Thematic Study | December 2025
30
th
ANNUAL WEALTH CREATION STUDY
(2020-2025)
India – The Multi-Trillion Dollar Opportunity
Compounding economy, compounding stocks
HIGHLIGHTS
The world is getting wealthier, and so is India
There is no absolute upper limit to financial wealth, albeit with
potholes on the way
India’s GDP quadrupled to USD 4 trillion in the last 17 years;
in the next 17, it can quadruple again to USD 16 trillion
In this Multi-Trillion Dollar opportunity, Financials (including
Capital Market) and Consumer discretionaries will see explosive
expansion as they hit the tipping point
The MTD era will see many compounding stocks
Large caps are likely to perform better in the medium term
TOP 10 WEALTH CREATORS (2020-2025)
BIGGEST
Rank
1
2
3
4
5
6
7
8
9
10
Company
Bharti Airtel
ICICI Bank
SBI
Bajaj Finance
Larsen & Toubro
ITC
HCL Technologies
Sun Pharma
M&M
NTPC
Wealth
Created
(INR b)
7,944
7,417
5,593
4,206
3,974
3,765
3,708
3,459
3,055
2,997
FASTEST
Company
BSE
Rail Vikas Nigam
Jindal Stainless
GE Vernova T&D
Persistent Systems
FACT
Dixon Technologies
Adani Power
Adani Enterprises
Hitachi Energy
5-year
Total Return
CAGR (%)
124
95
90
85
83
82
79
79
76
76
CONSISTENT
Company
Hind. Aeronautics
Welspun Corp
Bharat Dynamics
Indian Bank
Bharat Electronics
Jindal Steel
Patanjali Foods
Cholamandalam Invt.
Minda Corp
Radico Khaitan
No. of
5-year
years
Price
outperformed CAGR (%)
5
75
5
70
5
5
5
5
5
5
5
5
70
69
66
62
61
58
57
56
Raamdeo Agrawal
(Raamdeo@MotilalOswal.com) /
Shrinath Mithanthaya
(Shrinath.Mithanthaya@gmail.com)
We thank Mr Dhruv Mehta (Dhruv@SapientWealth.co.in) for his invaluable contribution to this report
Investors are advised to refer through important disclosures made at the last page of the Research Report
Motilal Oswal research is available on www.motilaloswal.com/Institutional-Equities, Bloomberg, Thomson Reuters, Factset and S&P Capital
 Motilal Oswal Financial Services
30th Annual Wealth Creation Study (2020-2025)
Motilal Oswal 30th Annual Wealth Creation Study
Page
Wealth Creation Study:
Objective, Concept & Methodology
....................... 1
Wealth Creation 2020-25:
Highlights
.......................................................... 2-3
Theme Study:
India – The Multi-Trillion Dollar Opportunity
.................. 4-37
Wealth Creation 2020-25:
Detailed Findings
......................................... 38-52
Appendix 1:
The 100 Biggest Wealth Creators
....................................... 54-55
Appendix 2:
The 100 Fastest Wealth Creators
....................................... 56-57
Appendix 3:
The 100 Most Consistent Wealth Creators
........................ 58-59
Appendix 4:
The 100 All-round Wealth Creators
................................... 60-61
Appendix 5:
The 100 Biggest Wealth Creators (alphabetical)
............... 62-63
Appendix 6:
The 100 Fastest Wealth Creators (alphabetical)
............... 64-65
Appendix 7:
Top 20 Fastest Wealth Creators by Mkt Cap Category
........... 66
Abbreviations and Terms used in this report
Description
References to years for India pertain to the financial year ending in March, unless
2020, 2025, etc.
otherwise stated
Avg
Average
CAGR
Compound Annual Growth Rate
INR bn
Indian Rupees in billion
L to P / P to L
Loss to Profit / Profit to Loss. In such cases, the calculation of PAT CAGR is not possible
Price CAGR
In the case of aggregates, Price CAGR refers to Market Cap CAGR
WC
Wealth Created
Wealth Created
Increase in Market Capitalization over the last five years, duly adjusted for corporate
actions such as fresh equity issuance, mergers, demergers, share buybacks, etc.
Note:
Capitaline database has been used for this study. Source of all exhibits is MOFSL analysis, unless otherwise stated
Abbreviation / Term
 Motilal Oswal Financial Services
30th Annual Wealth Creation Study (2020-2025)
Wealth Creation Study
Objective, Concept & Methodology
Objective
The foundation of Wealth Creation is to buy businesses at a price substantially lower than their
“intrinsic value” or “expected value”. The lower the market value compared to the intrinsic value,
the higher the margin of safety. Every year, as in the past 30 years, we endeavor to cull out the
characteristics of businesses and companies that create value for their shareholders.
As Phil Fisher says, “It
seems logical that even before thinking of buying any common stock, the
first step is to see how money has been most successfully made in the past.”
Our Wealth Creation
Studies are attempts to study the past as a guide to the future and gain insights into the various
dynamics of stock market investing.
Concept & Methodology
Wealth Creation is the process by which a company enhances the market value of the capital
entrusted to it by its shareholders. It is a basic measure of success for any commercial venture.
For listed companies, we define Wealth Created as the difference in market capitalization over a
period of last five years, duly adjusted for corporate events such as fresh equity issuance,
dividends, share buybacks, mergers, etc.
We start with the top 500 market cap companies in the base year, i.e., 2020, for this Study.
We define the
Biggest Wealth Creators
as the top 100 companies in descending order of Wealth
Created for five years, i.e., 2020-2025, for this Study. This is subject to the company’s Total Return
at least outperforming the benchmark index (Nifty 50 Total Return Index in our case). Over 2020-
25, Nifty 50 TRI return CAGR is 23.7%.
We define
Fastest Wealth Creators
as the top 100 companies delivering the highest Total Return
CAGR during 2020-2025.
We define
Consistent Wealth Creators
based on the number of years the stock has outperformed
in each of the last five years. Where the number of years is the same, the Total Return CAGR
decides the rank.
We define
All-round Wealth Creators
based on the summation of ranks under each of the three
categories – Biggest, Fastest, and Consistent. Where the scores are tied, the Total Return CAGR
decides the All-round rank.
Report structure
We present the 2020-2025 Wealth Creation Study highlights in pages 2-3. The detailed findings
are presented on pages 38-52. Appendix 1 (pages 54-55) presents the top 100 Biggest Wealth
Creators. Appendix 2 (pages 56-57) presents the top 100 Fastest Wealth Creators. Appendix 3
(pages 58-59) lists the Consistent Wealth Creators. Appendix 4 (pages 60-61) presents the All-
round Wealth Creators. Appendix 5 (pages 62-63) provides an alphabetical listing of the Biggest
Wealth Creators. Appendix 6 (pages 64-65) provides an alphabetical listing of the Fastest Wealth
Creators. Appendix 6 (page 66) carries the list of the top 20 Fastest Wealth Creators under various
market cap categories, namely, large, mid, small, and mini.
This year’s theme study, titled “India
– The Multi-Trillion Dollar Opportunity”,
is featured on
pages 4-37.
December 2025
1
 Motilal Oswal Financial Services
30th Annual Wealth Creation Study (2020-2025)
Wealth Creation 2020-25: Highlights
Wealth Created over 2020-25 at an all-time high of INR 148 trillion
During 2020-25, the top 100 Wealth Creators of India Inc created an all-time high wealth of INR
148 trillion, as March 2020 was a sharp low for the markets due to the covid-induced lockdown.
Pace of Wealth Creation at 38% CAGR is the highest in the last 17 study periods, also
significantly higher than the BSE Sensex return CAGR of 21%.
Exhibit 1
Wealth Created during 2020-25 at an all-time high of INR 148 trillion
Wealth Creation trend
(INR trillion)
92
71
29
70
138
148
14
16
25
27
10
22
34
16
18
28
39
45
49
26
Bharti Airtel is the Biggest Wealth Creator
At INR 7.9 trillion,
Bharti Airtel
is the biggest Wealth Creator over 2020 to 2025, followed
closely by
ICICI Bank
at INR 7.4 trillion.
Exhibit 2
Top 10 Biggest Wealth Creators (2020-25)
Rank Company
1
Bharti Airtel
2
ICICI Bank
3
SBI
4
Bajaj Finance
5
Larsen & Toubro
6
ITC
7
HCL Technologies
8
Sun Pharma
9
M&M
10 NTPC
Total of Top 10
Total of Top 100
L to P – Loss to Profit
Wealth Created
INR bn % share
7,944
7,417
5,593
4,206
3,974
3,765
3,708
3,459
3,055
2,997
46,117
147,988
5.4
5.0
3.8
2.8
2.7
2.5
2.5
2.3
2.1
2.0
31
100
CAGR (%)
Price PAT
32
34
33
33
35
24
33
38
57
36
34
38
30
40
37
26
10
5
9
24
L to P
16
25
30
P/E (x)
2025 2020
48
19
9
33
31
26
25
36
26
17
23
21
42
22
11
25
12
14
11
21
N.A.
8
16
16
RoE (%)
2025 2020
19
16
17
17
16
28
25
16
17
11
17
15
7
8
7
16
14
24
21
9
-1
9
10
8
BSE has emerged as the Fastest Wealth Creator
BSE
has emerged as the Fastest Wealth Creator with a Total Return CAGR of 124% over 2020-25.
INR 10 million invested equally in 2020 in the top 10 fastest Wealth Creators would be worth
INR 240 million in 2025, a return CAGR of 88% v/s 24% for the Nifty Total Return Index.
December 2025
2
 Motilal Oswal Financial Services
30th Annual Wealth Creation Study (2020-2025)
Exhibit 3
Top 10 Fastest Wealth Creators (2020-25)
Rank Company
1
2
3
4
5
6
7
8
9
10
BSE
Rail Vikas Nigam
Jindal Stainless
GE Vernova T&D
Persistent Systems
FACT
Dixon Tech.
Adani Power
Adani Enterprises
Hitachi Energy
Total Return
(x)
CAGR %
56
28
25
21
20
20
18
18
17
17
124
95
90
85
83
82
79
79
76
76
PAT
CAGR %
65
11
105
L to P
33
45
43
L to P
33
15
Mkt Cap (INR bn)
2025
2020
742
733
479
398
858
414
792
1,964
2,680
564
13
27
12
19
42
21
41
107
151
32
P/E (x)
2025 2020
53
57
19
65
63
1,880
108
15
66
147
12
4
17
N.A.
13
599
34
N.A.
16
16
Hindustan Aeronautics is the Most Consistent Wealth Creator
Hindustan Aeronautics
has emerged as the Most Consistent Wealth Creator. It has
outperformed the Nifty Total Return Index in all the last five years, and has the highest Total
Return CAGR of 75%.
RoE (%)
2025
2020
24
21
16
20
14
21
18
4
27
18
7
0
11
7
18
13
12
0
13
16
Exhibit 4
Top 10 Most Consistent Wealth Creators (2020-25)
No. of years of 2020-25 Total
2020-25
P/E (x)
Rank Company
outperformance Ret. CAGR (%)
PAT CAGR (%) 2025 2020
5
75
24
33
6
1
Hind. Aeronautics
5
70
13
19
2
2
Welspun Corp
5
70
1
85
6
3
Bharat Dynamics
5
69
67
6
3
4
Indian Bank
5
66
24
42
10
5
Bharat Electronics
5
62
210
26
677
6
Jindal Steel
5
61
42
50
22
7
Patanjali Foods
5
58
32
30
12
8
Chola. Investment
5
57
L to P
51
N.A.
9
Minda Corp
5
56
7
94
14
10
Radico Khaitan
Hindustan Aeronautics is the Best All-round Wealth Creator
We define All-round Wealth Creators based on the summation of ranks, under each of the 3
categories – Biggest, Fastest, and Consistent. Where the scores are tied, the Total Return
CAGR decides the All-round rank.
Based on this criterion,
Hindustan Aeronautics
has emerged as the Best All-round Wealth
Creator.
Exhibit 5
Top 10 All-round Wealth Creators (2020-25)
All-round
Rank
Rank
Company
Biggest
Fastest
1
Hind. Aeronautics
12
11
2
Bharat Electronics
22
23
3
Adani Power
27
8
4
BSE
66
1
5
Persistent Systems
60
5
6
Rail Vikas
68
2
7
Indian Bank
67
17
8
Varun Beverages
30
30
9
Trent
29
33
10
Jindal Steel
57
32
Total of
Ranks
24
50
53
81
82
85
88
89
93
95
2020-25 Total
Return CAGR (%)
75
66
79
124
83
95
69
63
62
62
Consistent
1
5
18
14
17
15
4
29
31
6
Detailed findings page 38 onwards.
December 2025
3
 Motilal Oswal Financial Services
30th Annual Wealth Creation Study (2020-2025)
Theme Study
December 2025
4
 Motilal Oswal Financial Services
30th Annual Wealth Creation Study (2020-2025)
India – the Multi-Trillion Dollar Opportunity
Compounding economy, compounding stocks
“There is no absolute upper limit to financial wealth”
– Professor John Edmunds in his book
The Wealthy World
1. In a nutshell
The key points in this report are –
The world is getting wealthier by the day, and so is India.
As an economy gets wealthier, the Wealth Effect kicks in, which further boosts economic
growth, which in turn, propels wealth, creating a virtuous cycle of growth and wealth creation.
India’s GDP quadrupled from USD 1 trillion to USD 4 trillion in the last 17 years. In the next
17 years, we expect it to quadruple again to USD 16 trillion.
This is a Multi-Trillion Dollar (MTD) Opportunity for many businesses to explode, especially
Financials (including Capital Market) and Consumer Discretionaries such as Autos, Consumer
Durables, Healthcare, etc.
This MTD era will see several compounders. We identify 30 such compounders here.
2. This study’s bedrock – Wealthier world, wealthier India
The virtuous cycle of wealth creation and economic growth
The major inspiration for this study is a set of two pathbreaking books by Professor John Edmunds
of Babson College in the US –
The Wealthy World
(published in 2001) and followed up with
Brave
New Wealthy World
(published in 2003).
The key takeaways from both books combined are –
The world is getting wealthier by the day
There is no limit to how much financial wealth can be created
Financial wealth can expand at a pace that real output can never match
Securitization – i.e., transforming the ownership of large businesses into tradable bits by way
of bonds and stocks – has become the most powerful engine of wealth creation in today’s
world economy.
A spurt in financial wealth can lift millions of people from poverty faster than income can.
Some of the above points can be easily backed by data.
2.1 The world is getting wealthier by the day
There are two broad categories of household wealth –
1. Real (mainly real estate and gold) and
2. Financial (equity stocks, bonds, and cash & bank deposits).
December 2025
5
 Motilal Oswal Financial Services
30th Annual Wealth Creation Study (2020-2025)
Increasingly, financial wealth is dwarfing real wealth globally. Further, within financial wealth, it’s
equity stock wealth that is increasingly tracked and has the potential to make a meaningful
difference in the lives of people. For instance, in its October 2025 study, McKinsey Global Institute
places global household financial assets at USD 570 trillion. Of this, equity accounts for the lion’s
share of 41% followed by currency & deposits at 25%.
So, in this study, we consider the equity market cap as a good representation of household
financial wealth. Exhibit 1 below suggests how the world is getting wealthier by the day.
Exhibit 1
The world is getting wealthier by the day
Global Market Cap (USD tn)
20-year CAGR: 7%
81
41
50
60
45
32
52
46 52
62 65
64
66
87
70
122
103
98
111
124
147
2.2 There is no limit to how much financial wealth can be created
It is believed by many, even now, that the ratio Market Cap-to-GDP of 1x is a limit to how much
equity wealth can be created. However, data suggests that this is not the case. Relentless
securitization and globalization of corporate profits can expand Market Cap to well beyond GDP,
as is evident in well-organized capital markets like the US and India.
Exhibit 2
There is no limit to how much financial wealth can be created
Global GDP and Market Cap to GDP
Global GDP - USD tn
1.1
0.8 0.9
1.0 1.0
0.7 0.8
Mkt Cap-to-GDP (x)
1.2 1.2
1.0
1.3
1.0
1.0
1.1
0.3
0.4
0.2
0.4
0.3
0.5
0.6
0.7
0.9
0.8 0.8
0.8
1.0
0.8
December 2025
6
 Motilal Oswal Financial Services
30th Annual Wealth Creation Study (2020-2025)
Exhibit 3
US Market Cap-to-GDP on a relentless rise as corporate profits increasingly become global
US GDP and Market Cap to GDP
GDP - USD tn
1.7
1.2 1.2
1.3 1.2
0.9
0.6
0.3
0.3 1
0.5
1
3
6
0.5
1.3 1.4 1.3 1.3
Mkt Cap-to-GDP (x)
2.0
2.3
1.8
2.1
1.6
1.5
1.3
1.6
29
26
28
22
21 24
19
20 21
18
16
16 17 18
13 14 14 15
14
15
10 12
0.7
0.9
1.0
1.0
1.0
An important caveat:
The road of financial wealth and prosperity will have its fair share of
potholes. We have already seen the dotcom bust, the global financial crisis, pandemic, wars, etc.
All these and more could appear in some form or another going forward. But, as was the case in
the past, they will only temporarily break the journey, not derail it.
2.3 Financial wealth can expand at a pace that real output can never match
Exhibit 4 clearly establishes this fact. The main reasons are (in Prof Edmunds’s words) –
“Traditional economic theory holds that growth is slow and rooted in expanding production
capacity and knowledge.”
In contrast, “The worldwide total of these
(financial)
assets has grown rapidly … because
middle-class people around the globe are buying more of these assets every month.”
Exhibit 4
Market cap growth is consistently faster than GDP growth
CAGR
20-year
15-year
10-year
5-year
World
Mkt Cap
GDP
7%
5%
7%
4%
9%
4%
7%
6%
US
Mkt Cap
GDP
7%
4%
11%
5%
10%
5%
13%
6%
India
Mkt Cap
14%
9%
11%
25%
GDP
9%
7%
7%
7%
Note:
Both Market Cap and GDP returns in dollar terms
Slowing inflation and falling interest rates are lowering returns on other asset classes such as
bank deposits. Hence, it is fair to expect that people will increasingly take to equities, which will
sustain the above phenomenon.
2.4 India, too, is getting wealthier by the day
In keeping with the world, India too is getting wealthier by the day. Over the last 20 years, India’s
market cap in rupee terms has clocked a robust 17% CAGR. Market cap-to-GDP is up from 0.5x in
2005 to 1.3x in 2025.
December 2025
7
 Motilal Oswal Financial Services
30th Annual Wealth Creation Study (2020-2025)
Exhibit 5
India, too, is becoming wealthier by the day
India - Market Cap & Market Cap to GDP
Mkt Cap (INR tn) - 20-yr CAGR of 17%
Mkt Cap/GDP (x)
1.1
1.0
1.0
1.3 1.3
1.1
1.0
389 416
0.8
0.8
0.9
0.7
0.6
0.7
0.8
0.7
0.8
0.8 0.8
0.6
0.5
144 152
114
102 95 122
17 30 36 52 31 62 69 62 64
75
0.6
205
265 260
India has also moved up in the global market cap rankings from 7
th
in 2007 to 4
th
in 2024, with its
share of global market cap rising from 3.0% to 4.2%.
Exhibit 6
India’s global market cap rank is steadily climbing
2007 Mkt Cap
Rank Country
(USD tn)
1 US
17.7
2 Japan
4.5
3 UK
4.0
4 China
3.9
5 France
2.7
6 Germany
2.2
7 India
1.8
8 Canada
1.7
9 Russia
1.5
10
Australia
1.4
Total of above
40
World
60
Share of
World
29.6%
7.6%
6.8%
6.4%
4.6%
3.7%
3.0%
2.9%
2.5%
2.4%
67%
100%
Rank Country
1 US
2 China
3 Japan
4 India
5 Canada
6 UK
7 France
8 Saudi Arabia
9 Germany
10
Switzerland
Total of above
World
2024 Mkt Cap Share of
(USD tn)
World
62.0
50.1%
10.0
8.1%
6.4
5.2%
5.2
4.2%
3.1
2.5%
3.1
2.5%
2.9
2.4%
2.7
2.2%
2.4
1.9%
2.0
1.6%
98
79%
124
100%
2.5 Impact of significant wealth creation – the “Wealth Effect”
The impact of significant wealth creation is what behavioral economics calls the “Wealth
Effect”.
Simply said, Wealth Effect suggests that consumers spend more as the value of their assets, such
as stocks and real estate, rises. This increased spending occurs because people feel more
financially secure and confident, even if their income has not changed. Conversely, a decline in
asset values can lead to reduced consumer confidence and spending.
The Wealth Effect is particularly important in the US, where over 60% citizens own stocks. Thus,
the rise and fall in the value of stocks influences their consumption behavior, which has a
meaningful impact on economic growth.
Despite its importance,
Wealth Effect defies precise measurement.
Various studies place the
Wealth Effect in the US, ranging from 2-6 cents per dollar. In other words, if the value of assets
rises by 1 dollar, US consumers are likely to spend an additional 4 cents on average, i.e., 4%.
December 2025
8
 Motilal Oswal Financial Services
30th Annual Wealth Creation Study (2020-2025)
2.6 Wealth effect and India
The concept of Wealth Effect has far-reaching implications for India than the US. This is so
because India’s per capita income is about USD 2,650, i.e., less than INR 240,000 per annum or
INR 20,000 per month. Further, considering income inequality, the per capita income is
successively lower as one moves down the income pyramid.
Low per capita income implies a
high Marginal Propensity to Consume (MPC),
i.e., every
additional rupee of income in the hands of the lower income class is likely to be almost entirely
spent on goods and services. In such a situation comes the wealth effect.
As wealth in India is highly concentrated, the first signs of Wealth Effect are visible in big-ticket
activity by the upper classes – premium homes, luxury vehicles, lavish weddings, etc. However,
MPC in the upper class is very low. Among the middle class, rising ownership of equity and mutual
funds is barely a five-year-old phenomenon when covid-19 caused regulators to allow digital
onboarding of potential investors.
Thus, we believe, the wealth effect has not yet fully played out in India. Yet it holds tremendous
potential as tabled below.
Exhibit 7
Illustration of how Wealth Effect could potentially play out in India
Market cap - March 2025
Market cap - March 2024
Delta Market Cap - Proxy for additional wealth
Wealth Effect (say, higher than the US due to higher MPC)
Additional spending on goods and services in FY26
FY25 GDP
Additional GDP growth in FY26 due to Wealth Effect
(A)
(B)
(C) = (A) - (B)
(D)
(E) = (C) x (D)
(F)
(G) = (E) ÷ (F)
INR tn
416
389
27
5%
1.35
331
0.4%
Note:
The above calculation does not consider the GDP multiplier effect, which will boost growth further
Going by the above, Wealth Effect can meaningfully push up economic growth. This implies
higher sales and profits for the corporate sector, which raises the value of equity assets further,
which in turn drives up the Wealth Effect, i.e.,
a virtuous cycle of economic growth and wealth
creation.
Such Wealth Effect significantly supports our next argument that India’s macro-
economic growth story will sustain for a long time to come.
3. Indian’s macroeconomic story – from NTD to MTD
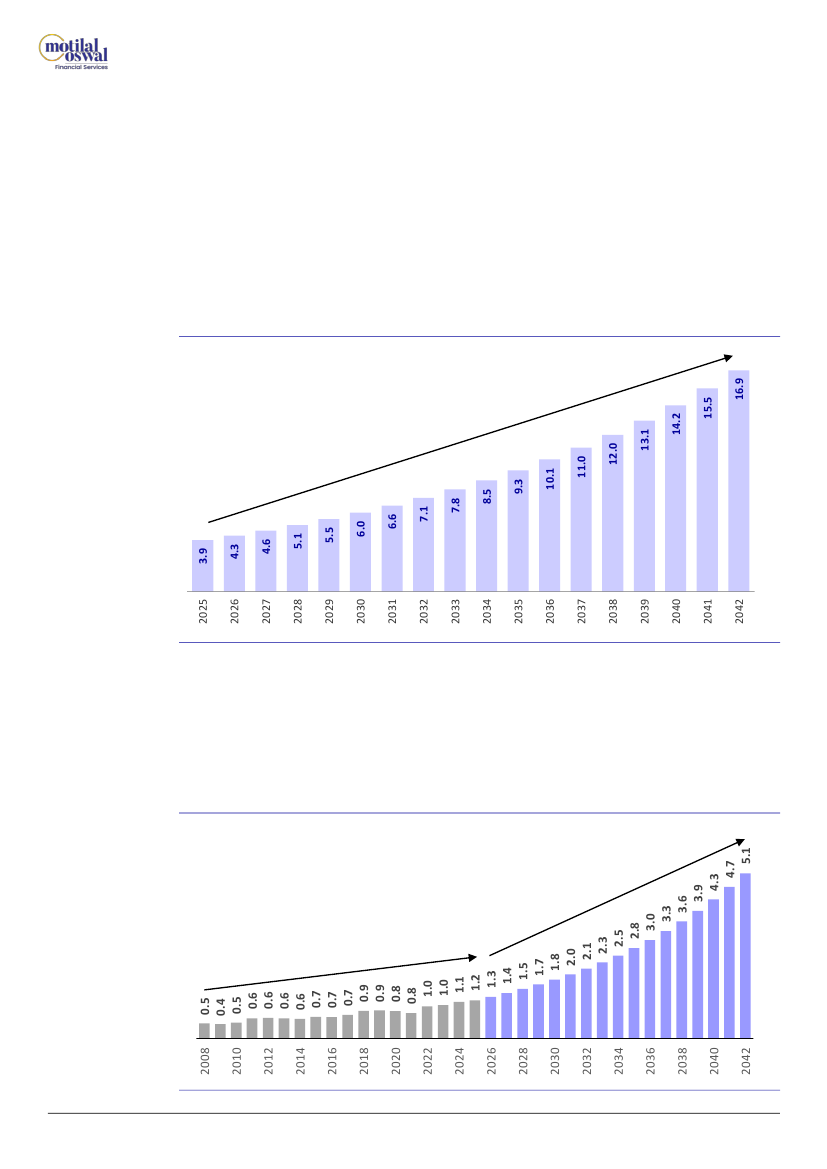
Expect GDP to expand even on an ever-rising base
In this section, we do a 17-year flashback of the India story from 2007 to date (the NTD era),
followed by a 17-year flashforward to 2042 (the MTD era).
3.1 The NTD era: GDP quadruples from USD 1 trillion to USD 4 trillion
In our 2007 Wealth Creation Study, we introduced the concept of
NTD, i.e., Next Trillion Dollar
of GDP
for India. The core thesis of NTD was as under –
It took India 60 years post-Independence to clock its first trillion dollar of GDP in 2007 (FY08).
December 2025
9
 Motilal Oswal Financial Services
30th Annual Wealth Creation Study (2020-2025)
However, due to the power of compounding even on the higher base, the NTD would arrive
in a much shorter period of five years, i.e., a CAGR of about 15%, the same as that of India’s
journey from USD 0.5 trillion GDP to USD 1 trillion.
Exhibit 8
The original NTD argument
The Original NTD Chart (USD bn)
USD 100 bn to USD 1 tn - 30 years
USD 1 tn to USD 2 tn - 5 years
Second USD Trillion in 5 years
CAGR of 15%
First USD Trillion
CAGR of 16% in 5 years
CAGR of 6% for 25 years
The NTD phenomenon would drive
exponentiality
in several macro and micro aspects–
Consumption
– discretionary products like air-conditioners and cars
Government finances
– led by buoyant tax revenues
Investment
– given improved government finances and public-private partnerships
Sectors
like Financial services, Wireless Telecom, Cars, Engineering & Construction,
Cement, and Steel, and finally,
Corporate sector profits.
The post-mortem
We were directionally right.
The NTD did indeed happen, but in 2015 versus the expected 2012, i.e., a compounding of
10% versus the expected 15%.
Looking back, we could attribute this delay to:
1. Sharp 6% compounded depreciation of the rupee v/s our assumption of a flat USD-INR
2. The global financial crisis of 2009
3. Followed by a long spell of policy paralysis in India.
3.1.1 Extending the NTD idea
Along the way, we extended the core NTD idea into the
NTD era.
The core thesis here is that after
the first trillion dollars of GDP, successive NTDs would take much shorter periods. Looking back,
the second trillion-dollar took seven years (2008 to 2015), as did the third (2015 to 2022).
The main reasons here were –
A series of short-term economic disruptions
– demonetization, teething troubles of GST
launch, Insolvency & Bankruptcy Code, Real Estate Regulation Act (RERA), etc., and the most
important of all,
December 2025
10
 Motilal Oswal Financial Services
30th Annual Wealth Creation Study (2020-2025)
Covid-led stagnation
of economic activity for almost a year and a half.
It’s the fourth trillion dollar of GDP where the NTD thesis held true, as it came in about three
years at a CAGR of around 9%. Exhibit 9 presents the full picture of the NTD era – GDP quadrupling
from USD 1 trillion to USD 4 trillion over 17 years, at a CAGR of around 8%.
Exhibit 9
India’s NTD era growth was slower than expected
India's NTD era: 17-year CAGR of 8%
(GDP in USD trillion)
7 years
CAGR 6%
7 years
CAGR 10%
3 years
CAGR 9%
4th tn
3rd tn
2nd tn
1st tn
3.1.2 Low market returns on the back of weak corporate profit growth
The NTD era is marked by low Nifty 50 returns of 9-11% for every NTD. This is on the back of weak
corporate profit growth – Nifty EPS CAGR over 2008 to 2025 is just 8%. A semblance of earnings
revival is in the USD 3 trillion to USD 4 trillion journey, with Nifty EPS clocking a 12% CAGR.
There is a high probability of improving upon this level of earnings growth in the MTD era.
Exhibit 10
India’s NTD era: Muted Nifty 50 CAGR of 10% on the back of 8% earnings CAGR
Nifty 50
Nifty 50 EPS: 2008-25 CAGR of 8%
Nifty 50: 2008-25 CAGR of 10%
251
December 2025
11
 Motilal Oswal Financial Services
30th Annual Wealth Creation Study (2020-2025)
3.2 From NTD to MTD: Expect GDP to quadruple again to USD 16 trillion
MTD stands for
Multi-Trillion Dollar opportunity.
India’s past GDP growth track record, coupled
with the Wealth Effect discussed earlier, makes us extremely confident about India’s future
economic growth over the very long term.
Over the last 20 years, India has clocked a dollar GDP CAGR of 9%
(rupee GDP CAGR of 12%,
deflated by rupee depreciation CAGR of 3%). We believe there’s a very high probability of this
rate of growth sustaining over the next 17 years through to 2042. Thus,
in this MTD era, we see
India’s GDP quadrupling again –
from USD 4 trillion in 2025 to USD 16+ trillion in 2042.
Exhibit 11
India: From NTD to MTD – Expect GDP to quadruple again to USD 16 trillion by 2042
India's MTD era: 2025 to 2042
(GDP in USD trillion)
17-year CAGR of 9%
The 9% annual GDP growth rate appears modest. But the thing to note is the ever-rising base.
Thus, 17 years out, GDP will be USD 12 trillion higher than the current levels. Further, building in
1% annual population growth,
per capita GDP doubles every nine years
– from USD 2,600
currently to USD 5,200 by 2034 and USD 10,400 by 2043. Finally, cumulative Gross Domestic
Saving will climb from USD 13.5 trillion in the NTD era to USD 47 trillion in the MTD era.
Exhibit 12
India: From NTD to MTD – Expect a savings tsunami of USD 47 trillion from 2025 to 2042
India's MTD era: 2025 to 2042
Gross Domestic Saving (USD tn)
2026-42 cumulative:
USD 47 tn
2008-25 cumulative:
USD 13.5 tn
December 2025
12
 Motilal Oswal Financial Services
30th Annual Wealth Creation Study (2020-2025)
All of the above combined spell a massive opportunity for almost every single business. Hence,
from the equity investing point of view, it becomes critical to profit from this opportunity by
picking the right stocks for the MTD era.
For this, we proceed to gain insights into sectors and stocks from the 17-year NTD era, which can
then be suitably applied for the MTD era.
4. From macro to micro – Defining & identifying compounders
Steady 15%+ return CAGR over the very long term
A true investor – as opposed to a speculator – aspires to create and own a portfolio of
long-term
compounders,
i.e., stocks offering consistent market-beating returns over a very long time
period. Annexure 2 (Page 33) makes a case for investing in long-term compounders. For ease of
use, in the rest of the report, we simply call such stocks compounders (long-term is implicit).
4.1 Compounders: Definition and characteristics
There is no standard definition of compounders. Generally speaking, they are
shares in high-
quality companies that can be held for an extended period
(say, ten years or more), and allow
the capital gains to generate further returns, leading to exponential wealth accumulation. This
"snowball effect" is driven by a “buy-and-hold” approach, without reacting to short-term market
fluctuations.
Key characteristics of compounders
Compounding returns:
This is the very definition itself. The fundamental principle is earning
"returns on returns". Compounders continue to deliver returns even on an ever-expanding
base principal.
Extended time horizon:
Compounding requires time to be effective. A long-term perspective
(typically 10+ years) is essential to ride out short-term market volatility and fully benefit from
the exponential growth curve.
Quality companies:
Compounders have a long track record of business success, strong
management teams, and sustainable growth potential.
Patience and discipline:
Reaping the full benefit of compounders entails patience and
discipline on the part of investors, resisting the temptation to react emotionally to market
dips or chase short-term gains.
Tax efficiency:
In many countries, gains on assets held for a longer period (e.g., over one year
in India) are subject to lower capital gains tax rates compared to short-term gains. Such tax
efficiency further enhances the compounding effect on net stock returns.
4.2 Identifying Compounders
We translated the definition and characteristics of compounders into a quantitative methodology
to identify compounders in the NTD era. Though based on “perfect hindsight”, a study of the final
stocks identified holds insights for creating a portfolio of compounders for the MTD era.
December 2025
13
 Motilal Oswal Financial Services
30th Annual Wealth Creation Study (2020-2025)
The compounder-identifying methodology
Demarcating the NTD era:
As a recap, the NTD era is a 17-year period from 2008 to 2025
during which India’s GDP quadrupled from USD 1 trillion to USD 4 trillion. To mitigate the
impact of short-term shocks and disruptions such as the global financial crisis and covid-19,
we demarcated the NTD era into two distinct periods –
1. Period 1 (2008 to 2015)
– the 7-year period during which India’s GDP doubled to USD 2
trillion
2. Period 2 (2015 to 2025)
– the 10-year period during which GDP doubled again to USD 4
trillion.
Top 500 stocks in 2008:
We started the compounder shortlisting process from within the top
500 market-cap stocks in 2008. This ensured that only meaningful and practically investible
stocks were identified, rather than mere academic ones.
Sales growth higher than nominal GDP growth over 2008 to 2025:
Our case for the MTD era
is sustained growth in India’s GDP. So, compounders need to play on this phenomenon.
Nominal GDP growth from 2008 to 2025 is about 12%. So, of the top 500, we shortlisted
companies whose 2008-25 Sales CAGR is at least 12%. This dramatically reduced the 500
number to 137 companies.
15% Price CAGR over 2008-25:
Next, compounders should deliver market-beating returns
over a very long term. During 2008 to 2025, the benchmark Nifty 50 CAGR was a modest 10%.
So, we shortlisted stocks that delivered a clear alpha of a minimum 5 percentage points over
Nifty 50, i.e., 2008 to 2025 price CAGR of 15%. There were 115 such stocks out of the top 500.
The list of 137 companies was more than halved to 61.
Outperformance in both the NTD periods:
A key characteristic of compounders is steady
returns over time and not volatile point-to-point returns. To quantitatively ensure this, we
incorporated an additional filter – besides delivering 15% Price CAGR over 17 years, the stocks
should also outperform the benchmark in both the periods listed earlier.
35 compounders during the NTD era:
The above process left us with 35 high-quality
compounders during the NTD era, presented in Exhibit 13, page 15.
4.3 Key takeaways from NTD era compounders
We found some very insightful takeaways from the list of NTD era compounders, which will help
us create the India MTD Portfolio.
4.3.1 Compounders are very few, and they offer handsome returns
Of the starting list of top 500 companies in 2008, only 35 (7%) ended up as compounders.
Their average Price CAGR over 2008-25 is a handsome 23%.
Thus, steady compounders are very few. Accurately identifying them and, equally
important, holding on to them for the long term, creates enormous wealth with minimum
incremental effort.
Implication for the India MTD Portfolio:
Exercise due care in picking stocks based on macro and micro insights regarding the MTD era.
December 2025
14
 Motilal Oswal Financial Services
30th Annual Wealth Creation Study (2020-2025)
Exhibit 13
The NTD Era Compounders
Company
Bajaj Finance
Eicher Motors
SRF
TVS Motor
Solar Industries
Torrent Pharma
Coforge
Tata Elxsi
Titan Company
Abbott India
Balkrishna Inds
Chola. Investment
Berger Paints
Pidilite Inds
J K Cements
Godrej Consumer
Apar Inds
Apollo Hospitals
HCL Technologies
Schaeffler India
Ipca Labs
Asian Paints
Timken India
Divi's Labs
Motilal Oswal
CRISIL
TCS
Birlasoft
Indraprastha Gas
M&M
UltraTech Cement
Maruti Suzuki
Kotak Mahindra
HDFC Bank
3M India
2008-25 CAGR
Price
PAT
39%
48%
37%
30%
34%
13%
34%
L to P
33%
23%
30%
17%
29%
11%
28%
17%
27%
20%
27%
20%
25%
17%
25%
30%
25%
16%
25%
16%
22%
7%
22%
16%
21%
16%
21%
19%
21%
19%
21%
16%
21%
11%
19%
14%
19%
16%
19%
11%
19%
18%
19%
13%
18%
14%
18%
14%
17%
14%
17%
13%
17%
11%
17%
13%
17%
20%
17%
25%
16%
12%
Sales
34%
13%
14%
17%
21%
13%
16%
14%
19%
15%
14%
21%
13%
13%
13%
17%
15%
19%
17%
16%
13%
12%
14%
14%
16%
13%
15%
14%
20%
12%
17%
13%
19%
23%
12%
P/E (x)
2008
2025
59
33
13
31
5
70
N.A.
53
21
81
9
57
5
68
9
41
30
82
12
46
10
32
18
30
12
50
20
69
4
48
20
63
11
27
42
68
17
25
15
57
11
45
28
57
26
46
24
70
12
15
33
74
16
27
12
21
11
17
10
26
10
56
14
25
22
20
29
20
38
68
RoE
2008
2%
13%
17%
-8%
19%
26%
29%
44%
35%
29%
26%
9%
26%
28%
35%
93%
22%
6%
23%
25%
23%
42%
15%
40%
22%
29%
41%
20%
30%
27%
37%
20%
17%
14%
23%
2025
17%
22%
10%
25%
29%
25%
12%
27%
29%
33%
15%
18%
19%
21%
13%
16%
18%
17%
25%
18%
12%
20%
16%
15%
23%
26%
52%
15%
16%
17%
9%
15%
14%
14%
26%
4.3.2 Of the 35 compounders, 24 (69%) are from sectors with tailwind
The term “tailwind” – and its opposite “headwind” – is borrowed from aviation. Thus, tailwind –
i.e., wind blowing in the direction of the aircraft – causes it to reach its destination ahead of
schedule, whereas headwind – i.e., wind blowing against the aircraft delays its arrival.
In business, "tailwind" refers to favorable conditions or factors that help a company grow and
succeed, while "headwind" refers to unfavorable conditions that hinder progress. Tailwinds and
headwinds typically first reflect at the sector level, and are best measured by non-financial
metrics such as sales volume, customer additions, product price movements, etc.
However, in India, such data is available for very few sectors, such as Autos and Financials. Hence,
we are compelled to rely on financial aggregates of sectors to infer tailwind or headwind. For this
December 2025
15
 Motilal Oswal Financial Services
30th Annual Wealth Creation Study (2020-2025)
study, we deemed a sector to enjoy a tailwind if its aggregate sales CAGR over 2008-25 was faster
than nominal GDP CAGR (12%) over the same period. By this measure, the following 20 sectors
enjoyed a tailwind in the NTD era –
Agro Chemicals
Airlines
Auto Ancillaries
Automobiles - 2-3 Wheelers
Automobiles - Cars/UVs
Automobiles - LCVs/HCVs
Banks - Private Sector
Banks - Public Sector
Cables
Capital Market
Cement
E-commerce
Finance
Gems & Jewelry
Healthcare
IT
Mining / Minerals
Paints/Varnish
Pharmaceuticals
Retail
Of the 35 NTD era compounders, as many as 24 (a high 69%) are from sectors with tailwind.
Implication for the India MTD Portfolio:
Prefer stocks from sectors likely to enjoy a tailwind from 2025 to 2042.
4.3.3 Of the 35 compounders, 21 (60%) are from consumer-facing businesses
Consumer-facing (B2C, Business-to-Consumer) businesses tend to be more stable, secular, and
predictable than B2B (Business-to-Business) and B2G (Business-to-Government) businesses.
This is because consumer behaviors tend to change very slowly. In contrast, B2B and B2G
businesses are prone to business cycles and are more vulnerable to changing technologies. B2C
businesses also tend to have greater pricing power than B2B and B2G businesses. In the latter
cases, the customers are typically large and may look for alternative suppliers if a particular
company chooses to exercise its pricing power. As a result, Return on Capital also tends to be low
in B2B and B2G businesses over their B2C counterparts.
Of the 35 NTD era compounders, 21 (60%) are from B2C businesses.
Implication for the India MTD Portfolio:
As the investment horizon is long, as far as possible, prefer B2C companies over B2B and B2G.
4.3.4 Of the 35 compounders, 27 (77%) were market leaders in the base year 2008
This is a highly significant finding. Market leaders (the top 3 in a given business) tend to enjoy a
high share of the current and future profit pool of their respective sectors. They also have the
scale and the financial power to withstand and recover from the occasional macroeconomic and
sector-specific shocks that may adversely affect their smaller counterparts.
Of the 35 NTD era compounders, as many as 27 (77%) were market leaders in the base year 2008.
Implication for the India MTD Portfolio:
As the popular saying goes, “To finish first, you have to first finish.” Given the long investment
horizon, prefer market leaders as they are more likely to survive and thrive than their smaller
rivals.
December 2025
16
 Motilal Oswal Financial Services
30th Annual Wealth Creation Study (2020-2025)
4.3.5 Of the 35 compounders, 28 (80%) enjoyed 15%+ RoE in the base year 2008
This is yet another highly significant finding. Economic theory holds that whenever a sector’s or
a company’s RoE (Return on Equity) exceeds CoE (Cost of Equity), competition will enter and beat
down RoEs. Hence, sustaining RoE above CoE is a reflection of both high quality business run by
a high-quality management.
Of the 35 NTD era compounders, as many as 28 (80%) enjoyed 2008 RoE in excess of 15%, which
may be deemed to be the then CoE.
Implication for India MTD Portfolio:
Current CoE is around 12% (the long-period return of benchmark equity indices). Hence, ensure
that most companies in the India MTD Portfolio enjoy RoE meaningfully higher than 12%.
4.3.6 Of the 35 compounders, 19 (54%) had 2008 P/E lower than the then Nifty P/E 17x
To state the obvious, stock returns are typically propelled by two engines – earnings growth and
valuation re-rating. As Exhibit 13 shows, almost every compounder enjoyed both engines. Thus,
the lower the P/E higher the chances of the second engine firing.
Of the 35 NTD era compounders, 19 (54%) had a 2008 P/E lower than the then Nifty 50 P/E of 17x.
Implication for the India MTD Portfolio:
A reasonable purchase price is non-negotiable in equity investing.
Having analyzed the NTD era compounders, we proceed to the next steps for the India MTD
Portfolio –
1. Choosing sectors that are most likely to enjoy a tailwind in the MTD era, and
2. Shortlisting potential stocks based on a robust investment framework.
5. The MTD era – Choosing tailwind sectors
Mainly Financials (including Capital Market) and Consumer Discretionaries
Thus far in this Study, we have covered the following major points –
The world and India are getting wealthier by the day
This will strengthen Wealth Effect, which in turn will propel India’s economic growth
During India’s 17-year NTD era (2008 to 2025), its GDP quadrupled from USD 1 trillion to USD
4 trillion
This NTD era saw 20 sectors with tailwind
The era produced 35 compounders, which delivered a 17-year average return CAGR of 23%
India is poised to enter the MTD era – a long period of sustained economic growth which will
create trillions of dollars of opportunities for many businesses.
This brings us to a crucial task in building an India MTD Portfolio – identifying the tailwind sectors.
To achieve this, we used a combination of both macro and micro approaches –
1. Trend in per capita GDP
2. Analysis of Private Final Consumption Expenditure (PFCE)
December 2025
17
 Motilal Oswal Financial Services
30th Annual Wealth Creation Study (2020-2025)
3. Sector grouping and
4. Specific sector insights.
5.1 Trend in per capita GDP
During India’s MTD era, its per capita GDP will also quadruple – first doubling from USD 2,600 to
USD 5,200 in 9 years, and the second doubling to USD 10,400 in the next 9 years.
Exhibit 14
India’s per capita GDP will quadruple in the next 18 years
Per capita GDP trend in India's MTD era
(USD)
CAGR of 8%
This rise in per capita income will lead to a
tipping point of demand
in several sectors at different
points in time. Consider Exhibit 15, for instance, which presents output growth for select products
when China’s GDP doubled from USD 2,700 in 2007 (India’s current level) to USD 5,600 by 2011.
Exhibit 15
China’s output when per capita GDP doubled from 2007 to 2011
GDP (USD bn)
Per capita GDP (USD)
Discretionaries
Cars (mn)
Home Refrigerators (mn)
Air Conditioners (mn)
Home Washing Machines (mn)
Motorcycles (mn)
Necessities
Salt (mn tons)
Refined Sugar (mn tons)
2007
3,612
2,734
2011
7,625
5,652
CAGR
21%
20%
5
44
80
40
25
10
87
139
67
27
21%
19%
15%
14%
2%
62
13
67
12
2%
-2%
Clearly, output of most discretionaries was robust, whereas necessities languished. Expect this
phenomenon to play out in India too.
December 2025
18
 Motilal Oswal Financial Services
30th Annual Wealth Creation Study (2020-2025)
5.2 Analysis of Private Final Consumption Expenditure (PFCE)
Exhibit 16 presents a basic analysis of India’s PFCE. The key takeaways spell potential –
Durables
– Cars, 2-wheerlers, White goods, Home appliances – will be the clear winners of
India’s MTD era, with sales growth rates sustaining around 20% at least.
Services
will continue their uptrend even on an ever-rising base.
Exhibit 16
India’s PFCE analysis spells huge potential for Autos, Consumer Durables, Financials, and Healthcare
INR tn
GDP
PFCE
% of GDP
Goods
% of PFCE
Non- & Semi-durables
% of PFCE
Durables
% of PFCE
Services
% of PFCE
2008
49
27
56%
15
55%
14
52%
0.8
3%
12
45%
2025
331
203
61%
102
50%
95
47%
6.6
3%
101
50%
2042E
2,270
1,476
65%
664
45%
517
35%
148
10%
812
55%
2025-42
Multiple CAGR
7
7
12%
12%
Remarks
% will rise, led by the Wealth Effect
7
5
22
9%
8%
20%
Food, Clothing, FMCG
Cars, 2-wheelers, White goods
% could rise to current US levels
Financials, Healthcare, Hospitality
8
13%
5.3 Sector grouping
Based on insights from all of the above, we classified about 63 sectors into eight major groups.
This helped us narrow down our consideration set of sectors, as tabled in Exhibit 17.
Exhibit 17
Sector grouping helped us narrow down our consideration set
Group
Consideration set
Autos
Capex
Consumer-facing
Financials
Non-consideration set
Agri-based
Commodity
External
Utilities
Major sectors covered
Cars/UVs, 2-wheelers, CVs
Capital Goods, Engineering, Realty
FMCG, Durables, Healthcare, Telecom
Banks, NBFCs, Capital Market, Insurance
Remark
A strong discretionary play
Must for India's growing economy
Quite a few discretionary segments
Non-negotiable for any economy
Fertilizers, Agro chemicals, Sugar
Oil & Gas, Metals, Cement, Chemicals
IT, Pharma to some extent
Power generation & supply
No exponential play
Unpredictable & volatile
Not plays on India's MTD era
Exponential growth unlikely
5.4 Specific sector insights
We provide key investment points and exhibits for major sectors in the consideration set.
5.4.1 Financials (Banks & NBFCs) – Prime movers of the economy
December 2025
Despite steady growth, India’s retail credit penetration remains far below global standards.
Banking sector credit growth is consistently higher than GDP growth (Exhibit 18).
19
 Motilal Oswal Financial Services
30th Annual Wealth Creation Study (2020-2025)
Asset quality of the banking sector has dramatically improved in the recent past, leading to
a sharp drop in credit cost (Exhibit 19).
NBFCs are asserting themselves in India’s credit market (Exhibit 20).
As prime movers of the economy, expect banks and NBFCs to thrive in India’s MTD era.
Exhibit 18
Expect credit growth to be consistently higher than GDP growth
Banking Sector Credit trend
200
160
120
80
40
0
Bank Credit (INR tn)
% to GDP (RHS)
40%
35%
30%
25%
20%
15%
10%
5%
0%
Exhibit 19
Banking sector’s asset quality has dramatically improved in the recent past
Indian Banking Sector - Credit Cost
GNPA (%)
NNPA (%)
11.2%
9.3%
9.3%
8.5%
7.5%
5.3%
6.0%
3.8%
7.5%
5.9%
3.9%
2.3%
2.3% 2.5% 2.4%
2.1% 2.4%
1.7%
1.0% 1.1% 1.1% 1.0% 1.3%
2.9% 3.2%
3.8%
4.3%
4.4%
3.0%
2.4%
1.7%
2.8% 2.5%
1.0%
0.6% 0.6%
Exhibit 20
NBFCs are asserting themselves in India’s credit market
NBFC Advances (INR tn)
CAGR: 18%
December 2025
20
 Motilal Oswal Financial Services
30th Annual Wealth Creation Study (2020-2025)
5.4.2 Capital Market – the ultimate beneficiary of India’s MTD era
Enabling digital onboarding of customers is leading to massive retail participation in the
capital market, as indicated by the J-curve in demat accounts (Exhibit 21).
Fundraising is on a rampage post-covid (Exhibit 22).
Rising awareness of equities, especially among the youth, is driving investments into mutual
funds (Exhibit 23).
The sector is extremely asset-light. Even very high growth requires very little incremental
capital. Both RoE and Dividend payouts are high.
Expect India’s MTD era to be hugely profitable for players across Capital Market segments –
stock exchanges, broking, investment banking, asset management, wealth management, etc.
Exhibit 21
J-curve in India’s demat accounts spells retail-led boom in India’s Capital Market
200
40
India - Demat A/cs trend (mn)
150
New Accounts (RHS)
Total Accounts
100
20
30
50
10
0
0
Exhibit 22
Fund-raising on a rampage post-covid
Fund raising trend - IPOs + QIPs (INR tn)
3.1
1.4
0.8
0.0
0.9
1.3
0.7
1.4
0.6
1.3
0.7
0.1
0.2
0.2
0.3
0.3
0.4
0.3
December 2025
21
 Motilal Oswal Financial Services
30th Annual Wealth Creation Study (2020-2025)
Exhibit 23
Mutual Fund equity AUM is clocking robust growth, especially post-covid
India - Mutual Fund Equity AUM trend (INR tn)
50
18% CAGR
37%
CAGR
10
13
16
17
24
27
30
3
2
3
3
3
3
4
6
6
10
5.4.3 Insurance – Beneficiary of rising awareness and affordability
General insurance growth is consistently faster than nominal GDP growth (Exhibit 24).
Private players have firmly asserted themselves in the life insurance market (Exhibit 25).
The insurance industry – especially life – has initiated a major mass awareness campaign.
The recent GST exemption on life and health insurance premiums is a huge boost for market
growth.
Expect insurance players and innovative insurance distributors to thrive in India’s MTD era.
Exhibit 24
General insurance premium growth is higher than nominal GDP growth
Total Gross Written Premium (INR bn)
December 2025
22
 Motilal Oswal Financial Services
30th Annual Wealth Creation Study (2020-2025)
Exhibit 25
Private players have firmly asserted themselves in the life insurance market
Private sector Annual Premium Equivalent (INR bn)
- Regulatory
guidelines on ULIP
with minimum
lock-in period;
decline in sales
- Reduction in
distributor
commissions
- ULIP boom
- Rapid expansion
of pvt players
through various
channels
5.4.4 2-wheelers: Expect both entry-level and premium motorcycles to do well
Personal mobility is the most basic need after food, clothing, and shelter.
Penetration of 2-wheelers in India still remains low compared to select developing countries
(Exhibit 26).
Rising nuclearization of families continues to expand the 2-wheeler market.
The recent 10 percentage point cut in GST is a major boon for the fence-sitting customers.
Premiumization in the 2-wheeler sector is relentlessly on (Exhibit 27).
In India’s MTD era, we expect both entry-level and premium motorcycles to do well.
Exhibit 26
Still room for 2-wheeler penetration to increase
2-wheeler penetration (per '000 persons)
434
304
265
168
141
82
66
53
47
43
27
December 2025
23
 Motilal Oswal Financial Services
30th Annual Wealth Creation Study (2020-2025)
Exhibit 27
Premiumization in the 2-wheeler sector is relentlessly on
India Motorcycle Mix
36%
35%
36%
Under 125 cc
125 cc and above
38%
42%
41%
38%
43%
46%
45%
49%
52%
54%
64%
65%
64%
62%
58%
59%
62%
57%
54%
55%
51%
48%
46%
FY13
FY14
FY15
FY16
FY17
FY18
FY19
FY20
FY21
FY22
FY23
FY24
FY25
5.4.5 Passenger vehicles: Expect both entry-level cars and SUVs to do well
Penetration of passenger vehicles in India remains very low (Exhibit 28).
India’s journey of per capita GDP rising from USD 2,500 to eventually USD 10,000 provides a
tipping point for cars, as in China, as tabled earlier (Exhibit 15).
The recent 10 percentage point GST cut increases affordability, especially of entry-level cars.
Rising affluence is driving premiumization, as reflected in the cars-UV mix (Exhibit 29).
In India’s MTD era, we expect both entry-level cars and SUVs to do well.
Exhibit 28
Significant headroom for passenger vehicle penetration in India
4-wheeler penetration (per '000 persons)
612
577
535
392
214
181
152
59
47
40
31
December 2025
24
 Motilal Oswal Financial Services
30th Annual Wealth Creation Study (2020-2025)
Exhibit 29
Premiumization in the passenger vehicle sector is relentlessly on
India: Cars & UVs mix
21%
Cars
UVs
21%
21%
21%
25%
28%
28%
34%
39%
49%
52%
60%
65%
79%
79%
79%
79%
75%
72%
72%
66%
61%
51%
48%
40%
35%
FY13
FY14
FY15
FY16
FY17
FY18
FY19
FY20
FY21
FY22
FY23
FY24
FY25
5.4.6 Realty – the direct beneficiary of Wealth Effect
Realty sector is the direct beneficiary of the Wealth Effect in India – its recovery in the last 5
years post-covid has coincided with that of the stock market, led by a significant boom in
luxury housing (Exhibit 30).
Post RERA [Real Estate (Regulation & Development) Act], the sector is seeing significant
consolidation, with the larger players gaining market share due to their higher credibility.
Housing prices are steadily rising (Exhibit 31). This will boost sector profitability given the
high operating leverage.
Sustained Wealth Effect in the MTD era will enhance the Realty sector’s ongoing resurgence.
Exhibit 30
Realty sector’s post-covid recovery is coinciding with that of the stock market
Tier 1 Cities - Project Launches ('000 units)
454
388
3-year CAGR: 12%
456
493 481
420
392
335
7-year CAGR: 0%
312
277
235
275
313
256
343
228
187
December 2025
25
 Motilal Oswal Financial Services
30th Annual Wealth Creation Study (2020-2025)
Exhibit 31
Housing prices are steadily rising
Tier 1 Cities - Avg Price Trend (INR/sq ft)
9,003
8,090
5,972
6,153
6,324
6,386
6,946
7,296
10,363
6,605
5,717
2015
2016
2017
2018
2019
2020
2021
2022
2023
2024
2025
5.4.7 Healthcare – value will migrate from smaller hospitals to the large ones
Healthcare (hospitals, not pharmaceuticals) is a not-so-obvious discretionary category. With
rising income levels, people would prefer to get treated in larger and branded hospitals.
India’s per capita healthcare expenditure is one of the lowest in the world.
India’s bed density per 10,000 people is well below global averages, suggesting enough
headroom for sustained growth.
The recent GST exemption on health insurance premiums will widen health insurance
coverage and hasten the value migration from smaller hospitals to the large ones.
Expect large hospital chains to become even larger in India’s MTD era.
Exhibit 32
India’s low per capita healthcare spend and low bed density suggest huge headroom for growth
Per Capita Healthcare
Expenditure (USD)
USA
Australia
Canada
Germany
France
UK
Japan
Singapore
South Korea
Brazil
China
India
12,474
7,055
6,207
6,191
5,381
5,139
4,347
3,970
3,124
761
671
74
Bed Density (per 10,000)
Japan
Germany
Russia
China
World
USA
Vietnam
Brazil
UK
Malaysia
India
127
78
70
50
33
30
26
25
24
20
15
5.4.8 Foodtech and Quick Commerce – a leap of faith
Both Foodtech and Quick Commerce deliver immense “convenience value” to customers.
However, the “value-recapture model” or path-to-profit is still not very clear.
Thus, it’s a leap of faith that the sector will turn hugely profitable in the MTD era and sustain
its current wealth creation trend in the stock market.
December 2025
26
 Motilal Oswal Financial Services
30th Annual Wealth Creation Study (2020-2025)
Exhibit 33
Both the Foodtech and Quick Commerce sectors have unlimited headroom for hyper growth
Online food service market (USD bn)
Penetration
20%
Quick Commerce Market Size
(USD bn)
27-50
11%
25
9
5
CY24
CY28E
Current
2030
Having shortlisted sectors, we proceed to suggest a robust stock-picking framework called QGLP.
6. Suggested stock-picking framework – QGLP
Quality, Growth, Longevity, Reasonable Price
Over the last several years, we have evolved our own formula for compounders. We call it
“QGLP”
– Quality, Growth, Longevity, Reasonable Price.
Here –
Q
stands for (1) Quality of Business and (2) Quality of Management
G
stands for Growth in earnings
L
stands for Longevity of both Quality and Growth
P
stands for reasonable Price.
QGL is the Value component, which is then juxtaposed with P to assess whether there is an
adequate Value-Price gap.
QGLP at a glance
Quality of business x Quality of management
Stable business, preferably consumer facing
Huge market opportunity
Sustainable competitive advantage
Management team with integrity,
competence and growth mindset
Healthy financials & ratios,
QGLP
especially Return on Capital
Growth in earnings
Volume growth
Price growth
Mix change
Operating leverage
Financial leverage
Longevity of Quality & Growth
Price
Reasonable valuation, relative to
quality and growth prospects
High margin of safety
Long-term relevance of business
Extending competitive advantage
period
Sustenance of growth momentum
December 2025
27
 Motilal Oswal Financial Services
30th Annual Wealth Creation Study (2020-2025)
QGLP is inspired by Warren Buffett’s investment process, which he outlined in his 2007 annual
letter to Berkshire Hathaway shareholders –
A business we understand
Favorable long-term economics
Able and trustworthy management
Sensible price tag.
The only missing element here is an explicit reference to earnings growth. We integrated this into
QGLP following our insight from the Quality-Growth Matrix.
Exhibit 34
The Quality-Growth Matrix
GROWTH TRAPS
High
TRUE WEALTH CREATORS
Enduring
Multi-baggers
Transitory
Multi-baggers
GROWTH
WEALTH DESTROYERS
Low
QUALITY TRAPS
Underperformers
Permanent capital loss
Low
High
QUALITY
Key takeaway from the Quality-Growth Matrix:
Avoid the not-so-obvious Quality Traps and Growth Traps, and invest only in True Wealth
Creators.
In our 25
th
Wealth Creation Study titled
The QGLP Checklist,
we put out a comprehensive checklist
to assess whether a stock passes the QGLP test or not. We reproduce the checklist here as
Annexure 1 (page 32). Please do read the Study for a detailed explanation with suitable examples.
7. The India MTD Portfolio – For steady long-term compounding
Market leaders at defendable valuations
Armed with the consideration set of sectors and the QGLP stock-picking framework, we set about
constructing the India MTD Portfolio using the steps listed below.
The India MTD Portfolio Steps
December 2025
We started with the top 500 market cap stocks in 2025.
Remark: Start with meaningful, investible companies, rather than illiquid micro caps.
28
 Motilal Oswal Financial Services
30th Annual Wealth Creation Study (2020-2025)
We filtered out companies in sectors outside our consideration set.
Remark: Top-down approach; this reduced the list of companies from 500 to 337.
We applied the QGLP framework to these 337 companies.
Remark: A step-by-step further shortlisting of potential compounders.
Quality of Business (Q-1):
This is a detailed qualitative-cum-quantitative exercise. However,
having shortlisted businesses based on a solid top-down approach, we used the simple metric
of RoE as a numerical indicator of the company’s Quality of Business.
We deem the Cost of Equity to be 12%, the long-period return on benchmark equity indices.
So, we selected only those companies whose 2025 RoE was higher than 12%. (We made a
few exceptions to this filter, e.g., e-commerce companies that are in the hyper-growth phase
but are not yet profitable.)
Remark:
This reduced the list of companies from 337 to 228.
Growth in earnings (G):
To identify compounders in India’s NTD era, we had set a return
threshold of 15%, a clear 5 percentage points over the benchmark return of 10%. However,
in the MTD era, it is possible that benchmark returns may inch up to 10-15%. So, we raised
the return threshold to 20%.
Next, over the very long term, R = G, i.e., Return on a stock (R) tends to converge to its
earnings growth (G), as the impact of valuation re-rating or de-rating dwindles over time. So,
we chose to shortlist stocks whose potential earnings growth is at least 20%.
Finally, it is impossible to estimate earnings growth from 2025 to 2042. So, we banked on the
recent past earnings growth from 2022 to 2025, during which India’s GDP went from USD 3
trillion to USD 4 trillion. The call is that, given the huge business opportunity ahead, future
earnings growth may hover around the recent past growth.
Thus, we selected companies whose 2022-25 PAT CAGR was 20% or higher.
Remark:
This reduced the list of companies from 228 to 132.
Longevity (L):
Given the positive macro call from 2025 through to 2042, we did not apply any
additional specific filter for Longevity.
Remark:
The list of companies stayed at 132.
Price (P):
One of our pet valuation metrics is PEG, short for TTM (trailing 12-month) P/E
divided by future earnings CAGR. However, as stated earlier, we relied on past earnings
growth as a proxy for future earnings growth. So, we tweaked PEG to Trailing PEG, i.e., 2025
P/E divided by the 2022-25 earnings CAGR.
The lower the PEG, the higher the likely return. We selected companies whose Trailing PEG
was less than 2x (the exceptions stated earlier continued here, too).
Remark:
The list of companies dropped from 132 to 105.
December 2025
29
 Motilal Oswal Financial Services
30th Annual Wealth Creation Study (2020-2025)
Quality of Management (Q-2):
We now apply this filter on a case-by-case basis. Besides
qualitative criteria (integrity, competence, and growth mindset), we also used financial
metrics like 2008-25 Average RoE and 2008-25 PAT CAGR as potential indicators of Quality of
Management.
Remark:
The list of companies dropped from 105 to 63.
Market leadership:
As stated earlier, of the 35 compounders in the NTD era, as many as 27
(77%) were market leaders in the base year 2008. So, we chose to go with an India MTD
Portfolio of only market leaders (i.e., among the top 3 players in their respective sectors).
Remark:
The list of companies fell from 63 to 41.
Final tweak:
We tweaked the 41-stock portfolio, mainly to balance sector weightage. For
instance, instead of 3 Cars/UVs companies, we settled for 2, instead of 3 private sector banks,
we settled for 2, etc.
Remark:
This gave us the final list of 30 stocks.
Exhibit 35 lists the 30 stocks along with some key metrics for them.
Exhibit 35
India MTD Portfolio stocks
Company
Interglobe Aviation
Eicher Motors
Hero Motocorp
M&M
Maruti Suzuki
AU Small Finance
HDFC Bank
ICICI Bank
SBI
Polycab India
Cummins India
Larsen & Toubro
Waaree Energies
BSE
HDFC AMC
Motilal Oswal
Multi Comm. Exchange
Nuvama Wealth
Prudent Corp
Blue Star
Eternal
Bajaj Finance
Chola. Investment
Global Health
Narayana Hrudayalaya
ICICI Lombard
PB Fintech
Godrej Properties
Lodha Developers
Bharti Airtel
Sector
Airlines
Autos - 2-3 Wheelers
Autos - 2-3 Wheelers
Autos - Cars/UVs
Autos - Cars/UVs
Banks - Private Sector
Banks - Private Sector
Banks - Private Sector
Banks - Public Sector
Cables
Capital Goods / Engg
Capital Goods / Engg
Capital Goods / Engg
Capital Market
Capital Market
Capital Market
Capital Market
Capital Market
Capital Market
Consumer - Durables
E-commerce
Finance
Finance
Healthcare
Healthcare
Insurance
Insurance
Realty
Realty
Telecom
FY22-25
PAT CAGR
L to P
41%
24%
27%
72%
23%
23%
27%
30%
29%
35%
23%
191%
70%
21%
24%
52%
52%
35%
52%
L to P
33%
26%
38%
31%
25%
L to P
55%
30%
90%
FY25
P/E
45
31
17
26
25
19
20
19
9
40
42
31
37
53
35
15
48
22
50
75
-
33
30
62
44
35
231
52
45
48
Trailing
PEG
-
0.7
0.7
0.9
0.3
0.8
0.9
0.7
0.3
1.4
1.2
1.3
0.2
0.8
1.7
0.6
0.9
0.4
1.4
1.4
-
1.0
1.2
1.6
1.4
1.4
-
0.9
1.5
0.5
FY25
RoE
77%
22%
23%
17%
15%
12%
14%
16%
17%
21%
26%
15%
20%
30%
30%
23%
30%
28%
29%
19%
2%
17%
18%
14%
22%
17%
5%
8%
14%
30%
FY25 TTM PAT
Payout
YoY
5%
-23%
41%
20%
75%
28%
22%
20%
29%
5%
4%
15%
24%
5%
15%
13%
18%
2%
26%
37%
71%
18%
31%
19%
0%
141%
23%
118%
78%
24%
12%
-40%
27%
101%
53%
23%
5%
17%
31%
2%
0%
-75%
21%
19%
4%
21%
0%
22%
12%
10%
25%
26%
0%
164%
0%
12%
15%
55%
28%
123%
1HFY26
PAT YoY
-
17%
43%
20%
4%
6%
4%
8%
7%
53%
34%
22%
92%
79%
24%
-24%
51%
7%
10%
-17%
-80%
20%
20%
34%
14%
22%
96%
8%
62%
64%
December 2025
30
 Motilal Oswal Financial Services
30th Annual Wealth Creation Study (2020-2025)
Important notes on the India MTD Portfolio stocks
The stocks are purely based on the quantitative methodology explained herein, and should not be
construed as investment advice.
Further, Motilal Oswal, which appears in the list, is the company that has published this Study.
The sector allocation of an equal-weighted portfolio of India MTD stocks is tabulated below.
Exhibit 36
India MTD Portfolio – Sector allocation
Financials
Banks - Private Sector
Banks - Public Sector
Finance
Capital Market
Autos
Autos - 2-3 Wheelers
Autos - Cars/UVs
Capital Goods / Engg
Healthcare
Insurance
Realty
Airlines
Cables
Consumer - Durables
E-commerce
Telecom
TOTAL
20.0%
10.0%
3.3%
6.7%
20.0%
13.3%
6.7%
6.7%
10.0%
6.7%
6.7%
6.7%
3.3%
3.3%
3.3%
3.3%
3.3%
100.0%
8. In closing – Compounding economy, compounding stocks
Fasten your seat belt for the exciting times ahead
The world is getting wealthier, and so is India.
There is no absolute upper limit to financial wealth, albeit with potholes on the way.
India’s GDP quadrupled to USD 4 trillion in the last 17 years; in the next 17, it can quadruple
again to USD 16 trillion.
In this Multi-Trillion Dollar opportunity, Financials (including Capital Market) and Consumer
Discretionaries will see explosive expansion as they hit the tipping point.
The MTD era will see many compounding stocks.
So, fasten your seat belt for the exciting times ahead!
December 2025
31
 Motilal Oswal Financial Services
30th Annual Wealth Creation Study (2020-2025)
Annexure 1: The QGLP Checklist
QGLP is our proprietary investment framework and stands for
Quality, Growth, Longevity,
reasonable Price.
First presented in our 2020 Wealth Creation Study, the following is a
comprehensive checklist to assess whether a stock passes the QGLP test.
BUSINESS CHECKLIST
Q#1 What is the history of the company and management?
Q#2 Is the company’s business model understandable? How does it make money?
Q#3 Is the company profitable? If not, is it expected to emerge?
Q#4 Are the company’s terms of trade favorable? Is Cash flow healthy?
Q#5 What is the company’s cost and margin structure? How has it changed in the past?
Q#6 How’s the Du Pont Analysis for the company?
Q#7 What is the competitive landscape? What is the role of regulation in the business?
Q#8 Does the company enjoy an Economic Moat? What are its sources?
GROWTH CHECKLIST
Q#9 What is the addressable market opportunity and its key drivers?
Q#10 What is the company's growth plan? How sustainable is the growth?
MANAGEMENT CHECKLIST
Q#11 Is the management high on Integrity & transparency?
Q#12 Is the management competent?
Q#13 Does the management have passion / growth mindset?
Q#14 Does the company have a rational capital allocation policy?
Q#15 Does the company have a suitable organization structure and depth of management?
Q#16 What is the organization culture?
Q#17 Does the company have a sound succession plan?
Q#18 Do the owners have enough skin in the game?
Q#19 Have the promoters pledged a large portion of their holding?
PRICE CHECKLIST
Q#20 Has the financial modeling been done with earnings estimates for at least 3 years?
Q#21 Is it a QGL stock?
Q#22 Is valuation reasonable?
Q#23 Is there enough Margin of Safety?
Q#24 Is the stock reasonably liquid?
RISK CHECKLIST
Q#25 What can go wrong with the company narrative & numbers?
December 2025
32
 Motilal Oswal Financial Services
30th Annual Wealth Creation Study (2020-2025)
Annexure 2:
The power of thinking long-term
The MTD era discussed here spans a period of 17 years from 2025 to 2042.
The very thought of investing for 17 years may come across as a silly and mere academic exercise
for most equity “investors”, who would rather live by the quarter, claiming it to be very tough –
even risky – to claim significant visibility beyond that. It is this very mindset that we hope to alter.
Thus, the key question:
Why even consider investing for the next 17 years, likely tantamount to
a blind bet?
We offer at least 3 reasons, each of which merits a separate discussion –
1. The power of compounding works best over the long term
2. It is very difficult to find quality long-term compounding stocks in the market, and
3. All else equal, the higher the longevity of a stock’s earnings growth, the significantly higher
its value.
Power of compounding works best over the long term
The following table suggests the power of time in compounding. For instance, if you invest 1
rupee at the rate of 25% for 10 years, it multiplies 9.3 times. However, at the same rate, if you
invest it for 30 years, it multiplies a whopping 808 times! Thus, the number of years is only 3
times higher, but the value is higher by 87 times!
Exhibit 37
What happens to rupee 1 invested at various rates for various years
Rate
Years
3
5
10
15
20
25
30
1.3
1.6
2.6
4.2
6.7
11
17
1.5
2.0
4.0
8.1
16
33
66
1.7
2.5
6.2
15
38
95
237
2.0
3.1
9.3
28
87
265
808
2.2
3.7
14
51
190
706
2,620
2.7
5.4
29
156
837
4,500
24,201
10%
15%
20%
25%
30%
40%
3 times higher number of
years raises value 87 times!
As the rest of the report will establish, the Indian MTD era will offer high growth opportunities
for quite a few sectors. Combining this with the above, it makes immense sense for investors to
hold on to quality long-term compounders.
Difficult to find quality long-term compounding stocks
Charlie Munger has said, "Understanding both the power of compound interest and
the difficulty
of getting it
is the heart and soul of understanding a lot of things."
Truer words have not been uttered for equity investing. Consider the case of Indian equities. Over
the 17-year period from 2008 to 2025 – when India’s GDP quadrupled from USD 1 trillion to USD
December 2025
33
 Motilal Oswal Financial Services
30th Annual Wealth Creation Study (2020-2025)
4 trillion – of the top 500 market cap stocks in 2008, only 115 delivered a Price CAGR of 15% or
higher.
Next, if we improve the quality of compounders by stating that the Price CAGR should ideally be
accompanied by at least 15% Profit CAGR, the number of stocks collapses from 115 to 43. If we
further raise the quality bar, stating that the RoE in 2008 should be at least 15% (the then cost of
equity), the number halves further to 21.
Exhibit 38
Finding quality long-term compounders is extremely difficult
15% Price
CAGR
Of the top 500
stocks in 2008
115
From 2008 to 2025, the number of stocks with
15% Price CAGR stocks +
15% Price CAGR stocks +
15% profit CAGR
15% profit CAGR + Base RoE > 15%
43
21
In other words, of the top 500 market cap stocks in any given year, barely 4% are likely to end up
as quality long-term compounders. Hence, if we do come across such a few rare stocks, it is best
to hold them for the long term, rather than keep searching for newer ones.
Higher the longevity of a stock’s earnings growth, the significantly higher its value
This can be established using the Discounted Cash Flow model base case and two subsequent
cases as presented in exhibits 39, 40, and 41. The key takeaways of the exercise are as follows –
Base case:
RoE of 25%, Earnings CAGR of 20% in the first 5 years, before it tapers off to 7%
over the next 10 years. In this case, if the return ask is 15%, the maximum P/E that an investor
can pay for such a stock is 18x.
Case 1:
All else equal, if just the 20% Earnings CAGR period is extended from 5 years to 10,
the value of the stock increases by a significant 31%, i.e., the investor can now pay a P/E of
23x to earn the same 15% return.
Case 2:
Finally, if the 20% Earnings CAGR period is extended from 5 years to 15, the value of
the stock increases by a massive 67%, and now, even a P/E of 30x will earn the 15% return.
Implications for investing in India’s MTD era:
Over the next 17 years, through to 2042, India’s GDP will quadruple from USD 4 trillion today
to USD 16 trillion.
This implies a very long growth runway for companies in many sectors.
Thus, the
explicit growth forecast period gets significantly higher.
As a result, the intrinsic value of stocks balloons, i.e., investors can afford to pay higher
valuation multiples and yet end up with healthy returns.
December 2025
34
 Motilal Oswal Financial Services
30th Annual Wealth Creation Study (2020-2025)
Exhibit 39: Base Case of Discounted Free Cash Flow to Equity model
KEY VARIABLES -
Earnings growth rate
RoE
Continuing growth rate
Cost of Equity
Year
PAT
YoY
Delta PAT
Investment
FCFE
Continuing Value
Total Cash Flow
Discount Factor
DCFE
Intrinsic Value
Intrinsic P/E
Assumed values
20%
25%
7%
15%
0
83
1
100
20%
80
20
20
1.15
17
1,470
18
15
2
120
20%
20
96
24
24
1.32
18
1,641
14
3
144
20%
24
115
29
29
1.52
19
1,832
13
4
173
20%
29
138
35
35
1.75
20
2,045
12
5
207
20%
35
156
52
52
2.01
26
2,283
11
…..
…..
13
606
10%
55
218
388
388
6.15
63
5,510
9
14
660
9%
55
211
449
449
7.08
63
6,151
9
…..
15
713
8%
53
200
513
6,867
7,380
8.14
907
6,867
10
16
763
7%
50
Key elements explained:
Earnings growth rate:
This is the growth in PAT assumed to be sustained in the first five years. Post that the growth is tapered
over the next 10 years to the continuing growth rate of 7%.
Continuing growth rate:
This is the rate at which PAT and cash flow are expected to grow beyond the explicit forecast period
of 15 years. Theory suggests this should be the expected nominal GDP growth rate to perpetuity.
Cost of Equity:
This is the market’s return expectation on a particular stock. In the above model, we have considered the Cost
of Equity at 15.
Delta PAT:
This is the incremental PAT over the previous year.
Investment:
This is the investment required each year to generate the Delta PAT next year. This is dependent on RoE and is
determined by Delta PAT ÷ RoE. Thus, to generate a Delta PAT of 20 in Year 2, the firm here must invest 80 (20÷25%) in Year 1.
FCFE:
Free Cash Flow to Equity is PAT less Investment needed.
Continuing Value:
This is the value of the firm beyond the explicit forecast period. It is calculated using the present value
formula of a growing annuity, i.e., Year 15 FCFE x (1+Continuing growth rate) ÷ (Cost of equity – Continuing growth rate).
Discount Factor:
This is (1+Cost of Equity)
n
, where n is the number of years.
DFCFE:
Discounted Free Cash Flow to Equity; this is arrived at as Total Cash Flow ÷ Discount Factor.
Intrinsic Value:
This is the sum total of all 15-year DFCFE.
Intrinsic P/E:
This is calculated as Intrinsic Value ÷ PAT (of respective year).
Model limitation:
This is a simplified version with a few assumptions –
Annual depreciation takes care of investments required to maintain current profits.
The company is currently operating at full capacity, i.e., further growth is possible only through further investment.
There is no major change in the company’s debt position.
Inference from the base case:
Given the assumed values, for a 15% return, the investor can pay a P/E of 18x
December 2025
35
 Motilal Oswal Financial Services
30th Annual Wealth Creation Study (2020-2025)
Exhibit 40: Case 1 – In this case, we simply extend the 20% Earnings CAGR period from 5 years to 10
KEY VARIABLES -
Assumed values
Earnings growth rate
20%
RoE
25%
Continuing growth rate
7%
Cost of Equity
15%
Year
PAT
YoY
Delta PAT
Investment
FCFE
Continuing Value
Total Cash Flow
Discount Factor
DCFE
Intrinsic Value (IV)
Intrinsic P/E
Delta IV over base case
0
83
1
100
20%
80
20
20
1.15
17
1,920
23
31%
19
2
120
20%
20
96
24
24
1.32
18
2,244
19
3
144
20%
24
115
29
29
1.52
19
2,624
18
4
173
20%
29
138
35
35
1.75
20
3,067
18
5
207
20%
35
166
41
41
2.01
21
3,585
17
…..
…..
18
1,507
10%
137
543
965
965
12.38
78
12,504
8
19
1,643
9%
136
526
1,117
1,117
14.23
78
14,617
9
20
1,774
8%
131
497
1,278
17,087
18,365
16.37
1,122
17,087
10
21
1,899
7%
124
…..
Inference from Case 1:
Just by extending the longevity of the explicit growth forecast from 15 years to 20, the value of the stock rose 31%.
In other words, for the same 15% return, the investor can pay a P/E of 23x v/s 18x in the base case.
Exhibit 41: Case 2 – In this case, we extend the 20% Earnings CAGR period from 5 years to 15
KEY VARIABLES -
Assumed values
Earnings growth rate
20%
RoE
25%
Continuing growth rate
7%
Cost of Equity
15%
Year
PAT
YoY
Delta PAT
Investment
FCFE
Continuing Value
Total Cash Flow
Discount Factor
DCFE
Intrinsic Value
Intrinsic P/E
Delta IV over base case
0
83
1
100
20%
80
20
20
1.15
17
2,460
30
67%
25
2
120
20%
20
96
24
24
1.32
18
3,015
25
3
144
20%
24
115
29
29
1.52
19
3,696
26
4
173
20%
29
138
35
35
1.75
20
4,530
26
5
207
20%
35
166
41
41
2.01
21
5,553
27
…..
…..
23
3,751
10%
341
1,350
2,400
2,400
24.89
96
28,299
8
75
24
4,088
9%
338
1,308
2,780
2,780
28.63
97
34,687
8
94
…..
25
4,415
8%
327
1,236
3,179
42,518
45,697
32.92
1,388
42,518
10
120
26
4,724
7%
309
Inference from Case 2:
By extending the longevity of the explicit growth forecast from 15 years to 25, the value of the stock increased 67%.
In other words, for the same 15% return, the investor can pay a P/E of 30x v/s 18x in the base case.
December 2025
36
 Motilal Oswal Financial Services
30th Annual Wealth Creation Study (2020-2025)
Sensitivity Analysis
Below are the RoE-Earnings growth Sensitivity Analysis tables showing P/E payable for 15% return for the 3 cases.
Exhibit 42: Base Case
18
10%
15%
20%
25%
30%
40%
15%
7
8
8
8
9
9
18%
9
10
12
14
17
25
20%
10
12
14
17
21
33
RoE
25%
11
14
18
22
29
48
30%
12
16
20
26
34
58
40%
14
18
23
30
40
70
50%
14
19
25
33
44
77
100%
16
21
29
38
51
91
PAT
CAGR
Exhibit 43: Case 1
23
10%
15%
20%
25%
30%
40%
15%
7
8
8
8
9
9
18%
9
11
14
19
27
56
20%
10
13
17
24
35
80
RoE
25%
12
16
23
34
52
122
30%
13
18
27
41
62
151
40%
14
21
31
49
76
186
50%
15
22
34
53
84
207
100%
17
26
40
63
100
249
PAT
CAGR
Exhibit 44: Case 2
30
10%
15%
20%
25%
30%
40%
15%
7
8
8
8
9
9
18%
9
12
17
26
44
139
20%
10
14
21
35
62
205
RoE
25%
12
18
30
52
94
322
30%
13
21
35
63
115
400
40%
15
24
42
76
142
497
50%
16
26
46
84
158
556
100%
17
30
54
100
189
673
PAT
CAGR
December 2025
37
 Motilal Oswal Financial Services
30th Annual Wealth Creation Study (2020-2025)
2020-25 Wealth
Creation Study:
Detailed findings
December 2025
38
 Motilal Oswal Financial Services
30th Annual Wealth Creation Study (2020-2025)
#1
Trend in Wealth Creation
2020-25 Wealth Created at an all-time high of INR 148 trillion
During 2020-25, the top 100 Wealth Creators of India Inc created an all-time high wealth of
INR 148 trillion.
Pace of Wealth Creation at 38% CAGR is the highest in the last 17 study periods, also
significantly higher than the BSE Sensex return CAGR of 21%.
The main reason for both of the above is that March 2020 was a sharp low for the markets
due to the covid-induced lockdown.
Exhibit 1
2020-25 Wealth Created at an all-time high of INR 148 trillion
Wealth Creation trend
(INR trillion)
92
71
29
70
138
148
14
16
25
27
10
22
34
16
18
28
39
45
49
26
Exhibit 2
2020-25 pace of Wealth Creation is 38% CAGR vis-à-vis Sensex’s 21% CAGR
(39%)
49%
(30%)
(26%)
40%
36%
Wealth Created CAGR (%)
(Figures in brackets are Sensex CAGR)
(21%)
38%
(18%)
33%
(15%)
(22%)
(14%)
(10%)
(14%)
28%
(11%) (12%)
26%
(12%)
(12%)
26%
(6%)
25%
(5%)
24%
(12%)
22% 23% 22%
(4%)
(12%)
21%
19%
19%
18%
17%
17%
(1%)
12%
Key Takeaway
Forget markets, think stocks
For the past 10 successive study periods excluding this one, market benchmark indices have
delivered muted returns ranging from 5% to 15%. Still, the top Wealth Creators have
maintained their track record of 10-15% outperformance over the benchmark. This reinforces
our pet take on market strategy, “Forget markets, think stocks.”
December 2025
39
 Motilal Oswal Financial Services
30th Annual Wealth Creation Study (2020-2025)
#2
The Biggest Wealth Creators
Bharti Airtel is the Biggest Wealth Creator
At INR 7.9 trillion,
Bharti Airtel
is the biggest Wealth Creator over 2020 to 2025, followed
closely by
ICICI Bank
at INR 7.4 trillion.
The share of the top 10 Wealth Creators is just 31% of the total, the lowest ever. This suggests
that from the covid low of March 2020, Wealth Creation is the most widespread ever.
8 of the top 10 Wealth Creators have seen significant P/E re-rating, mainly justified by robust
improvement in RoE from March 2020 lows.
Exhibit 3
Top 10 Biggest Wealth Creators (2020-25)
Rank Company
1
Bharti Airtel
2
ICICI Bank
3
SBI
4
Bajaj Finance
5
Larsen & Toubro
6
ITC
7
HCL Technologies
8
Sun Pharma
9
M&M
10 NTPC
Total of Top 10
Total of Top 100
L to P – Loss to Profit
Wealth Created
INR bn % share
7,944
7,417
5,593
4,206
3,974
3,765
3,708
3,459
3,055
2,997
46,117
147,988
5.4
5.0
3.8
2.8
2.7
2.5
2.5
2.3
2.1
2.0
31
100
CAGR (%)
Price PAT
32
34
33
33
35
24
33
38
57
36
34
38
30
40
37
26
10
5
9
24
L to P
16
25
30
P/E (x)
2025 2020
48
19
9
33
31
26
25
36
26
17
23
21
42
22
11
25
12
14
11
21
N.A.
8
16
16
RoE (%)
2025 2020
19
16
17
17
16
28
25
16
17
11
17
15
7
8
7
16
14
24
21
9
-1
9
10
8
Exhibit 4
2020-25 Wealth Creation is the most widespread – Share of top 10 is the lowest ever
76
Share of Top 10 in Total Wealth Created (%)
53
59
63
48 47
56
53 54
37
31
50
45
51 49
41 42 41
51
43 41
42
39
Key Takeaway
Expect a bounce back in large caps’ share of Wealth Created
2020 to 2025 has seen a widespread rally in mid- and small caps, which explains why the top 10
Wealth Creators accounted for only 31% of the Wealth Created against the long-period average
of 50%. Most mid- and small caps are currently richly valued vis-à-vis large caps. With earnings
growth likely to revive, expect a bounce back in large caps’ share of Wealth Creation.
December 2025
40
 Motilal Oswal Financial Services
30th Annual Wealth Creation Study (2020-2025)
#3
The Fastest Wealth Creators
BSE has emerged as the Fastest Wealth Creator
BSE
has emerged as the Fastest Wealth Creator with a 2020-25 Total Return CAGR of 124%.
Adani Enterprises
is among the top 10 Fastest Wealth Creators for a record 5 times in a row.
INR 10 million invested equally in 2020 in these top 10 companies would be worth INR 240
million in 2025, a return CAGR of 88% v/s 24% for the Nifty Total Return Index.
Exhibit 5
Top 10 Fastest Wealth Creators (2020-25)
Rank Company
1
2
3
4
5
6
7
8
9
10
BSE
Rail Vikas Nigam
Jindal Stainless
GE Vernova T&D
Persistent Systems
FACT
Dixon Tech.
Adani Power
Adani Enterprises
Hitachi Energy
Total Return
(x)
CAGR %
56
28
25
21
20
20
18
18
17
17
124
95
90
85
83
82
79
79
76
76
PAT
CAGR %
65
11
105
L to P
33
45
43
L to P
33
15
Mkt Cap (INR bn)
2025
2020
742
733
479
398
858
414
792
1,964
2,680
564
13
27
12
19
42
21
41
107
151
32
P/E (x)
2025 2020
53
57
19
65
63
1,880
108
15
66
147
12
4
17
N.A.
13
599
34
N.A.
16
16
Exhibit 6
History of Fastest Wealth Creators
5-yr Price 5-yr Price
Year Company
Multiple (x) CAGR %
1996 Dr Reddy's Labs
30
97
1997 Cipla
7
48
1998 Satyam Computers
23
87
1999 Satyam Computers
75
137
2000 SSI
223
195
2001 Infosys
66
131
2002 Wipro
69
133
2003 e-Serve
50
119
2004 Matrix Labs
75
137
2005 Matrix Labs
136
167
2006 Matrix Labs
182
183
2007 B F Utilities
665
267
2008 Unitech
837
284
2009 Unitech
54
122
2010 Unitech
28
95
Year
2011
2012
2013
2014
2015
2016
2017
2018
2019
2020
2021
2022
2023
2024
2025
Company
Sanwaria Agro
TTK Prestige
TTK Prestige
Eicher Motors
Ajanta Pharma
Ajanta Pharma
Ajanta Pharma
Indiabulls Ventures
Indiabulls Ventures
Tasty Bite Eatables
Adani Transmission
Adani Transmission
Lloyds Metals
Adani Green
BSE
5-yr Price 5-yr Price
Multiple (x) CAGR %
50
119
24
89
28
95
27
94
50
119
53
121
29
96
30
97
18
78
15
72
26
93
37
106
19
79
49
118
56
124
Key Takeaway
Frothy P/Es – Unmissable selling opportunities
In most fast Wealth Creator cases, returns are a function of both – rapid earnings growth,
coupled with expansion in valuations (most popular, P/E). However, occasionally, stock returns
are led only by P/E expansion without commensurate earnings growth. Just like low P/Es are
buying opportunities, frothy P/Es are highly profitable and unmissable selling opportunities.
December 2025
41
 Motilal Oswal Financial Services
30th Annual Wealth Creation Study (2020-2025)
#4
The Most Consistent Wealth Creators
Hindustan Aeronautics is the Most Consistent Wealth Creator
We define Consistent Wealth Creators based on the number of years the stock has
outperformed in each of the last five years. Where the number of years is the same, the Total
Return CAGR decides the rank.
Based on this, over 2020-25,
Hindustan Aeronautics
has emerged as the Most Consistent
Wealth Creator. It has outperformed the Nifty Total Return Index in all the last 5 years, and
has the highest Total Return CAGR of 75%.
Consistent Wealth Creation is a challenge: Of the top 500 market cap companies of 2020,
only 13 have outperformed in each of the last 5 years.
Exhibit 7
Top 10 Most Consistent Wealth Creators (2020-25)
No. of years of 2020-25 Total
2020-25
P/E (x)
Rank Company
outperformance Ret. CAGR (%)
PAT CAGR (%) 2025 2020
5
75
24
33
6
1
Hind. Aeronautics
5
70
13
19
2
2
Welspun Corp
5
70
1
85
6
3
Bharat Dynamics
5
69
67
6
3
4
Indian Bank
5
66
24
42
10
5
Bharat Electronics
5
62
210
26
677
6
Jindal Steel
5
61
42
50
22
7
Patanjali Foods
5
58
32
30
12
8
Chola, Investment
5
57
L to P
51
N.A.
9
Minda Corp
5
56
7
94
14
10
Radico Khaitan
RoE (%)
2025
2020
24
21
16
20
14
21
18
4
27
18
7
0
11
7
18
13
12
0
13
16
Exhibit 8
Consistent Wealth Creation is a challenge: Only 13 out of 500 have outperformed in each of the last 5 years
No. of years of outperformance (2020-2025)
170
156
86
66
13
All 5 years
4 years
3 years
2 years
1 years
9
0 years
Key Takeaway
Investors’ nirvana – Speed with Consistency
Five of the top 10 Consistent Wealth Creators were trading at P/E of 10 or lower in March 2020,
following the covid lockdown. Of these five, four had RoE of over 15% in 2020. This clearly
suggests that sharp market corrections offer even healthy companies at attractive valuations.
Buying into them leads to Consistent Wealth Creation for a long period.
December 2025
42
 Motilal Oswal Financial Services
30th Annual Wealth Creation Study (2020-2025)
#5
All-round Wealth Creators
Hindustan Aeronautics is the Best All-round Wealth Creator
We define All-round Wealth Creators based on the summation of ranks, under each of the 3
categories – Biggest, Fastest, and Consistent. Where the scores are tied, the Total Return
CAGR decides the All-round rank.
Based on the above criteria,
Hindustan Aeronautics
has emerged as the Best All-round
Wealth Creator.
In a significant departure from the past, 4 of the top 10 All-round Wealth Creators are PSUs.
Exhibit 9
Top 10 All-round Wealth Creators (2020-25)
All-round
Rank
Rank
Company
Biggest
Fastest
1
Hind. Aeronautics
12
11
2
Bharat Electronics
22
23
3
Adani Power
27
8
4
BSE
66
1
5
Persistent Systems
60
5
6
Rail Vikas
68
2
7
Indian Bank
67
17
8
Varun Beverages
30
30
9
Trent
29
33
10
Jindal Steel
57
32
Consistent
1
5
18
14
17
15
4
29
31
6
Total of
Ranks
24
50
53
81
82
85
88
89
93
95
2020-25 Total
Return CAGR (%)
75
66
79
124
83
95
69
63
62
62
Exhibit 10
Speed and Consistency decide All-round Wealth Creation
No. of Top 10 All-round Wealth Creators within
Top 20 of various categories
8
6
1
Biggest
Fastest
Consistent
Key Takeaway
Speed and Consistency decide All-round Wealth Creation
Six out of top 10 All-round Wealth Creators are also among the top 20 Fastest Wealth Creators.
Eight out of top 10 All-round Wealth Creators are also among the top 20 Consistent Wealth
Creators. Thus, Speed and Consistency are the key determinants of All-round Wealth Creation
rather than Size. The size of Wealth Created is not that important.
December 2025
43
 Motilal Oswal Financial Services
30th Annual Wealth Creation Study (2020-2025)
#6
Wealth Creators Index (Wealthex) v/s BSE Sensex
Wealthex outperformance led by superior earnings growth
We compare Wealthex (the top 100 Biggest Wealth Creators Market Cap index) with the BSE
Sensex on three parameters: (1) market performance, (2) earnings growth, and (3) valuation.
Market performance:
Over 2020-25, Wealthex has delivered a return CAGR of 37% v/s 17%
for the BSE Sensex. March 2025 over March 2020, Wealthex is up 475% whereas the Sensex
is up 263%, i.e., 212% outperformance over 5 years.
Earnings growth:
Wealthex clocked a 2020-25 earnings CAGR of 30% v/s 17% for BSE Sensex.
Valuation:
For both Sensex and Wealthex, there was a 4-5% rerating over the last five years.
Thus, Wealthex’s outperformance over Sensex is fully explained by the earnings growth
differential.
Exhibit 11
Wealthex v/s Sensex: Outperformance led by superior earnings growth
Mar-20
BSE Sensex
YoY (%)
Wealthex - based to Sensex
YoY (%)
Sensex EPS (INR)
YoY (%)
Wealthex EPS (INR)
YoY (%)
Sensex PE (x)
Wealthex PE (x)
29,468
29,468
1,506
1,831
20
16
Mar-21
49,509
68
57,810
96
1,704
13
2,924
60
29
20
Mar-22
58,569
18
79,399
38
2,311
36
4,365
49
25
18
Mar 23 Mar-24
58,992
1
79,845
1
2,631
14
4,601
5
22
17
73,651
25
131,137
65
3,146
20
6,461
40
23
20
Mar-25
77,415
5
139,882
7
3,305
5
6,712
4
23
21
5 Year
CAGR (%)
21
37
17
30
4
5
Exhibit 12
Wealthex invariably outperforms benchmark indices handsomely
600
500
400
300
200
100
0
263
Wealth Creators Market Cap - Indexed to 100
Sensex - Indexed to 100
475
Key Takeaway
Sensex a weak earnings machine
For the past several years, Sensex earnings growth has been muted. In the markets, especially
over the long term, G = R i.e. Growth in earnings = Return on the stock. Given this, a portfolio
of stocks with even a slightly superior earnings profile vis-à-vis the Sensex should consistently
outperform it.
December 2025
44
 Motilal Oswal Financial Services
30th Annual Wealth Creation Study (2020-2025)
#7
Wealth Creation: Sector analysis
Banking & Finance is the top Wealth Creator for the second successive time
Banking & Finance
has emerged as the top Wealth Creating sector for the second successive
time, and for the sixth time in the last 10 studies.
Cyclical sectors like
Capital Goods/Engg, Metals/Mining,
and
Autos
are significant gainers in
Wealth Creation vis-à-vis five years ago.
The biggest losers are
Consumer & Retail, Oil & Gas,
and
Technology.
Exhibit 13
Banking & Finance is the top Wealth Creating sector (2020-25)
Sector
(No of companies)
Banking & Finance (21)
Capital Goods / Engg (9)
Metals / Mining (9)
Utilities (9)
Auto (8)
Consumer & Retail (7)
Pharma / Healthcare (7)
Telecom (1)
Oil & Gas (6)
Technology (6)
Cement (3)
Realty (3)
Chemicals & Fertilizers (3)
Others (8)
Total
WC Share of WC %
(INR bn) 2025
2020
36,534
13,974
13,874
12,448
11,079
10,969
8,275
7,944
7,141
6,865
4,799
2,359
2,151
9,576
147,988
24.7
9.4
9.4
8.4
7.5
7.4
5.6
5.4
4.8
4.6
3.2
1.6
1.5
6.5
100
22.3
1.7
0.5
0.5
-
31.9
4.9
1.8
19.6
10.7
1.3
-
-
4.9
100
CAGR 20-25 (%)
Price
PAT
36
47
37
40
42
29
31
34
27
34
33
39
54
47
37
64
19
14
20
242
10
27
30
11
13
1
45
16
45
30
P/E (x)
2025
2020
12
42
15
22
20
46
36
48
11
33
47
37
82
46
21
31
15
6
10
1659
21
30
42
6
14
12
46
20
43
16
RoE (%)
2025
2020
16
17
18
13
20
22
17
19
10
18
6
11
14
17
15
3
11
13
9
0
19
9
7
11
21
11
3
16
7
8
Exhibit 14
Expect Banking & Finance to remain the largest Wealth Creating sector in the years to come
Consumer Consumer Banking Banking Banking Consumer Banking Techno- Techno- Banking Banking
& Retail & Retail & Finance & Finance & Finance & Retail & Finance logy
logy & Finance & Finance
2015
2016
2017
2018
2019
2020
2021
2022
2023
2024
2025
Key Takeaway
Expect Banking & Finance to sustain its top spot for much of the foreseeable future
Over the next eight years, expect India’s GDP to double from about USD 4 trillion currently to
USD 8 billion. The Banking & Finance sector is the lubricant of economic growth. Further, the
Capital Market segment is emerging as a major force led by widespread participation of retail
investors. Both combined, expect Banking & Finance to sustain its top spot in Wealth Creation
for much of the foreseeable future.
December 2025
45
 Motilal Oswal Financial Services
30th Annual Wealth Creation Study (2020-2025)
#8
Wealth Creation: Ownership – Private v/s PSU
PSUs remain on the comeback trail
PSUs’ (public sector undertakings) Wealth Creation performance during 2020-25 is a
significant improvement over the last 3 studies: 26 PSUs account for a handsome 25% of
Wealth Created.
The key factors driving PSU Wealth Creation are:
– 7 of the 26 PSUs clocked profit turnaround over 2020-25. Of these, 6 were in the Banking
& Finance sector, causing aggregate sector PAT to rise a whopping 274x.
Valuations in 2020 were extremely attractive, e.g., six PSUs traded at a trailing P/E of less
than 5x.
Exhibit 15
PSUs sustain their recovery trend
49 51
No. of PSUs
% Wealth Created
36
25
28
30
26
35
27
25
18
16
30
27
20
25
10
2
5
2
5
4
7
17
26
20
22
24
20
9
11
9
11
6
9
9
3
7
1
2
1
0
6
7
Exhibit 16
Exhibit 17
Key figures
2020-2025
PSU
Private
26
74
25
75
11
14
34
26
35
37
10
20
10
30
7
9
15
16
PSUs across sectors have created Wealth
Utilities
16%
Metals /
Mining
7%
Oil & Gas
18%
No. of Wealth Creators in Top 100
Share of Wealth Created (%)
5-year Sales CAGR (%)
5-year PAT CAGR (%)
5-year Price CAGR (%)
P/E - 2020 (x)
P/E - 2025 (x)
RoE - 2020 (%)
RoE - 2025 (%)
Capital
Goods /
Engg
17%
Banking &
Finance
42%
Key Takeaway
Low valuations may help PSUs sustain their share of Wealth Created
Despite clocking PAT CAGR of 35% over 2020-25, PSU stocks’ aggregate P/E as of March 2025
stands at an attractive 10x. In contrast, for a comparable PAT CAGR of 37%, Private sector P/E
has leapfrogged from 20x as of March 2020 to 30x as of March 2025. Sectors like Defence and
Utilities should also sustain their earnings trend. All this should help PSUs at least sustain their
current 25% share of Wealth Created.
December 2025
46
 Motilal Oswal Financial Services
30th Annual Wealth Creation Study (2020-2025)
#9
Wealth Creation: Market Cap Rank Analysis
We call large, mid, and small cap stocks as
Mega, Mid,
and
Mini,
respectively, defined as under:
Mega –
Top 100 stocks by market cap rank for any given year
Mid
Next 150 stocks by market cap rank
Mini –
All stocks below the top 250 up to 1000
th
rank.
Market cap ranks of companies change constantly. Over time, companies also cross over from
one category to another. For the period 2020-25, the market cap ranks crossover matrix stands
as under –
Exhibit 18
2020-25: Market cap rank crossovers: Number of companies and average returns
Nifty 50 Total Return CAGR during the period is 24%
Nifty 50 Total Return Index CAGR: 24%
Mega
163%
(1)
56%
(21)
29%
(68)
TO
Mid
68%
(29)
34%
(72)
14%
(28)
Mini
34%
(720)
13%
(57)
-4%
(4)
Mini
Total stocks
750
Mid
FROM
150
Mega
100
How to read the table
In 2020, of the 750 Mini companies (i.e., ranked between 251 and 1,000), only 1 moved to
the Mega category by 2025, clocking a 5-year return CAGR of 163%. 29 Minis moved to the
Mid category by 2025, delivering a return CAGR of 68% in the process. Next, 720 Mini
companies stayed as Mini and delivered a return CAGR of 34%.
Of the 150 mid-sized companies in 2020, 22 moved to Mega by 2025, delivering an average
56% return CAGR in the process. 72 Mid companies stayed as Mid (34% return CAGR) and 57
slipped to the Mini category (13% return CAGR).
Finally, of the 100 Mega companies in 2020, 68 stayed as Mega (29% return CAGR), 28 slipped
to Mid (14% return CAGR), and 4 slipped to the Mini category (-4% return CAGR).
Note: During the 2020-25 period, benchmark Nifty 50 Total Return Index CAGR is 24%.
December 2025
47
 Motilal Oswal Financial Services
30th Annual Wealth Creation Study (2020-2025)
We specifically analyze the three positive crossovers – Mini-to-Mega, Mini-to-Mid, and Mid-to-Mega.
8.1 Mini-to-Mega: 1 company, 163% Total Return CAGR
Over 2020-25, only 1 company – CG Power – moved from the Mini category to the Mega
In the process, it delivered a handsome Total Return CAGR of 163%
However, it didn’t make it to this year’s Wealth Creation Study as its 2020 market cap rank
was beyond 500.
Exhibit 19
Mini-to-Mega (2020-25): 1 company, 163% Total Return CAGR
Company
CG Power & Ind
Market Cap Rank
Mar-25
Mar-20
89
818
WC Rank *
Biggest Fastest
-
-
Tot. Ret.
PAT
CAGR %
CAGR %
163
L to P
P/E (x)
2025 2020
103
N.A.
* 2020-25 Wealth Creation Rank; blank indicates that the company was not among the top 500 companies in 2020
8.2 Mini-to-Mid: 29 companies, 68% average Total Return CAGR
During 2020-25, 29 companies crossed over from Mini to Mid category, generating an
average Total Return CAGR of 68%.
Of these, 26 feature in our Wealth Creation Study.
Exhibit 20
Mini-to-Mid (2020-25): 29 companies, 68% average Total Return CAGR
Company
KPIT Technologi.
Suzlon Energy
Rail Vikas
Jindal Stainless
GE Vernova T&D
Persistent Systems
FACT
Dixon Tech.
Hitachi Energy
Bharat Dynamics
Gujarat Fluoroch
Indian Bank
K P R Mill
Linde India
APL Apollo Tubes
Tata Inv.Corpn.
Cohance Life
Cochin Shipyard
HUDCO
Patanjali Foods
Tube Investments
Laurus Labs
Blue Star
Radico Khaitan
Tata Elxsi
Godfrey Phillips
Narayana Hrudaya.
Bank of Maha.
Pun. & Sind Bank
December 2025
Market Cap Rank
2025
2020
220
534
120
512
127
348
176
490
206
417
106
278
200
395
117
284
150
325
183
311
186
323
128
351
242
380
154
283
197
328
238
313
248
360
214
306
204
288
137
261
153
257
230
307
189
275
235
304
234
291
222
264
226
260
221
255
249
575
WC Rank *
Biggest Fastest
-
-
-
-
68
2
134
3
120
4
60
5
116
6
65
7
92
10
103
15
111
16
67
17
145
18
94
20
123
25
144
50
149
29
129
34
114
36
88
39
95
47
140
53
118
57
146
58
139
63
135
78
142
91
127
123
-
-
Tot. Ret.
CAGR %
107
98
95
90
85
82
82
79
76
70
69
69
68
67
65
65
63
61
61
61
59
57
57
56
54
49
47
42
32
PAT
CAGR %
40
L to P
11
105
L to P
33
45
43
15
1
21
67
17
30
26
28
-5
6
10
42
16
5
32
7
25
24
43
70
L to P
P/E (x)
2025 2020
44
265
37
N.A.
57
4
19
17
65
N.A.
63
13
1,880 599
108
34
147
16
85
6
81
15
6
3
39
6
118
34
57
13
102
37
124
8
45
6
15
2
50
22
79
16
104
13
75
31
94
14
41
15
37
15
44
39
6
13
30
N.A.
48
* 2020-25 Wealth Creation Rank; blank indicates that the company was not among the top 500 companies in 2020
 Motilal Oswal Financial Services
30th Annual Wealth Creation Study (2020-2025)
8.3 Mid-to-Mega: 21 companies, 56% average Total Return CAGR
During 2020-25, 21 companies crossed over from Mid to Mega, delivering an average Total
Return CAGR of 56%
All of them feature in this Wealth Creation Study.
Exhibit 21
Mid-to-Mega (2020-25): 21 companies, 56% average Total Return CAGR
Company
Adani Power
Adani Enterprises
Hind. Aeronautics
JSW Energy
Bharat Electronics
Solar Industries
Tata Power
Varun Beverages
Jindal Steel
Trent
Indian Hotels
Chola. Investment
TVS Motor Co.
REC
Bajaj Holdings
AB
Apollo Hospitals
Shriram Finance
Union Bank (I)
Adani Energy
Samvar.Motherson
Market Cap Rank
2025
2020
38
167
27
136
23
116
95
220
34
114
86
204
68
197
44
132
96
202
42
120
77
196
64
148
75
140
76
118
59
105
73
106
94
127
65
137
90
176
83
101
99
108
WC Rank *
Biggest Fastest
27
8
15
9
12
11
59
21
22
23
52
24
40
28
30
30
57
32
29
33
49
35
42
48
48
68
43
76
38
83
50
110
63
117
51
139
55
156
69
173
100
225
Tot. Ret.
PAT
CAGR %
CAGR %
79
L to P
76
33
75
24
67
12
66
24
65
36
64
53
63
41
62
210
62
67
61
43
58
32
53
27
49
26
48
17
43
40
42
34
40
27
37
L to P
36
26
32
26
P/E (x)
2025
2020
15
N.A.
66
16
33
6
53
7
42
10
81
31
32
20
69
33
26
677
130
153
68
32
30
12
53
22
7
4
22
7
63
57
68
49
15
6
5
N.A.
44
28
25
17
* 2020-25 Wealth Creation Rank; blank indicates that the company was not among the top 500 companies in 2020
Key Takeaway
Mid-to-Mega is a potent investment strategy
Every year, our analysis of market cap crossovers lead to the same findings –
Companies leap-frogging from Mini to Mega is very rare.
A fair number of companies move from Mini to Mid and deliver supernormal returns.
However, they need to be identified from a large base of 750 companies.
The most potent and focused hunting ground for high-performing stocks is the Mid
category i.e. 150 stocks with market cap rank 101 to 250.
Over the next five years, 12-25 of these stocks (healthy 8-16% strike rate) will cross over to
the Mega category and deliver handsome returns in the process.
December 2025
49
 Motilal Oswal Financial Services
30th Annual Wealth Creation Study (2020-2025)
#10
Wealth Creation: Valuation parameter analysis
High returns across the board
Valuations did not matter significantly during 2020-25, given widespread robust returns.
Exhibit 22
The lowest ratios across most valuation metrics delivered the highest returns
Range
No. of
WC
% Share
CAGR (%)
RoE (%)
in 2020
Cos.
(INR b)
of WC
WC
PAT
2025
2020
P/E
<10
10-15
15-20
20-25
25-30
>30
Loss-making
Total
Price / Book
<1
1-2
2-3
3-4
4-5
>5
Negative NW
Total
Price / Sales
<1
1-2
2-3
3-4
4-5
>5
Total
Payback ratio
<1
1-2
2-3
>3
Others
Total
26
13
11
8
5
22
15
100
37,987
26,586
10,404
17,539
7,142
30,654
17,676
147,988
26
18
7
12
5
21
12
100
40
34
38
38
34
36
48
38
14
20
17
33
39
43
L to P
30
14
18
12
15
15
16
15
15
13
13
14
8
6
5
-12
8
35
20
20
5
6
13
1
100
48,143
37,725
24,262
14,093
9,720
13,567
478
147,988
33
25
16
10
7
9
0
100
43
39
34
30
38
35
43
38
41
27
16
14
26
35
L to L
30
14
16
19
21
18
18
40
15
5
10
19
15
16
12
73
8
40
21
18
8
5
8
100
60,244
24,510
34,176
9,451
8,773
10,833
147,988
41
17
23
6
6
7
100
43
39
35
32
30
35
38
34
53
21
14
11
26
30
14
17
16
30
22
12
15
7
4
11
17
20
9
8
35
26
18
18
3
100
52,552
40,828
27,856
24,022
2,730
147,988
36
28
19
16
2
100
43
36
34
34
42
38
37
23
17
28
L to P
30
15
16
15
16
17
15
6
11
13
9
-13
8
(Payback is a proprietary ratio of Motilal Oswal, defined as current market cap divided by estimated profits over the
next five years. For 2020, we calculate this ratio based on market cap as on 31-Mar-2020, divided by the actual
profits reported over the next five years, 2021 to 2025. “Others” are cases where the Payback ratio cannot be
calculated due to cumulative loss, 2021 to 2025.)
December 2025
50
 Motilal Oswal Financial Services
30th Annual Wealth Creation Study (2020-2025)
PEG < 1x remains a solid formula for superior returns
For this section, the PEG (P/E to Growth ratio) is obtained by dividing trailing
12-month P/E by future 5-year earnings CAGR.
We have used perfect foresight of 5 years’ earnings to calculate PEG. Thus, if a stock’s P/E in
2020 is 20x, and its 2020-25 PAT CAGR is 25%, its 2020 PEG works out to 0.8x (20 ÷ 25).
Clearly, the lower the PEG, the higher the likely return.
Stocks with a PEG less than 1x tend to significantly outperform the market.
As tabled below, the story was no different for the 2020-25 Wealth Creators. Excluding
turnarounds, PEG < 1x has delivered the highest return.
Exhibit 23
PEG less than 1x is a solid formula for high returns
PEG Range
No. of
WC
% Share
CAGR (%)
in 2020 (x)
Cos.
(INR b)
of WC
WC
PAT
RoE (%)
2025
2020s
<1
1-2
2-3
>3
Others
Total
46
22
9
5
18
100
67,703
39,453
11,638
7,008
22,186
147,988
46
27
8
5
15
100
40
36
29
30
47
38
28
13
7
11
L to P
30
16
18
13
10
13
15
10
15
15
11
-6
8
Note:
PEG here is calculated as P/E of March 2020 divided by 2020-25 PAT CAGR
“Others” are cases where PAT CAGR cannot be calculated, e.g., turnarounds
December 2025
51
 Motilal Oswal Financial Services
30th Annual Wealth Creation Study (2020-2025)
#11
Wealth Destruction: Companies & Sectors
Wealth Destroyed is the lowest in the last 17 study periods
The total Wealth Destroyed during 2020-25 is just INR 666 billion, a mere 0.4% of the total
Wealth Created by the top 100 companies.
Only 24 of the top 500 companies destroyed wealth. This reflects the full impact of the covid-
hit low base of March 2020.
The top 10 Wealth Destroying companies accounted for as high as 82% of the total Wealth
Destroyed.
Interestingly, all the top 10 Wealth Destroyers are from consumer-facing businesses.
Exhibit 24
Wealth Destroyed is a mere 0.4% of Wealth Created
Wealth Destroyed - 2020-25
Wealth destroyed (INR bn)
% of Wealth Created by top 100 Wealth Creators
93
130
56
43
18
2
15
33
14
43
15
18
11
15
16
25
3
0
Exhibit 25
Exhibit 26
All the top 10 Wealth Destroying companies are from
consumer-facing businesses
Company
Wealth Destroyed
INR bn % Share
Tot. Ret.
CAGR (%)
Consumer & Retail unexpectedly leads the
list of Wealth Destroying sectors
Sector
Wealth
Destroyed
(INR bn)
%
Share
Rajesh Exports
Whirlpool India
Bandhan Bank
Vodafone Idea
Dhani Services
Relaxo Footwear
PVR Inox
Spandana Sphoorty
Zee Entertainment
Future Consumer
Total of Above
Total Wealth Destroyed
105
100
84
71
44
44
42
24
16
15
545
666
16
15
13
11
7
7
6
4
2
2
82
100
-19
-11
-6
17
-12
-7
-5
-17
-3
-41
Consumer & Retail
Financials
Telecom
Media/Entertainment
Capital Goods/Engg
Realty
IT
Others
TOTAL
296
158
71
59
15
12
11
43
666
44
24
11
9
2
2
2
7
100
December 2025
52
 Motilal Oswal Financial Services
30th Annual Wealth Creation Study (2020-2025)
Appendices
December 2025
53
 Motilal Oswal Financial Services
30th Annual Wealth Creation Study (2020-2025)
Appendix 1: The 100 Biggest Wealth Creators (2020-2025)
Rank
1
2
3
4
5
6
7
8
9
10
11
12
13
14
15
16
17
18
19
20
21
22
23
24
25
26
27
28
29
30
31
32
33
34
35
36
37
38
39
40
41
42
43
44
45
46
47
48
49
50
Company
Bharti Airtel
ICICI Bank
SBI
Bajaj Finance
Larsen & Toubro
ITC
HCL Technologies
Sun Pharma
M&M
NTPC
ONGC
Hind. Aeronautics
Bajaj Finserv
UltraTech Cement
Adani Enterprises
Tata Motors
Vedanta
Power Grid Corpn
JSW Steel
Coal India
Axis Bank
Bharat Electronics
Adani Ports
Hindustan Zinc
Titan Company
Bajaj Auto
Adani Power
Tata Steel
Trent
Varun Beverages
Interglobe Aviation
IOCL
Siemens
Grasim Inds
DLF
Hindalco Inds.
Power Fin.Corpn.
Bajaj Holdings
Adani Green
Tata Power
Eicher Motors
Chola. Investment
REC
IDBI Bank
Bank of Baroda
Divi's Lab.
GAIL (India)
TVS Motor Co.
Indian Hotels
AB
Wealth Created
INR b
Share (%)
7,944
5.4
7,417
5.0
5,593
3.8
4,206
2.8
3,974
2.7
3,765
2.5
3,708
2.5
3,459
2.3
3,055
2.1
2,997
2.0
2,807
1.9
2,707
1.8
2,473
1.7
2,463
1.7
2,416
1.6
2,374
1.6
2,350
1.6
2,344
1.6
2,335
1.6
2,266
1.5
2,232
1.5
2,083
1.4
2,008
1.4
1,959
1.3
1,930
1.3
1,879
1.3
1,824
1.2
1,763
1.2
1,722
1.2
1,608
1.1
1,566
1.1
1,510
1.0
1,500
1.0
1,458
1.0
1,394
0.9
1,359
0.9
1,314
0.9
1,243
0.8
1,225
0.8
1,166
0.8
1,160
0.8
1,140
0.8
1,133
0.8
1,127
0.8
1,125
0.8
1,042
0.7
1,041
0.7
1,023
0.7
998
0.7
996
0.7
Wealth Created
INR b
Share (%)
CAGR (2020-25, %)
Total Ret.
PAT
32
30
34
40
33
37
33
26
35
10
24
5
33
9
38
24
57
L to P
36
16
34
19
75
24
34
21
29
1
76
33
57
L to P
61
1
31
9
50
-3
29
16
24
72
66
24
37
23
32
9
27
17
33
7
79
L to P
45
L to P
62
67
63
41
37
L to P
24
3
37
19
41
-7
38
89
49
33
45
26
48
17
44
70
64
53
33
21
58
32
49
26
34
L to P
36
86
24
10
33
2
53
27
61
43
43
40
CAGR (2020-25, %)
Total Ret.
PAT
Mkt Cap (INR bn)
2025
2020
10,378
2,404
9,528
2,100
6,886
1,758
5,561
1,333
4,801
1,133
5,128
2,114
4,317
1,185
4,164
845
3,316
354
3,468
833
3,100
859
2,793
178
3,203
730
3,390
939
2,680
151
2,481
235
1,815
241
2,701
832
2,599
354
2,456
863
3,413
1,070
2,202
181
2,553
511
1,952
656
2,720
829
2,199
586
1,964
107
1,926
306
1,888
170
1,825
153
1,976
411
1,804
769
1,879
396
1,778
313
1,684
340
1,533
215
1,367
243
1,388
200
1,503
240
1,200
89
1,466
357
1,278
125
1,131
175
835
200
1,181
247
1,533
528
1,202
345
1,150
141
1,120
89
1,175
198
Mkt Cap (INR bn)
2025
2020
ROE (%)
2025
2020
19
7
16
8
17
7
17
16
16
14
28
24
25
21
16
9
17
-1
11
9
11
7
24
21
12
11
9
15
8
6
24
-16
33
23
16
15
5
13
36
52
15
2
27
18
17
15
78
17
29
23
21
24
23
-19
4
0
27
5
16
14
62
-15
6
11
16
12
4
10
11
1
13
7
20
14
10
11
14
5
10
2
22
18
18
13
20
14
15
-45
14
1
15
18
12
19
25
20
15
6
27
10
ROE (%)
2025
2020
P/E (x)
2025
2020
48
42
19
22
9
11
33
25
31
12
26
14
25
11
36
21
26
N.A.
17
8
9
6
33
6
36
22
56
17
66
16
9
N.A.
14
2
18
9
67
8
7
5
12
58
42
10
24
13
19
10
82
55
30
11
15
N.A.
54
N.A.
130
153
69
33
34
N.A.
15
8
75
37
49
6
36
177
10
6
6
3
22
7
86
193
32
20
31
20
30
12
7
4
11
N.A.
6
27
70
40
11
4
53
22
68
32
63
57
P/E (x)
2025
2020
Rank Company
December 2025
54
 Motilal Oswal Financial Services
30th Annual Wealth Creation Study (2020-2025)
Appendix 1: The 100 Biggest Wealth Creators (2020-2025) … continued
Wealth Created
Rank Company
INR b
Share (%)
51 Shriram Finance
974
0.7
52 Solar Industries
939
0.6
53 Ambuja Cements
878
0.6
54 Punjab Natl.Bank
868
0.6
55 Union Bank (I)
861
0.6
56 Cipla
861
0.6
57 Jindal Steel
856
0.6
58 Canara Bank
849
0.6
59 JSW Energy
837
0.6
60 Persistent Systems
829
0.6
61 Cummins India
796
0.5
62 Torrent Pharma.
794
0.5
63 Apollo Hospitals
791
0.5
64 Muthoot Finance
756
0.5
65 Dixon Tech.
748
0.5
66 BSE
738
0.5
67 Indian Bank
733
0.5
68 Rail Vikas
726
0.5
69 Adani Energy
719
0.5
70 NHPC
717
0.5
71 SRF
717
0.5
72 Tata Consumer
690
0.5
73 B H E L
685
0.5
74 Havells India
682
0.5
75 United Spirits
682
0.5
76 Polycab India
679
0.5
77 Info Edge
673
0.5
78 Lupin
670
0.5
79 Zydus Lifesciences
658
0.4
80 Torrent Power
620
0.4
81 Oil India
610
0.4
82 Bosch
608
0.4
83 H P C L
604
0.4
84 General Insurance
604
0.4
85 Oracle Financial
600
0.4
86 LTIMindtree
592
0.4
87 I O B
579
0.4
88 Patanjali Foods
571
0.4
89 Adani Total Gas
568
0.4
90 Bank of India
567
0.4
91 Ashok Leyland
518
0.4
92 Hitachi Energy
508
0.3
93 NMDC
502
0.3
94 Linde India
496
0.3
95 Tube Investments
484
0.3
96 Phoenix Mills
483
0.3
97 Oberoi Realty
482
0.3
98 GMR Airports
478
0.3
99 Coforge
463
0.3
100 Samvardh. Motherson 462
0.3
Wealth Created
Rank Company
INR b
Share (%)
CAGR (2020-25, %)
Total Ret.
PAT
40
27
65
36
30
15
26
111
37
L to P
29
29
62
210
41
L to P
67
12
83
33
58
22
28
14
42
34
32
11
79
43
124
65
69
67
95
11
36
26
36
-2
40
4
29
15
60
L to P
27
15
24
20
48
21
29
L to P
28
L to P
28
26
41
13
51
6
26
13
27
15
34
L to P
35
10
27
25
41
L to P
61
42
47
9
30
L to P
39
54
76
15
34
13
67
30
59
16
42
23
38
26
36
L to L
49
13
32
26
CAGR (2020-25, %)
Total Ret.
PAT
Mkt Cap (INR bn)
2025
2020
1,233
150
1,017
82
1,325
309
1,105
218
963
98
1,164
341
930
84
807
93
940
70
858
42
845
90
1,095
334
952
158
956
245
792
41
742
13
730
26
733
27
1,047
208
826
200
871
160
991
272
752
72
958
300
1,020
352
774
110
929
249
925
267
891
273
749
134
628
90
836
278
766
290
737
184
681
175
1,331
249
750
117
655
51
662
95
488
106
600
126
564
32
606
245
533
42
536
52
586
88
595
122
799
98
542
72
922
193
Mkt Cap (INR bn)
2025
2020
ROE (%)
2025
2020
15
14
29
19
8
9
15
1
17
-10
16
9
7
0
18
-6
7
9
21
14
26
16
25
21
17
10
18
27
24
22
31
5
18
4
13
15
11
9
7
11
10
20
6
5
2
-5
18
17
19
17
20
19
0
-14
19
-4
19
14
16
17
13
21
15
12
13
11
13
-1
28
22
20
28
12
-62
11
7
16
29
13
-8
25
5
9
23
22
13
12
6
12
18
9
9
14
8
40
73
12
18
11
10
ROE (%)
2025
2020
P/E (x)
2025
2020
15
6
81
31
32
15
6
50
5
N.A.
23
23
26
677
5
N.A.
53
7
63
13
42
12
57
33
68
49
18
8
108
34
53
12
6
3
57
4
44
28
28
6
70
16
78
43
145
N.A.
65
41
68
57
40
15
554
N.A.
28
N.A.
19
19
27
9
10
2
42
25
11
8
11
N.A.
29
12
29
16
22
N.A.
50
22
101
22
5
N.A.
20
35
147
16
9
7
118
34
79
16
64
27
27
18
N.A.
N.A.
68
16
25
17
P/E (x)
2025
2020
Note:
Total Return CAGR considers price of March 2025 + Cumulative Dividends over 5 years (2021 to 2025)
L to P stands for Loss to Profit; N.A. stands for Not Applicable
December 2025
55
 Motilal Oswal Financial Services
30th Annual Wealth Creation Study (2020-2025)
Appendix 2: The 100 Fastest Wealth Creators (2020-2025)
Rank
1
2
3
4
5
6
7
8
9
10
11
12
13
14
15
16
17
18
19
20
21
22
23
24
25
26
27
28
29
30
31
32
33
34
35
36
37
38
39
40
41
42
43
44
45
46
47
48
49
50
Rank
Company
BSE
Rail Vikas
Jindal Stainless
GE Vernova T&D
Persistent Systems
FACT
Dixon Tech.
Adani Power
Adani Enterprises
Hitachi Energy
Hind. Aeronautics
JSW Holdings
Himadri Special
Welspun Corp
Bharat Dynamics
Gujarat Fluoroch
Indian Bank
K P R Mill
Firstsource Sol.
Linde India
JSW Energy
Garden Reach
Bharat Electronics
Solar Industries
APL Apollo Tubes
Jindal Saw
CDSL
Tata Power
Cohance Life
Varun Beverages
eClerx Services
Jindal Steel
Trent
Cochin Shipyard
Indian Hotels
HUDCO
KEI Industries
Karur Vysya Bank
Patanjali Foods
Vedanta
Hindustan Copper
Raymond
BHEL
Supreme Petro
Schneider Electricf
Triveni Turbine
Tube Investments
Chola. Investment
Cummins India
Tata Inv.Corpn.
Company
2020-25 Total Ret.
CAGR (%) Times (x)
124
56.1
95
28.0
90
24.6
85
21.5
83
20.3
82
19.9
79
18.5
79
18.3
76
16.9
76
16.9
75
16.2
74
15.9
70
14.4
70
14.3
70
14.1
69
13.9
69
13.6
68
13.6
67
13.0
67
12.9
67
12.9
66
12.6
66
12.5
65
12.4
65
12.4
65
12.1
64
11.8
64
11.7
63
11.6
63
11.5
63
11.4
62
11.2
62
11.1
61
11.0
61
10.9
61
10.9
61
10.9
61
10.8
61
10.8
61
10.7
60
10.6
60
10.5
60
10.5
60
10.4
59
10.2
59
10.2
59
10.2
58
10.0
58
9.8
58
9.8
2020-25 Total Ret.
CAGR (%) Times (x)
CAGR 20-25 (%)
PAT
Sales
65
39
11
7
105
25
L to P
6
33
27
45
8
43
55
L to P
16
33
18
15
15
24
8
13
15
22
21
13
7
1
2
21
13
67
24
17
14
12
14
30
7
12
7
25
29
24
13
36
28
26
23
24
12
38
37
53
18
-5
8
41
19
20
19
210
2
67
38
6
7
43
13
10
6
22
15
51
10
42
21
1
13
L to P
20
-34
-21
L to P
6
29
17
L to P
14
23
20
16
33
32
24
22
15
28
16
CAGR 20-25 (%)
PAT
Sales
Wealth Created
INR b Share (%)
738
0.5
726
0.5
324
0.2
381
0.3
829
0.6
394
0.3
748
0.5
1,824
1.2
2,416
1.6
508
0.3
2,707
1.8
237
0.2
192
0.1
218
0.1
444
0.3
411
0.3
733
0.5
293
0.2
234
0.2
496
0.3
837
0.6
182
0.1
2,083
1.4
939
0.6
369
0.2
163
0.1
241
0.2
1,166
0.8
273
0.2
1,608
1.1
130
0.1
856
0.6
1,722
1.2
347
0.2
998
0.7
395
0.3
233
0.2
159
0.1
571
0.4
2,350
1.6
193
0.1
80
0.1
685
0.5
115
0.1
144
0.1
166
0.1
484
0.3
1,140
0.8
796
0.5
295
0.2
Wealth Created
INR bn Share (%)
RoE (%)
2025 2020
31
5
13
15
15
3
34
-24
21
14
2
-1
24
22
23
-19
8
6
9
23
24
21
1
1
15
12
16
20
14
21
8
6
18
4
16
20
14
12
12
6
7
9
25
16
27
18
29
19
18
17
15
9
30
15
10
2
14
37
16
14
23
16
7
0
27
5
15
17
15
6
15
14
12
17
16
4
11
7
33
23
17
-59
1
7
2
-5
17
15
53
38
27
22
12
18
18
13
26
16
1
1
RoE (%)
2025 2020
P/E (x)
2025
2020
53
12
57
4
19
17
65
N.A.
63
13
1,880
599
108
34
15
N.A.
66
16
147
16
33
6
129
15
38
6
19
2
85
6
81
15
6
3
39
6
41
6
118
34
53
7
37
9
42
10
81
31
57
13
10
2
48
21
32
20
124
8
69
33
26
6
26
677
130
153
45
6
68
32
15
2
40
9
9
7
50
22
14
2
46
N.A.
464
9
145
N.A.
32
12
63
N.A.
54
16
79
16
30
12
42
12
102
37
P/E (x)
2025
2020
December 2025
56
 Motilal Oswal Financial Services
30th Annual Wealth Creation Study (2020-2025)
Appendix 2: The 100 Fastest Wealth Creators (2020-2025) … continued
Rank Company
51
52
53
54
55
56
57
58
59
60
61
62
63
64
65
66
67
68
69
70
71
72
73
74
75
76
77
78
79
80
81
82
83
84
85
86
87
88
89
90
91
92
93
94
95
96
97
98
99
100
Rank
Tata Motors
M&M
Laurus Labs
Poly Medicure
Minda Corp
Sobha
Blue Star
Radico Khaitan
BEML
Wockhardt
HFCL
Elgi Equipments
Tata Elxsi
IRB Infra
KSB
Kirloskar Oil
Zensar Tech.
TVS Motor Co.
Redington
Affle 3i
Oil India
NBCC
Glenmark Pharma.
JSW Steel
Brigade Enterprises
REC
Uno Minda
Godfrey Phillips
Mah. Seamless
Hindalco Inds.
TVS Holdings
Coforge
Bajaj Holdings
Tata Comm
Caplin Point Lab
Prestige Estates
Polycab India
LMW
Natl. Aluminium
Adani Total Gas
Narayana Hrudaya.
NIIT
A B Real Estate
Birlasoft
J B Chemicals
PNB Housing
Century Plyboard
Power Fin.Corpn.
Tata Steel
Aster DM Health.
Company
2020-25 Total Ret.
CAGR (%) Times (x)
57
9.7
57
9.6
57
9.6
57
9.6
57
9.5
57
9.4
57
9.4
56
9.1
56
9.1
55
8.9
55
8.9
54
8.8
54
8.8
54
8.6
54
8.6
54
8.6
53
8.5
53
8.3
52
8.1
51
7.9
51
7.9
50
7.7
50
7.5
50
7.5
50
7.5
49
7.5
49
7.4
49
7.4
49
7.4
49
7.3
49
7.3
49
7.2
48
7.2
48
7.2
48
7.2
48
7.1
48
7.1
48
7.1
48
7.1
47
7.0
47
6.9
46
6.7
46
6.7
46
6.7
46
6.6
46
6.6
45
6.4
45
6.4
45
6.4
45
6.4
2020-25 Total Ret.
CAGR (%) Times (x)
CAGR (20-25, %)
PAT
Sales
L to P
11
L to P
16
5
14
28
19
L to P
13
-20
1
32
17
7
15
36
6
L to L
1
-5
1
52
14
25
18
8
2
22
14
23
13
20
5
27
19
17
14
42
47
6
12
51
8
12
5
-3
18
37
14
26
13
40
22
24
14
32
15
33
15
24
18
13
24
17
11
L to P
6
20
18
5
-2
21
20
27
14
108
15
9
22
43
12
-17
-17
P to L
-19
18
10
20
17
25
-2
6
14
26
11
L to P
9
-10
-14
CAGR (20-25, %)
PAT
Sales
Wealth Created
INR bn Share (%)
2,374
1.6
3,055
2.1
300
0.2
194
0.1
116
0.1
99
0.1
391
0.3
291
0.2
118
0.1
190
0.1
93
0.1
138
0.1
304
0.2
206
0.1
112
0.1
95
0.1
147
0.1
1,023
0.7
190
0.1
186
0.1
610
0.4
197
0.1
380
0.3
2,335
1.6
193
0.1
1,133
0.8
434
0.3
315
0.2
80
0.1
1,359
0.9
150
0.1
463
0.3
1,243
0.8
411
0.3
132
0.1
395
0.3
679
0.5
149
0.1
325
0.2
568
0.4
297
0.2
8
0.0
189
0.1
100
0.1
220
0.1
178
0.1
134
0.1
1,314
0.9
1,763
1.2
257
0.2
Wealth Created
INR b Share (%)
RoE (%)
2025 2020
24
-16
17
-1
7
14
12
22
12
0
2
12
19
19
13
16
10
3
-1
-6
4
14
19
6
27
24
5
10
17
11
14
9
15
12
25
20
13
12
13
29
13
21
24
5
15
12
5
13
12
6
20
14
16
9
18
15
12
6
13
7
24
15
12
18
10
11
44
48
20
24
3
7
20
19
3
2
30
1
16
29
22
11
4
8
-2
11
15
12
19
18
11
8
8
13
20
14
4
0
10
14
RoE (%)
2025 2020
P/E (x)
2025
2020
9
N.A.
26
N.A.
104
13
68
22
51
N.A.
138
5
75
31
94
14
46
30
N.A.
N.A.
64
5
44
42
41
15
27
3
50
16
24
8
25
8
53
22
17
5
59
39
10
2
37
39
33
8
67
8
35
19
7
4
54
36
37
15
12
7
10
6
16
8
68
16
22
7
34
N.A.
28
10
110
18
40
15
205
97
6
40
101
22
44
39
36
10
N.A.
9
21
8
39
15
12
4
81
17
6
3
54
N.A.
90
10
P/E (x)
2025
2020
Note:
Total Return considers price of March 2025 + Cumulative Dividends over 5 years (2021 to 2025)
L to P stands for Loss to Profit; N.A. stands for Not Applicable
December 2025
57
 Motilal Oswal Financial Services
30th Annual Wealth Creation Study (2020-2025)
Appendix 3: The top 100 Consistent Wealth Creators (2020-2025)
Rank
1
2
3
4
5
6
7
8
9
10
11
12
13
14
15
16
17
18
19
20
21
22
23
24
25
26
27
28
29
30
31
32
33
34
35
36
37
38
39
40
41
42
43
44
45
46
47
48
49
50
Company
Hind. Aeronautics
Welspun Corp
Bharat Dynamics
Indian Bank
Bharat Electronics
Jindal Steel
Patanjali Foods
Chola. Investment
Minda Corp
Radico Khaitan
Uno Minda
Bajaj Holdings
NMDC
BSE
Rail Vikas
Jindal Stainless
Persistent Systems
Adani Power
Hitachi Energy
Himadri Special
Gujarat Fluoroch
K P R Mill
Linde India
Garden Reach
Solar Industries
Jindal Saw
CDSL
Cohance Life
Varun Beverages
eClerx Services
Trent
Indian Hotels
HUDCO
KEI Industries
Karur Vysya Bank
Raymond
Triveni Turbine
Tube Investments
Cummins India
Tata Inv.Corpn.
Tata Motors
M&M
Laurus Labs
Poly Medicure
Blue Star
Elgi Equipments
IRB Infra
KSB
Zensar Tech.
TVS Motor Co.
No. of years of
outperformance
5
5
5
5
5
5
5
5
5
5
5
5
5
4
4
4
4
4
4
4
4
4
4
4
4
4
4
4
4
4
4
4
4
4
4
4
4
4
4
4
4
4
4
4
4
4
4
4
4
4
No. of years of
outperformance
2020-25
TR CAGR (%)
75
70
70
69
66
62
61
58
57
56
49
48
34
124
95
90
83
79
76
70
69
68
67
66
65
65
64
63
63
63
62
61
61
61
61
60
59
59
58
58
57
57
57
57
57
54
54
54
53
53
2020-25
TR CAGR (%)
2020-25
Market Cap (INR bn)
PAT CAGR (%)
2025
2020
24
2,793
178
13
228
16
1
469
34
67
730
26
24
2,202
181
210
930
84
42
655
51
32
1,278
125
L to P
129
13
7
325
36
40
504
63
17
1,388
200
13
606
245
65
742
13
11
733
27
105
479
12
33
858
42
L to P
1,964
107
15
564
32
22
209
12
21
442
32
17
310
23
30
533
42
25
193
16
36
1,017
82
24
173
15
38
255
22
-5
295
26
41
1,825
153
20
136
14
67
1,888
170
43
1,120
89
10
399
40
22
276
24
51
168
16
-34
93
14
23
179
18
16
536
52
22
845
90
28
320
34
L to P
2,481
235
L to P
3,316
354
5
331
34
28
227
21
32
439
44
52
153
18
8
273
19
22
124
15
20
159
19
27
1,150
141
2020-25
Market Cap (INR bn)
PAT CAGR (%)
2025
2020
RoE (%)
2025 2020
24
21
16
20
14
21
18
4
27
18
7
0
11
7
18
13
12
0
13
16
16
9
10
11
22
13
31
5
13
15
15
3
21
14
23
-19
9
23
15
12
8
6
16
20
12
6
25
16
29
19
15
9
30
15
14
37
16
14
23
16
27
5
15
6
15
14
12
17
16
4
1
7
27
22
12
18
26
16
1
1
24
-16
17
-1
7
14
12
22
19
19
19
6
5
10
17
11
15
12
25
20
RoE (%)
2025 2020
P/E (x)
2025 2020
33
6
19
2
85
6
6
3
42
10
26
677
50
22
30
12
51
N.A.
94
14
54
36
22
7
9
7
53
12
57
4
19
17
63
13
15
N.A.
147
16
38
6
81
15
39
6
118
34
37
9
81
31
10
2
48
21
124
8
69
33
26
6
130
153
68
32
15
2
40
9
9
7
464
9
54
16
79
16
42
12
102
37
9
N.A.
26
N.A.
104
13
68
22
75
31
44
42
27
3
50
16
25
8
53
22
P/E (x)
2025 2020
Rank Company Name
December 2025
58
 Motilal Oswal Financial Services
30th Annual Wealth Creation Study (2020-2025)
Appendix 3: The top 100 Consistent Wealth Creators (2020-2025) … continued
Rank
51
52
53
54
55
56
57
58
59
60
61
62
63
64
65
66
67
68
69
70
71
72
73
74
75
76
77
78
79
80
81
82
83
84
85
86
87
88
89
90
91
92
93
94
95
96
97
98
99
100
Company Name
Redington
Glenmark Pharma.
Hindalco Inds.
Coforge
Polycab India
LMW
Natl. Aluminium
Narayana Hrudaya.
J B Chemicals
PNB Housing
Century Plyboard
Aster DM Health.
Sonata Software
Chambal Fert.
Cyient
Transport Corp.
NLC India
EID Parry
Phoenix Mills
Mah. Scooters
J K Cements
Shriram Finance
Sun Pharma
Thermax
RCF
Federal Bank
NTPC
Larsen & Toubro
Ratnamani Metals
K E C Intl.
360 ONE
General Insurance
ICICI Bank
Eicher Motors
SBI
Mphasis
GAIL (India)
HCL Technologies
BASF India
Asahi India Glas
Sundaram Finance
Power Grid Corpn
CEAT
Navin Fluo.Intl.
Endurance Tech.
Voltas
GE Vernova T&D
FACT
Dixon Tech.
Adani Enterprises
No. of years of
outperformance
4
4
4
4
4
4
4
4
4
4
4
4
4
4
4
4
4
4
4
4
4
4
4
4
4
4
4
4
4
4
4
4
4
4
4
4
4
4
4
4
4
4
4
4
4
4
3
3
3
3
No. of years of
outperformance
2020-25
TR CAGR (%)
52
50
49
49
48
48
48
47
46
46
45
45
44
44
43
43
42
42
42
42
40
40
38
38
37
37
36
35
34
34
34
34
34
33
33
33
33
33
32
31
31
31
30
28
27
25
85
82
79
76
2020-25
TR CAGR (%)
2020-25
Market Cap (INR bn)
PAT CAGR (%)
2025
2020
17
190
26
12
435
58
33
1,533
215
13
542
72
21
774
110
27
171
25
108
322
54
43
346
51
20
253
39
25
229
27
6
158
25
-10
242
48
9
97
17
7
251
45
12
140
25
22
85
14
12
339
61
3
140
25
23
586
88
-1
128
23
9
381
73
27
1,233
150
24
4,164
845
25
435
88
-3
69
16
21
473
82
16
3,468
833
10
4,801
1,133
12
181
42
0
208
48
40
371
86
L to P
737
184
40
9,528
2,100
21
1,466
357
37
6,886
1,758
7
475
124
2
1,202
345
9
4,317
1,185
57
192
49
18
146
38
19
509
133
9
2,701
832
15
117
32
-7
209
61
7
277
84
9
483
158
L to P
398
19
45
414
21
43
792
41
33
2,680
151
2020-25
Market Cap (INR bn)
PAT CAGR (%)
2025
2020
RoE (%)
2025 2020
13
12
15
12
13
7
12
18
20
19
3
2
30
1
22
11
19
18
11
8
8
13
10
14
25
41
18
32
12
13
19
15
14
11
7
13
9
9
1
2
13
17
15
14
16
9
13
7
5
9
12
11
11
9
16
14
15
18
11
20
15
7
13
-1
16
8
22
18
17
7
17
20
12
19
25
21
13
4
13
12
14
12
16
15
11
9
11
29
14
18
13
13
34
-24
2
-1
24
22
8
6
RoE (%)
2025 2020
P/E (x)
2025 2020
17
5
33
8
10
6
68
16
40
15
205
97
6
40
44
39
39
15
12
4
81
17
90
10
23
6
16
4
23
7
21
10
13
4
25
5
64
27
73
13
48
14
15
6
36
21
68
42
29
6
11
5
17
8
31
12
33
14
37
8
34
43
11
N.A.
19
22
31
20
9
11
28
10
11
4
25
11
42
101
43
25
27
17
18
9
24
13
72
15
35
15
58
29
65
N.A.
1,880 599
108
34
66
16
P/E (x)
2025 2020
Rank Company Name
Note:
Total Return CAGR considers price of March 2025 + Cumulative Dividends over 5 years (2021 to 2025)
L to P stands for Loss to Profit
December 2025
59
 Motilal Oswal Financial Services
30th Annual Wealth Creation Study (2020-2025)
Appendix 4: The top 100 All-round Wealth Creators (2020-2025)
All-round
Rank
1
2
3
4
5
6
7
8
9
10
11
12
13
14
15
16
17
18
19
20
21
22
23
24
25
26
27
28
29
30
31
32
33
34
35
36
37
38
39
40
41
42
43
44
45
46
47
48
49
50
All-round
Rank
Company
Hind. Aeronautics
Bharat Electronics
Adani Power
BSE
Persistent Systems
Rail Vikas
Indian Bank
Varun Beverages
Trent
Jindal Steel
Chola. Investment
Solar Industries
M&M
Tata Motors
Indian Hotels
Bharat Dynamics
Hitachi Energy
Adani Enterprises
Bajaj Holdings
Patanjali Foods
Linde India
Gujarat Fluoroch
Cummins India
Jindal Stainless
Vedanta
TVS Motor Co.
Hindalco Inds.
Dixon Tech.
Tata Power
Tube Investments
Welspun Corp
HUDCO
JSW Energy
K P R Mill
Uno Minda
Cohance Life
CDSL
Himadri Special
JSW Steel
Radico Khaitan
Polycab India
Blue Star
FACT
GE Vernova T&D
BHEL
Sun Pharma
KEI Industries
Garden Reach
Tata Inv.Corpn.
Coforge
Company
Biggest
12
22
27
66
60
68
67
30
29
57
42
52
9
16
49
103
92
15
38
88
94
111
61
134
17
48
36
65
40
95
167
114
59
145
107
149
155
178
19
146
76
118
116
120
73
8
158
185
144
99
Biggest
Rank
Fastest
11
23
8
1
5
2
17
30
33
32
48
24
52
51
35
15
10
9
83
39
20
16
49
3
40
68
80
7
28
47
14
36
21
18
77
29
27
13
74
58
87
57
6
4
43
146
37
22
50
82
Rank
Fastest
Consistent
1
5
18
14
17
15
4
29
31
6
8
25
42
41
32
3
19
100
12
7
23
21
39
16
107
50
53
99
105
38
2
33
103
22
11
28
27
20
118
10
55
45
98
97
108
73
34
24
40
54
Consistent
Total of
Ranks
24
50
53
81
82
85
88
89
93
95
98
101
103
108
116
121
121
124
133
134
137
148
149
153
164
166
169
171
173
180
183
183
183
185
195
206
209
211
211
214
218
220
220
221
224
227
229
231
234
235
Total of
Ranks
2020-25
Total Ret. CAGR (%)
75
66
79
124
83
95
69
63
62
62
58
65
57
57
61
70
76
76
48
61
67
69
58
90
61
53
49
79
64
59
70
61
67
68
49
63
64
70
50
56
48
57
82
85
60
38
61
66
58
49
2020-25
Total Ret. CAGR (%)
December 2025
60
 Motilal Oswal Financial Services
30th Annual Wealth Creation Study (2020-2025)
Appendix 4: The top 100 All-round Wealth Creators (2020-2025) … continued
All-round
Rank
Total of
2020-25
Rank
Company
Biggest
Fastest
Consistent
Ranks
Total Ret. CAGR (%)
51
Laurus Labs
140
53
43
236
57
52
Jindal Saw
191
26
26
243
65
53
Glenmark Pharma.
121
73
52
246
50
54
APL Apollo Tubes
123
25
104
252
65
55
NTPC
10
167
77
254
36
56
Tata Steel
28
99
130
257
45
57
Shriram Finance
51
139
72
262
40
58
Larsen & Toubro
5
179
78
262
35
59
Power Fin.Corpn.
37
98
129
264
45
60
Karur Vysya Bank
192
38
35
265
61
61
JSW Holdings
156
12
101
269
74
62
Cochin Shipyard
129
34
106
269
61
63
Oil India
81
71
117
269
51
64
Poly Medicure
174
54
44
272
57
65
eClerx Services
212
31
30
273
63
66
Triveni Turbine
190
46
37
273
59
67
Adani Green
39
103
131
273
44
68
Firstsource Sol.
157
19
102
278
67
69
IRB Infra
168
64
47
279
54
70
Natl. Aluminium
133
89
57
279
48
71
ICICI Bank
2
196
83
281
34
72
Minda Corp
221
55
9
285
57
73
Phoenix Mills
96
121
69
286
42
74
Narayana Hrudaya.
142
91
58
291
47
75
SBI
3
203
85
291
33
76
NMDC
93
188
13
294
34
77
AB
50
110
136
296
43
78
Redington
181
69
51
301
52
79
HCL Technologies
7
208
88
303
33
80
Grasim Inds
34
127
147
308
41
81
Aster DM Health.
151
100
62
313
45
82
Elgi Equipments
208
62
46
316
54
83
Zensar Tech.
200
67
49
316
53
84
Tata Elxsi
139
63
115
317
54
85
J B Chemicals
164
95
59
318
46
86
Tata Comm
112
84
123
319
48
87
Apollo Hospitals
63
117
141
321
42
88
Eicher Motors
41
200
84
325
33
89
Prestige Estates
115
86
125
326
48
90
Raymond
249
42
36
327
60
91
NLC India
143
118
67
328
42
92
Chambal Fert.
161
104
64
329
44
93
Godfrey Phillips
135
78
120
333
49
94
KSB
227
65
48
340
54
95
GAIL (India)
47
207
87
341
33
96
Canara Bank
58
132
152
342
41
97
DLF
35
145
162
342
38
98
LMW
199
88
56
343
48
99
Power Grid Corpn
18
233
92
343
31
100
PNB Housing
188
96
60
344
46
All-round
Rank
Total of
2020-25
Rank
Company
Biggest
Fastest
Consistent
Ranks
Total Ret. CAGR (%)
Note:
Total Return considers price of March 2025 + Cumulative Dividends over 5 years (2021 to 2025)
December 2025
61
 Motilal Oswal Financial Services
30th Annual Wealth Creation Study (2020-2025)
Appendix 5: The 100 Biggest Wealth Creators (2020-25) – Alphabetical order
Company
AB
Adani Energy
Adani Enterprises
Adani Green
Adani Ports
Adani Power
Adani Total Gas
Ambuja Cements
Apollo Hospitals
Ashok Leyland
Axis Bank
BHEL
Bajaj Auto
Bajaj Finance
Bajaj Finserv
Bajaj Holdings
Bank of Baroda
Bank of India
Bharat Electronics
Bharti Airtel
Bosch
BSE
Canara Bank
Chola. Investment
Cipla
Coal India
Coforge
Cummins India
Divi's Lab.
Dixon Tech.
DLF
Eicher Motors
GAIL (India)
General Insurance
GMR Airports
Grasim Inds
HPCL
Havells India
HCL Technologies
Hind. Aeronautics
Hindalco Inds.
Hindustan Zinc
Hitachi Energy
IOB
IOCL
ICICI Bank
IDBI Bank
Indian Bank
Indian Hotels
Info Edge
Company
Biggest
50
69
15
39
23
27
89
53
63
91
21
73
26
4
13
38
45
90
22
1
82
66
58
42
56
20
99
61
46
65
35
41
47
84
98
34
83
74
7
12
36
24
92
87
32
2
44
67
49
77
Biggest
Wealth Creation Rank
Fastest
Consistent
110
136
173
252
9
100
103
131
158
247
8
18
90
239
241
209
117
141
144
161
296
294
43
108
199
189
210
193
187
183
83
12
166
172
239
208
23
5
215
197
279
287
1
14
132
152
48
8
250
216
243
211
82
54
49
39
292
232
7
99
145
162
200
84
207
87
195
82
172
175
127
147
271
224
273
283
208
88
11
1
80
53
224
204
10
19
133
153
290
230
196
83
197
187
17
4
35
32
246
213
Wealth Creation Rank
Fastest
Consistent
All-round
77
171
18
65
145
3
139
176
87
124
222
45
135
131
117
19
117
192
2
134
249
4
96
11
182
166
50
23
208
28
96
88
95
109
150
80
213
233
79
1
27
154
16
115
203
71
145
7
15
190
All-round
Wealth Created
Total Return
INR bn
CAGR (%)
996
43
719
36
2,416
76
1,225
44
2,008
37
1,824
79
568
47
878
30
791
42
518
39
2,232
24
685
60
1,879
33
4,206
33
2,473
34
1,243
48
1,125
36
567
30
2,083
66
7,944
32
608
26
738
124
849
41
1,140
58
861
29
2,266
29
463
49
796
58
1,042
24
748
79
1,394
38
1,160
33
1,041
33
604
34
478
36
1,458
41
604
27
682
27
3,708
33
2,707
75
1,359
49
1,959
32
508
76
579
41
1,510
24
7,417
34
1,127
34
733
69
998
61
673
29
Wealth Created Total Return
INR bn
CAGR (%)
Total Return
Times (x)
6.0
4.6
16.9
6.2
4.8
18.3
7.0
3.7
5.9
5.1
2.9
10.5
4.2
4.1
4.4
7.2
4.7
3.7
12.5
4.1
3.2
56.1
5.5
10.0
3.5
3.6
7.2
9.8
3.0
18.5
5.1
4.2
4.1
4.3
4.7
5.6
3.3
3.3
4.1
16.2
7.3
4.0
16.9
5.5
3.0
4.3
4.3
13.6
10.9
3.6
Total Return
Times (x)
December 2025
62
 Motilal Oswal Financial Services
30th Annual Wealth Creation Study (2020-2025)
Appendix 5: The 100 Biggest Wealth Creators (2020-25) – Alphabetical order … continued
Company
Interglobe Aviation
ITC
Jindal Steel
JSW Energy
JSW Steel
Larsen & Toubro
Linde India
LTIMindtree
Lupin
M&M
Muthoot Finance
NHPC
NMDC
NTPC
ONGC
Oberoi Realty
Oil India
Oracle Financial
Patanjali Foods
Persistent Systems
Phoenix Mills
Polycab India
Power Fin.Corpn.
Power Grid Corpn
Punjab Natl.Bank
Rail Vikas
REC
Samvardh. Motherson
SBI
Shriram Finance
Siemens
Solar Industries
SRF
Sun Pharma
Tata Consumer
Tata Motors
Tata Power
Tata Steel
Titan Company
Torrent Pharma.
Torrent Power
Trent
Tube Investments
TVS Motor Co.
UltraTech Cement
Union Bank (I)
United Spirits
Varun Beverages
Vedanta
Zydus Lifesciences
Company
Biggest
31
6
57
59
19
5
94
86
78
9
64
70
93
10
11
97
81
85
88
60
96
76
37
18
54
68
43
100
3
51
33
52
71
8
72
16
40
28
25
62
80
29
95
48
14
55
75
30
17
79
Biggest
Wealth Creation Rank
Fastest
Consistent
159
167
298
299
32
6
21
103
74
118
179
78
20
23
267
278
254
217
52
42
214
196
175
177
188
13
167
77
190
256
153
166
71
117
183
296
39
7
5
17
121
69
87
55
98
129
233
92
282
289
2
15
76
238
225
205
203
85
139
72
160
168
24
25
136
156
146
73
247
214
51
41
28
105
99
130
269
280
263
221
128
148
33
31
47
38
68
50
244
212
156
246
294
234
30
29
40
107
260
275
Wealth Creation Rank
Fastest
Consistent
All-round
105
219
10
31
38
57
21
235
200
13
166
143
76
55
157
138
61
204
20
5
73
41
59
98
229
6
105
186
74
57
109
12
111
46
189
14
29
56
212
196
104
9
30
26
164
157
219
8
25
226
All-round
Wealth Created Total Return
INR bn
CAGR (%)
1,566
37
3,765
24
856
62
837
67
2,335
50
3,974
35
496
67
592
27
670
28
3,055
57
756
32
717
36
502
34
2,997
36
2,807
34
482
38
610
51
600
35
571
61
829
83
483
42
679
48
1,314
45
2,344
31
868
26
726
95
1,133
49
462
32
5,593
33
974
40
1,500
37
939
65
717
40
3,459
38
690
29
2,374
57
1,166
64
1,763
45
1,930
27
794
28
620
41
1,722
62
484
59
1,023
53
2,463
29
861
37
682
24
1,608
63
2,350
61
658
28
Wealth Created
Total Ret.
INR bn
CAGR (%)
Total Return
Times (x)
4.8
2.9
11.2
12.9
7.5
4.5
12.9
3.3
3.5
9.6
4.1
4.6
4.4
4.7
4.3
5.0
7.9
4.4
10.8
20.3
5.8
7.1
6.4
3.8
3.1
28.0
7.5
4.0
4.2
5.3
4.8
12.4
5.4
5.1
3.6
9.7
11.7
6.4
3.3
3.4
5.6
11.1
10.2
8.3
3.6
4.9
2.9
11.5
10.7
3.4
Total Ret.
Times (x)
Note:
Total Return considers price of March 2025 + Cumulative Dividends over 5 years (2021 to 2025)
December 2025
63
 Motilal Oswal Financial Services
30th Annual Wealth Creation Study (2020-2025)
Appendix 6: The 100 Fastest Wealth Creators (2020-25) – Alphabetical order
Company
A B Real Estate
Adani Enterprises
Adani Power
Adani Total Gas
Affle 3i
APL Apollo Tubes
Aster DM Health.
BHEL
Bajaj Holdings
BEML
Bharat Dynamics
Bharat Electronics
Birlasoft
Blue Star
Brigade Enterprises
BSE
CDSL
Caplin Point Lab
Century Plyboard
Chola. Investment
Cochin Shipyard
Coforge
Cohance Life
Cummins India
Dixon Tech.
eClerx Services
Elgi Equipments
FACT
Firstsource Sol.
Garden Reach
GE Vernova T&D
Glenmark Pharma.
Godfrey Phillips
Gujarat Fluoroch
HUDCO
HFCL
Himadri Special
Hind. Aeronautics
Hindalco Inds.
Hindustan Copper
Hitachi Energy
Indian Bank
Indian Hotels
IRB Infra
J B Chemicals
Jindal Saw
Jindal Stainless
Jindal Steel
JSW Energy
JSW Holdings
Company
Biggest
182
15
27
89
183
123
151
73
38
220
103
22
233
118
176
66
155
210
209
42
129
99
149
61
65
212
208
116
157
185
120
121
135
111
114
239
178
12
36
175
92
67
49
168
164
191
134
57
59
156
Biggest
Wealth Creation Rank
Fastest
Consistent
93
127
9
100
8
18
90
239
70
236
25
104
100
62
43
108
83
12
59
112
15
3
23
5
94
128
57
45
75
119
1
14
27
27
85
124
97
61
48
8
34
106
82
54
29
28
49
39
7
99
31
30
62
46
6
98
19
102
22
24
4
97
73
52
78
120
16
21
36
33
61
114
13
20
11
1
80
53
41
235
10
19
17
4
35
32
64
47
95
59
26
26
3
16
32
6
21
103
12
101
Wealth Creation Rank
Fastest
Consistent
All-round
127
18
3
139
169
54
81
45
19
121
16
2
156
42
113
4
37
141
112
11
61
50
36
23
28
65
82
42
68
48
44
53
93
22
31
135
38
1
27
153
16
7
15
69
85
52
24
10
31
61
All-round
Wealth Created
Total Return
INR bn
CAGR (%)
189
46
2,416
76
1,824
79
568
47
186
51
369
65
257
45
685
60
1,243
48
118
56
444
70
2,083
66
100
46
391
57
193
50
738
124
241
64
132
48
134
45
1,140
58
347
61
463
49
273
63
796
58
748
79
130
63
138
54
394
82
234
67
182
66
381
85
380
50
315
49
411
69
395
61
93
55
192
70
2,707
75
1,359
49
193
60
508
76
733
69
998
61
206
54
220
46
163
65
324
90
856
62
837
67
237
74
Wealth Created Total Return
INR bn
CAGR (%)
Total Return
Times (x)
6.7
16.9
18.3
7.0
7.9
12.4
6.4
10.5
7.2
9.1
14.1
12.5
6.7
9.4
7.5
56.1
11.8
7.2
6.4
10.0
11.0
7.2
11.6
9.8
18.5
11.4
8.8
19.9
13.0
12.6
21.5
7.5
7.4
13.9
10.9
8.9
14.4
16.2
7.3
10.6
16.9
13.6
10.9
8.6
6.6
12.1
24.6
11.2
12.9
15.9
Total Return
Times (x)
December 2025
64
 Motilal Oswal Financial Services
30th Annual Wealth Creation Study (2020-2025)
Appendix 6: The 100 Fastest Wealth Creators (2020-25) – Alphabetical order … continued
Company
JSW Steel
K P R Mill
Karur Vysya Bank
KEI Industries
Kirloskar Oil
KSB
Laurus Labs
Linde India
LMW
M&M
Mah. Seamless
Minda Corp
Narayana Hrudayalaya
Natl. Aluminium
NBCC
NIIT
Oil India
Patanjali Foods
Persistent Systems
PNB Housing
Poly Medicure
Polycab India
Power Fin.Corpn.
Prestige Estates
Radico Khaitan
Rail Vikas
Raymond
REC
Redington
Schneider Electric
Sobha
Solar Industries
Supreme Petro
Tata Comm
Tata Elxsi
Tata Inv.Corpn.
Tata Motors
Tata Power
Tata Steel
Trent
Triveni Turbine
Tube Investments
TVS Holdings
TVS Motor Co.
Uno Minda
Varun Beverages
Vedanta
Welspun Corp
Wockhardt
Zensar Tech.
Company
Biggest
19
145
192
158
237
227
140
94
199
9
250
221
142
133
173
299
81
88
60
188
174
76
37
115
146
68
249
43
181
203
234
52
222
112
139
144
16
40
28
29
190
95
198
48
107
30
17
167
180
200
Biggest
Wealth Creation Rank
Fastest
Consistent
74
118
18
22
38
35
37
34
66
116
65
48
53
43
20
23
88
56
52
42
79
121
55
9
91
58
89
57
72
237
92
126
71
117
39
7
5
17
96
60
54
44
87
55
98
129
86
125
58
10
2
15
42
36
76
238
69
51
45
110
56
111
24
25
44
109
84
123
63
115
50
40
51
41
28
105
99
130
33
31
46
37
47
38
81
122
68
50
77
11
30
29
40
107
14
2
60
113
67
49
Wealth Creation Rank
Fastest
Consistent
All-round
38
34
60
47
141
94
51
21
98
13
152
72
74
69
168
180
61
20
5
100
64
41
59
89
40
6
90
105
78
107
125
12
116
86
84
49
14
29
56
9
65
30
125
26
35
8
25
31
103
82
All-round
Wealth Created Total Return
INR bn
CAGR (%)
2,335
50
293
68
159
61
233
61
95
54
112
54
300
57
496
67
149
48
3,055
57
80
49
116
57
297
47
325
48
197
50
8
46
610
51
571
61
829
83
178
46
194
57
679
48
1,314
45
395
48
291
56
726
95
80
60
1,133
49
190
52
144
59
99
57
939
65
115
60
411
48
304
54
295
58
2,374
57
1,166
64
1,763
45
1,722
62
166
59
484
59
150
49
1,023
53
434
49
1,608
63
2,350
61
218
70
190
55
147
53
Wealth Created
Total Ret.
INR bn
CAGR (%)
Total Return
Times (x)
7.5
13.6
10.8
10.9
8.6
8.6
9.6
12.9
7.1
9.6
7.4
9.5
6.9
7.1
7.7
6.7
7.9
10.8
20.3
6.6
9.6
7.1
6.4
7.1
9.1
28.0
10.5
7.5
8.1
10.2
9.4
12.4
10.4
7.2
8.8
9.8
9.7
11.7
6.4
11.1
10.2
10.2
7.3
8.3
7.4
11.5
10.7
14.3
8.9
8.5
Total Ret.
Times (x)
Note:
Total Return considers price of March 2025 + Cumulative Dividends over 5 years (2021 to 2025)
December 2025
65
 Motilal Oswal Financial Services
30th Annual Wealth Creation Study (2020-2025)
Appendix 7: Top 20 Fastest Wealth Creators (2020-25) by Market Cap Category
Large Cap in 2020 (Mkt cap rank 1 to 100)
Company
Tata Motors
Siemens
DLF
Power Finance Corp
REC
Bharti Airtel
Adani Ports
Sun Pharma
Titan Company
Bajaj Auto
Tata Steel
NMDC
HCL Technologies
Avenue Supermarts
LTIMindtree
JSW Steel
Zydus Lifesciences
M&M
Power Grid Corp
Oracle Financial
2020-25
Total Return CAGR (%)
42
37
35
35
35
33
29
28
28
27
27
26
26
25
25
24
24
24
24
24
Mid Cap in 2020 (Mkt cap rank 101 to 250)
Company
Adani Enterprises
Adani Power
Trent
Varun Beverages
Hind. Aeronautics
Solar Industries
JSW Energy
Adani Total Gas
Bharat Electronics
Torrent Power
Tata Consumer
Tata Power
AB
SJVN
SRF
Apollo Hospitals
Jindal Steel
Adani Energy
Prestige Estates
TVS Motor
2020-25
Total Return CAGR (%)
85
62
62
61
58
52
49
48
46
41
41
40
40
40
40
39
37
36
36
36
Small Cap in 2020 (Mkt cap rank 251 to 500)
Company
Adani Green
FACT
Dixon Technologies
Linde India
Persistent Systems
CG Power & Ind
BSE
Apar Inds
APL Apollo Tubes
Tube Investments
J B Chemicals
Tata Elxsi
Suven Life Sciences
KEI Industries
Deepak Nitrite
Birlasoft
Tata Inv. Corp
K P R Mill
CDSL
Suzlon Energy
2020-25
Total Return CAGR (%)
118
77
74
68
67
66
66
60
60
58
57
53
52
52
51
51
50
49
49
48
Micro Cap in 2020 (Mkt cap rank 501 to 1000)
Company
Bombay Super
Tata Tele. Maha.
Tanla Platforms
HBL Power System
Jindal Stainless
JBM Auto
Elecon Engg
Godawari Power
Titagarh Rail
Zen Technologies
ION Exchange
Action Construction
Gravita India
Sanghvi Movers
BLS International
AGI Greenpac
One Point One
3i Infotech
Valor Estate
Neuland Labs
2020-25
Total Return CAGR (%)
94
89
87
78
77
76
72
68
67
67
67
66
65
65
62
61
61
59
59
56
December 2025
66
 Motilal Oswal Financial Services
Explanation of Investment Rating
Investment Rating
BUY
SELL
NEUTRAL
UNDER REVIEW
NOT RATED
Expected return (over 12-month)
>=15%
< - 10%
> - 10 % to 15%
Rating may undergo a change
We have forward looking estimates for the stock but we refrain from assigning recommendation
*In case the recommendation given by the Research Analyst is inconsistent with the investment rating legend for a continuous period of 30 days, the Research Analyst shall within following 30 days take
appropriate measures to make the recommendation consistent with the investment rating legend.
Disclosures:
The following Disclosures are being made in compliance with the SEBI Research Analyst Regulations 2014 (herein after referred to as the Regulations).
Motilal Oswal Financial Services Ltd. (MOFSL) is a SEBI Registered Research Analyst having registration no. INH000000412 and BSE enlistment no. 5028. MOFSL, the Research Entity (RE) as defined in
the Regulations, is engaged in the business of providing Stock broking services, Depository participant services & distribution of various financial products. MOFSL is a listed public company, the details in
respect of which are available on
www.motilaloswal.com.
MOFSL is registered with the Securities & Exchange Board of India (SEBI) and is a registered Trading Member with National Stock Exchange of
India Ltd. (NSE) and Bombay Stock Exchange Limited (BSE), Multi Commodity Exchange of India Limited (MCX) and National Commodity & Derivatives Exchange Limited (NCDEX) for its stock broking
activities & is Depository participant with Central Depository Services Limited (CDSL) National Securities Depository Limited (NSDL),NERL, COMRIS and CCRL and is member of Association of Mutual
Funds of India (AMFI) for distribution of financial products and Insurance Regulatory & Development Authority of India (IRDA) as Corporate Agent for insurance products and is a member of Association of
Portfolio Managers in India (APMI) for distribution of PMS products. Details of associate entities of Motilal Oswal Financial Services Ltd. are available on the website at
http://onlinereports.motilaloswal.com/Dormant/documents/Associate%20Details.pdf
Details of pending Enquiry Proceedings of Motilal Oswal Financial Services Limited are available on the website at
https://galaxy.motilaloswal.com/ResearchAnalyst/PublishViewLitigation.aspx
MOFSL, it’s associates, Research Analyst or their relatives may have any financial interest in the subject company. MOFSL and/or its associates and/or Research Analyst or their relatives may have actual
beneficial ownership of 1% or more securities in the subject company at the end of the month immediately preceding the date of publication of the Research Report or date of the public appearance. MOFSL
and its associate company(ies), their directors and Research Analyst and their relatives may have any other potential conflict of interests at the time of publication of the research report or at the time of
public appearance, however the same shall have no bearing whatsoever on the specific recommendations made by the analyst(s), as the recommendations made by the analyst(s) are completely
independent of the views of the associates of MOFSL even though there might exist an inherent conflict of interest in some of the stocks mentioned in the research report..
In the past 12 months, MOFSL or any of its associates may have:
received any compensation/other benefits from the subject company of this report
managed or co-managed public offering of securities from subject company of this research report,
received compensation for investment banking or merchant banking or brokerage services from subject company of this research report,
received compensation for products or services other than investment banking or merchant banking or brokerage services from the subject company of this research report.
MOFSL and it’s associates have not received any compensation or other benefits from the subject company or third party in connection with the research report.
Subject Company may have been a client of MOFSL or its associates during twelve months preceding the date of distribution of the research report.
Research Analyst may have served as director/officer/employee in the subject company.
MOFSL and research analyst may engage in market making activity for the subject company.
MOFSL and its associate company(ies), and Research Analyst and their relatives from time to time may have:
a) a long or short position in, act as principal in, and buy or sell the securities or derivatives thereof of companies mentioned herein.
(b) be engaged in any other transaction involving such securities and earn brokerage or other compensation or act as a market maker in the financial instruments of the company(ies) discussed herein or act
as an advisor or lender/borrower to such company(ies) or may have any other potential conflict of interests with respect to any recommendation and other related information and opinions.; however the
same shall have no bearing whatsoever on the specific recommendations made by the analyst(s), as the recommendations made by the analyst(s) are completely independent of the views of the associates
of MOFSL even though there might exist an inherent conflict of interest in some of the stocks mentioned in the research report.
Above disclosures include beneficial holdings lying in demat account of MOFSL which are opened for proprietary investments only. While calculating beneficial holdings, It does not consider demat accounts
which are opened in name of MOFSL for other purposes (i.e holding client securities, collaterals, error trades etc.). MOFSL also earns DP income from clients which are not considered in above disclosures.
To enhance transparency, MOFSL has incorporated a Disclosure of Interest Statement in this document. This should, however, not be treated as endorsement of the views expressed in the report. MOFSL
and / or its affiliates do and seek to do business including investment banking with companies covered in its research reports. As a result, the recipients of this report should be aware that MOFSL may have
a potential conflict of interest that may affect the objectivity of this report.
Terms & Conditions:
This report has been prepared by MOFSL and is meant for sole use by the recipient and not for circulation. The report and information contained herein is strictly confidential and may not be altered in any
way, transmitted to, copied or distributed, in part or in whole, to any other person or to the media or reproduced in any form, without prior written consent of MOFSL. The report is based on the facts, figures
and information that are considered true, correct, reliable and accurate. The intent of this report is not recommendatory in nature. The information is obtained from publicly available media or other sources
believed to be reliable. Such information has not been independently verified and no guaranty, representation of warranty, express or implied, is made as to its accuracy, completeness or correctness. All
such information and opinions are subject to change without notice. The report is prepared solely for informational purpose and does not constitute an offer document or solicitation of offer to buy or sell or
subscribe for securities or other financial instruments for the clients. Though disseminated to all the customers simultaneously, not all customers may receive this report at the same time. MOFSL will not
treat recipients as customers by virtue of their receiving this report.
Analyst Certification
The views expressed in this research report accurately reflect the personal views of the analyst(s) about the subject securities or issues, and no part of the compensation of the research analyst(s) was, is,
or will be directly or indirectly related to the specific recommendations and views expressed by research analyst(s) in this report.
Disclosure of Interest Statement
Analyst ownership of the stock
No
A graph of daily closing prices of securities is available at
www.nseindia.com, www.bseindia.com.
Research Analyst views on Subject Company may vary based on Fundamental research and
Technical Research. Proprietary trading desk of MOFSL or its associates maintains arm’s length distance with Research Team as all the activities are segregated from MOFSL research activity and
therefore it can have an independent view with regards to subject company for which Research Team have expressed their views.
Regional Disclosures (outside India)
This report is not directed or intended for distribution to or use by any person or entity resident in a state, country or any jurisdiction, where such distribution, publication, availability or use would be contrary
to law, regulation or which would subject MOFSL & its group companies to registration or licensing requirements within such jurisdictions.
For Hong Kong:
This report is distributed in Hong Kong by Motilal Oswal capital Markets (Hong Kong) Private Limited, a licensed corporation (CE AYY-301) licensed and regulated by the Hong Kong Securities and Futures
Commission (SFC) pursuant to the Securities and Futures Ordinance (Chapter 571 of the Laws of Hong Kong) “SFO”. As per SEBI (Research Analyst Regulations) 2014 Motilal Oswal Financial Services
Limited (SEBI Reg No. INH000000412) has an agreement with Motilal Oswal capital Markets (Hong Kong) Private Limited for distribution of research report in Hong Kong. This report is intended for
distribution only to “Professional Investors” as defined in Part I of Schedule 1 to SFO. Any investment or investment activity to which this document relates is only available to professional investor and will be
engaged only with professional investors.” Nothing here is an offer or solicitation of these securities, products and services in any jurisdiction where their offer or sale is not qualified or exempt from
registration. The Indian Analyst(s) who compile this report is/are not located in Hong Kong & are not conducting Research Analysis in Hong Kong.
For U.S.
MOTILAL Oswal Financial Services Limited (MOFSL) is not a registered broker - dealer under the U.S. Securities Exchange Act of 1934, as amended (the"1934 act") and under applicable state laws in the
United States. In addition MOFSL is not a registered investment adviser under the U.S. Investment Advisers Act of 1940, as amended (the "Advisers Act" and together with the 1934 Act, the "Acts), and
 Motilal Oswal Financial Services
under applicable state laws in the United States. Accordingly, in the absence of specific exemption under the Acts, any brokerage and investment services provided by MOFSL, including the products and
services described herein are not available to or intended for U.S. persons. This report is intended for distribution only to "Major Institutional Investors" as defined by Rule 15a-6(b)(4) of the Exchange Act
and interpretations thereof by SEC (henceforth referred to as "major institutional investors"). This document must not be acted on or relied on by persons who are not major institutional investors. Any
investment or investment activity to which this document relates is only available to major institutional investors and will be engaged in only with major institutional investors. In reliance on the exemption
from registration provided by Rule 15a-6 of the U.S. Securities Exchange Act of 1934, as amended (the "Exchange Act") and interpretations thereof by the U.S. Securities and Exchange Commission
("SEC") in order to conduct business with Institutional Investors based in the U.S., MOFSL has entered into a chaperoning agreement with a U.S. registered broker-dealer, Motilal Oswal Securities
International Private Limited. ("MOSIPL"). Any business interaction pursuant to this report will have to be executed within the provisions of this chaperoning agreement.
The Research Analysts contributing to the report may not be registered /qualified as research analyst with FINRA. Such research analyst may not be associated persons of the U.S. registered broker-dealer,
MOSIPL, and therefore, may not be subject to NASD rule 2711 and NYSE Rule 472 restrictions on communication with a subject company, public appearances and trading securities held by a research
analyst account.
For Singapore
In Singapore, this report is being distributed by Motilal Oswal Capital Markets (Singapore) Pte. Ltd. (“MOCMSPL”) (UEN 201129401Z), which is a holder of a capital markets services license and an exempt
financial adviser in Singapore.This report is distributed solely to persons who (a) qualify as “institutional investors” as defined in section 4A(1)(c) of the Securities and Futures Act of Singapore (“SFA”) or (b)
are considered "accredited investors" as defined in section 2(1) of the Financial Advisers Regulations of Singapore read with section 4A(1)(a) of the SFA. Accordingly, if a recipient is neither an “institutional
investor” nor an “accredited investor”, they must immediately discontinue any use of this Report and inform MOCMSPL .
In respect of any matter arising from or in connection with the research you could contact the following representatives of MOCMSPL. In case of grievances for any of the services rendered by MOCMSPL
write to grievances@motilaloswal.com.
Nainesh Rajani
Email: nainesh.rajani@motilaloswal.com
Contact: (+65) 8328 0276
Disclaimer:
This report is intended for distribution to Retail Investors.
The report and information contained herein is strictly confidential and meant solely for the selected recipient and may not be altered in any way, transmitted to, copied or distributed, in part or in whole, to
any other person or to the media or reproduced in any form, without prior written consent. This report and information herein is solely for informational purpose and may not be used or considered as an
offer document or solicitation of offer to buy or sell or subscribe for securities or other financial instruments. Nothing in this report constitutes investment, legal, accounting and tax advice or a representation
that any investment or strategy is suitable or appropriate to your specific circumstances. The securities discussed and opinions expressed in this report may not be suitable for all investors, who must make
their own investment decisions, based on their own investment objectives, financial positions and needs of specific recipient. This may not be taken in substitution for the exercise of independent judgment
by any recipient. Each recipient of this document should make such investigations as it deems necessary to arrive at an independent evaluation of an investment in the securities of companies referred to in
this document (including the merits and risks involved), and should consult its own advisors to determine the merits and risks of such an investment. The investment discussed or views expressed may not
be suitable for all investors. Certain transactions -including those involving futures, options, another derivative products as well as non-investment grade securities - involve substantial risk and are not
suitable for all investors. No representation or warranty, express or implied, is made as to the accuracy, completeness or fairness of the information and opinions contained in this document. The Disclosures
of Interest Statement incorporated in this document is provided solely to enhance the transparency and should not be treated as endorsement of the views expressed in the report. This information is subject
to change without any prior notice. The Company reserves the right to make modifications and alternations to this statement as may be required from time to time without any prior approval. MOFSL, its
associates, their directors and the employees may from time to time, effect or have effected an own account transaction in, or deal as principal or agent in or for the securities mentioned in this document.
They may perform or seek to perform investment banking or other services for, or solicit investment banking or other business from, any company referred to in this report. Each of these entities functions as
a separate, distinct and independent of each other. The recipient should take this into account before interpreting the document. This report has been prepared on the basis of information that is already
available in publicly accessible media or developed through analysis of MOFSL. The views expressed are those of the analyst, and the Company may or may not subscribe to all the views expressed
therein. This document is being supplied to you solely for your information and may not be reproduced, redistributed or passed on, directly or indirectly, to any other person or published, copied, in whole or
in part, for any purpose. This report is not directed or intended for distribution to, or use by, any person or entity who is a citizen or resident of or located in any locality, state, country or other jurisdiction,
where such distribution, publication, availability or use would be contrary to law, regulation or which would subject MOFSL to any registration or licensing requirement within such jurisdiction. The securities
described herein may or may not be eligible for sale in all jurisdictions or to certain category of investors. Persons in whose possession this document may come are required to inform themselves of and to
observe such restriction. Neither the Firm, not its directors, employees, agents or representatives shall be liable for any damages whether direct or indirect, incidental, special or consequential including lost
revenue or lost profits that may arise from or in connection with the use of the information. The person accessing this information specifically agrees to exempt MOFSL or any of its affiliates or employees
from, any and all responsibility/liability arising from such misuse and agrees not to hold MOFSL or any of its affiliates or employees responsible for any such misuse and further agrees to hold MOFSL or any
of its affiliates or employees free and harmless from all losses, costs, damages, expenses that may beRs suffered by the person accessing this information due to any errors and delays.
This report is meant for the clients of Motilal Oswal only.
Investment in securities market are subject to market risks. Read all the related documents carefully before investing.
Registration granted by SEBI, enlistment as RA with Exchange and certification from NISM in no way guarantee performance of the intermediary or provide any assurance of returns to investors
Registered Office Address: Motilal Oswal Tower, Rahimtullah Sayani Road, Opposite Parel ST Depot, Prabhadevi, Mumbai-400025; Tel No.: 022 - 71934200 / 71934263; www.motilaloswal.com.
Correspondence Address: Palm Spring Centre, 2nd Floor, Palm Court Complex, New Link Road, Malad (West), Mumbai- 400 064. Tel No: 022 71881000. Details of Compliance Officer: Neeraj Agarwal,
Email Id: na@motilaloswal.com, Contact No.:022-40548085.
Grievance Redressal Cell:
Contact Person
Ms. Hemangi Date
Ms. Kumud Upadhyay
Mr. Ajay Menon
Mr. Neeraj Agarwal
Mr. Siddhartha Khemka
Contact No.
022 40548000 / 022 67490600
022 40548082
022 40548083
022 40548085
022 50362452
Email ID
query@motilaloswal.com
servicehead@motilaloswal.com
am@motilaloswal.com
na@motilaloswal.com
po.research@motilaloswal.com
Registration details of group entities.: Motilal Oswal Financial Services Ltd. (MOFSL): INZ000158836 (BSE/NSE/MCX/NCDEX); CDSL and NSDL: IN-DP-16-2015; Research Analyst: INH000000412, BSE
enlistment no. 5028 . AMFI: ARN .: 146822. IRDA Corporate Agent – CA0579, APMI: APRN00233. Motilal Oswal Financial Services Ltd. is a distributor of Mutual Funds, PMS, Fixed Deposit, Insurance,
Bond, NCDs and IPO products.
Customer having any query/feedback/ clarification may write to query@motilaloswal.com. In case of grievances for any of the services rendered by Motilal Oswal Financial Services Limited (MOFSL) write to
grievances@motilaloswal.com, for DP to dpgrievances@motilaloswal.com.
 Motilal Oswal Financial Services
 Motilal Oswal Financial Services
Motilal Oswal Wealth Creation Study Gallery