.
The company maintains the highest EBIT/kg and industry-leading realizations,
supported by a premium CPVC mix and 90% revenue from non-agri segments.
Despite industry-wide pressures, stable EBITDA margins in FY25 highlight a
strong foothold of the company.
We expect ASTRA to deliver a CAGR of 16%/17%/23% in revenue/EBITDA/adj.
PAT over FY25-28, driven by a revenue CAGR of 15%/17% in pipes/adhesives
businesses.
We are encouraged by the long-term structural opportunity in the sector and
ASTRA's capability to participate in it. We initiate coverage with a BUY rating
and an SOTP-based TP of INR1,800 (premised on 45x FY27E P/E, which implies
a 33% discount over the stock’s five-year average one-year forward P/E).
June 2025
54
 Motilal Oswal Financial Services
Pipes – Thematic: Capturing new opportunities!
Story in charts
Business mix
Pipes
Adhesives
25%
22%
23%
23%
27%
27%
28%
29%
29%
29%
75%
78%
77%
77%
73%
73%
72%
71%
71%
71%
Expect 16% revenue CAGR over FY25–28E…
Revenue (INRb)
38.3%
23.2%
2.8%
25.8
31.8
43.9
51.6
56.4
14.1%
17.4%
9.4%
3.4%
58.3
66.5
77.7
90.0
16.7% 15.9%
Growth (%)
…driven by 15% CAGR in plumbing segment and…
Plumbing revenue (INRb)
36.9%
21.7%
12.2%
10.7%
6.6%
20.4
24.9
34.0
37.7
1.3%
16.4% 16.4%
9.9%
41.4
42.0
47.1
54.8
63.8
…17% CAGR in Adhesives
Adhesives and Paints Revenue (INRb)
38.6%
36.7%
9.1%
EBITDA margins to expand 70bp over FY25-28E
EBITDA (INRb)
20.3%
17.6% 14.7%
15.4%
17.2%
17.2%
15.7% 16.3%
Margin (%)
16.2%
16.9%
18.9%
26.0%
7.8%
-8.1%
5.8
7.3
10.2 13.9 15.0 16.4 19.5 22.9 26.3
16.7%
4.4
6.4
7.6
8.1
9.2
9.5
11.1
13.1
15.3
Source: Company, MOFSL
Source: Company, MOFSL
June 2025
55
 Motilal Oswal Financial Services
Pipes – Thematic: Capturing new opportunities!
Pipes volume to see 12% CAGR over FY25–28E
Pipes Volumes (000 MT)
23.6%
18.3%
3.3% 9.5%
18.8%
13.0%
7.5%
3.4%
10.0%
Growth (%)
EBITDA/kg to rise over FY25–28E
EBITDA/Kg (INR)
Growth (%)
41.2%
12.3%
6.7%
-4.6%
1.2%
-16.7%
36.1
34.5
34.9
1.1%
2.6%
3.3%
132.2 136.6 149.6 177.6 219.6 227.1 249.8 282.3 319.0
28.8
40.6
43.4
35.3
36.2
37.4
Expect adj. PAT CAGR of 23% over FY25–28
Adj. PAT (INRb)
52.5%
31.8%
19.2%
-5.3%
2.7
4.1
4.8
4.6
5.5
19.1%
-4.1%
5.2
6.5
8.1
9.6
24.0%
Growth (%)
RoE and RoCE trends
RoE (%)
23.5 23.0
16.2
24.5% 19.4%
17.6
17.5
23.9
19.1
22.9
18.2
18.5
15.4
17.9 18.2
18.918.7
17.8 18.1
15.6 16.7
RoCE (%)
16.7
Source: Company, MOFSL
Source: Company, MOFSL
June 2025
56
 Motilal Oswal Financial Services
Pipes – Thematic: Capturing new opportunities!
A comprehensive leader in plastic piping solutions
Incorporated in 1996 by Sandeep Engineer, ASTRA has established itself as one of
the top five plastic pipe companies in India.
The company operates in five key business segments, including pipes, water
tanks, adhesives & sealants, bathware, and paints, catering to a broad range of
market needs.
Exhibit 48: Diversified business operation
Source: Company
ASTRA was the
first company in India to introduce CPVC pipes and fittings
in
1998, marking a significant milestone in the piping industry and setting the
company apart as a pioneer in this category.
The company expanded into the adhesives business through strategic
acquisitions of Seal IT (UK) and Resinova in FY14 and Resinova Chemie Ltd in
Nov’14, which allowed it to diversify its product offerings. Additionally, Astral
entered the paint segment by acquiring a controlling stake (80% as of Mar’25)
in Gem Paints in Apr’22.
ASTRA's TAM stood at INR1,595b in FY24 and is projected to grow at a ~12%
CAGR to INR2,259b by FY27. With diversification into adjacent categories,
ASTRA commands the largest TAM among its peers.
Exhibit 49: Corporate structure of ASTRA
Astral
Astral
Coatings Pvt
Ltd (80%)
APL Kenya
(50%)
Al-Aziz plastics
(100%)
Seal IT UK (95%)
Seal IT US (100%)
SISL (Bond IT) Ireland
(100%)
Source: Company
June 2025
57
 Motilal Oswal Financial Services
Pipes – Thematic: Capturing new opportunities!
ASTRA’s manufacturing operations span 26 units across three countries,
with a total capacity of ~566k MT as of Mar’25, including 382k MT for pipes,
water tanks, and bathware, making it a significant player in the industry.
Plumbing solutions generate a majority (72%) of the company’s revenue (of
this, CPVC pipes contribute the highest), while 28% comes from adhesives
and paints. Astral has built an extensive distribution network comprising
over 3,610+ distributors and 251,000+ dealers across India, ensuring that its
products are accessible nationwide.
Exhibit 51: …PVC & CPVC as of FY25
% Of plumbing sales
Exhibit 50: Revenue breakup between segments and…
Adhesives
and Paints
28%
PVC
CPVC
Plumbing
72%
Source: Company, MOFSL
Source: Company, MOFSL
June 2025
58
 Motilal Oswal Financial Services
Pipes – Thematic: Capturing new opportunities!
Exhibit 52: ASTRA’s business overview
Business
verticals
Business Overview
Plastic pipes
Product portfolio
Target customers
• Plumbers
• Contractors
Builders
• Homeowners
• Irrigation
• Municipalities
• Infrastructure
• Projects
• Industrial plants
• Water treatment
facilities
• Oil & gas, HVAC
• Civil contractors
• Construction Co.
• Telecom Co.
• Government Co.
• Homeowners
Builders
• Interior designers
• Hotels
• Hospitals
• Homeowners
• Builders
• Commercial
establishments
• Agricultural users
Revenue
mix
• Plumbing P&F
ASTRA manufactures pipes and fittings, • Sewerage/Drainage P&F
including ASTM solvent weld lead-free • Agri P&F
PVC systems. It operates nine plants in • Cable protection system
India with a 45k MT CPVC
• Industrial piping system
compounding capacity.
• Fire protection system
• Specialized fittings
• Column and conduit pipe
They offer specialized valves known for
• Compact true union ball valve
precision engineering and reliability
• Single union ball valve
across applications.
• Industrial ball valve
Its infrastructure products ensure
durability and efficiency, catering to
modern urban development needs.
Astral Bathware, launched in CY19,
expands its building materials portfolio
with faucets, sinks, toilets,
showerheads, and accessories for
residential and commercial projects.
• Drainage
• Cable protection
• PT duct systems
• Faucets
• Sanitaryware
• Cisterns
• Showers
Specialized
valves
Infrastructure
products
Bathware
69%
Water tank
Astral’s water tanks, India's first with
• Roto molded water tanks 4, 3, and
NSF approval, incorporate anti-viral
2 layers
copper shield technology for superior
• Blow moulded tanks
hygiene. Built for durability and quality,
• Loft water tanks
they set a benchmark in reliable water
• Water tank with anti-viral copper
storage.
shield 4&3 layers
Astral offers adhesives, sealants, tapes, • Epoxy and putty
and construction chemicals under
• PVA adhesives
brands like Resiwood, Trubuild,
• Rubber adhesives
Bondtite, and Resiquick. Backed by
• Anaerobic adhesives
advanced manufacturing, in-house
• Tapes
R&D, and strong distribution, it drives • Silicone, acrylic & hybrid sealants
growth through backward integration, • Instant adhesives
Tier-2/3 expansion, and exports.
• Industrial adhesives
• Solvent cements
Astral TruBuild provides waterproofing
solutions, including membranes,
coatings, sealants, and repair mortars, • Waterproofing solutions
for residential, industrial, and
• Tile adhesives & grouts
infrastructure projects in India.
Astral Paints leverages Astral’s
distribution, offering emulsions,
primers, and ancillary products for
residential and commercial markets.
• Interior emulsions
• Exterior emulsions
• Distempers
• Enamels
• Undercoats (primer & wall putty)
3%
Adhesives &
sealants
• Construction
• Companies
• Contractors
• Plumbers
• Carpenters
• Automotive industry
• Manufacturing
• Construction
companies
• Contractors
• Builders
• Civil engineers
• Homeowners
• Painters
• Contractors
• Commercial buildings
• Industrial facilities
24%
Construction
chemicals
Paints
4%
Source: Company, MOFSL
June 2025
59
 Motilal Oswal Financial Services
Pipes – Thematic: Capturing new opportunities!
Expanding growth avenues with a diversified channel strategy
Tapping into INR2,259b TAM through multi-sector expansion
ASTRA has a history of fast expansion by either launching new SKUs with
different applications or entering new segments such as paints and adhesives or
executing an aggressive capacity addition strategy that increased pipe
manufacturing capacity by
14% CAGR over
the last 10 years, from 102k MT in
FY15 to the current 382k MT.
ASTRA is currently engaged in extensive expansion activities across multiple
locations, including Hyderabad, Ghiloth, Hosur, Dholka and Kanpur, reflecting its
commitment to increasing manufacturing capacity. Specifically, upcoming
expansions include 70k MT (21k MT already commercialized) for pipes and
water tanks in Hyderabad and 60k MT for pipes and water tanks in Kanpur. All
capacities will be commercialized by FY26.
This widespread capacity enhancement underscores ASTRA's dedication to
meeting growing market demand and strengthening its operational footprint
across key regions.
Exhibit 53: Evolution of pipe manufacturing capacity over the period
Capacity (000 MT)
97
102
128
138
152
205
239
258
275
290
334
382
457
487
487
Source: Company
It has expanded its pipes portfolio by adding
underground pipes, OPVC, PPR
pipes, and PEX pipes,
showcasing its commitment to comprehensive
growth. Over the past two decades, the company has transformed from
being solely a CPVC pipe manufacturer to a diversified player in pipes,
adhesives, and plastic water tanks, effectively de-risking its portfolio
through innovative product launches and inorganic acquisitions.
Two decades ago, CPVC contributed 100% of the company's revenue.
Though its share has declined, it is still above 50%, reflecting segment
growth alongside strategic diversification into PVC and DWC pipes,
adhesives (Seal IT and Resinova), and the paints segment through the
acquisition of Gem Paints in Jun’22. This expansion has effectively mitigated
risks and broadened the company’s addressable market.
While peers are doing related diversification into plastic-based segments,
ASTRA is doing diversification on the channel side.
From plastic pipes,
ASTRA has diversified into adhesives and sealants, construction chemicals,
paints, and bathware.
June 2025
60
 Motilal Oswal Financial Services
Pipes – Thematic: Capturing new opportunities!
ASTRA operates in multiple segments with a TAM of INR1,595b as of FY24,
which is expected to grow at ~12% CAGR to reach INR2,259b by FY27. The
individual TAMs are plastic pipes (increasing from INR541b in FY24 to
INR805b by FY27); sanitary and bathware (growing from INR194b to
INR245b); water tanks (rising from INR100b to INR140b); paints (growing
from INR620b to INR887b); and adhesives & sealants (increasing from
INR140b to INR181b).
ASTRA has the highest TAM among its peers, driven by diversification
across these segments.
Exhibit 54: ASTRA’s ever-growing TAM (INR b)
Pipes & Fittings
Sanitary and bathware
Water tanks
Paints
Adhesives & Sealent
2,259
181
1,595
140
620
100
194
541
FY24
TAM
887
140
245
805
FY27E
Source: Company
Diversification in channels makes ASTRA’s revenue and margins less volatile,
as it ensures that all its sectors do not face headwinds simultaneously. While
plastic pipe realizations are highly dependent on volatile PVC prices, ASTRA's
focus on value-added products with stable realizations such as adhesives, paints,
and bathware helps reduce this volatility.
Plumbing – bathware, sanitaryware, OPVC
OPVC
ASTRA is set to introduce new products, including OPVC pipes and aluminum
PEX pipes. With the BIS approval process already completed, commercial
production will begin soon for OPVC pipes, while PEX production is planned for
next year.
The company has expanded its manufacturing facilities in Guwahati and Cuttack
and has ordered four OPVC lines to be installed across India for high-pressure
water supply applications, with
two additional OPVC machines already
installed in 3QFY25 and received orders worth INR180m in 4QFY25.
Through in-house innovation, ASTRA acquired OPVC machinery at half the cost
of competitors and will invest only a quarter of the capex required by other
players with similar capacities.
With an initial capacity of 7-8k MT with three machine lines and a first-year
target exceeding INR1b,
OPVC is positioned to replace DI pipes, offering a
significant market opportunity. Strong initial feedback from customers and
plumbers, along with favorable pricing and increasing inquiries, provides the
company confidence in scaling up operations quickly if market response remains
positive.
ASTRA enters OPVC/PEX
pipes with cost-efficient
innovation, targeting DI
pipe replacement
opportunity.
June 2025
61
 Motilal Oswal Financial Services
Pipes – Thematic: Capturing new opportunities!
Sanitaryware and bathware
The Indian sanitaryware and bathware industry, valued at INR194b in FY24, is
growing at a 7-9% CAGR, driven by urbanization, rising disposable incomes, and
increasing demand for modern, aesthetically pleasing solutions.
ASTRA entered the bathware segment in Oct'21 and launched its first display
center in Ahmedabad in Aug'22. The company manufactures bathware products
at its 336k MT capacity facility in Jamnagar, Gujarat, and sells under four brands:
Celestia, Imperia, Premia, and Gloria.
The bathware segment comprises sanitaryware (toilets, basins), faucets, and
showers, with rising demand for premium and luxury products reflecting
evolving consumer preferences.
Sanitaryware and faucet margins can reach 15-
17%
with scale and a strong brand presence, offering a clear path to higher
profitability.
In FY25, its bathware segment reported revenue of INR1.3b up 2x YoY but could
not break even in FY25.
Management expects to be EBITDA-positive in FY26.
The INR245b TAM for bathware in FY27E and the shift toward organized players
provide further opportunities. Positioned in the mid-pricing segment, ASTRA is
seeing strong bulk orders, particularly from redevelopment projects, enhancing
its growth prospects.
In the valve division, commercial production of a new range of ball check valves
and non-return valves in PVC and CPVC (sizes ranging from half an inch to four
inches) commenced in 4QFY25, featuring 50 SKUs, further expanding the
company’s product portfolio.
Adhesive ambitions: Widening horizons in the adhesives market
Adhesives now core
growth driver, backed
by global synergies and
distribution.
ASTRA has strategically positioned itself within India’s burgeoning adhesives,
sealants, and building chemicals industry.
Indian
adhesives and sealants market
is valued at ~USD1.69b and projected to grow at a CAGR of 8-10% during FY24-
32, reaching USD3.36b by FY32.
Additionally, the
UK
adhesives and sealants market, driven by construction,
automotive, and manufacturing, is expected to grow at a CAGR of 3-5% during
CY24-32, reaching ~USD1.2b, with rising demand for eco-friendly and
sustainable products.
In FY14, the company expanded its portfolio by acquiring subsidiaries Resinova
Chemie (India) and Seal IT (UK) for INR2.1b and INR440m, respectively, marking
a significant shift from its previous minimal presence in the adhesives sector,
primarily through its subsidiary, Advanced Adhesive Ltd (AAL).
Before the merger in FY16, AAL generated revenue of INR317m, but since then,
ASTRA has transformed its adhesives business, which in FY25 accounted for 28%
of total revenue.
By integrating the adhesives segment, ASTRA has expanded its addressable
market size by INR140b, enhancing long-term growth visibility. With a diverse
portfolio of 60 brands, over 700 SKUs, and a network of 400k+ retailers in the
adhesives business, the company is well-positioned to capture rising demand.
ASTRA, currently ranked as the number two player in the adhesives business,
offers products that cater to 100% of the market. Still, it is looking for category
expansion, and in construction chemicals, the company is likely to tap all ranges
in FY26.
62
June 2025
 Motilal Oswal Financial Services
Pipes – Thematic: Capturing new opportunities!
A testament to its innovative approach, ASTRA recently launched WPC fix and
Acrylic fix for wood plastic composite substrates, which has garnered positive
feedback from consumers. Building on this momentum,
ASTRA plans to
introduce successful products from its US and UK operations, such as silicone
tapes, to penetrate the Indian market further.
Exhibit 55: Product categories in adhesive
Source: Company
First Indian company to
manufacture the entire
sealant range
domestically
The fully operational Dahej plant (35.4k MTPA) is key to ASTRA’s adhesive
business expansion, reducing material costs through bulk raw material
purchases and improving efficiency.
ASTRA is the first Indian company to manufacture the entire sealant range
domestically, including silicone, hybrid, acrylic, and SBS, reinforcing its focus
on backward integration across packaging processing and raw material
intermediaries.
Since acquiring the adhesives business in FY16, ASTRA has set up R&D facilities
in India and abroad (via SEAL IT) to drive innovation and product development.
In the UK, ASTRA is developing advanced technology adhesives that have
received positive initial market feedback. These products are set for launch
within two quarters and will also be manufactured in India, making ASTRA one
of the first companies to introduce such adhesives domestically, strengthening
its market position.
The upcoming “New Bharat Initiative” targets rural India (61% of the population,
~910m) with a specialized adhesive product, gaining early traction and
presenting a strong brand-building opportunity in a less competitive market.
The adhesives segment is divided into 4-5 sub-segments, enabling tailored
offerings. ASTRA maintains a competitive edge with a 5-15% price discount vs.
industry leaders.
With a projected 15-20% CAGR and ~15% sustainable
margins, ASTRA anticipates strong growth. UK market recovery and
bottoming-out chemical prices are expected to drive double-digit growth and
boost margins, recovering from inventory losses.
June 2025
63
 Motilal Oswal Financial Services
Pipes – Thematic: Capturing new opportunities!
Setting up the next growth lever – Paints
ASTRA entered the paint segment by acquiring a controlling stake (80% as of
Mar’25) in Gem Paints in Apr’22, adding a 36k MTPA capacity. It launched
multiple categories and SKUs in May’24, with retail paints under the Astral
brand and industrial paints under the owner brand.
The Indian paint industry, valued at INR620b in FY24, is driven by urbanization,
rising incomes, and demand for aesthetic, durable paints, with a projected CAGR
of 8-10%. Moreover, government initiatives like "Housing for All" and increased
infrastructure spending are fueling demand for both decorative and industrial
paints.
Decorative paints dominate 75% of the market through residential and
commercial construction, while the industrial paint segment (including
automotive and protective coatings) is expanding with manufacturing and
infrastructure growth. The industrial paint market accounts for ~25% of the
INR620b total paint market and is expected to grow at 7-8% CAGR, with TAM
projected to reach INR1.5t over the next 10 years.
Exhibit 56: Forayed into paint business with wide range of offerings
Source: Company
ASTRA targets 15-20% revenue growth in the paint segment,
driven by
portfolio expansion, enhanced distribution, and eco-friendly formulations. In
FY25, revenue increased by 6% YoY to INR2.0b (vs. INR1.9b in FY24), while
EBITDA margin declined to ~6% (from 14.5%) due to branding investments,
team expansion, dealer network development, and high launch costs. The
company is foregoing 100-200bp in margins to accelerate market penetration,
with initial margins expected at 14%.
June 2025
64
 Motilal Oswal Financial Services
Pipes – Thematic: Capturing new opportunities!
Leveraging its established pipes distribution network and onboarding new
channel partners, ASTRA is poised for sustained double-digit growth in both
retail and industrial paints, capitalizing on premium product demand, evolving
consumer preferences, and rising disposable incomes.
Initial market response has been positive in Gujarat and Rajasthan. It is
operating in the South through Gem Paints. The company plans to expand into
Madhya Pradesh and Maharashtra in the next 5-6 months to further strengthen
its footprint.
The business is expected to stabilize and scale up rapidly once the distribution
network is fully established.
While margins remain subdued due to high launch
costs, improvement is anticipated in 2HFY26, driven by operational efficiencies
and brand maturity.
Exhibit 57: Revenue and margin trends of paint business
Revenue (INRm)
22%
17%
11%
19%
EBIITDA Margin
2%
10%
5%
525
4%
500
5%
545
537
479
520
580
400
460
465
420
490
Source: Company
June 2025
65
 Motilal Oswal Financial Services
Pipes – Thematic: Capturing new opportunities!
Outperforming the competition: ASTRA’s edge in
efficiency
A few years back, ASTRA relied solely on Lubrizol for CPVC compound
procurement, which ensured high quality but created vendor dependency,
exposing the company to raw material supply disruptions and cost pressures.
To mitigate these risks, ASTRA has successfully backward-integrated its
operations to manufacture the CPVC compound in-house, allowing greater
control over production processes and supply chain stability.
As part of its backward integration efforts,
ASTRA sources CPVC resin from
Sakesui under a non-exclusive agreement,
enabling flexibility with multiple
vendors and ensuring a consistent supply of raw materials.
This backward integration strategy has resulted in a cost reduction of 1.5–2%
compared to external procurement costs. With a growing operational scale,
ASTRA benefits from improved economies of scale that further reduce raw
material procurement costs.
While gross margin expanded in FY25 compared to FY24 and FY23, ASTRA aims
to sustain it at around 39%, boasting the lowest raw material cost as a
percentage of sales among peers at 60%.
Exhibit 58: Steady margin expansion toward stability
EBITDA Margin (%)
33.3
34.3
38.1
38.0
33.4
17.2
Gross Margin (%)
38.7
33.4
39.7
40.4
40.0
39.5
26.6
11.8
28.4
12.4
31.2
13.9
15.3
15.4
17.2
20.3
15.7
16.3
16.2
16.5
16.6
16.6
FY15 FY16 FY17 FY18 FY19 FY20 FY21 FY22 FY23 FY24 FY25 FY26E FY27E FY28E
Source: Company, MOFSL
ASTRA has also been undertaking initiatives to
curb freight costs
by
decentralizing its manufacturing facilities and ramping up capacities at plants
located closer to the ports for raw material imports.
The Union Ministry of Commerce and Industry imposed ADD on CPVC
resins/compounds from China (USD605/ton) and South Korea (USD792/ton) in
Mar'20 for five years, set to expire in Mar'25. Following a sunset review, the
duty was extended for another five years in Aug'24, now effective until Aug'29.
This augurs well for ASTRA, as it does not import from these countries, giving
it a competitive edge over players impacted by the duty, while smaller
manufacturers may face challenges in sustaining operations.
In FY25, ASTRA achieved the highest gross margin of 40% among peers, standing
above aggregate margins since FY21, and recorded the highest EBITDA CAGR of
16% from FY20 to FY25 among peers.
June 2025
66
 Motilal Oswal Financial Services
Pipes – Thematic: Capturing new opportunities!
While FY25 was challenging for the plastic pipe industry, with significant
erosion in the profitability of its peers, ASTRA successfully maintained its
margins at 16.2%.
Exhibit 59: ASTRA has the highest gross margins among peers
Astral
Supreme Industries
Prince Pipes & Fittings
Apollo Pipes
Aggregate
FY21
FY22
FY23
FY24
FY25
Source: Company
Exhibit 60: ASTRA recorded the highest five-year EBITDA CAGR
EBITDA CAGR
16.4%
11.4%
23.3%
-6.7%
Astral
Supreme Industries
Prince Pipes & Fittings
Apollo Pipes
Source: Company
Note: Apollo Pipes growth was on low base
Despite spending relatively more on A&P, the company maintains the highest
EBITDA margins compared to peers, with plans to further improve these margins
by reducing marketing expenses through a change in its brand ambassador
model.
ASTRA’s expanding reach to support expanding TAM
ASTRA currently operates 25 manufacturing units (including nine for pipes),
compared to 13 units in FY21 (including six for pipes). Furthermore, the
company has enhanced its export presence, growing to 31+ countries in FY25
from 25+ countries in FY23, indicating a robust commitment to scaling up
operations and broadening its market reach.
ASTRA has opened a marketing office in Dubai to expand its export business
in
the UAE, Gulf, and African markets, with an aim of growing exports to INR3b in
the next three to four years from ~INR760m in FY24. From this office, the
company will enter the Gulf export market for all its value-added and adhesive
products. It has also appointed a distributor in Dubai to strengthen its presence.
ASTRA has successfully diversified across multiple dimensions, expanding
geographically with capacities in three regions, including the US and UK, while
maintaining a strong presence in India supported by a pan-India distribution
network.
67
June 2025
 Motilal Oswal Financial Services
Pipes – Thematic: Capturing new opportunities!
Exhibit 61: Diversified manufacturing facilities
Source: Company
Extensive distribution network
The company has significantly expanded its distribution network to a total of
3,610+ distributors and 251,000+ dealers as of now from 850+ distributors for
pipes and 1,300+ distributors for adhesives and sealants in FY21.
The company’s expanded distribution network and increased revenue per
distributor and dealer reflect improved market penetration across India,
supported by a 9% CAGR dealer network since FY20. Stronger relationships with
channel partners and strategic dealer additions have led to enhanced revenue
growth and an improved market presence across regions.
Concurrently, the company has achieved a 9% CAGR in revenue per dealer since
FY20, which is even higher than growth in dealers, demonstrating its ability to
maximize dealer contributions; this indicates that
each new dealer addition
results in higher marginal revenue for the company,
further solidifying its
competitive advantage in the market.
This strengthens dealer loyalty, as the growth in dealer earnings, alongside the
company’s revenue, fosters goodwill within the dealer network. As a result,
dealers are more receptive to new product launches, enabling the company to
introduce new offerings faster to the market, leveraging its positive track record
and trusted relationships.
June 2025
68
 Motilal Oswal Financial Services
Pipes – Thematic: Capturing new opportunities!
Exhibit 62: Successfully utilized its distribution network
Distributors
17
15
12
Revenue/Distributors (INRm)
19
17
16
Exhibit 63: Improved dealer performance by focusing on B2C
Dealers ('000s)
244
195
160
Revenue/Dealer (INRk)
267
246
232
2,100
2,150
2,535
2,778
3,303
3,610
161
163
180
193
229
251
FY20
FY21
FY22
FY23
FY24
FY25
FY20
FY21
FY22
FY23
FY24
FY25
Source: Company, MOFSL
Source: Company, MOFSL
A decline in revenue per dealer/distributor during FY24 and FY25 is led by
volatile raw material prices, weak demand, and destocking activity by dealers/
distributors. Currently, dealers/distributors are holding only one- or max two-
week inventory levels vs. three- to five-week inventory levels during normalcy.
With stabilization expected in raw material prices, we expect this trend to
continue its upward trajectory.
Leadership in plumbing business realization:
ASTRA boasts the highest realization in the plumbing business among its peers
at INR185/kg, driven by its focus on high-margin segments. Despite market
fluctuations, the company’s realization remained stable, with ASTRA recording
the lowest YoY decline in realization amid polymer price volatility, sustaining
near its six-year average of INR186/kg.
As ASTRA continues to enhance its product portfolio with innovative and value-
added offerings, the company is expected to enjoy higher realizations in the
future.
Exhibit 64: ASTRA records highest realization (INR/Kg)
Astral Limited
Prince Pipes & Fittings Limited
228
182
191
150
184
115
139
Supreme Industries Limited
Apollo Pipes Limited
212
172
161
189
149
185
142
132
156
122
113
155
123
138
FY19
FY20
FY21
FY22
FY23
FY24
FY25
Source: Company
Revenue composition and strategic shift to B2C
About 72% of ASTRA’s revenue consistently comes from the plumbing business,
a share broadly unchanged since FY23.
The company initially targeted B2B customers in its CPVC business but faced
losses. In response, ASTRA shifted its focus to the B2C segment, which
significantly improved profitability.
69
June 2025
 Motilal Oswal Financial Services
Pipes – Thematic: Capturing new opportunities!
Currently, 50% of its revenue in the piping segment is generated from the B2C
market, with the remaining portion derived from projects (B2B).
Exhibit 65: Greater focus on B2C
B2C
15%
50%
85%
50%
40%
Adhesives
Faucet
Source: Company, MOSL research
60%
B2B
Pipes
First-mover advantage and market leadership in CPVC pipes:
ASTRA pioneered CPVC piping in India and has built over 17 years of expertise in
the CPVC pipes and fittings market.
The company holds a ~30% market share in the CPVC pipes segment, which
contributes over 50% of total revenue from the overall pipes business. The CPVC
market is more organized (75-80%) than the PVC pipe segment (65%).
Exhibit 67: …while large players dominate the CPVC market
Exhibit 66: PVC is fragmented with many small players…
30%
Organized (%)
Unorganized (%)
70%
20%
Organized
unorganzied
80%
Source: Industry, MOFSL
Source: Industry, MOFSL
High-margin product portfolio and non-agricultural focus
ASTRA’s ~90% of the revenue is derived from non-agricultural products, which
yield higher margins, further enhancing realization.
Its product mix continues to evolve with the introduction of value-added
products like specialized valves, PTMT products, OPVC pipes, aluminum PEX
pipes, and fire sprinkler systems, contributing to better margins and higher
realizations.
June 2025
70
 Motilal Oswal Financial Services
Pipes – Thematic: Capturing new opportunities!
Pioneering innovation and strategic branding
Staying ahead of the curve, supported by innovation
ASTRA has made significant strides in introducing innovative products and
solutions in the Indian market, particularly in the plumbing and water
management sectors, establishing itself as a leader in the industry.
The company was a pioneer in introducing CPVC in India and has launched
numerous groundbreaking products, including:
Recyfix
– Surface drainage system
Pex-a Pro
– Plumbing for hot and cold water
Insu Pro
– Insulated pipe for hot and cold water and HVAC
OPVC Pro
– Used in high-pressure water distribution systems
Silencio
– High-density, low-noise drainage system
CPVC Pro
– Advanced hot and cold water plumbing system
Fire Pro
– Fire application
Chem Pro
– Industrial application
BondTite Pro
– UV-resistant epoxy adhesive
Rainway
– Efficient rainwater collection
Drain Pro
– Three-layer drainage and sewerage piping system
Channel Pro
– UV-resistant drainage solution for diverse applications
Oriented PVC Pipes
– High-pressure piping system
Exhibit 68: Innovative journey of ASTRA
First to do in India
Foamcore PVC Drainage and
Low Noise PP Drainage
System
NSF approval for CPVC piping
Lead-free Column Pipes
systems
Lead-free uPVC pipes and
fittings
Anti Viral Water Tanks – Cleo
& Vito and CPVC-AL-CPVC
Multi-layer Composite Pipes
Got UL certification for Fire
sprinkler products and first
and only Indian
manufacturer of
ChannelDrain
indegeneous CPVC compund
CPVC Piping system
CY99
CY04
CY07
CY08
CY12
CY16
CY21
CY24
Source: Company
ASTRA's commitment to quality is exemplified in its new OPVC pipes, as the
company has acquired advanced machinery at half the cost of competitors,
enabling faster plant setup through in-house innovation.
For paints, it utilizes filtered media to ensure that no foreign particles
contaminate its paint products.
Notably, Astral Vito was the first water tank in India to receive NSF approval,
underscoring the brand's dedication to quality and safety.
The company has strengthened its position in the fire protection segment with
the recent UL certification for its fireproof fittings, complementing its already
UL-certified fire pipes–a mandatory requirement for selling fire products in the
Indian market. With a fully UL-certified range, the company is well-positioned to
capture a higher market share in the project business and expand exports to
Europe and other global markets, reinforcing its competitive edge in the fire
safety industry.
71
June 2025
 Motilal Oswal Financial Services
Pipes – Thematic: Capturing new opportunities!
As per our interaction with industry players and dealers/experts, product
offerings of organized players do not differ much in terms of quality, and
hence, entry barriers are minimal. Thus, product innovation is critical.
This highlights the importance of innovation in the pipe industry; this, in terms
of long-term benefits, also proves to be an entry barrier for other players, as the
initial player occupies a larger mind share in the market that is difficult to break.
Strong brand: More of a consumer pull model
ASTRA leverages high-impact branding through collaborations with IPL teams
like CSK, MI, GT, PBKS, and LSG, along with strategic in-film placements in Dunki
(Astral Pipes) and Jawan (BondTite). It also engages in multi-channel advertising,
including TV, print, outdoor, radio, trade exhibits, dealer shop branding, and IPL
on-ground branding, strengthening its competitive edge in a low-entry-barrier
industry.
The company is expanding its reach in adhesives and sealants with the "New
Bharat" initiative, targeting rural India’s shift to branded products. Additionally,
it has appointed Allu Arjun as its brand ambassador and promoted BondTite Pro
with Varun Dhawan, significantly boosting visibility and consumer engagement.
With the highest A&P spend among peers at 4% of sales (up 1% YoY), ASTRA’s
management invests heavily in marketing. This strategic focus has helped the
company build a strong brand recall, improve visibility, and effectively launch
new products and segments while cross-selling its offerings across categories.
Exhibit 70: Ad spending has increased consistently
INRm
3.5%
3.5%
3.3%
% of Sales
4.0%
Exhibit 69: Highest ad spend among peers (FY24)
INRm
4.0%
2.5%
0.8%
2249
1416
544
1059
78
(%) of Sales
2.8%
3.0%
2.1%
1.4%
873
FY19
909
FY20
1,063
FY21
1,251
FY22
1,530
FY23
2,249
FY24
Astral
Supreme Prince Pipes Finolex Apollo Pipes
Industries & Fittings Industries
Source: Company, MOFSL
Source: Company, MOFSL
ASTRA’s comprehensive marketing efforts have positioned it as a leader in
branding within the industry, helping it stand out from competitors and
strengthening its presence across diverse market segments.
June 2025
72
 Motilal Oswal Financial Services
Pipes – Thematic: Capturing new opportunities!
Strong financial track record
Revenue/EBITDA/Adj. PAT CAGR of 18%/16%/14% over FY20-25
Revenue growth momentum to continue
ASTRA clocked a robust 18% revenue CAGR over FY20-25, driven by strong
volume growth (11%) and higher realizations (7%). However, in FY25, revenue
growth moderated to 3% YoY, reaching INR58.3b, as market volatility led to a
2% decline in realization due to falling polymer and chemical prices. Despite this,
ASTRA achieved piping volume growth at ~3% in FY25, while industry growth
was negative, demonstrating its strong execution and ability to capture
underlying demand.
Over FY20-25, ASTRA delivered an 11% volume CAGR, reaching 227.1k MT in
FY25. Looking ahead, we expect a 12% volume CAGR over FY25-FY28E, with
volumes estimated to rise to 319k MT in FY28E, driven by sustained demand
recovery, deeper penetration in non-agri segments, and a stabilizing pricing
environment.
From FY20 to FY24, realizations increased from INR155/kg to INR189/kg,
supported by a higher CPVC mix and rising polymer prices. However, FY25 saw a
decline to INR185/kg, impacted by lower PVC and CPVC resin prices. With PVC
prices now stabilizing in May’25, we anticipate realizations to gradually improve
to INR200/kg by FY28E, further supporting revenue growth.
Despite near-term headwinds, ASTRA remains well-positioned for a recovery,
standing at the bottom of the cycle. The company’s strong brand equity,
diversified product portfolio, and strategic market positioning will enable it to
benefit from an anticipated recovery in demand and price stabilization. We
expect 16% revenue CAGR over FY25-FY28E, supported by volume expansion,
pricing normalization, and structural demand tailwinds.
Exhibit 71: Expect revenue CAGR of 16% over FY25-28E
Revenue (INRb)
38.3%
23.2%
17.4%
3.4%
9.4%
2.8%
25.8
31.8
43.9
51.6
56.4
14.1% 16.7%
15.9%
7.5%
66.5
77.7
90.0
132.2 136.6
Growth (%)
Exhibit 72: Expected volume CAGR 12% over FY25-FY27E
Pipes Volumes (000 MT)
23.6%
18.3%
3.3%
9.5%
149.6
177.6 219.6 227.1
18.8%
13.0%
Growth (%)
3.4%
10.0%
249.8
282.3 319.0
58.3
Source: Company, MOFSL
Source: Company, MOFSL
Navigating volatility with stable margins
ASTRA benefits from a higher mix of CPVC pipes, which are value-added
products with higher and more stable margins compared to PVC pipes.
Additionally, CPVC resin prices have historically been less volatile than PVC,
allowing the company to maintain consistent EBITDA margins over time.
June 2025
73
 Motilal Oswal Financial Services
Pipes – Thematic: Capturing new opportunities!
ASTRA primarily operates in the higher-margin non-agri segment and has
maintained a stable long-term EBITDA margin of ~16%, achieving 16.2% in FY25
despite market volatility.
It continues its strategic expansion into high-margin segments like adhesives
and paints. While Seal IT and the paint division currently operate at lower
margins, profitability is expected to improve with scale. Its India adhesive
business remains a strong contributor with a stable ~16% EBITDA margin in
FY25. Seal IT UK has turned EBITDA positive, with margins expected to normalize
at 5-10% by 2QFY26 as economic conditions improve. The paint division, though
impacted by initial costs, is poised to achieve double-digit EBITDA margins from
1QFY26, driven by cost efficiencies, brand expansion, and economies of scale.
Looking ahead, with a recovery in PVC prices and margin improvement in the
overseas adhesive and paint businesses, we expect EBITDA margins to expand
to ~17.0% by FY28E.
Exhibit 74: …led by improvement in margin over FY25-28E
EBITDA Margin (%)
Exhibit 73: EBITDA likely to register 17% CAGR…
45.5%
EBITDA (INRb)
Growth (%)
15.1%
17.2%
13.4%
7.2%
6.4
7.6
9.2
3.0%
9.5
17.4% 18.3% 16.2%
4.4
8.1
11.1
13.1
15.3
15.4 17.2 20.3 17.2 15.7 16.3 16.2 16.7 16.9 17.0
Source: Company, MOFSL
Source: Company, MOFSL
Efficiency-led growth, cash flow-backed stability
ASTRA has significantly improved its working capital efficiency, with net working
capital days at 37 in FY25 from 50 in FY19. This improvement was primarily
driven by a sharp reduction in debtor days, which declined from 49 days in FY19
to 27 days in FY24, reflecting better collections and tighter credit policies.
Inventory days have risen by five days to 63 in FY25, and payable days have
decreased marginally to 54 in FY24 from 57 in FY19. Given this consistent trend,
we expect working capital days to remain steady at 30 days by FY28, ensuring
a strong liquidity position.
June 2025
74
 Motilal Oswal Financial Services
Pipes – Thematic: Capturing new opportunities!
Exhibit 75: Efficient working capital days
Receivable Days
50
41
27
Inventory days
21
61
22
62
30
Payable days
37
27
59
24
56
63
27
54
Net Working Capital
31
30
60
25
55
58
49
57
30
60
25
55
77
32
67
54
32
59
62
25
57
60
25
54
Source: Company, MOSL research
ASTRA’s operating cash flow has consistently outpaced EBITDA growth,
highlighting efficient working capital management. CFO surged from INR3.3b in
FY19 to INR8.2b in FY24, delivering a 20% CAGR. However, due to headwinds in
FY25, its CFO declined 23% YoY to INR6.3b
Improved cash conversion is evident from CFO/EBITDA, which stood at 80% (on
average) in the last five years. It has declined to 67% in FY25. Still, it reflects
ASTRA’s healthy cash flow quality. As the business continues to scale up, we
expect CFO/EBITDA to normalize at 72% by FY28E, maintaining strong cash
generation.
Capex intensity is set to decline sharply in FY26 and beyond, as ASTRA has
built sufficient capacity to sustain growth over the next few years. This shift
toward higher free cash flow generation will improve capital efficiency while
maintaining expansion momentum.
Exhibit 76: Healthy Cash flow from operations
CFO (INRb)
85%
92%
103%
72%
69%
CFO/EBITDA (%)
90%
79%
67%
72%
72%
3.3
4.1
6.6
5.4
5.6
8.2
6.3
8.8
9.5
10.9
Source: Company, MOFSL
Exhibit 77: Improving return ratios
RoE (%)
23.5
16.2
17.5
23.0
18.9
RoCE (%)
18.7
15.6
18.5
15.4
23.9
16.7
17.8
18.1
22.9
18.2
19.1
17.6
16.7
17.9
18.2
Source: Company, MOFSL
June 2025
75
 Motilal Oswal Financial Services
Pipes – Thematic: Capturing new opportunities!
Valuation and view
Initiating coverage with a BUY rating
A well-diversified network and its growing focus on other value-added products (in the
pipe segment and evolving segments such as adhesives and paints) should diversify
ASTRA’s revenue stream and margin profile over the long run.
ASTRA has the highest TAM (INR1,595b in FY24) among its peers, offering a long
runway for growth. With manufacturing capacity growing at 14% CAGR over a decade
and a 10% CAGR (over FY20-25) in the distributor network, its focus on product
innovation and channel expansion reinforces market leadership.
The company maintains the highest EBIT/kg and industry-leading realizations, aided
by a premium CPVC mix and 90% revenue from non-agri segments. Despite industry-
wide pressures, stable EBITDA margins in FY25 highlight the strong foothold of the
company.
We expect ASTRA to deliver a CAGR of 16%/17%/23% in revenue/EBITDA/adj. PAT
over FY25-28, driven by a revenue CAGR of 15%/17% in the pipes/adhesives business.
We are encouraged by the long-term structural opportunity in the sector and ASTRA's
capability to participate in it. We initiate coverage with a BUY rating and an SOTP-
based TP of INR1,800 (premised on 45x FY27E P/E, which reflects a 33% discount over
the stock’s five-year average one-year forward P/E).
Exhibit 79: One-year forward P/B (x)
Max (x)
-1SD
18.0
62.1
53.9
14.0
10.0
6.0
2.0
6.9
4.5
PB (x)
Min (x)
17.7
14.0
9.7
10.4
38.1
Avg (x)
+1SD
Max (x)
-1SD
Exhibit 78: One-year forward P/E (x)
92.0
74.0
56.0
38.0
24.8
20.0
PE (x)
Min (x)
81.6
69.6
Avg (x)
+1SD
Source: Company, MOFSL
Source: Company, MOFSL
Key risks
ASTRA relies on CPVC and PVC resins, which are derived from crude oil.
Fluctuations in global crude prices can impact
raw material
costs, affecting
margins. Despite backward integration, ASTRA sources CPVC resin from select
vendors like Sekisui. Supply disruptions or pricing pressures from these suppliers
could impact production and profitability.
The pipe and adhesive industries are
highly competitive,
with players like
Supreme, Finolex, and Pidilite. Pricing pressure and market share retention are
key challenges.
Expansion into bathware and paints requires strong distribution and brand
positioning.
Failure to scale
effectively in these categories could impact overall
growth and profitability.
ASTRA’s growth is closely tied to the real estate and construction sectors. Any
slowdown in infrastructure or housing activity could affect demand for its
products.
76
June 2025
 Motilal Oswal Financial Services
Pipes – Thematic: Capturing new opportunities!
SWOT Analysis
Pioneer in CPVC
pipes, which has
resulted in a strong
brand presence
Leading player in the
pipe industry, with a
strong brand
presence and a
diversified product
portfolio
Highest TAM in the
industry
Limited number of
CPVC resin suppliers
in the market
increases suppliers’
bargaining power
Intense competition
in the industry,
marked by low
product
differentiation
Growth in adhesives,
water tanks and
industrial applications
de-risking revenue
growth by
diversification
Launch of Seal IT
developed adhesive in
India expands its reach
into premium industrial
adhesives with
advanced technological
differentiation
Low entry barriers and
product differentiation
resulting in high
industry fragmentation
Volatility in cost of raw
materials derived from
crude oil by-products
June 2025
77
 Motilal Oswal Financial Services
Pipes – Thematic: Capturing new opportunities!
Bull and Bear cases
Bull case
In our bull case scenario, we assume a revenue CAGR of 19% over FY25-28, led
recovery in demand in the piping segment, and a healthy ramp-up in the
adhesives & paints segment. Further, an increase in raw material pricing will
improve realizations in the pipes segments.
We expect the margin to expand ~200bp from the FY25 levels to reach ~18.2%
over FY28, led by better realization, improving product mix, and favorable
operating leverage.
The company’s EPS would register a robust CAGR of 30% over FY25-28E, driven
by operating leverage.
We value the stock on a price-to-earnings basis, assigning 50x FY27 EPS arriving
at a TP of INR2,320.
Bear case
In our bear case scenario, we assume a revenue CAGR of 12% over FY25-28,
considering slow recovery in pipes demand, slow ramp up in adhesive and paints
business due to intense competition, and flat/no recovery in the pricing
scenario.
We expect the margin to marginally expand ~10bp from the FY25 levels to reach
16.3% over FY28.
The company’s EPS would register a CAGR of 16% over FY25-28E.
We value the stock on a price-to-earnings basis, assigning 40x FY27 EPS arriving
at a TP of INR1,380.
Exhibit 80: Bull and Bear case scenarios (INR m)
Particulars
Bear case
P/E: 40x
INR1380
Base case
P/E: 45x
INR1800
Bull case
P/E: 50x
INR2320
Revenue
EBITDA
EPS
Revenue
EBITDA
EPS
Revenue
EBITDA
EPS
FY25
58,324
9,459
26
58,324
9,459
26
58,324
9,459
26
FY26E
63,857
10,238
29
66,537
11,104
32
70,016
11,908
35
FY27E
72,056
11,653
34
77,679
13,140
40
83,248
14,820
47
FY28E
CAGR
(FY25-28E, %)
81,907
12
13,334
12
41
16
90,033
16
15,271
17
48
23
97,769
19
17,820
24
58
30
Source: MOFSL, Company
June 2025
78
 Motilal Oswal Financial Services
Pipes – Thematic: Capturing new opportunities!
Management team
Mr. Sandeep Pravinbhai Engineer
Chairman & Managing Director
He is the Founder, Chairman, and
Managing Director of Astral. In 1996, he
established Astral Poly Technik and
introduced CPVC piping to India in 1998.
Under his leadership, Astral has
diversified into adhesives, sealants, water
tanks, and paints. He is a chemical
engineer and has completed a senior
executives program at Harvard Business
School.
Mr. Kairav Engineer
Executive Director
He holds a Bachelor of Science degree in
Industrial Engineering and Management
from Georgia Tech, Atlanta-USA. He
joined Astral in 2011. Under his
leadership, Astral has diversified into new
segments like bathware, adhesives, and
paints. He was recognized among the Top
40 Under 40 Asian Leaders by Asia One
and as one of the Tycoons of Tomorrow
by Forbes India.
Mr. Saumya Engineer
CEO - Astral Adhesives & Paints
He holds a Bachelor of Science degree in
Management from Arizona State
University’s W.P. Carey School of
Business. Joining Astral in 2014, he
initially worked in business development,
gaining industry insights. He successfully
led the integration of Resinova Chemie
with Astral Group.
Mrs. Jagruti S. Engineer
Whole-time Director
She holds a Bachelor of Arts degree. She
is promoter director of the company.
Since incorporation, she has been
managing Administration, Human
Resource and Corporate Social
Responsibility departments of Astral and
has contributed significantly to growth of
the company.
Mr. Hiranand Savlani
Executive Director & CFO
He is a chartered accountant. Before
joining Astral, he gained extensive
experience in finance and accounting
through various positions in other
companies. He joined Astral in Jul’23 as a
whole-time director & CFO
.
June 2025
79
 Motilal Oswal Financial Services
Pipes – Thematic: Capturing new opportunities!
ESG initiatives
Environmental initiatives
The company is developing and implementing an environment management
system to measure and monitor the various environmental parameters.
It will implement best practices in areas such as energy management, carbon
emission reduction, waste management, and water management.
The company will identify climate change-related risks and develop a mitigation
strategy to reduce the carbon intensity across the value chain.
CSR initiatives
The company has been invested in doing social welfare in areas, i.e., promoting
healthcare, education, rural development, disaster relief, protection of national
heritage, socioeconomic development, promoting gender equality and
empowering women, supplying drinking water, trying to eradicate extreme
hunger and poverty, and other areas of public service.
Governance
As of Mar’25, the board comprised nine directors, including five independent
directors and two woman directors.
The board comprises seasoned professionals with expertise in various fields,
contributing diverse experiences.
The board’s performance is assessed annually based on their responsibilities,
and a strong compliance mechanism is in place to adhere to applicable rules and
regulations.
June 2025
80
 Motilal Oswal Financial Services
Pipes – Thematic: Capturing new opportunities!
Financials and valuations
Consolidated - Income Statement
Y/E March
Total Income from Operations
Change (%)
Total RM Cost
Employees Cost
Other Expenses
Total Expenditure
% of Sales
EBITDA
Margin (%)
Depreciation
EBIT
Int. and Finance Charges
Other Income
PBT bef. EO Exp.
EO Items
PBT after EO Exp.
Total Tax
Tax Rate (%)
Minority Interest
Reported PAT
Adjusted PAT
Change (%)
Margin (%)
FY19
25,073
21.0
16,477
1,391
3,355
21,224
84.6
3,849
15.4
814
3,035
257
154
2,932
-62
2,870
861
30.0
51
1,958
2,020
12.2
8.1
FY20
25,779
2.8
15,957
1,752
3,641
21,350
82.8
4,429
17.2
1,079
3,350
211
121
3,260
-183
3,077
565
18.4
33
2,479
2,662
31.8
10.3
FY21
31,763
23.2
19,689
1,910
3,719
25,318
79.7
6,445
20.3
1,165
5,280
116
251
5,415
-15
5,400
1,248
23.1
108
4,044
4,059
52.5
12.8
FY22
43,940
38.3
29,280
2,453
4,654
36,387
82.8
7,553
17.2
1,269
6,284
129
349
6,504
0
6,504
1,581
24.3
85
4,838
4,838
19.2
11.0
FY23
51,585
17.4
34,347
3,193
5,946
43,486
84.3
8,099
15.7
1,781
6,318
400
267
6,185
-18
6,167
1,557
25.2
44
4,566
4,584
-5.3
8.9
FY24
56,414
9.4
34,590
4,384
8,257
47,231
83.7
9,183
16.3
1,976
7,207
291
421
7,337
0
7,337
1,880
25.6
-4
5,461
5,461
19.1
9.7
FY25
58,324
3.4
35,192
5,179
8,494
48,865
83.8
9,459
16.2
2,434
7,025
413
413
7,025
0
7,025
1,836
26.1
-49
5,238
5,238
-4.1
9.0
FY26E
66,537
14.1
39,634
5,656
10,142
55,432
83.3
11,104
16.7
2,889
8,215
282
665
8,599
0
8,599
2,162
25.1
-56
6,493
6,493
24.0
9.8
FY27E
77,679
16.7
46,593
6,214
11,731
64,538
83.1
13,140
16.9
3,077
10,063
132
777
10,708
0
10,708
2,692
25.1
-65
8,081
8,081
24.5
10.4
(INRm)
FY28E
90,033
15.9
54,468
6,843
13,452
74,762
83.0
15,271
17.0
3,251
12,020
132
900
12,789
0
12,789
3,215
25.1
-75
9,648
9,648
19.4
10.7
Consolidated - Balance Sheet
Y/E March
Equity Share Capital
Total Reserves
Net Worth
Minority Interest
Total Loans
Deferred Tax Liabilities
Capital Employed
Gross Block
Less: Accum. Deprn.
Net Fixed Assets
Goodwill on Consolidation
Capital WIP
Curr. Assets, Loans&Adv.
Inventory
Account Receivables
Cash and Bank Balance
Loans and Advances
Curr. Liability & Prov.
Account Payables
Other Current Liabilities
Provisions
Net Current Assets
Appl. of Funds
FY19
120
12,657
12,777
150
2,741
534
16,201
12,064
3,548
8,517
2,538
808
9,129
3,958
3,391
981
799
4,791
3,897
834
60
4,338
16,201
FY20
151
14,878
15,029
168
1,856
430
17,483
14,218
4,627
9,591
2,553
444
10,303
5,404
2,278
1,301
1,320
5,409
4,754
589
66
4,894
17,483
FY21
201
18,757
18,958
212
397
401
19,968
15,769
5,792
9,977
2,570
566
13,615
4,721
2,767
4,760
1,367
6,760
5,172
1,519
69
6,855
19,968
FY22
201
23,165
23,366
278
851
401
24,896
18,866
7,061
11,805
2,567
1,232
18,268
7,334
2,691
6,418
1,825
8,976
7,484
1,457
35
9,292
24,896
FY23
269
26,843
27,112
2,477
773
409
30,771
24,578
8,842
15,736
3,125
1,261
23,609
8,746
3,545
6,821
4,497
12,960
8,000
4,903
57
10,649
30,771
FY24
269
31,612
31,881
804
964
460
34,109
29,979
10,818
19,161
3,133
1,506
21,179
9,134
3,758
6,096
2,191
10,870
8,719
2,090
61
10,309
34,109
FY25
269
35,901
36,170
757
1,439
551
38,917
35,831
13,252
22,579
3,146
1,160
23,675
10,111
4,353
6,083
3,128
11,643
8,589
2,944
110
12,032
38,917
FY26E
269
41,390
41,659
757
439
551
43,406
38,259
16,141
22,118
3,146
1,732
29,767
10,938
4,557
10,280
3,992
13,357
9,930
3,327
100
16,410
43,406
FY27E
269
48,466
48,735
757
439
551
50,482
40,644
19,218
21,426
3,146
1,346
40,234
12,769
5,320
17,483
4,661
15,670
11,669
3,884
117
24,564
50,482
(INRm)
FY28E
269
57,110
57,379
757
439
551
59,126
42,721
22,470
20,252
3,146
1,269
52,621
14,800
6,167
26,252
5,402
18,162
13,525
4,502
135
34,459
59,126
June 2025
81
 Motilal Oswal Financial Services
Pipes – Thematic: Capturing new opportunities!
Financials and valuations
Ratios
Y/E March
Basic (INR)
EPS
Cash EPS
BV/Share
DPS
Payout (%)
Valuation (x)
P/E
Cash P/E
P/BV
EV/Sales
EV/EBITDA
Dividend Yield (%)
FCF per share
Return Ratios (%)
RoE
RoCE
RoIC
Working Capital Ratios
Fixed Asset Turnover (x)
Asset Turnover (x)
Inventory (Days)
Debtor (Days)
Creditor (Days)
Leverage Ratio (x)
Current Ratio
Interest Cover Ratio
Net Debt/Equity
FY19
10.1
14.1
63.6
0.5
6.6
149.3
106.4
23.6
12.1
78.8
0.0
-1.3
17.6
16.2
16.5
2.1
1.5
58
49
57
1.9
11.8
0.1
FY20
13.2
18.6
74.8
1.0
9.7
113.3
80.6
20.1
11.7
68.2
0.1
9.6
19.1
17.5
18.1
1.8
1.5
77
32
67
1.9
15.9
0.0
FY21
20.2
26.0
94.4
1.0
5.0
74.3
57.7
15.9
9.4
46.1
0.1
24.5
23.9
23.5
26.7
2.0
1.6
54
32
59
2.0
45.5
-0.2
FY22
24.1
30.4
116.3
2.3
9.3
62.3
49.4
12.9
6.7
39.2
0.1
8.3
22.9
23.0
29.8
2.3
1.8
61
22
62
2.0
48.7
-0.2
FY23
22.8
31.7
134.9
3.5
15.4
65.8
47.4
11.1
5.7
36.5
0.2
12.2
18.2
18.9
23.7
2.1
1.7
62
25
57
1.8
15.8
-0.2
FY24
27.2
37.0
158.7
3.8
13.8
55.2
40.5
9.5
5.3
32.3
0.2
13.4
18.5
18.7
21.8
1.9
1.7
59
24
56
1.9
24.8
-0.2
FY25
26.1
38.2
180.0
3.8
14.4
57.6
39.3
8.3
5.1
31.4
0.2
4.2
15.4
15.6
17.8
1.6
1.5
63
27
54
2.0
17.0
-0.1
FY26E
32.3
46.7
207.4
5.0
15.5
46.4
32.1
7.2
4.4
26.3
0.3
28.7
16.7
16.7
19.5
1.7
1.5
60
25
54
2.2
29.2
-0.2
FY27E
40.2
55.5
242.6
5.0
12.4
37.3
27.0
6.2
3.7
21.7
0.3
37.3
17.9
17.8
23.9
1.9
1.5
60
25
55
2.6
76.4
-0.3
FY28E
48.0
64.2
285.6
5.0
10.4
31.3
23.4
5.3
3.1
18.1
0.3
44.4
18.2
18.1
28.5
2.1
1.5
60
25
55
2.9
91.3
-0.4
Consolidated - Cash Flow Statement
Y/E March
OP/(Loss) before Tax
Depreciation
Interest & Finance Charges
Direct Taxes Paid
(Inc)/Dec in WC
CF from Operations
Others
CF from Operating incl EO
(Inc)/Dec in FA
Free Cash Flow
(Pur)/Sale of Investments
Others
CF from Investments
Issue of Shares
Inc/(Dec) in Debt
Interest Paid
Dividend Paid
Others
CF from Fin. Activity
Inc/Dec of Cash
Opening Balance
Closing Balance
FY19
2,932
814
103
-861
-426
2,562
696
3,258
-3,520
-262
-2
588
-2,934
0
866
-257
-129
-260
220
545
437
981
FY20
3,061
1,079
394
-815
188
3,907
147
4,054
-2,133
1,921
18
-1,062
-3,177
0
-936
-409
-240
1,117
-468
409
892
1,301
FY21
5,330
1,165
131
-1,162
1,142
6,606
36
6,642
-1,711
4,931
48
-2,878
-4,541
1
-1,188
-140
-151
3,998
2,520
4,621
139
4,760
FY22
6,504
1,269
-220
-1,581
-541
5,431
0
5,431
-3,760
1,671
0
4,475
715
0
454
-129
-452
-4,361
-4,488
1,658
4,760
6,418
FY23
6,152
1,781
400
-1,654
-1,026
5,653
-84
5,569
-3,110
2,459
0
-1,687
-4,797
0
-384
-366
-603
984
-369
403
6,418
6,821
FY24
7,336
1,976
291
-1,772
500
8,331
-97
8,234
-5,539
2,695
0
129
-5,410
0
191
-267
-1,007
-2,466
-3,549
-725
6,821
6,096
FY25
7,025
2,434
413
-1,701
-1,718
6,453
-157
6,296
-5,448
848
0
322
-5,126
0
440
-342
-1,007
-272
-1,181
-11
6,094
6,083
FY26E
8,599
2,889
-384
-2,162
-181
8,762
0
8,762
-3,000
5,762
0
665
-2,335
0
-1,000
-282
-1,005
56
-2,230
4,197
6,083
10,280
FY27E
10,708
3,077
-645
-2,692
-950
9,498
0
9,498
-2,000
7,498
0
777
-1,223
0
0
-132
-1,005
65
-1,071
7,203
10,280
17,483
(INRm)
FY28E
12,789
3,251
-769
-3,215
-1,126
10,930
0
10,930
-2,000
8,930
0
900
-1,100
0
0
-132
-1,005
75
-1,062
8,769
17,483
26,252
June 2025
82
 Motilal Oswal Financial Services
Initiating Coverage | Sector: Midcaps
Prince Pipes and Fittings
BSE Sensex
82,756
S&P CNX
25,245
Pipes – Thematic: Capturing new opportunities!
CMP: INR343
TP:INR500 (+46%)
Buy
Driving piping prosperity through innovation and expansion
Stock Info
Bloomberg
Equity Shares (m)
M.Cap.(INRb)/(USDb)
52-Week Range (INR)
1, 6, 12 Rel. Per (%)
12M Avg Val (INR M)
Free float (%)
PRINCPIP IN
111
37.9 / 0.4
721 / 210
5/-22/-55
135
39.1
Financial Snapshot (INR b)
Y/E Mar
2025 2026E
Sales
25.2
29.2
EBITDA
1.6
2.8
Adj. PAT
0.4
1.2
EBITDA (%)
6.4
9.5
EPS (INR)
3.9
10.6
EPS Gr. (%)
-73.8 170.2
BV/Sh. (INR)
350.3 371.2
Ratios
Net D/E
0.1
0.1
RoE (%)
2.8
7.2
RoCE (%)
2.9
6.8
Payout (%)
51.3
19.0
Valuations
P/E (x)
87.5
32.4
EV/EBITDA (x) 24.4
14.2
Div Yield (%)
0.6
0.6
FCF Yield (%)
-3.6
0.5
2027E
33.7
3.5
1.7
10.5
15.7
48.6
404.8
0.0
9.9
9.3
12.8
21.8
10.8
0.6
3.7
Incorporated in CY87 by Jayant Chheda, Prince Pipes & Fittings (PRINCPIP) is among
India’s top five plastic piping solution providers. With 7,200+ SKUs across plumbing,
agriculture, and infrastructure, the company operates eight plants (398K MTPA by FY25)
and has 1,500+ distributors. CPVC contributes 20-25% to the company’s revenue.
PRINCPIP's eight plants, along with its industry-low freight-to-sales ratio (1.6%),
optimize logistics, while its East India plant boosts distribution efficiency. Its
distributor base has grown 2x since FY17, expanding its reach into rural areas.
Strategic partnerships with Lubrizol, Ostendorf, Hauraton, and Unnati drive
innovation and market leadership.
With ~70% of its revenue from real estate and 20-25% from CPVC, PRINCPIP is well
positioned to benefit from India's USD5.8t real estate sector by CY47. The company
is expanding its premium offerings, bathware, and water tanks, while also
strengthening its presence in East India with a 60K MTPA Bihar plant.
PRINCPIP serves a market worth ~INR835b across pipes, bathware, and water tanks,
with a portfolio of 7,200+ SKUs. The Aquel acquisition (Mar’24) and new product
launches further strengthen its premium segment. With a 20% YoY growth in water
tank sales, expanded production, increased A&P spending (2.1% of sales), and
showroom expansions, it is well-positioned for sustained market leadership.
We estimate a revenue/EBITDA/Adj. PAT CAGR of 16%/38%/73% over FY25-28E
(11%/8%/8% CAGR over FY24-28E), driven by a 10% volume CAGR and recovery in
EBITDA/kg. We value the stock at 32x FY27E EPS, arriving at a TP of INR500. We
initiate coverage with a BUY rating.
Accelerating market penetration through strategic moves
Shareholding Pattern (%)
As On
Mar-25 Dec-24 Mar-24
Promoter
60.9
60.9
60.9
DII
15.0
16.5
18.5
FII
6.2
6.1
5.2
Others
17.9
16.6
15.4
Stock Performance (1-year)
PRINCPIP’s strategically located eight manufacturing plants and industry-low
1.6% freight-to-sales ratio have helped reduce logistics costs by ~2-3%
compared to peers. With 11 depots and warehouses each, the company
maintains a cost-effective supply chain. The recently commissioned East India
plant (Bihar, current capacity at 24KTPA will increase to 60KTPA by 3QFY26)
will further enhance distribution and cost efficiencies.
The company has expanded its distributor base from 766 (Mar'17) to 1,500+
(Mar'25), with a focus on rural penetration and higher revenue per
distributor. While the highest distributor presence is in the South and the
lowest in the East, PRINCPIP is actively working to strengthen its footprint in
the Eastern region.
Technical collaborations have played a pivotal role in shaping the company’s
growth trajectory by enabling the launch of innovative and cost-effective
SKUs. For instance, the partnership with Lubrizol (FY20) for the CPVC segment
allowed PRINCPIP to narrow price gaps. Additionally, alliances with Ostendorf
Kunststoffe and Hauraton (FY23) have helped the company introduce
advanced drainage solutions to India.
June 2025
83
 Motilal Oswal Financial Services
Pipes – Thematic: Capturing new opportunities!
Seizing the wave of positive momentum
With ~70% of PRINCPIP’s revenue coming from real estate and 20-25% from
CPVC, the company is well-positioned to benefit from India’s rapidly growing
real estate sector (USD5.8t expected by CY47). The pipes TAM for real estate is
projected to reach a 14% CAGR (FY24-FY28), doubling the profit pool.
Luxury home sales surged 53% in CY24, and in line with this trend, PRINCPIP is
enhancing its premium offerings with products such as Skolan Safe, HT Safe, and
Prince Hauraton for luxury and civil applications. The company is also expanding
its water tank segment, targeting a capacity of 6m liters/month at its Bihar plant
by 1QFY26.
The acquisition of Aquel in Mar’24 has enhanced PRINCPIP’s presence in
bathware, faucets, showers, and sanitaryware, catering to real estate
developers and architects.
PRINCPIP is expanding its footprint in East India with the 60K MTPA plant in
Begusarai, Bihar (24KTPA currently will increase to 60KTPA by 3QFY26), which
aims to optimize logistics, reduce costs, and strengthen market reach.
Additionally, the recent government budget announced significant allocation for
the eastern region, particularly Bihar.
Infrastructure projects like Jal Jeevan Mission, PMAY Urban 2.0, and industrial
park developments drive long-term demand, reinforcing PRINCPIP’s growth
trajectory.
Unlocking growth by expanding TAM
PRINCPIP now addresses a market valued at ~INR835b, spanning pipes
(INR541b), bathware (INR194b), and water tanks (INR100b). Its portfolio of
7,200+ SKUs, including CPVC, UPVC, PPR, and HDPE products, is further
strengthened through acquisitions and innovations.
The acquisition of Aquel added nine product lines and 250 SKUs to PRINCPIP’s
portfolio, while new launches like Skolan Safe, Prince Hauraton, and Terrafit
have enhanced its presence in luxury drainage, civil, and plumbing sectors.
The water tank segment grew 20% YoY in FY25, driven by a shift from cement
and steel tanks. PRINCPIP has expanded production across five locations,
including new facilities in Haridwar and Chennai.
The bathware market (8-10% CAGR) offers further potential, with 200+ retail
touchpoints and showroom expansions in Goa, Jaipur, and Pune reinforcing
PRINCPIP’s footprint.
A&P investments increased to 2.1% of sales in FY24 (vs. 1.5% in FY23), with
Akshay Kumar as the brand ambassador. Additionally, bundling plumbing,
bathware, and water tanks creates strong cross-selling opportunities,
positioning PRINCPIP for sustained leadership.
June 2025
84
 Motilal Oswal Financial Services
Pipes – Thematic: Capturing new opportunities!
Strategic realignments paving the way for stability
PRINCPIP experienced a healthy revenue growth trajectory over FY18-23, with a
15% revenue CAGR. However, revenue dipped to INR25.7b in FY24 (down 5%)
from INR27.1b in FY23 due to ERP disruptions and pricing challenges. In FY25,
performance was also impacted (further down 2% YoY) due to volatile prices
and a subdued demand scenario. However, we expect PRINCPIP to rebound
with a 15% CAGR over FY25-FY28 (11% over FY24-28), reaching INR38.5b, driven
by a 12% volume CAGR and stabilization/ slight recovery in realization.
EBITDA margin was down to 6.4% in FY25 due to PVC volatility and inventory
losses. However, it is expected to recover to ~11% by FY28, supported by high-
margin CPVC & bathware growth, operating leverage, and reduced dependence
on agri-sales. EBITDA is projected to report a 38% CAGR over FY25-FY28 on the
low base of FY25 (8% CAGR over FY24-28E).
Working capital days are expected to improve to ~83 by FY28 through better
channel financing, thereby reducing debtor days. This improvement is also likely
to be led by a healthy generation of CFO. The CFO/EBITDA ratio is expected to
average ~73% over FY25-28.
Piped for success – Initiate coverage with a BUY rating
PRINCPIP is well-positioned for growth with an addressable market worth
~INR835b, strong real estate exposure (~70% revenue), premium product
expansion, and a 60K MTPA plant in Bihar to enhance its reach in East India.
The rising domestic resin production, a reduction in price volatility (with
potential ADD on PVC resin imports), and optimization of working capital will
further strengthen its financial stability.
We estimate PRINCPIP to deliver revenue/EBITDA/Adj. PAT CAGR of
15%/38%/73% over FY25-28.
PRINCPIP is currently trading at 22x FY27E P/E, and we believe the company is
at a sweet spot where upcoming industry tailwinds and its market positioning
will drive growth and margin recovery. We initiate coverage on the stock with
a BUY rating and a TP of INR500 (premised on 32x FY27E P/E).
June 2025
85
 Motilal Oswal Financial Services
Pipes – Thematic: Capturing new opportunities!
Story in charts
Expect revenue CAGR of 15% over FY25-28...
Revenue (INRb)
26.6 28.3
19.0
2.0
4.1
25.7
15.7 16.4 20.7 26.6 27.1
25.2 29.2 33.7 38.5
-5.2
-1.7
Growth %
18
15.7 15.4 14.2
3
133
129
4
1
139
138
158
173
13
10
3
177
198
222
249
12
12
12
…driven by volume CAGR of 12%
Volume ('000 MT)
Growth %
EBITDA/kg trend
EBITDA/KG
51.8
20.8
-3.3
14.3
-46.9
15.9
17.8
12.1
Growth %
53.4
14.0
Expect EBITDA CAGR of 38% over FY25-28…
EBITDA (INRb)
17.5
14.0
6.0
11.7
9.2
6.4
14.0 16.0 16.9
1.8
2.3
3.6
4.2
2.5
3.1
1.6
2.8
3.5
4.2
15.6
12.0
9.5
10.5 10.9
Margin %
-48.7
9.1
14.3 17.2 26.2 29.9
…and PAT CAGR of 73%
Adj. PAT (INRb)
97.2
37.0
11.7
12.4
-51.3
35.6
48.6
-73.8
0.4
29.6
Growth %
170.2
Trend of working capital days
Inventory Days
Payable days
55
58
47
77
40
77
40
43
58
40
55
85
55
90
60
110
83
62
35
Receivable days
Net Working Capital Days
112 98
61
61
88
38
75
38
93
61
70
38
83
61
60
38
70
56
57
0.8
1.1
2.2
2.5
1.2
1.6
1.2
1.7
2.2
50
43
Healthy CFO generation with recovery trend
CFO (INRb)
3.6
2.7
FCFF (INRb)
2.3
2.2
1.4
3.3
2.5
Lean leverage scenario to be sustained
Net Debt (x)
0.7
2.2
1.4
1.0
2.9
1.5
0.3
-0.2
-1.8
1.2
0.2
-0.2
0.0
-1.5 -1.4
0.1
-0.1
-0.0
-0.1
0.1
0.1
0.0
-0.1
Source: Company, MOFSL
Source: Company, MOFSL
June 2025
86
 Motilal Oswal Financial Services
Pipes – Thematic: Capturing new opportunities!
A full-fledged water solution company
Incorporated in 1987 by Jayant Chheda, PRINCPIP has evolved into one of the
top five largest plastic piping solution providers, offering over 7,200 SKUs across
the Plumbing, Agriculture, and Infrastructure verticals.
PRINCPIP has expanded its distributor network to over 1,500 partners by
Mar’25, strengthening its presence across urban, semi-urban, and rural markets.
The company has also introduced innovative products like Aquafit, Biofit, and
Safefit, expanding its portfolio with bathware and drainage systems through
strategic collaborations with Lubrizol, Ostendorf Kunststoffe, Hauraton, and
Unnati.
The company's addressable market exceeds INR835b across pipes, bathware,
and water tanks, including CPVC, UPVC, PPR, HDPE piping solutions, LLDPE water
storage tanks, faucets, and sanitaryware.
The company has a balanced revenue mix, with ~67% derived from pipes and
~33% from fittings. Additionally, ~30-35% of revenue comes from plumbing,
SWR and agriculture each, and 3-4% from DWC.
PRINCPIP sells its products under two brands: Prince for pan-India and Trubore,
which focuses on South India, particularly Tamil Nadu. The company leverages a
strong distribution network of 1,500+ channel partners.
PRINCPIP operates eight manufacturing plants with a current capacity of 398k
MTPA. Phase 2 of an eighth facility in Begusarai, Bihar is under construction
(expected to be commissioned in 3QFY26), which will increase the total installed
capacity to 434k MTPA in FY26.
PRINCPIP holds ~10% market share in CPVC (value and volume), contributing 20-
25% to overall revenue, with a focus on higher-margin segments like plumbing,
SWR, and industrial applications.
Traditionally focused on the retail or B2C segment, PRINCPIP generates
approximately 75-80% of its revenue from retail and 20-25% from projects. The
company aims to further expand into the projects segment.
Exhibit 82: Revenue split between major segments (FY25)
Exhibit 81: Revenue split between Pipes & Fittings
Fittings
30%
30-35%
3-4%
30-35%
Plumbing
SWR
Agriculture
Pipes
70%
Infrastructure
30-35%
Source: Company, MOFSL
Source: Company, MOFSL
June 2025
87
 Motilal Oswal Financial Services
Pipes – Thematic: Capturing new opportunities!
Exhibit 83: Revenue split between Projects and Retail
Projects
20-25%
Retail
75-80%
Source: Company, MOFSL
Exhibit 84: PRINCPIP’s installed capacity (‘000MT)
398
304
256
315
346
434
434
434
259
Source: Company
June 2025
88
 Motilal Oswal Financial Services
Pipes – Thematic: Capturing new opportunities!
Driving market expansion through strategic initiatives
Nationwide reach and distribution
Remarkably low 1.6%
freight expense as a
percentage of sales,
compared to an average
of 2.0% for its peers
PRINCPIP’s strategic deployment of manufacturing facilities across India has
enabled it to optimize freight costs for pipes, resulting in
a remarkably low 1.6%
freight expense as a percentage of sales, compared to an average of 2.0% for
its peers.
This industry-leading metric highlights the company's efficient supply
chain management.
PRINCPIP has a manufacturing presence across eight locations pan-India with an
established robust logistics infrastructure, which includes a comprehensive
network of 11 depots and warehouses each, supporting cost-effective
operation.
The company continuously realigns capacities between plants to minimize net
freight costs, shifting machinery to the closest manufacturing facility when
specific SKUs are in high demand in a market. This strategy ensures an efficient
supply chain and helps reduce overall freight expenses.
In the piping business, having a pan-India distribution network is essential. For
instance, it is not economically viable to sell pipes and fittings in East India
without a manufacturing presence in the region. As a result, the company is
setting up a plant in Begusarai, Bihar (the eastern part of India).
Having nationwide manufacturing facilities helps the company reduce logistics
costs by approximately ~2-3%, providing a logistics cost advantage over its
peers.
Exhibit 85: Analysis of the outward freight cost-to-sales ratio
Astral Limited
Prince Pipes & Fittings Limited
2.1%
1.7%
Supreme Industries Limited
Apollo Pipes Limited
2.3%
2.0%
1.8%
1.7%
1.3%
1.7%
1.6%
1.3%
2.6%
2.3%
2.4%
1.2%
1.6%
1.6%
Source: Company, MOFSL
June 2025
89
 Motilal Oswal Financial Services
Pipes – Thematic: Capturing new opportunities!
Exhibit 86: Manufacturing facilities
Source: Company
PRINCPIP has significantly expanded its distributor count from 766 at the end of
Mar’17 to over 1,500 by Mar’25. The company has strategically shifted its focus
towards enhancing the quality of existing distributors while continuing to
appoint new ones in regions where its presence is weaker. Additionally,
PRINCPIP is strengthening its foothold in rural markets and aims to improve
revenue per distributor through its diverse product offerings.
The company has a clear strategy for expanding both its manufacturing
capacity and market presence.
Given that the company has the highest number of distributors in the South and
the least in the East, strengthening the distribution network in the Eastern
region becomes crucial.
As capacity increases, the company plans to not only
meet supply requirements but also boost its distribution presence in the East,
leveraging the new facility to better serve regional demand.
June 2025
90
 Motilal Oswal Financial Services
Pipes – Thematic: Capturing new opportunities!
Exhibit 87: Growing distribution network and diversified plant location
Source: Company
Collaborations with key players
In FY20, PRINCPIP's strategic
collaboration with Lubrizol,
the world’s leading
manufacturer and inventor of CPVC compounds, enabled the company to
narrow the price gap with competitors to around ~5% for CPVC.
Additionally,
PRINCPIP forged a technical partnership with Tooling Holland, renowned for its
expertise in designing and producing precision injection molds.
In FY23, the company formed new international product partnerships with
Ostendorf Kunststoffe and Hauraton. This move was part of its growth strategy
aimed at introducing cutting-edge global drainage solutions to the Indian real
estate and industrial sectors, ensuring alignment with international standards
and best practices.
In Apr’24, PRINCPIP collaborated with Unnati to expand its market reach
through digital channels, targeting farmers and agricultural retailers while
promoting climate-friendly piping solutions like Aquafit and Safefit.
Exhibit 88: Global collaboration
Source: Company
June 2025
91
 Motilal Oswal Financial Services
Pipes – Thematic: Capturing new opportunities!
Seizing the wave of positive momentum
Real estate boom to drive significant growth for pipes
PRINCPIP, with over ~70% of its top line derived from the real estate sector and
~20-25% from CPVC products, is well-positioned to benefit from ongoing
developments and growth in the real estate market.
India's real estate sector is projected to grow to USD5.8t by 2047, contributing
15.5% to GDP, with luxury home sales surging 53% in CY24 despite a high base in
CY23. The sector is expected to reach USD1t by 2030, contributing 13% to GDP
by 2025, driven by strong developer supply, stable economic conditions, and
positive buyer sentiment.
Exhibit 89: India’s real estate market
Market Size (USDb)
120
180
650
1000
5800
Source: IBEF, MOFSL
The surge in new real estate launches is driving increased demand for pipes.
With India’s population expected to reach 1.55b by 2034 and 42.5% living in
urban areas, the need for 78m new housing units by 2034 will drive long-term
growth in the pipes and fittings industry.
Exhibit 90: Urban population in India
Population (m)
542.7
607.3
675.5
429
483
Source: IBEF, MOFSL
The TAM for pipes in real estate is expected to clock a 14% CAGR during FY24-
28, with the profit pool expanding at 17% CAGR. As a result, the real estate
TAM/profit pool are likely to double over this period. This presents significant
growth opportunities for PRINCPIP, which is already well-established in the real
estate market.
June 2025
92
 Motilal Oswal Financial Services
Pipes – Thematic: Capturing new opportunities!
What is PRINCPIP doing to capture this growth?
Expanding capacity across locations:
Approximately 66% of PRINCPIP’s capacity
is located in the North and West regions, providing exposure to high-growth
urban markets, including Delhi NCR and Mumbai. Over the past three years, the
company has expanded its project-focused team, initially targeting metros and
now reaching Tier-2 cities. As a result, project revenue has grown from 10% in
FY20 to around 25% in FY23, currently accounting for 20-25% of total revenues.
Exhibit 91: Region-wise capacity
West
26%
North
40%
East*
6%
South
28%
*Contains 24k MT of Phase 1 of Begusarai plant
Source: Company, MOFSL
Strategic collaborations:
PRINCPIP provides tailored solutions and fosters
developer collaborations by deriving over
70% of its revenue from real estate.
The company enhances its offerings by working closely with developers to offer
a comprehensive range of plumbing, drainage, and sanitation solutions designed
to meet the growing demand for housing units and commercial spaces.
However, all of its sales are conducted through its channel partners.
PRINCPIP is expanding its portfolio by
adding new high-end products,
such as
Skolan Safe and HT Safe for luxury drainage solutions. The company has also
launched Prince Hauraton for civil and landscape applications. Additionally,
PRINCPIP is increasing its share in the premium plumbing market, with CPVC
products contributing 20-25% of revenue, particularly in high-rise buildings,
commercial spaces, and luxury homes.
Expanding water tank business:
As the real estate sector continues to grow,
driving demand for water storage solutions, PRINCPIP is expanding its water
tank manufacturing, which currently contributes ~1% to its revenue. With a
planned launch in Chennai and 6m liter per month capacity at its Bihar plant by
1QFY26, the company is building a multi-location network to capitalize on this
demand.
We expect water tank revenue to increase as the company scales this
segment to meet market needs.
Expanding bathware reach with Aquel’s acquisition:
PRINCPIP acquired Aquel
in Mar’24, a brand with strong equity among architects, builders, interior
designers, and homeowners. By leveraging Aquel’s reputation and network of
25-30 distributors, alongside 27 active bathware distributors, the company aims
to
revive its project business
and expand the reach of faucets, sanitaryware,
showers, and cisterns, tapping into loyal real estate developers and new market
opportunities.
June 2025
93
 Motilal Oswal Financial Services
Pipes – Thematic: Capturing new opportunities!
Exhibit 92: Launches to capture market opportunities
New launches
Water tank
segment-
STOREFIT,
FloqGuard Plus
Slokan Safe, HT
Safe, Hauraton,
Duratap
CORFIT Manhole
Chambers
Prince Bathware,
Terrafit, Duratap
Bio-Fit septic
tanks
Source: Company
Government schemes propel growth
Significant growth in the infrastructure and industrial pipe segments, driven by
government initiatives like the Jal Jeevan Mission and substantial allocations for
affordable housing schemes, positions PRINCPIP to benefit from the increased
demand for plumbing and drainage solutions in the construction sector.
With the government's commitment to investing in agriculture, MSMEs, and
housing through various initiatives, PRINCPIP stands to gain from enhanced
opportunities in irrigation and industrial piping solutions, further solidifying its
market position.
East India: A fast-growing market
Eastern India, driven by late urbanization and a lower industry base, is the
fastest-growing market.
PRINCPIP is a top player in the region, supplying
products from the Haridwar facility and using an asset-light model in Hajipur.
The new Begusarai facility
for pipes, tanks, and fittings will further enhance
supply chain efficiency, reduce freight costs, and improve market penetration.
Currently, only SI and ASTRA have manufacturing facilities in the East. However,
PRINCPIP is set to commission its phase 2 of the Begusarai, Bihar plant by
3QFY26, with a capacity of 60K MTPA
for pipes, fittings, and water tanks. East
India is a rapidly growing market with relatively lower competition.
To enhance brand visibility in the region, PRINCPIP showcased a Durga Mata
installation in Kolkata using its products and launched a plumbing training
program for 11 women, in collaboration with the Water Management and
Plumbing Skill Council. The company aims to scale this initiative nationwide.
Key growth drivers include the PMAY Urban 2.0 initiative and the development
of investment-ready, plug-and-play industrial parks with complete infrastructure
in or near 100 cities, with a strong focus on Eastern India.
June 2025
94
 Motilal Oswal Financial Services
Pipes – Thematic: Capturing new opportunities!
Unlocking growth by expanding TAM
Extensive product portfolio across diverse categories
As of FY24, the overall addressable market for PRINCPIP is estimated at
~INR835b, spread across Pipes (INR541b), Bathware (INR194b), and Water Tanks
(INR100b). The company processes polymers such as CPVC, UPVC, PPR, and
HDPE, offering a wide range of products like pipes, fittings, valves, LLDPE water
storage tanks, and bathware solutions like faucets and sanitaryware.
Additionally, PRINCPIP offers a vast portfolio of over 7,200 SKUs across these
product categories.
Exclusive partnerships, such as with Lubrizol, enable PRINCPIP to offer
Flowguard Plus CPVC plumbing systems and Corzan CPVC industrial piping
systems in India. The acquisition of Aquel further strengthens its bathware
portfolio.
Exhibit 93: PRINCPIP’s business verticals and product range
Source: Company
PRINCEPIP's acquisition of Aquel enhances its portfolio with nine product lines
and 250 SKUs of scientifically engineered faucets and bathroom accessories,
broadening its market offerings across various price points.
Since FY23, PRINCPIP has expanded its portfolio with innovations such as the
Skolan Safe PP Silent Drainage System, certified by Fraunhofer, and the Prince
Hauraton Drainage System, catering to luxury homes, commercial spaces, and
civil infrastructure. The company has also expanded its range with Terrafit
subsurface drainage pipes, cost-effective Duratap PTMT faucets and showers,
and Greenfit PP-R systems for HVAC and plumbing, enhancing its presence
across key segments.
June 2025
95
 Motilal Oswal Financial Services
Pipes – Thematic: Capturing new opportunities!
Exhibit 94: New additions to the portfolio
Source: Company
Expansion into adjacencies
Water tank:
The company is leveraging its strong distribution network to
expand into the INR100b water tank market, which is experiencing value
migration from cement and steel tanks due to contamination risks. Since
launching Storefit water tanks in Jun’20, the segment has gained significant
traction, with revenue reaching INR480m in FY25, reflecting a ~20% YoY growth.
To support this fast-growing business, the company began water tank
production at its Haridwar plant in 4QFY24 and its Chennai plant in 2QFY25.
With existing facilities in Dadra, Jaipur, and Telangana, it will soon operate five
in-house manufacturing locations, further strengthening its position in the
market.
Bathware:
The company is targeting the bathware market through its
acquisition of the Aquel brand and its facilities from Klaus Waren Fixtures. The
domestic bathware market, valued at INR194b in FY24 (INR64b for sanitaryware
and INR130b for faucets), has posted ~8% CAGR from FY15 to FY24. It is
expected to clock an 8-10% CAGR from FY24 to FY28, driven by urbanization and
real estate growth.
The acquisition of Aquel strengthens PRINCPIP’s bathware portfolio. In 2QFY24,
PRINCPIP launched its first Aquel by Prince retail showrooms in Haryana and
New Delhi, along with a dedicated website and virtual presence.
The Bathware segment continues to expand, with new showrooms added in
4QFY25 in Uttar Pradesh and Rajasthan, adding to their existing outlets in Goa,
Jaipur (2 outlets), and Pune. Aquel by Prince is now present in Tier 2 and 3 cities
across North, West, and South India, with a growing network of over 200 retail
touchpoints.
June 2025
96
 Motilal Oswal Financial Services
Pipes – Thematic: Capturing new opportunities!
Exhibit 95: Indian bathware market share
Indian Sanitaryware Market (INRb)
Indian Faucetware Market (INRb)
35
18
40
20
45
24
52
28
59
33
65
38
72
41
80
44
89
48
90
48
90
48
110
120
130
55
60
64
Source: Company, MOFSL
India is one of the world’s fastest-growing sanitaryware markets, with a market
size of INR64b in FY24. About 75% of its segment is organized, with the top four
players commanding ~60% of the market share. Production is mainly
concentrated in Gujarat, leveraging the availability of raw materials and skilled
labor. Despite high market penetration,
replacement demand in India is only
15-20%, compared to 80% in developed countries, highlighting strong long-
term growth potential for companies in this sector.
The domestic faucet market, valued at over INR130b with 60% of the segment
organized, remains highly fragmented but presents significant growth potential.
This is driven by strong demand from new real estate construction and
premiumization trends, offering substantial opportunities for companies to
expand their presence and capture market share in this evolving segment.
Cross-selling opportunities with a diverse product portfolio
The company can leverage its extensive pan-India distribution network to
expand the reach of value-added products like bathware and sanitaryware,
enabling efficient promotion and wider market penetration. By integrating these
products into its existing network, the company further strengthens its
competitive position.
Exhibit 96: Number of channel partners over the years
Channel partners
1408
1500
1500
1500
1500
1500+
1253
620
766
955
Source: Company
The number of channel partners has remained stable at around 1,500, although
the company has streamlined its network, focusing on partners with stronger
growth and profitability.
June 2025
97
 Motilal Oswal Financial Services
Pipes – Thematic: Capturing new opportunities!
Additionally, by bundling products such as plumbing systems, bathware, and
water storage solutions into comprehensive packages, the company offers a
one-stop solution for both residential and commercial projects. This strategy
boosts cross-selling, enhances sales, and helps capture a larger market share
across product segments.
In FY25, A&P expenses as a percentage of sales reached 2.1% from 1.5% in FY23.
The company is intensifying its branding efforts through various initiatives and
loyalty campaigns, including hiring Akshay Kumar as its brand ambassador.
These strategies are aimed at positioning the company as a comprehensive
water solutions provider.
Exhibit 97: Trend of advertisement and promotional expenses
A&P expense % of sales
3.2%
2.8%
2.0%
1.1%
1.2%
1.5%
1.6%
1.5%
2.1%
2.1%
Source: Company
June 2025
98
 Motilal Oswal Financial Services
Pipes – Thematic: Capturing new opportunities!
Strategic realignments paving the way for stability
Revenue growth momentum to stabilize going forward
During FY18-FY23, PRINCEPIP achieved a strong 15% revenue CAGR, reaching
INR27.1b. However, revenue declined to INR25.7b in FY24 due to ERP
implementation challenges, an ineffective premium pricing strategy impacting
sales volume, and a price correction reducing ASPs. Further in FY25, revenue
declined 2% to INR25.2b, driven by lower realization and weak demand.
Going forward, PRINCPIP is expected to see topline growth as it has adjusted
its pricing strategy and shifted its focus back to driving volume growth.
Despite
past challenges with over-premiumization, particularly in the South, the
company’s recalibrated approach positions it well to recover market share and
enhance revenue performance.
The company demonstrated resilience with a 6% CAGR volume growth from
FY19 to FY24, reaching 172.8k MT, despite a revenue decline in FY24. It achieved
a 10% YoY volume growth in FY24, followed by a 3% YoY growth in FY25 (177k
MT). With a consistent track record, volume growth is expected to achieve a
12% CAGR during FY25-FY28, reaching 249k MT by FY28, highlighting strong
market positioning and growth potential.
PRINCEPIP's realizations increased from INR122/kg in FY19 to INR 172/kg in
FY23, driven by rising PVC prices and product premiumization. However,
realizations declined 14% to INR149/kg in FY24 due to ERP transition issues
disrupting operations, product mix, and pipe-fitting ratios. In FY25, realizations
further declined by 4% to INR142/kg. Looking forward, realizations are expected
to recover to INR 155/kg by FY28, supported by stabilization/recovery in raw
material prices and higher revenue share from real estate and non-agri
products, improving the product mix.
Given that these challenges are temporary, we expect PRINCPIP to rebound
with a healthy revenue CAGR of 15% from FY25 to FY28, reaching INR38.5b,
driven by operational improvements and strategic adjustments.
Exhibit 99: Expected volume CAGR 12% over FY25-FY28
Volume ('000 MT)
18
13
Growth %
Exhibit 98: Expect revenue CAGR of 15% over FY25-28
Revenue (INRb)
26.6 28.3
19.0
4.1
25.7
15.7 16.4 20.7 26.6 27.1
25.2 29.2 33.7 38.5
2.0 -5.2
-1.7
15.7 15.4 14.2
Growth %
12
10
3
177
12
12
3
4
1
139
129 133
138
158
173
198
222
249
Source: Company, MOFSL
Source: Company, MOFSL
June 2025
99
 Motilal Oswal Financial Services
Pipes – Thematic: Capturing new opportunities!
Margin expansion on the cards
PRINCEPIP’s EBITDA margin stood at 11.7% in FY19, improved slightly to 12% in
FY24, but dropped sharply to 6.4% in FY25. This decline was primarily due to
high PVC price volatility, leading to an INR850m to INR900m inventory loss.
Additionally, a higher share of lower-margin agri products in FY25 further
weighed on margins.
PRINCEPIP's margins remain below industry potential, as high-margin fittings
and CPVC have a limited overall impact, while PVC price volatility and ERP
disruptions have further pressured profitability.
Going forward, a strategic shift towards VAP and growth in the bathware
segment, along with expanding domestic CPVC capacity through Lubrizol’s
Gujarat facility, will enhance raw material security, improve cost efficiency, and
sustainable margin recovery.
FY25 is a challenging year, but with a low base, EBITDA is expected to achieve a
38% CAGR over FY25-28 (8% CAGR over FY24-28). As PVC price volatility
stabilizes and the company scales operations with better capacity utilization,
EBITDA margins are projected to recover to ~11% by FY28, driven by operating
leverage, a higher share of premium products, and reduced dependency on low-
margin agri sales.
Exhibit 101: …led by margin expansion over FY25-27
Adjusted EBITDA Margin
17.5%
14.0%
19%
11.7%
9.2%
6.4%
2.8
3.5
4.2
15.6%
12.0%
9.5%
10.5% 10.9%
Exhibit 100: EBITDA likely to register a 59% CAGR…
EBITDA (INRb)
58%
YoY Growth (%)
72%
23%
-40%
2.5
1.8
2.3
3.6
4.2
3.1
28%
14%
24%
15%
-47%
1.6
Source: Company, MOFSL
Source: Company, MOFSL
Working capital days to remain stable going forward
PRINCPIP witnessed an increase in net working capital over the past five years
(from ~55 days in FY19 to ~112 days in FY25) due to heightened inventory days
and lowering payable days.
The payable days decreased significantly to ~38 in FY25 from ~50 days in FY19
due to higher procurement from international markets (to gain from lower
prices in international markets and covering volume).
In FY25, the company’s working capital days were marginally higher compared
to FY24. However, the increased inventory levels (88 days in FY25 vs 62 days in
FY24) were in anticipation of a demand recovery in 2HFY25. As demand
remained muted in 2HFY25, inventory days rose, impacting overall working
capital efficiency.
As a growing organization that prioritizes supply, the company focuses on
maintaining optimal inventory levels. With a healthy risk appetite and a comfort
level for holding inventory, we expect inventory days to reach ~60 days by FY28.
June 2025
100
 Motilal Oswal Financial Services
Pipes – Thematic: Capturing new opportunities!
The upcoming expansion of domestic capacities for PVC and CPVC resins is
expected to reduce reliance on imports, leading the company to anticipate
stable creditor days of ~38 days by FY28E.
Exhibit 102: Trend of working capital days
Inventory Days
55
77
40
58
77
40
40
55
85
55
43
Receivable days
Payable days
110
83
62
35
112
61
88
38
Net Working Capital Days
98
61
75
38
93
61
70
38
83
90
60
70
56
57
43
58
47
61
60
38
50
Source: Company, MOFSL
CFO performance and expected rebound
The company has generated a cumulative CFO of INR7.8b over the last five
years, while there was no FCF generation due to higher capex outflows
(INR8.4b).
The average CFO/EBITDA for the last five years has been ~61%, but it has been
erratic, reaching 1.5x in FY19 and dropping to just 11% in FY24, reflecting the
strain on working capital. This decline was primarily due to inventory buildup,
elongated receivables, and a shift in procurement mix, impacting overall cash
flow efficiency.
With PBT projected to record a 72% CAGR over FY25-28, cumulative CFO
generation is expected to be ~INR7.7b by FY28E as inventory days normalize,
leading to improved cash flow stability. Additionally, CFO/EBITDA is projected to
improve, driven by better working capital management.
Exhibit 103: Cash flow from operations set to increase and remain strong
CFO (INRb)
146%
119%
81%
37%
2.2
1.0
2.9
-0.2
-5%
3.6
11%
0.3
70%
1.2
81%
2.3
62%
2.2
78%
3.3
CFO/EBITDA (%)
June 2025
101
 Motilal Oswal Financial Services
Pipes – Thematic: Capturing new opportunities!
Valuation and view
Initiating coverage with a BUY rating
PRINCPIP serves a ~INR835b market, spanning pipes (INR541b), bathware (INR194b),
and water tanks (INR100b), with a portfolio of 7,200+ SKUs across CPVC, UPVC, PPR,
and HDPE. The Aquel acquisition added 250 SKUs, further strengthening its bathware
presence, while new launches like Skolan Safe and Prince Hauraton enhance its
offerings in luxury drainage and civil solutions.
With ~70% of its revenue coming from real estate, PRINCPIP is well-positioned to
benefit from the ongoing upcycle in India’s real estate sector. This will boost demand
for premium pipes, bathware, and water tanks. Apart from this, Jal Jeevan Mission,
PMAY Urban 2.0, and industrial park developments are further reinforcing long-term
growth prospects.
PRINCPIP is rationalizing and strengthening its network of 1,500+ distributors, with a
focus on underpenetrated Eastern India. With strategic acquisitions and new product
launches, the company is well-positioned to capitalize on industry tailwinds and
restore margin stability.
We estimate a 15%/38% revenue/EBITDA CAGR over FY25-278. We value the stock on
a price-to-earnings basis, assigning 30x FY27E EPS. Initiate coverage with a BUY rating
and a TP of INR500.
Exhibit 105: One-year forward P/B (x)
Max (x)
-1SD
36.8
33.7
8
6.5
6
4
12.7
2
0
5.4
4.2
3.0
1.4
1.6
PB (x)
Min (x)
Avg (x)
+1SD
Max (x)
-1SD
Exhibit 104: One-year forward P/E (x)
42
34
26
18
10
21.3
27.5
12.7
PE (x)
Min (x)
Avg (x)
+1SD
Source: Company, MOFSL
Source: Company, MOFSL
Key risks
Over 70% of the company’s revenue is derived from real estate, making it
vulnerable to downturns in the construction and housing sectors. Any slowdown
in project execution or regulatory changes affecting the real estate market could
adversely impact sales.
The company relies on PVC and CPVC resins, which are subject to global price
fluctuations. Sudden spikes in crude oil prices or supply chain disruptions can
impact input costs and profitability.
PRINCPIP faces competition from well-established players like Astral, Finolex,
and Supreme Industries, which leads to pricing pressures and potential margin
erosion. Maintaining market share growth while sustaining margins remains a
challenge.
The company’s entire sales model depends on distributors and dealers, limiting
direct engagement with end customers. Any disruption in distributor
relationships or weak demand in certain regions could hinder revenue growth.
The company has recently entered high-margin businesses such as bathware
and water tanks. Achieving scale, brand recall, and profitability in these
segments will take time, impacting near-term returns.
June 2025
102
 Motilal Oswal Financial Services
Pipes – Thematic: Capturing new opportunities!
SWOT analysis
The partnership with
Lubrizol for
FlowGuard CPVC
provides PRINCPIP a
unique edge in
premium plumbing
solutions.
The company has an
efficient logistics
management system,
enabling it to operate
with the lowest
freight cost as a % of
sales compared to its
peers.
The company has a
high dependence on
the real estate sector.
The company is a late
entrant in the high-
margin segment
(Water Tank).
The acquisition of Aquel
enhances PRINCPIP’s
presence in faucets,
showers, and
sanitaryware, creating
cross-selling
opportunities.
India’s shift towards
organized real estate
projects will boost sales
in plumbing and
drainage solutions, as
the company has a
higher project sales
mix.
Established players are
cutting prices to retain
market share, putting
pressure on margins.
The company is holding
a substantial inventory
in anticipation of a
demand recovery. In
the event of a
slowdown, this could
lead to liquidity
concerns.
June 2025
103
 Motilal Oswal Financial Services
Pipes – Thematic: Capturing new opportunities!
Bull and Bear cases
Bull case
In our bull case scenario, we assume a revenue CAGR of 17% over FY25-28, led
residential demand recovery, acceleration of restocking by channel partners,
and rapid pace of penetration in the East India region with a new plant. Also
increase in raw material pricing will lead to improved realizations driving overall
growth.
We expect the margin to expand ~660bp from the FY25 levels to reach ~13%
over FY28 on a low base, led by better realization, improving product mix, and
favorable operating leverage.
The company’s EPS would register a robust CAGR of 92% over FY25-28E, driven
by operating leverage.
We value the stock on a price-to-earnings basis, assigning 34x FY27 EPS arriving
at a TP of INR630.
Bear case
In our bear case scenario, we assume a revenue CAGR of 12% over FY25-28,
considering the slow recovery in demand and ramp-up of new plants and a flat
pricing scenario with major growth to be volume-led as CPVC demand is less
prone to pricing fluctuation.
We expect the margin to expand by ~340bp from the FY25 levels to reach 9.8%
over FY28 on a low base, led by an improved product mix offset by the lack of
realization gains.
The company’s EPS would register a CAGR of 58% over FY25-28E on a low base
and operating leverage.
We value the stock on a price-to-earnings basis, assigning 28x FY27 EPS arriving
at a TP of INR330.
Exhibit 106: Bull and Bear case scenarios (INR m)
Particulars
Bear case
P/E: 28x
INR330
Base case
P/E: 32x
INR500
Bull case
P/E: 34x
INR630
Revenue
EBITDA
EPS
Revenue
EBITDA
EPS
Revenue
EBITDA
EPS
FY25
25,239
1,618
4
25,239
1,618
4
25,239
1,618
4
FY26E
28,160
2,446
8
29,203
2,780
11
29,986
2,884
11
FY27E
31,906
2,960
12
33,689
3,549
16
35,209
3,945
18
FY28E
CAGR
(FY25-28E, %)
35,798
12
3,517
30
16
58
38,487
15
4,214
38
20
73
40,941
17
5,307
49
28
92
Source: MOFSL, Company
June 2025
104
 Motilal Oswal Financial Services
Pipes – Thematic: Capturing new opportunities!
Management team
Mr. Jayant Shamji Chheda
Chairman and Managing Director
He is the Chairman and Managing
Director of the company and has been
associated with it since its inception,
serving as a Director. With extensive
industry knowledge and over four
decades of experience in the plastic
industry, he was awarded the ‘Lifetime
Achievement Award’ at the Vinyl India
Conference, 2014.
Mr. Parag J. Chheda
Joint Managing Director
He has been associated with the company
since April 27, 1996, serving as a Director.
He holds an associate degree in Business
Administration from Oakland Community
College and has over 28 years of
experience in the piping industry. He was
awarded the ‘Inspiring Business Leader
Award’ at the Economic Times Summit,
2016 for the ‘Business and Industry’
sector.
Mr. Vipul J. Chheda
Executive Director
He holds a Master of Business
Administration from Mithibai College.
He has been associated with the company
since March 11, 1997, serving as a
Director, and has over 27 years of
experience in the piping industry.
Mr. Nihar Chheda
Vice President – Strategy
He has been actively involved in
the operations of the company
since its IPO in 2019. He holds a
Bachelor’s degree in Industrial
Engineering from Purdue University
in Indiana, US.
Mr. Anand Gupta
CFO
He completed his Chartered Accountancy
as part of his formal education and
worked with ACC Limited for 14 years
before joining the company. He joined
PRINCPIP in June’20 as the Deputy CFO
June 2025
105
 Motilal Oswal Financial Services
Pipes – Thematic: Capturing new opportunities!
ESG initiatives
Environmental initiatives
The company’s approach includes reducing its environmental footprint,
promoting responsible sourcing, and supporting community development. It
strives to create a positive impact on the environment.
The Haridwar plant has received Greenhouse Gas Emission Certification from
DQS India, reinforcing the company’s commitment to ESG goals.
The company plans to identify climate change-related risks and develop a
mitigation strategy to reduce carbon intensity across its value chain.
CSR initiatives
The company has been invested in social welfare in areas such as providing safe
drinking water, promoting groundwater recharge, and encouraging efficient
water usage. It also focuses on plumber upskilling programs, offering essential
healthcare services, supporting rural development, and contributing to various
areas of public service.
Governance
As of Mar’24, the Board consists of nine Directors, including five Independent
Directors and two women Directors.
The Board comprises seasoned professionals with expertise in various fields,
contributing to diverse experiences.
The Board’s performance is assessed annually based on their responsibilities,
and a strong compliance mechanism is in place to adhere to applicable rules and
regulations.
June 2025
106
 Motilal Oswal Financial Services
Pipes – Thematic: Capturing new opportunities!
Financials and valuation
Consolidated - Income Statement
Y/E March
Total Income from Operations
Change (%)
RM Cost
Employees Cost
Other Expenses
Total Expenditure
% of Sales
EBITDA
Margin (%)
Depreciation
EBIT
Int. and Finance Charges
Other Income
PBT bef. EO Exp.
EO Items
PBT after EO Exp.
Total Tax
Tax Rate (%)
Minority Interest
Reported PAT
Adjusted PAT
Change (%)
Margin (%)
FY19
15,719
19.0
11,274
817
1,788
13,878
88.3
1,841
11.7
436
1,405
363
71
1,113
0
1,113
292
26.2
0
821
821
11.7
5.2
FY20
16,357
4.1
11,264
902
1,903
14,069
86.0
2,288
14.0
520
1,768
332
69
1,506
0
1,506
381
25.3
0
1,125
1,125
37.0
6.9
FY21
20,715
26.6
13,789
997
2,313
17,099
82.5
3,616
17.5
594
3,022
207
176
2,991
0
2,991
773
25.8
0
2,218
2,218
97.2
10.7
FY22
26,568
28.3
18,915
1,162
2,335
22,412
84.4
4,156
15.6
703
3,453
139
55
3,369
0
3,369
875
26.0
0
2,494
2,494
12.4
9.4
FY23
27,109
2.0
20,922
1,161
2,523
24,606
90.8
2,503
9.2
830
1,673
110
86
1,648
0
1,648
434
26.3
0
1,214
1,214
-51.3
4.5
FY24
25,687
-5.2
18,193
1,477
2,943
22,613
88.0
3,074
12.0
912
2,162
65
161
2,258
179
2,438
612
25.1
0
1,825
1,646
35.6
6.4
FY25
25,239
-1.7
18,839
1,742
3,040
23,621
93.6
1,618
6.4
1,070
548
97
137
588
0
588
157
26.7
0
431
431
-73.8
1.7
FY26E
29,203
15.7
21,085
1,957
3,382
26,424
90.5
2,780
9.5
1,206
1,573
175
159
1,557
0
1,557
392
25.2
0
1,165
1,165
170.2
4.0
FY27E
33,689
15.4
24,256
2,190
3,694
30,140
89.5
3,549
10.5
1,284
2,266
134
183
2,315
0
2,315
583
25.2
0
1,732
1,732
48.6
5.1
(INRm)
FY28E
38,487
14.2
27,710
2,425
4,138
34,273
89.1
4,214
10.9
1,349
2,865
74
210
3,000
0
3,000
755
25.2
0
2,245
2,245
29.6
5.8
Consolidated - Balance Sheet
Y/E March
Equity Share Capital
Total Reserves
Net Worth
Minority Interest
Total Loans
Deferred Tax Liabilities
Capital Employed
Gross Block
Less: Accum. Deprn.
Net Fixed Assets
Goodwill on Consolidation
Capital WIP
Total Investments
Current Investments
Curr. Assets, Loans&Adv.
Inventory
Account Receivables
Cash and Bank Balance
Loans and Advances
Curr. Liability & Prov.
Account Payables
Other Current Liabilities
Provisions
Net Current Assets
Misc Expenditure
Appl. of Funds
FY19
900
3,089
3,989
0
2,969
149
7,107
6,413
2,782
3,631
3
615
8
0
6,082
2,011
2,504
223
1,345
3,231
2,152
985
95
2,851
0
7,107
FY20
1,100
7,277
8,377
0
2,609
133
11,119
8,138
3,302
4,836
3
75
6
0
9,181
3,445
1,797
2,570
1,369
2,983
1,808
1,042
134
6,198
0
11,119
FY21
1,100
9,335
10,435
0
852
133
11,420
8,892
3,896
4,996
3
765
15
0
10,049
2,273
3,308
2,299
2,169
4,408
3,144
1,131
134
5,641
0
11,420
FY22
1,106
11,547
12,653
0
1,500
123
14,275
11,037
4,599
6,438
3
226
117
100
12,606
6,188
4,346
586
1,485
5,115
3,986
980
149
7,491
0
14,275
FY23
1,106
12,534
13,640
0
581
137
14,358
12,186
5,429
6,757
3
236
920
917
10,626
4,256
4,150
1,244
976
4,184
3,202
825
157
6,442
0
14,358
FY24
1,106
14,338
15,444
0
1,144
191
16,779
14,162
6,341
7,821
3
354
382
379
12,673
4,379
5,849
777
1,668
4,453
2,491
1,758
204
8,220
0
16,779
FY25
1,106
14,659
15,764
0
2,641
193
18,599
16,891
7,411
9,480
3
198
270
267
13,243
6,095
4,229
830
2,089
4,595
2,611
1,730
254
8,648
0
18,599
FY26E
1,106
15,603
16,709
0
2,741
193
19,643
18,114
8,617
9,497
3
1,025
270
267
14,208
6,001
4,894
897
2,417
5,359
3,021
2,044
294
8,849
0
19,643
FY27E
1,106
17,114
18,220
0
1,741
193
20,154
19,129
9,901
9,228
3
810
270
267
16,026
6,461
5,645
1,131
2,788
6,182
3,485
2,358
339
9,843
0
20,154
(INRm)
FY28E
1,106
19,138
20,243
0
741
193
21,177
20,015
11,250
8,765
3
724
270
267
18,479
6,327
6,449
2,517
3,185
7,063
3,981
2,694
388
11,416
0
21,178
June 2025
107
 Motilal Oswal Financial Services
Pipes – Thematic: Capturing new opportunities!
Financials and valuation
Ratios
Y/E March
Basic (INR)
EPS
Cash EPS
BV/Share
DPS
Payout (%)
Valuation (x)
P/E
Cash P/E
P/BV
EV/Sales
EV/EBITDA
Dividend Yield (%)
FCF per share
Return Ratios (%)
RoE
RoCE
RoIC
Working Capital Ratios
Fixed Asset Turnover (x)
Asset Turnover (x)
Inventory (Days)
Debtor (Days)
Creditor (Days)
Leverage Ratio (x)
Current Ratio
Interest Cover Ratio
Net Debt/Equity
FY19
7.5
27.9
88.6
0.0
0.0
45.9
12.3
3.9
2.1
18.3
0.0
15.0
22.9
16.4
16.6
2.5
2.2
47
58
50
1.9
3.9
0.7
FY20
10.2
36.5
186.1
0.0
0.0
33.5
9.4
1.8
2.3
16.5
0.0
-1.5
18.2
15.3
17.9
2.0
1.5
77
40
40
3.1
5.3
0.0
FY21
20.2
62.5
231.8
3.5
17.4
17.0
5.5
1.5
1.8
10.0
1.0
13.4
23.6
21.3
26.7
2.3
1.8
40
58
55
2.3
14.6
-0.1
FY22
22.7
71.0
281.1
3.5
15.5
15.1
4.8
1.2
1.5
9.3
1.0
-16.3
21.6
20.4
23.6
2.4
1.9
85
60
55
2.5
24.8
0.1
FY23
11.0
45.4
303.0
2.0
18.2
31.1
7.6
1.1
1.3
14.5
0.6
24.4
9.2
9.1
9.7
2.2
1.9
57
56
43
2.5
15.2
-0.1
FY24
15.0
56.8
343.1
2.0
12.1
22.9
6.0
1.0
1.5
12.3
0.6
-14.0
11.3
11.3
11.9
1.8
1.5
62
83
35
2.8
33.3
0.0
FY25
3.9
33.4
350.3
2.0
51.3
87.5
10.3
1.0
1.6
24.4
0.6
-12.4
2.8
2.9
2.5
1.5
1.4
88
61
38
2.9
5.7
0.1
FY26E
10.6
52.7
371.2
2.0
19.0
32.4
6.5
0.9
1.4
14.2
0.6
1.8
7.2
6.8
6.8
1.6
1.5
75
61
38
2.7
9.0
0.1
FY27E
15.7
67.0
404.8
2.0
12.8
21.8
5.1
0.8
1.1
10.8
0.6
12.7
9.9
9.3
9.6
1.8
1.7
70
61
38
2.6
16.8
0.0
FY28E
20.4
79.8
449.8
2.0
9.9
16.8
4.3
0.8
0.9
8.5
0.6
22.4
11.7
11.2
12.0
1.9
1.8
60
61
38
2.6
38.5
-0.1
Consolidated - Cash Flow Statement
Y/E March
OP/(Loss) before Tax
Depreciation
Interest & Finance Charges
Direct Taxes Paid
(Inc)/Dec in WC
CF from Operations
Others
CF from Operating incl EO
(Inc)/Dec in FA
Free Cash Flow
(Pur)/Sale of Investments
Others
CF from Investments
Issue of Shares
Inc/(Dec) in Debt
Interest Paid
Dividend Paid
Others
CF from Fin. Activity
Inc/Dec of Cash
Opening Balance
Other bank balance
Closing Balance
FY19
1,113
436
329
-305
611
2,184
3
2,186
-834
1,353
0
-217
-1,051
0
-689
-329
0
115
-903
233
-10
223
FY20
1,506
520
285
-372
-1,081
858
165
1,023
-1,188
-165
-2,570
80
-3,677
3,394
-371
-282
-110
2,371
5,001
2,347
223
2,570
FY21
2,991
594
31
-773
77
2,920
0
2,920
-1,444
1,476
-8
755
-697
0
-1,757
-207
-385
-145
-2,494
-271
2,570
2,299
FY22
3,369
703
84
-875
-3,476
-195
0
-195
-1,605
-1,800
-103
1,913
205
5
648
-139
-387
-1,850
-1,723
-1,713
2,299
586
FY23
1,648
830
102
-401
1,474
3,654
-52
3,602
-903
2,699
-772
193
-1,481
0
-919
-99
-221
17
-1,222
899
316
29
1,244
FY24
2,258
912
49
-733
-2,151
335
-6
329
-1,873
-1,544
593
22
-1,258
0
560
-46
0
-39
475
-453
1,215
16
777
FY25
588
1,070
80
-281
-322
1,136
53
1,189
-2,556
-1,367
144
66
-2,347
0
-321
-106
-111
1,736
1,198
41
761
28
830
FY26E
1,557
1,206
16
-392
-134
2,254
0
2,254
-2,050
204
0
159
-1,891
0
100
-175
-221
0
-296
67
830
897
FY27E
2,315
1,284
-49
-583
-760
2,207
0
2,207
-800
1,407
0
183
-617
0
-1,000
-134
-221
0
-1,356
234
897
1,131
(INRm)
FY28E
3,000
1,349
-135
-755
-186
3,272
0
3,272
-800
2,472
0
210
-590
0
-1,000
-74
-221
0
-1,296
1,386
1,131
2,517
June 2025
108
 Motilal Oswal Financial Services
Initiating Coverage | Sector: Midcaps
Pipes – Thematic: Capturing new opportunities!
Apollo Pipes
Not Rated
BSE Sensex
82,756
S&P CNX
25,245
CMP: 431
Yet another play on the theme!
Financial Snapshot (INR b)
Y/E Mar
FY23
FY24
Sales
9.1
9.9
EBITDA
0.7
1.0
Adj. PAT
0.2
0.4
EBITDA (%)
7.4
9.7
EPS (INR)
6.1
10.8
EPS Gr. (%)
-51.9
78.1
BV/Sh. (INR) 116.3 145.9
Ratios
Net D/E
0.0
0.0
RoE (%)
5.5
8.3
RoCE (%)
6.4
8.1
Valuations
70.8
39.8
P/E (x)
18.8
EV/EBITDA (x) 25.1
Div Yield (%)
-
-
FY25
11.8
1.0
0.3
8.1
7.4
-31.6
180.0
-0.1
4.8
5.6
58.2
20.3
-
Apollo Pipes Ltd (APOLP), a part of the APL Apollo Group, is one of the leading
manufacturer of plastic pipes and fittings. Originally known as Amulya Leasing and
Finance Ltd., the company rebranded as Apollo Pipes Ltd. in 2017 after Mr. Sameer
Gupta took over management control in 2011, driving its transformation. The
company’s diverse product portfolio includes CPVC, uPVC, HDPE, and SWR pipes and
fittings, along with water storage tanks and bathroom fittings.
APOLP has more than doubled its production capacity from 84k MT in FY20 to 226k
MTPA in FY25, and aims to reach 286k MTPA over the next few years. The upcoming
Greenfield plant in South India and the strategic acquisition of Kisan Mouldings
(adding 60k MT) will further strengthen its position to meet the growing demand.
Expanding from 1,000+ SKUs in FY19 to 2,600+ SKUs, APOLP is strengthening its
presence in high-margin segments like OPVC pipes, uPVC windows & doors, and
sanitary fittings. The OPVC segment currently contributes 4-5% to revenue
(expected 7-9% by FY26), signaling stronger traction compared to peers in the
newer pipe segment.
Despite investing INR4.3b in capex over seven quarters, APOLP remains net debt-
free. With an additional INR4b capex (partly funded by the Kitara Capital
investment of ~INR1.1b) planned over the next three years, its financial prudence
ensures sustainable growth.
Backed by APL Apollo Group’s strong brand and robust financial position, we expect
APOLP to effectively capitalize on this theme.
Gearing up for expansion
APOLP has been consistently expanding its manufacturing footprint across
India. From a production capacity of just 84k MT in FY20, the company has
more than doubled its capacity to 226k MTPA. However, its ambition is far
from over, with a target to scale up to 286k MT in the coming years. The
company currently operates eight advanced manufacturing facilities spread
across Uttar Pradesh, Gujarat, Karnataka, Chhattisgarh, Maharashtra, Dadra &
Nagar Haveli, and Madhya Pradesh.
A key component of its expansion strategy is the upcoming Greenfield plant in
South India, which is expected to add 70k MT of capacity. This move will
enable APOLP to gain a stronger foothold in a region, where competitors have
a dominant presence. Additionally, the Varanasi plant is expected to enhance
supply chain efficiencies and reduce logistics costs.
The company’s acquisition of Kisan Mouldings Ltd., in which it acquired a
53.57% stake for INR1.18b, has further strengthened its manufacturing base
by adding 60k MT of production capacity. This acquisition is particularly
crucial for APOLP’s expansion in western India, allowing it to leverage Kisan’s
distribution network and market presence.
June 2025
109
 Motilal Oswal Financial Services
Pipes – Thematic: Capturing new opportunities!
Exploring opportunities within and beyond pipes
APOLP has strategically broadened its product portfolio (from 1000+ SKUs in
FY19 to 2,600+ SKUs currently), shifting its focus toward high-margin segments
that enhance both revenue growth and profitability. The company offers a wide
range of products, including CPVC, UPVC, and HDPE pipes, solvent cement,
fittings, water storage solutions, column pipes, and drainage systems.
A significant push has been made into emerging product categories such as
OPVC pipes, uPVC windows and doors, and sanitary and bath fittings. The OPVC
segment, in particular, has been gaining strong traction and currently
contributes 4-5% of total revenues, with expectations to reach 7-9% in FY26.
APOLP has partnered with leading Spanish manufacturers for OPVC production,
setting itself apart from lower-quality imports.
The company is also evaluating the plastic faucet taps and showers segment for
potential further investment or strategic divestment, ensuring that its portfolio
remains aligned with profitability and growth objectives.
Resilient financials to navigate market upswings
APOLP delivered a strong performance in FY25, with a volume growth of 23%
despite facing ongoing headwinds.
The company has demonstrated strong revenue growth, achieving a CAGR of
24% and reaching INR11.8b in FY25 over FY20. However, EBITDA margins have
moderated from 10.8% in FY19 to 8.1% in FY25, reflecting industry-wide cost
pressures.
APOLP has invested INR4b in capex over the past five years while maintaining a
debt-free position, highlighting its financial prudence. Looking ahead, the
company has outlined an ambitious INR4b capex plan over the next three years,
including the establishment of a greenfield plant in South India.
The company is set to secure an INR1.1b in equity investment from Oman-based
Kitara Capital. Additionally, it is targeting a ROCE of 25% within the next two
years, reinforcing its commitment to operational efficiency and financial
discipline.
Valuation and view
We like APOLP for its strategic initiatives, which are set to drive growth,
supported by anticipated tailwinds. The company is aggressively expanding its
market presence and dealer network (600 channel partners in FY19 to 1,000+
currently), particularly in South and West India, adding over 1,100 channel
partners with the Kisan acquisition.
The company is also enhancing its supply chain efficiency by optimizing logistics
and reducing freight costs. With a ~44% capacity utilization rate, the company
has significant room to boost output without the need for major new
investments.
Committed to a debt-free growth strategy, APOLP is expanding without
overleveraging its balance sheet.
June 2025
110
 Motilal Oswal Financial Services
Pipes – Thematic: Capturing new opportunities!
Story in charts
Exhibit 107: APOLP’s growth strategy
Exhibit 108: Its capacity expansion plan
June 2025
111
 Motilal Oswal Financial Services
Pipes – Thematic: Capturing new opportunities!
STORY IN CHARTS
Registered revenue CAGR of 24% over FY20-25…
Revenue (INRb)
51%
18%
14%
23%
13%
3.6
4.1
5.2
7.8
9.1
27%
17%
8%
9.9
11.8
39.8
44.7
20%
12%
6%
47.3
53.8
66.6
81.2
…driven by 17% volume CAGR
Volume ('000 MT)
Growth (%)
24%
Growth (%)
22%
Trend of EBITDA and EBITDA margin
EBITDA (INRm)
EBITDA Margin (%)
Adj. PAT grew 3% over FY20-25
Adj. PAT (INRm)
56%
Growth (%)
78%
14.3%
10.8% 11.4%
11.9%
9.7%
7.4%
16%
8.1%
11%
12%
-23%
-52%
392
464
743
934
680
958
957
256
285
445
498
239
426
326
Working capital days improved over FY19-24
Inventory (Days)
53
36
53
36
74
44
55
34
33
61
26
26
68
Debtor (Days)
RoE/RoCE trend
RoE (%)
14.9
RoCE (%)
29
73
29
66
9.8
13.5
10.6
11.9
9.3
13.2
12.3
8.3
6.4
5.5
8.1
5.6
4.8
61
47
62
54
Source: Company, MOFSL
Source: Company, MOFSL
June 2025
112
 Motilal Oswal Financial Services
Pipes – Thematic: Capturing new opportunities!
Ashirvad Pipes
Ashirvad Pipes, founded in 1998 by Pawan Poddar, is one of the leading
manufacturers of CPVC, uPVC, and SWR plumbing systems, including uPVC
column pipes for submersible borehole pumps. It is among the leading sellers of
CPVC and uPVC pipes and fittings, holding a market share of 9%.
The company has partnered with 1,500+ distributors, 60,000+ retailers, 2,000+
contractors and 160,000+ plumbers.
Beyond its core PVC and CPVC piping solutions, Ashirvad Pipes has expanded its
portfolio to include OPVC pipes, wastewater management, water tanks, and a
range of bath and kitchen solutions. This diversification leverages its extensive
distribution network, enabling cross-selling opportunities.
The company collaborates with Lubrizol, US, for its CPVC hot and cold plumbing
systems, ensuring high-quality and hygienic potable water supply solutions.
Acquired by Aliaxis SA in 2013, Ashirvad Pipes leverages its global expertise,
innovation, and operational excellence while benefiting from the strong
financial backing of key investors like Glynwed Holding B.V., Netherlands, and
Aliaxis Group SA. The company collaborates with leading Aliaxis brands such as
Durman, Ipex, and Philmac, combining technology with locally tailored solutions
to enhance product quality and market reach.
The company has expanded into silent SWR systems, foam core underground
drainage, and sanitary solutions like traps, pan connectors, and concealed
valves. It has a nationwide distribution network and a 40-acre manufacturing
facility with an annual capacity of 1,08,000 MT.
The company witnessed decent revenue growth of INR47.4b, posting a 15%
CAGR since FY14. EBITDA margin stood at 5.2% in FY24, contracting 160bp YoY.
Exhibit 110: EBITDA margin contracted 13pp over FY19-24
EBITDA (INRb)
4%
18.8%
21.2%
18.4%
18.4%
Exhibit 109: Registered revenue CAGR of ~12% over FY19-24
Revenue (INRb)
28%
20%
10%
26.74
10%
45.49
29.32
35.20
45.03
47.40
Growth (%)
1%
EBITDA Margin (%)
7.6%
5.04
5.39
7.45
8.28
3.48
6.0%
2.85
Source: MOFSL, Company
Source: MOFSL, Company
Exhibit 111: PAT margin contracted over FY19-24
PAT (INRb)
36%
29%
-1%
Growth (%)
12%
Exhibit 112: RoE/RoCE trend
ROE (%)
35.3%
30.5%
ROCE (%)
4.6
2.6
3.4
5.2
-83%
0.9
-81%
0.2
6.8%
4.4%
6.7%
5.4%
27.4%
23.7%
3.6%
7.2%
3.5%
0.7%
Source: Company, MOFSL
Source: Company, MOFSL
Investment in securities market are subject to market risks. Read all the related documents carefully before investing
June 2025
113
 Motilal Oswal Financial Services
Pipes – Thematic: Capturing new opportunities!
RECENT STRATEGY/THEMATIC REPORTS
June 2025
114
 Motilal Oswal Financial Services
Pipes – Thematic: Capturing new opportunities!
Explanation of Investment Rating
Investment Rating
BUY
SELL
NEUTRAL
UNDER REVIEW
NOT RATED
Expected return (over 12-month)
>=15%
< - 10%
< - 10 % to 15%
Rating may undergo a change
We have forward looking estimates for the stock but we refrain from assigning recommendation
-
-
-
-
-
-
*In case the recommendation given by the Research Analyst is inconsistent with the investment rating legend for a continuous period of 30 days, the Research Analyst shall be within following 30 days take
appropriate measures to make the recommendation consistent with the investment rating legend.
Disclosures
The following Disclosures are being made in compliance with the SEBI Research Analyst Regulations 2014 (herein after referred to as the Regulations).
Motilal Oswal Financial Services Ltd. (MOFSL) is a SEBI Registered Research Analyst having registration no. INH000000412. MOFSL, the Research Entity (RE) as defined in the Regulations, is engaged in
the business of providing Stock broking services, Depository participant services & distribution of various financial products. MOFSL is a listed public company, the details in respect of which are available on
www.motilaloswal.com. MOFSL (erstwhile Motilal Oswal Securities Limited - MOSL) is registered with the Securities & Exchange Board of India (SEBI) and is a registered Trading Member with National
Stock Exchange of India Ltd. (NSE) and Bombay Stock Exchange Limited (BSE), Multi Commodity Exchange of India Limited (MCX) and National Commodity & Derivatives Exchange Limited (NCDEX) for
its stock broking activities & is Depository participant with Central Depository Services Limited (CDSL) National Securities Depository Limited (NSDL),NERL, COMRIS and CCRL and is member of
Association of Mutual Funds of India (AMFI) for distribution of financial products and Insurance Regulatory & Development Authority of India (IRDA) as Corporate Agent for insurance products.
Details of
associate entities of Motilal Oswal Financial Services Limited are available on the website at
http://onlinereports.motilaloswal.com/Dormant/documents/List%20of%20Associate%20companies.pdf
MOFSL and its associate company(ies), their directors and Research Analyst and their relatives may; (a) from time to time, have a long or short position in, act as principal in, and buy or sell the securities or
derivatives thereof of companies mentioned herein. (b) be engaged in any other transaction involving such securities and earn brokerage or other compensation or act as a market maker in the financial
instruments of the company(ies) discussed herein or act as an advisor or lender/borrower to such company(ies) or may have any other potential conflict of interests with respect to any recommendation and
other related information and opinions.; however the same shall have no bearing whatsoever on the specific recommendations made by the analyst(s), as the recommendations made by the analyst(s) are
completely independent of the views of the associates of MOFSL even though there might exist an inherent conflict of interest in some of the stocks mentioned in the research report.
MOFSL and / or its affiliates do and seek to do business including investment banking with companies covered in its research reports. As a result, the recipients of this report should be aware that MOFSL
may have a potential conflict of interest that may affect the objectivity of this report. Compensation of Research Analysts is not based on any specific merchant banking, investment banking or brokerage
service
transactions.
Details
of
pending
Enquiry
Proceedings
of
Motilal
Oswal
Financial
Services
Limited
are
available
on
the
website
at
https://galaxy.motilaloswal.com/ResearchAnalyst/PublishViewLitigation.aspx
A graph of daily closing prices of securities is available at
www.nseindia.com, www.bseindia.com.
Research Analyst views on Subject Company may vary based on Fundamental research and Technical
Research. Proprietary trading desk of MOFSL or its associates maintains arm’s length distance with Research Team as all the activities are segregated from MOFSL research activity and therefore it can
have an independent view with regards to Subject Company for which Research Team have expressed their views.
Regional Disclosures (outside India)
This report is not directed or intended for distribution to or use by any person or entity resident in a state, country or any jurisdiction, where such distribution, publication, availability or use would be contrary
to law, regulation or which would subject MOFSL & its group companies to registration or licensing requirements within such jurisdictions.
For Hong Kong:
This report is distributed in Hong Kong by Motilal Oswal capital Markets (Hong Kong) Private Limited, a licensed corporation (CE AYY-301) licensed and regulated by the Hong Kong Securities and Futures
Commission (SFC) pursuant to the Securities and Futures Ordinance (Chapter 571 of the Laws of Hong Kong) “SFO”. As per SEBI (Research Analyst Regulations) 2014 Motilal Oswal Securities (SEBI Reg.
No. INH000000412) has an agreement with Motilal Oswal capital Markets (Hong Kong) Private Limited for distribution of research report in Hong Kong. This report is intended for distribution only to
“Professional Investors” as defined in Part I of Schedule 1 to SFO. Any investment or investment activity to which this document relates is only available to professional investor and will be engaged only with
professional investors.” Nothing here is an offer or solicitation of these securities, products and services in any jurisdiction where their offer or sale is not qualified or exempt from registration. The Indian
Analyst(s) who compile this report is/are not located in Hong Kong & are not conducting Research Analysis in Hong Kong.
For U.S.
Motilal Oswal Financial Services Limited (MOFSL) is not a registered broker - dealer under the U.S. Securities Exchange Act of 1934, as amended (the"1934 act") and under applicable state laws in the
United States. In addition MOFSL is not a registered investment adviser under the U.S. Investment Advisers Act of 1940, as amended (the "Advisers Act" and together with the 1934 Act, the "Acts), and
under applicable state laws in the United States. Accordingly, in the absence of specific exemption under the Acts, any brokerage and investment services provided by MOFSL, including the products and
services described herein are not available to or intended for U.S. persons. This report is intended for distribution only to "Major Institutional Investors" as defined by Rule 15a-6(b)(4) of the Exchange Act
and interpretations thereof by SEC (henceforth referred to as "major institutional investors"). This document must not be acted on or relied on by persons who are not major institutional investors. Any
investment or investment activity to which this document relates is only available to major institutional investors and will be engaged in only with major institutional investors. In reliance on the exemption
from registration provided by Rule 15a-6 of the U.S. Securities Exchange Act of 1934, as amended (the "Exchange Act") and interpretations thereof by the U.S. Securities and Exchange Commission
("SEC") in order to conduct business with Institutional Investors based in the U.S., MOFSL has entered into a chaperoning agreement with a U.S. registered broker-dealer, Motilal Oswal Securities
International Private Limited. ("MOSIPL"). Any business interaction pursuant to this report will have to be executed within the provisions of this chaperoning agreement.
The Research Analysts contributing to the report may not be registered /qualified as research analyst with FINRA. Such research analyst may not be associated persons of the U.S. registered broker-dealer,
MOSIPL, and therefore, may not be subject to NASD rule 2711 and NYSE Rule 472 restrictions on communication with a subject company, public appearances and trading securities held by a research
analyst account.
For Singapore
In Singapore, this report is being distributed by Motilal Oswal Capital Markets (Singapore) Pte. Ltd. (“MOCMSPL”) (UEN 201129401Z), which is a holder of a capital markets services license and an exempt
financial adviser in Singapore.This report is distributed solely to persons who (a) qualify as “institutional investors” as defined in section 4A(1)(c) of the Securities and Futures Act of Singapore (“SFA”) or (b)
are considered "accredited investors" as defined in section 2(1) of the Financial Advisers Regulations of Singapore read with section 4A(1)(a) of the SFA. Accordingly, if a recipient is neither an “institutional
investor” nor an “accredited investor”, they must immediately discontinue any use of this Report and inform MOCMSPL .
In respect of any matter arising from or in connection with the research you could contact the following representatives of MOCMSPL. In case of grievances for any of the services rendered by MOCMSPL
write to grievances@motilaloswal.com.
Nainesh Rajani
Email: nainesh.rajani@motilaloswal.com
Contact: (+65) 8328 0276
.
Specific Disclosures
1 MOFSL, Research Analyst and/or his relatives does not have financial interest in the subject company, as they do not have equity holdings in the subject company.
2 MOFSL, Research Analyst and/or his relatives do not have actual/beneficial ownership of 1% or more securities in the subject company
3 MOFSL, Research Analyst and/or his relatives have not received compensation/other benefits from the subject company in the past 12 months
4 MOFSL, Research Analyst and/or his relatives do not have material conflict of interest in the subject company at the time of publication of research report
5 Research Analyst has not served as director/officer/employee in the subject company
6 MOFSL has not acted as a manager or co-manager of public offering of securities of the subject company in past 12 months
7 MOFSL has not received compensation for investment banking/ merchant banking/brokerage services from the subject company in the past 12 months
8 MOFSL has not received compensation for other than investment banking/merchant banking/brokerage services from the subject company in the past 12 months
9 MOFSL has not received any compensation or other benefits from third party in connection with the research report
10 MOFSL has not engaged in market making activity for the subject company